Dimethyl fumarate STADA 120 mg hårda enterokapslar
Dimethyl fumarate STADA 240 mg hårda enterokapslar
Dimethyl fumarate Stada 120 mg hårda enterokapslar
Varje enterokapsel, hård, innehåller 120 mg dimetylfumarat.
Dimethyl fumarate Stada 240 mg hårda enterokapslar
Varje enterokapsel, hård, innehåller 240 mg dimetylfumarat.
För fullständig förteckning över hjälpämnen, se avsnitt 6.1.
Hård enterokapsel
Dimethyl fumarate Stada 120 mg hårda enterokapslar
Hård enterokapsel (21 mm) med grön överdel och vit underdel, med "DMF 120" tryckt i svart på underdelen.
Dimethyl fumarate Stada 240 mg hårda enterokapslar
Hård enterokapsel (23 mm) med grön överdel och underdel, med "DMF 240" tryckt i svart på underdelen.
STADA Arzneimittel AG
Stadastrasse 2-18
61118 Bad Vilbel
Tyskland
120 mg: 62873
240 mg: 62874
Första godkännandet: 2023-02-28
Förnyat godkännande: 2023-02-28
2023-02-28
Särskilda populationer
Äldre
Kliniska studier av dimetylfumarat hade en begränsad exponering av patienter som var 55 år och äldre, och innefattade inte ett tillräckligt antal patienter som var 65 år och äldre för att man skulle kunna avgöra om äldre patienter svarar på ett annorlunda sätt än yngre patienter (se avsnitt 5.2). Med utgångspunkt från verkningsmekanismen för den aktiva substansen finns det inga teoretiska skäl till att det skulle behövas några dosjusteringar till äldre.
Nedsatt njur- och leverfunktion
Dimetylfumarat har inte studerats på patienter med nedsatt njur- eller leverfunktion. Med utgångspunkt från kliniska farmakologiska studier behövs det inga dosjusteringar (se avsnitt 5.2). Försiktighet ska iakttas vid behandling av patienter med svårt nedsatt njur- eller leverfunktion (se avsnitt 4.4).
Pediatrisk population
Doseringen är densamma för vuxna och pediatriska patienter från 13 års ålder.
Tillgänglig data finns beskrivna i avsnitt 4.4, 4.8, 5.1 och 5.2.
Det finns begränsade data för barn i åldern 10-12 år.
Säkerhet och effekt för dimetylfumarat hos barn under 10 år har ännu inte fastställts.
Administreringssätt
För oral användning.
Kapseln ska sväljas hel. Kapseln eller dess innehåll får inte krossas, delas, lösas upp, sugas på eller tuggas eftersom enterobeläggningen på mikrotabletterna förhindrar irriterande effekter på tarmen.
Överkänslighet mot den aktiva substansen eller mot något hjälpämne som anges i avsnitt 6.1.
Misstänkt eller bekräftad progressiv multifokal leukoencefalopati (PML).
Blod/-laboratorietester
Förändringar vid laboratorietester av njurfunktion har setts i kliniska prövningar hos patienter som behandlats med dimetylfumarat (se avsnitt 4.8). De kliniska betydelserna av dessa förändringar är okända. Bedömning av njurfunktion (t.ex. kreatinin, ureakväve i blodet och urinanalys) rekommenderas innan behandling inleds, efter 3 och 6 månaders behandling, därefter var sjätte till tolfte månad och när det är kliniskt befogat.
Läkemedelsinducerad leverskada, inklusive förhöjt leverenzym (≥3 gånger ”upper limit of normal” ULN, övre normalgränsen) och förhöjning av totala bilirubinnivåer (≥2 gånger ULN) kan orsakas av behandling med dimetylfumarat. Tiden till debut kan vara direkt, flera veckor eller längre. Biverkningarna avklingade efter att behandlingen avbrutits. Bedömning av nivåerna av aminotransaminaser i serum (t.ex. alaninaminotransferas [ALAT], aspartataminotransferas [ASAT]) och totalt bilirubin rekommenderas före insättande av behandling och under behandling så som är kliniskt motiverat.
Patienter som behandlas med dimetylfumarat kan utveckla lymfopeni (se avsnitt 4.8). Innan behandling med dimetylfumarat inleds ska en aktuell differentialräkning, inklusive lymfocyter, utföras.
Om det visar sig att lymfocyttalet är lägre än det normala intervallet, bör en grundlig bedömning av möjliga orsaker göras innan behandling med detta läkemedel inleds. Dimetylfumarat har inte studerats på patienter med befintligt låga lymfocyttal och försiktighet måste därför iakttas när dessa patienter behandlas. Behandling med dimetylfumarat ska inte inledas hos patienter med svår lymfopeni (lymfocyttal <0,5 × 109/l).
Efter inledd behandling måste differentialräkningar, inklusive lymfocyter, utföras var tredje månad.
På grund av ökad risk för progressiv multifokal leukoencefalopati (PML) rekommenderas ökad vaksamhet hos patienter med lymfopeni som följer:
dimetylfumarat ska sättas ut hos patienter med långvarig svår lymfopeni (lymfocyttal <0,5 × 109/l) som pågår i mer än 6 månader.
hos patienter med konstant måttligt minskade absolutantal lymfocyter ≥0,5 × 109/l till <0,8 × 109/l under mer än 6 månader ska dimetylfumarat behandlingens nytta/risk omprövas.
hos patienter med lymfocyttal under den lägsta gränsen för normalvärde (LLN, lower limit of normal) såsom definierad enligt det lokala laboratoriets referensområde, rekommenderas regelbunden kontroll av absolutantal lymfocyter. Övriga faktorer som kan öka den individuella PML-risken ytterligare ska tas i beaktande (se avsnittet om PML nedan).
Lymfocyttalen ska följas upp fram till återhämtning (se avsnitt 5.1). Efter återhämtning och i frånvaro av andra behandlingsalternativ ska beslut om huruvida behandlingen efter behandlingsavbrott med dimetylfumarat ska återupptas eller inte baseras på klinisk bedömning.
Magnetresonansundersökning (MR)
Innan behandling med dimetylfumarat inleds, ska det finnas en MRT-undersökning utförd före behandlingsstarten (vanligtvis inom 3 månader) tillgänglig som referens. Behovet av ytterligare MRT-undersökningar bör beaktas i enlighet med nationella och lokala rekommendationer. MRT-undersökning kan betraktas som en del av den ökade vaksamheten när det gäller patienter med ökad risk för PML. Om det finns en klinisk misstanke om PML, bör MRT utföras omedelbart för diagnostiska syften.
Progressiv multifokal leukoencefalopati (PML)
PML har rapporterats hos patienter som behandlats med dimetylfumarat (se avsnitt 4.8). PML är en opportunistisk infektion som orsakas av John Cunningham-virus (JCV), vilken kan vara dödlig eller leda till svår funktionsnedsättning.
Fall av PML har förekommit i samband med dimetylfumarat och andra läkemedel som innehåller fumarater vid lymfopeni (lymfocyttal under LLN). Långvarig måttlig till svår lymfopeni förefaller öka risken för PML med dimetylfumarat, men risken kan dock inte uteslutas hos patienter med mild lymfopeni.
Ytterligare faktorer som kan bidra till en ökad risk för PML vid lymfopeni är:
dimetylfumarat-behandlingens varaktighet. Fall av PML har uppkommit efter ungefär 1 till 5 års behandling, även om det exakta förhållandet till behandlingens varaktighet är okänt.
signifikant minskat antal CD4+ T- och särskilt CD8+ T-celler, vilka har en avgörande roll för immunförsvaret (se avsnitt 4.8) och
tidigare immunhämmande eller immunmodulerande behandling (se nedan).
Läkare ska undersöka sina patienter för att avgöra om symtomen tyder på neurologisk dysfunktion och, om så är fallet, huruvida dessa symtom är typiska för MS eller eventuellt kan tyda på PML.
Vid första tecken eller symtom som föranleder misstanke om PML ska dimetylfumarat sättas ut och adekvata diagnostiska undersökningar, inklusive bestämning av JCV DNA i cerebrospinalvätskan (CSV) genom kvantitativ polymeraskedjereaktion (PCR) -metod, utföras. Symtomen på PML kan likna de vid MS-skov. Typiska symtom förknippade med PML varierar, utvecklas under dagar eller veckor och omfattar progressiv svaghet på en sida av kroppen eller klumpighet i extremiteterna, synrubbningar och förändringar i tänkande, minne och orienteringsförmåga som leder till förvirring och personlighetsförändringar. Läkare ska vara speciellt uppmärksamma på symtom som tyder på PML som patienten kanske inte märker. Patienten ska också uppmanas att informera sin partner eller vårdgivare om behandlingen eftersom de kan upptäcka symtom som patienten själv inte är medveten om.
PML kan endast uppkomma om det föreligger en JCV-infektion. Det bör tas i beaktande att påverkan av lymfopeni på noggrannheten i ett serum anti- JCV-antikroppstest inte har studerats hos patienter som behandlas med dimetylfumarat. Det ska också noteras att ett negativt anti- JCV-antikroppstest (vid förekomst av normala lymfocyttal) inte utesluter risken för en påföljande JCV-infektion.
Om en patient utvecklar PML ska dimetylfumarat sättas ut permanent.
Föregående behandling med immunsuppressivt eller immunmodulerande läkemedel
Inga studier har utförts för att utvärdera effekt och säkerhet för dimetylfumarat när patienter byter från andra sjukdomsmodifierande läkemedel till dimetylfumarat. Det är möjligt att tidigare immunsuppressiv behandling bidrar till utvecklingen av PML hos dimetylfumarat-behandlade patienter.
Det har förekommit fall av PML hos patienter som tidigare har behandlats med natalizumab för vilka PML är en etablerad risk. Läkare bör vara medvetna om att fall av PML, som uppträder som påföljd av nyligen utsatt natalizumab, kanske inte har lymfopeni.
De flesta bekräftade fallen av PML med dimetylfumarat uppträdde dessutom hos patienter med tidigare immunomodulerande behandling.
När patienter byter från ett annat sjukdomsmodifierande läkemedel till dimetylfumarat, bör halveringstiden och verkningsmekanismen för det andra läkemedlet beaktas för att undvika en additiv immuneffekt samtidigt som risken för reaktivering av MS-sjukdomen minskas. En differentialräkning rekommenderas innan dimetylfumarat sätts in och regelbundet under behandling (se Blod-/laboratorietester ovan).
Svårt nedsatt njur- och leverfunktion
Dimetylfumarat har inte studerats på patienter med svårt nedsatt njur- eller leverfunktion och därför måste försiktighet iakttas när det gäller dessa patienter (se avsnitt 4.2).
Svår aktiv mag-tarmsjukdom
Dimetylfumarat har inte studerats på patienter med svår aktiv mag-tarmsjukdom och försiktighet måste därför iakttas när det gäller dessa patienter.
Hudrodnad
I kliniska prövningar fick 34 % av patienterna som behandlades med dimetylfumarat hudrodnad. Hos de flesta av dessa patienter var allvarlighetsgraden för hudrodnaden lindrig eller måttlig. Data från studier på friska frivilliga försökspersoner tyder på att hudrodnad förknippad med dimetylfumarat sannolikt är prostaglandinmedierad. En kort behandling med 75 mg acetylsalicylsyra utan enterobeläggning kan vara fördelaktig för patienter med oacceptabel hudrodnad (se avsnitt 4.5). I två studier på friska frivilliga försökspersoner reducerades uppkomsten och svårighetsgraden av hudrodnad under doseringsperioden.
I kliniska prövningar fick 3 patienter av totalt 2 560 patienter som behandlades med dimetylfumarat allvarliga hudrodnadssymtom som troligen var överkänslighetsreaktioner eller anafylaktiska reaktioner. Dessa händelser var inte livshotande, men ledde till sjukhusinläggning. Förskrivare och patienter bör vara vaksamma på denna risk i händelse av svåra hudrodnadsreaktioner (se avsnitt 4.2, 4.5 och 4.8).
Anafylaktiska reaktioner
Fall med anafylaxi/anafylaktoid reaktion har rapporterats efter administrering av dimetylfumarat efter marknadsintroduktion. Symtomen kan inkludera dyspné, hypoxi, hypotoni, angioödem, hudutslag eller urtikaria. Mekanismen för anafylaxi orsakad av dimetylfumarat är okänd. Dessa reaktioner inträffar vanligen efter första dosen, men kan också inträffa när som helst under behandlingen, och kan bli svåra och livshotande.
Patienterna ska informeras om att avbryta behandlingen med dimetylfumarat och omedelbart uppsöka sjukvård om de upplever tecken eller symtom på anafylaktisk reaktion. Behandlingen ska inte återupptas (se avsnitt 4.8).
Infektioner
I placebokontrollerade fas III-studier var incidensen av infektioner (60 % mot 58 %) och allvarliga infektioner (2 % mot 2 %) likartad hos patienter som behandlades med dimetylfumarat respektive placebo. Om en patient utvecklar en allvarlig infektion ska man, till följd av dimetylfumarats immunmodulerande egenskaper (se avsnitt 5.1), överväga att göra ett uppehåll i behandlingen med dimetylfumarat och göra en ny bedömning av nytta och risk innan återinsättning av behandling. Patienter som får dimetylfumarat ska uppmanas att rapportera symtom på infektion till läkare. Patienter med allvarliga infektioner får inte påbörja behandling med dimetylfumarat förrän infektionen har läkt ut.
Det observerades ingen ökad incidens av allvarliga infektioner hos patienter med lymfocyttal <0,8 x 109/liter eller <0,5 x 109/liter (se avsnitt 4.8). Om behandling fortsätter trots måttlig till svår långvarig lymfopeni, kan risken för en opportunistisk infektion, inklusive PML, inte uteslutas (se avsnitt 4.4 underavsnittet om PML).
Herpes zoster-infektioner
Fall av herpes zoster har förekommit vid användning av dimetylfumarat. Majoriteten av fallen var icke allvarliga. Allvarliga fall, inklusive disseminerad herpes zoster, oftalmisk herpes zoster, herpes zoster oticus, herpes zoster-infektion neurologisk, herpes zoster meningoencefalit och herpes zoster meningomyelit har dock rapporterats. Dessa händelser kan uppträda när som helst under behandlingen. Monitorera patienter som behandlas med dimetylfumarat för tecken och symtom på herpes zoster, särskilt när samtidig lymfocytopeni rapporteras. Om herpes zoster uppkommer ska lämplig behandling för herpes zoster ges. Överväg ett behandlingsuppehåll med dimetylfumarat hos patienter med allvarliga infektioner tills infektionen läkt ut (se avsnitt 4.8).
Behandlingsstart
Behandling med dimetylfumarat ska påbörjas gradvis för att minska uppkomsten av rodnad och gastroenterala biverkningar (se avsnitt 4.2).
Fanconis syndrom
Fall av Fanconis syndrom har rapporterats för ett läkemedel som innehåller dimetylfumarat i kombination med andra fumaratsyraestrar. Tidig diagnos av Fanconis syndrom och utsättning av behandlingen med dimetylfumarat är viktigt för att förhindra debut av nedsatt njurfunktion och osteomalaci, då syndromet vanligen är reversibelt. De viktigaste tecknen är proteinuri, glukosuri (med normala blodsockernivåer), hyperaminoaciduri och fosfaturi (eventuellt samtidigt med hypofosfatemi). Progression kan omfatta symtom såsom polyuri, polydipsi och proximal muskelsvaghet. I sällsynta fall kan hypofosfatemisk osteomalaci med icke lokaliserad bensmärta, förhöjd alkalisk fosfatas i serum och stressfrakturer förekomma. Att notera är att Fanconis syndrom kan uppträda utan förhöjda kreatininnivåer eller låg glomerulär filtreringshastighet. Om symtomen är otydliga ska Fanconis syndrom övervägas och lämpliga undersökningar genomföras.
Pediatrisk population
Säkerhetsprofilen är kvalitativt likartad för pediatriska patienter och för vuxna och därför gäller varningar och försiktighet även pediatriska patienter. För information om kvantitativa skillnader i säkerhetsprofilen, se avsnitt 4.8.
Långtidssäkerheten för dimetylfumarat i den pediatriska populationen har ännu inte fastställts.
Dimetylfumarat har inte studerats i kombination med anti-neoplastiska eller immunhämmande läkemedel och därför måste försiktighet iakttas vid samtidig administrering. I kliniska studier av multipel skleros var den samtidiga behandlingen av skov med en kort behandlingskur med intravenösa kortikosteroider inte förenad med någon kliniskt relevant infektionsökning.
Samtidig administrering av icke-levande vacciner i enlighet med nationella vaccinationsprogram kan övervägas under behandling med dimetylfumarat.
I en klinisk studie som omfattade totalt 71 patienter med skovvis förlöpande multipel skleros (relapsing-remitting multiple sclerosis, RRMS), sågs hos patienter som stod på dimetylfumarat 240 mg två gånger dagligen under minst 6 månader (n=38) eller icke-pegylerat interferon under minst 3 månader (n=33), ett jämförbart immunsvar (definierat som ≥2-faldig ökning från pre- till post-vaccinationstiter) på tetanustoxoid (revaccination) och konjugerat meningokockpolysackaridvaccin typ C (neoantigen), medan immunsvaret på olika serotyper av ett 23-valent okonjugerat pneumokockpolysackaridvaccin (T-cellsoberoende antigen) varierade i båda behandlingsgrupperna. Ett positivt immunsvar, definierat som en ≥4-faldig ökning i antikroppstiter på de tre vaccinerna, uppnåddes hos färre försökspersoner i båda behandlingsgrupperna. Små numeriska skillnader i svaret på tetanustoxoid och pneumokockpolysackarid serotyp 3 noterades till fördel för icke-pegylerat interferon.
Det finns inga tillgängliga kliniska data om effekt och säkerhet för levande försvagade vacciner hos patienter som tar dimetylfumarat. Levande vacciner kan medföra en ökad risk för klinisk infektion och bör inte ges till patienter som behandlas med dimetylfumarat såvida inte, i undantagsfall, denna potentiella risk anses vara uppvägd av risken om individen inte blir vaccinerad.
Under behandling med dimetylfumarat ska samtidig behandling med andra fumarsyraderivat (topikala eller systemiska) undvikas.
Hos människa sker en omfattande metabolisering av dimetylfumarat av esteraser innan det når den systemiska cirkulationen och vidare metabolism sker via trikarboxylsyracykeln, utan involvering av cytokrom P450 (CYP)-systemet. Inga potentiella risker för läkemedelsinteraktion kunde identifieras vid in vitro CYP-inhibitions- och -induktionsstudier, en p-glykoproteinstudie eller studier av proteinbindningen av dimetylfumarat och monometylfumarat (en primär metabolit av dimetylfumarat).
Läkemedel som ofta används till patienter med multipel skleros, intramuskulärt interferon beta-1a och glatirameracetat, testades kliniskt avseende potentiella interaktioner med dimetylfumarat och förändrade inte den farmakokinetiska profilen för dimetylfumarat.
Belägg från studier på friska frivilliga försökspersoner tyder på att hudrodnad förknippad med dimetylfumarat sannolikt är prostaglandinmedierad. I två studier på friska frivilliga försökspersoner som administrerades 325 mg (eller motsvarande) acetylsalicylsyra utan enterobeläggning, 30 minuter före dimetylfumarat, med dosering under 4 dagar respektive i 4 veckor, förändrades inte den farmakokinetiska profilen för dimetylfumarat. Potentiella risker förknippade med acetylsalicylsyrabehandling ska övervägas före samtidig administrering av dimetylfumarat till patienter med skovvis förlöpande MS. Långvarig (>4 veckor) kontinuerlig användning av acetylsalicylsyra har inte studerats (se avsnitt 4.4 och 4.8).
Samtidig behandling med nefrotoxiska läkemedel (t.ex. aminoglykosider, diuretika, icke-steroida antiinflammatoriska läkemedel eller litium) kan öka potentialen för njurbiverkningar (t.ex. proteinuri, se avsnitt 4.8) hos patienter som tar dimetylfumarat (se avsnitt 4.4 Blod/-laboratorietester).
Konsumtion av måttliga mängder alkohol förändrade inte exponeringen för dimetylfumarat och förknippades inte med någon ökning av biverkningar. Konsumtion av stora mängder stark alkohol (mer än 30 % alkohol per volym) ska undvikas en timme innan och efter intag av dimetylfumarat, eftersom alkohol kan leda till ökad frekvens av gastrointestinala biverkningar.
CYP-induktionsstudier in vitro visade inte någon interaktion mellan dimetylfumarat och orala preventivmedel. Samtidig administrering av dimetylfumarat och en kombination av orala preventivmedel (norgestimat och etinylöstradiol) i en studie in vivo framkallade ingen relevant förändring av oral preventivmedelsexponering. Inga interaktionsstudier har utförts med orala preventivmedel som innehåller andra progestogener, men någon effekt av dimetylfumarat på deras exponering förväntas inte.
Pediatrisk population
Interaktionsstudier har endast utförts på vuxna.
Graviditet
Det finns inga eller begränsad mängd data från användningen av dimetylfumarat hos gravida kvinnor. Djurstudier har visat reproduktionstoxikologiska effekter (se avsnitt 5.3). Dimetylfumarat rekommenderas inte under graviditet eller till fertila kvinnor som inte använder lämpliga preventivmedel (se avsnitt 4.5). Dimetylfumarat ska användas under graviditet endast då tillståndet kräver att det är absolut nödvändigt och om den möjliga nyttan uppväger den möjliga risken för fostret.
Amning
Det är okänt om dimetylfumarat eller dess metaboliter utsöndras i bröstmjölk. En risk för det nyfödda barnet/spädbarnet kan inte uteslutas. Ett beslut måste fattas om man ska avbryta amningen eller avbryta behandling med dimetylfumarat efter att man tagit hänsyn till fördelen med amning för barnet och fördelen med behandling för kvinnan.
Fertilitet
Det finns inga data om effekten av dimetylfumarat på human fertilitet. Data från prekliniska studier tyder inte på att dimetylfumarat skulle kunna associeras med en ökad risk för nedsatt fertilitet (se avsnitt 5.3).
Dimetylfumarat har ingen eller försumbar effekt på förmågan att framföra fordon och använda maskiner. Inga studier har utförts på förmågan att framföra fordon och använda maskiner. Inga potentiella effekter på denna förmåga har emellertid befunnits relaterade till dimetylfumarat i kliniska studier.
Summering av säkerhetsprofilen
De vanligaste biverkningarna (incidens ≥ 10 %) för patienter som behandlades med dimetylfumarat var hudrodnad och mag-tarmbesvär (dvs. diarré, illamående, buksmärta, smärta i övre delen av buken). Hudrodnad och mag-tarmbesvär tenderar att börja tidigt under behandlingen (främst under den första månaden) hos patienter som får hudrodnad och mag-tarmbesvär, men dessa händelser kan fortsätta att uppkomma då och då under hela behandlingen med dimetylfumarat. De vanligast rapporterade biverkningarna som ledde till avbrott (incidens >1 %) hos patienter som behandlades med dimetylfumarat var hudrodnad (3 %) och mag-tarmbesvär (4 %).
I placebokontrollerade och okontrollerade kliniska studier har totalt 2 513 patienter fått dimetylfumarat i upp till 12 år med en total exponering som motsvarar 11 318 personår. Totalt har 1 169 patienter fått minst 5 års behandling med dimetylfumarat och 426 patienter har fått minst 10 års behandling med dimetylfumarat. Erfarenheten från okontrollerade kliniska prövningar är förenlig med erfarenheten från de placebokontrollerade kliniska prövningarna.
Sammanfattning i tabellform över biverkningar
Biverkningar som rapporterats i samband med kliniska studier, säkerhetsstudier och spontana rapporter efter marknadsintroduktion presenteras i nedanstående tabell.
Biverkningarna presenteras som MedDRA-rekommenderade termer under MedDRA-klassificeringen av organsystem. Incidensen av biverkningar nedan uttrycks enligt följande kategorier:
Mycket vanliga (≥1/10)
Vanliga (≥ 1/100, <1/10)
Mindre vanliga (≥1/1 000, <1/100)
Sällsynta (≥1/10 000, <1/1 000)
Mycket sällsynta (<1/10 000)
Ingen känd frekvens (frekvensen kan inte beräknas från tillgängliga data)
Beskrivning av selekterade biverkningar
Hudrodnad
I de placebokontrollerade studierna var incidensen av hudrodnad (34 % mot 4 %) och värmevallning (7 % mot 2 %) förhöjd hos patienter som behandlades med dimetylfumarat jämfört med placebo. Hudrodnad (flush) brukar beskrivas som rodnad eller värmevallning, men kan även innefatta andra symtom (t.ex. värme, rodnad, klåda och brännande känsla). Händelser med hudrodnad tenderade att börja tidigt under behandlingen (främst under den första månaden) och hos patienter som får hudrodnad kan dessa episoder fortsätta att uppträda då och då under hela behandlingen med dimetylfumarat.
De flesta av patienterna med hudrodnad hade episoder med lindrig eller måttlig svårighetsgrad. Totalt avbröt 3 % av patienterna som fick dimetylfumarat behandlingen på grund av hudrodnad.
Incidensen av allvarlig hudrodnad, vilken kan kännetecknas av generaliserat erytem, hudutslag och/eller klåda, sågs hos mindre än 1 % av patienterna som behandlades med dimetylfumarat (se avsnitt 4.2, 4.4 och 4.5).
Magtarmkanal
Incidensen av mag-tarmbesvär (t.ex. diarré [14 % mot 10 %], illamående [12 % mot 9 %], smärta i övre delen av buken [10 % mot 6 %], buksmärta [9 % mot 4 %], kräkning [8 % mot 5 %] och dyspepsi [5 % mot 3 %]) ökade hos patienter som fick dimetylfumarat jämfört med placebo.
Mag-tarmbesvär tenderade att börja tidigt under behandlingen (främst under den första månaden) och hos patienter som får mag-tarmbesvär kan dessa episoder fortsätta att uppträda då och då under hela behandlingen med dimetylfumarat.
De flesta av patienterna med mag-tarmbesvär hade episoder med lindrig eller måttlig svårighetsgrad. Fyra procent (4 %) av patienterna som behandlades med dimetylfumarat avbröt behandlingen på grund av mag-tarmbesvär.
Incidensen av allvarliga mag-tarmbesvär, inklusive gastroenterit och gastrit, sågs hos 1 % av patienterna som behandlades med dimetylfumarat (se avsnitt 4.2).
Leverfunktion
Baserat på data från placebokontrollerade studier hade majoriteten av patienterna med förhöjningar levertransaminaser som var <3 gånger den övre normalgränsen (upper limit of normal, ULN). Den ökade incidensen av förhöjda levertransaminaser hos patienter som behandlades med dimetylfumarat i relation till placebo sågs främst under de första 6 månadernas behandling.
Förhöjt alaninaminotransferas respektive aspartataminotransferas ≥3 gånger ULN, sågs hos 5 % och 2 % av patienterna som behandlades med placebo och 6 % och 2 % av patienterna som behandlades med dimetylfumarat. Behandlingsavbrotten på grund av förhöjda levertransaminaser var <1 % och likartade hos patienter som behandlades med dimetylfumarat eller placebo. Förhöjda transaminaser på ≥ 3 gånger ULN med samtidiga förhöjningar av totalt bilirubin på >2 gånger ULN observerades inte i placebokontrollerade studier.
Förhöjda leverenzymer och fall med läkemedelsinducerad leverskada (förhöjda transaminaser ≥3 gånger ULN med samtidiga förhöjningar av totalt bilirubin >2 gånger ULN), har rapporterats efter godkännande för försäljning efter administrering av dimetylfumarat, vilka försvann vid avbruten behandling.
Lymfopeni
I de placebokontrollerade studierna hade de flesta patienter (>98 %) normala lymfocytvärden innan behandlingen inleddes. Vid behandling med dimetylfumarat minskade de genomsnittliga lymfocyttalen under det första året med en påföljande platå. I genomsnitt sjönk lymfocyttalen med cirka 30 % av värdet vid behandlingens början. Medel- och medianvärden för lymfocyttalen höll sig inom normala gränser. Lymfocyttal på <0,5 × 109/l observerades hos <1 % av patienterna som fick placebo och 6 % av patienterna som fick dimetylfumarat. Ett lymfocyttal på <0,2 × 109/l observerades hos 1 patient som behandlades med dimetylfumarat och inte hos någon patient som fick placebo.
I kliniska studier (både kontrollerade och okontrollerade), hade 41 % av patienterna, som behandlades med dimetylfumarat, lymfopeni (definierad i dessa studier som <0,91 × 109/l). Mild lymfopeni (lymfocyttal ≥0,8 × 109/l till <0,91 × 109/l) observerades hos 28 % av patienterna, måttlig lymfopeni (lymfocyttal ≥0,5 × 109/l till <0,8 × 109/l) som varade i minst sex månader observerades hos 11 % av patienterna och svår lymfopeni (lymfocyttal <0,5 × 109/l) som varade i minst sex månader observerades hos 2 % av patienterna. I gruppen med svår lymfopeni förblev de flesta lymfocyttalen <0,5 × 109/l med fortsatt behandling.
I en okontrollerad prospektiv studie efter marknadsintroduktion observerades dessutom, vid vecka 48 av behandling med dimetylfumarat (n = 185), att CD4+ T-cellerna minskat måttligt (antal ≥0,2 × 109/l till <0,4 × 109/l) eller kraftigt (<0,2 × 109/l) hos upp till 37 % respektive 6 % av patienterna, medan CD8+ T-cellerna minskat oftare, hos upp till 59 % av patienterna med antal <0,2 × 109/l och 25 % av patienterna med antal <0,1 × 109/l. I kontrollerade och okontrollerade kliniska studier monitorerades patienter som avbröt dimetylfumarat-behandlingen med lymfocyttal som låg under den nedre normalgränsen (LLN, lower limit of normal) avseende återhämtning av lymfocyttalet till LLN (se avsnitt 5.1).
Infektioner, inklusive PML och opportunistiska infektioner
Fall av infektioner med John Cunningham-virus (JCV), som orsakar progressiv multifokal leukoencefalopati (PML), har rapporterats med dimetylfumarat (se avsnitt 4.4). PML kan vara dödlig eller leda till svår funktionsnedsättning. I en av de kliniska prövningarna utvecklade en patient som tog dimetylfumarat PML vid långvarig svår lymfopeni (lymfocyttal mestadels <0,5 × 109/l i 3,5 år), med dödlig utgång. Efter marknadsintroduktion har PML också förekommit i närvaro av måttlig och mild lymfopeni (>0,5 × 109/l till <LLN, såsom definierad enligt det lokala laboratoriets referensområde).
I flera fall av PML där T-cellundergrupper bestämdes vid tidpunkten för PML-diagnosen observerades att CD8+ T-cellantalen minskat till <0,1 × 109/l, medan minskningarna av CD4+ T-cellantalen varierade (från <0,05 till 0,5 × 109/l) och korrelerade mer med lymfopenins svårighetsgrad överlag (<0,5 × 109/l till <LLN). Detta ledde till att CD4+/CD8+-förhållandet ökade hos dessa patienter.
Långvarig måttlig till svår lymfopeni förefaller öka risken för PML med dimetylfumarat, dock förekom PML också hos patienter med mild lymfopeni. Dessutom har de flesta fallen av PML efter marknadsintroduktion förekommit hos patienter >50 år.
Herpes zoster-infektioner har rapporterats vid användning av dimetylfumarat. I en pågående långtids uppföljningsstudie i vilken 1 736 MS-patienter behandlas med dimetylfumarat hade cirka 5 % en eller flera herpes zoster-händelser. Majoriteten av dessa var av lindrig till måttlig svårighetsgrad. De flesta patienterna, inklusive de som hade en svår herpes zoster-infektion, hade lymfocyttal som var över den nedre normalvärdesgränsen. Hos de flesta patienterna med samtidiga lymfocyttal under LLN bedömdes lymfopenin vara måttlig eller svår. Efter marknadsintroduktion har de flesta fallen av herpes zoster-infektioner varit icke allvarliga och läkt ut med behandling. Data om absolut lymfocyttal (ALC) hos patienter med herpes zoster-infektion är begränsade efter marknadsintroduktionen. I de fall det har rapporterats har emellertid de flesta patienterna haft måttlig (≥0,5 × 109/l till <0,8 × 109/l) eller svår (<0,5 × 109/l till 0,2 × 109/l) lymfopeni (se avsnitt 4.4).
Avvikelser i laboratorietestresultat
I de placebokontrollerade studierna var mätningen av urinketoner (1+ eller mer) högre hos patienter som fick dimetylfumarat (45 %) jämfört med placebo (10 %). Inga kliniska konsekvenser av relevans observerades i kliniska prövningar.
Nivåer av 1,25-dihydroxyvitamin D sjönk hos dimetylfumarat-behandlade patienter jämfört med placebo (en procentuell medianminskning från baslinjen vid 2 år på 25 % respektive 15 %) och nivåerna av parathormon (PTH) steg hos dimetylfumarat-behandlade patienter jämfört med placebo (procentuell medianökning från baslinjen vid 2 år på 29 % respektive 15 %). Medelvärdena för båda parametrarna höll sig inom det normala intervallet.
En övergående ökning av genomsnittliga eosinofilvärden har setts under de 2 första månaderna av behandlingen.
Pediatrisk population
I en 96 veckor lång öppen, randomiserad och aktivt kontrollerad prövning på pediatriska patienter med RRMS i åldern 10 till yngre än 18 år (120 mg två gånger dagligen i 7 dagar följt av 240 mg två gånger dagligen under resten av behandlingen; studiepopulation n = 78), var säkerhetsprofilen för pediatriska patienter likartad den som tidigare observerats hos vuxna patienter.
Utformningen av den kliniska prövningen på pediatriska patienter skilde sig från de placebokontrollerade kliniska prövningarna på vuxna. Det kan därför inte uteslutas att utformningen av den kliniska prövningen kan ha bidragit till skillnaden i antalet biverkningar hos barn och vuxna.
Följande biverkningar rapporterades oftare (≥10 %) i den pediatriska populationen än i den vuxna populationen:
Huvudvärk rapporterades hos 28 % av patienterna som behandlades med dimetylfumarat jämfört med 36 % av patienterna som behandlades med interferon beta-1a.
Gastrointestinala besvär rapporterades hos 74 % av patienterna som behandlades med dimetylfumarat jämfört med 31 % av patienterna som behandlades med interferon beta-1a. Av dessa var buksmärtor och kräkningar de vanligaste biverkningarna av dimetylfumarat.
Biverkningar i andningsvägar, bröstkorg och mediastinum rapporterades hos 32 % av patienterna som behandlades med dimetylfumarat jämfört med 11 % av patienterna som behandlades med interferon beta-1a. Av dessa var orofaryngeal smärta och hosta de vanligaste biverkningarna av dimetylfumarat.
Dysmenorré rapporterades hos 17 % av patienterna som behandlades med dimetylfumarat jämfört med 7 % av patienterna som behandlades med interferon beta-1a.
I en liten, 24 veckor lång, öppen, okontrollerad studie på pediatriska patienter med RRMS i åldern 13 till 17 år (120 mg två gånger dagligen i 7 dagar följt av 240 mg två gånger dagligen under resten av behandlingen, säkerhetspopulation n = 22), följt av en förlängningsstudie i 96 veckor (240 mg två gånger dagligen; säkerhetspopulation n = 20), verkade säkerhetsprofilen vara likartad den som observerats hos vuxna patienter.
Det finns begränsade data om barn i åldern 10-12 år. Säkerhet och effekt för dimetylfumarat för barn under 10 år har ännu inte fastställts.
Fall av överdosering med dimetylfumarat har rapporterats. Symtomen som beskrivs i dessa fall var förenliga med den kända biverkningsprofilen för dimetylfumarat. Det finns inga kända terapeutiska interventioner för att öka elimineringen av dimetylfumarat och det finns heller ingen känd antidot. I fall av överdosering rekommenderas att symtomatisk behandling sätts in så som är kliniskt motiverat.
Dimethyl fumarate Stada är indicerat för behandlingen av vuxna och pediatriska patienter från 13 års ålder med skovvis förlöpande multipel skleros (RRMS).
Behandling ska inledas under överinseende av en läkare med erfarenhet av att behandla multipel skleros.
Dosering
Startdosen är 120 mg två gånger dagligen. Efter 7 dagar ökas dosen till den rekommenderade dosen 240 mg två gånger dagligen (se avsnitt 4.4).
Om en patient glömmer en dos får denne inte ta dubbel dos. Patienten kan endast ta den glömda dosen om det är 4 timmar mellan doserna. I annat fall ska patienten vänta till nästa planerade dos.
Tillfällig dosreduktion till 120 mg två gånger dagligen kan reducera förekomsten av biverkningar i form av hudrodnad och mag-tarmbesvär. Inom 1 månad ska den rekommenderade underhållsdosen 240 mg två gånger dagligen återupptas.
Dimethyl fumarate Stada ska tas i samband med mat (se avsnitt 5.2) då detta kan förbättra tolerabiliteten hos de patienter som kan komma att uppleva biverkningar i form av mag-tarmbesvär eller hudrodnad (se avsnitt 4.4, 4.5 och 4.8).
Särskilda populationer
Äldre
Kliniska studier av dimetylfumarat hade en begränsad exponering av patienter som var 55 år och äldre, och innefattade inte ett tillräckligt antal patienter som var 65 år och äldre för att man skulle kunna avgöra om äldre patienter svarar på ett annorlunda sätt än yngre patienter (se avsnitt 5.2). Med utgångspunkt från verkningsmekanismen för den aktiva substansen finns det inga teoretiska skäl till att det skulle behövas några dosjusteringar till äldre.
Nedsatt njur- och leverfunktion
Dimetylfumarat har inte studerats på patienter med nedsatt njur- eller leverfunktion. Med utgångspunkt från kliniska farmakologiska studier behövs det inga dosjusteringar (se avsnitt 5.2). Försiktighet ska iakttas vid behandling av patienter med svårt nedsatt njur- eller leverfunktion (se avsnitt 4.4).
Pediatrisk population
Doseringen är densamma för vuxna och pediatriska patienter från 13 års ålder.
Tillgänglig data finns beskrivna i avsnitt 4.4, 4.8, 5.1 och 5.2.
Det finns begränsade data för barn i åldern 10-12 år.
Säkerhet och effekt för dimetylfumarat hos barn under 10 år har ännu inte fastställts.
Administreringssätt
För oral användning.
Kapseln ska sväljas hel. Kapseln eller dess innehåll får inte krossas, delas, lösas upp, sugas på eller tuggas eftersom enterobeläggningen på mikrotabletterna förhindrar irriterande effekter på tarmen.
Överkänslighet mot den aktiva substansen eller mot något hjälpämne som anges i avsnitt 6.1.
Misstänkt eller bekräftad progressiv multifokal leukoencefalopati (PML).
Blod/-laboratorietester
Förändringar vid laboratorietester av njurfunktion har setts i kliniska prövningar hos patienter som behandlats med dimetylfumarat (se avsnitt 4.8). De kliniska betydelserna av dessa förändringar är okända. Bedömning av njurfunktion (t.ex. kreatinin, ureakväve i blodet och urinanalys) rekommenderas innan behandling inleds, efter 3 och 6 månaders behandling, därefter var sjätte till tolfte månad och när det är kliniskt befogat.
Läkemedelsinducerad leverskada, inklusive förhöjt leverenzym (≥3 gånger ”upper limit of normal” ULN, övre normalgränsen) och förhöjning av totala bilirubinnivåer (≥2 gånger ULN) kan orsakas av behandling med dimetylfumarat. Tiden till debut kan vara direkt, flera veckor eller längre. Biverkningarna avklingade efter att behandlingen avbrutits. Bedömning av nivåerna av aminotransaminaser i serum (t.ex. alaninaminotransferas [ALAT], aspartataminotransferas [ASAT]) och totalt bilirubin rekommenderas före insättande av behandling och under behandling så som är kliniskt motiverat.
Patienter som behandlas med dimetylfumarat kan utveckla lymfopeni (se avsnitt 4.8). Innan behandling med dimetylfumarat inleds ska en aktuell differentialräkning, inklusive lymfocyter, utföras.
Om det visar sig att lymfocyttalet är lägre än det normala intervallet, bör en grundlig bedömning av möjliga orsaker göras innan behandling med detta läkemedel inleds. Dimetylfumarat har inte studerats på patienter med befintligt låga lymfocyttal och försiktighet måste därför iakttas när dessa patienter behandlas. Behandling med dimetylfumarat ska inte inledas hos patienter med svår lymfopeni (lymfocyttal <0,5 × 109/l).
Efter inledd behandling måste differentialräkningar, inklusive lymfocyter, utföras var tredje månad.
På grund av ökad risk för progressiv multifokal leukoencefalopati (PML) rekommenderas ökad vaksamhet hos patienter med lymfopeni som följer:
dimetylfumarat ska sättas ut hos patienter med långvarig svår lymfopeni (lymfocyttal <0,5 × 109/l) som pågår i mer än 6 månader.
hos patienter med konstant måttligt minskade absolutantal lymfocyter ≥0,5 × 109/l till <0,8 × 109/l under mer än 6 månader ska dimetylfumarat behandlingens nytta/risk omprövas.
hos patienter med lymfocyttal under den lägsta gränsen för normalvärde (LLN, lower limit of normal) såsom definierad enligt det lokala laboratoriets referensområde, rekommenderas regelbunden kontroll av absolutantal lymfocyter. Övriga faktorer som kan öka den individuella PML-risken ytterligare ska tas i beaktande (se avsnittet om PML nedan).
Lymfocyttalen ska följas upp fram till återhämtning (se avsnitt 5.1). Efter återhämtning och i frånvaro av andra behandlingsalternativ ska beslut om huruvida behandlingen efter behandlingsavbrott med dimetylfumarat ska återupptas eller inte baseras på klinisk bedömning.
Magnetresonansundersökning (MR)
Innan behandling med dimetylfumarat inleds, ska det finnas en MRT-undersökning utförd före behandlingsstarten (vanligtvis inom 3 månader) tillgänglig som referens. Behovet av ytterligare MRT-undersökningar bör beaktas i enlighet med nationella och lokala rekommendationer. MRT-undersökning kan betraktas som en del av den ökade vaksamheten när det gäller patienter med ökad risk för PML. Om det finns en klinisk misstanke om PML, bör MRT utföras omedelbart för diagnostiska syften.
Progressiv multifokal leukoencefalopati (PML)
PML har rapporterats hos patienter som behandlats med dimetylfumarat (se avsnitt 4.8). PML är en opportunistisk infektion som orsakas av John Cunningham-virus (JCV), vilken kan vara dödlig eller leda till svår funktionsnedsättning.
Fall av PML har förekommit i samband med dimetylfumarat och andra läkemedel som innehåller fumarater vid lymfopeni (lymfocyttal under LLN). Långvarig måttlig till svår lymfopeni förefaller öka risken för PML med dimetylfumarat, men risken kan dock inte uteslutas hos patienter med mild lymfopeni.
Ytterligare faktorer som kan bidra till en ökad risk för PML vid lymfopeni är:
dimetylfumarat-behandlingens varaktighet. Fall av PML har uppkommit efter ungefär 1 till 5 års behandling, även om det exakta förhållandet till behandlingens varaktighet är okänt.
signifikant minskat antal CD4+ T- och särskilt CD8+ T-celler, vilka har en avgörande roll för immunförsvaret (se avsnitt 4.8) och
tidigare immunhämmande eller immunmodulerande behandling (se nedan).
Läkare ska undersöka sina patienter för att avgöra om symtomen tyder på neurologisk dysfunktion och, om så är fallet, huruvida dessa symtom är typiska för MS eller eventuellt kan tyda på PML.
Vid första tecken eller symtom som föranleder misstanke om PML ska dimetylfumarat sättas ut och adekvata diagnostiska undersökningar, inklusive bestämning av JCV DNA i cerebrospinalvätskan (CSV) genom kvantitativ polymeraskedjereaktion (PCR) -metod, utföras. Symtomen på PML kan likna de vid MS-skov. Typiska symtom förknippade med PML varierar, utvecklas under dagar eller veckor och omfattar progressiv svaghet på en sida av kroppen eller klumpighet i extremiteterna, synrubbningar och förändringar i tänkande, minne och orienteringsförmåga som leder till förvirring och personlighetsförändringar. Läkare ska vara speciellt uppmärksamma på symtom som tyder på PML som patienten kanske inte märker. Patienten ska också uppmanas att informera sin partner eller vårdgivare om behandlingen eftersom de kan upptäcka symtom som patienten själv inte är medveten om.
PML kan endast uppkomma om det föreligger en JCV-infektion. Det bör tas i beaktande att påverkan av lymfopeni på noggrannheten i ett serum anti- JCV-antikroppstest inte har studerats hos patienter som behandlas med dimetylfumarat. Det ska också noteras att ett negativt anti- JCV-antikroppstest (vid förekomst av normala lymfocyttal) inte utesluter risken för en påföljande JCV-infektion.
Om en patient utvecklar PML ska dimetylfumarat sättas ut permanent.
Föregående behandling med immunsuppressivt eller immunmodulerande läkemedel
Inga studier har utförts för att utvärdera effekt och säkerhet för dimetylfumarat när patienter byter från andra sjukdomsmodifierande läkemedel till dimetylfumarat. Det är möjligt att tidigare immunsuppressiv behandling bidrar till utvecklingen av PML hos dimetylfumarat-behandlade patienter.
Det har förekommit fall av PML hos patienter som tidigare har behandlats med natalizumab för vilka PML är en etablerad risk. Läkare bör vara medvetna om att fall av PML, som uppträder som påföljd av nyligen utsatt natalizumab, kanske inte har lymfopeni.
De flesta bekräftade fallen av PML med dimetylfumarat uppträdde dessutom hos patienter med tidigare immunomodulerande behandling.
När patienter byter från ett annat sjukdomsmodifierande läkemedel till dimetylfumarat, bör halveringstiden och verkningsmekanismen för det andra läkemedlet beaktas för att undvika en additiv immuneffekt samtidigt som risken för reaktivering av MS-sjukdomen minskas. En differentialräkning rekommenderas innan dimetylfumarat sätts in och regelbundet under behandling (se Blod-/laboratorietester ovan).
Svårt nedsatt njur- och leverfunktion
Dimetylfumarat har inte studerats på patienter med svårt nedsatt njur- eller leverfunktion och därför måste försiktighet iakttas när det gäller dessa patienter (se avsnitt 4.2).
Svår aktiv mag-tarmsjukdom
Dimetylfumarat har inte studerats på patienter med svår aktiv mag-tarmsjukdom och försiktighet måste därför iakttas när det gäller dessa patienter.
Hudrodnad
I kliniska prövningar fick 34 % av patienterna som behandlades med dimetylfumarat hudrodnad. Hos de flesta av dessa patienter var allvarlighetsgraden för hudrodnaden lindrig eller måttlig. Data från studier på friska frivilliga försökspersoner tyder på att hudrodnad förknippad med dimetylfumarat sannolikt är prostaglandinmedierad. En kort behandling med 75 mg acetylsalicylsyra utan enterobeläggning kan vara fördelaktig för patienter med oacceptabel hudrodnad (se avsnitt 4.5). I två studier på friska frivilliga försökspersoner reducerades uppkomsten och svårighetsgraden av hudrodnad under doseringsperioden.
I kliniska prövningar fick 3 patienter av totalt 2 560 patienter som behandlades med dimetylfumarat allvarliga hudrodnadssymtom som troligen var överkänslighetsreaktioner eller anafylaktiska reaktioner. Dessa händelser var inte livshotande, men ledde till sjukhusinläggning. Förskrivare och patienter bör vara vaksamma på denna risk i händelse av svåra hudrodnadsreaktioner (se avsnitt 4.2, 4.5 och 4.8).
Anafylaktiska reaktioner
Fall med anafylaxi/anafylaktoid reaktion har rapporterats efter administrering av dimetylfumarat efter marknadsintroduktion. Symtomen kan inkludera dyspné, hypoxi, hypotoni, angioödem, hudutslag eller urtikaria. Mekanismen för anafylaxi orsakad av dimetylfumarat är okänd. Dessa reaktioner inträffar vanligen efter första dosen, men kan också inträffa när som helst under behandlingen, och kan bli svåra och livshotande.
Patienterna ska informeras om att avbryta behandlingen med dimetylfumarat och omedelbart uppsöka sjukvård om de upplever tecken eller symtom på anafylaktisk reaktion. Behandlingen ska inte återupptas (se avsnitt 4.8).
Infektioner
I placebokontrollerade fas III-studier var incidensen av infektioner (60 % mot 58 %) och allvarliga infektioner (2 % mot 2 %) likartad hos patienter som behandlades med dimetylfumarat respektive placebo. Om en patient utvecklar en allvarlig infektion ska man, till följd av dimetylfumarats immunmodulerande egenskaper (se avsnitt 5.1), överväga att göra ett uppehåll i behandlingen med dimetylfumarat och göra en ny bedömning av nytta och risk innan återinsättning av behandling. Patienter som får dimetylfumarat ska uppmanas att rapportera symtom på infektion till läkare. Patienter med allvarliga infektioner får inte påbörja behandling med dimetylfumarat förrän infektionen har läkt ut.
Det observerades ingen ökad incidens av allvarliga infektioner hos patienter med lymfocyttal <0,8 x 109/liter eller <0,5 x 109/liter (se avsnitt 4.8). Om behandling fortsätter trots måttlig till svår långvarig lymfopeni, kan risken för en opportunistisk infektion, inklusive PML, inte uteslutas (se avsnitt 4.4 underavsnittet om PML).
Herpes zoster-infektioner
Fall av herpes zoster har förekommit vid användning av dimetylfumarat. Majoriteten av fallen var icke allvarliga. Allvarliga fall, inklusive disseminerad herpes zoster, oftalmisk herpes zoster, herpes zoster oticus, herpes zoster-infektion neurologisk, herpes zoster meningoencefalit och herpes zoster meningomyelit har dock rapporterats. Dessa händelser kan uppträda när som helst under behandlingen. Monitorera patienter som behandlas med dimetylfumarat för tecken och symtom på herpes zoster, särskilt när samtidig lymfocytopeni rapporteras. Om herpes zoster uppkommer ska lämplig behandling för herpes zoster ges. Överväg ett behandlingsuppehåll med dimetylfumarat hos patienter med allvarliga infektioner tills infektionen läkt ut (se avsnitt 4.8).
Behandlingsstart
Behandling med dimetylfumarat ska påbörjas gradvis för att minska uppkomsten av rodnad och gastroenterala biverkningar (se avsnitt 4.2).
Fanconis syndrom
Fall av Fanconis syndrom har rapporterats för ett läkemedel som innehåller dimetylfumarat i kombination med andra fumaratsyraestrar. Tidig diagnos av Fanconis syndrom och utsättning av behandlingen med dimetylfumarat är viktigt för att förhindra debut av nedsatt njurfunktion och osteomalaci, då syndromet vanligen är reversibelt. De viktigaste tecknen är proteinuri, glukosuri (med normala blodsockernivåer), hyperaminoaciduri och fosfaturi (eventuellt samtidigt med hypofosfatemi). Progression kan omfatta symtom såsom polyuri, polydipsi och proximal muskelsvaghet. I sällsynta fall kan hypofosfatemisk osteomalaci med icke lokaliserad bensmärta, förhöjd alkalisk fosfatas i serum och stressfrakturer förekomma. Att notera är att Fanconis syndrom kan uppträda utan förhöjda kreatininnivåer eller låg glomerulär filtreringshastighet. Om symtomen är otydliga ska Fanconis syndrom övervägas och lämpliga undersökningar genomföras.
Pediatrisk population
Säkerhetsprofilen är kvalitativt likartad för pediatriska patienter och för vuxna och därför gäller varningar och försiktighet även pediatriska patienter. För information om kvantitativa skillnader i säkerhetsprofilen, se avsnitt 4.8.
Långtidssäkerheten för dimetylfumarat i den pediatriska populationen har ännu inte fastställts.
Dimetylfumarat har inte studerats i kombination med anti-neoplastiska eller immunhämmande läkemedel och därför måste försiktighet iakttas vid samtidig administrering. I kliniska studier av multipel skleros var den samtidiga behandlingen av skov med en kort behandlingskur med intravenösa kortikosteroider inte förenad med någon kliniskt relevant infektionsökning.
Samtidig administrering av icke-levande vacciner i enlighet med nationella vaccinationsprogram kan övervägas under behandling med dimetylfumarat.
I en klinisk studie som omfattade totalt 71 patienter med skovvis förlöpande multipel skleros (relapsing-remitting multiple sclerosis, RRMS), sågs hos patienter som stod på dimetylfumarat 240 mg två gånger dagligen under minst 6 månader (n=38) eller icke-pegylerat interferon under minst 3 månader (n=33), ett jämförbart immunsvar (definierat som ≥2-faldig ökning från pre- till post-vaccinationstiter) på tetanustoxoid (revaccination) och konjugerat meningokockpolysackaridvaccin typ C (neoantigen), medan immunsvaret på olika serotyper av ett 23-valent okonjugerat pneumokockpolysackaridvaccin (T-cellsoberoende antigen) varierade i båda behandlingsgrupperna. Ett positivt immunsvar, definierat som en ≥4-faldig ökning i antikroppstiter på de tre vaccinerna, uppnåddes hos färre försökspersoner i båda behandlingsgrupperna. Små numeriska skillnader i svaret på tetanustoxoid och pneumokockpolysackarid serotyp 3 noterades till fördel för icke-pegylerat interferon.
Det finns inga tillgängliga kliniska data om effekt och säkerhet för levande försvagade vacciner hos patienter som tar dimetylfumarat. Levande vacciner kan medföra en ökad risk för klinisk infektion och bör inte ges till patienter som behandlas med dimetylfumarat såvida inte, i undantagsfall, denna potentiella risk anses vara uppvägd av risken om individen inte blir vaccinerad.
Under behandling med dimetylfumarat ska samtidig behandling med andra fumarsyraderivat (topikala eller systemiska) undvikas.
Hos människa sker en omfattande metabolisering av dimetylfumarat av esteraser innan det når den systemiska cirkulationen och vidare metabolism sker via trikarboxylsyracykeln, utan involvering av cytokrom P450 (CYP)-systemet. Inga potentiella risker för läkemedelsinteraktion kunde identifieras vid in vitro CYP-inhibitions- och -induktionsstudier, en p-glykoproteinstudie eller studier av proteinbindningen av dimetylfumarat och monometylfumarat (en primär metabolit av dimetylfumarat).
Läkemedel som ofta används till patienter med multipel skleros, intramuskulärt interferon beta-1a och glatirameracetat, testades kliniskt avseende potentiella interaktioner med dimetylfumarat och förändrade inte den farmakokinetiska profilen för dimetylfumarat.
Belägg från studier på friska frivilliga försökspersoner tyder på att hudrodnad förknippad med dimetylfumarat sannolikt är prostaglandinmedierad. I två studier på friska frivilliga försökspersoner som administrerades 325 mg (eller motsvarande) acetylsalicylsyra utan enterobeläggning, 30 minuter före dimetylfumarat, med dosering under 4 dagar respektive i 4 veckor, förändrades inte den farmakokinetiska profilen för dimetylfumarat. Potentiella risker förknippade med acetylsalicylsyrabehandling ska övervägas före samtidig administrering av dimetylfumarat till patienter med skovvis förlöpande MS. Långvarig (>4 veckor) kontinuerlig användning av acetylsalicylsyra har inte studerats (se avsnitt 4.4 och 4.8).
Samtidig behandling med nefrotoxiska läkemedel (t.ex. aminoglykosider, diuretika, icke-steroida antiinflammatoriska läkemedel eller litium) kan öka potentialen för njurbiverkningar (t.ex. proteinuri, se avsnitt 4.8) hos patienter som tar dimetylfumarat (se avsnitt 4.4 Blod/-laboratorietester).
Konsumtion av måttliga mängder alkohol förändrade inte exponeringen för dimetylfumarat och förknippades inte med någon ökning av biverkningar. Konsumtion av stora mängder stark alkohol (mer än 30 % alkohol per volym) ska undvikas en timme innan och efter intag av dimetylfumarat, eftersom alkohol kan leda till ökad frekvens av gastrointestinala biverkningar.
CYP-induktionsstudier in vitro visade inte någon interaktion mellan dimetylfumarat och orala preventivmedel. Samtidig administrering av dimetylfumarat och en kombination av orala preventivmedel (norgestimat och etinylöstradiol) i en studie in vivo framkallade ingen relevant förändring av oral preventivmedelsexponering. Inga interaktionsstudier har utförts med orala preventivmedel som innehåller andra progestogener, men någon effekt av dimetylfumarat på deras exponering förväntas inte.
Pediatrisk population
Interaktionsstudier har endast utförts på vuxna.
Graviditet
Det finns inga eller begränsad mängd data från användningen av dimetylfumarat hos gravida kvinnor. Djurstudier har visat reproduktionstoxikologiska effekter (se avsnitt 5.3). Dimetylfumarat rekommenderas inte under graviditet eller till fertila kvinnor som inte använder lämpliga preventivmedel (se avsnitt 4.5). Dimetylfumarat ska användas under graviditet endast då tillståndet kräver att det är absolut nödvändigt och om den möjliga nyttan uppväger den möjliga risken för fostret.
Amning
Det är okänt om dimetylfumarat eller dess metaboliter utsöndras i bröstmjölk. En risk för det nyfödda barnet/spädbarnet kan inte uteslutas. Ett beslut måste fattas om man ska avbryta amningen eller avbryta behandling med dimetylfumarat efter att man tagit hänsyn till fördelen med amning för barnet och fördelen med behandling för kvinnan.
Fertilitet
Det finns inga data om effekten av dimetylfumarat på human fertilitet. Data från prekliniska studier tyder inte på att dimetylfumarat skulle kunna associeras med en ökad risk för nedsatt fertilitet (se avsnitt 5.3).
Dimetylfumarat har ingen eller försumbar effekt på förmågan att framföra fordon och använda maskiner. Inga studier har utförts på förmågan att framföra fordon och använda maskiner. Inga potentiella effekter på denna förmåga har emellertid befunnits relaterade till dimetylfumarat i kliniska studier.
Summering av säkerhetsprofilen
De vanligaste biverkningarna (incidens ≥ 10 %) för patienter som behandlades med dimetylfumarat var hudrodnad och mag-tarmbesvär (dvs. diarré, illamående, buksmärta, smärta i övre delen av buken). Hudrodnad och mag-tarmbesvär tenderar att börja tidigt under behandlingen (främst under den första månaden) hos patienter som får hudrodnad och mag-tarmbesvär, men dessa händelser kan fortsätta att uppkomma då och då under hela behandlingen med dimetylfumarat. De vanligast rapporterade biverkningarna som ledde till avbrott (incidens >1 %) hos patienter som behandlades med dimetylfumarat var hudrodnad (3 %) och mag-tarmbesvär (4 %).
I placebokontrollerade och okontrollerade kliniska studier har totalt 2 513 patienter fått dimetylfumarat i upp till 12 år med en total exponering som motsvarar 11 318 personår. Totalt har 1 169 patienter fått minst 5 års behandling med dimetylfumarat och 426 patienter har fått minst 10 års behandling med dimetylfumarat. Erfarenheten från okontrollerade kliniska prövningar är förenlig med erfarenheten från de placebokontrollerade kliniska prövningarna.
Sammanfattning i tabellform över biverkningar
Biverkningar som rapporterats i samband med kliniska studier, säkerhetsstudier och spontana rapporter efter marknadsintroduktion presenteras i nedanstående tabell.
Biverkningarna presenteras som MedDRA-rekommenderade termer under MedDRA-klassificeringen av organsystem. Incidensen av biverkningar nedan uttrycks enligt följande kategorier:
Mycket vanliga (≥1/10)
Vanliga (≥ 1/100, <1/10)
Mindre vanliga (≥1/1 000, <1/100)
Sällsynta (≥1/10 000, <1/1 000)
Mycket sällsynta (<1/10 000)
Ingen känd frekvens (frekvensen kan inte beräknas från tillgängliga data)
Beskrivning av selekterade biverkningar
Hudrodnad
I de placebokontrollerade studierna var incidensen av hudrodnad (34 % mot 4 %) och värmevallning (7 % mot 2 %) förhöjd hos patienter som behandlades med dimetylfumarat jämfört med placebo. Hudrodnad (flush) brukar beskrivas som rodnad eller värmevallning, men kan även innefatta andra symtom (t.ex. värme, rodnad, klåda och brännande känsla). Händelser med hudrodnad tenderade att börja tidigt under behandlingen (främst under den första månaden) och hos patienter som får hudrodnad kan dessa episoder fortsätta att uppträda då och då under hela behandlingen med dimetylfumarat.
De flesta av patienterna med hudrodnad hade episoder med lindrig eller måttlig svårighetsgrad. Totalt avbröt 3 % av patienterna som fick dimetylfumarat behandlingen på grund av hudrodnad.
Incidensen av allvarlig hudrodnad, vilken kan kännetecknas av generaliserat erytem, hudutslag och/eller klåda, sågs hos mindre än 1 % av patienterna som behandlades med dimetylfumarat (se avsnitt 4.2, 4.4 och 4.5).
Magtarmkanal
Incidensen av mag-tarmbesvär (t.ex. diarré [14 % mot 10 %], illamående [12 % mot 9 %], smärta i övre delen av buken [10 % mot 6 %], buksmärta [9 % mot 4 %], kräkning [8 % mot 5 %] och dyspepsi [5 % mot 3 %]) ökade hos patienter som fick dimetylfumarat jämfört med placebo.
Mag-tarmbesvär tenderade att börja tidigt under behandlingen (främst under den första månaden) och hos patienter som får mag-tarmbesvär kan dessa episoder fortsätta att uppträda då och då under hela behandlingen med dimetylfumarat.
De flesta av patienterna med mag-tarmbesvär hade episoder med lindrig eller måttlig svårighetsgrad. Fyra procent (4 %) av patienterna som behandlades med dimetylfumarat avbröt behandlingen på grund av mag-tarmbesvär.
Incidensen av allvarliga mag-tarmbesvär, inklusive gastroenterit och gastrit, sågs hos 1 % av patienterna som behandlades med dimetylfumarat (se avsnitt 4.2).
Leverfunktion
Baserat på data från placebokontrollerade studier hade majoriteten av patienterna med förhöjningar levertransaminaser som var <3 gånger den övre normalgränsen (upper limit of normal, ULN). Den ökade incidensen av förhöjda levertransaminaser hos patienter som behandlades med dimetylfumarat i relation till placebo sågs främst under de första 6 månadernas behandling.
Förhöjt alaninaminotransferas respektive aspartataminotransferas ≥3 gånger ULN, sågs hos 5 % och 2 % av patienterna som behandlades med placebo och 6 % och 2 % av patienterna som behandlades med dimetylfumarat. Behandlingsavbrotten på grund av förhöjda levertransaminaser var <1 % och likartade hos patienter som behandlades med dimetylfumarat eller placebo. Förhöjda transaminaser på ≥ 3 gånger ULN med samtidiga förhöjningar av totalt bilirubin på >2 gånger ULN observerades inte i placebokontrollerade studier.
Förhöjda leverenzymer och fall med läkemedelsinducerad leverskada (förhöjda transaminaser ≥3 gånger ULN med samtidiga förhöjningar av totalt bilirubin >2 gånger ULN), har rapporterats efter godkännande för försäljning efter administrering av dimetylfumarat, vilka försvann vid avbruten behandling.
Lymfopeni
I de placebokontrollerade studierna hade de flesta patienter (>98 %) normala lymfocytvärden innan behandlingen inleddes. Vid behandling med dimetylfumarat minskade de genomsnittliga lymfocyttalen under det första året med en påföljande platå. I genomsnitt sjönk lymfocyttalen med cirka 30 % av värdet vid behandlingens början. Medel- och medianvärden för lymfocyttalen höll sig inom normala gränser. Lymfocyttal på <0,5 × 109/l observerades hos <1 % av patienterna som fick placebo och 6 % av patienterna som fick dimetylfumarat. Ett lymfocyttal på <0,2 × 109/l observerades hos 1 patient som behandlades med dimetylfumarat och inte hos någon patient som fick placebo.
I kliniska studier (både kontrollerade och okontrollerade), hade 41 % av patienterna, som behandlades med dimetylfumarat, lymfopeni (definierad i dessa studier som <0,91 × 109/l). Mild lymfopeni (lymfocyttal ≥0,8 × 109/l till <0,91 × 109/l) observerades hos 28 % av patienterna, måttlig lymfopeni (lymfocyttal ≥0,5 × 109/l till <0,8 × 109/l) som varade i minst sex månader observerades hos 11 % av patienterna och svår lymfopeni (lymfocyttal <0,5 × 109/l) som varade i minst sex månader observerades hos 2 % av patienterna. I gruppen med svår lymfopeni förblev de flesta lymfocyttalen <0,5 × 109/l med fortsatt behandling.
I en okontrollerad prospektiv studie efter marknadsintroduktion observerades dessutom, vid vecka 48 av behandling med dimetylfumarat (n = 185), att CD4+ T-cellerna minskat måttligt (antal ≥0,2 × 109/l till <0,4 × 109/l) eller kraftigt (<0,2 × 109/l) hos upp till 37 % respektive 6 % av patienterna, medan CD8+ T-cellerna minskat oftare, hos upp till 59 % av patienterna med antal <0,2 × 109/l och 25 % av patienterna med antal <0,1 × 109/l. I kontrollerade och okontrollerade kliniska studier monitorerades patienter som avbröt dimetylfumarat-behandlingen med lymfocyttal som låg under den nedre normalgränsen (LLN, lower limit of normal) avseende återhämtning av lymfocyttalet till LLN (se avsnitt 5.1).
Infektioner, inklusive PML och opportunistiska infektioner
Fall av infektioner med John Cunningham-virus (JCV), som orsakar progressiv multifokal leukoencefalopati (PML), har rapporterats med dimetylfumarat (se avsnitt 4.4). PML kan vara dödlig eller leda till svår funktionsnedsättning. I en av de kliniska prövningarna utvecklade en patient som tog dimetylfumarat PML vid långvarig svår lymfopeni (lymfocyttal mestadels <0,5 × 109/l i 3,5 år), med dödlig utgång. Efter marknadsintroduktion har PML också förekommit i närvaro av måttlig och mild lymfopeni (>0,5 × 109/l till <LLN, såsom definierad enligt det lokala laboratoriets referensområde).
I flera fall av PML där T-cellundergrupper bestämdes vid tidpunkten för PML-diagnosen observerades att CD8+ T-cellantalen minskat till <0,1 × 109/l, medan minskningarna av CD4+ T-cellantalen varierade (från <0,05 till 0,5 × 109/l) och korrelerade mer med lymfopenins svårighetsgrad överlag (<0,5 × 109/l till <LLN). Detta ledde till att CD4+/CD8+-förhållandet ökade hos dessa patienter.
Långvarig måttlig till svår lymfopeni förefaller öka risken för PML med dimetylfumarat, dock förekom PML också hos patienter med mild lymfopeni. Dessutom har de flesta fallen av PML efter marknadsintroduktion förekommit hos patienter >50 år.
Herpes zoster-infektioner har rapporterats vid användning av dimetylfumarat. I en pågående långtids uppföljningsstudie i vilken 1 736 MS-patienter behandlas med dimetylfumarat hade cirka 5 % en eller flera herpes zoster-händelser. Majoriteten av dessa var av lindrig till måttlig svårighetsgrad. De flesta patienterna, inklusive de som hade en svår herpes zoster-infektion, hade lymfocyttal som var över den nedre normalvärdesgränsen. Hos de flesta patienterna med samtidiga lymfocyttal under LLN bedömdes lymfopenin vara måttlig eller svår. Efter marknadsintroduktion har de flesta fallen av herpes zoster-infektioner varit icke allvarliga och läkt ut med behandling. Data om absolut lymfocyttal (ALC) hos patienter med herpes zoster-infektion är begränsade efter marknadsintroduktionen. I de fall det har rapporterats har emellertid de flesta patienterna haft måttlig (≥0,5 × 109/l till <0,8 × 109/l) eller svår (<0,5 × 109/l till 0,2 × 109/l) lymfopeni (se avsnitt 4.4).
Avvikelser i laboratorietestresultat
I de placebokontrollerade studierna var mätningen av urinketoner (1+ eller mer) högre hos patienter som fick dimetylfumarat (45 %) jämfört med placebo (10 %). Inga kliniska konsekvenser av relevans observerades i kliniska prövningar.
Nivåer av 1,25-dihydroxyvitamin D sjönk hos dimetylfumarat-behandlade patienter jämfört med placebo (en procentuell medianminskning från baslinjen vid 2 år på 25 % respektive 15 %) och nivåerna av parathormon (PTH) steg hos dimetylfumarat-behandlade patienter jämfört med placebo (procentuell medianökning från baslinjen vid 2 år på 29 % respektive 15 %). Medelvärdena för båda parametrarna höll sig inom det normala intervallet.
En övergående ökning av genomsnittliga eosinofilvärden har setts under de 2 första månaderna av behandlingen.
Pediatrisk population
I en 96 veckor lång öppen, randomiserad och aktivt kontrollerad prövning på pediatriska patienter med RRMS i åldern 10 till yngre än 18 år (120 mg två gånger dagligen i 7 dagar följt av 240 mg två gånger dagligen under resten av behandlingen; studiepopulation n = 78), var säkerhetsprofilen för pediatriska patienter likartad den som tidigare observerats hos vuxna patienter.
Utformningen av den kliniska prövningen på pediatriska patienter skilde sig från de placebokontrollerade kliniska prövningarna på vuxna. Det kan därför inte uteslutas att utformningen av den kliniska prövningen kan ha bidragit till skillnaden i antalet biverkningar hos barn och vuxna.
Följande biverkningar rapporterades oftare (≥10 %) i den pediatriska populationen än i den vuxna populationen:
Huvudvärk rapporterades hos 28 % av patienterna som behandlades med dimetylfumarat jämfört med 36 % av patienterna som behandlades med interferon beta-1a.
Gastrointestinala besvär rapporterades hos 74 % av patienterna som behandlades med dimetylfumarat jämfört med 31 % av patienterna som behandlades med interferon beta-1a. Av dessa var buksmärtor och kräkningar de vanligaste biverkningarna av dimetylfumarat.
Biverkningar i andningsvägar, bröstkorg och mediastinum rapporterades hos 32 % av patienterna som behandlades med dimetylfumarat jämfört med 11 % av patienterna som behandlades med interferon beta-1a. Av dessa var orofaryngeal smärta och hosta de vanligaste biverkningarna av dimetylfumarat.
Dysmenorré rapporterades hos 17 % av patienterna som behandlades med dimetylfumarat jämfört med 7 % av patienterna som behandlades med interferon beta-1a.
I en liten, 24 veckor lång, öppen, okontrollerad studie på pediatriska patienter med RRMS i åldern 13 till 17 år (120 mg två gånger dagligen i 7 dagar följt av 240 mg två gånger dagligen under resten av behandlingen, säkerhetspopulation n = 22), följt av en förlängningsstudie i 96 veckor (240 mg två gånger dagligen; säkerhetspopulation n = 20), verkade säkerhetsprofilen vara likartad den som observerats hos vuxna patienter.
Det finns begränsade data om barn i åldern 10-12 år. Säkerhet och effekt för dimetylfumarat för barn under 10 år har ännu inte fastställts.
Rapportering av misstänkta biverkningar
Fall av överdosering med dimetylfumarat har rapporterats. Symtomen som beskrivs i dessa fall var förenliga med den kända biverkningsprofilen för dimetylfumarat. Det finns inga kända terapeutiska interventioner för att öka elimineringen av dimetylfumarat och det finns heller ingen känd antidot. I fall av överdosering rekommenderas att symtomatisk behandling sätts in så som är kliniskt motiverat.
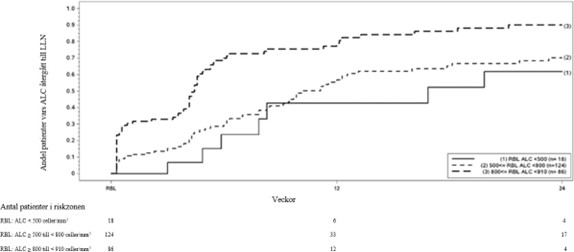
I fas 3-studier på MS-patienter (DEFINE, CONFIRM och ENDORSE) sjönk de genomsnittliga lymfocyttalen vid behandling med dimetylfumarat med i genomsnitt cirka 30 % av deras baslinjevärde under det första året med en påföljande platå. I dessa studier monitorerades patienter som avbröt behandlingen med dimetylfumarat med lymfocyttal under den nedre normalgränsen (LLN, 910 celler/mm3) avseende återhämtning av lymfocyttalen till LLN.
Figur 1 visar andelen patienter som beräknades nå LLN baserat på Kaplan-Meier-metod utan långvarig svår lymfopeni. Baslinjevärdet för återhämtning (RBL, recovery baseline) definierades som senaste ALC under behandling innan dimetylfumarat sattes ut. Beräknad andel av patienter vars värden återgått till LLN (ALC ≥0,9 × 109/l) vecka 12 och vecka 24, som hade mild, måttlig eller svår lymfopeni vid RBL, redovisas i tabell 1, tabell 2 och tabell 3 med 95 % punktvisa konfidensintervall. Standardfel för Kaplan-Meier-estimatorn för överlevnadsfunktion har beräknats med Greenwoods formel.
Figur 1: Kaplan-Meier-metod: andel patienter med återhämtning till ≥910 celler/mm3 LLN från baslinjevärdet för återhämtning (RBL)
Tabell 1: Kaplan-Meier-metod: andel patienter som beräknas uppnå LLN, mild lymfopeni vid baslinjevärdet för återhämtning (RBL), patienter med långvarig svår lymfopeni exkluderade
a Patienter med ALC <910 och ≥ 800 celler/mm3 vid RBL, patienter med långvarig svår lymfopeni exkluderade.
Tabell 2: Kaplan-Meier-metod: andel patienter som beräknas uppnå LLN, måttlig lymfopeni vid baslinjevärdet för återhämtning (RBL), patienter med långvarig svår lymfopeni exkluderade
a Patienter med ALC <800 och ≥500 celler/mm3 vid RBL, patienter med långvarig svår lymfopeni exkluderade.
Tabell 3: Kaplan-Meier-metod: andel patienter som beräknas uppnå LLN, svår lymfopeni vid baslinjevärdet för återhämtning (RBL), patienter med långvarig svår lymfopeni exkluderade
a Patienter med ALC <500 celler/mm3 vid RBL, patienter med långvarig svår lymfopeni exkluderade.
Klinisk effekt och säkerhet
Två 2-åriga, randomiserade, dubbelblinda, placebokontrollerade studier (DEFINE med 1 234 patienter och CONFIRM med 1 417 patienter) med skovvis förlöpande multipel skleros (relapsing-remitting multiple sclerosis, RRMS) utfördes. Patienter med progressiva former av MS ingick inte i dessa studier.
Effekt (se tabell nedan) och säkerhet påvisades hos patienter med från 0 till och med 5 poäng i EDSS (Expanded Disability Status Scale), vilka hade haft minst 1 skov under året före randomiseringen, eller som under 6 veckor före randomiseringen hade genomgått en hjärnundersökning med magnetisk resonanstomografi (MRT) som visade att det fanns minst en gadolinium-laddad (Gd+) lesion. CONFIRM-studien innehöll en ”rater-blinded” (dvs. den studieläkare/prövare som bedömde svaret på studiebehandlingen är blindad) referenskomparator i form av glatirameracetat.
I DEFINE hade patienter följande medianvärden för baslinjeegenskaper: ålder 39 år, sjukdomslängd 7,0 år och EDSS-poäng 2,0. Dessutom hade 16 % av patienterna en EDSS-poäng på >3,5, 28 % hade ≥2 skov under det föregående året och 42 % hade tidigare fått andra godkända MS-behandlingar. I MRT-kohorten hade 36 % av patienterna som skrevs in i studien Gd+ lesioner vid baslinjen (medelantal för Gd+ lesioner 1,4).
I CONFIRM hade patienter följande medianvärden för baslinjeegenskaper: ålder 37 år, sjukdomslängd 6,0 år och EDSS-poäng 2,5. Dessutom hade 17 % av patienterna en EDSS-poäng på >3,5, 32 % hade ≥ 2 skov under det föregående året och 30 % hade tidigare fått andra godkända MS-behandlingar. I MRT-kohorten hade 45 % av patienterna som skrevs in i studien Gd+ lesioner vid baslinjen (medelantal för Gd+-lesioner 2,4).
Jämfört med placebo hade patienter som behandlades med dimetylfumarat en kliniskt meningsfull och statistiskt signifikant reduktion av det primära resultatmåttet i DEFINE-studien, andelen patienter med skov vid 2 år; och det primära resultatmåttet i CONFIRM-studien, årlig skovfrekvens (ARR, annualised relapse rate) vid 2 år.
ARR för glatirameracetat och placebo var 0,286 respektive 0,401 i CONFIRM-studien, vilket motsvarade en minskning på 29 % (p=0,013), vilket är förenligt med godkänd förskrivningsinformation.
a Alla analyser av kliniska resultatmått var intent-to-treat
b MRT-analysen gjordes på MRT-kohort
* P-värde <0,05; **P-värde <0,01; ***P-värde <0,0001; #inte statistiskt signifikant
Till en öppen 8-årig förlängningsstudie utan kontroll (ENDORSE) rekryterades 1 736 lämpliga RRMS-patienter från de pivotala studierna (DEFINE och CONFIRM). Det primära syftet med studien var att undersöka långtidssäkerheten för dimetylfumarat hos patienter med RRMS. Omkring hälften av de 1 736 patienterna (909, 52 %) behandlades i 6 år eller mer. 501 patienter i de tre studierna fick fortsatt behandling med dimetylfumarat 240 mg två gånger dagligen och 249 patienter som tidigare behandlats med placebo i DEFINE- och CONFIRM-studierna fick 240 mg två gånger dagligen i ENDORSE-studien. Patienter som fortsatte med behandling två gånger dagligen behandlades i upp till 12 år.
Inga skov förekom hos över hälften av patienterna som behandlades med dimetylfumarat 240 mg två gånger dagligen i ENDORSE-studien. Justerad ARR för patienter som fortsatte få behandling två gånger dagligen i alla tre studierna var 0,187 (95 % KI: 0,156; 0,224) i DEFINE och CONFIRM och 0,141 (95 % KI: 0,119; 0,167) i ENDORSE. Hos patienter som tidigare behandlats med placebo minskade justerad ARR från 0,330 (95 % KI: 0,266; 0,408) i DEFINE och CONFIRM till 0,149 (95 % KI: 0,116; 0,190) i ENDORSE.
I ENDORSE-studien hade majoriteten av patienterna (>75 %) ingen bekräftad försämring av funktionsförmågan (mätt som 6 månaders ihållande försämring av funktionsförmågan). Sammanslagna resultat från de tre studierna visade att patienter som behandlades med dimetylfumarat hade enhetliga och låga frekvenser av bekräftad försämring av funktionsförmågan, med en liten ökning av genomsnittliga EDSS-poäng i ENDORSE. MRT-analyser (fram till år 6, omfattande 752 patienter som tidigare ingått i MRT-kohorten i DEFINE- och CONFORM-studierna) visade att majoriteten av patienterna (cirka 90 %) inte hade några Gd-laddande lesioner. Under de 6 åren kvarstod årligt justerat genomsnittligt antal nya eller nyligen förstorade T2- och nya T1-lesioner på en låg nivå.
Effekt hos patienter med hög sjukdomsaktivitet
I DEFINE- och CONFIRM-studierna observerades en enhetlig behandlingseffekt på skov i en delgrupp med patienter med hög sjukdomsaktivitet, medan effekten på tid fram till 3-månaders bevarad förvärrad funktionsnedsättning inte kunde fastställas tydligt. På grund av studiernas utformning definierades hög sjukdomsaktivitet på följande sätt:
patienter med 2 eller flera skov under ett år, och med en eller flera Gd-laddande lesioner vid MRT av hjärnan (n=42 i DEFINE; n=51 i CONFIRM) eller,
patienter som inte har svarat på en fullständig och adekvat kur (minst ett års behandling) med beta-interferon, har haft minst ett skov under det föregående året under pågående behandling, och minst 9 T2-hyperintensiva lesioner vid kranial MRT eller minst en Gd-laddande lesion, eller patienter med en oförändrad eller ökad skovfrekvens under det föregående året jämfört med de tidigare 2 åren (n=177 i DEFINE; n=141 i CONFIRM).
Pediatrisk population
Säkerhet och effekt för dimetylfumarat vid pediatrisk RRMS har utvärderats i en randomiserad, öppen, aktivt kontrollerad (interferon beta-1a) studie med parallella grupper på patienter i åldern 10 till yngre än 18 år med RRMS. 150 patienter randomiserades till dimetylfumarat (240 mg två gånger dagligen peroralt) eller interferon beta-1 (30 μg i.m. en gång per vecka) i 96 veckor. Primärt effektmått var andelen studiedeltagare utan nya eller nyligen förstorade T2-hyperintensiva lesioner på hjärn-MRT vecka 96. Det viktigaste sekundära effektmåttet var antalet nya eller nyligen förstorade T2-hyperintensiva lesioner på hjärn-MRT vecka 96. Beskrivande statistik presenteras eftersom ingen bekräftande hypotes planerats för det primära effektmåttet.
Andelen patienter i ITT-populationen utan nya eller nyligen förstorade T2-lesioner på MRT vecka 96 jämfört med vid baslinjen var 12,8 % för dimetylfumaratgruppen jämfört med 2,8 % för interferon beta-1a-gruppen. Genomsnittligt antal nya eller nyligen förstorade T2-lesioner vecka 96 jämfört med baslinjen, justerat för antal T2-lesioner vid baslinjen samt ålder (ITT-population exklusive patienter utan MRT-mätningar), var 12,4 för dimetylfumarat och 32,6 för interferon beta-1a.
Sannolikheten för kliniskt återfall var 34 % i gruppen som fick dimetylfumarat och 48 % i gruppen som fick interferon beta-1a under den 96 veckor långa öppna studieperioden.
Säkerhetsprofilen hos pediatriska patienter (i åldern 13 till yngre än 18 år) som fick dimetylfumarat överensstämde kvalitativt med den som tidigare observerats hos vuxna patienter (se avsnitt 4.8).
Oralt administrerat dimetylfumarat genomgår snabb presystemisk hydrolys med esteraser och omvandlas till dess primära aktiva metabolit, monometylfumarat. Dimetylfumarat kan inte kvantifieras i plasma efter oral administrering av dimetylfumarat. Därför utfördes alla farmakokinetiska analyser som var relaterade till dimetylfumarat med koncentrationer av plasmamonometylfumarat. Farmakokinetiska data erhölls från patienter med multipel skleros och friska försökspersoner.
Absorption
Tmax för monometylfumarat är 2 till 2,5 timmar. Eftersom dimetylfumarat hårda enterokapslar, innehåller mikrotabletter som skyddas av en enterobeläggning, sker ingen absorption förrän de lämnar magsäcken (i allmänhet efter mindre än 1 timme). Efter det att 240 mg två gånger dagligen administrerats i samband med mat, var medianmaxvärdet (Cmax) 1,72 mg/l och den totala arean under kurvan (AUC) -exponeringen var 8,02 tim.mg/l hos patienter med multipel skleros. Totalt ökade Cmax och AUC ungefär dosproportionellt i det studerade dosintervallet (120 mg till 360 mg). I studier på patienter med multipel skleros administrerades två doser om 240 mg med 4 timmars mellanrum som en del av en regim med dosering tre gånger per dag. Detta ledde till en minimal ackumulering av exponering som gav en ökning av median-Cmax på 12 % jämfört med doseringen två gånger dagligen (1,72 mg/l för två gånger dagligen jämfört med 1,93 mg/l för tre gånger dagligen) utan säkerhetspåverkan.
Mat har ingen kliniskt signifikant effekt på exponeringen av dimetylfumarat. Dimetylfumarat ska dock tas i samband med mat på grund av förbättrad tolerabilitet vad gäller biverkningar i form av ansiktsrodnad eller mag-tarmbesvär (se avsnitt 4.2).
Distribution
Den uppenbara distributionsvolymen efter oral administrering av 240 mg dimetylfumarat varierar mellan 60 l och 90 l. Human plasmaproteinbindning av monometylfumarat brukar variera mellan 27 % och 40 %.
Metabolism
Hos människa sker en omfattande metabolisering av dimetylfumarat och mindre än 0,1 % av dosen utsöndras som oförändrat dimetylfumarat i urin. Det metaboliseras initialt av esteraser, vilka förkommer allmänt i mag-tarmkanalen, blod och vävnader, innan det når den systemiska cirkulationen. Vidare metabolism sker via trikarboxylsyracykeln, utan involvering av cytokrom P450 (CYP)-systemet.
I en engångsdosstudie av 240 mg 14C-dimetylfumarat identifierades glukos som den predominanta metaboliten i human plasma. Övriga cirkulerande metaboliter innefattade fumarsyra, citronsyra och monometylfumarat. Nedströmsmetabolismen av fumarsyra sker via trikarboxylsyracykeln, med utandning av CO2 som den primära elimineringsvägen.
Eliminering
Utandning av CO2 är den huvudsakliga elimineringsvägen för dimetylfumarat och står för 60 % av dosen.
Renal och fekal eliminering är sekundära elimineringsvägar och står för 15,5 % respektive 0,9 % av dosen.
Den terminala halveringstiden för monometylfumarat är kort (cirka 1 timme) och det finns inget cirkulerande monometylfumarat vid 24 timmar hos de flesta personer. Det uppstår ingen ackumulering av moderläkemedel eller monometylfumarat med multipla doser av dimetylfumarat vid den terapeutiska regimen.
Linjäritet
Dimetylfumaratexponering ökar på ett ungefärligt dosproportionellt sätt med engångs- och flergångsdoser i det studerade dosintervallet på 120 mg till 360 mg.
Farmakokinetik i särskilda patientgrupper
Baserat på resultaten för ANOVA (Analysis of Variance), är kroppsvikt den huvudsakliga kovariaten för exponering (enligt Cmax och AUC) när det gäller patienter med RRMS, men påverkade inte säkerhets- och effektmått som utvärderades i de kliniska studierna.
Kön och ålder hade ingen kliniskt signifikant effekt på farmakokinetiken för dimetylfumarat. Farmakokinetiken för patienter som är 65 år och äldre har inte studerats.
Pediatrisk population
Den farmakokinetiska profilen för 240 mg dimetylfumarat två gånger dagligen utvärderades i en liten öppen okontrollerad studie på patienter med RRMS i åldern 13 till 17 år (n = 21). Farmakokinetiken för dimetylfumarat hos dessa ungdomar stämde överens med det som tidigare observerats hos vuxna patienter (Cmax: 2,00 ± 1,29 mg/l; AUC0-12tim: 3,62 ± 1,16 h.mg/l, vilket motsvarar en total daglig AUC på 7,24 h.mg/l).
Nedsatt njurfunktion
Eftersom den renala vägen är en sekundär elimineringsväg för dimetylfumarat och står för mindre än 16 % av den administrerade dosen, gjordes ingen utvärdering av farmakokinetiken hos personer med nedsatt njurfunktion.
Nedsatt leverfunktion
Eftersom dimetylfumarat och monometylfumarat metaboliseras av esteraser, utan involvering av CYP450-systemet, utfördes ingen utvärdering av farmakokinetiken hos personer med nedsatt leverfunktion.
Biverkningarna som beskrivs i avsnitten toxikologi och reproduktionstoxicitet nedan observerades inte i kliniska studier, men sågs hos djur vid exponeringsnivåer som var likartade med kliniska exponeringsnivåer.
Mutagenes
Dimetylfumarat och monometylfumarat var negativa i ett flertal in vitro-analyser (Ames, kromosomavvikelse i mammalieceller). Dimetylfumarat var negativt i mikronukleusanalysen in vivo på råtta.
Karcinogenes
Karcinogenicitetsstudier av dimetylfumarat utfördes i upp till 2 år på möss och råttor. Dimetylfumarat administrerades oralt vid doser på 25, 75, 200 och 400 mg/kg/dag till möss, och vid doser på 25, 50, 100 och 150 mg/kg/dag till råttor.
Hos möss ökade incidensen av cancer i njurtubuli vid 75 mg/kg/dag, vid en exponering (AUC) som motsvarade den rekommenderade dosen till människa. Hos råtta ökade incidensen av cancer i njurtubuli och testikulärt Leydigcellsadenom vid 100 mg/kg/dag, vid en exponering som var ungefär 2 gånger högre än den rekommenderade dosen till människa. Det är okänt vilken signifikans dessa fynd har för risken för människa.
Incidensen av papillom i skivepitelceller och cancer i den icke-glandulära delen av magsäcken (förmagen) ökade hos möss vid en exponering som motsvarade den rekommenderade dosen till människa och hos råttor vid en dos som understeg den rekommenderade dosen till människa (baserat på AUC). Förmagen hos gnagare saknar motsvarighet hos människa.
Toxikologi
Icke-kliniska studier på gnagare, kaniner och apor utfördes med en dimetylfumaratsuspension (dimetylfumarat i 0,8 % hydroxypropylmetylcellulosa) som administrerades med oral sondmatning. Den kroniska hundstudien utfördes med oral administrering av dimetylfumaratkapseln.
Njurförändringar sågs efter upprepad oral administrering av dimetylfumarat hos möss, råttor, hundar och apor. Återbildning av epitel i njurtubuli, vilket tyder på skada, sågs hos alla djurslag. Hyperplasi i njurtubuli sågs hos råttor vid livstidsdosering (2-årig studie). Hos hundar som fick dagliga orala doser med dimetylfumarat under 11 månader observerades den beräknade marginalen för kortikal atrofi vid 3 gånger den rekommenderade dosen baserat på AUC. Hos apor som fick dagliga orala doser med dimetylfumarat under 12 månader sågs encellsnekros vid 2 gånger den rekommenderade dosen baserat på AUC. Interstitiell fibros och kortikal atrofi sågs vid 6 gånger den rekommenderade dosen baserat på AUC. Det är okänt vilken signifikans dessa fynd har för människa.
Hos råttor och hundar sågs en degenerering av sädesproducerande epitel i testiklarna. Fynden observerades vid ungefär den rekommenderade dosen hos råttor och vid 3 gånger den rekommenderade dosen hos hundar (på AUC-basis). Det är okänt vilken signifikans dessa fynd har för människa.
Fynd i förmagen hos möss och råttor bestod av skivepitelshyperplasi och hyperkeratos; inflammation; och skivepitelscellspapillom och cancer i studier som pågick i 3 månader eller mer. Förmagen hos möss och råttor saknar motsvarighet hos människa.
Reproduktionstoxicitet
Oral administrering av dimetylfumarat till hanråttor vid 75, 250 och 375 mg/kg/dag före och under parning hade inga effekter på hanarnas fertilitet upp till den högsta testade dosen (minst 2 gånger den rekommenderade dosen på en AUC-basis). Oral administrering av dimetylfumarat till honråttor vid 25, 100 och 250 mg/kg/dag före och under parning, och med fortsättning till dräktighetsdag 7, inducerade en reduktion av antalet brunststadier per 14 dagar och ökade antalet djur med förlängd diestrus vid den högsta testade dosen (11 gånger den rekommenderade dosen på en AUC-basis). Dessa förändringar påverkade dock inte fertiliteten eller antalet livsdugliga foster som producerades.
Det har visats att dimetylfumarat passerar placentamembranet in i fostrets blod hos råttor och kaniner, med foster-moderkvoter för plasmakoncentrationer på 0,48 till 0,64 hos råttor respektive 0,1 hos kaniner. Inga missbildningar observerades vid någon dos av dimetylfumarat hos råttor eller kaniner.
Administrering av dimetylfumarat vid orala doser på 25, 100 och 250 mg/kg/dag till dräktiga råttor under perioden för organogenes resulterade i biverkningar hos modern vid 4 gånger den rekommenderade dosen på en AUC-basis, och låg fostervikt samt försenad benbildning (metatarsaler och bakbensfalanger) vid 11 gånger den rekommenderade dosen på en AUC-basis. Den lägre fostervikten och den försenade benbildningen ansågs vara sekundära till toxicitet hos modern (lägre kroppsvikt och minskat födointag).
Oral administrering av dimetylfumarat vid 25, 75 och 150 mg/kg/dag till dräktiga kaniner under organogenes hade ingen effekt på den embryo-fetala utvecklingen och ledde till lägre kroppsvikt hos modern vid 7 gånger den rekommenderade dosen och en ökad abortering vid 16 gånger den rekommenderade dosen på en AUC-basis.
Oral administrering av dimetylfumarat vid 25, 100 och 250 mg/kg/dag till råttor under dräktighet och laktation ledde till lägre kroppsvikter hos F1-avkomman, och försenad sexuell mognad hos F1-hanar vid 11 gånger den rekommenderade dosen på en AUC-basis. Fertiliteten hos F1-avkomman påverkades inte. Den lägre kroppsvikten hos avkomman ansågs vara sekundär till toxiciteten hos modern.
Två toxicitetsstudier på juvenila råttor som fick daglig peroral administrering av dimetylfumarat från dag 28 postnatalt (PND 28) till och med PND 90–93 (motsvarande cirka 3 år och äldre hos människa) visade på liknande organtoxiciteter i njure och förmage som hos vuxna djur. I den första studien hade dimetylfumarat ingen påverkan på utveckling, kognition eller han-/hondjurens fertilitet upp till den högsta dosen på 140 mg/kg/dag (ungefär 4,6 gånger den rekommenderade dosen till människa, baserat på begränsade AUC-data för pediatriska patienter). Inte heller observerades några effekter på handjurens reproduktions-/könsorgan upp till den högsta dosen dimetylfumarat på 375 mg/kg/dag i den andra studien på juvenila hanråttor (cirka 15 gånger förmodat AUC vid rekommenderad pediatrisk dos). Minskat mineralinnehåll och lägre bentäthet sågs dock i femur och ländkotor hos juvenila hanråttor. Förändringar på bendensiometri observerades också hos juvenila råttor efter peroral administrering av diroximelfumarat, en annan fumarester som metaboliseras till samma aktiva metabolit, monometylfumarat, in vivo. NOEL för densitometriförändringarna hos juvenila råttor är cirka 1,5 gånger sannolikt AUC vid rekommenderad pediatrisk dos. Ett samband mellan skelettpåverkan och lägre kroppsvikt är möjligt, men en direkt effekt kan inte uteslutas. Skelettfynden är av begränsad relevans för vuxna patienter. Relevansen för pediatriska patienter är okänd.
Farmakoterapeutisk grupp: Immunsuppressiva medel, övriga immunsuppressiva medel, ATC-kod: L04AX07
Verkningsmekanism
Den mekanism genom vilken dimetylfumarat utövar de terapeutiska effekterna vid multipel skleros är ännu inte helt klarlagd. Prekliniska studier indikerar att farmakodynamiska svar på dimetylfumarat främst verkar förmedlas via aktivering av den nukleärfaktor (erytroid-härledd 2)-liknande 2 (Nrf2) transkriptionella kanalen. Det har visats att dimetylfumarat uppreglerar Nrf2-beroende antioxidantgener hos patienter (t.ex. NAD(P)H-dehydrogenas, kinon 1; [NQO1]).
Farmakodynamisk effekt
Effekter på immunsystemet
I prekliniska och kliniska studier uppvisade dimetylfumarat antiinflammatoriska och immunmodulerande egenskaper. Dimetylfumarat och monometylfumarat, den huvudsakliga metaboliten för dimetylfumarat, minskade signifikant immuncellsaktivering och påföljande frisättning av proinflammatoriska cytokiner som svar på inflammatoriska stimuli i prekliniska modeller.
I kliniska studier med psoriasispatienter påverkade dimetylfumarat lymfocytfenotyper via en nedreglering av proinflammatoriska cytokinprofiler (TH1, TH17) och utövade påverkan gentemot antiinflammatorisk produktion (TH2). Dimetylfumarat påvisade terapeutisk aktivitet i multipla modeller av inflammatorisk och neuroinflammatorisk skada.
I fas 3-studier på MS-patienter (DEFINE, CONFIRM och ENDORSE) sjönk de genomsnittliga lymfocyttalen vid behandling med dimetylfumarat med i genomsnitt cirka 30 % av deras baslinjevärde under det första året med en påföljande platå. I dessa studier monitorerades patienter som avbröt behandlingen med dimetylfumarat med lymfocyttal under den nedre normalgränsen (LLN, 910 celler/mm3) avseende återhämtning av lymfocyttalen till LLN.
Figur 1 visar andelen patienter som beräknades nå LLN baserat på Kaplan-Meier-metod utan långvarig svår lymfopeni. Baslinjevärdet för återhämtning (RBL, recovery baseline) definierades som senaste ALC under behandling innan dimetylfumarat sattes ut. Beräknad andel av patienter vars värden återgått till LLN (ALC ≥0,9 × 109/l) vecka 12 och vecka 24, som hade mild, måttlig eller svår lymfopeni vid RBL, redovisas i tabell 1, tabell 2 och tabell 3 med 95 % punktvisa konfidensintervall. Standardfel för Kaplan-Meier-estimatorn för överlevnadsfunktion har beräknats med Greenwoods formel.
Figur 1: Kaplan-Meier-metod: andel patienter med återhämtning till ≥910 celler/mm3 LLN från baslinjevärdet för återhämtning (RBL)
Tabell 1: Kaplan-Meier-metod: andel patienter som beräknas uppnå LLN, mild lymfopeni vid baslinjevärdet för återhämtning (RBL), patienter med långvarig svår lymfopeni exkluderade
a Patienter med ALC <910 och ≥ 800 celler/mm3 vid RBL, patienter med långvarig svår lymfopeni exkluderade.
Tabell 2: Kaplan-Meier-metod: andel patienter som beräknas uppnå LLN, måttlig lymfopeni vid baslinjevärdet för återhämtning (RBL), patienter med långvarig svår lymfopeni exkluderade
a Patienter med ALC <800 och ≥500 celler/mm3 vid RBL, patienter med långvarig svår lymfopeni exkluderade.
Tabell 3: Kaplan-Meier-metod: andel patienter som beräknas uppnå LLN, svår lymfopeni vid baslinjevärdet för återhämtning (RBL), patienter med långvarig svår lymfopeni exkluderade
a Patienter med ALC <500 celler/mm3 vid RBL, patienter med långvarig svår lymfopeni exkluderade.
Klinisk effekt och säkerhet
Två 2-åriga, randomiserade, dubbelblinda, placebokontrollerade studier (DEFINE med 1 234 patienter och CONFIRM med 1 417 patienter) med skovvis förlöpande multipel skleros (relapsing-remitting multiple sclerosis, RRMS) utfördes. Patienter med progressiva former av MS ingick inte i dessa studier.
Effekt (se tabell nedan) och säkerhet påvisades hos patienter med från 0 till och med 5 poäng i EDSS (Expanded Disability Status Scale), vilka hade haft minst 1 skov under året före randomiseringen, eller som under 6 veckor före randomiseringen hade genomgått en hjärnundersökning med magnetisk resonanstomografi (MRT) som visade att det fanns minst en gadolinium-laddad (Gd+) lesion. CONFIRM-studien innehöll en ”rater-blinded” (dvs. den studieläkare/prövare som bedömde svaret på studiebehandlingen är blindad) referenskomparator i form av glatirameracetat.
I DEFINE hade patienter följande medianvärden för baslinjeegenskaper: ålder 39 år, sjukdomslängd 7,0 år och EDSS-poäng 2,0. Dessutom hade 16 % av patienterna en EDSS-poäng på >3,5, 28 % hade ≥2 skov under det föregående året och 42 % hade tidigare fått andra godkända MS-behandlingar. I MRT-kohorten hade 36 % av patienterna som skrevs in i studien Gd+ lesioner vid baslinjen (medelantal för Gd+ lesioner 1,4).
I CONFIRM hade patienter följande medianvärden för baslinjeegenskaper: ålder 37 år, sjukdomslängd 6,0 år och EDSS-poäng 2,5. Dessutom hade 17 % av patienterna en EDSS-poäng på >3,5, 32 % hade ≥ 2 skov under det föregående året och 30 % hade tidigare fått andra godkända MS-behandlingar. I MRT-kohorten hade 45 % av patienterna som skrevs in i studien Gd+ lesioner vid baslinjen (medelantal för Gd+-lesioner 2,4).
Jämfört med placebo hade patienter som behandlades med dimetylfumarat en kliniskt meningsfull och statistiskt signifikant reduktion av det primära resultatmåttet i DEFINE-studien, andelen patienter med skov vid 2 år; och det primära resultatmåttet i CONFIRM-studien, årlig skovfrekvens (ARR, annualised relapse rate) vid 2 år.
ARR för glatirameracetat och placebo var 0,286 respektive 0,401 i CONFIRM-studien, vilket motsvarade en minskning på 29 % (p=0,013), vilket är förenligt med godkänd förskrivningsinformation.
a Alla analyser av kliniska resultatmått var intent-to-treat
b MRT-analysen gjordes på MRT-kohort
* P-värde <0,05; **P-värde <0,01; ***P-värde <0,0001; #inte statistiskt signifikant
Till en öppen 8-årig förlängningsstudie utan kontroll (ENDORSE) rekryterades 1 736 lämpliga RRMS-patienter från de pivotala studierna (DEFINE och CONFIRM). Det primära syftet med studien var att undersöka långtidssäkerheten för dimetylfumarat hos patienter med RRMS. Omkring hälften av de 1 736 patienterna (909, 52 %) behandlades i 6 år eller mer. 501 patienter i de tre studierna fick fortsatt behandling med dimetylfumarat 240 mg två gånger dagligen och 249 patienter som tidigare behandlats med placebo i DEFINE- och CONFIRM-studierna fick 240 mg två gånger dagligen i ENDORSE-studien. Patienter som fortsatte med behandling två gånger dagligen behandlades i upp till 12 år.
Inga skov förekom hos över hälften av patienterna som behandlades med dimetylfumarat 240 mg två gånger dagligen i ENDORSE-studien. Justerad ARR för patienter som fortsatte få behandling två gånger dagligen i alla tre studierna var 0,187 (95 % KI: 0,156; 0,224) i DEFINE och CONFIRM och 0,141 (95 % KI: 0,119; 0,167) i ENDORSE. Hos patienter som tidigare behandlats med placebo minskade justerad ARR från 0,330 (95 % KI: 0,266; 0,408) i DEFINE och CONFIRM till 0,149 (95 % KI: 0,116; 0,190) i ENDORSE.
I ENDORSE-studien hade majoriteten av patienterna (>75 %) ingen bekräftad försämring av funktionsförmågan (mätt som 6 månaders ihållande försämring av funktionsförmågan). Sammanslagna resultat från de tre studierna visade att patienter som behandlades med dimetylfumarat hade enhetliga och låga frekvenser av bekräftad försämring av funktionsförmågan, med en liten ökning av genomsnittliga EDSS-poäng i ENDORSE. MRT-analyser (fram till år 6, omfattande 752 patienter som tidigare ingått i MRT-kohorten i DEFINE- och CONFORM-studierna) visade att majoriteten av patienterna (cirka 90 %) inte hade några Gd-laddande lesioner. Under de 6 åren kvarstod årligt justerat genomsnittligt antal nya eller nyligen förstorade T2- och nya T1-lesioner på en låg nivå.
Effekt hos patienter med hög sjukdomsaktivitet
I DEFINE- och CONFIRM-studierna observerades en enhetlig behandlingseffekt på skov i en delgrupp med patienter med hög sjukdomsaktivitet, medan effekten på tid fram till 3-månaders bevarad förvärrad funktionsnedsättning inte kunde fastställas tydligt. På grund av studiernas utformning definierades hög sjukdomsaktivitet på följande sätt:
patienter med 2 eller flera skov under ett år, och med en eller flera Gd-laddande lesioner vid MRT av hjärnan (n=42 i DEFINE; n=51 i CONFIRM) eller,
patienter som inte har svarat på en fullständig och adekvat kur (minst ett års behandling) med beta-interferon, har haft minst ett skov under det föregående året under pågående behandling, och minst 9 T2-hyperintensiva lesioner vid kranial MRT eller minst en Gd-laddande lesion, eller patienter med en oförändrad eller ökad skovfrekvens under det föregående året jämfört med de tidigare 2 åren (n=177 i DEFINE; n=141 i CONFIRM).
Pediatrisk population
Säkerhet och effekt för dimetylfumarat vid pediatrisk RRMS har utvärderats i en randomiserad, öppen, aktivt kontrollerad (interferon beta-1a) studie med parallella grupper på patienter i åldern 10 till yngre än 18 år med RRMS. 150 patienter randomiserades till dimetylfumarat (240 mg två gånger dagligen peroralt) eller interferon beta-1 (30 μg i.m. en gång per vecka) i 96 veckor. Primärt effektmått var andelen studiedeltagare utan nya eller nyligen förstorade T2-hyperintensiva lesioner på hjärn-MRT vecka 96. Det viktigaste sekundära effektmåttet var antalet nya eller nyligen förstorade T2-hyperintensiva lesioner på hjärn-MRT vecka 96. Beskrivande statistik presenteras eftersom ingen bekräftande hypotes planerats för det primära effektmåttet.
Andelen patienter i ITT-populationen utan nya eller nyligen förstorade T2-lesioner på MRT vecka 96 jämfört med vid baslinjen var 12,8 % för dimetylfumaratgruppen jämfört med 2,8 % för interferon beta-1a-gruppen. Genomsnittligt antal nya eller nyligen förstorade T2-lesioner vecka 96 jämfört med baslinjen, justerat för antal T2-lesioner vid baslinjen samt ålder (ITT-population exklusive patienter utan MRT-mätningar), var 12,4 för dimetylfumarat och 32,6 för interferon beta-1a.
Sannolikheten för kliniskt återfall var 34 % i gruppen som fick dimetylfumarat och 48 % i gruppen som fick interferon beta-1a under den 96 veckor långa öppna studieperioden.
Säkerhetsprofilen hos pediatriska patienter (i åldern 13 till yngre än 18 år) som fick dimetylfumarat överensstämde kvalitativt med den som tidigare observerats hos vuxna patienter (se avsnitt 4.8).
Oralt administrerat dimetylfumarat genomgår snabb presystemisk hydrolys med esteraser och omvandlas till dess primära aktiva metabolit, monometylfumarat. Dimetylfumarat kan inte kvantifieras i plasma efter oral administrering av dimetylfumarat. Därför utfördes alla farmakokinetiska analyser som var relaterade till dimetylfumarat med koncentrationer av plasmamonometylfumarat. Farmakokinetiska data erhölls från patienter med multipel skleros och friska försökspersoner.
Absorption
Tmax för monometylfumarat är 2 till 2,5 timmar. Eftersom dimetylfumarat hårda enterokapslar, innehåller mikrotabletter som skyddas av en enterobeläggning, sker ingen absorption förrän de lämnar magsäcken (i allmänhet efter mindre än 1 timme). Efter det att 240 mg två gånger dagligen administrerats i samband med mat, var medianmaxvärdet (Cmax) 1,72 mg/l och den totala arean under kurvan (AUC) -exponeringen var 8,02 tim.mg/l hos patienter med multipel skleros. Totalt ökade Cmax och AUC ungefär dosproportionellt i det studerade dosintervallet (120 mg till 360 mg). I studier på patienter med multipel skleros administrerades två doser om 240 mg med 4 timmars mellanrum som en del av en regim med dosering tre gånger per dag. Detta ledde till en minimal ackumulering av exponering som gav en ökning av median-Cmax på 12 % jämfört med doseringen två gånger dagligen (1,72 mg/l för två gånger dagligen jämfört med 1,93 mg/l för tre gånger dagligen) utan säkerhetspåverkan.
Mat har ingen kliniskt signifikant effekt på exponeringen av dimetylfumarat. Dimetylfumarat ska dock tas i samband med mat på grund av förbättrad tolerabilitet vad gäller biverkningar i form av ansiktsrodnad eller mag-tarmbesvär (se avsnitt 4.2).
Distribution
Den uppenbara distributionsvolymen efter oral administrering av 240 mg dimetylfumarat varierar mellan 60 l och 90 l. Human plasmaproteinbindning av monometylfumarat brukar variera mellan 27 % och 40 %.
Metabolism
Hos människa sker en omfattande metabolisering av dimetylfumarat och mindre än 0,1 % av dosen utsöndras som oförändrat dimetylfumarat i urin. Det metaboliseras initialt av esteraser, vilka förkommer allmänt i mag-tarmkanalen, blod och vävnader, innan det når den systemiska cirkulationen. Vidare metabolism sker via trikarboxylsyracykeln, utan involvering av cytokrom P450 (CYP)-systemet.
I en engångsdosstudie av 240 mg 14C-dimetylfumarat identifierades glukos som den predominanta metaboliten i human plasma. Övriga cirkulerande metaboliter innefattade fumarsyra, citronsyra och monometylfumarat. Nedströmsmetabolismen av fumarsyra sker via trikarboxylsyracykeln, med utandning av CO2 som den primära elimineringsvägen.
Eliminering
Utandning av CO2 är den huvudsakliga elimineringsvägen för dimetylfumarat och står för 60 % av dosen.
Renal och fekal eliminering är sekundära elimineringsvägar och står för 15,5 % respektive 0,9 % av dosen.
Den terminala halveringstiden för monometylfumarat är kort (cirka 1 timme) och det finns inget cirkulerande monometylfumarat vid 24 timmar hos de flesta personer. Det uppstår ingen ackumulering av moderläkemedel eller monometylfumarat med multipla doser av dimetylfumarat vid den terapeutiska regimen.
Linjäritet
Dimetylfumaratexponering ökar på ett ungefärligt dosproportionellt sätt med engångs- och flergångsdoser i det studerade dosintervallet på 120 mg till 360 mg.
Farmakokinetik i särskilda patientgrupper
Baserat på resultaten för ANOVA (Analysis of Variance), är kroppsvikt den huvudsakliga kovariaten för exponering (enligt Cmax och AUC) när det gäller patienter med RRMS, men påverkade inte säkerhets- och effektmått som utvärderades i de kliniska studierna.
Kön och ålder hade ingen kliniskt signifikant effekt på farmakokinetiken för dimetylfumarat. Farmakokinetiken för patienter som är 65 år och äldre har inte studerats.
Pediatrisk population
Den farmakokinetiska profilen för 240 mg dimetylfumarat två gånger dagligen utvärderades i en liten öppen okontrollerad studie på patienter med RRMS i åldern 13 till 17 år (n = 21). Farmakokinetiken för dimetylfumarat hos dessa ungdomar stämde överens med det som tidigare observerats hos vuxna patienter (Cmax: 2,00 ± 1,29 mg/l; AUC0-12tim: 3,62 ± 1,16 h.mg/l, vilket motsvarar en total daglig AUC på 7,24 h.mg/l).
Nedsatt njurfunktion
Eftersom den renala vägen är en sekundär elimineringsväg för dimetylfumarat och står för mindre än 16 % av den administrerade dosen, gjordes ingen utvärdering av farmakokinetiken hos personer med nedsatt njurfunktion.
Nedsatt leverfunktion
Eftersom dimetylfumarat och monometylfumarat metaboliseras av esteraser, utan involvering av CYP450-systemet, utfördes ingen utvärdering av farmakokinetiken hos personer med nedsatt leverfunktion.
Biverkningarna som beskrivs i avsnitten toxikologi och reproduktionstoxicitet nedan observerades inte i kliniska studier, men sågs hos djur vid exponeringsnivåer som var likartade med kliniska exponeringsnivåer.
Mutagenes
Dimetylfumarat och monometylfumarat var negativa i ett flertal in vitro-analyser (Ames, kromosomavvikelse i mammalieceller). Dimetylfumarat var negativt i mikronukleusanalysen in vivo på råtta.
Karcinogenes
Karcinogenicitetsstudier av dimetylfumarat utfördes i upp till 2 år på möss och råttor. Dimetylfumarat administrerades oralt vid doser på 25, 75, 200 och 400 mg/kg/dag till möss, och vid doser på 25, 50, 100 och 150 mg/kg/dag till råttor.
Hos möss ökade incidensen av cancer i njurtubuli vid 75 mg/kg/dag, vid en exponering (AUC) som motsvarade den rekommenderade dosen till människa. Hos råtta ökade incidensen av cancer i njurtubuli och testikulärt Leydigcellsadenom vid 100 mg/kg/dag, vid en exponering som var ungefär 2 gånger högre än den rekommenderade dosen till människa. Det är okänt vilken signifikans dessa fynd har för risken för människa.
Incidensen av papillom i skivepitelceller och cancer i den icke-glandulära delen av magsäcken (förmagen) ökade hos möss vid en exponering som motsvarade den rekommenderade dosen till människa och hos råttor vid en dos som understeg den rekommenderade dosen till människa (baserat på AUC). Förmagen hos gnagare saknar motsvarighet hos människa.
Toxikologi
Icke-kliniska studier på gnagare, kaniner och apor utfördes med en dimetylfumaratsuspension (dimetylfumarat i 0,8 % hydroxypropylmetylcellulosa) som administrerades med oral sondmatning. Den kroniska hundstudien utfördes med oral administrering av dimetylfumaratkapseln.
Njurförändringar sågs efter upprepad oral administrering av dimetylfumarat hos möss, råttor, hundar och apor. Återbildning av epitel i njurtubuli, vilket tyder på skada, sågs hos alla djurslag. Hyperplasi i njurtubuli sågs hos råttor vid livstidsdosering (2-årig studie). Hos hundar som fick dagliga orala doser med dimetylfumarat under 11 månader observerades den beräknade marginalen för kortikal atrofi vid 3 gånger den rekommenderade dosen baserat på AUC. Hos apor som fick dagliga orala doser med dimetylfumarat under 12 månader sågs encellsnekros vid 2 gånger den rekommenderade dosen baserat på AUC. Interstitiell fibros och kortikal atrofi sågs vid 6 gånger den rekommenderade dosen baserat på AUC. Det är okänt vilken signifikans dessa fynd har för människa.
Hos råttor och hundar sågs en degenerering av sädesproducerande epitel i testiklarna. Fynden observerades vid ungefär den rekommenderade dosen hos råttor och vid 3 gånger den rekommenderade dosen hos hundar (på AUC-basis). Det är okänt vilken signifikans dessa fynd har för människa.
Fynd i förmagen hos möss och råttor bestod av skivepitelshyperplasi och hyperkeratos; inflammation; och skivepitelscellspapillom och cancer i studier som pågick i 3 månader eller mer. Förmagen hos möss och råttor saknar motsvarighet hos människa.
Reproduktionstoxicitet
Oral administrering av dimetylfumarat till hanråttor vid 75, 250 och 375 mg/kg/dag före och under parning hade inga effekter på hanarnas fertilitet upp till den högsta testade dosen (minst 2 gånger den rekommenderade dosen på en AUC-basis). Oral administrering av dimetylfumarat till honråttor vid 25, 100 och 250 mg/kg/dag före och under parning, och med fortsättning till dräktighetsdag 7, inducerade en reduktion av antalet brunststadier per 14 dagar och ökade antalet djur med förlängd diestrus vid den högsta testade dosen (11 gånger den rekommenderade dosen på en AUC-basis). Dessa förändringar påverkade dock inte fertiliteten eller antalet livsdugliga foster som producerades.
Det har visats att dimetylfumarat passerar placentamembranet in i fostrets blod hos råttor och kaniner, med foster-moderkvoter för plasmakoncentrationer på 0,48 till 0,64 hos råttor respektive 0,1 hos kaniner. Inga missbildningar observerades vid någon dos av dimetylfumarat hos råttor eller kaniner.
Administrering av dimetylfumarat vid orala doser på 25, 100 och 250 mg/kg/dag till dräktiga råttor under perioden för organogenes resulterade i biverkningar hos modern vid 4 gånger den rekommenderade dosen på en AUC-basis, och låg fostervikt samt försenad benbildning (metatarsaler och bakbensfalanger) vid 11 gånger den rekommenderade dosen på en AUC-basis. Den lägre fostervikten och den försenade benbildningen ansågs vara sekundära till toxicitet hos modern (lägre kroppsvikt och minskat födointag).
Oral administrering av dimetylfumarat vid 25, 75 och 150 mg/kg/dag till dräktiga kaniner under organogenes hade ingen effekt på den embryo-fetala utvecklingen och ledde till lägre kroppsvikt hos modern vid 7 gånger den rekommenderade dosen och en ökad abortering vid 16 gånger den rekommenderade dosen på en AUC-basis.
Oral administrering av dimetylfumarat vid 25, 100 och 250 mg/kg/dag till råttor under dräktighet och laktation ledde till lägre kroppsvikter hos F1-avkomman, och försenad sexuell mognad hos F1-hanar vid 11 gånger den rekommenderade dosen på en AUC-basis. Fertiliteten hos F1-avkomman påverkades inte. Den lägre kroppsvikten hos avkomman ansågs vara sekundär till toxiciteten hos modern.
Två toxicitetsstudier på juvenila råttor som fick daglig peroral administrering av dimetylfumarat från dag 28 postnatalt (PND 28) till och med PND 90–93 (motsvarande cirka 3 år och äldre hos människa) visade på liknande organtoxiciteter i njure och förmage som hos vuxna djur. I den första studien hade dimetylfumarat ingen påverkan på utveckling, kognition eller han-/hondjurens fertilitet upp till den högsta dosen på 140 mg/kg/dag (ungefär 4,6 gånger den rekommenderade dosen till människa, baserat på begränsade AUC-data för pediatriska patienter). Inte heller observerades några effekter på handjurens reproduktions-/könsorgan upp till den högsta dosen dimetylfumarat på 375 mg/kg/dag i den andra studien på juvenila hanråttor (cirka 15 gånger förmodat AUC vid rekommenderad pediatrisk dos). Minskat mineralinnehåll och lägre bentäthet sågs dock i femur och ländkotor hos juvenila hanråttor. Förändringar på bendensiometri observerades också hos juvenila råttor efter peroral administrering av diroximelfumarat, en annan fumarester som metaboliseras till samma aktiva metabolit, monometylfumarat, in vivo. NOEL för densitometriförändringarna hos juvenila råttor är cirka 1,5 gånger sannolikt AUC vid rekommenderad pediatrisk dos. Ett samband mellan skelettpåverkan och lägre kroppsvikt är möjligt, men en direkt effekt kan inte uteslutas. Skelettfynden är av begränsad relevans för vuxna patienter. Relevansen för pediatriska patienter är okänd.
Gelatin
Titandioxid (E171)
Briljantblått FCF (E133)
Gul järnoxid (E172)
Kapseltryck (svart bläck)
Schellack (E904)
Kaliumhydroxid (E525)
Propylenglykol (E 1520)
Svart järnoxid (E 172)
Stark ammoniaklösning (E 527)
Ej relevant.
3 år.
Inga särskilda temperaturanvisningar.
Förvaras i originalförpackningen. Ljuskänsligt.
Dimethyl furmarate Stada 120 mg hårda enterokapslar
Vit HDPE burk med PP/HDPE säkerhetslock med försegling och kiselgel torkmedel innehållande 100 hårda enterokapslar.
oPA/Al/PVC//Al blister innehållande 14, 28, 56 eller 168 hårda enterokapslar eller oPA/Al/PVC//Al perforerade endosblister innehållande 14x1, 28x1, 56x1 eller 168x1 hårda enterokapslar.
Dimethyl furmarate Stada 240 mg hårda enterokapslar
Vit HDPE burk med PP/HDPE säkerhetslock med försegling och kiselgel torkmedel innehållande 100 enterokapslar.
oPA/Al/PVC//Al blister innehållande 14, 28, 56, 60, 168 eller 180 hårda enterokapslar eller oPA/Al/PVC//Al perforerade endosblister innehållande 14x1, 28x1, 56x1, 60x1, 168x1 eller 180x1 hårda enterokapslar.
Eventuellt kommer inte alla förpackningsstorlekar att marknadsföras.
Inga särskilda anvisningar.
Kapslarna innehåller (enterobelagda mikrotabletter)
Mikrokristallin cellulosa (E460)
Krospovidon (E1202)
Talk (E553b)
Povidon (E1201)
Kolloidal, vattenfri kiseldioxid (E551)
Magnesiumstearat (E470b)
Trietylcitrat (E1505)
Metakrylsyra-etylakrylatsampolymer (1:1)
Hypromellos (E464)
Titandioxid (E171)
Triacetin (E 1518)
Kapselhölje
Gelatin
Titandioxid (E171)
Briljantblått FCF (E133)
Gul järnoxid (E172)
Kapseltryck (svart bläck)
Schellack (E904)
Kaliumhydroxid (E525)
Propylenglykol (E 1520)
Svart järnoxid (E 172)
Stark ammoniaklösning (E 527)
Ej relevant.
3 år.
Inga särskilda temperaturanvisningar.
Förvaras i originalförpackningen. Ljuskänsligt.
Dimethyl furmarate Stada 120 mg hårda enterokapslar
Vit HDPE burk med PP/HDPE säkerhetslock med försegling och kiselgel torkmedel innehållande 100 hårda enterokapslar.
oPA/Al/PVC//Al blister innehållande 14, 28, 56 eller 168 hårda enterokapslar eller oPA/Al/PVC//Al perforerade endosblister innehållande 14x1, 28x1, 56x1 eller 168x1 hårda enterokapslar.
Dimethyl furmarate Stada 240 mg hårda enterokapslar
Vit HDPE burk med PP/HDPE säkerhetslock med försegling och kiselgel torkmedel innehållande 100 enterokapslar.
oPA/Al/PVC//Al blister innehållande 14, 28, 56, 60, 168 eller 180 hårda enterokapslar eller oPA/Al/PVC//Al perforerade endosblister innehållande 14x1, 28x1, 56x1, 60x1, 168x1 eller 180x1 hårda enterokapslar.
Eventuellt kommer inte alla förpackningsstorlekar att marknadsföras.
Inga särskilda anvisningar.
Produktresumén är företagets information om läkemedlet riktat till förskrivare och personal inom sjukvård och apotek. Dokumentet är godkänt av Läkemedelsverket eller den europeiska läkemedelsmyndigheten EMA i samband med att läkemedlet godkänns för marknadsföring.