Fass-texten är särskilt framtagen för förskrivare och vårdpersonal. Texten är baserad på produktresumén.
Texten är baserad på produktresumé: 2024-10-11
Texten är baserad på produktresumé: 2024-10-11
Pre-expositionsprofylax
EVUSHELD är avsett som pre-expositionsprofylax mot covid‑19 hos vuxna och ungdomar i åldern 12 år och äldre, som väger minst 40 kg (se avsnitt Dosering, Farmakodynamik och Farmakokinetik).
Behandling
EVUSHELD är avsett för behandling av covid‑19 hos vuxna och ungdomar (i åldern 12 år och äldre, som väger minst 40 kg) som inte behöver extra syrgas och som har en ökad risk för att utveckla svår covid‑19 (se avsnitt Dosering, Farmakodynamik och Farmakokinetik).
Överkänslighet mot de aktiva substanserna eller mot något hjälpämne som anges i avsnitt Innehåll.
EVUSHELD måste administreras av hälso- och sjukvårdspersonal.
Administreringen ska ske under förhållanden där behandling av allvarliga överkänslighetsreaktioner, t.ex. anafylaxi, är möjlig. Efter administrering ska patienterna övervakas i enlighet med gällande medicinsk praxis.
Dosering
Pre-expositionsprofylax
Rekommenderad dos till vuxna och ungdomar 12 år och äldre, som väger minst 40 kg, är 150 mg tixagevimab och 150 mg cilgavimab (tabell 1) administrerat som två separata, på varandra följande, intramuskulära injektioner.
Det finns inga tillgängliga data gällande säkerhet och effekt vid upprepad dosering.
På grund av den observerade minskningen av neutraliseringsaktiviteten in vitro är varaktigheten av skyddet av EVUSHELD för vissa varianter osäker.
Behandling
Rekommenderad dos till vuxna och ungdomar 12 år och äldre, som väger minst 40 kg, är 300 mg tixagevimab och 300 mg cilgavimab (tabell 1) administrerat som två separata, på varandra följande, intramuskulära injektioner.
Spårbarhet
För att underlätta spårbarhet av biologiska läkemedel ska läkemedlets namn och tillverkningssatsnummer dokumenteras.
Överkänslighet inklusive anafylaxi
Allvarliga överkänslighetsreaktioner, inklusive anafylaxi, har rapporterats efter administrering av EVUSHELD (se avsnitt Biverkningar). Om tecken och symtom på en kliniskt signifikant överkänslighetsreaktion eller anafylaxi uppstår, avbryt omedelbart administreringen och sätt in lämpliga läkemedel och/eller understödjande behandling.
Kardiovaskulära och/eller tromboemboliska händelser
I PROVENT-studien rapporterade fler deltagare allvarliga hjärtbiverkningar eller tromboemboliska biverkningar i EVUSHELD-armen jämfört med placeboarmen (1,6 % jämfört med 0,9 %). Majoriteten av deltagarna hade kardiovaskulära riskfaktorer och/eller kardiovaskulär sjukdom i anamnesen, vilket kan förklara förekomsten av sådana händelser.
Ett orsakssamband mellan EVUSHELD och dessa händelser har inte fastställts.
Riskerna och fördelarna med EVUSHELD bör övervägas innan behandling påbörjas hos personer med hög risk för kardiovaskulära eller tromboemboliska händelser. Patienter bör informeras om tecken eller symtom som tyder på kardiovaskulära händelser (särskilt bröstsmärtor, dyspné, sjukdomskänsla, yrsel eller svimning) och att omedelbart uppsöka vård om sådana symtom uppstår.
Farmakokinetiska interaktioner
Inga interaktionsstudier har utförts på människa.
EVUSHELD förväntas inte genomgå metabolism av leverenzymer eller renal eliminering. Tixagevimab och cilgavimab utsöndras inte renalt och metaboliseras inte via cytokrom P450‑enzymer (CYP). Interaktioner med läkemedel som utsöndras renalt, eller som är substrat, inducerare eller hämmare av CYP‑enzymer, är därför inte troliga.
Vaccination mot covid‑19 efter administrering av EVUSHELD hade ingen kliniskt relevant påverkan på clearance av EVUSHELD, baserat på farmakokinetisk (PK) modellering.
Tillstånd med nedsatt immunförsvar hade ingen klinisk relevant påverkan på clearance av EVUSHELD, baserat på PK‑modellering.
Farmakodynamiska interaktioner
Inga interaktionsstudier har utförts på människa.
Det finns inga eller begränsad mängd data från användningen av tixagevimab och cilgavimab hos gravida kvinnor.
Djurstudier vad gäller reproduktionstoxikologiska effekter har inte utförts med tixagevimab och cilgavimab (se avsnitt Prekliniska uppgifter). I korsreaktivitetsstudier med tixagevimab och cilgavimab på human fostervävnad sågs ingen bindning av klinisk betydelse. Humana G1-immunglobuliner (IgG1)-antikroppar är kända att passera placenta. Tixagevimab och cilgavimab har därför potential att överföras från modern till fostret. Den potentiella behandlingsnyttan eller risken för fostret vid passage av tixagevimab och cilgavimab över placenta är inte känd.
EVUSHELD ska endast användas under graviditet om den förväntade nyttan för modern motiverar den potentiella risken för fostret.
Det är okänt om tixagevimab och cilgavimab utsöndras i bröstmjölk men det är känt att moderns IgG överförs till bröstmjölk under de första dygnen efter födseln.
Eftersom tixagevimab och cilgavimab är riktade direkt mot spikeproteinerna på SARS‑CoV‑2 och eftersom systemisk absorption efter oralt intag av antikroppar är låg, kan administrering av tixagevimab och cilgavimab övervägas under amning när det är kliniskt indikerat.
Det finns inga data gällande effekt av tixagevimab och cilgavimab på fertilitet hos människa. Effekt på manlig och kvinnlig fertilitet har inte utvärderats i djurstudier.
EVUSHELD har ingen eller försumbar effekt på förmågan att framföra fordon och använda maskiner.
Sammanfattning av säkerhetsprofilen
Totalt har 4 210 vuxna försökspersoner fått 150 mg tixagevimab och 150 mg cilgavimab, via intramuskulär injektion, i profylaktiska fas III-utvecklingsprogrammet (inklusive PROVENT). De vanligaste biverkningarna (≥ 1%) var reaktioner vid injektionsstället (1,6 %) och överkänslighet (1,0 %).
Totalt har 452 vuxna patienter, som inte var inlagda på sjukhus, med lindrig till måttlig covid‑19-sjukdom fått 300 mg tixagevimab och 300 mg cilgavimab, via intramuskulär injektion, i TACKLE-studien. Den totala säkerhetsprofilen liknade den som rapporterades hos deltagare som fick 150 mg tixagevimab och 150 mg cilgavimab i profylaxstudierna. Den vanligaste biverkningen (≥ 1 %) var reaktion vid injektionsstället (2,4 %).
Tabell över biverkningar
Biverkningar i tabell 2 är listade efter MedDRA organsystem och frekvens. Frekvenserna definieras enligt följande: mycket vanliga (≥ 1/10); vanliga (≥ 1/100, < 1/10); mindre vanliga (≥ 1/1 000, < 1/100); sällsynta (≥ 1/10 000, < 1/1 000); mycket sällsynta (< 1/10 000) och ingen känd frekvens (kan inte beräknas från tillgängliga data).
Tabell 2 Tabell över biverkningar
a Frekvenserna baseras på exponering för 150 mg tixagevimab och 150 mg cilgavimab i poolade data från profylaxstudierna.
Det finns ingen specifik behandling vid överdosering av tixagevimab och cilgavimab. Behandling vid överdosering ska utgöras av allmänna understödjande åtgärder inklusive monitorering av vitala tecken och observation av patientens kliniska status.
Doser på upp till 300 mg vardera av tixagevimab och cilgavimab intramuskulärt och 1 500 mg vardera av tixagevimab och cilgavimab intravenöst har administrerats i kliniska studier, utan dosbegränsande toxicitet.
Verkningsmekanism
Tixagevimab och cilgavimab är två rekombinanta humana IgG1ĸ monoklonala antikroppar med aminosyrasubstitutioner i Fc-regionerna, för att förlänga antikroppshalveringstiden och för att minska antikropparnas effektorfunktion och potentiell risk för antikroppsberoende förstärkning av sjukdomen (se avsnitt Prekliniska uppgifter). Tixagevimab och cilgavimab binder till icke‑överlappande epitoper på spikeproteinets receptorbindande domän (RBD) hos SARS‑CoV‑2. Tixagevimab, cilgavimab och kombinationen av dem binder till spikeproteinet med jämviktsdissociationskonstant KD = 2,76 pM, 13,0 pM respektive 13,7 pM. Detta förhindrar att spikeproteinet binder till den humana ACE2-receptorn, därmed förhindras virus att komma in i cellerna. Tixagevimab, cilgavimab och kombinationen av dem, blockerade RBD-bindningen till den humana ACE2-receptorn med IC50‑värden på 0,32 nM (48 ng/ml), 0,53 nM (80 ng/ml) respektive 0,43 nM (65 ng/ml).
Antiviral aktivitet
I en SARS‑CoV‑2‑virusneutraliseringstest på Vero E6‑celler neutraliserade tixagevimab, cilgavimab och kombination av dem SARS‑CoV‑2 (USA‑WA1/2020‑isolat) med EC50‑värden på 60,7 pM (9 ng/ml), 211,5 pM (32 ng/ml) respektive 65,9 pM (10 ng/ml). Dessa in vitro-värden överensstämmer med den kliniskt effektiva serumkoncentrationen in vivo av EVUSHELD på 2,2 µg/ml.
Antiviral resistens
Farmakokinetiken för tixagevimab och cilgavimab är jämförbar, linjär och dosproportionell mellan 150 mg tixagevimab och 150 mg cilgavimab och 1 500 mg tixagevimab och 1 500 mg cilgavimab efter en enstaka intravenös administrering. Populations-PK-analys av data från friska frivilliga och patienter inkluderade i tre fas III-studier med tixagevimab och cilgavimab vid pre-expositionsprofylax (PROVENT), postexpositionsprofylax (STORMCHASER) och behandling av lindrig till måttlig covid-19 (TACKLE), samt data från fem ytterligare fas I- och fas II-studier med doser från 300 mg (150 mg tixagevimab och 150 mg cilgavimab) till 600 mg (300 mg tixagevimab och 300 mg cilgavimab) vid intramuskulär administrering och 300 mg (150 mg tixagevimab och 150 mg cilgavimab) till 3 000 mg (1 500 mg tixagevimab och 1 500 mg cilgavimab) vid intravenös administrering, stöder dosproportionalitet mellan tixagevimab, cilgavimab och EVUSHELD.
Absorption
Baserat på populations-PK-modellering förutsågs medianvärdet (90 % prediktionsintervall, PI) för maximal serumkoncentration (Cmax) av EVUSHELD vara 26,9 µg/ml (90 % PI: 12,6; 53,7) efter en intramuskulär engångsdos på 150 mg tixagevimab och 150 mg cilgavimab. Mediantiden för att uppnå Cmax (Tmax) var 19 dagar (90 % PI: 5; 45).
Efter en intramuskulär engångsdos på 300 mg tixagevimab och 300 mg cilgavimab förutsågs Cmax av EVUSHELD vara 53,9 µg/ml (90 % PI: 25,2; 107,3), vilket uppnåddes i median efter Tmax på 19 dagar (90 % PI: 5; 46).
Den uppskattade absoluta biotillgängligheten var 67,1 % för EVUSHELD, 61,5 % för tixagevimab och 65,8 % för cilgavimab.
Karcinogenes‑, mutagenes‑ och reproduktionstoxikologiska studier har inte utförts med tixagevimab och cilgavimab.
Icke-kliniska data visade inte några särskilda risker för människa baserat på studier av vävnadsbindning och en singeldostoxicitetsstudie i cynomolgusapor inklusive bedömning av säkerhetsfarmakologi och lokal tolerans.
Antikroppsberoende förstärkning (ADE) av infektion
Potentialen för tixagevimab och cilgavimab att mediera antikroppsberoende virusinträde bedömdes i Raji-celler med FcγRII-uttryck som samtidigt inkuberades med rekombinant virus pseudotypade med SARS‑CoV‑2-spikeprotein, med antikroppskoncentrationer i ett intervall på 6,6 nM (1 µg/ml) till 824 pM (125 ng/ml). Tixagevimab, cilgavimab och kombinationen av dem medierade inte psuedovirusinträde i dessa celler.
Potentialen för ADE utvärderades också i icke-humana primatmodeller av SARS‑CoV‑2 vid användning av EVUSHELD. Intravaskulär administrering före virusinokulering resulterade i en dosberoende förbättring i alla utfallsmått (total viral RNA i lungorna och nasalmucosan, nivåer av infektiösa virus i lungorna baserat på TCID50-mätningar, och lungskada och patologi baserat på histologiska mätningar). Ingen evidens på förvärrad sjukdom observerades vid någon utvärderad dos, inklusive sub-neutraliserande doser ner till 0,04 mg/kg.
Kvalitativ och kvantitativ sammansättning
Varje kartong innehåller två injektionsflaskor:
Varje injektionsflaska med tixagevimab innehåller 150 mg tixagevimab i 1,5 ml (100 mg/ml).
Varje injektionsflaska med cilgavimab innehåller 150 mg cilgavimab i 1,5 ml (100 mg/ml).
Tixagevimab och cilgavimab produceras med rekombinant DNA-teknik i ovarieceller från kinesisk hamster (CHO).
Hjälpämne med känd effekt
Varje injektionsflaska med tixagevimab innehåller 0,6 mg polysorbat 80.
Varje injektionsflaska med cilgavimab innehåller 0,6 mg polysorbat 80.
Förteckning över hjälpämnen
Histidin
Histidinhydrokloridmonohydrat
Då blandbarhetsstudier saknas får detta läkemedel inte blandas med andra läkemedel.
Hållbarhet
Oöppnad injektionsflaska
3 år
Förberedda sprutor
De förberedda sprutorna ska administreras omedelbart. Om omedelbar administrering inte är möjlig är förvaringstider och förvaringsförhållanden under användning användarens ansvar och ska normalt inte överstiga 4 timmar vid 2 °C till 25 °C.
Särskilda förvaringsanvisningar
Förvaras i kylskåp (2°C-8°C).
Förvaras i originalförpackningen. Ljuskänsligt.
Får ej frysas.
Får ej skakas.
Förvaringsanvisningar efter första punktering av injektionsflaska och förberedelse av sprutorna finns i avsnitt Hållbarhet ovan.
Injektionsvätska, lösning (injektion)
Klar till opalescent, färglös till svagt gul lösning, pH 6.0.
EVUSHELD ska ges så snart som möjligt efter ett positivt virustest för SARS‑CoV‑2 och inom 7 dagar efter symtomdebuten för covid‑19 (se avsnitt Farmakodynamik).
Tabell 1 Rekommenderad dos
a Varje injektionsflaska innehåller en överfyllning som gör det möjligt att dra upp 150 mg (1,5 ml).
Äldre
Ingen dosjustering krävs (se avsnitt Farmakokinetik).
Nedsatt njurfunktion
Ingen dosjustering krävs (se avsnitt Farmakokinetik).
Nedsatt leverfunktion
Ingen dosjustering krävs (se avsnitt Farmakokinetik).
Pediatrisk population
Ingen dosjustering krävs hos ungdomar 12 år och äldre som väger minst 40 kg (se avsnitt Farmakokinetik). Säkerhet och effekt för EVUSHELD för barn under 12 år har ännu inte fastställts. Inga data finns tillgängliga.
Administreringssätt
För intramuskulär injektion.
Tixagevimab och cilgavimab måste ges som två separata, på varandra följande, intramuskulära injektioner på olika injektionsställen i två olika muskler, företrädesvis i glutealmusklerna.
Varje kartong innehåller två injektionsflaskor:
tixagevimab injektionsvätska, lösning (mörkgrått lock),
cilgavimab injektionsvätska, lösning (vitt lock).
Anvisningar om hantering av läkemedlet före administrering finns i avsnitt Hållbarhet, förvaring och hantering.
Kliniskt signifikant blödningssjukdom
Liksom för andra intramuskulära injektioner ska EVUSHELD ges med försiktighet till patienter med trombocytopeni eller någon form av koagulationsrubbning.
Antiviral resistens
De kliniska studierna med EVUSHELD utfördes då alfa-, beta-, gamma-, och deltavarianterna dominerade.
Det är möjligt att cirkulerande virusvarianter av SARS‑CoV‑2 förknippas med resistens mot monoklonala antikroppar såsom tixagevimab och cilgavimab. Neutraliseringsaktiviteten hos EVUSHELD in vitro mot virusvarianterna av SARS‑CoV‑2 visas i tabell 3.
Patienter som fått EVUSHELD profylaktiskt ska informeras om risken för genombrottsinfektioner.
Varaktigheten av skyddet för varianter med en observerad minskning av neutraliseringsaktiviteten in vitro är inte känd.
Patienter ska instrueras att omedelbart rådfråga sjukvårdspersonal vid tecken eller symtom på covid‑19 (de vanligaste symtomen inkluderar feber, hosta, trötthet och förlust av smaksinne eller luktsinne; de allvarligaste symtomen inkluderar andningssvårigheter eller andnöd, förlust av talförmåga eller rörlighet, eller förvirring och bröstsmärta).
Beslut om användning av EVUSHELD för behandling av covid‑19 bör ta hänsyn till vad som är känt om egenskaperna hos de cirkulerande virusvarianterna av SARS‑CoV‑2, inklusive geografisk prevalens.
Covid-19-vacciner
Pre-expositionsprofylax med EVUSHELD är inte ett alternativ till vaccination hos de individer där vaccination mot covid‑19 rekommenderas.
Hjälpämne med känd effekt
Detta läkemedel innehåller 0,6 mg polysorbat 80 i varje injektionsflaska med tixagevimab och i varje injektionsflaska med cilgavimab. Polysorbater kan orsaka allergiska reaktioner.
b Inklusive de föredragna termerna utslag och urtikaria.
c Identifierat från rapporter efter marknadsintroduktion/godkännande för försäljning (se avsnitt varningar och försiktighet).
d Beskrivning av händelser rapporterade under den föredragna termen Injektionsrelaterad reaktion inkluderar huvudvärk, frossa och rodnad, obehag eller ömhet nära injektionsstället.
e Inklusive de föredragna termerna smärta vid injektionsstället, erytem vid injektionsstället, pruritus vid injektionsstället, reaktion vid injektionsstället och induration vid injektionsstället.
Pediatrisk population
Inga data finns tillgängliga gällande pediatriska patienter < 18 år (se avsnitt Dosering och Farmakokinetik).
Rapportering av misstänkta biverkningar
I neutraliseringstester med rekombinant SARS‑CoV‑2 pseudovirus som innehåller individuella spikesubstitutioner som identifierats i cirkulerande SARS‑CoV‑2, inkluderade varianter med minskad känslighet mot enbart tixagevimab dem med F486S (> 600 gånger) och F486V (121 till 149 gånger) och varianter med minskad känslighet mot enbart cilgavimab inkluderade dem med R346I (> 200 gånger), K444E (> 200 gånger), K444Q (> 200 gånger) och K444R (> 200 gånger).
Neutraliseringsaktiviteten hos EVUSHELD mot pseudovirus och/eller levande virusvariantstammar av SARS‑CoV‑2 visas i tabell 3
Insamling av data pågår för att bättre förstå hur små minskningar i aktivitet som ses i autentiska SARS‑CoV‑2 eller pseudotypade VLP-tester eventuellt korrelerar med kliniska utfall.
Tabell 3 Data avseende neutralisering av pseudovirus och autentisk SARS‑CoV‑2 substitutionsvarianter med tixagevimab i kombination med cilgavimab
Intervall för minskning av potensen in vitro för flera uppsättningar av samtidigt inträffade substitutioner och/eller testlaboratorier med hjälp av analyser av forskningsgrad; genomsnittlig ökning av halv maximal hämmande koncentration (IC50) av monoklonala antikroppar som krävdes för en 50 % minskning av infektion jämfört med vilda referensstammar.
Pseudovirus som uttryckte hela SARS CoV 2 spikeproteinvarianten och individuella karakteristiska spiksubstitutioner förutom L452Q testades, inklusive alfa (+L455F, E484K, F490S, Q493R, och/eller S494P), och delta (+K417N) som härbärgerade ytterligare indikerade RBD-substitutioner som inte längre detekteras eller detekteras vid extremt låga nivåer inom dessa linjer.
Autentisk SARS‑CoV‑2 som uttryckte hela spikeproteinvarianten testades inklusive alfa (+E484K eller S494P) som härbärgerade ytterligare indikerade RBD-substitutioner som inte längre detekteras eller detekteras vid extremt låga nivåer inom dessa linjer.
Varaktigheten av skyddet för denna variant är inte känd.
Det är osannolikt att tixagevimab och cilgavimab tillsammans är aktiva mot denna variant.
ND, ej bestämd (not determined); RBD, receptorbindande domän.
Det är inte känt hur data avseende känsligheten för neutralisering hos pseudovirus eller autentiska SARS‑CoV‑2 korrelerar med kliniskt utfall.
I PROVENT var sekvenseringsdata som samlats in vid sjukdomsbesök tillgängliga för 21 deltagare med symtomatisk covid‑19 (7 som fick tixagevimab och cilgavimab och 14 som fick placebo). Vid en allelfraktion ≥ 25 % var de vanligaste observerade varianterna av särskild betydelse eller varianterna av intresse alfa (5 totala händelser; alla i placeboarmen) och delta (7 totala händelser; 6 i placeboarmen och 1 i EVUSHELD-armen). Även 7 sekvenser från den ursprungliga stammen observerades (3 i placeboarmen och 4 i EVUSHELD-armen).
Det är möjligt att varianter som förknippas med resistens mot tixagevimab och cilgavimab tillsammans kan ha korsresistens mot andra monoklonala antikroppar riktade mot RBD av SARS‑CoV‑2. Tixagevimab och cilgavimab bibehöll tillsammans aktiviteten mot pseudovirus som innehöll individuella SARS‑CoV‑2 spiksubstitutioner (E484D/K/Q, F490S, Q493R, S494P, K417E/N, D420N, K444Q, V445A, Y453F, L455F, N460K/S/T, F486V, och Q493K) som identifierades i neutraliserande flyktvarianter av andra monoklonala antikroppar som är riktade mot spikeproteinet på SARS‑CoV‑2.
I TACKLE var sekvenseringsdata från besök vid baslinjen tillgängliga för 749 deltagare (382 fick tixagevimab och cilgavimab och 367 fick placebo). Vid en allelfraktion ≥ 25 % var andelen deltagare infekterade med varianter av särskild betydelse eller varianter av intresse balanserad mellan behandlingsgrupperna, inklusive deltagare med alfa, beta, gamma, delta, lambda och my.
Farmakodynamisk effekt
Efter en intramuskulär dos på 150 mg tixagevimab och 150 mg cilgavimab i PROVENT var GMT för neutraliserande antikroppar 19, 23, 18, 14, 6 och 3 gånger större vid dag 8, 29, 58, 92, 183 respektive 366 än GMT som uppmättes i plasma från patienter som tillfrisknade från covid‑19 (GMT = 30,8).
Efter en intramuskulär engångsdos på 300 mg tixagevimab och 300 mg cilgavimab i TACKLE observerades en mer än 5-faldig ökning i GMT för neutraliserande antikroppar i EVUSHELD-armen fram till dag 169 jämfört med placeboarmen: 16, 14, 22, 18 och 5,3 gånger större jämfört med placebo vid dag 6, 15, 29, 85 respektive 169.
Immunogenicitet
I PROVENT, efter en engångsdos av EVUSHELD (150 mg tixagevimab och 150 mg cilgavimab), detekterades behandlingsutlösta anti-tixagevimab-, anti-cilgavimab-och anti-EVUSHELD-antikroppar hos 7,6 % (234/3 085), 11,3 % (341/3 024) respektive 13,1 % (403/3 086) deltagare som fick EVUSHELD och som kunde utvärderas med avseende på ADA.
I TACKLE detekterades behandlingsutlösta anti‑tixagevimab-, anti‑cilgavimab och anti‑EVUSHELD-antikroppar hos 7,3 % (27/372), 12,7 % (46/363) respektive 14,5 % (54/373) av deltagare som fick en engångsdos av EVUSHELD (300 mg tixagevimab och 300 mg cilgavimab) och som kunde utvärderas med avseende på ADA.
Inga bevis på ett samband med ADA med påverkan på farmakokinetik eller säkerhet har observerats.
Klinisk effekt
Profylax mot covid-19
PROVENT var en randomiserad (2:1), dubbelblind, placebokontrollerad fas III‑studie i vilken EVUSHELD studerades avseende profylax före covid‑19‑exponering hos vuxna ≥ 18 års ålder. Inkluderade deltagare var individer med ökad risk för att få ett otillräckligt svar på aktiv immunisering (p.g.a. ålder ≥ 60 år, samtidig sjukdom, befintlig kronisk sjukdom, nedsatt immunförsvar eller intolerans mot vaccin) eller ha ökad risk för att få en SARS‑CoV‑2‑infektion (p.g.a. var de befann sig eller omständigheterna vid tiden för inklusion, t.ex. vårdanställda inklusive personal på institutioner för långtidsvård, de som arbetar i industrimiljöer med hög risk eller bor trångt, inklusive studenter i studenthem och militärbaracker). Deltagarna fick antingen 150 mg tixagevimab och 150 mg cilgavimab eller placebo, administrerat som två separata intramuskulära injektioner. I studien ingick inte patienter som hade laboratoriebekräftad SARS‑CoV‑2‑infektion i anamnesen eller som var positiva för SARS‑CoV‑2‑antikroppar vid screening.
Demografin vid baslinjen var väl balanserad mellan EVUSHELD- och placeboarmen. Medianåldern var 57 år (där 24 % av deltagarna var 65 år eller äldre och 4 % av deltagarna var 75 år eller äldre), 46 % av deltagarna var kvinnor, 73 % var vita, 3 % var asiater, 17 % var svarta/afroamerikaner och 15 % var av spanskt/latinamerikanskt ursprung. Av de 5 197 deltagarna hade 78 % komorbiditet eller karakteristika som förknippades med en ökad risk för svår covid‑19-sjukdom vid baslinjen, inklusive fetma (42 %), diabetes (14 %), hjärtkärlsjukdom (8 %), cancer, inklusive cancer i anamnesen (7 %), kronisk obstruktiv lungsjukdom (5 %), kronisk njursjukdom (5 %), kronisk leversjukdom (5 %), immunosuppressiv behandling (3 %) och immunosuppressiv sjukdom (< 1 %).
Primäranalysen inkluderade 5 172 deltagare som var RT‑PCR‑negativa för SARS‑CoV‑2 vid baslinjen, av vilka 3 441 fick EVUSHELD och 1 731 fick placebo. EVUSHELD minskade signifikant (p‑värde < 0,001) risken för RT‑PCR‑positiv symtomatisk SARS‑CoV‑2-sjukdom (covid‑19) jämfört med placebo (tabell 4). Medianuppföljningstiden efter dosering var 83 dagar.
Tabell 4 Incidens av covid‑19
KI = konfidensintervall, N = antal deltagare i analysen.
a Primärt effektmått, en deltagare definierades som covid‑19-fall om deras första fall av RT‑PCR‑positiv symtomatisk SARS‑CoV‑2-sjukdom inträffade efter administrering och före dag 183.
b 150 mg tixagevimab och 150 mg cilgavimab.
Effekten var överensstämmande mellan fördefinierade subgrupper inklusive ålder, kön, etnicitet samt komorbiditet eller karakteristika som förknippades med en ökad risk för svår covid‑19-sjukdom vid baslinjen.
Bland deltagare som fick EVUSHELD inträffade inga svåra/kritiska covid‑19-händelser (definierade som RT‑PCR‑positiv symtomatisk SARS‑CoV‑2-sjukdom minst karakteriserad av antingen lunginflammation [feber, hosta, takypné eller dyspné, och lunginfiltrat] eller hypoxemi [SpO2 < 90 % i rumsluft och/eller svåra andningsbesvär] och fem eller fler poäng på WHO:s kliniska progressionskala jämfört med en händelse (0,1 %) bland deltagare som fick placebo.
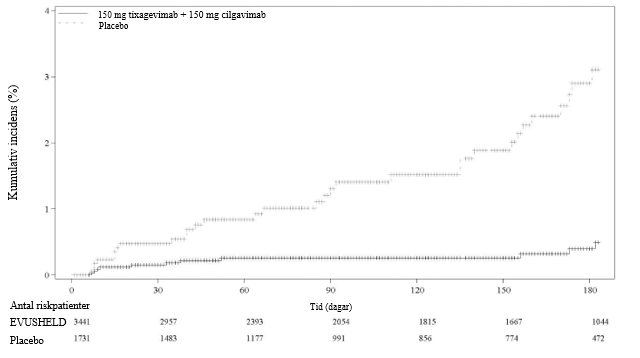
Ytterligare ett data cut-off utfördes för att tillhandahålla uppdaterade säkerhets- och effektanalyser post-hoc; medianuppföljningstiden var 6,5 månader för deltagare i både EVUSHELD- och placeboarmen. Den relativa riskreduktionen för RT‑PCR‑positiv symtomatisk SARS‑CoV‑2-sjukdom var 83 % (95 % KI: 66, 91) med 11/3 441 (0,3 %) händelser i EVUSHELD-armen och 31/1 731 (1,8 %) händelser i placebo-armen, (se figur 1). Bland deltagare som fick EVUSHELD var det inga svåra/kritiska covid‑19-händelser jämfört med fem händelser bland deltagarna som fick placebo.
I explorativa analyser av alla deltagare som fick EVUSHELD eller placebo, inklusive 25 deltagare som efteråt befunnits ha varit SARS‑CoV‑2 RT‑PCR‑positiva vid baslinjen, var den relativa riskreduktionen för symtomatisk SARS‑CoV‑2 RT‑PCR‑positiv sjukdom 78 % (95 % KI 59, 88) med 14/3 460 (0,4 %) händelser i EVUSHELD-armen och 31/1 737 (1,8 %) händelser i placebo-armen vid en medianuppföljningstid på 6,5 månader.
Figur 1 Kaplan Meier: Kumulativ incidens av symtomatisk covid‑19
De dominerande varianterna av SARS-CoV-2 som cirkulerade under tidsperioden som visas i figur 1 var alfa, beta, gamma, epsilon och delta. Baserat på incidensen av primära effektmått varade effekten i 6 månader.
Behandling av lindrig till måttlig covid-19
TACKLE var en randomiserad (1:1), dubbelblind, placebokontrollerad klinisk fas III-studie i vilken EVUSHELD utvärderades avseende behandling av vuxna patienter med lindrig till måttlig covid‑19. Studien inkluderade individer som inte hade fått covid‑19-vaccination, som inte var inlagda på sjukhus för behandling av covid‑19 och som hade minst 1 eller flera covid‑19-symtom som var åtminstone lindriga i svårighetsgrad. Behandlingen påbörjades inom 3 dagar från att provet som gav ett positivt testresultat för SARS‑CoV‑2-virusinfektion tagits och inom ≤ 7 dagar efter symtomdebuten för covid‑19. Patienterna fick standardbehandling och antingen 300 mg tixagevimab och 300 mg cilgavimab (N = 413) eller placebo (N = 421), administrerat som två separata intramuskulära injektioner. Deltagarna stratifierades enligt tid från symtomdebut (≤ 5 dagar jämfört med > 5 dagar) och risk för progression till svår covid-19 (hög risk jämfört med låg risk).
Demografin och sjukdomskarakteristika var väl balanserade mellan behandlings- och placebogrupperna. Vid baslinjen var medianåldern 46 år (med 13 % av försökspersonerna i åldern 65 år eller äldre), 50 % av deltagarna var kvinnor, 62 % var vita, 5,6 % var asiater, 4,0 % var svarta och 52 % var av spanskt/latinamerikanskt ursprung. Majoriteten av deltagarna (84 %) var seronegativa vid baslinjen, och 90 % ansågs ha högre risk för progression till svår covid‑19, definierat som antingen individer i åldern 65 år och äldre vid randomisering eller individer i åldern < 65 år och med minst en sjukdom eller annan faktor som förknippades med högre risk för progression till svår covid‑19. Komorbiditeter med hög risk inkluderade: fetma (BMI ≥ 30) (43 %), rökning (nuvarande eller tidigare) (40 %), hypertoni (28 %), kronisk lungsjukdom eller måttlig till svår astma (12 %), diabetes (12 %), kardiovaskulär sjukdom (inklusive stroke i anamnesen) (9 %), nedsatt immunförsvar (från transplantation av solida organ, blod- eller benmärgstransplantation, immunbrist, hiv, användning av kortikosteroider eller användning av andra immunsuppressiva läkemedel) (5 %), cancer (4 %), kronisk njursjukdom (2 %) eller kronisk leversjukdom (2 %).
Vid baslinjen hade 88 % av patienterna två poäng på WHO:s kliniska progressionsskala och 12 % hade tre poäng på WHO:s kliniska progressionsskala för covid‑19, medianvaraktigheten av symtomen före behandlingen var 5 dagar.
Det primära effektmåttet var en sammansättning av antingen svår covid‑19 eller död av vilken som helst orsak fram till dag 29, hos deltagare som fick behandling inom 7 dagar efter symtomdebut och inte var inlagda på sjukhus vid baslinjen. Svår covid‑19 definierades som karakteriserad av antingen lunginflammation (feber, hosta, takypné eller dyspné, och lunginfiltrat observerade vid toraxröntgen eller datortomografi av lungorna) eller hypoxemi (SpO2 < 90 % i rumsluft och/eller svåra andningsbesvär) och fem eller fler poäng på WHO:s kliniska progressionskala. EVUSHELD påvisades ge en statistiskt signifikant minskning av svår covid‑19 eller död av vilken som helst orsak jämfört med placebo (tabell 5). På grund av den ringa urvalsstorleken kan ingen slutsats dras om effekten hos seropositiva patienter.
Tabell 5 Incidens av svår covid-19 eller död av vilken som helst orsak fram till dag 29
KI = konfidensintervall, N = antal deltagare i analysen, mFAS= modifierat fullständigt analysset (modified full analysis set), FAS= fullständigt analysset (full analysis set)
a. Resultat från ett CMH-test stratifierat enligt tid från symtomdebut (≤ 5 jämfört med > 5 dagar), och risk för progression till svår covid-19 (hög jämfört med låg).
b. 300 mg tixagevimab och 300 mg cilgavimab
Svarsdata som saknades imputerades inte.’
Den relativa riskreduktionen var 67 % (95 % KI av 31; 84) hos patienter som inte var inlagda på sjukhus och som fick läkemedel inom 5 dagar från symtomdebut (p = 0,002).
Resultaten för det primära sammansatta effektmåttet drevs av incidensen av svår covid‑19. Fram till dag 29 hade 7 dödsfall rapporterats, 3 i EVUSHELD-armen och 4 i placeboarmen. Av de 7 dödsfallen var 2 inte relaterade till covid-19. Båda dessa skedde i EVUSHELD-armen och ingick i det primära sammansatta effektmåttet.
Pediatrisk population
Europeiska läkemedelsmyndigheten har senarelagt kravet att skicka in studieresultat för EVUSHELD för en eller flera grupper av den pediatriska populationen som profylax mot och behandling av covid‑19 (information om pediatrisk användning finns i avsnitt Dosering).
Distribution
Baserat på PK-modellering var den centrala distributionsvolymen 3,17 liter för tixagevimab och 3,52 liter för cilgavimab. Den perifera distributionsvolymen var 1,77 liter för tixagevimab och 1,82 liter för cilgavimab.
Metabolism
Tixagevimab och cilgavimab förväntas degraderas till små peptider och aminosyrakomponenter via katabola metabolismvägar på samma sätt som endogena IgG‑antikroppar.
Eliminering
Clearance (CL) var i median (95 % KI) 0,050 (0,049; 0,052) liter/dag för EVUSHELD, 0,046 (0,044; 0,047) liter/dag för tixagevimab och 0,052 (0,049; 0,054) liter/dag för cilgavimab med en interindividuell variabilitet på 43 %, 41 % respektive 44 %. Den uppskattade terminala elimineringshalveringstiden för populationen var i median (5:e och 95:e percentilen) 79 (46; 101) dagar för EVUSHELD, 81 (49; 106) dagar för tixagevimab och 78 (49; 97) dagar för cilgavimab.
Efter en intramuskulär engångsdos på 150 mg tixagevimab och 150 mg cilgavimab, förutsågs serumkoncentrationen av EVUSHELD i median vara 24,5 μg/ml (90 % PI: 11,8; 44,8) dag 29 och 6,2 μg/ml (90 % PI: 1,8; 14,7) dag 183.
Efter en intramuskulär engångsdos på 300 mg tixagevimab och 300 mg cilgavimab, förutsågs serumkoncentrationen av EVUSHELD i median vara 49,1 μg/ml (90 % PI: 23,6; 89,5) dag 29 och 12,5 μg/ml (90 % PI: 3,6; 29,3) dag 183.
Det fanns ingen kliniskt relevant skillnad på clearance av tixagevimab eller cilgavimab mellan deltagare med covid‑19 i TACKLE och deltagare i profylaxstudierna.
Särskilda populationer
Nedsatt njurfunktion
Inga specifika studier har utförts för att undersöka effekten av nedsatt njurfunktion på farmakokinetiken för tixagevimab och cilgavimab.
Tixagevimab och cilgavimab elimineras inte intakt i urin och nedsatt njurfunktion förväntas därför inte påverka exponeringen för tixagevimab och cilgavimab signifikant. På samma sätt förväntas inte heller dialys påverka farmakokinetiken för tixagevimab och cilgavimab.
Baserat på populations‑PK‑analys är det ingen skillnad i clearance för tixagevimab och cilgavimab hos patienter med nedsatt njurfunktion (bedömt genom eGFR och kreatininclearance vid baslinjen) jämfört med patienter med normal njurfunktion. I populations‑PK‑modellering ingick inte tillräckligt många deltagare med kraftigt nedsatt njurfunktion för att kunna dra några slutsatser.
Nedsatt leverfunktion
Inga specifika studier har utförts för att undersöka effekten av nedsatt leverfunktion på farmakokinetiken för tixagevimab och cilgavimab. Påverkan av nedsatt leverfunktion på farmakokinetiken för tixagevimab och cilgavimab förväntas vara liten.
Tixagevimab och cilgavimab förväntas kataboliseras av flera vävnader genom proteolytisk degradering till aminosyror och återanvändas i andra proteiner. Nedsatt leverfunktion förväntas därför inte påverka exponeringen för tixagevimab och cilgavimab.
Äldre
Av deltagarna i den poolade PK‑analysen var 17,6 % (N = 871) 65 år eller äldre och 3,2 % (N = 156) var 75 år eller äldre. Det är ingen kliniskt betydelsefull skillnad i farmakokinetiken för tixagevimab och cilgavimab hos geriatriska försökspersoner (≥65 år) jämfört med yngre individer.
Pediatrisk population
Farmakokinetiken för tixagevimab och cilgavimab hos individer < 18 år har inte utvärderats.
Med hjälp av populations‑PK‑modellering och simulering förväntas den rekommenderade doseringen resultera i serumexponeringar av tixagevimab och cilgavimab hos ungdomar i åldern 12 år eller äldre, som väger minst 40 kg, som är jämförbara med de som observeras hos vuxna. Detta eftersom vuxna med liknande kroppsvikt var inkluderade i de kliniska studierna avseende profylax och behandling.
Hög kroppsvikt
Baserat på populations‑PK-analys sågs en minskning av den maximala serumkoncentrationen och koncentrationen av EVUSHELD vid 6 månader med ökande kroppsvikt. Både den maximala serumkoncentrationen och koncentrationen vid 6 månader hos en vuxen som väger 108 kg (87,5 percentil) förutsågs vara cirka 24 % lägre än hos en vuxen som väger 81 kg (median).
Andra särskilda populationer
Baserat på populations‑PK-analys hade kön, ålder, ras, etnicitet, kardiovaskulära sjukdomar, diabetes och nedsatt immunförsvar ingen klinisk relevant effekt på farmakokinetiken för tixagevimab och cilgavimab.
Polysorbat 80 (E 433)
Vatten för injektionsvätskor
Särskilda anvisningar för destruktion
Hanteringsanvisningar
Detta läkemedel ska hanteras av hälso- och sjukvårdspersonal med aseptisk teknik för att säkerställa att varje dos är steril.
Inspektera injektionsflaskorna visuellt med avseende på partiklar och missfärgning. Både tixagevimab och cilgavimab är klara till opalescenta, färglösa till svagt gula lösningar. Kassera injektionsflaskorna om lösningen är grumlig, missfärgad eller innehåller synliga partiklar. Skaka inte injektionsflaskorna.
Vardera dos tixagevimab och cilgavimab dras upp i två separata sprutor för att administreras intramuskulärt i två olika muskler, företrädesvis i glutealmusklerna.
Förvaringsanvisningar för de färdigberedda sprutorna finns i avsnitt Hållbarhet ovan.
All oanvänd lösning ska kasseras.
Destruktion
Ej använt läkemedel och avfall ska kasseras enligt gällande anvisningar.