Vumerity 231 mg hårda enterokapslar
Varje hård enterokapsel innehåller 231 mg diroximelfumarat (diroximel fumarate).
För fullständig förteckning över hjälpämnen, se avsnitt 6.1.
Hård enterokapsel
Vit kapsel, storlek 0 (cirka 22 mm lång), märkt med ”DRF 231 mg” i svart bläck.
Biogen Netherlands B.V.
Prins Mauritslaan 13
1171 LP Badhoevedorp
Nederländerna
EU/1/21/1585/001
EU/1/21/1585/002
Första godkännandet: 15 november 2021
09/2024
Äldre
Baserat på okontrollerade studiedata förefaller säkerhetsprofilen för diroximelfumarat hos patienter i åldern ≥ 55 år vara jämförbar med den hos patienter i åldern < 55 år. I kliniska studier av diroximelfumarat var exponeringen av patienter som var 65 år och äldre begränsad och antal patienter i åldern 65 år och äldre var inte tillräckligt för att avgöra om äldre patienter svarar på ett annorlunda sätt än yngre patienter (se avsnitt 5.2). Baserat på verkningsmekanismen för den aktiva substansen finns det inga teoretiska skäl till att det skulle behövas några dosjusteringar till äldre.
Nedsatt njurfunktion
Ingen dosjustering behövs för patienter med nedsatt njurfunktion (se avsnitt 5.2). Långsiktig säkerhet för diroximelfumarat har inte studerats hos patienter med måttligt eller svårt nedsatt njurfunktion (se avsnitt 4.4 och 5.2).
Nedsatt leverfunktion
Ingen dosjustering behövs för patienter med nedsatt leverfunktion (se avsnitt 4.4 och 5.2). Diroximelfumarat har inte studerats hos patienter med nedsatt leverfunktion.
Pediatrisk population
Säkerhet och effekt för Vumerity hos barn och ungdomar i åldern 10 till < 18 år har ännu inte fastställts.
Det finns ingen relevant användning av Vumerity för barn som är under 10 år för indikationen skovvis förlöpande multipel skleros.
Administreringssätt
För oral användning.
Vumerity-kapslarna ska sväljas hela och intakta. Kapslarna ska inte krossas eller tuggas och innehållet ska inte strös över mat eftersom enterobeläggningen på kapseln förhindrar irriterande effekter på tarmen.
Vumerity kan tas med eller utan mat (se avsnitt 5.2). För patienter som eventuellt får hudrodnad eller gastrointestinala biverkningar kan tolerabiliteten förbättras om läkemedlet tas tillsammans med mat (se avsnitt 4.4 och 4.8).
Överkänslighet mot den aktiva substansen eller mot något hjälpämne som anges i avsnitt 6.1 eller andra fumarsyraestrar (se avsnitt 4.5).
Misstänkt eller bekräftad progressiv multifokal leukoencefalopati (PML).
Diroximelfumarat och dimetylfumarat metaboliseras till monometylfumarat vid oral administrering (se avsnitt 5.2). Riskerna associerade med diroximelfumarat förväntas vara samma som de som har rapporterats för dimetylfumarat även om inte alla risker som räknas upp nedan har noterats specifikt för diroximelfumarat.
Blod-/laboratorietester
Förändringar vid laboratorietester av njurfunktion har setts i kliniska prövningar hos patienter som behandlats med dimetylfumarat (se avsnitt 4.8). De kliniska betydelserna av dessa förändringar är okända. Bedömning av njurfunktion (t.ex. kreatinin, ureakväve i blodet och urinanalys) rekommenderas innan behandling med Vumerity inleds, efter 3 och 6 månaders behandling, därefter var sjätte till tolfte månad och när det är kliniskt befogat.
Läkemedelsinducerad leverskada, inklusive förhöjt leverenzym (≥ 3 gånger ULN (upper limit of normal, övre normalgränsen) och förhöjd total bilirubinnivå (≥ 2 gånger ULN) kan orsakas av behandling med dimetylfumarat. Tiden till debut kan vara direkt, flera veckor eller längre. Biverkningarna avklingade efter att behandlingen avbrutits. Bedömning av nivåerna av aminotransaminaser i serum (t.ex. alaninaminotransferas [ALAT], aspartataminotransferas [ASAT]) och totalt bilirubin rekommenderas före insättande av behandling och under behandling så som är kliniskt motiverat.
Patienter som behandlas med diroximelfumarat kan utveckla lymfopeni (se avsnitt 4.8). Innan behandling inleds ska ett aktuellt komplett blodstatus, inklusive lymfocyter, utföras. Om det visar sig att lymfocyttalet är lägre än det normala intervallet ska en grundlig bedömning av möjliga orsaker göras innan behandlingen inleds. Vumerity har inte studerats på patienter med befintligt låga lymfocyttal och försiktighet måste därför iakttas när dessa patienter behandlas. Behandling ska inte inledas hos patienter med svår lymfopeni (lymfocyttal < 0,5 x 109/l).
Efter inledd behandling ska ett komplett blodstatus, inklusive lymfocyter, utföras var tredje månad.
På grund av ökad risk för progressiv multifokal leukoencefalopati (PML) rekommenderas ökad vaksamhet hos patienter med lymfopeni enligt följande:
Behandlingen ska sättas ut hos patienter med långvarig svår lymfopeni (lymfocyttal < 0,5 x 109/l) som pågår i mer än 6 månader.
Hos patienter med konstant måttligt minskat absolut antal lymfocyter ≥ 0,5 x 109/l till < 0,8 x 109/l under mer än 6 månader ska nyttan/risken med behandlingen omprövas.
Hos patienter med lymfocyttal under den lägsta gränsen för normalvärde (LLN, lower limit of normal) definierad enligt det lokala laboratoriets referensområde, rekommenderas regelbundna kontroller av absolut antal lymfocyter. Övriga faktorer som kan öka den individuella PML-risken ytterligare ska tas i beaktande (se avsnittet om PML nedan).
Lymfocyttalen ska följas fram till återhämtning (se avsnitt 5.1). Vid återhämtning och i frånvaro av andra behandlingsalternativ ska besluten om huruvida behandlingen efter behandlingsavbrott med Vumerity ska återupptas eller inte baseras på klinisk bedömning.
Magnetresonanstomografi (MRT)
Innan behandlingen inleds ska det finnas en MRT-undersökning utförd före behandlingsstarten (vanligtvis inom 3 månader) tillgänglig som referens. Behovet av ytterligare MRT-undersökningar ska beaktas i enlighet med nationella och lokala rekommendationer. MRT-undersökning kan betraktas som en del av den ökade vaksamheten när det gäller patienter med ökad risk för PML. Om det finns en klinisk misstanke om PML ska MRT utföras omedelbart i diagnostiskt syfte.
Progressiv multifokal leukoencefalopati (PML)
PML har rapporterats hos patienter som behandlats med dimetylfumarat (se avsnitt 4.8). PML är en opportunistisk infektion som orsakas av John Cunningham-virus (JCV), vilken kan vara dödlig eller leda till svår funktionsnedsättning.
Fall av PML har förekommit i samband med användning av dimetylfumarat och andra läkemedel som innehåller fumarater vid förekomst av lymfopeni (lymfocyttal under nedre normalgränsen [lower limit of normal, LLN]). Långvarig måttlig till svår lymfopeni förefaller öka risken för PML vid behandling med dimetylfumarat, men risken kan dock inte uteslutas hos patienter med mild lymfopeni.
Ytterligare faktorer som kan bidra till en ökad risk för PML vid lymfopeni är:
Vumerity-behandlingens varaktighet. Fall av PML har uppkommit efter cirka 1 till 5 års dimetylfumaratbehandling, även om det exakta sambandet med behandlingens varaktighet är okänt.
signifikant minskat antal CD4+ T- och särskilt CD8+ T-celler, vilka har en avgörande roll för immunförsvaret (se avsnitt 4.8) och
tidigare immunhämmande eller immunmodulerande behandling (se nedan).
Läkare ska undersöka sina patienter för att avgöra om symtomen tyder på neurologisk dysfunktion och, om så är fallet, huruvida dessa symtom är typiska för MS eller eventuellt kan tyda på PML.
Vid första tecken eller symtom som föranleder misstanke om PML ska Vumerity sättas ut och adekvata diagnostiska undersökningar, inklusive bestämning av JCV-DNA i cerebrospinalvätskan (CSV) genom kvantitativ polymeraskedjereaktion (PCR), behöver utföras. Symtomen på PML kan likna ett MS-skov. Typiska symtom förknippade med PML varierar, utvecklas under dagar eller veckor och omfattar progressiv svaghet på en sida av kroppen eller klumpighet i extremiteterna, synrubbningar och förändringar i tänkande, minne och orienteringsförmåga som leder till förvirring och personlighetsförändringar. Läkare ska vara speciellt uppmärksamma på symtom som tyder på PML som patienten kanske inte märker. Patienten ska också uppmanas att informera sin partner eller vårdgivare om behandlingen eftersom de kan upptäcka symtom som patienten själv inte är medveten om.
PML kan endast uppkomma om det föreligger en JCV-infektion. Det ska tas i beaktande att påverkan av lymfopeni på noggrannheten i ett serum anti- JCV-antikroppstest inte har studerats hos patienter som behandlas med dimetylfumarat eller Vumerity. Det ska också noteras att ett negativt anti-JCV-antikroppstest (vid förekomst av normala lymfocyttal) inte utesluter risken för en påföljande JCV-infektion.
Om en patient utvecklar PML måste Vumerity sättas ut permanent.
Föregående behandling med immunsuppressivt eller immunmodulerande läkemedel
Inga studier har utförts för att utvärdera effekt och säkerhet för diroximelfumarat när patienter byter från andra sjukdomsmodifierande läkemedel. Det är möjligt att tidigare immunsuppressiv behandling bidrar till utveckling av PML.
Det har förekommit fall av PML hos patienter som tidigare har behandlats med natalizumab för vilka PML är en etablerad risk. Läkare ska vara medvetna om att fall av PML, som uppträder till följd av nyligen utsatt natalizumab, kanske inte innefattar lymfopeni.
De flesta bekräftade fallen av PML med dimetylfumarat förekom dessutom hos patienter med tidigare immunmodulerande behandling.
När patienter byter från andra sjukdomsmodifierande läkemedel till Vumerity ska halveringstiden och verkningsmekanismen för de andra läkemedlen beaktas för att undvika en additiv immuneffekt samtidigt som risken för reaktivering av MS-sjukdomen minskas. Det rekommenderas att komplett blodstatus kontrolleras innan behandlingen inleds och att regelbundna kontroller görs under behandlingens gång (se ”Blod-/laboratorietester” ovan).
Svårt nedsatt njurfunktion
Den långsiktiga säkerheten för diroximelfumarat har inte studerats hos patienter med måttligt eller svårt nedsatt njurfunktion. Därför ska försiktighet iakttas när behandling övervägs för dessa patienter (se avsnitt 4.2 och 5.2).
Svårt nedsatt leverfunktion
Diroximelfumarat har inte studerats hos patienter med svårt nedsatt leverfunktion. Därför ska försiktighet iakttas när behandling övervägs för dessa patienter (se avsnitt 4.2 och 5.2).
Svår aktiv mag-tarmsjukdom
Diroximelfumarat har inte studerats hos patienter med svår aktiv mag-tarmsjukdom. Därför ska försiktighet iakttas när behandling övervägs för dessa patienter.
Hudrodnad
I pivotala kliniska prövningar med dimetylfumarat fick 3 patienter av totalt 2 560 patienter som behandlades med dimetylfumarat allvarliga hudrodnadssymtom som troligen var överkänslighetsreaktioner eller anafylaktiska reaktioner. Dessa biverkningar var inte livshotande, men ledde till sjukhusinläggning. Förskrivare och patienter ska vara vaksamma på denna risk i händelse av svåra hudrodnadsreaktioner med Vumerity (se avsnitt 4.2, 4.5 och 4.8).
Data från studier av friska frivilliga försökspersoner tyder på att hudrodnad förknippad med dimetylfumarat sannolikt är prostaglandinmedierad. En kort behandling med 75 mg acetylsalicylsyra utan enterobeläggning kan vara fördelaktig för patienter med oacceptabel hudrodnad (se avsnitt 4.5). I två studier av friska frivilliga försökspersoner minskades förekomsten och svårighetsgraden av hudrodnad under doseringsperioden.
Anafylaktiska reaktioner
Fall av anafylaxi/anafylaktoid reaktion har rapporterats efter administrering av dimetylfumarat efter marknadsintroduktion. Symtomen kan inkludera dyspné, hypoxi, hypotoni, angioödem, hudutslag eller urtikaria. Mekanismen för anafylaxi orsakad av dimetylfumarat är okänd. Dessa reaktioner inträffar vanligen efter första dosen, men kan också inträffa när som helst under behandlingen och bli svåra och livshotande. Patienterna ska informeras om att avbryta behandlingen med Vumerity och omedelbart uppsöka sjukvård om de upplever tecken eller symtom på anafylaktisk reaktion. Behandlingen ska inte återupptas (se avsnitt 4.8).
Infektioner
I placebokontrollerade fas 3-studier med dimetylfumarat var incidensen för infektioner (60 % jämfört med 58 %) och allvarliga infektioner (2 % jämfört med 2 %) likartad mellan de patienter som behandlades med dimetylfumarat och de som behandlades med placebo.
Diroximelfumarat har immunmodulerande egenskaper (se avsnitt 5.1).
Patienter som får Vumerity ska uppmanas att rapportera symtom på infektion till läkare. Om en patient utvecklar en allvarlig infektion ska ett uppehåll i behandlingen övervägas och en ny bedömning av nytta och risk göras innan behandling återinsätts. Patienter med allvarliga infektioner får inte påbörja behandling förrän infektionen har läkt ut.
Det observerades ingen ökad incidens av allvarliga infektioner hos patienter behandlade med dimetylfumarat med ett lymfocyttal < 0,8 x 109/l eller < 0,5 x 109/l. Om behandlingen med Vumerity fortsätter trots måttlig till svår långvarig lymfopeni kan risken för en opportunistisk infektion, inklusive PML, inte uteslutas (se ”PML”).
Herpes zoster-infektioner
Fall av herpes zoster har förekommit vid användning av diroximelfumarat och dimetylfumarat. Majoriteten av fallen med dimetylfumarat var inte allvarliga. Allvarliga fall, inklusive spridd herpes zoster, herpes zoster oftalmicus, herpes zoster oticus, herpes zoster-infektion i nervsystemet, herpes zoster-meningoencefalit och herpes zoster-meningomyelit har dock rapporterats. Dessa händelser kan uppträda när som helst under behandlingen. Patienter ska övervakas med avseende på tecken och symtom på herpes zoster, särskilt när samtidig lymfocytopeni rapporteras. Om herpes zoster uppkommer ska lämplig behandling mot herpes zoster ges. Överväg ett behandlingsuppehåll hos patienter med allvarliga infektioner tills infektionen läkt ut (se avsnitt 4.8).
Behandlingsstart
Behandlingen ska påbörjas gradvis för att minska uppkomsten av hudrodnad och gastrointestinala biverkningar (se avsnitt 4.2).
Fanconis syndrom
Fall av Fanconis syndrom har rapporterats för ett läkemedel som innehåller dimetylfumarat i kombination med andra fumarsyraestrar. Tidig diagnos av Fanconis syndrom och utsättning av behandlingen med Vumerity är viktigt för att förhindra debut av nedsatt njurfunktion och osteomalaci, då syndromet vanligen är reversibelt. De viktigaste tecknen är proteinuri, glukosuri (med normala blodsockernivåer), hyperaminoaciduri och fosfaturi (eventuellt samtidigt med hypofosfatemi). Progression kan omfatta symtom såsom polyuri, polydipsi och proximal muskelsvaghet. I sällsynta fall kan hypofosfatemisk osteomalaci med icke lokaliserad bensmärta, förhöjd alkaliskt fosfatas i serum och stressfrakturer förekomma. Viktigt är att notera är att Fanconis syndrom kan uppträda utan förhöjda kreatininnivåer eller låg glomerulär filtreringshastighet. Om symtomen är otydliga ska Fanconis syndrom övervägas och lämpliga undersökningar genomföras.
Under behandlingen ska samtidig behandling med andra fumarsyraestrar (topikala eller systemiska) undvikas.
Vumerity ska inte administreras samtidigt som dimetylfumarat.
Inga potentiella risker för interaktion kunde identifieras vid studier med in vitro- och/eller in vivo-inhibition av transportörer, vid in vitro CYP-inhibitions- och -induktionsstudier eller studier av proteinbindningen av diroximelfumarat och dess huvudmetaboliter, aktiv monometylfumarat (MMF) och den inaktiva metaboliten 2-hydroxietylsuccinimid (HES).
Även om studier inte har utförts med diroximelfumarat, visade CYP-induktionsstudier in vitro inte någon interaktion mellan dimetylfumarat och orala preventivmedel. Samtidig administrering av dimetylfumarat och kombinerade p-piller (norgestimat och etinylestradiol) i en studie in vivo framkallade ingen relevant förändring av oral preventivmedelsexponering. Inga interaktionsstudier har utförts med orala preventivmedel som innehåller andra progestogener, men någon effekt av diroximelfumarat på deras exponering förväntas inte.
Diroximelfumarat har inte studerats i kombination med anti-neoplastiska eller immunhämmande läkemedel och försiktighet måste därför iakttas vid samtidig administrering. I kliniska studier av MS var den samtidiga behandlingen av skov med en kort behandlingskur med intravenösa kortikosteroider inte förenad med någon kliniskt relevant infektionsökning.
Samtidig administrering av icke‑levande vacciner i enlighet med nationella vaccinationsprogram kan övervägas under behandling med Vumerity. I en klinisk studie som omfattade totalt 71 patienter med skovvis förlöpande multipel skleros (relapsing-remitting multiple sclerosis, RRMS), sågs hos patienter som stod på dimetylfumarat 240 mg två gånger dagligen under minst 6 månader (n=38) eller icke‑pegylerat interferon under minst 3 månader (n=33), ett jämförbart immunsvar (definierat som ≥ 2‑faldig ökning från pre- till post-vaccinationstiter) på tetanustoxoid (revaccination) och konjugerat meningokockpolysackaridvaccin typ C (neoantigen), medan immunsvaret på olika serotyper av ett 23‑valent okonjugerat pneumokockpolysackaridvaccin (T-cellsoberoende antigen) varierade i båda behandlingsgrupperna. Ett positivt immunsvar, definierat som en ≥ 4‑faldig ökning i antikroppstiter på de tre vaccinerna, uppnåddes hos färre patienter i båda behandlingsgrupperna. Små numeriska skillnader i svaret på tetanustoxoid och pneumokockpolysackarid serotyp 3 noterades till fördel för icke‑pegylerat interferon.
Det finns inga tillgängliga kliniska data om effekt och säkerhet för levande försvagade vacciner hos patienter som tar Vumerity. Levande vacciner kan medföra en ökad risk för klinisk infektion och ska inte ges till patienter såvida inte, i undantagsfall, denna potentiella risk anses vara uppvägd av risken om individen inte blir vaccinerad.
Belägg från studier av friska frivilliga försökspersoner tyder på att hudrodnad förknippad med dimetylfumarat sannolikt är prostaglandinmedierad. I två studier av dimetylfumarat med friska frivilliga försökspersoner ändrades inte den farmakokinetiska profilen för dimetylfumarat när 325 mg (eller motsvarande) acetylsalicylsyra utan enterobeläggning administrerades 30 minuter före dimetylfumarat, vid dosering under 4 dagar respektive 4 veckor. Potentiella risker förknippade med acetylsalicylsyrabehandling ska övervägas före samtidig administrering av Vumerity till patienter med skovvis förlöpande MS. Långvarig (> 4 veckor) kontinuerlig användning av acetylsalicylsyra har inte studerats (se avsnitt 4.4 och 4.8).
Samtidig behandling med nefrotoxiska läkemedel (t.ex. aminoglykosider, diuretika, icke‑steroida antiinflammatoriska läkemedel eller litium) kan öka risken för njurbiverkningar (t.ex. proteinuri, se avsnitt 4.8) hos patienter som tar Vumerity (se avsnitt 4.4).
Pediatrisk population
Interaktionsstudier har endast utförts på vuxna.
Graviditet
Det finns inga eller begränsad mängd data från användning av diroximelfumarat hos gravida kvinnor. Djurstudier har visat reproduktionstoxikologiska effekter (se avsnitt 5.3). Vumerity rekommenderas inte under graviditet eller till fertila kvinnor som inte använder lämpliga preventivmedel (se avsnitt 4.5). Vumerity ska användas under graviditet endast då tillståndet kräver att det är absolut nödvändigt och om den möjliga nyttan uppväger den möjliga risken för fostret.
Amning
Det är okänt om diroximelfumarat eller dess metaboliter utsöndras i bröstmjölk. En risk för det nyfödda barnet/spädbarnet kan inte uteslutas. Ett beslut måste fattas om man ska avbryta amningen eller avbryta behandling med Vumerity efter att man tagit hänsyn till fördelen med amning för barnet och fördelen med behandling för kvinnan.
Fertilitet
Det finns inga data om effekten av Vumerity på human fertilitet. Data från djurstudier med diroximelfumarat visade ingen nedsatt fertilitet hos han- eller hondjur (se avsnitt 5.3).
Vumerity har ingen eller försumbar effekt på förmågan att framföra fordon och använda maskiner.
Summering av säkerhetsprofilen
Efter oral administrering metaboliseras diroximelfumarat och dimetylfumarat snabbt till monometylfumarat innan de når den systemiska cirkulationen. Biverkningarna är likartade efter metabolism.
De vanligaste biverkningarna för dimetylfumarat var hudrodnad (35 %) och mag-tarmbesvär (dvs. diarré 14 %, illamående 12 %, buksmärta 10 % och smärta i övre delen av buken 10 %). De vanligast rapporterade biverkningarna som ledde till avbrott för patienter som behandlades med dimetylfumarat var hudrodnad (3 %) och mag-tarmbesvär (4 %).
Förteckning i tabellform över biverkningar
I tabell 1 presenteras de biverkningar som rapporterades oftare hos patienter behandlade med dimetylfumarat jämfört med placebo i två pivotala, placebokontrollerade, kliniska fas 3-prövningar samt de biverkningar som rapporterats efter godkännande för försäljning.
Biverkningarna presenteras som MedDRA-rekommenderade termer under MedDRA-klassificeringen av organsystem. Incidensen av biverkningar nedan uttrycks enligt följande kategorier: mycket vanliga (≥ 1/10), vanliga (≥ 1/100, < 1/10), mindre vanliga (≥ 1/1 000, < 1/100), sällsynta (≥ 1/10 000, < 1/1 000), mycket sällsynta (< 1/10 000) och ingen känd frekvens (kan inte beräknas från tillgängliga data).
Tabell 1: Biverkningar
1 Se ”Beskrivning av utvalda biverkningar” för ytterligare information.
2 I en öppen, okontrollerad fas 3-studie med diroximelfumarat rapporterades lymfopeni med frekvensen ”mycket vanliga”.
Beskrivning av utvalda biverkningar
Hudrodnad
I de placebokontrollerade studierna av dimetylfumarat var incidensen av hudrodnad (34 % mot 5 %) och värmevallning (7 % mot 2 %) förhöjd hos patienter som behandlades med dimetylfumarat 240 mg två gånger dagligen jämfört med placebo. Hudrodnad (flush) brukar beskrivas som rodnad eller värmevallning, men kan även innefatta andra symtom (t.ex. värme, rodnad, klåda och brännande känsla). Händelser med hudrodnad tenderade att börja tidigt under behandlingen (främst under den första månaden) och hos patienter som får hudrodnad kan dessa episoder fortsätta att uppträda då och då under hela behandlingen med dimetylfumarat. De flesta av patienterna med hudrodnad hade episoder med lindrig eller måttlig svårighetsgrad. Totalt avbröt 3 % av patienterna som behandlades med dimetylfumarat på grund av hudrodnad. Incidensen av allvarlig hudrodnad, vilken kan kännetecknas av generaliserat erytem, hudutslag och/eller klåda, sågs hos mindre än 1 % av patienterna som behandlades med dimetylfumarat (se avsnitt 4.2, 4.4 och 4.5).
I den dubbelblinda fas 3-prövningen av diroximelfumarat (se avsnitt 5.1) rapporterades hudrodnad och värmevallningar hos 32,8 % och 1,6 % av patienterna som behandlades med diroximelfumarat och hos 40,6 % och 0,8 % av patienterna som behandlades med dimetylfumarat. Inga allvarliga episoder av hudrodnad eller avbrott på grund av hudrodnad förekom.
Magtarmkanalen
Incidensen av mag-tarmbesvär (t.ex. diarré [14 % mot 10 %], illamående [12 % mot 9 %], smärta i övre delen av buken [10 % mot 6 %], buksmärta [9 % mot 4 %], kräkning [8 % mot 5 %] och dyspepsi [5 % mot 3 %]) ökade hos patienter som fick dimetylfumarat jämfört med placebo. Mag-tarmbesvär tenderade att börja tidigt under behandlingen (främst under den första månaden) och hos patienter som får mag-tarmbesvär kan dessa episoder fortsätta att uppträda då och då under hela behandlingen med dimetylfumarat. De flesta av patienterna med mag-tarmbesvär hade episoder med lindrig eller måttlig svårighetsgrad. Fyra procent (4 %) av patienterna som behandlades med dimetylfumarat avbröt behandlingen på grund av mag-tarmbesvär. Incidensen av allvarliga mag-tarmbesvär, inklusive gastroenterit och gastrit, sågs hos 1 % av patienterna som behandlades med dimetylfumarat (se avsnitt 4.4).
Biverkningar i magtarmkanalen som rapporterades i den kliniska studien med diroximelfumarat och dimetylfumarat presenteras i avsnitt 5.1.
Leverfunktion
Baserat på data från placebokontrollerade studier med dimetylfumarat hade majoriteten av patienterna med förhöjda levertransaminaser nivåer som var < 3 gånger den övre normalgränsen (upper limit of normal, ULN). Den ökade incidensen av förhöjda levertransaminaser hos patienter som behandlades med dimetylfumarat i relation till placebo sågs främst under de första 6 månadernas behandling. Förhöjt alaninaminotransferas respektive aspartataminotransferas ≥ 3 gånger ULN, sågs hos 5 % och 2 % av patienterna som behandlades med placebo och 6 % och 2 % av patienterna som behandlades med dimetylfumarat. Behandlingsavbrotten på grund av förhöjda levertransaminaser var < 1 % och de var likartade hos patienter som behandlades med dimetylfumarat och de som behandlades med placebo. Förhöjda transaminaser ≥ 3 gånger ULN med samtidiga förhöjningar av totalt bilirubin > 2 gånger ULN kännetecknande läkemedelsinducerad leverskada observerades inte under placebokontrollerade studier, men har rapporterats efter godkännande för försäljning efter administrering av dimetylfumarat, vilka försvann vid avbruten behandling.
Lymfopeni
I den öppna, okontrollerade fas 3-prövningen av diroximelfumarat avbröts behandlingen hos patienter med bekräftade lymfocyttal på < 0,5 x 109/l som kvarstod i ≥ 4 veckor.
I de placebokontrollerade studierna med dimetylfumarat hade de flesta patienter (> 98 %) normala lymfocytvärden innan behandlingen inleddes. Vid behandling med dimetylfumarat minskade de genomsnittliga lymfocyttalen under det första året med en påföljande platå. I genomsnitt sjönk lymfocyttalen med cirka 30 % av värdet vid behandlingens början. Medel- och medianvärden för lymfocyttalen höll sig inom normala gränser. Lymfocyttal på < 0,5 × 109/l observerades hos < 1 % av patienterna som fick placebo och 6 % av patienterna som fick dimetylfumarat. Ett lymfocyttal på < 0,2 x 109/l observerades hos en patient som behandlades med dimetylfumarat och inte hos någon patient som fick placebo.
I kliniska studier (både kontrollerade och okontrollerade), hade 41 % av patienterna, som behandlades med dimetylfumarat, lymfopeni (definierad i dessa studier som < 0,91 × 109/l). Mild lymfopeni (lymfocyttal ≥ 0,8 × 109/l till < 0,91 × 109/l) observerades hos 28 % av patienterna, måttlig lymfopeni (lymfocyttal ≥ 0,5 × 109/l till < 0,8 × 109/l) som kvarstod i minst sex månader observerades hos 11 % av patienterna och svår lymfopeni (lymfocyttal < 0,5 × 109/l) som kvarstod i minst sex månader observerades hos 2 % av patienterna. I gruppen med svår lymfopeni förblev de flesta lymfocyttalen < 0,5 × 109/l med fortsatt behandling.
I en okontrollerad prospektiv studie efter marknadsintroduktionen observerades dessutom, vid vecka 48 av behandling med dimetylfumarat (n = 185) att CD4+ T-cellerna minskat måttligt (antal ≥ 0,2 x 109/l till < 0,4 x 109/l) eller kraftigt (< 0,2 x 109/l) hos upp till 37 % respektive 6 % av patienterna, medan CD8+ T-cellerna oftare hade minskat hos upp till 59 % av patienterna med antalet < 0,2 x 109/l och hos 25 % av patienterna med antalet < 0,1 x 109/l.
I kontrollerade och okontrollerade kliniska studier monitorerades patienter som avbröt dimetylfumaratbehandling med lymfocyttal som låg under den nedre normalgränsen (LLN, lower limit of normal) avseende återhämtning av lymfocyttalet till LLN (se avsnitt 5.1).
Infektioner, inklusive PML och opportunistiska infektioner
Fall av infektioner med John Cunningham-virus (JCV), som orsakar progressiv multifokal leukoencefalopati (PML), har rapporterats för dimetylfumarat (se avsnitt 4.4). PML kan vara dödlig eller leda till svår funktionsnedsättning. I en av de kliniska prövningarna utvecklade en dimetylfumarat-behandlad patient PML med dödlig utgång. Patienten hade långvarig svår lymfopeni med lymfocyttal mestadels < 0,5 × 109/l under 3,5 år. Efter marknadsintroduktionen har PML också förekommit i närvaro av måttlig och mild lymfopeni (> 0,5 × 109/l till < LLN, såsom definierad enligt det lokala laboratoriets referensområde).
I flera fall av PML där undergrupper av T-celler bestämdes vid tidpunkten för PML-diagnosen, observerades att antalet CD8+ T-celler minskat till < 0,1 x 109/l, medan minskningarna av antalet CD4+ T-celler varierade (från < 0,05 till 0,5 x 109/l) och korrelerade mer med lymfopenins svårighetsgrad överlag (< 0,5 x 109/l till < LLN). Detta ledde till att CD4+/CD8+-förhållandet ökade hos dessa patienter.
Långvarig måttlig till svår lymfopeni förefaller öka risken för PML vid behandling med dimetylfumarat och likaså med diroximelfumarat, dock förekom PML också hos dimetylfumarat-behandlade patienter med mild lymfopeni. Dessutom har de flesta fallen av PML efter marknadsintroduktion förekommit hos patienter > 50 år.
Herpes zoster-infektioner har rapporterats vid användning av dimetylfumarat. I den långsiktiga förlängningsstudie där 1 736 MS-patienter behandlades med dimetylfumarat hade cirka 5 % en eller flera episoder av herpes zoster. Majoriteten av dessa var av lindrig till måttlig svårighetsgrad. De flesta patienterna, inklusive de som hade en svår herpes zoster-infektion, hade lymfocyttal som var över den nedre normalvärdesgränsen. Hos de flesta patienter med samtidiga lymfocyttal under LLN bedömdes lymfopenin vara måttlig eller svår. Efter marknadsintroduktion har de flesta fallen av herpes zoster-infektioner varit icke allvarliga och läkt ut med behandling. Efter marknadsintroduktion finns det begränsad mängd data om absolut lymfocyttal (ALC) hos patienter med herpes zoster-infektion. I de fall då det rapporterats, har emellertid de flesta patienter haft måttlig lymfopeni (≥ 0,5 × 109/l till < 0,8 × 109/l) eller svår (< 0,5 × 109/l till 0,2 × 109/l) lymfopeni (se avsnitt 4.4).
Avvikelser i laboratorietestresultat
I placebokontrollerade studier för dimetylfumarat var värdet för urinketoner (1+ eller mer) högre hos patienter som fick dimetylfumarat (45 %) jämfört med placebo (10 %). Inga kliniskt relevanta konsekvenser observerades i kliniska prövningar.
Nivåer av 1,25-dihydroxyvitamin D sjönk hos patienter behandlade med dimetylfumarat jämfört med placebo (en procentuell medianminskning från baslinjen vid 2 år på 25 % respektive 15 %) och nivåerna av parathormon (PTH) steg hos patienter behandlade med dimetylfumarat jämfört med placebo (procentuell medianökning från baslinjen vid 2 år på 29 % respektive 15 %). Medelvärdena för båda parametrarna höll sig inom det normala intervallet.
En övergående ökning av genomsnittliga eosinofilvärden har setts under de första 2 månaderna av behandling med dimetylfumarat.
Pediatrisk population
Säkerheten för Vumerity hos pediatriska patienter har ännu inte fastställts.
I rapporterade fall av överdosering var symtomen som beskrevs förenliga med den kända biverkningsprofilen för läkemedlet. Det finns inga kända terapeutiska interventioner för att öka elimineringen av diroximelfumarat och det finns heller ingen känd antidot. I fall av överdosering rekommenderas att symtomatisk behandling sätts in så som är kliniskt motiverat.
Vumerity är indicerat för behandlingen av vuxna patienter med skovvis förlöpande multipel skleros (se avsnitt 5.1 för viktig information om populationer för vilka effekt har fastställts).
Behandling ska inledas under överinseende av en läkare med erfarenhet av att behandla multipel skleros.
Dosering
Startdosen är 231 mg två gånger dagligen. Efter 7 dagar ökas dosen till den rekommenderade underhållsdosen 462 mg två gånger dagligen (se avsnitt 4.4).
Tillfälliga dosreduktioner till 231 mg två gånger dagligen kan reducera förekomsten av biverkningar i form av hudrodnad och mag-tarmbesvär. Inom 1 månad ska den rekommenderade dosen på 462 mg två gånger dagligen återupptas.
Om en patient glömmer en dos får denne inte ta dubbel dos. Patienten kan endast ta den glömda dosen om det är 4 timmar mellan doserna. I annat fall ska patienten vänta till nästa planerade dos.
Särskilda populationer
Äldre
Baserat på okontrollerade studiedata förefaller säkerhetsprofilen för diroximelfumarat hos patienter i åldern ≥ 55 år vara jämförbar med den hos patienter i åldern < 55 år. I kliniska studier av diroximelfumarat var exponeringen av patienter som var 65 år och äldre begränsad och antal patienter i åldern 65 år och äldre var inte tillräckligt för att avgöra om äldre patienter svarar på ett annorlunda sätt än yngre patienter (se avsnitt 5.2). Baserat på verkningsmekanismen för den aktiva substansen finns det inga teoretiska skäl till att det skulle behövas några dosjusteringar till äldre.
Nedsatt njurfunktion
Ingen dosjustering behövs för patienter med nedsatt njurfunktion (se avsnitt 5.2). Långsiktig säkerhet för diroximelfumarat har inte studerats hos patienter med måttligt eller svårt nedsatt njurfunktion (se avsnitt 4.4 och 5.2).
Nedsatt leverfunktion
Ingen dosjustering behövs för patienter med nedsatt leverfunktion (se avsnitt 4.4 och 5.2). Diroximelfumarat har inte studerats hos patienter med nedsatt leverfunktion.
Pediatrisk population
Säkerhet och effekt för Vumerity hos barn och ungdomar i åldern 10 till < 18 år har ännu inte fastställts.
Det finns ingen relevant användning av Vumerity för barn som är under 10 år för indikationen skovvis förlöpande multipel skleros.
Administreringssätt
För oral användning.
Vumerity-kapslarna ska sväljas hela och intakta. Kapslarna ska inte krossas eller tuggas och innehållet ska inte strös över mat eftersom enterobeläggningen på kapseln förhindrar irriterande effekter på tarmen.
Vumerity kan tas med eller utan mat (se avsnitt 5.2). För patienter som eventuellt får hudrodnad eller gastrointestinala biverkningar kan tolerabiliteten förbättras om läkemedlet tas tillsammans med mat (se avsnitt 4.4 och 4.8).
Överkänslighet mot den aktiva substansen eller mot något hjälpämne som anges i avsnitt 6.1 eller andra fumarsyraestrar (se avsnitt 4.5).
Misstänkt eller bekräftad progressiv multifokal leukoencefalopati (PML).
Diroximelfumarat och dimetylfumarat metaboliseras till monometylfumarat vid oral administrering (se avsnitt 5.2). Riskerna associerade med diroximelfumarat förväntas vara samma som de som har rapporterats för dimetylfumarat även om inte alla risker som räknas upp nedan har noterats specifikt för diroximelfumarat.
Blod-/laboratorietester
Förändringar vid laboratorietester av njurfunktion har setts i kliniska prövningar hos patienter som behandlats med dimetylfumarat (se avsnitt 4.8). De kliniska betydelserna av dessa förändringar är okända. Bedömning av njurfunktion (t.ex. kreatinin, ureakväve i blodet och urinanalys) rekommenderas innan behandling med Vumerity inleds, efter 3 och 6 månaders behandling, därefter var sjätte till tolfte månad och när det är kliniskt befogat.
Läkemedelsinducerad leverskada, inklusive förhöjt leverenzym (≥ 3 gånger ULN (upper limit of normal, övre normalgränsen) och förhöjd total bilirubinnivå (≥ 2 gånger ULN) kan orsakas av behandling med dimetylfumarat. Tiden till debut kan vara direkt, flera veckor eller längre. Biverkningarna avklingade efter att behandlingen avbrutits. Bedömning av nivåerna av aminotransaminaser i serum (t.ex. alaninaminotransferas [ALAT], aspartataminotransferas [ASAT]) och totalt bilirubin rekommenderas före insättande av behandling och under behandling så som är kliniskt motiverat.
Patienter som behandlas med diroximelfumarat kan utveckla lymfopeni (se avsnitt 4.8). Innan behandling inleds ska ett aktuellt komplett blodstatus, inklusive lymfocyter, utföras. Om det visar sig att lymfocyttalet är lägre än det normala intervallet ska en grundlig bedömning av möjliga orsaker göras innan behandlingen inleds. Vumerity har inte studerats på patienter med befintligt låga lymfocyttal och försiktighet måste därför iakttas när dessa patienter behandlas. Behandling ska inte inledas hos patienter med svår lymfopeni (lymfocyttal < 0,5 x 109/l).
Efter inledd behandling ska ett komplett blodstatus, inklusive lymfocyter, utföras var tredje månad.
På grund av ökad risk för progressiv multifokal leukoencefalopati (PML) rekommenderas ökad vaksamhet hos patienter med lymfopeni enligt följande:
Behandlingen ska sättas ut hos patienter med långvarig svår lymfopeni (lymfocyttal < 0,5 x 109/l) som pågår i mer än 6 månader.
Hos patienter med konstant måttligt minskat absolut antal lymfocyter ≥ 0,5 x 109/l till < 0,8 x 109/l under mer än 6 månader ska nyttan/risken med behandlingen omprövas.
Hos patienter med lymfocyttal under den lägsta gränsen för normalvärde (LLN, lower limit of normal) definierad enligt det lokala laboratoriets referensområde, rekommenderas regelbundna kontroller av absolut antal lymfocyter. Övriga faktorer som kan öka den individuella PML-risken ytterligare ska tas i beaktande (se avsnittet om PML nedan).
Lymfocyttalen ska följas fram till återhämtning (se avsnitt 5.1). Vid återhämtning och i frånvaro av andra behandlingsalternativ ska besluten om huruvida behandlingen efter behandlingsavbrott med Vumerity ska återupptas eller inte baseras på klinisk bedömning.
Magnetresonanstomografi (MRT)
Innan behandlingen inleds ska det finnas en MRT-undersökning utförd före behandlingsstarten (vanligtvis inom 3 månader) tillgänglig som referens. Behovet av ytterligare MRT-undersökningar ska beaktas i enlighet med nationella och lokala rekommendationer. MRT-undersökning kan betraktas som en del av den ökade vaksamheten när det gäller patienter med ökad risk för PML. Om det finns en klinisk misstanke om PML ska MRT utföras omedelbart i diagnostiskt syfte.
Progressiv multifokal leukoencefalopati (PML)
PML har rapporterats hos patienter som behandlats med dimetylfumarat (se avsnitt 4.8). PML är en opportunistisk infektion som orsakas av John Cunningham-virus (JCV), vilken kan vara dödlig eller leda till svår funktionsnedsättning.
Fall av PML har förekommit i samband med användning av dimetylfumarat och andra läkemedel som innehåller fumarater vid förekomst av lymfopeni (lymfocyttal under nedre normalgränsen [lower limit of normal, LLN]). Långvarig måttlig till svår lymfopeni förefaller öka risken för PML vid behandling med dimetylfumarat, men risken kan dock inte uteslutas hos patienter med mild lymfopeni.
Ytterligare faktorer som kan bidra till en ökad risk för PML vid lymfopeni är:
Vumerity-behandlingens varaktighet. Fall av PML har uppkommit efter cirka 1 till 5 års dimetylfumaratbehandling, även om det exakta sambandet med behandlingens varaktighet är okänt.
signifikant minskat antal CD4+ T- och särskilt CD8+ T-celler, vilka har en avgörande roll för immunförsvaret (se avsnitt 4.8) och
tidigare immunhämmande eller immunmodulerande behandling (se nedan).
Läkare ska undersöka sina patienter för att avgöra om symtomen tyder på neurologisk dysfunktion och, om så är fallet, huruvida dessa symtom är typiska för MS eller eventuellt kan tyda på PML.
Vid första tecken eller symtom som föranleder misstanke om PML ska Vumerity sättas ut och adekvata diagnostiska undersökningar, inklusive bestämning av JCV-DNA i cerebrospinalvätskan (CSV) genom kvantitativ polymeraskedjereaktion (PCR), behöver utföras. Symtomen på PML kan likna ett MS-skov. Typiska symtom förknippade med PML varierar, utvecklas under dagar eller veckor och omfattar progressiv svaghet på en sida av kroppen eller klumpighet i extremiteterna, synrubbningar och förändringar i tänkande, minne och orienteringsförmåga som leder till förvirring och personlighetsförändringar. Läkare ska vara speciellt uppmärksamma på symtom som tyder på PML som patienten kanske inte märker. Patienten ska också uppmanas att informera sin partner eller vårdgivare om behandlingen eftersom de kan upptäcka symtom som patienten själv inte är medveten om.
PML kan endast uppkomma om det föreligger en JCV-infektion. Det ska tas i beaktande att påverkan av lymfopeni på noggrannheten i ett serum anti- JCV-antikroppstest inte har studerats hos patienter som behandlas med dimetylfumarat eller Vumerity. Det ska också noteras att ett negativt anti-JCV-antikroppstest (vid förekomst av normala lymfocyttal) inte utesluter risken för en påföljande JCV-infektion.
Om en patient utvecklar PML måste Vumerity sättas ut permanent.
Föregående behandling med immunsuppressivt eller immunmodulerande läkemedel
Inga studier har utförts för att utvärdera effekt och säkerhet för diroximelfumarat när patienter byter från andra sjukdomsmodifierande läkemedel. Det är möjligt att tidigare immunsuppressiv behandling bidrar till utveckling av PML.
Det har förekommit fall av PML hos patienter som tidigare har behandlats med natalizumab för vilka PML är en etablerad risk. Läkare ska vara medvetna om att fall av PML, som uppträder till följd av nyligen utsatt natalizumab, kanske inte innefattar lymfopeni.
De flesta bekräftade fallen av PML med dimetylfumarat förekom dessutom hos patienter med tidigare immunmodulerande behandling.
När patienter byter från andra sjukdomsmodifierande läkemedel till Vumerity ska halveringstiden och verkningsmekanismen för de andra läkemedlen beaktas för att undvika en additiv immuneffekt samtidigt som risken för reaktivering av MS-sjukdomen minskas. Det rekommenderas att komplett blodstatus kontrolleras innan behandlingen inleds och att regelbundna kontroller görs under behandlingens gång (se ”Blod-/laboratorietester” ovan).
Svårt nedsatt njurfunktion
Den långsiktiga säkerheten för diroximelfumarat har inte studerats hos patienter med måttligt eller svårt nedsatt njurfunktion. Därför ska försiktighet iakttas när behandling övervägs för dessa patienter (se avsnitt 4.2 och 5.2).
Svårt nedsatt leverfunktion
Diroximelfumarat har inte studerats hos patienter med svårt nedsatt leverfunktion. Därför ska försiktighet iakttas när behandling övervägs för dessa patienter (se avsnitt 4.2 och 5.2).
Svår aktiv mag-tarmsjukdom
Diroximelfumarat har inte studerats hos patienter med svår aktiv mag-tarmsjukdom. Därför ska försiktighet iakttas när behandling övervägs för dessa patienter.
Hudrodnad
I pivotala kliniska prövningar med dimetylfumarat fick 3 patienter av totalt 2 560 patienter som behandlades med dimetylfumarat allvarliga hudrodnadssymtom som troligen var överkänslighetsreaktioner eller anafylaktiska reaktioner. Dessa biverkningar var inte livshotande, men ledde till sjukhusinläggning. Förskrivare och patienter ska vara vaksamma på denna risk i händelse av svåra hudrodnadsreaktioner med Vumerity (se avsnitt 4.2, 4.5 och 4.8).
Data från studier av friska frivilliga försökspersoner tyder på att hudrodnad förknippad med dimetylfumarat sannolikt är prostaglandinmedierad. En kort behandling med 75 mg acetylsalicylsyra utan enterobeläggning kan vara fördelaktig för patienter med oacceptabel hudrodnad (se avsnitt 4.5). I två studier av friska frivilliga försökspersoner minskades förekomsten och svårighetsgraden av hudrodnad under doseringsperioden.
Anafylaktiska reaktioner
Fall av anafylaxi/anafylaktoid reaktion har rapporterats efter administrering av dimetylfumarat efter marknadsintroduktion. Symtomen kan inkludera dyspné, hypoxi, hypotoni, angioödem, hudutslag eller urtikaria. Mekanismen för anafylaxi orsakad av dimetylfumarat är okänd. Dessa reaktioner inträffar vanligen efter första dosen, men kan också inträffa när som helst under behandlingen och bli svåra och livshotande. Patienterna ska informeras om att avbryta behandlingen med Vumerity och omedelbart uppsöka sjukvård om de upplever tecken eller symtom på anafylaktisk reaktion. Behandlingen ska inte återupptas (se avsnitt 4.8).
Infektioner
I placebokontrollerade fas 3-studier med dimetylfumarat var incidensen för infektioner (60 % jämfört med 58 %) och allvarliga infektioner (2 % jämfört med 2 %) likartad mellan de patienter som behandlades med dimetylfumarat och de som behandlades med placebo.
Diroximelfumarat har immunmodulerande egenskaper (se avsnitt 5.1).
Patienter som får Vumerity ska uppmanas att rapportera symtom på infektion till läkare. Om en patient utvecklar en allvarlig infektion ska ett uppehåll i behandlingen övervägas och en ny bedömning av nytta och risk göras innan behandling återinsätts. Patienter med allvarliga infektioner får inte påbörja behandling förrän infektionen har läkt ut.
Det observerades ingen ökad incidens av allvarliga infektioner hos patienter behandlade med dimetylfumarat med ett lymfocyttal < 0,8 x 109/l eller < 0,5 x 109/l. Om behandlingen med Vumerity fortsätter trots måttlig till svår långvarig lymfopeni kan risken för en opportunistisk infektion, inklusive PML, inte uteslutas (se ”PML”).
Herpes zoster-infektioner
Fall av herpes zoster har förekommit vid användning av diroximelfumarat och dimetylfumarat. Majoriteten av fallen med dimetylfumarat var inte allvarliga. Allvarliga fall, inklusive spridd herpes zoster, herpes zoster oftalmicus, herpes zoster oticus, herpes zoster-infektion i nervsystemet, herpes zoster-meningoencefalit och herpes zoster-meningomyelit har dock rapporterats. Dessa händelser kan uppträda när som helst under behandlingen. Patienter ska övervakas med avseende på tecken och symtom på herpes zoster, särskilt när samtidig lymfocytopeni rapporteras. Om herpes zoster uppkommer ska lämplig behandling mot herpes zoster ges. Överväg ett behandlingsuppehåll hos patienter med allvarliga infektioner tills infektionen läkt ut (se avsnitt 4.8).
Behandlingsstart
Behandlingen ska påbörjas gradvis för att minska uppkomsten av hudrodnad och gastrointestinala biverkningar (se avsnitt 4.2).
Fanconis syndrom
Fall av Fanconis syndrom har rapporterats för ett läkemedel som innehåller dimetylfumarat i kombination med andra fumarsyraestrar. Tidig diagnos av Fanconis syndrom och utsättning av behandlingen med Vumerity är viktigt för att förhindra debut av nedsatt njurfunktion och osteomalaci, då syndromet vanligen är reversibelt. De viktigaste tecknen är proteinuri, glukosuri (med normala blodsockernivåer), hyperaminoaciduri och fosfaturi (eventuellt samtidigt med hypofosfatemi). Progression kan omfatta symtom såsom polyuri, polydipsi och proximal muskelsvaghet. I sällsynta fall kan hypofosfatemisk osteomalaci med icke lokaliserad bensmärta, förhöjd alkaliskt fosfatas i serum och stressfrakturer förekomma. Viktigt är att notera är att Fanconis syndrom kan uppträda utan förhöjda kreatininnivåer eller låg glomerulär filtreringshastighet. Om symtomen är otydliga ska Fanconis syndrom övervägas och lämpliga undersökningar genomföras.
Under behandlingen ska samtidig behandling med andra fumarsyraestrar (topikala eller systemiska) undvikas.
Vumerity ska inte administreras samtidigt som dimetylfumarat.
Inga potentiella risker för interaktion kunde identifieras vid studier med in vitro- och/eller in vivo-inhibition av transportörer, vid in vitro CYP-inhibitions- och -induktionsstudier eller studier av proteinbindningen av diroximelfumarat och dess huvudmetaboliter, aktiv monometylfumarat (MMF) och den inaktiva metaboliten 2-hydroxietylsuccinimid (HES).
Även om studier inte har utförts med diroximelfumarat, visade CYP-induktionsstudier in vitro inte någon interaktion mellan dimetylfumarat och orala preventivmedel. Samtidig administrering av dimetylfumarat och kombinerade p-piller (norgestimat och etinylestradiol) i en studie in vivo framkallade ingen relevant förändring av oral preventivmedelsexponering. Inga interaktionsstudier har utförts med orala preventivmedel som innehåller andra progestogener, men någon effekt av diroximelfumarat på deras exponering förväntas inte.
Diroximelfumarat har inte studerats i kombination med anti-neoplastiska eller immunhämmande läkemedel och försiktighet måste därför iakttas vid samtidig administrering. I kliniska studier av MS var den samtidiga behandlingen av skov med en kort behandlingskur med intravenösa kortikosteroider inte förenad med någon kliniskt relevant infektionsökning.
Samtidig administrering av icke‑levande vacciner i enlighet med nationella vaccinationsprogram kan övervägas under behandling med Vumerity. I en klinisk studie som omfattade totalt 71 patienter med skovvis förlöpande multipel skleros (relapsing-remitting multiple sclerosis, RRMS), sågs hos patienter som stod på dimetylfumarat 240 mg två gånger dagligen under minst 6 månader (n=38) eller icke‑pegylerat interferon under minst 3 månader (n=33), ett jämförbart immunsvar (definierat som ≥ 2‑faldig ökning från pre- till post-vaccinationstiter) på tetanustoxoid (revaccination) och konjugerat meningokockpolysackaridvaccin typ C (neoantigen), medan immunsvaret på olika serotyper av ett 23‑valent okonjugerat pneumokockpolysackaridvaccin (T-cellsoberoende antigen) varierade i båda behandlingsgrupperna. Ett positivt immunsvar, definierat som en ≥ 4‑faldig ökning i antikroppstiter på de tre vaccinerna, uppnåddes hos färre patienter i båda behandlingsgrupperna. Små numeriska skillnader i svaret på tetanustoxoid och pneumokockpolysackarid serotyp 3 noterades till fördel för icke‑pegylerat interferon.
Det finns inga tillgängliga kliniska data om effekt och säkerhet för levande försvagade vacciner hos patienter som tar Vumerity. Levande vacciner kan medföra en ökad risk för klinisk infektion och ska inte ges till patienter såvida inte, i undantagsfall, denna potentiella risk anses vara uppvägd av risken om individen inte blir vaccinerad.
Belägg från studier av friska frivilliga försökspersoner tyder på att hudrodnad förknippad med dimetylfumarat sannolikt är prostaglandinmedierad. I två studier av dimetylfumarat med friska frivilliga försökspersoner ändrades inte den farmakokinetiska profilen för dimetylfumarat när 325 mg (eller motsvarande) acetylsalicylsyra utan enterobeläggning administrerades 30 minuter före dimetylfumarat, vid dosering under 4 dagar respektive 4 veckor. Potentiella risker förknippade med acetylsalicylsyrabehandling ska övervägas före samtidig administrering av Vumerity till patienter med skovvis förlöpande MS. Långvarig (> 4 veckor) kontinuerlig användning av acetylsalicylsyra har inte studerats (se avsnitt 4.4 och 4.8).
Samtidig behandling med nefrotoxiska läkemedel (t.ex. aminoglykosider, diuretika, icke‑steroida antiinflammatoriska läkemedel eller litium) kan öka risken för njurbiverkningar (t.ex. proteinuri, se avsnitt 4.8) hos patienter som tar Vumerity (se avsnitt 4.4).
Pediatrisk population
Interaktionsstudier har endast utförts på vuxna.
Graviditet
Det finns inga eller begränsad mängd data från användning av diroximelfumarat hos gravida kvinnor. Djurstudier har visat reproduktionstoxikologiska effekter (se avsnitt 5.3). Vumerity rekommenderas inte under graviditet eller till fertila kvinnor som inte använder lämpliga preventivmedel (se avsnitt 4.5). Vumerity ska användas under graviditet endast då tillståndet kräver att det är absolut nödvändigt och om den möjliga nyttan uppväger den möjliga risken för fostret.
Amning
Det är okänt om diroximelfumarat eller dess metaboliter utsöndras i bröstmjölk. En risk för det nyfödda barnet/spädbarnet kan inte uteslutas. Ett beslut måste fattas om man ska avbryta amningen eller avbryta behandling med Vumerity efter att man tagit hänsyn till fördelen med amning för barnet och fördelen med behandling för kvinnan.
Fertilitet
Det finns inga data om effekten av Vumerity på human fertilitet. Data från djurstudier med diroximelfumarat visade ingen nedsatt fertilitet hos han- eller hondjur (se avsnitt 5.3).
Vumerity har ingen eller försumbar effekt på förmågan att framföra fordon och använda maskiner.
Summering av säkerhetsprofilen
Efter oral administrering metaboliseras diroximelfumarat och dimetylfumarat snabbt till monometylfumarat innan de når den systemiska cirkulationen. Biverkningarna är likartade efter metabolism.
De vanligaste biverkningarna för dimetylfumarat var hudrodnad (35 %) och mag-tarmbesvär (dvs. diarré 14 %, illamående 12 %, buksmärta 10 % och smärta i övre delen av buken 10 %). De vanligast rapporterade biverkningarna som ledde till avbrott för patienter som behandlades med dimetylfumarat var hudrodnad (3 %) och mag-tarmbesvär (4 %).
Förteckning i tabellform över biverkningar
I tabell 1 presenteras de biverkningar som rapporterades oftare hos patienter behandlade med dimetylfumarat jämfört med placebo i två pivotala, placebokontrollerade, kliniska fas 3-prövningar samt de biverkningar som rapporterats efter godkännande för försäljning.
Biverkningarna presenteras som MedDRA-rekommenderade termer under MedDRA-klassificeringen av organsystem. Incidensen av biverkningar nedan uttrycks enligt följande kategorier: mycket vanliga (≥ 1/10), vanliga (≥ 1/100, < 1/10), mindre vanliga (≥ 1/1 000, < 1/100), sällsynta (≥ 1/10 000, < 1/1 000), mycket sällsynta (< 1/10 000) och ingen känd frekvens (kan inte beräknas från tillgängliga data).
Tabell 1: Biverkningar
1 Se ”Beskrivning av utvalda biverkningar” för ytterligare information.
2 I en öppen, okontrollerad fas 3-studie med diroximelfumarat rapporterades lymfopeni med frekvensen ”mycket vanliga”.
Beskrivning av utvalda biverkningar
Hudrodnad
I de placebokontrollerade studierna av dimetylfumarat var incidensen av hudrodnad (34 % mot 5 %) och värmevallning (7 % mot 2 %) förhöjd hos patienter som behandlades med dimetylfumarat 240 mg två gånger dagligen jämfört med placebo. Hudrodnad (flush) brukar beskrivas som rodnad eller värmevallning, men kan även innefatta andra symtom (t.ex. värme, rodnad, klåda och brännande känsla). Händelser med hudrodnad tenderade att börja tidigt under behandlingen (främst under den första månaden) och hos patienter som får hudrodnad kan dessa episoder fortsätta att uppträda då och då under hela behandlingen med dimetylfumarat. De flesta av patienterna med hudrodnad hade episoder med lindrig eller måttlig svårighetsgrad. Totalt avbröt 3 % av patienterna som behandlades med dimetylfumarat på grund av hudrodnad. Incidensen av allvarlig hudrodnad, vilken kan kännetecknas av generaliserat erytem, hudutslag och/eller klåda, sågs hos mindre än 1 % av patienterna som behandlades med dimetylfumarat (se avsnitt 4.2, 4.4 och 4.5).
I den dubbelblinda fas 3-prövningen av diroximelfumarat (se avsnitt 5.1) rapporterades hudrodnad och värmevallningar hos 32,8 % och 1,6 % av patienterna som behandlades med diroximelfumarat och hos 40,6 % och 0,8 % av patienterna som behandlades med dimetylfumarat. Inga allvarliga episoder av hudrodnad eller avbrott på grund av hudrodnad förekom.
Magtarmkanalen
Incidensen av mag-tarmbesvär (t.ex. diarré [14 % mot 10 %], illamående [12 % mot 9 %], smärta i övre delen av buken [10 % mot 6 %], buksmärta [9 % mot 4 %], kräkning [8 % mot 5 %] och dyspepsi [5 % mot 3 %]) ökade hos patienter som fick dimetylfumarat jämfört med placebo. Mag-tarmbesvär tenderade att börja tidigt under behandlingen (främst under den första månaden) och hos patienter som får mag-tarmbesvär kan dessa episoder fortsätta att uppträda då och då under hela behandlingen med dimetylfumarat. De flesta av patienterna med mag-tarmbesvär hade episoder med lindrig eller måttlig svårighetsgrad. Fyra procent (4 %) av patienterna som behandlades med dimetylfumarat avbröt behandlingen på grund av mag-tarmbesvär. Incidensen av allvarliga mag-tarmbesvär, inklusive gastroenterit och gastrit, sågs hos 1 % av patienterna som behandlades med dimetylfumarat (se avsnitt 4.4).
Biverkningar i magtarmkanalen som rapporterades i den kliniska studien med diroximelfumarat och dimetylfumarat presenteras i avsnitt 5.1.
Leverfunktion
Baserat på data från placebokontrollerade studier med dimetylfumarat hade majoriteten av patienterna med förhöjda levertransaminaser nivåer som var < 3 gånger den övre normalgränsen (upper limit of normal, ULN). Den ökade incidensen av förhöjda levertransaminaser hos patienter som behandlades med dimetylfumarat i relation till placebo sågs främst under de första 6 månadernas behandling. Förhöjt alaninaminotransferas respektive aspartataminotransferas ≥ 3 gånger ULN, sågs hos 5 % och 2 % av patienterna som behandlades med placebo och 6 % och 2 % av patienterna som behandlades med dimetylfumarat. Behandlingsavbrotten på grund av förhöjda levertransaminaser var < 1 % och de var likartade hos patienter som behandlades med dimetylfumarat och de som behandlades med placebo. Förhöjda transaminaser ≥ 3 gånger ULN med samtidiga förhöjningar av totalt bilirubin > 2 gånger ULN kännetecknande läkemedelsinducerad leverskada observerades inte under placebokontrollerade studier, men har rapporterats efter godkännande för försäljning efter administrering av dimetylfumarat, vilka försvann vid avbruten behandling.
Lymfopeni
I den öppna, okontrollerade fas 3-prövningen av diroximelfumarat avbröts behandlingen hos patienter med bekräftade lymfocyttal på < 0,5 x 109/l som kvarstod i ≥ 4 veckor.
I de placebokontrollerade studierna med dimetylfumarat hade de flesta patienter (> 98 %) normala lymfocytvärden innan behandlingen inleddes. Vid behandling med dimetylfumarat minskade de genomsnittliga lymfocyttalen under det första året med en påföljande platå. I genomsnitt sjönk lymfocyttalen med cirka 30 % av värdet vid behandlingens början. Medel- och medianvärden för lymfocyttalen höll sig inom normala gränser. Lymfocyttal på < 0,5 × 109/l observerades hos < 1 % av patienterna som fick placebo och 6 % av patienterna som fick dimetylfumarat. Ett lymfocyttal på < 0,2 x 109/l observerades hos en patient som behandlades med dimetylfumarat och inte hos någon patient som fick placebo.
I kliniska studier (både kontrollerade och okontrollerade), hade 41 % av patienterna, som behandlades med dimetylfumarat, lymfopeni (definierad i dessa studier som < 0,91 × 109/l). Mild lymfopeni (lymfocyttal ≥ 0,8 × 109/l till < 0,91 × 109/l) observerades hos 28 % av patienterna, måttlig lymfopeni (lymfocyttal ≥ 0,5 × 109/l till < 0,8 × 109/l) som kvarstod i minst sex månader observerades hos 11 % av patienterna och svår lymfopeni (lymfocyttal < 0,5 × 109/l) som kvarstod i minst sex månader observerades hos 2 % av patienterna. I gruppen med svår lymfopeni förblev de flesta lymfocyttalen < 0,5 × 109/l med fortsatt behandling.
I en okontrollerad prospektiv studie efter marknadsintroduktionen observerades dessutom, vid vecka 48 av behandling med dimetylfumarat (n = 185) att CD4+ T-cellerna minskat måttligt (antal ≥ 0,2 x 109/l till < 0,4 x 109/l) eller kraftigt (< 0,2 x 109/l) hos upp till 37 % respektive 6 % av patienterna, medan CD8+ T-cellerna oftare hade minskat hos upp till 59 % av patienterna med antalet < 0,2 x 109/l och hos 25 % av patienterna med antalet < 0,1 x 109/l.
I kontrollerade och okontrollerade kliniska studier monitorerades patienter som avbröt dimetylfumaratbehandling med lymfocyttal som låg under den nedre normalgränsen (LLN, lower limit of normal) avseende återhämtning av lymfocyttalet till LLN (se avsnitt 5.1).
Infektioner, inklusive PML och opportunistiska infektioner
Fall av infektioner med John Cunningham-virus (JCV), som orsakar progressiv multifokal leukoencefalopati (PML), har rapporterats för dimetylfumarat (se avsnitt 4.4). PML kan vara dödlig eller leda till svår funktionsnedsättning. I en av de kliniska prövningarna utvecklade en dimetylfumarat-behandlad patient PML med dödlig utgång. Patienten hade långvarig svår lymfopeni med lymfocyttal mestadels < 0,5 × 109/l under 3,5 år. Efter marknadsintroduktionen har PML också förekommit i närvaro av måttlig och mild lymfopeni (> 0,5 × 109/l till < LLN, såsom definierad enligt det lokala laboratoriets referensområde).
I flera fall av PML där undergrupper av T-celler bestämdes vid tidpunkten för PML-diagnosen, observerades att antalet CD8+ T-celler minskat till < 0,1 x 109/l, medan minskningarna av antalet CD4+ T-celler varierade (från < 0,05 till 0,5 x 109/l) och korrelerade mer med lymfopenins svårighetsgrad överlag (< 0,5 x 109/l till < LLN). Detta ledde till att CD4+/CD8+-förhållandet ökade hos dessa patienter.
Långvarig måttlig till svår lymfopeni förefaller öka risken för PML vid behandling med dimetylfumarat och likaså med diroximelfumarat, dock förekom PML också hos dimetylfumarat-behandlade patienter med mild lymfopeni. Dessutom har de flesta fallen av PML efter marknadsintroduktion förekommit hos patienter > 50 år.
Herpes zoster-infektioner har rapporterats vid användning av dimetylfumarat. I den långsiktiga förlängningsstudie där 1 736 MS-patienter behandlades med dimetylfumarat hade cirka 5 % en eller flera episoder av herpes zoster. Majoriteten av dessa var av lindrig till måttlig svårighetsgrad. De flesta patienterna, inklusive de som hade en svår herpes zoster-infektion, hade lymfocyttal som var över den nedre normalvärdesgränsen. Hos de flesta patienter med samtidiga lymfocyttal under LLN bedömdes lymfopenin vara måttlig eller svår. Efter marknadsintroduktion har de flesta fallen av herpes zoster-infektioner varit icke allvarliga och läkt ut med behandling. Efter marknadsintroduktion finns det begränsad mängd data om absolut lymfocyttal (ALC) hos patienter med herpes zoster-infektion. I de fall då det rapporterats, har emellertid de flesta patienter haft måttlig lymfopeni (≥ 0,5 × 109/l till < 0,8 × 109/l) eller svår (< 0,5 × 109/l till 0,2 × 109/l) lymfopeni (se avsnitt 4.4).
Avvikelser i laboratorietestresultat
I placebokontrollerade studier för dimetylfumarat var värdet för urinketoner (1+ eller mer) högre hos patienter som fick dimetylfumarat (45 %) jämfört med placebo (10 %). Inga kliniskt relevanta konsekvenser observerades i kliniska prövningar.
Nivåer av 1,25-dihydroxyvitamin D sjönk hos patienter behandlade med dimetylfumarat jämfört med placebo (en procentuell medianminskning från baslinjen vid 2 år på 25 % respektive 15 %) och nivåerna av parathormon (PTH) steg hos patienter behandlade med dimetylfumarat jämfört med placebo (procentuell medianökning från baslinjen vid 2 år på 29 % respektive 15 %). Medelvärdena för båda parametrarna höll sig inom det normala intervallet.
En övergående ökning av genomsnittliga eosinofilvärden har setts under de första 2 månaderna av behandling med dimetylfumarat.
Pediatrisk population
Säkerheten för Vumerity hos pediatriska patienter har ännu inte fastställts.
Rapportering av misstänkta biverkningar
I rapporterade fall av överdosering var symtomen som beskrevs förenliga med den kända biverkningsprofilen för läkemedlet. Det finns inga kända terapeutiska interventioner för att öka elimineringen av diroximelfumarat och det finns heller ingen känd antidot. I fall av överdosering rekommenderas att symtomatisk behandling sätts in så som är kliniskt motiverat.
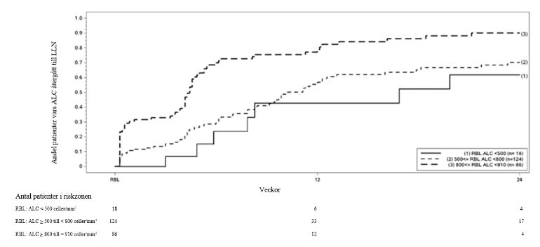
Figur 1 visar andelen patienter som beräknades nå LLN baserat på Kaplan-Meier-metod utan långvarig svår lymfopeni. Baslinjevärdet för återhämtning (RBL, recovery baseline) definierades som senaste ALC under behandling innan dimetylfumarat sattes ut. Beräknad andel av patienter vars värden återgått till LNN (ALC ≥ 0,9 × 109/l) vecka 12 och vecka 24, som hade mild, måttlig eller svår lymfopeni vid RBL, redovisas i tabell 2, tabell 3 och tabell 4 med 95 % punktvisa konfidensintervall. Standardfel för Kaplan-Meier-estimatorn för överlevnadsfunktion har beräknats med Greenwoods formel.
Figur 1: Kaplan-Meier-metod: andel patienter med återhämtning till ≥ 910 celler/mm3 LLN från baslinjevärdet för återhämtning (RBL)
Tabell 2: Kaplan-Meier-metod: andel patienter som beräknas uppnå LLN, mild lymfopeni vid baslinjevärdet för återhämtning (RBL), patienter med långvarig svår lymfopeni exkluderade
Tabell 3: Kaplan-Meier-metod: andel patienter som beräknas uppnå LLN, måttlig lymfopeni vid baslinjevärdet för återhämtning (RBL), patienter med långvarig svår lymfopeni exkluderade
Tabell 4: Kaplan-Meier-metod: andel patienter som beräknas uppnå LLN, svår lymfopeni vid baslinjevärdet för återhämtning (RBL), patienter med långvarig svår lymfopeni exkluderade
Klinisk effekt och säkerhet
Diroximelfumarat och dimetylfumarat metaboliseras snabbt till samma aktiva metabolit, monometylfumarat, av esteraser innan de når den systemiska cirkulationen efter oral administrering. Den farmakokinetiska jämförbarheten av diroximelfumarat och dimetylfumarat har påvisats genom analys av exponering för monometylfumarat (se avsnitt 5.2), och följaktligen förväntas effektprofilerna vara likvärdiga.
Kliniska studier med dimetylfumarat
Två 2-åriga, randomiserade, dubbelblinda, placebokontrollerade studier (DEFINE med 1 234 patienter och CONFIRM med 1 417 patienter) på patienter med skovvis förlöpande multipel skleros (relapsing-remitting multiple sclerosis, RRMS) utfördes. Patienter med progressiva former av MS ingick inte i dessa studier.
Effekt (se tabell nedan) och säkerhet påvisades hos patienter med från 0 till och med 5 poäng i EDSS (Expanded Disability Status Scale), vilka hade haft minst 1 skov under året före randomiseringen, eller som under 6 veckor före randomiseringen hade genomgått en hjärnundersökning med magnetisk resonanstomografi (MRT) som visade att det fanns minst en gadolinium-laddad (Gd+) lesion. CONFIRM-studien innehöll en ”rater-blinded” (dvs. den studieläkare/prövare som bedömde svaret på studiebehandlingen var blindad) referenskomparator i form av glatirameracetat.
I DEFINE-studien hade patienterna följande medianvärden för egenskaper vid baslinje: ålder 39 år, sjukdomslängd 7,0 år och EDSS-poäng 2,0. Dessutom hade 16 % av patienterna en EDSS-poäng > 3,5, 28 % hade ≥ 2 skov under det föregående året och 42 % hade tidigare fått andra godkända MS-behandlingar. I MRT-kohorten hade 36 % av patienterna som skrevs in i studien Gd+-lesioner vid baslinjen (medeltal för Gd+-lesioner 1,4).
I CONFIRM-studien hade patienterna följande medianvärden för egenskaper vid baslinje: ålder 37 år, sjukdomslängd 6,0 år och EDSS-poäng 2,5. Dessutom hade 17 % av patienterna en EDSS-poäng > 3,5, 32 % hade ≥ 2 skov under det föregående året och 30 % hade tidigare fått andra godkända MS-behandlingar. I MRT-kohorten hade 45 % av patienterna som skrevs in i studien Gd+-lesioner vid baslinjen (medeltal för Gd+-lesioner 2,4).
Jämfört med placebo hade patienter som behandlades med dimetylfumarat en kliniskt meningsfull och statistiskt signifikant reduktion av det primära resultatmåttet i DEFINE-studien, andelen patienter med skov vid 2 år; och det primära resultatmåttet i CONFINE-studien, årlig skovfrekvens (annualised relapse rate, ARR) vid 2 år.
Den årliga skovfrekvensen för glatirameracetat och placebo var 0,286 respektive 0,401 i CONFIRM-studien, vilket motsvarade en minskning på 29 % (p = 0,013).
aAlla analyser av kliniska resultatmått var intent-to-treat; bMRT-analysen gjordes på MRT-kohort
*P-värde < 0,05; **P-värde < 0,01; ***P-värde < 0,0001; #inte statistiskt signifikant
I en öppen, okontrollerad, 8-årig förlängningsstudie (ENDORSE) registrerades 1 736 lämpliga RRMS-patienter från de pivotala studierna (DEFINE och CONFIRM). Det primära syftet med studien var att bedöma långsiktig säkerhet för dimetylfumarat hos patienter med RRMS. Av de 1 736 patienterna behandlades cirka hälften (909, 52 %) i 6 år eller längre. 501 patienter behandlades kontinuerligt med dimetylfumarat 240 mg två gånger dagligen i alla 3 studier och 249 patienter som tidigare hade behandlats med placebo i DEFINE- och CONFIRM-studierna fick behandling 240 mg två gånger dagligen i ENDORSE-studien. Patienter som kontinuerligt fick behandling två gånger dagligen behandlades i upp till 12 år.
Under ENDORSE-studien hade fler än hälften av alla patienter som behandlades med dimetylfumarat 240 mg två gånger dagligen inget skov. För patienterna som kontinuerligt behandlades två gånger dagligen i alla 3 studier, var det justerade ARR-värdet 0,187 (95 % KI: 0,156; 0,224) i DEFINE- och
CONFIRM-studierna och 0,141 (95 % KI: 0,119; 0,167) i ENDORSE-studien. För patienter som tidigare behandlats med placebo minskade det justerade ARR-värdet från 0,330 (95 % KI: 0,266; 0,408) i DEFINE- och CONFIRM-studierna till 0,149 (95 % KI: 0,116; 0,190) i ENDORSE-studien.
I ENDORSE-studien hade majoriteten av patienter (> 75 %) ingen bekräftad progression av funktionsnedsättning (mätt som ihållande progression av funktionsnedsättning vid 6 månader). De poolade resultaten från de tre studierna visade att patienter behandlade med dimetylfumarat hade enhetliga och låga förekomster av bekräftad progression av funktionsnedsättning med en liten ökning i EDSS-medelpoäng under ENDORSE. MRT-undersökningar (upp till år 6; inklusive 752 patienter som tidigare hade inkluderats i MRT-kohorten för studierna DEFINE och CONFIRM) visade att majoriteten av patienter (cirka 90 %) inte hade några Gd-laddande lesioner. Under de 6 åren förblev det årligen justerade medelantalet (medianen) nya eller nyligen förstorade T2-lesioner och nya T1-lesioner lågt.
Effekt hos patienter med hög sjukdomsaktivitet:
I DEFINE- och CONFIRM-studierna observerades enhetlig behandlingseffekt på skov i en delgrupp med patienter med hög sjukdomsaktivitet, medan effekten på tid fram till 3-månaders bevarad förvärrad funktionsnedsättning inte kunde fastställas tydligt. På grund av studiernas utformning definierades hög sjukdomsaktivitet på följande sätt:
Patienter med 2 eller fler skov under ett år, och med en eller flera Gd-laddande lesioner vid MRT av hjärnan (n = 42 i DEFINE; n = 51 i CONFIRM) eller,
Patienter som inte har svarat på en fullständig och adekvat kur (minst ett års behandling) med beta-interferon, har haft minst 1 skov under det föregående året under pågående behandling, och minst 9 T2-hyperintensiva lesioner vid kranial MRT eller minst 1 Gd-laddande lesion, eller patienter med en oförändrad eller ökad skovfrekvens under det föregående året jämfört med de tidigare 2 åren (n = 177 i DEFINE; n = 141 i CONFIRM).
Kliniska studier med Vumerity
Den gastrointestinala tolerabiliteten för diroximelfumarat utvärderades hos 504 vuxna patienter med RRMS i en randomiserad fas 3-studie med flera center (EVOLVE-MS-2). Studien innefattade en 5 veckor lång, dubbelblind behandlingsperiod med två behandlingsarmar. Patienterna hade en titreringsperiod på 1 vecka och randomiserades (1:1) för att få diroximelfumarat 462 mg två gånger dagligen (n = 253) eller dimetylfumarat 240 mg två gånger dagligen (n = 251). Patienterna hade följande medianvärden på egenskaper vid baslinjen: ålder 44 år, sjukdomslängd 6,0 år och EDSS-poäng 2,5. I denna studie undersöktes gastrointestinal tolerabilitet med användning av skalan Individual GI Symptom and Impact Scale (IGISIS), som utvärderade incidens, svårighetsgrad, debut och funktionell påverkan av fem enskilda GI-symtom: illamående, kräkning, övre buksmärta, nedre buksmärta och diarré.
Totalt observerades biverkningar i magtarmkanalen hos 34,8 % av patienterna som behandlades med diroximelfumarat och hos 49,0 % av patienterna som behandlades med dimetylfumarat. Behandlingsavbrotten var sammanlagt 1,6 % och 6,0 % för diroximelfumarat respektive dimetylfumarat. Utsättningar på grund av gastrointestinal tolerabilitet var 0,8 % och 4,8 % för diroximelfumarat respektive dimetylfumarat. Under behandlingen uppkomna biverkningar i magtarmkanalen på ≥ 5 % för diroximelfumarat och dimetylfumarat var diarré (15,4 % respektive 22,3 %), illamående (14,6 % respektive 20,7 %), smärta i övre delen av buken (6,7 % respektive 15,5 %), buksmärta (6,3 % respektive 9,6 %), smärta i nedre delen av buken (5,9 % respektive 6,8 %), kräkning (3,6 % respektive 8,8 %).
Pediatrisk population
Effekt för Vumerity hos pediatriska patienter har inte fastställts.
Europeiska läkemedelsmyndigheten har senarelagt kravet att skicka in studieresultat för Vumerity för en eller flera grupper av den pediatriska populationen för behandling av MS (information om pediatrisk användning finns i avsnitt 4.2).
Oralt administrerat diroximelfumarat genomgår snabb presystemisk hydrolys med esteraser och omvandlas primärt till den aktiva metaboliten, monometylfumarat, samt till den viktigaste inaktiva metaboliten HES. Diroximelfumarat kan inte kvantifieras i plasma efter oral administrering. Därför utfördes alla farmakokinetiska analyser som var relaterade till diroximelfumarat med koncentrationer av plasmamonometylfumarat. Farmakokinetiska uppgifter har erhållits från 10 kliniska studier med friska frivilliga försökspersoner, 2 studier med MS-patienter och farmakokinetiska analyser av populationerna. Farmakokinetisk bedömning har visat att exponeringen för monometylfumarat efter oral administrering av 462 mg diroximelfumarat och 240 mg dimetylfumarat hos vuxna är bioekvivalent. Därför förväntas diroximelfumarat ge en likvärdig total effekt och säkerhetsprofil jämfört med dimetylfumarat.
Absorption
Median Tmax för monometylfumarat är 2,5 till 3 timmar. Den maximala plasmakoncentrationen (Cmax) och den totala exponeringen (AUC) ökade dosproportionellt i det studerade dosintervallet (49 mg till 980 mg). Efter administrering av diroximelfumarat 462 mg två gånger dagligen hos MS-patienter i EVOLVE-MS-1, var den genomsnittliga Cmax för monometylfumarat 2,11 mg/l. Medelvärdet för AUClast efter en morgondos var 4,15 mg/l.tim. Genomsnittligt steady state AUC (AUCss) dagligen för monometylfumarat beräknades vara 8,32 mg/l.tim hos MS-patienter.
Administrering av diroximelfumarat tillsammans med en fett- och kaloririk måltid påverkade inte AUC för monometylfumarat men resulterade i cirka 44 % minskning av Cmax jämfört med fastestatus. Monometylfumaratets Cmax vid måltider med låg eller medelmåttig fetthalt minskades med cirka 12 % respektive 25 %.
Mat har ingen kliniskt signifikant effekt på exponeringen för monometylfumarat. Vumerity kan därför tas med eller utan mat (se avsnitt 4.2).
Distribution
Den uppenbara distributionsvolymen (Vd) för monometylfumarat är mellan 72 liter och 83 liter hos friska försökspersoner efter administrering av diroximelfumarat. Bindningen till humana plasmaproteiner för monometylfumarat var mindre än 25 % och var inte koncentrationsberoende.
Metabolism
Hos människan metaboliseras diroximelfumarat i omfattande grad av esteraser, vilka förkommer allmänt i magtarmkanalen, blod och vävnader, innan det når den systemiska cirkulationen. Metabolismen av diroximelfumarat med hjälp av esteraser producerar företrädesvis både den aktiva metaboliten monometylfumarat och HES, en inaktiv metabolit.
Vidare metabolism av monometylfumarat sker genom esteraser följt av trikarboxylsyracykeln, utan involvering av cytokrom P450 (CYP)-systemet. Fumar- och citronsyra och glukos är de resulterande metaboliterna från monometylfumarat i plasma.
Eliminering
Monometylfumarat elimineras huvudsakligen som koldioxid i utandningsluften och endast spårmängder återfinns i urinen. Den terminala halveringstiden (t1/2) för monometylfumarat är ungefär 1 timme, och ingen ackumulering uppstod vid exponeringar av monometylfumarat i plasma med flera doser av diroximelfumarat. I en studie av dimetylfumarat fastställdes att utandning av CO2 är den huvudsakliga elimineringsvägen och står för cirka 60 % av dosen. Renal och fekal eliminering är sekundära elimineringsvägar och står för 15,5 % respektive 0,9 % av dosen.
HES elimineras från plasma med en t1/2 på 10,7–14,8 timmar. HES elimineras huvudsakligen i urin.
Linjäritet
Exponering för monometylfumarat ökar på ett mer eller mindre dosproportionellt sätt vid engångs- och flergångsdoser i det studerade dosintervallet på 49 mg till 980 mg.
Farmakokinetik i särskilda patientgrupper
Kroppsvikt är den huvudsakliga kovariaten vid exponering för monometylfumarat, med ökning av Cmax och AUC hos försökspersoner med lägre kroppsvikt efter administrering av diroximelfumarat. Ingen effekt sågs på de säkerhets- och effektmått som utvärderats i de kliniska studierna. Därför behövs ingen dosjustering baserat på kroppsvikt.
Kön och ålder hade ingen statistiskt signifikant effekt på Cmax och AUC för diroximelfumarat. Farmakokinetiken för patienter som är 65 år och äldre har inte studerats.
Pediatrisk population
Den farmakokinetiska profilen för monometylfumarat efter administrering av diroximelfumarat har inte studerats. De farmakokinetiska parametrarna för monometylfumarat efter administrering av diroximelfumarat är korrelerade till kroppsvikt. Därför förväntas samma dos leda till högre exponering hos pediatriska patienter med lägre kroppsvikt jämfört med vuxna. Den farmakokinetiska profilen för 240 mg dimetylfumarat två gånger dagligen utvärderades i en liten öppen okontrollerad studie av patienter med RRMS i åldern 13 till 17 år (n = 21). Farmakokinetiken för dimetylfumarat hos dessa ungdomar var likvärdig den som tidigare observerats hos vuxna patienter.
Etnicitet
Etnicitet har ingen inverkan på den farmakokinetiska profilen för monometylfumarat eller HES efter administrering av diroximelfumarat.
Nedsatt njurfunktion
I en studie där effekten av nedsatt njurfunktion på den farmakokinetiska profilen för diroximelfumarat undersöktes förekom inga relevanta kliniska förändringar av exponeringen för MMF hos de med lätt nedsatt njurfunktion (eGFR 60–89 ml/min/1,73 m2), måttligt nedsatt njurfunktion (eGFR 30–59 ml/min/1,73 m2) eller svårt nedsatt njurfunktion (eGFR < 30 ml/min/1,73 m2). HES-exponering ökade 1,3- och 1,8- och 2,7-faldigt med respektive lätt, måttligt och svårt nedsatt njurfunktion (se avsnitt 4.8). Det finns inga tillgängliga uppgifter om långvarig användning av diroximelfumarat hos patienter med måttligt eller svårt nedsatt njurfunktion (se avsnitt 4.2 och 4.4).
Nedsatt leverfunktion
Eftersom diroximelfumarat och monometylfumarat metaboliseras av esteraser, utan involvering av CYP450-systemet, utfördes ingen utvärdering av farmakokinetiken hos personer med nedsatt leverfunktion (se avsnitt 4.2 och 4.4).
Toxikologi
Njurtoxicitet hos råttor och apor inkluderade tubulär degenerering/nekros med regeneration, tubulär hypertrofi och/eller interstitiell fibros, ökad njurvikt och förändringar av kliniska patologiska parametrar (urinvolym, specifik densitet och biomarkörer som anger njurskada). I toxikologiska studier om kronisk toxicitet uppträdde negativa njurfynd vid exponering för monometylfumarat som
motsvarade AUC vid högsta rekommenderad dos till människa (maximum recommended human dose, MRHD) av diroximelfumarat.
Gastrointestinal toxicitet hos möss och råttor utgjordes av slemhinnehyperplasi och hyperkeratos i den körtelfria delen av magen (förmagen) och duodenum. Hos apor karakteriserades den låga gastrointestinala tolerabiliteten av dosberoende kräkning/uppkastning, magirritation, blödning och inflammation samt diarré. Dessa fynd utvecklades vid exponeringar för monometylfumarat minst 2 gånger högre än AUC vid MRHD av diroximelfumarat.
Hjärtinflammation och nekros sågs hos tre hanråttor i en 91 dagar lång toxicitetsstudie med exponering för monometylfumarat som var 4 gånger högre än AUC vid MRHD av diroximelfumarat. Dessa hjärtfynd har även detekterats hos råttor i andra toxicitetsstudier inklusive obehandlade kontroller, men inte hos apor. Denna hjärtinflammation står därför sannolikt för exacerbation av vanliga bakgrundslesioner hos råtta utan relevans för människa.
Delvis reversibel dysplasi i tillväxtplattor i proximala och distala femur och proximala tibia sågs hos apor i den 91 dagar långa toxicitetstudien med exponering för monometylfumarat som var 15 gånger högre än AUC vid MRHD av diroximelfumarat. Bentoxicitet kan eventuellt relateras till apornas prepubertala ålder, därför att benutvecklingen även försämrades hos unga råttor (se nedan), men påverkades inte vid lägre doser i den kroniska apstudien eller hos fullvuxna råttor. Benfynden är av begränsad relevans för vuxna patienter vid terapeutisk dos.
Testikeltoxicitet bestående av minimal germinal epiteldegeneration, ökad incidens av jättelika spermatider, liten minskning av spermatider i det tubulära epitelet och minskning av testikelvikt observerades hos vildtyper av kullsyskon till rasH2-möss. Dessa fynd uppträdde vid exponering för monometylfumarat som var 15 gånger högre än AUC vid MRHD av diroximelfumarat, vilket tyder på begränsad relevans för människa vid terapeutisk dos.
Gentoxicitet
Studier in vitro och in vivo med diroximelfumarat gav inga belägg för en kliniskt relevant gentoxisk möjlighet.
Karcinogenes
Diroximelfumarat testades i en transgenisk bioanalys av transgeniska rasH2-möss och i en 2-årig bioanalys av råttor. Diroximelfumarat var inte karcinogent hos transgeniska möss och honråttor, men ökade incidensen av Leydigcellsadenom i testiklarna vid 150 mg/kg/dag hos hanråttor (exponeringen för monometylfumarat var cirka 2 gånger högre än AUC vid MRHD). Det är okänt vilken signifikans dessa fynd har för risken för människa.
Reproduktionstoxicitet och utvecklingstoxicitet
Diroximelfumarat försämrade inte fertiliteten hos varken han- eller honråttor vid exponering av monometylfumarat som var cirka 7 gånger högre än AUC vid MRHD för diroximelfumarat.
Hos råttor som administrerades diroximelfumarat oralt i doser på 40, 100 och 400 mg/kg/dag under perioden med organbildning observerades lägre fetala kroppsvikter och variationer av den fetala skelettbenbildningen vid en maternellt toxisk dos av diroximelfumarat på 400 mg/kg/dag. Exponeringen vid NOAEL (acceptabelt dagligt intag) var ungefär 2 gånger högre än AUC för monometylfumarat vid MRHD för diroximelfumarat.
Hos kaniner som administrerades diroximelfumarat oralt i doser på 50, 150 och 350 mg/kg/dag under hela organbildningen observerades en ökad mängd skelettdeformationer (avvikelser i mittersta delen på kotkroppar, allvarligt felplacerade bröstkotor och avvikande ryggkotor med associerade revbensavvikelser) vid ≥ 150 mg/kg/dag. Vid 350 mg/kg/dag förekom även en ökad skelettvariation, spontanaborter, större förlust av foster efter implantation och motsvarande minskningar av fetal livsduglighet, vilket möjligen var förknippat med maternell toxicitet. Exponeringen vid ett acceptabelt dagligt intag var ungefär 2 gånger högre än AUC för monometylfumarat vid MRHD för diroximelfumarat. Relevansen av skelettdeformationerna för människa är för närvarande okänd.
I en studie av utveckling före och efter födsel hos gravida råttor som administrerades diroximelfumarat med orala doser på 40, 100 eller 400 mg/kg/dag under havandeskap, förlossning och amning observerades en minskad maternell kroppsvikt/viktökning och födokonsumtion som var förknippad med lägre födelsevikt och kroppsvikt/viktökning hos ungarna. Exponeringen vid acceptabelt dagligt intag var ungefär 3 gånger högre än AUC för monometylfumarat vid MRHD för diroximelfumarat.
Toxicitet hos unga djur
I en toxicitetsstudie av unga råttor administrerades diroximelfumarat oralt, fr.o.m. dag 25 efter födseln t.o.m. dag 63 efter födseln, vilket motsvarar ungefär från 2–3 års åldern till puberteten hos människor. Utöver målorgantoxiciteter i njurar och den del av magsäcken som är utan körtlar, observerades biverkningar på skelettet, inklusive minskad femurstorlek, massa och densitet och förändringar av bengeometri. Det är möjligt att det föreligger ett samband mellan dessa skelettbiverkningar och den lägre kroppsvikten men en direkt effekt kan inte uteslutas. Exponeringen vid acceptabelt dagligt intag var ungefär 1,4 gånger högre än AUC för monometylfumarat vid MRHD för vuxna patienter med diroximelfumarat. Skelettfynden är av begränsad relevans för vuxna patienter. Deras relevans för pediatriska patienter är okänd.
Farmakoterapeutisk grupp: Immunsuppressiva medel, övriga immunsuppressiva medel, ATC-kod: L04AX09
Verkningsmekanism
Den mekanism genom vilken diroximelfumarat utövar de terapeutiska effekterna vid MS är ännu inte helt klarlagd. Diroximelfumarat verkar via den huvudsakliga aktiva metaboliten, monometylfumarat. Prekliniska studier indikerar att det farmakodynamiska svaret på monometylfumarat åtminstone delvis verkar förmedlas via aktivering av den nukleärfaktor (erytroid‑härledd 2)-liknande 2 (Nrf2) transkriptionella kanalen. Det har visats att dimetylfumarat uppreglerar Nrf2-beroende antioxidantgener hos patienter.
Farmakodynamisk effekt
Effekter på immunsystemet
I kliniska studier uppvisade dimetylfumarat antiinflammatoriska och immunmodulerande egenskaper. Dimetylfumarat och monometylfumarat (den aktiva metaboliten från diroximelfumarat och dimetylfumarat) minskade signifikant immuncellsaktivering och påföljande frisättning av proinflammatoriska cytokiner som svar på inflammatoriska stimuli. Dessutom påverkas lymfocytfenotyper genom en nedreglering av proinflammatoriska cytokinprofiler (TH1, TH17) och inriktning mot antiinflammatorisk produktion (TH2). I fas 3-studier av MS-patienter (DEFINE, CONFIRM och ENDORSE) sjönk de genomsnittliga lymfocyttalen vid behandling med dimetylfumarat med i genomsnitt cirka 30 % av deras baslinjevärde under det första året med en påföljande platå. I dessa studier monitorerades patienter som avbröt dimetylfumaratbehandlingen med lymfocyttal under den nedre normalgränsen (LLN, 910 celler/mm3) avseende återhämtning av lymfocyttalen till LLN.
Figur 1 visar andelen patienter som beräknades nå LLN baserat på Kaplan-Meier-metod utan långvarig svår lymfopeni. Baslinjevärdet för återhämtning (RBL, recovery baseline) definierades som senaste ALC under behandling innan dimetylfumarat sattes ut. Beräknad andel av patienter vars värden återgått till LNN (ALC ≥ 0,9 × 109/l) vecka 12 och vecka 24, som hade mild, måttlig eller svår lymfopeni vid RBL, redovisas i tabell 2, tabell 3 och tabell 4 med 95 % punktvisa konfidensintervall. Standardfel för Kaplan-Meier-estimatorn för överlevnadsfunktion har beräknats med Greenwoods formel.
Figur 1: Kaplan-Meier-metod: andel patienter med återhämtning till ≥ 910 celler/mm3 LLN från baslinjevärdet för återhämtning (RBL)
Tabell 2: Kaplan-Meier-metod: andel patienter som beräknas uppnå LLN, mild lymfopeni vid baslinjevärdet för återhämtning (RBL), patienter med långvarig svår lymfopeni exkluderade
Tabell 3: Kaplan-Meier-metod: andel patienter som beräknas uppnå LLN, måttlig lymfopeni vid baslinjevärdet för återhämtning (RBL), patienter med långvarig svår lymfopeni exkluderade
Tabell 4: Kaplan-Meier-metod: andel patienter som beräknas uppnå LLN, svår lymfopeni vid baslinjevärdet för återhämtning (RBL), patienter med långvarig svår lymfopeni exkluderade
Klinisk effekt och säkerhet
Diroximelfumarat och dimetylfumarat metaboliseras snabbt till samma aktiva metabolit, monometylfumarat, av esteraser innan de når den systemiska cirkulationen efter oral administrering. Den farmakokinetiska jämförbarheten av diroximelfumarat och dimetylfumarat har påvisats genom analys av exponering för monometylfumarat (se avsnitt 5.2), och följaktligen förväntas effektprofilerna vara likvärdiga.
Kliniska studier med dimetylfumarat
Två 2-åriga, randomiserade, dubbelblinda, placebokontrollerade studier (DEFINE med 1 234 patienter och CONFIRM med 1 417 patienter) på patienter med skovvis förlöpande multipel skleros (relapsing-remitting multiple sclerosis, RRMS) utfördes. Patienter med progressiva former av MS ingick inte i dessa studier.
Effekt (se tabell nedan) och säkerhet påvisades hos patienter med från 0 till och med 5 poäng i EDSS (Expanded Disability Status Scale), vilka hade haft minst 1 skov under året före randomiseringen, eller som under 6 veckor före randomiseringen hade genomgått en hjärnundersökning med magnetisk resonanstomografi (MRT) som visade att det fanns minst en gadolinium-laddad (Gd+) lesion. CONFIRM-studien innehöll en ”rater-blinded” (dvs. den studieläkare/prövare som bedömde svaret på studiebehandlingen var blindad) referenskomparator i form av glatirameracetat.
I DEFINE-studien hade patienterna följande medianvärden för egenskaper vid baslinje: ålder 39 år, sjukdomslängd 7,0 år och EDSS-poäng 2,0. Dessutom hade 16 % av patienterna en EDSS-poäng > 3,5, 28 % hade ≥ 2 skov under det föregående året och 42 % hade tidigare fått andra godkända MS-behandlingar. I MRT-kohorten hade 36 % av patienterna som skrevs in i studien Gd+-lesioner vid baslinjen (medeltal för Gd+-lesioner 1,4).
I CONFIRM-studien hade patienterna följande medianvärden för egenskaper vid baslinje: ålder 37 år, sjukdomslängd 6,0 år och EDSS-poäng 2,5. Dessutom hade 17 % av patienterna en EDSS-poäng > 3,5, 32 % hade ≥ 2 skov under det föregående året och 30 % hade tidigare fått andra godkända MS-behandlingar. I MRT-kohorten hade 45 % av patienterna som skrevs in i studien Gd+-lesioner vid baslinjen (medeltal för Gd+-lesioner 2,4).
Jämfört med placebo hade patienter som behandlades med dimetylfumarat en kliniskt meningsfull och statistiskt signifikant reduktion av det primära resultatmåttet i DEFINE-studien, andelen patienter med skov vid 2 år; och det primära resultatmåttet i CONFINE-studien, årlig skovfrekvens (annualised relapse rate, ARR) vid 2 år.
Den årliga skovfrekvensen för glatirameracetat och placebo var 0,286 respektive 0,401 i CONFIRM-studien, vilket motsvarade en minskning på 29 % (p = 0,013).
aAlla analyser av kliniska resultatmått var intent-to-treat; bMRT-analysen gjordes på MRT-kohort
*P-värde < 0,05; **P-värde < 0,01; ***P-värde < 0,0001; #inte statistiskt signifikant
I en öppen, okontrollerad, 8-årig förlängningsstudie (ENDORSE) registrerades 1 736 lämpliga RRMS-patienter från de pivotala studierna (DEFINE och CONFIRM). Det primära syftet med studien var att bedöma långsiktig säkerhet för dimetylfumarat hos patienter med RRMS. Av de 1 736 patienterna behandlades cirka hälften (909, 52 %) i 6 år eller längre. 501 patienter behandlades kontinuerligt med dimetylfumarat 240 mg två gånger dagligen i alla 3 studier och 249 patienter som tidigare hade behandlats med placebo i DEFINE- och CONFIRM-studierna fick behandling 240 mg två gånger dagligen i ENDORSE-studien. Patienter som kontinuerligt fick behandling två gånger dagligen behandlades i upp till 12 år.
Under ENDORSE-studien hade fler än hälften av alla patienter som behandlades med dimetylfumarat 240 mg två gånger dagligen inget skov. För patienterna som kontinuerligt behandlades två gånger dagligen i alla 3 studier, var det justerade ARR-värdet 0,187 (95 % KI: 0,156; 0,224) i DEFINE- och
CONFIRM-studierna och 0,141 (95 % KI: 0,119; 0,167) i ENDORSE-studien. För patienter som tidigare behandlats med placebo minskade det justerade ARR-värdet från 0,330 (95 % KI: 0,266; 0,408) i DEFINE- och CONFIRM-studierna till 0,149 (95 % KI: 0,116; 0,190) i ENDORSE-studien.
I ENDORSE-studien hade majoriteten av patienter (> 75 %) ingen bekräftad progression av funktionsnedsättning (mätt som ihållande progression av funktionsnedsättning vid 6 månader). De poolade resultaten från de tre studierna visade att patienter behandlade med dimetylfumarat hade enhetliga och låga förekomster av bekräftad progression av funktionsnedsättning med en liten ökning i EDSS-medelpoäng under ENDORSE. MRT-undersökningar (upp till år 6; inklusive 752 patienter som tidigare hade inkluderats i MRT-kohorten för studierna DEFINE och CONFIRM) visade att majoriteten av patienter (cirka 90 %) inte hade några Gd-laddande lesioner. Under de 6 åren förblev det årligen justerade medelantalet (medianen) nya eller nyligen förstorade T2-lesioner och nya T1-lesioner lågt.
Effekt hos patienter med hög sjukdomsaktivitet:
I DEFINE- och CONFIRM-studierna observerades enhetlig behandlingseffekt på skov i en delgrupp med patienter med hög sjukdomsaktivitet, medan effekten på tid fram till 3-månaders bevarad förvärrad funktionsnedsättning inte kunde fastställas tydligt. På grund av studiernas utformning definierades hög sjukdomsaktivitet på följande sätt:
Patienter med 2 eller fler skov under ett år, och med en eller flera Gd-laddande lesioner vid MRT av hjärnan (n = 42 i DEFINE; n = 51 i CONFIRM) eller,
Patienter som inte har svarat på en fullständig och adekvat kur (minst ett års behandling) med beta-interferon, har haft minst 1 skov under det föregående året under pågående behandling, och minst 9 T2-hyperintensiva lesioner vid kranial MRT eller minst 1 Gd-laddande lesion, eller patienter med en oförändrad eller ökad skovfrekvens under det föregående året jämfört med de tidigare 2 åren (n = 177 i DEFINE; n = 141 i CONFIRM).
Kliniska studier med Vumerity
Den gastrointestinala tolerabiliteten för diroximelfumarat utvärderades hos 504 vuxna patienter med RRMS i en randomiserad fas 3-studie med flera center (EVOLVE-MS-2). Studien innefattade en 5 veckor lång, dubbelblind behandlingsperiod med två behandlingsarmar. Patienterna hade en titreringsperiod på 1 vecka och randomiserades (1:1) för att få diroximelfumarat 462 mg två gånger dagligen (n = 253) eller dimetylfumarat 240 mg två gånger dagligen (n = 251). Patienterna hade följande medianvärden på egenskaper vid baslinjen: ålder 44 år, sjukdomslängd 6,0 år och EDSS-poäng 2,5. I denna studie undersöktes gastrointestinal tolerabilitet med användning av skalan Individual GI Symptom and Impact Scale (IGISIS), som utvärderade incidens, svårighetsgrad, debut och funktionell påverkan av fem enskilda GI-symtom: illamående, kräkning, övre buksmärta, nedre buksmärta och diarré.
Totalt observerades biverkningar i magtarmkanalen hos 34,8 % av patienterna som behandlades med diroximelfumarat och hos 49,0 % av patienterna som behandlades med dimetylfumarat. Behandlingsavbrotten var sammanlagt 1,6 % och 6,0 % för diroximelfumarat respektive dimetylfumarat. Utsättningar på grund av gastrointestinal tolerabilitet var 0,8 % och 4,8 % för diroximelfumarat respektive dimetylfumarat. Under behandlingen uppkomna biverkningar i magtarmkanalen på ≥ 5 % för diroximelfumarat och dimetylfumarat var diarré (15,4 % respektive 22,3 %), illamående (14,6 % respektive 20,7 %), smärta i övre delen av buken (6,7 % respektive 15,5 %), buksmärta (6,3 % respektive 9,6 %), smärta i nedre delen av buken (5,9 % respektive 6,8 %), kräkning (3,6 % respektive 8,8 %).
Pediatrisk population
Effekt för Vumerity hos pediatriska patienter har inte fastställts.
Europeiska läkemedelsmyndigheten har senarelagt kravet att skicka in studieresultat för Vumerity för en eller flera grupper av den pediatriska populationen för behandling av MS (information om pediatrisk användning finns i avsnitt 4.2).
Oralt administrerat diroximelfumarat genomgår snabb presystemisk hydrolys med esteraser och omvandlas primärt till den aktiva metaboliten, monometylfumarat, samt till den viktigaste inaktiva metaboliten HES. Diroximelfumarat kan inte kvantifieras i plasma efter oral administrering. Därför utfördes alla farmakokinetiska analyser som var relaterade till diroximelfumarat med koncentrationer av plasmamonometylfumarat. Farmakokinetiska uppgifter har erhållits från 10 kliniska studier med friska frivilliga försökspersoner, 2 studier med MS-patienter och farmakokinetiska analyser av populationerna. Farmakokinetisk bedömning har visat att exponeringen för monometylfumarat efter oral administrering av 462 mg diroximelfumarat och 240 mg dimetylfumarat hos vuxna är bioekvivalent. Därför förväntas diroximelfumarat ge en likvärdig total effekt och säkerhetsprofil jämfört med dimetylfumarat.
Absorption
Median Tmax för monometylfumarat är 2,5 till 3 timmar. Den maximala plasmakoncentrationen (Cmax) och den totala exponeringen (AUC) ökade dosproportionellt i det studerade dosintervallet (49 mg till 980 mg). Efter administrering av diroximelfumarat 462 mg två gånger dagligen hos MS-patienter i EVOLVE-MS-1, var den genomsnittliga Cmax för monometylfumarat 2,11 mg/l. Medelvärdet för AUClast efter en morgondos var 4,15 mg/l.tim. Genomsnittligt steady state AUC (AUCss) dagligen för monometylfumarat beräknades vara 8,32 mg/l.tim hos MS-patienter.
Administrering av diroximelfumarat tillsammans med en fett- och kaloririk måltid påverkade inte AUC för monometylfumarat men resulterade i cirka 44 % minskning av Cmax jämfört med fastestatus. Monometylfumaratets Cmax vid måltider med låg eller medelmåttig fetthalt minskades med cirka 12 % respektive 25 %.
Mat har ingen kliniskt signifikant effekt på exponeringen för monometylfumarat. Vumerity kan därför tas med eller utan mat (se avsnitt 4.2).
Distribution
Den uppenbara distributionsvolymen (Vd) för monometylfumarat är mellan 72 liter och 83 liter hos friska försökspersoner efter administrering av diroximelfumarat. Bindningen till humana plasmaproteiner för monometylfumarat var mindre än 25 % och var inte koncentrationsberoende.
Metabolism
Hos människan metaboliseras diroximelfumarat i omfattande grad av esteraser, vilka förkommer allmänt i magtarmkanalen, blod och vävnader, innan det når den systemiska cirkulationen. Metabolismen av diroximelfumarat med hjälp av esteraser producerar företrädesvis både den aktiva metaboliten monometylfumarat och HES, en inaktiv metabolit.
Vidare metabolism av monometylfumarat sker genom esteraser följt av trikarboxylsyracykeln, utan involvering av cytokrom P450 (CYP)-systemet. Fumar- och citronsyra och glukos är de resulterande metaboliterna från monometylfumarat i plasma.
Eliminering
Monometylfumarat elimineras huvudsakligen som koldioxid i utandningsluften och endast spårmängder återfinns i urinen. Den terminala halveringstiden (t1/2) för monometylfumarat är ungefär 1 timme, och ingen ackumulering uppstod vid exponeringar av monometylfumarat i plasma med flera doser av diroximelfumarat. I en studie av dimetylfumarat fastställdes att utandning av CO2 är den huvudsakliga elimineringsvägen och står för cirka 60 % av dosen. Renal och fekal eliminering är sekundära elimineringsvägar och står för 15,5 % respektive 0,9 % av dosen.
HES elimineras från plasma med en t1/2 på 10,7–14,8 timmar. HES elimineras huvudsakligen i urin.
Linjäritet
Exponering för monometylfumarat ökar på ett mer eller mindre dosproportionellt sätt vid engångs- och flergångsdoser i det studerade dosintervallet på 49 mg till 980 mg.
Farmakokinetik i särskilda patientgrupper
Kroppsvikt är den huvudsakliga kovariaten vid exponering för monometylfumarat, med ökning av Cmax och AUC hos försökspersoner med lägre kroppsvikt efter administrering av diroximelfumarat. Ingen effekt sågs på de säkerhets- och effektmått som utvärderats i de kliniska studierna. Därför behövs ingen dosjustering baserat på kroppsvikt.
Kön och ålder hade ingen statistiskt signifikant effekt på Cmax och AUC för diroximelfumarat. Farmakokinetiken för patienter som är 65 år och äldre har inte studerats.
Pediatrisk population
Den farmakokinetiska profilen för monometylfumarat efter administrering av diroximelfumarat har inte studerats. De farmakokinetiska parametrarna för monometylfumarat efter administrering av diroximelfumarat är korrelerade till kroppsvikt. Därför förväntas samma dos leda till högre exponering hos pediatriska patienter med lägre kroppsvikt jämfört med vuxna. Den farmakokinetiska profilen för 240 mg dimetylfumarat två gånger dagligen utvärderades i en liten öppen okontrollerad studie av patienter med RRMS i åldern 13 till 17 år (n = 21). Farmakokinetiken för dimetylfumarat hos dessa ungdomar var likvärdig den som tidigare observerats hos vuxna patienter.
Etnicitet
Etnicitet har ingen inverkan på den farmakokinetiska profilen för monometylfumarat eller HES efter administrering av diroximelfumarat.
Nedsatt njurfunktion
I en studie där effekten av nedsatt njurfunktion på den farmakokinetiska profilen för diroximelfumarat undersöktes förekom inga relevanta kliniska förändringar av exponeringen för MMF hos de med lätt nedsatt njurfunktion (eGFR 60–89 ml/min/1,73 m2), måttligt nedsatt njurfunktion (eGFR 30–59 ml/min/1,73 m2) eller svårt nedsatt njurfunktion (eGFR < 30 ml/min/1,73 m2). HES-exponering ökade 1,3- och 1,8- och 2,7-faldigt med respektive lätt, måttligt och svårt nedsatt njurfunktion (se avsnitt 4.8). Det finns inga tillgängliga uppgifter om långvarig användning av diroximelfumarat hos patienter med måttligt eller svårt nedsatt njurfunktion (se avsnitt 4.2 och 4.4).
Nedsatt leverfunktion
Eftersom diroximelfumarat och monometylfumarat metaboliseras av esteraser, utan involvering av CYP450-systemet, utfördes ingen utvärdering av farmakokinetiken hos personer med nedsatt leverfunktion (se avsnitt 4.2 och 4.4).
Toxikologi
Njurtoxicitet hos råttor och apor inkluderade tubulär degenerering/nekros med regeneration, tubulär hypertrofi och/eller interstitiell fibros, ökad njurvikt och förändringar av kliniska patologiska parametrar (urinvolym, specifik densitet och biomarkörer som anger njurskada). I toxikologiska studier om kronisk toxicitet uppträdde negativa njurfynd vid exponering för monometylfumarat som
motsvarade AUC vid högsta rekommenderad dos till människa (maximum recommended human dose, MRHD) av diroximelfumarat.
Gastrointestinal toxicitet hos möss och råttor utgjordes av slemhinnehyperplasi och hyperkeratos i den körtelfria delen av magen (förmagen) och duodenum. Hos apor karakteriserades den låga gastrointestinala tolerabiliteten av dosberoende kräkning/uppkastning, magirritation, blödning och inflammation samt diarré. Dessa fynd utvecklades vid exponeringar för monometylfumarat minst 2 gånger högre än AUC vid MRHD av diroximelfumarat.
Hjärtinflammation och nekros sågs hos tre hanråttor i en 91 dagar lång toxicitetsstudie med exponering för monometylfumarat som var 4 gånger högre än AUC vid MRHD av diroximelfumarat. Dessa hjärtfynd har även detekterats hos råttor i andra toxicitetsstudier inklusive obehandlade kontroller, men inte hos apor. Denna hjärtinflammation står därför sannolikt för exacerbation av vanliga bakgrundslesioner hos råtta utan relevans för människa.
Delvis reversibel dysplasi i tillväxtplattor i proximala och distala femur och proximala tibia sågs hos apor i den 91 dagar långa toxicitetstudien med exponering för monometylfumarat som var 15 gånger högre än AUC vid MRHD av diroximelfumarat. Bentoxicitet kan eventuellt relateras till apornas prepubertala ålder, därför att benutvecklingen även försämrades hos unga råttor (se nedan), men påverkades inte vid lägre doser i den kroniska apstudien eller hos fullvuxna råttor. Benfynden är av begränsad relevans för vuxna patienter vid terapeutisk dos.
Testikeltoxicitet bestående av minimal germinal epiteldegeneration, ökad incidens av jättelika spermatider, liten minskning av spermatider i det tubulära epitelet och minskning av testikelvikt observerades hos vildtyper av kullsyskon till rasH2-möss. Dessa fynd uppträdde vid exponering för monometylfumarat som var 15 gånger högre än AUC vid MRHD av diroximelfumarat, vilket tyder på begränsad relevans för människa vid terapeutisk dos.
Gentoxicitet
Studier in vitro och in vivo med diroximelfumarat gav inga belägg för en kliniskt relevant gentoxisk möjlighet.
Karcinogenes
Diroximelfumarat testades i en transgenisk bioanalys av transgeniska rasH2-möss och i en 2-årig bioanalys av råttor. Diroximelfumarat var inte karcinogent hos transgeniska möss och honråttor, men ökade incidensen av Leydigcellsadenom i testiklarna vid 150 mg/kg/dag hos hanråttor (exponeringen för monometylfumarat var cirka 2 gånger högre än AUC vid MRHD). Det är okänt vilken signifikans dessa fynd har för risken för människa.
Reproduktionstoxicitet och utvecklingstoxicitet
Diroximelfumarat försämrade inte fertiliteten hos varken han- eller honråttor vid exponering av monometylfumarat som var cirka 7 gånger högre än AUC vid MRHD för diroximelfumarat.
Hos råttor som administrerades diroximelfumarat oralt i doser på 40, 100 och 400 mg/kg/dag under perioden med organbildning observerades lägre fetala kroppsvikter och variationer av den fetala skelettbenbildningen vid en maternellt toxisk dos av diroximelfumarat på 400 mg/kg/dag. Exponeringen vid NOAEL (acceptabelt dagligt intag) var ungefär 2 gånger högre än AUC för monometylfumarat vid MRHD för diroximelfumarat.
Hos kaniner som administrerades diroximelfumarat oralt i doser på 50, 150 och 350 mg/kg/dag under hela organbildningen observerades en ökad mängd skelettdeformationer (avvikelser i mittersta delen på kotkroppar, allvarligt felplacerade bröstkotor och avvikande ryggkotor med associerade revbensavvikelser) vid ≥ 150 mg/kg/dag. Vid 350 mg/kg/dag förekom även en ökad skelettvariation, spontanaborter, större förlust av foster efter implantation och motsvarande minskningar av fetal livsduglighet, vilket möjligen var förknippat med maternell toxicitet. Exponeringen vid ett acceptabelt dagligt intag var ungefär 2 gånger högre än AUC för monometylfumarat vid MRHD för diroximelfumarat. Relevansen av skelettdeformationerna för människa är för närvarande okänd.
I en studie av utveckling före och efter födsel hos gravida råttor som administrerades diroximelfumarat med orala doser på 40, 100 eller 400 mg/kg/dag under havandeskap, förlossning och amning observerades en minskad maternell kroppsvikt/viktökning och födokonsumtion som var förknippad med lägre födelsevikt och kroppsvikt/viktökning hos ungarna. Exponeringen vid acceptabelt dagligt intag var ungefär 3 gånger högre än AUC för monometylfumarat vid MRHD för diroximelfumarat.
Toxicitet hos unga djur
I en toxicitetsstudie av unga råttor administrerades diroximelfumarat oralt, fr.o.m. dag 25 efter födseln t.o.m. dag 63 efter födseln, vilket motsvarar ungefär från 2–3 års åldern till puberteten hos människor. Utöver målorgantoxiciteter i njurar och den del av magsäcken som är utan körtlar, observerades biverkningar på skelettet, inklusive minskad femurstorlek, massa och densitet och förändringar av bengeometri. Det är möjligt att det föreligger ett samband mellan dessa skelettbiverkningar och den lägre kroppsvikten men en direkt effekt kan inte uteslutas. Exponeringen vid acceptabelt dagligt intag var ungefär 1,4 gånger högre än AUC för monometylfumarat vid MRHD för vuxna patienter med diroximelfumarat. Skelettfynden är av begränsad relevans för vuxna patienter. Deras relevans för pediatriska patienter är okänd.
Kapseltryck (svart bläck)
Schellack
Kaliumhydroxid
Svart järnoxid (E172)
Ej relevant.
32 månader
Förvaras vid högst 25 °C.
Förvaras i originalburken. Fuktkänsligt.
HDPE-burk med barnskyddande lock av polypropen och torkmedel (kiselgel).
Förpackningsstorlek:
Förpackningar med 120 (1 burk) eller 360 (3 burkar) hårda enterokapslar.
Eventuellt kommer inte alla förpackningsstorlekar att marknadsföras.
Ej använt läkemedel och avfall ska kasseras enligt gällande anvisningar
Kapslarna innehåller
Metakrylsyra-etylakrylatsampolymer (1:1) av typ A
Krospovidon typ A
Cellulosa, mikrokristallin
Kiseldioxid (kolloidal, vattenfri)
Trietylcitrat
Talk
Magnesiumstearat
Kapselhölje
Hypromellos
Titandioxid (E171)
Kaliumklorid
Karragenan
Kapseltryck (svart bläck)
Schellack
Kaliumhydroxid
Svart järnoxid (E172)
Ej relevant.
32 månader
Förvaras vid högst 25 °C.
Förvaras i originalburken. Fuktkänsligt.
HDPE-burk med barnskyddande lock av polypropen och torkmedel (kiselgel).
Förpackningsstorlek:
Förpackningar med 120 (1 burk) eller 360 (3 burkar) hårda enterokapslar.
Eventuellt kommer inte alla förpackningsstorlekar att marknadsföras.
Ej använt läkemedel och avfall ska kasseras enligt gällande anvisningar
Produktresumén är företagets information om läkemedlet riktat till förskrivare och personal inom sjukvård och apotek. Dokumentet är godkända av Läkemedelsverket eller den europeiska läkemedelsmyndigheten EMA i samband med att läkemedlet godkänns för marknadsföring.