Texten är baserad på produktresumé: 11/2025.
Texten är baserad på produktresumé: 11/2025.
Filspari är avsett för behandling av vuxna med primär IgA-nefropati (IgAN) med en urinproteinutsöndring ≥ 1,0 g/dag (eller med en kvot mellan protein och kreatinin i urinen på ≥ 0,75 g/g (se avsnitt Farmakodynamik).
Överkänslighet mot den aktiva substansen eller mot något hjälpämne som anges i avsnitt Innehåll
Graviditet (se avsnitt Varningar och försiktighet och Graviditet)
Samtidig administrering av angiotensinreceptor-blockerare (ARB), endotelinreceptor-antagonister (ERA) eller reninhämmare (se avsnitt Varningar och försiktighet och Interaktioner)
Dosering
Behandling med sparsentan bör inledas med en dos på 200 mg en gång dagligen i 14 dagar och sedan ökas till en underhållsdos på 400 mg en gång dagligen, beroende på tolerabilitet.
För titrering från den inledande dosen på 200 mg en gång dagligen till underhållsdosen på 400 mg en gång dagligen finns filmdragerade tabletter på 200 mg och 400 mg tillgängliga för att uppnå underhållsdosen.
Om patienter upplever tolerabilitetsproblem (systoliskt blodtryck [SBP] ≤ 100 mmHg, diastoliskt blodtryck ≤ 60 mmHg, förvärrat ödem eller hyperkalemi), rekommenderas justering av samtidiga läkemedel, följt av tillfällig nedtitrering eller utsättande av sparsentan (se avsnitt Varningar och försiktighet och Farmakodynamik).
När behandlingen med sparsentan återupptas efter avbrott kan upprepning av initialdoseringen övervägas. Avbrytande av behandlingen, med eller utan föregående dosreduktion av sparsentan, kan övervägas vid ihållande hypotoni eller förändringar i leverfunktionen (se avsnitt Varningar och försiktighet).
Missad dos
Om en dos missas, ska patienten hoppa över den dosen och ta nästa dos vid den schemalagda tiden påföljande dag. Dubbla eller extra doser bör inte tas.
Särskilda populationer
Fertila kvinnor
Sparsentanbehandling ska endast insättas hos fertila kvinnor när graviditet har uteslutits och effektiva preventivmedel används (se avsnitt Kontraindikationer och Graviditet).
Hypotoni
Hypotoni har associerats med hämmare av renin-angiotensin-aldosteronsystemet (RAAS-hämmare), inklusive sparsentan. Hypotoni kan förekomma under behandling med sparsentan och rapporteras oftare hos äldre patienter (se avsnitt Biverkningar).
Eliminering eller justering av andra antihypertensiva läkemedel och upprätthållande av tillräcklig volymstatus för patienter med risk för hypotoni bör övervägas. Om hypotoni uppkommer trots eliminering eller minskning av andra antihypertensiva läkemedel bör dosminskning eller dosavbrott av sparsentan övervägas. Övergående hypotoni utgör inte kontraindikation för fortsatt behandling med sparsentan. Behandlingen kan återupptas sedan blodtrycket har stabiliserats.
Om hypotoni kvarstår trots eliminering eller minskning av antihypertensiva läkemedel bör sparsentandoseringen minskas till initial startdos tills blodtrycket stabiliseras. Doseringsuppehåll med sparsentan bör övervägas om symtomen på hypotoni kvarstår efter 2 veckors dosminskning. Sparsentan bör användas med försiktighet hos patienter med systoliskt blodtryck ≤ 100 mmHg (se avsnitt Dosering). Sparsentan ska inte upptitreras hos patienter med systoliskt blodtryck ≤100 mmHg (se avsnitt Dosering).
Samtidig användning med ARB, ERA och reninhämmare
Samtidig användning av sparsentan med ERA (som bosentan, ambrisentan, macitentan, sitaxentan), ARB (som irbesartan, losartan, valsartan, kandesartan, temisertan) eller reninhämmare som aliskiren är kontraindicerat (se avsnitt Kontraindikationer).
Samtidig användning av ACE-hämmare och mineralkortikoidreceptorblockerare
Samtidig användning av sparsentan med mineralkortikoid- (aldosteron) receptorblockerare som spironolakton och finerenon kan förväntas vara associerat med ökad risk för hyperkalemi.
Det finns inga data om kombinationen sparsentan med ACE-hämmare som enalapril eller lisinopril. Data från kliniska prövningar har visat att dubbel blockad av renin-angiotensin-aldosteron-systemet (RAAS) genom kombinerad användning av ACE-hämmare, angiotensin II-receptorblockerare eller aliskiren är associerad med en högre frekvens av biverkningar, såsom hypotoni, hyperkalemi och nedsatt njurfunktion (inklusive akut njursvikt) jämfört med användningen av ett enda RAAS-verkande läkemedel (se avsnitt Farmakodynamik).
Användningen av sparsentan i kombination med ACE-hämmare som enalapril eller lisinopril bör ske med försiktighet och blodtryck, kalium och njurfunktion bör övervakas (se avsnitt Varningar och försiktighet).
Samtidig användning av kaliumsupplement och kaliumsparande diuretika
Fertila kvinnor
Sparsentanbehandling ska endast insättas hos fertila kvinnor när graviditet har uteslutits. Fertila kvinnor ska använda effektiv preventivmetod under behandling och upp till 1 månad efter avslutad behandling.
Graviditet
Det finns inga eller begränsad mängd data från användningen av sparsentan hos gravida kvinnor.
Djurstudier har visat reproduktionstoxikologiska effekter (se avsnitt Prekliniska uppgifter).
Filspari är kontraindicerat under graviditet (se avsnitt Kontraindikationer).
Fysikalisk-kemiska data tyder på att metaboliter från sparsentan utsöndras i bröstmjölk. En risk för det nyfödda barnet/spädbarnet kan inte uteslutas. Sparsentan ska inte användas under amning.
Det finns inga data om effekten av sparsentan på mänsklig fertilitet. Djurdata tyder inte på någon försämring av manlig eller kvinnlig fertilitet (se avsnitt Prekliniska uppgifter).
Filspari kan ha mindre effekt på förmågan att framföra fordon och använda maskiner.
Inga studier har utförts avseende effekterna av sparsentan på förmågan att framföra fordon och använda maskiner. Det bör dock beaktas att yrsel kan förekomma när sparsentan tas (se avsnitt Biverkningar). Patienter med yrsel bör rådas att inte köra bil eller använda maskiner tills symtomen har avtagit.
Sammanfattning av säkerhetsprofilen
De vanligaste rapporterade biverkningarna var hypotoni (10,8 %), hyperkalemi (9,6 %), yrsel (7,8 %) och perifert ödem (5,4 %). Den vanligaste allvarliga biverkningen som rapporterats var akut njurskada (0,9 %).
Tabell över biverkningar
De rapporterade biverkningar i de aktivt kontrollerade kliniska fas 2- och fas 3-prövningarna hos patienter som exponerats för sparsentan i en population med kronisk njursjukdom, inklusive IgAN och FSGA (N = 446) anges i tabellen nedan efter MedDRA-organsystemklass och frekvens enligt följande konvention: Mycket vanliga (≥ 1/10); Vanliga (≥ 1/100, < 1/10); Mindre vanliga (≥ 1/1000, < 1/100); Sällsynta (≥ 1/10 000, < 1/1000); Mycket sällsynta (< 1/10 000).
Tabell 1: Biverkningar observerade under kliniska prövningar
a Förhöjda transaminaser inkluderar föredragna termer för ökat alaninaminotransferas, ökat aspartataminotransferas, ökat gammaglutamyltransferas och ökat leverenzym.
Beskrivning av utvalda biverkningar
Minskat hemoglobin
Sparsentan har administrerats i doser på upp till 1600 mg/dag till friska försökspersoner utan tecken på dosbegränsande toxicitet. Patienter som upplever överdosering (möjligen med tecken och symtom på hypotoni) bör övervakas noggrant och ges lämplig symtomatisk behandling.
Verkningsmekanism
Sparsentan är en dubbel endotelin angiotensin receptorantagonist.
Det är en enda molekyl som fungerar som en dubbelverkande antagonist med hög affinitet för både ETAR och AT1R. Endotelin 1, via ETAR, och angiotensin II, via AT1R, medierar processer som leder till IgAN progression genom hemodynamiska åtgärder och mesangial cellproliferation, ökat uttryck och aktivitet av proinflammatoriska och profibrotiska mediatorer, podocytskada och oxidativ stress. Sparsentan hämmar aktiveringen av både ETAR och AT1R och minskar därmed proteinuri och bromsar utvecklingen av njursjukdom.
Farmakodynamisk effekt
I en randomiserad, positiv- och placebokontrollerad studie med friska försökspersoner orsakade sparsentan mild QTcF-förlängning med en maximal effekt på 8,8 ms (90 % KI: 5,9, 11,8) vid 800 mg och 8,1 ms (5,2, 11,0) vid 1600 mg. I en annan studie med friska försökspersoner, vid sparsentanexponering som översteg exponeringen vid maximal rekommenderad humandos med mer än 2-faldigt, den maximala effekten var 8,3 (6,69, 9,90) ms. Det är därför osannolikt att sparsentan har en kliniskt relevant effekt på QT-förlängning.
Klinisk effekt och säkerhet
Absorption
Efter en oral engångsdos på 400 mg sparsentan är mediantiden till maximal plasmakoncentration 3 timmar.
Efter en oral engångsdos på 400 mg sparsentan är det geometriska medelvärdet för Cmax och AUC 6,97 mikrogram/ml respektive 83 mikrogram × timmar/ml. Steady state plasmanivåer uppnåddes inom 7 dagar utan ackumulering av exponering vid den rekommenderade dosen.
Efter en dos på 400 mg sparsentan dagligen är de steady state geometriska medelvärdena för Cmax och AUC 6,47 mikrogram/ml respektive 63,6 mikrogram × timmar/ml.
Effekt av föda
Vid doser på 400 mg och lägre, var effekten av en måltid med hög fetthalt på exponeringen för sparsentan, inte kliniskt relevant. Sparsentan kan tas med eller utan mat.
Distribution
Baserat på populationsfarmakokinetisk analys är den skenbara distributionsvolymen vid steady state 61,4 l.
Icke-kliniska data uppvisar inga särskilda risker för människor baserat på gängse studier avseende säkerhetsfarmakologi, toxicitet vid upprepad dos, genotoxicitet, carcinogen potential, reproduktionstoxicitet och effekter på utveckling.
Biverkningar som inte observerats i kliniska studier, men som setts hos djur vid exponeringsnivåer som liknar kliniska exponeringsnivåer, med möjlig relevans för klinisk användning var följande:
I embryofetala utvecklingsstudier på råtta och kanin sågs utvecklingstoxicitet i båda arterna. Hos råttor observerades dosberoende teratogena effekter i form av kraniofaciala missbildningar, skelettavvikelser, ökad embryofetal dödlighet och minskad fostervikt vid alla testade doser av sparsentan vid exponering 8‑faldigt och 13-faldigt över AUC för 800 mg/dag och 400 mg/dag hos människan. Hos kaniner fanns inga fostermissbildningar eller effekter på embryofetal livskraft men en ökning av skelettvariationer (övertaliga cervikala revben) inträffade vid en exponering på cirka 0,10 och 0,2 gånger AUC hos människa vid 800 mg/dag och 400 mg/dag.
I den pre- och postnatala utvecklingsstudien på råtta sågs toxiciteten hos modern inklusive dödsfall vara ~8‑faldig och 13-faldig och maternell toxicitet vara ~2‑faldig och 3-faldig AUC hos människor vid 800 mg/dag och 400 mg/dag. En ökning av valpdödlighet och minskad tillväxt förekom vid ~8‑faldig och 13‑faldig, och minskad tillväxt vid ~2‑faldig och 3‑faldig AUC hos människa vid 800 mg/dag och 400 mg/dag.
Studier på unga djur
Studier på unga råttor visade att det inte förekom några allmänna toxikologiska biverkningar vid upp till 10 mg/kg/dag och ingen reproduktionstoxicitet hos hanar och honor vid upp till 60 mg/kg/dag när doseringen inleddes på postnatal dag (PND) 14 (motsvarande 1 år gamla barn). Vaskulär toxicitet inträffade vid doser ≥ 3 mg/kg/dag när doseringen inleddes med PND 7 (motsvarande nyfödda spädbarn).
Kvalitativ och kvantitativ sammansättning
Filspari 200 mg filmdragerade tabletter
En tablett innehåller 200 mg sparsentan.
Hjälpämne med känd effekt
En tablett innehåller 42 mg laktos.
Filspari 400 mg filmdragerade tabletter
En tablett innehåller 400 mg sparsentan.
Hjälpämne med känd effekt
En tablett innehåller 84 mg laktos.
Förteckning över hjälpämnen
Tablettkärna
Ej relevant.
Hållbarhet
4 år.
Särskilda förvaringsanvisningar
Inga särskilda förvaringsanvisningar.
Särskilda anvisningar för destruktion
Ej använt läkemedel och avfall ska kasseras enligt gällande anvisningar.
Filmdragerad tablett
Filspari 200 mg filmdragerade tabletter
Vit eller benvit, ovalformad, filmdragerad tablett präglad med ”105” på ena sidan och slät på andra sidan. Tabletternas storlek är cirka 13 mm × 7 mm.
Filspari 400 mg filmdragerade tabletter
Vit eller benvit, ovalformad, filmdragerad tablett präglad med ”021” på ena sidan och slät på andra sidan. Tabletternas storlek är cirka 18 mm × 8 mm.
Äldre
Ingen dosjustering rekommenderas till äldre patienter (se avsnitt Farmakokinetik). Hos äldre patienter ska sparsentanbehandling påbörjas med en dos på 200 mg en gång dagligen i 14 dagar. Ökningen till en underhållsdos på 400 mg en gång dagligen bör utföras med försiktighet beroende på tolerabilitet (se avsnitt Varningar och försiktighet).
Nedsatt leverfunktion
Baserat på farmakokinetiska data krävs ingen dosjustering hos patienter med lindrigt eller måttligt nedsatt leverfunktion (Child-Pugh klass A eller B; se avsnitt Farmakokinetik).
Det finns begränsad klinisk erfarenhet av måttligt nedsatt leverfunktion. Sparsentan bör därför användas med försiktighet hos dessa patienter (se avsnitt Varningar och försiktighet).
Sparsentan har inte studerats hos patienter med svårt nedsatt leverfunktion (Child-Pugh klass C) och användning hos dessa patienter rekommenderas därför inte.
Det finns begränsad klinisk erfarenhet av aspartataminotransferas (ASAT)/alaninaminotransferas (ALAT)-värden högre än två gånger den övre normalvärdesgränsen (ULN). Sparsentan ska därför inte initieras hos patienter med ASAT/ALAT > 2 × ULN (se avsnitt Varningar och försiktighet).
Nedsatt njurfunktion
Ingen dosjustering krävs för patienter med lindrig (kronisk njursjukdom [CKD], stadium 2, uppskattad glomerulär filtrationshastighet [eGFR] 60-89 ml/min/1,73 m2) eller måttlig (CKD stadierna 3a och 3b; eGFR 30-59 ml/min/1,73 m2) njursjukdom. Baserat på farmakokinetiska data rekommenderas ingen dosjustering för patienter med svår njursjukdom (CKD stadium 4, eGFR < 30 ml/min/1,73 m2) (se avsnitt Farmakokinetik). Då det finns begränsad klinisk erfarenhet hos patienter med svår njursjukdom rekommenderas inte sparsentan för dessa patienter (se avsnitt Varningar och försiktighet).
Sparsentan har inte studerats hos njurtransplanterade patienter, därför ska sparsentan användas med försiktighet hos dessa patienter.
Sparsentan har inte studerats hos patienter som undergår dialys. Initiering av sparsentan rekommenderas inte för dessa patienter.
Pediatrisk population
Säkerhet och effekt för Filspari hos barn under 18 år med IgAN har ännu inte fastställts. Inga data finns tillgängliga.
Administreringssätt
Oral användning.
Det rekommenderas att tabletterna sväljs hela med vatten för att undvika bitter smak. Sparsentan kan tas med eller utan mat.
En övergående ökning av serumkreatinin har associerats med RAAS-hämmare, inklusive sparsentan. En övergående ökning av serumkreatinin kan förekomma, särskilt då behandlingen med sparsentan insätts (se avsnitt Biverkningar). Regelbunden monitorering av serumkreatinin- och serumkaliumnivåerna bör utföras hos patienter i riskzonen. Sparsentan bör användas med försiktighet hos patienter med bilateral njurartärstenos.
Då det finns begränsad klinisk erfarenhet hos patienter med eGFR < 30 ml/min/1,73 m2, rekommenderas inte sparsentan för dessa patienter (se avsnitt Dosering).
Vätskeretention
Vätskeretention har associerats med läkemedel som är antagonister till endotelin A-receptorn(ETAR), inklusive sparsentan. Vätskeretention kan förekomma under behandling med sparsentan (se avsnitt Biverkningar). Om vätskeretention utvecklas under behandling med sparsentan rekommenderas behandling med diuretika, eller ökad dos av existerande diuretika, innan dosen sparsentan ändras. Behandling med diuretika bör övervägas hos patienter med tecken på vätskeretention innan behandling med sparsentan insätts.
Sparsentan har inte studerats hos patienter med hjärtsvikt. Sparsentan bör därför användas med försiktighet hos patienter med hjärtsvikt.
Leverfunktion
Förhöjda ALAT- eller ASAT-värden på minst 3 × ULN har observerats med sparsentan (se avsnitt Biverkningar). Inga samtidiga förhöjda bilirubinvärden på > 2 × ULN eller fall av leversvikt har observerats hos patienter som behandlats med sparsentan. För att minska risken för potentiell allvarlig hepatotoxicitet bör därför serumaminotransferasnivåerna och totalt bilirubin övervakas före insättning av behandling och sedan bör monitorering ske var tredje månad.
Patienterna bör övervakas för tecken på leverskada. Om patienterna utvecklar fortgående, oförklarlig, kliniskt signifikanta förhöjda ALAT- och/eller ASAT-värden eller om förhöjningarna åtföljs av en ökning av bilirubin > 2 × ULN, eller om förhöjda ALAT- och/eller ASAT-värden åtföljs av tecken eller symtom på leverskada (t.ex. gulsot) bör behandlingen med sparsentan utsättas.
Återinsättning av sparsentan ska endast övervägas när enzymnivåerna och bilirubin återgår till värden före behandlingen och endast för patienter utan kliniska symtom på hepatotoxicitet. Undvik insättning av sparsentan till patienter med förhöjda aminotransferasvärden (> 2 × ULN) före insättning av läkemedlet (se avsnitt Dosering).
Det finns begränsad klinisk erfarenhet av måttligt nedsatt leverfunktion. Sparsentan bör därför användas med försiktighet till dessa patienter (se avsnitt Dosering).
Dubbel blockad av Renin Angiotensin Aldosterone System (RAAS)
Det finns belägg för att samtidig användning av angiotensin-konverterande enzym (ACE)-hämmare, angiotensin II-receptorblockerare eller aliskiren ökar risken för hypotoni, hyperkalemi och nedsatt njurfunktion (inklusive akut njursvikt). Dubbel blockad av RAAS genom kombinerad användning av ACE-hämmare, angiotensin II-receptorblockerare (delvis en mekanism hos sparsentan) eller reninhämmare rekommenderas därför inte (se avsnitt Interaktioner och Farmakodynamik). Om dubbel RAAS-blockad anses absolut nödvändig bör detta endast ske under övervakning av en specialist och med frekvent monitorering av njurfunktion, elektrolyter och blodtryck.
Hyperkalemi
Behandling ska inte sättas in hos patienter med en serumkaliumnivå på > 5,5 mmol/l. Precis som med andra läkemedel som påverkar RAAS-systemet kan hyperkalemi förekomma under behandling med sparsentan, särskilt vid nedsatt njurfunktion och/eller hjärtsvikt. Noggrann monitorering av serumkalium hos patienter i riskzonen rekommenderas. Vid hyperkalemi rekommenderas justering av samtidiga läkemedel, eller tillfällig nedtitrering eller utsättning av sparsentan. Om serumkaliumnivån är > 5,5 mmol/l ska utsättning övervägas.
Laktos
Patienter med något av följande sällsynta ärftliga tillstånd bör inte använda detta läkemedel: galaktosintolerans, total laktasbrist eller glukos‑galaktosmalabsorption.
Natrium
Detta läkemedel innehåller mindre än 1 mmol (23 mg) natrium per tablett, d.v.s. är nästintill ”natriumfritt”.
Eftersom hyperkalemi kan uppkomma hos patienter som behandlas med läkemedel som motverkar angiotensin II-receptor typ 1 (AT1R) (se avsnitt Biverkningar), kan samtidig användning av kaliumsupplement, kaliumsparande diuretika (som spironolakton, eplerenon, triamteren eller amilorid) eller kaliumhaltiga saltersättningsmedel öka risken för hyperkalemi och rekommenderas inte.
Effekt av andra läkemedel på sparsentan
Sparsentan metaboliseras primärt av P450 (CYP)3A.
Starka och måttliga CYP3A-hämmare
Samtidig administrering av sparsentan med itrakonazol (stark CYP3A-hämmare) ökade sparsentans maximala plasmakoncentration (Cmax) 1,3-faldigt och arean under kurvan från noll extrapolerat till oändligt (AUC0‑inf ) 2,7-faldigt. Samtidig administrering av en stark CYP3A-hämmare som boceprevir, telaprevir, klaritromycin, indinavir, lopinavir/ritonavir, itrakonazol, nefazodon, ritonavir, grapefrukt och grapefruktjuice rekommenderas inte. Om samtidig administrering av en potent CYP3A-hämmare inte kan undvikas, bör det övervägas att avbryta behandlingen med sparsentan. Behandling med sparsentan kan återupptas när den starka CYP3A-hämmaren har satts ut.
Samtidig administrering av sparsentan med ciklosporin (måttlig hämmare av CYP3A) ökade sparsentan Cmax 1,4-faldigt och AUC0‑inf 1,7-faldigt. Samtidig administrering av en måttlig CYP3A-hämmare som konivaptan, flukonazol och nelfinavir bör ske med försiktighet. När en måttlig CYP3A-hämmare används bör patienten övervakas för hypotoni, hyperkalemi, ödem och/eller njurfunktion.
CYP3A-inducerare
Sparsentan är ett CYP3A-substrat. Samtidig administrering av sparsentan med en måttlig CYP3A-inducerare (efavirenz) resulterade i en minskning av sparsentans AUC0-inf och Cmax med 62 % respektive 38 %. På grund av risken för minskad terapeutisk effekt av sparsentan rekommenderas inte samtidig administrering med starka CYP3A-hämmare (t.ex. rifampicin, karbamazepin, fenytoin och johannesört). Samtidig administrering av en måttlig CYP3A-inducerare (t.ex. efavirenz, dexametason och fenobarbital) bör ske med försiktighet. När kortikosteroidbehandling är nödvändig rekommenderas läkemedel utan känd eller med minimal CYP3A-inducerande effekt in vivo (t.ex. budesonid, prednison, prednisolon, metylprednisolon).
Magsyrahämmande medel
Baserat på populationsfarmakokinetisk analys bedöms samtidig användning av syrahämmande läkemedel under behandling med sparsentan inte ha någon statistiskt signifikant påverkan på farmakokinetisk variabilitet för sparsentan. Magsyra-pH-modifierande läkemedel som antacida, protonpumpshämmare och histamin 2-receptorantagonister kan användas samtidigt med sparsentan.
Effekten av sparsentan på andra läkemedel
CYP-enzymer
Sparsentan både hämmade och inducerade CYP3A4, och inducerade CYP2B6, CYP2C9 och CYP2C19, in vivo.
Sparsentan är både en måttlig hämmare och en inducerare av CYP3A4. Samtidig administrering in vivo av en engångsdos på 800 mg sparsentan med CYP3A4-substrat (midazolam) ökade midazolams Cmax 1,4-faldigt och AUC0-inf 1,6-faldigt. Samtidig administrering av flera doser på 800 mg sparsentan med CYP3A4-substrat (midazolam) hade ingen effekt på den systematiska exponeringen av midazolam. Försiktighet bör iakttas när behandling med sparsentan initieras tillsammans med läkemedel som metaboliseras av CYP3A4 (t.ex. alfentanil, konivaptan, indinavir, simvastatin). Om samtidig administrering inte kan undvikas, särskilt med CYP3A4-substrater med ett smalt terapeutiskt index (t.ex. cyklosporin, fentanyl och takrolimus), bör patienterna övervakas för biverkningar och dosen av dessa substrat kan behöva justeras.
Sparsentan är en svag inducerare av CYP2B6. Samtidig administrering in vivo av flera doser på 800 mg sparsentan med CYP2B6-substratet (bupropion) minskade bupropions Cmax med 32 % och AUC0-inf med 33 %. Ingen dosjustering behövs för läkemedel som huvudsakligen metaboliseras av CYP2B6. Försiktighet rekommenderas dock när sparsentan administreras samtidigt med CYP2B6-substrat med ett smalt terapeutiskt index (t.ex. efavirenz), då sparsentan kan sänka deras plasmanivåer.
Sparsentan är en svag inducerare av CYP2C9. Samtidig administrering in vivo av flera doser på 800 mg sparsentan med CYP2C9-substrat (tolbutamid) minskade tolbutamids Cmax med 9 % och AUC0-infmed 25 %. Ingen dosjustering behövs för läkemedel som huvudsakligen metaboliseras av CYP2C9. Försiktighet rekommenderas dock när sparsentan administreras samtidigt med CYP2C9-substrat med smalt terapeutiskt index (t.ex. kumarin, warfarin, fenytoin), då sparsentan kan sänka deras plasmanivåer.
Sparsentan är en måttlig inducerare av CYP2C19. Samtidig administrering in vivo av flera doser på 800 mg sparsentan med CYP2C19-substratet (omeprazol) minskade omeprazols Cmax med 49 % och AUC0-inf med 60 %, vilket tyder på att sparsentan är en måttlig inducerare av CYP2C19. CYP2C19-substrat ska användas med försiktighet då sparsentan kan sänka deras plasmanivåer och potentiellt leda till subterapeutiska nivåer. Om samtidig administrering av sparsentan är nödvändig, särskilt med läkemedel med smalt terapeutiskt index (t.ex. S-mefenytoin, diazepam), kan det vara nödvändigt att justera dosen för dessa substrat.
Transportörer
Sparsentan är en svag hämmare av P-gp. Samtidig administrering in vivo av flera doser på 800 mg sparsentan ökade P-gp substratets (digoxin) Cmax 1,6-faldigt och AUC0-inf 1,2-faldigt. Sparsentan kan öka plasmanivåerna av P-gp substrat. Patienterna bör övervakas för biverkningar när sparsentan används med läkemedel med smalt terapeutiskt index (t.ex. dabigatran) och det kan vara nödvändigt att justera dosen för dessa substrat.
Samtidig administrering av flera doser på 800 mg sparsentan ökade rosuvastatins (ett BCRP-substrat) Cmax 1,6-faldigt och minskade AUC0-inf med 5 %, vilket tyder på att sparsentan inte påverkar BCRP-substrats biotillgänglighet. Komplexiteten i BCRP-reglerade transportprocesser i flera olika vävnader kan ha lett till den observerade neutrala nettoeffekten på AUC.
Administrering av sparsentan hade ingen effekt på nivåerna av kreatinin i serum (ett substrat av OAT2, OCT2, MATE1 och MATE2K), 6-beta-hydroxikortisol (ett substrat av OAT3) eller gallsyra i serum (ett substrat av BSEP).
Samtidig administrering av 800 mg sparsentan minskade pitavastatins (ett substrat av OATP1B1 och OATP1B3) Cmax med 19 % och AUC0-inf med 30 %, vilket tyder på att sparsentan inte är en hämmare av OATP1B1 och OATP1B3.
Ingen dosjustering behövs när sparsentan kombineras med BCRP, OAT2, OCT2, MATE1, MATE2K, OAT3, BSEP, OATP1B1 och OATP1B3-substrat.
I PROTECT rapporterades anemi eller minskat hemoglobin som en biverkning hos 2 (1 %) patienter som behandlats med sparsentan jämfört med 4 (2 %) irbesartanbehandlade patienter. Totalt rapporterades hemoglobin ≤ 9 g/dl när som helst efter behandlingen hos 7 (3 %) patienter i sparsentan-behandlingsarmen och hos 4 (2 %) patienter i irbesartan-behandlingsarmen. Denna minskning tros delvis bero på hemodilution. Det förekom inga behandlingsavbrott på grund av anemi.
Leverrelaterade biverkningar
I PROTECT hade totalt 6 (3 %) patienter i sparsentangruppen och 4 (2 %) patienter i irbesartangruppen förhöjda levertransaminaser som översteg 3 gånger den övre normalvärdesgränsen utan förhöjning av totalt bilirubin, efter att de fått studieläkemedlet under 168 respektive 407 dagar. Alla händelser var icke-allvarliga och asymtomatiska, majoriteten var milda eller måttliga i intensitet, alla var reversibla och andra orsaker har identifierats som potentiellt kausala eller potentiellt bidragande till transaminashöjningar. Inga kliniska symtom på leverskada observerades. I sparsentangruppen utsattes studieläkemedlet hos 3 patienter efter positiv rechallenge, medan sparsentanbehandlingen återupptogs hos 2 patienter utan någon upprepad förhöjning av leverenzymer.
Akut njurskada
I PROTECT rapporterades akuta skador i form av njurbiverkningar hos 4 (2 %) patienter i sparsentangruppen och hos 3 (1 %) patienter i irbesartangruppen. Fyra patienter (2 %) som fick sparsentan rapporterade allvarlig akut njursvikt, som var reversibel för alla. Ingen av patienterna med allvarlig akut njursvikt behövde dialys. I sparsentangruppen utsattes studieläkemedlet hos 3 patienter.
Hyperkalemi
I PROTECT rapporterades hyperkalemi som en biverkning hos 20 (10 %) patienter som behandlades med sparsentan jämfört med 16 (8 %) irbesartanbehandlade patienter. Dessa biverkningar bedömdes vara icke-allvarliga hos patienterna som behandlats med sparsentan, majoriteten var milda till måttliga i intensitet och alla var reversibla. Det förekom inga avbrott av behandling på grund av hyperkalemi. Risken för hyperkalemi ökar för patienter med lägre eGFR.
Hypotoni
Hypotoni rapporterades under behandling med sparsentan. I PROTECT rapporterades ett SBP <= 100 mm Hg eller en minskning av SBP över 30 mmHg hos 12 % respektive 10 % av patienterna på sparsentan, jämfört med 11 % och 10 % på irbesartan. Hos patienter som behandlats med sparsentan var endast 15 patienter (7,4 %) ≥ 65 år. Hypotoni rapporterades hos 20 (11 %) patienter som var < 65 år och hos 6 (40 %) patienter som var 65 till 74 år.
Rapportering av misstänkta biverkningar
Effekten och säkerheten av sparsentan, ett läkemedel som inte är immunsuppressivt har utvärderats i PROTECT hos patienter med IgAN.
PROTECT är en randomiserad dubbelblind (110 veckors), aktivkontrollerad, multicenter, global fas 3-studie på patienter med IgAN. Studien inkluderade patienter i åldern ≥ 18 år inklusive 15 (7,4 %) sparsentanbehandlade patienter i åldern ≥ 65 år med eGFR ≥ 30 ml/min/1,73 m2 och total proteinutsöndring i urin ≥ 1,0 g/dag. Före inskrivningen fick patienterna den maximalt tolererade dosen av en ACE-hämmare och/eller en ARB i minst 3 månader. ACE-hämmare och/eller ARB-behandlingen avbröts innan sparsentan påbörjades. Patienter med ett kaliumvärde vid baslinjen som överskred 5,5 mmol/l uteslöts.
Totalt 404 patienter randomiserades och fick sparsentan (n = 202) eller irbesartan (n = 202). Behandlingen inleddes med sparsentan 200 mg en gång dagligen eller irbesartan 150 mg en gång dagligen. Efter 14 dagar skulle dosen titreras, som tolererad, till den rekommenderade dosen sparsentan 400 mg en gång dagligen eller irbesartan 300 mg en gång dagligen. Dostolerans definierades som systoliskt blodtryck > 100 mmHg och diastoliskt blodtryck > 60 mmHg efter 2 veckor och inga biverkningar (t.ex. förvärrat ödem) eller laboratorieresultat (t.ex., serum-kalium > 5,5 mEq/l [5,5 mmol/l]). Hämmare av RAAS eller endotelinsystemet var förbjudna under prövningen. Andra klasser av antihypertensiva medel tilläts efter behov för att uppnå målblodtrycket. Behandling med immunsuppressiva medel var tillåten under prövningen enligt prövarens bedömning.
Baslinjevärdena för eGFR och proteinuri var jämförbara mellan behandlingsgrupperna. Den totala populationen hade ett genomsnittligt (SD) eGFR på 57 (24) ml/min/1,73 m2 och ett genomsnittligt urin protein/kreatinin (UP/C)-kvot på 1,24 g/g (kvartilavståndet: 0,83, 1,77). Medelåldern var 46 år (intervall 18–76 år), 70 % var män, 67 % vita, 28 % asiatiska, 1 % svarta eller afroamerikaner och 3 % annat.
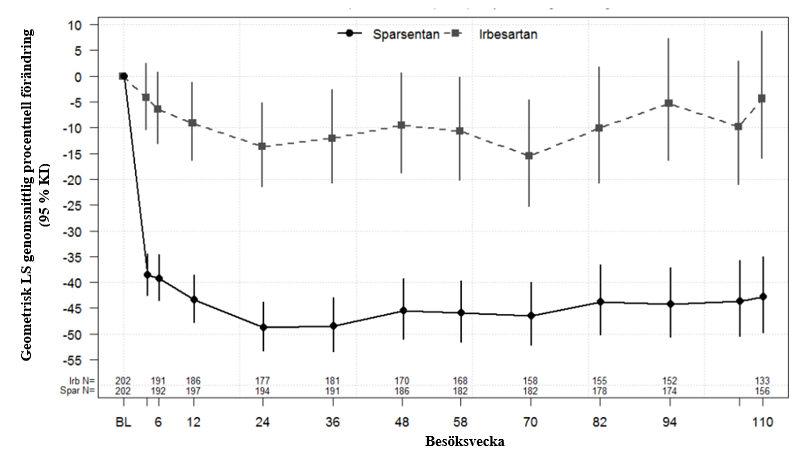
Den primära analysen av proteinuri utfördes efter 36 veckor efter randomisering av cirka 280 patienter, för att fastställa om behandlingseffekten av det primära effektmåttet, förändringen från baslinjen i UP/C vid vecka 36, är statistiskt signifikant. Den kliniska studien uppnådde sitt primära effektmått, vilket var förändring från baslinjen i UP/C-kvoten vid vecka 36. Geometriskt medelvärde för UP/C vid vecka 36 var 0,62 g/g i sparsentanarmen jämfört med 1,07 g/g i irbesartanarmen. De geometriska minsta kvadraternas genomsnittliga procentuella förändring i UP/C från baslinjen vecka 36 var -49,8 % (95 % konfidensintervall [KI]: -54,98, -43,95) i sparsentanarmen jämfört med -15,1 % (95 % KI: ‑23,72, ‑5,39) i irbesartanarmen (p < 0,0001). Vid den slutliga analysen visade sparsentan en snabb och varaktig antiproteinurisk behandlingseffekt under 2 år, med ett geometriskt medelvärde för UP/C vid vecka 110 på 0,64 g/g i sparsentanarmen jämfört med 1,09 g/g i irbesartanarmen, vilket motsvarar en genomsnittlig minskning på 42,8 % från baslinjen (95 %KI: -49,7, -34,97) jämfört med endast 4 % för irbesartan (95 % KI: ‑15,84, 8,70). Kliniskt meningsfull förbättring i minskningen av proteinuri observerades konsekvent med sparsentan så tidigt som vid 4 veckor och bibehölls till och med vecka 110 (Figur 1).
Figur 1: Procentuell förändring från baslinjevärdet av kvoten mellan urinprotein och kreatinin per besök (PROTECT)
Fotnot: De justerade geometriska minsta kvadratens genomsnittliga kvot för UP/C relativt till baslinjen baseras på longitudinell upprepad mätningsmodell stratifierad genom screening av eGFR och proteinuri, rapporterat som procentuell förändring tillsammans med respektive 95 % KI. Analysen inkluderar UP/C data under den dubbelblinda perioden från alla patienter som var randomiserade och fick minst 1 dos studieläkemedel. Baslinjen definierades som den sista observationen som icke-saknas före och inklusive start av dosering.
Förkortningar: KI = konfidensintervall; eGFR = uppskattad glomerulär filtreringshastighet (estimated glomerular filtration rate); LS = minsta kvadrat (least squares); UP/C = urinprotein/kreatinin-kvot.
Beräknad GFR
Vid tiden för bekräftande analys var förbättringen av 2-års eGFR kronisk lutning (från 6 veckor och framåt) 1,1 ml/min/1,73 m 2 per år med sparsentan jämfört med irbesartan (95 % KI: = 0,07, 2,12; p = 0,037) och motsvarande förbättring i 2-års eGFR total lutning (från baslinjen och framåt) var 1,0 ml/min/1,73 m2per år (95 % KI: ‑0,03, 1,94; p = 0,058). Den absoluta förändringen från baslinjen i eGFR vid 2 år var ‑5,8 ml/min/1,73 m2 (95 % KI: ‑7,38, -4,24) för sparsentan jämfört med ‑9,5 ml/min/1,73 m2 (95 % KI: -11,17, ‑7,89) för irbesartan.
För att åtgärda en obalans i interkurrenta händelser mellan sparsentan- och irbesartangrupperna utfördes en post hoc-analys som inkluderade alla observerade data efter behandlingsavbrott eller insättning av räddande immunsuppressiv behandling. Förbättringen i 2-års eGFR kronisk lutning (från 6 veckor och framåt) var 1,3 ml/min/1,73 m2 per år till fördel för sparsentan jämfört med irbesartan (95 % KI: 0,33, 2,31; p = 0,0087), och motsvarande förbättring i 2-års eGFR total lutning (från baslinjen och framåt) var 1,2 ml/min/1,73 m2 per år (95 % KI: 0,21, 2,13; p = 0,0168). Den absoluta förändringen från baslinjen i eGFR vid 2 år var ‑6,1 ml/min/1,73 m2 (95 % KI: ‑7,65, ‑4,54) för sparsentan jämfört med -9,9 ml/min/1,73 m2 (95 % KI: ‑11,54, ‑8,31) för irbesartan.
Ytterligare information
Två stora randomiserade, kontrollerade studier (ONTARGET (ONgoing Telmisartan Alone and in combination with Ramipril Global Endpoint Trial) och VA NEPHRON-D (The Veterans Affairs Nephropathy in Diabetes)) har undersökt kombinationsbehandling av en ACE-hämmare med en angiotensin II-receptorblockerare. ONTARGET var en studie som genomfördes på patienter med en historia av kardiovaskulära eller cerebrovaskulära sjukdomar eller typ 2-diabetes mellitus åtföljd av tecken på skador på organen. VA NEPHRON-D var en studie på patienter med typ 2-diabetes mellitus och diabetisk nefropati. Dessa studier har inte visat någon signifikant fördelaktig effekt på njur- och/eller kardiovaskulära utfall och dödlighet, medan en ökad risk för hyperkalemi, akut njurskada och/eller hypotoni jämfört med monoterapi observerades. Med tanke på deras liknande farmakodynamiska egenskaper är dessa resultat även relevanta för andra ACE-hämmare och angiotensin II-receptorblockerare. ACE-hämmare och angiotensin II-receptorblockerare bör därför inte användas som kombinationsbehandling till patienter med diabetisk nefropati. ALTITUDE (Aliskiren Trial in Type 2 Diabetes Using Cardiovascular and Renal Disease Endpoints) var en studie utformad för att testa fördelen med att lägga till aliskiren till en standardbehandling av en ACE-hämmare eller en angiotensin II-receptorblockerare hos patienter med typ 2-diabetes mellitus och kronisk njursjukdom, hjärt-kärlsjukdom eller båda. Studien avslutades tidigt på grund av en ökad risk för negativa biverkningar. Kardiovaskulär död och stroke var båda vanligare i aliskirengruppen jämfört med placebogruppen, samt biverkningar och allvarliga biverkningar av intresse (hyperkalemi, hypotoni och njurdysfunktion) rapporterades oftare i aliskirengruppen än i placebogruppen.
Pediatrisk population
Europeiska läkemedelsmyndigheten har senarelagt kravet att skicka in studieresultat för Filspari för en eller flera grupper av den pediatriska populationen för behandling av immunglobulin A-nefropati (information om pediatrisk användning finns i avsnitt Dosering).
Metabolism
Sparsentan metaboliseras primärt av CYP3A4, men metaboliseras även till mindre grad av CYP2C8, 2C9 och 3A5. Modersubstansen dominerar i human plasma och utgör cirka 90 % av den totala radioaktiviteten i omlopp. En mindre hydroxylerad metabolit var den enda metaboliten i plasma, vilken stod för > 1 % av den totala radioaktiviteten (cirka 3 %). Sparsentans huvudsakliga metabolismväg var oxidering och dealkylering och 9 metaboliter identifierades i human feces, plasma och urin.
Eliminering
Sparsentans clearance är tidsberoende. Baserat på populationsfarmakokinetisk analys är skenbart clearance 3,88 l/timme och ökar till 5,11 l/timme vid steady state.
Halveringstiden för sparsentan vid steady state uppskattas till 9,6 timmar.
Efter en enskild radiomärkt dos på 400 mg återfanns 82 % av radioaktiviteten inom en 10 dagars insamlingsperiod: 80 % via feces med 9 % som oförändrad substans och 2 % via urin med en negligerbar mängd som oförändrad substans.
Linjäritet/icke-linjäritet
Sparsentans Cmax och AUC ökar mindre än dosproportionellt efter administrering av enskilda doser på 200 mg till 1600 mg. Sparsentan visade tidsberoende farmakokinetik utan någon Cmax-ackumulering och minskat AUC vid steady state efter en dos på 400 eller 800 mg dagligen.
Särskilda populationer
Äldre
Populationsfarmakokinetisk analys fann ingen signifikant effekt av ålder på plasmaexponering av sparsentan. Ingen dosjustering är nödvändig för äldre patienter (se avsnitt Dosering). Sparsentan har inte studerats på patienter > 75 år.
Nedsatt leverfunktion
I en särskild studie av nedsatt leverfunktion var systemisk exponering efter en enstaka dos på 400 mg sparsentan liknande hos patienter med lindrigt eller måttligt nedsatt leverfunktion (Child-Pugh klass A eller Child-Pugh B) jämfört med patienter med normal leverfunktion. Ingen dosjustering är nödvändig för patienter med lindrigt eller måttligt nedsatt leverfunktion. Sparsentan bör initieras med försiktighet hos patienter med måttligt nedsatt leverfunktion (se avsnitt Dosering och Varningar och försiktighet)
Det finns inga tillgängliga data för patienter med svårt nedsatt leverfunktion och sparsentan rekommenderas därför inte för dessa patienter (Child-Pugh klass C) (se avsnitt Dosering).
Nedsatt njurfunktion
Baserat på populationsfarmakokinetisk analys av patienter med njursjukdom med lindrig (kreatinin-clearance 60-89 ml/min), måttlig (kreatinin-clearance 30-59 ml/min) och svår (kreatinin-clearance 15-29 ml/min) njursjukdom finns det ingen kliniskt betydande effekt av nedsatt njurfunktion på farmakokinetiken jämfört med normal njurfunktion (kreatinin-clearance ≥ 90 ml/min). Inga data finns tillgängliga från patienter med njursjukdom i slutstadiet (kreatinin-clearance < 15 ml/min).
Baserat på begränsade tillgängliga data kan ingen dosjustering rekommenderas för patienter med svår njursjukdom (eGFR < 30 ml/min/1,73 m2, se avsnitt Dosering). Sparsentan har inte studerats hos patienter med svår njursjukdom eller som genomgår dialys, därför rekommenderas inte sparsentan för dessa patienter. Sparsentan har inte studerats hos njurtransplanterade patienter, därför ska sparsentan användas med försiktighet i denna patientpopulation (se avsnitt Dosering).
Andra särskilda populationer
Populationsfarmakokinetisk analys av sparsentan indikerar att ålder, kön eller ras inte har någon kliniskt betydelsefull effekt.
Miljöriskbedömning
Slutsatser från studier av sparsentan visar att sparsentan inte anses vara långlivad, bioackumulerande och toxisk (PBT) eller mycket långlivad och mycket bioackumulerande (vPvB). Det finns ingen förväntad risk för reningsverk, ytvatten, grundvatten, sediment eller terrestra miljöer baserat på föreskriven användning av sparsentan (se avsnitt Hållbarhet, förvaring och hantering).
Laktos
Natriumstärkelseglykolat (typ A)
Kolloidal vattenfri kiseldioxid
Magnesiumstearat
Filmdragering
Poly(vinylalkohol)
Makrogol
Talk
Titandioxid (E171)
Fass-texten är läkemedelsinformation som är särskilt framtagen för förskrivare och vårdpersonal. Texten är baserad på produktresumén som är godkänd av Läkemedelsverket eller motsvarande myndighet på EU-nivå.