Fass-texten är särskilt framtagen för förskrivare och vårdpersonal. Texten är baserad på produktresumén.
Texten nedan gäller för:
Texten är baserad på produktresumé: 09/2024.
Texten är baserad på produktresumé: 09/2024.
VYEPTI är avsett som migränprofylax för vuxna som har minst fyra migrändagar per månad.
Överkänslighet mot den aktiva substansen eller mot något hjälpämne som anges i avsnitt Innehåll.
Behandlingen ska initieras av läkare med erfarenhet av diagnostisering och behandling av migrän. Infusionen av VYEPTI ska inledas och övervakas av hälso- och sjukvårdspersonal.
Dosering
Rekommenderad dos är 100 mg, administrerat genom intravenös infusion var 12:e vecka. En del patienter kan ha nytta av en dos på 300 mg, administrerat genom intravenös infusion var 12:e vecka (se avsnitt Farmakodynamik).
Behovet av att trappa upp dosen ska bedömas inom 12 veckor efter påbörjad behandling. Vid dosbyte ska första dosen i den nya dosregimen ges vid nästa schemalagda dosdatum.
Hjälpämnen
VYEPTI innehåller sorbitol (E420). Detta läkemedel får inte ges till patienter med ärftlig fruktosintolerans, såvida det inte är absolut nödvändigt.
Innan detta läkemedel ges till en patient måste alltid en noggrann anamnes avseende symptom på ärftlig fruktosintolerans tas upp.
1 Har inte rapporterats i PROMISE 1 och PROMISE 2, men har rapporterats i andra studier och efter godkännandet för försäljning.
Beskrivning av utvalda biverkningar
Nasofaryngit
Cirka 8 % av patienterna som stod på 300 mg, 6 % av patienterna som stod på 100 mg och 6 % av patienterna som stod på placebo i PROMISE 1 och PROMISE 2 fick nasofaryngit. Nasofaryngit var vanligast förekommande efter den första dosen av VYEPTI, oavsett dos. Förekomsten sjönk märkbart vid påföljande doser och höll sig därefter relativt stabil.
Överkänslighets- och infusionsrelaterade reaktioner
Allvarliga överkänslighetsreaktioner, bland annat anafylaktiska reaktioner, har rapporterats och kan utvecklas inom några minuter efter infusionen (se avsnitt Varningar och försiktighet). De inrapporterade anafylaktiska reaktionerna involverade sympom såsom hypotoni och andningssvårigheter och medförde att VYEPTI behövde sättas ut. Andra överkänslighetsreaktioner, bland annat angioödem, urtikaria, vallningar, utslag och pruritus, rapporterades hos cirka 4 % av patienterna som stod på 300 mg, 3 % av patienterna som stod på 100 mg och 1 % av patienterna som stod på placebo i PROMISE 1 och PROMISE 2.
Andra symtom som rapporterats i samband med infusion av eptinezumab inkluderar luftvägssymtom (nästäppa, rinorré, svalgirritation, hosta, nysningar, dyspné) och fatigue (se nedan). De flesta av dessa händelser var lindriga och snabbt övergående.
Fatigue
Cirka 3 % av patienterna som stod på eptinezumab och 2 % av patienterna som stod på placebo i de placebokontrollerade kliniska studierna upplevde fatigue. Fatigue var mest frekvent på den första infusionsdagen. Efter den första veckan och i samband med påföljande infusioner var incidensen av rapporterad fatigue lägre och jämförbar med placebo.
Immunogenicitet
I de kliniska studierna, PROMISE 1 (upp till 56 veckor) och PROMISE 2 (upp till 32 veckor), var förekomsten av antikroppar mot eptinezumab i båda studierna tillsammans 18 % (105/579) resp. 20 % (115/574) hos patienterna som fick 100 mg resp. 300 mg var 12:e vecka. I båda studierna nådde förekomsten av antikroppar mot eptinezumab sin kulmen vecka 24 och gick därefter stadigt nedåt, även efter påföljande doser var 12:e vecka. Förekomsten av neutraliserande antikroppar i båda studierna tillsammans var 8,3 % (48/579) resp. 6,1 % (35/574) för behandlingsgrupperna med 100 mg resp. 300 mg.
I en öppen studie, PREVAIL, (upp till 96 veckors behandling med 300 mg VYEPTI var 12:e vecka) utvecklade 18 % (23/128) av patienterna antikroppar mot eptinezumab, medan den övergripande förekomsten av neutraliserande antikroppar var 7 % (9/128). Vecka 48 var 5,3 % av patienterna ADA-positiva, 4 % var ADA-positiva vecka 72 och alla patienter utom en patient som föll bort vid uppföljningen, var ADA-negativa vecka 104 (det sista bedömningstillfället i studien).
I de kliniska studierna visade sig dalvärdet på eptinezumab-koncentrationen i plasma vara lägre hos de patienter som utvecklade antikroppar mot eptinezumab. Det fanns inga evidens för att utvecklingen av antikroppar mot eptinezumab påverkade effekten och säkerheten i de kliniska studierna.
Rapportering av misstänkta biverkningar
Det är viktigt att rapportera misstänkta biverkningar efter att läkemedlet godkänts. Det gör det möjligt att kontinuerligt övervaka läkemedlets nytta-riskförhållande. Hälso- och sjukvårdspersonal uppmanas att rapportera varje misstänkt biverkning till Läkemedelsverket, men alla kan rapportera misstänkta biverkningar till Läkemedelsverket, www.lakemedelsverket.sePostadress: Läkemedelsverket, Box 26, 751 03 Uppsala.
Det primära effektmåttet var förändring i genomsnittligt antal dagar med migrän per månad under vecka 1-12, från baslinjen. De huvudsakliga sekundära effektmåtten var: andel patienter med migrän som svarade på behandlingen till ≥ 50 % resp. ≥ 75 %, definierat som andelen patienter som minst uppnådde specificerad minskning av antalet migrändagar under vecka 1-12, andel patienter med migrän som svarade på behandlingen till ≥ 75 % under vecka 1-4, och andelen patienter som fick migrän dagen efter den första dosen (dag 1).
Patienternas genomsnittsålder var 40 år (intervall: 18 till 71 år), 84 % var kvinnor och 84 % var vita. Vid baslinjen var det genomsnittliga antalet dagar med migrän per månad 8,6 dagar och andelen patienter med migrän på en bestämd dag var 31 %; båda effektmåtten var lika mellan behandlingsgrupperna.
Jämfört med placebo observerades en minskning av det genomsnittliga antalet dagar med migrän för båda doserna, från första dagen efter administreringen.
Figur 1: Genomsnittlig förändring av antalet dagar med migrän per månad, från baslinjen, PROMISE 1
Vid varje tidpunkt användes en kovariansanalys med bland annat "behandling" och "användning av förebyggande läkemedel" som faktorer och "antal dagar med migrän vid baslinjen" som kontinuerlig samvariabel för att uppskatta den genomsnittliga förändringen från baslinjen.
Tabell 2: Utfall för primära och huvudsakliga sekundära effektmått, PROMISE 1 (episodisk migrän)
PROMISE 2: Kronisk migrän
PROMISE 2 var en internationell dubbelblind, placebokontrollerad parallellgruppsstudie för utvärdering av effekt och säkerhet för VYEPTI vid förebyggande behandling mot kronisk migrän hos vuxna. Totalt randomiserades1 072 patienter och fick antingen placebo (n = 366), 100 mg eptinezumab (n = 356) eller 300 mg eptinezumab (n = 350) var 12:e vecka i 24 veckor (två infusioner). Kronisk migrän definierades som ≥ 15 till ≤ 26 dagar med huvudvärk, varav vilka ≥ 8 bedömdes vara dagar med migrän under de 3 månader som föregick screeningen och bekräftades under den 28 dagar långa screeningperioden. Under studien tilläts patienterna använda läkemedel för akut eller förebyggande behandling mot migrän eller huvudvärk, enligt en fastställd behandlingsregim (förutom för onabotulinumtoxinA).
Totalt 431 patienter (40 %) med dubbeldiagnosen kronisk migrän och huvudvärk till följd av överanvändning av läkemedel (förknippat med överanvändning av triptaner, ergotamin eller kombinationsanalgetikum > 10 dagar/månad, eller paracetamol, acetylsalicylsyra eller NSAID-preparat (antiinflammatoriska läkemedel utan steroider) ≥ 15 dagar/månad) som fastställdes under screeningperioden, inkluderades i studiepopulationen.
Det primära effektmåttet var medelförändringen i antal migrändagar per månad jämfört med baslinjen under vecka 1-12, från baslinjen". De huvudsakliga sekundära effektmåtten var: andel patienter med migrän som svarade på behandlingen till ≥ 50 % resp. ≥ 75 % , definierat som andelen patienter som uppnådde specificerad minskning av antalet dagar med migrän under vecka 1-12, andel patienter med migrän som svarade på behandlingen till ≥ 75 % under vecka 1-4, andelen patienter som fick migrän dag 1 efter dosering, minskningen av förekomsten av migrän från baslinjen till vecka 4, förändringen av det totala antalet poäng på HIT-6-formuläret (Headache Impact Test) vecka 12, från baslinjen, (endast dosen 300 mg), samt förändringen av antalet dagar per månad med akutmedicinering i genomsnitt under vecka 1-12, från baslinjen, (endast dosen 300 mg).
Patienternas genomsnittsålder var 41 år (intervall: 18 till 65 år), 88 % var kvinnor och 91 % var vita. Fyrtioen procent av patienterna tog samtidigt förebyggande läkemedel mot migrän. Vid baslinjen var det genomsnittliga antalet dagar med migrän per månad 16,1 och andelen patienter med migrän på en bestämd dag var 57,6 %. Båda effektmåtten var lika mellan behandlingsgrupperna.
Jämfört med placebo observerades en minskning av det genomsnittliga antalet dagar med migrän för båda doserna, från första dagen efter administreringen.
Bild 2: Genomsnittlig förändring av antalet dagar med migrän per månad från baslinjen, PROMISE 2
LS=Least Square VYEPTI = eptinezumab
Vid varje tidpunkt användes en kovariansanalys med bland annat "behandling" som faktor och "antal dagar med migrän vid baslinjen" som kontinuerlig samvariabel för att uppskatta den genomsnittliga förändringen från baslinjen.
Tabell 3: Utfall för primära och huvudsakliga sekundära effektmått, PROMISE 2 (kronisk migrän)
a Effektmåttet för dosen 100 mg var inte ett förspecificerat huvudsakligt sekundärt effektmått .
b En baslinje var genomsnittet under den 28 dagar långa screeningperioden innan patienterna fick behandlingen
Patienter med diagnosen huvudvärk till följd av överanvändning av läkemedel
Av de 431 (40 %) patienter med diagnosen huvudvärk till följd av överanvändning av läkemedel i PROMISE-2, var den genomsnittliga förändringen i antalet dagar med migrän per månad från baslinjen (vecka 1-12) för VYEPTI 100 mg -8,4 dagar, VYEPTI 300 mg -8,6 dagar, och placebo -5,4 dagar (genomsnittlig skillnad mot placebo -3,0 dagar resp. -3,2 dagar för 100 mg resp. 300 mg).
DELIVER: tidigare misslyckade förebyggande behandlingar mot migrän
VYEPTI har utvärderats i en effekt- och säkerhetsstudie (DELIVER) hos patienter med episodisk (n = 484) och kronisk (n = 405) migrän och två till fyra klasser av tidigare förebyggande behandling mot migrän med dokumenterat misslyckande som inkluderade en 24 veckor lång dubbelblind, placebokontrollerad behandlingsperiod och en 48 veckor lång långtidsförlängningsperiod.
Studien visade att behandling med VYEPTI medförde en genomsnittlig minskning av antalet månatliga migrändagar (MMD) under vecka 1–12: -4,8 i VYEPTI 100 mg-gruppen och -5,3 i VYEPTI 300 mg-gruppen jämfört med -2,1 i placebogruppen, motsvarande en skillnad från placebo på -2,7 dagar (95 % KI: -3,4 till -2,0) respektive -3,2 dagar (95 % KI: -3,9 till -2,5).
Studien visade också att en ≥ 50 % minskning av antalet MMD under vecka 1–12 uppnåddes för 42 % i VYEPTI 100 mg-gruppen och för 50 % i VYEPTI 300 mg-gruppen jämfört med 13 % i placebogruppen. Minskningen av antalet MMD på ≥ 75 % under vecka 1–12 uppnåddes hos 16 % i VYEPTI 100 mg-gruppen och 19 % i VYEPTI 300 mg-gruppen jämfört med 2 % av patienterna i placebogruppen.
Den påvisade effekten under den placebokontrollerade behandlingsperioden bibehölls i upp till 72 veckor av behandling med VYEPTI under förlängningsperioden.
Säkerhetsdata överensstämde med säkerhetsprofilen för VYEPTI som beskrivs i avsnitt Biverkningar.
RELIEF: insättning av förebyggande behandling under pågående migränattack
VYEPTI har utvärderats i en effekt- och säkerhetsstudie (RELIEF) hos patienter med 4 till 15 migrändagar per månad (n = 480). Patienterna fick VYEPTI eller placebo inom 1–6 timmar efter början av en måttlig till svår migränattack.
Studien stöder att behandling med VYEPTI vid insättning under en pågående måttlig till svår migränattack visar statistiskt signifikant förkortad tid till försvunnen huvudvärk (p < 0,001; mediantid 4 timmar jämfört med 9 timmar) och försvunnet symtom för det mest besvärande symtomet (p < 0,001; mediantid 2 timmar jämfört med 3 timmar) jämfört med placebo hos patienter som uppfyller villkoren för förebyggande behandling mot migrän. Ett större antal patienter med migrän som behandlades med VYEPTI upplevde också ingen huvudvärk (24 % jämfört med 12 %) och att de mest besvärande symtomen uteblev (56 % jämfört med 36 %) efter 2 timmar jämfört med placebo (p < 0,001) och inom de första 24 timmarna efter infusion behövde färre patienter akut undsättningsläkemedel efter behandling med VYEPTI jämfört med placebo (p < 0,001).
Säkerhetsdata överensstämde med säkerhetsprofilen för VYEPTI som beskrivs i avsnitt Biverkningar.
PREVAIL: Långtidsstudie
VYEPTI 300 mg administrerades var 12:e vecka genom intravenös infusion under upp till 96 veckor, till 128 patienter med kronisk migrän. Det primära syftet var att utvärdera den långsiktiga säkerheten efter upprepade doser med VYEPTI. De sekundära syftena omfattade karaktärisering av PK- och immunogenicitetsprofilerna för VYEPTI (avsnitt Biverkningar) och utvärdering av den terapeutiska effekten av VYEPTI på flera patientrapporterade utfallsmått i relation till migrän och livskvalitet, däribland HIT-6 (Headache Impact Test). Patienternas genomsnittsålder var 41,5 år (intervall: 18 till 65 år), 85 % var kvinnor, 95 % var vita och 36 % tog samtidigt förebyggande läkemedel mot migrän. Det genomsnittliga antalet dagar med migrän per 28-dagarsperiod under de 3 månaderna som föregick screeningen var 14,1 dagar. Totalt fullföljde 100 patienter (78,1 %) studien (vecka 104). Patienterna var allvarligt påverkade vid baslinjen, med en genomsnittlig totalpoäng på HIT-6-skalan på 65. Den genomsnittliga förändringen, från baslinjen till och med vecka 104, var -9,7 (p < 0,0001). Säkerhetsprofilen var enhetlig med de säkerhetsprofiler som observerades i de randomiserade, placebokontrollerade studierna, och det observerades en ihållande effekt på olika utfallsmått med relevans för patienterna i upp till 96 veckor.
Pediatrisk population
Europeiska läkemedelsmyndigheten har senarelagt kravet att skicka in studieresultat för VYEPTI för en eller flera grupper av den pediatriska populationen för förebyggande behandling mot migrän (information om pediatrisk användning finns i avsnitt Dosering)
Eptinezumabs skenbara clearance var 0,15 l/dag och den slutliga halveringstiden för elimineringen var cirka 27 dagar.
Särskilda populationer
I en farmakokinetisk populationsanalys som omfattade 2 123 patienter undersöktes effekten av ålder, kön, etnicitet och kroppsvikt på farmakokinetiken för eptinezumab. Relativt till en patient på 70 kg, var exponeringen vid steady state för eptinezumab hos en patient på 190 kg upp till 52 % lägre, medan den skulle vara upp till 50 % högre hos en patient på 39 kg. Enligt utvärderingen av exponering-svarsförhållandet förelåg dock ingen effekt av kroppsvikten på den kliniska effekten. Det fordras ingen dosjustering baserat på kroppsvikt. Baserat på farmakokinetiken för populationen påverkades inte farmakokinetiken för eptinezumab av vare sig ålder (18-71 år), kön eller etnicitet. Därför fordras ingen dosjustering.
Nedsatt njur- eller leverfunktion
Det har inte genomförts några specifika studier av nedsatt lever- eller njurfunktion för bedömning av effekten av nedsatt lever- och njurfunktion på farmakokinetiken för eptinezumab. I de farmakokinetiska populationsanalyserna av integrerade data från de kliniska studierna av VYEPTI påvisades inte några skillnader hos patienterna med nedsatt njur- eller leverfunktion som skulle innebära att en dosjustering fordras. Det finns inga tillgängliga data för patienter med allvarligt nedsatt njurfunktion.
Läkemedlet måste spädas innan det administreras. För att tillförsäkra att den beredda infusionsvätskan, lösningen är steril ska spädningen genomföras av hälso- och sjukvårdspersonal med användning av aseptisk teknik.
Läkemedlet innehåller inget konserveringsmedel utan är endast avsett för engångsbruk. Allt oanvänt läkemedel ska kasseras.
Innan läkemedlet (koncentratet i injektionsflaskorna) spädes ska det inspekteras visuellt. Läkemedlet får inte användas om koncentratet innehåller synliga partiklar eller är grumligt eller missfärgat (utöver att vara klart till lätt opaliserande, färglöst till brungult).
Både för dosen 100 mg och dosen 300 mg ska en 100 ml infusionspåse med natriumkloridlösning 9 mg/ml (0,9 %) användas för beredning av VYEPTI infusionsvätska, lösning enligt nedanstående beskrivning. Inga andra volymer eller spädningsvätskor för intravenöst bruk får användas för beredning av VYEPTI infusionsvätska, lösning.
Vänd försiktigt på VYEPTI infusionsvätska, lösning så att den blandas helt och hållet. Får ej skakas.
Efter spädningen måste VYEPTI infusionsvätska, lösning infunderas inom 8 timmar. Under denna tid kan VYEPTI infusionsvätska, lösning förvaras i rumstemperatur (högst 25 °C) eller i kylskåp i 2 °C - 8 °C. Vid förvaring i 2 °C - 8 °C ska VYEPTI infusionsvätska, lösning få anta rumstemperatur före infusion. FÅR EJ FRYSAS.
VYEPTI 100 mg dos
Beredning av VYEPTI infusionsvätska, lösning: Dra upp 1,0 ml VYEPTI ur en 100-mginjektionsflaska för engångsbruk med hjälp av en steril kanyl och spruta. Injicera innehållet på 1,0 ml (100 mg) i en 100 ml infusionspåse med 0,9 % natriumklorid för injektion.
VYEPTI 300 mg dos
Beredning av VYEPTI infusionsvätska, lösning: Dra upp 1,0 ml VYEPTI ur 3 st 100-mginjektionsflaskor för engångsbruk eller 3,0 ml VYEPTI ur en 300-mg injektionsflaska för engångsbruk med hjälp av en steril kanyl och spruta. Injicera det uppdragna innehållet på 3,0 ml (300 mg) i en 100 ml infusionspåse med 0,9 % natriumklorid för injektion.
Infusionsanvisningar
Parenterala läkemedel ska inspekteras visuellt med avseende på partiklar och missfärgning innan de administreras. Läkemedlet får inte användas om vätskan innehåller partiklar eller är grumlig eller missfärgad.
Infundera dosen med VYEPTI 100 mg eller VYEPTI 300 mg enligt ordination under cirka 30 minuter när innehållet i injektionsflaskan har spätts i en 100 ml infusionspåse med 0,9 % natriumklorid för injektion. Använd en infusionssats för intravenöst bruk med ett integrerat slangfilter eller ett tilläggsfilter på 0,2 eller 0,22 μm. Spola igenom slangen med 20 ml 0,9 % natriumklorid för injektion när infusionen är genomförd.
VYEPTI får inte administreras som bolusinjektion.
Inga andra läkemedel får administreras genom infusionssatsen eller blandas med VYEPTI.
Ej använt läkemedel och avfall ska kasseras enligt gällande anvisningar.
Den övergripande nyttan och fortsatta behandlingen ska utvärderas 6 månader efter påbörjad behandling. Alla vidare beslut om fortsatt behandling ska fattas utifrån den enskilda patienten.
Särskilda populationer
Äldre (i åldern 65 år och äldre)
Det finns begränsat med tillgängliga data om användningen av VYEPTI hos patienter i åldern ≥ 65 år. Det fordras ingen dosjustering hos äldre patienter eftersom farmakokinetiken för eptinezumab inte påverkas av åldern.
Nedsatt njurfunktion/nedsatt leverfunktion
Det krävs ingen dosjustering hos patienter med nedsatt njurfunktion eller nedsatt leverfunktion (se avsnitt Farmakokinetik).
Pediatrisk population
Säkerhet och effekt för VYEPTI för barn i åldern 6 till 18 år har ännu inte fastställts. Inga data finns tillgängliga.
Det finns ingen relevant användning av VYEPTI som profylaxbehandling mot migrän för barn under 6 års ålder.
Administreringssätt
VYEPTI är endast avsett för intravenös användning efter spädning.
Anvisningar om spädning av läkemedlet före administrering finns i avsnitt Hållbarhet, förvaring och hantering.
Efter spädningen ska VYEPTI infunderas under cirka 30 minuter.
Behandlande hälso- och sjukvårdspersonal ska, enligt sedvanlig klinisk praxis, hålla patienten under observation eller övervaka patienten under och efter infusionen.
VYEPTI får inte administreras som bolusinjektion.
Spårbarhet
För att underlätta spårbarhet av biologiska läkemedel ska läkemedlets namn och tillverkningssatsnummer dokumenteras.
Patienter med hjärt- och kärlsjukdomar, neurologiska sjukdomar eller psykiska sjukdomar
Patienter med hjärt- och kärlsjukdom i anamnesen, t.ex. hypertoni och ischemisk hjärtsjukdom, har uteslutits ur kliniska studier (se avsnitt Farmakodynamik). Det finns inga tillgängliga säkerhetsdata för dessa patienter. Det finns begränsat med tillgängliga säkerhetsdata för patienter med kardiovaskulära riskfaktorer såsom diabetes, hjärt- och kärlsjukdomar och hyperlipidemi.
Patienter med neurologiska sjukdomar i anamnesen eller patienter med psykiska sjukdomar som inte var stabila och/eller inte var behandlade, uteslöts ur de kliniska studierna. Det finns begränsat med tillgängliga säkerhetsdata för dessa patienter.
Allvarlig överkänslighet
Allvarliga överkänslighetsreaktioner, däribland anafylaktiska reaktioner, har rapporterats och kan utvecklas inom några minuter efter infusionen. De flesta överkänslighetsreaktionerna uppkom under pågående infusion och var inte allvarliga (se avsnitt Biverkningar). Om det uppkommer en allvarlig överkänslighetsreaktion ska administreringen av VYEPTI omedelbart avbrytas och lämplig behandling sättas in. Om inte överkänslighetsreaktionen är allvarlig har behandlande läkare ansvar för den fortsatta behandlingen med VYEPTI och ska beakta nyttan mot risker för den enskilde patienten.
Hjälpämnen
VYEPTI innehåller sorbitol (E420). Detta läkemedel får inte ges till patienter med ärftlig fruktosintolerans, såvida det inte är absolut nödvändigt.
Innan detta läkemedel ges till en patient måste alltid en noggrann anamnes avseende symptom på ärftlig fruktosintolerans tas upp.
Eptinezumab metaboliseras inte av cytokrom P450-enzymer. Därför anses det osannolikt att eptinezumab skulle interagera med samtidig medicinering som utgörs av substrat, inducerare eller hämmare av cytokrom P450-enzymer.
Graviditet
Det finns begränsad mängd data från användningen av eptinezumab hos gravida kvinnor. Data från djurstudier visar inga direkta eller indirekta reproduktionstoxikologiska effekter (se avsnitt Prekliniska uppgifter). Det är känt att humant IgG passerar placentabarriären, således kan eptinezumab överföras från modern till fostret.
Som en försiktighetsåtgärd bör man undvika användning av VYEPTI under graviditet.
Det finns inga data om förekomsten av eptinezumab i bröstmjölk, effekterna av eptinezumab på ammade nyfödda/spädbarn eller effekterna på mjölkproduktionen. Det är känt att IgG hos människa utsöndras i bröstmjölken under de första dagarna efter födseln och sjunker till en låg koncentration strax därefter. Följaktligen kan en risk för barnet som ammas inte uteslutas under denna korta period. Därefter kan användning av eptinezumab endast övervägas om det är kliniskt nödvändigt.
Effekten av eptinezumab på fertiliteten hos människa har inte utvärderats. I djurstudier med eptinezumab har ingen effekt på fertiliteten påvisats hos vare sig honor eller hanar (se avsnitt Prekliniska uppgifter).
VYEPTI har ingen eller försumbar effekt på förmågan att framföra fordon och använda maskiner.
Sammanfattning av säkerhetsprofilen
Över 2 000 patienter har fått behandling med VYEPTI i kliniska studier. Av dessa patienter har ungefär 1 000 blivit exponerade för läkemedlet i 48 veckor (fyra doser).
De vanligaste biverkningarna var nasofaryngit och överkänslighet. De flesta överkänslighetsreaktionerna uppkom under infusionen och var inte allvarliga. Biverkningar i relation till infusionsstället uppkom sporadiskt och i liknande omfattning hos patienterna med VYEPTI som hos de med placebo (< 2 %), utan något uppenbart samband med VYEPTI-dosen. Den vanligaste biverkningen som uppkom i relation till infusionsstället var extravasering vid infusionsstället, vilket uppträdde hos < 1 % av patienterna som fick VYEPTI och de som fick placebo.
Förteckning över biverkningar i tabellform
Biverkningar som uppkommer i kliniska studier och efter godkännandet för försäljning (tabell 1) klassificeras enligt MedDRA efter organsystem och frekvens. Frekvenserna har utvärderats enligt följande konvention: Mycket vanliga (≥ 1/10), vanliga (≥ 1/100 till < 1/10), mindre vanliga (≥ 1/1 000, < 1/100), sällsynta (≥ 1/10 000, < 1/1 000), mycket sällsynta (< 1/10 000).
Tabell 1: Förteckning över biverkningar
1 Har inte rapporterats i PROMISE 1 och PROMISE 2, men har rapporterats i andra studier och efter godkännandet för försäljning.
Beskrivning av utvalda biverkningar
Nasofaryngit
Cirka 8 % av patienterna som stod på 300 mg, 6 % av patienterna som stod på 100 mg och 6 % av patienterna som stod på placebo i PROMISE 1 och PROMISE 2 fick nasofaryngit. Nasofaryngit var vanligast förekommande efter den första dosen av VYEPTI, oavsett dos. Förekomsten sjönk märkbart vid påföljande doser och höll sig därefter relativt stabil.
Överkänslighets- och infusionsrelaterade reaktioner
Allvarliga överkänslighetsreaktioner, bland annat anafylaktiska reaktioner, har rapporterats och kan utvecklas inom några minuter efter infusionen (se avsnitt Varningar och försiktighet). De inrapporterade anafylaktiska reaktionerna involverade sympom såsom hypotoni och andningssvårigheter och medförde att VYEPTI behövde sättas ut. Andra överkänslighetsreaktioner, bland annat angioödem, urtikaria, vallningar, utslag och pruritus, rapporterades hos cirka 4 % av patienterna som stod på 300 mg, 3 % av patienterna som stod på 100 mg och 1 % av patienterna som stod på placebo i PROMISE 1 och PROMISE 2.
Andra symtom som rapporterats i samband med infusion av eptinezumab inkluderar luftvägssymtom (nästäppa, rinorré, svalgirritation, hosta, nysningar, dyspné) och fatigue (se nedan). De flesta av dessa händelser var lindriga och snabbt övergående.
Fatigue
Cirka 3 % av patienterna som stod på eptinezumab och 2 % av patienterna som stod på placebo i de placebokontrollerade kliniska studierna upplevde fatigue. Fatigue var mest frekvent på den första infusionsdagen. Efter den första veckan och i samband med påföljande infusioner var incidensen av rapporterad fatigue lägre och jämförbar med placebo.
Immunogenicitet
I de kliniska studierna, PROMISE 1 (upp till 56 veckor) och PROMISE 2 (upp till 32 veckor), var förekomsten av antikroppar mot eptinezumab i båda studierna tillsammans 18 % (105/579) resp. 20 % (115/574) hos patienterna som fick 100 mg resp. 300 mg var 12:e vecka. I båda studierna nådde förekomsten av antikroppar mot eptinezumab sin kulmen vecka 24 och gick därefter stadigt nedåt, även efter påföljande doser var 12:e vecka. Förekomsten av neutraliserande antikroppar i båda studierna tillsammans var 8,3 % (48/579) resp. 6,1 % (35/574) för behandlingsgrupperna med 100 mg resp. 300 mg.
I en öppen studie, PREVAIL, (upp till 96 veckors behandling med 300 mg VYEPTI var 12:e vecka) utvecklade 18 % (23/128) av patienterna antikroppar mot eptinezumab, medan den övergripande förekomsten av neutraliserande antikroppar var 7 % (9/128). Vecka 48 var 5,3 % av patienterna ADA-positiva, 4 % var ADA-positiva vecka 72 och alla patienter utom en patient som föll bort vid uppföljningen, var ADA-negativa vecka 104 (det sista bedömningstillfället i studien).
I de kliniska studierna visade sig dalvärdet på eptinezumab-koncentrationen i plasma vara lägre hos de patienter som utvecklade antikroppar mot eptinezumab. Det fanns inga evidens för att utvecklingen av antikroppar mot eptinezumab påverkade effekten och säkerheten i de kliniska studierna.
Rapportering av misstänkta biverkningar
Det är viktigt att rapportera misstänkta biverkningar efter att läkemedlet godkänts. Det gör det möjligt att kontinuerligt övervaka läkemedlets nytta-riskförhållande. Hälso- och sjukvårdspersonal uppmanas att rapportera varje misstänkt biverkning till Läkemedelsverket, men alla kan rapportera misstänkta biverkningar till Läkemedelsverket, www.lakemedelsverket.sePostadress: Läkemedelsverket, Box 26, 751 03 Uppsala.
Det har administrerats doser på upp till 1 000 mg intravenöst till människor, utan toleransproblem eller biverkningar av klinisk betydelse.
I händelse av överdosering ska patienten få symptomatisk behandling och vid behov ska understödjande behandling sättas in.
Verkningsmekanism
Eptinezumab är en rekombinant humaniserad immunglobulin G1-antikropp (IgG1-antikropp) som binder till α- och β-former av humana kalcitoningenrelaterade peptid (CGRP)-ligander med låg pikomolar affinitet (4 resp. 3 pM Kd). Eptinezumab förhindrar aktiveringen av CGRP-receptorer och därmed också den nedåtgående kaskad av fysiologiska händelser som är förknippade med begynnande migränattacker.
Eptinezumab hämmar α- och β-CGRP-medierad neurogen inflammation och vasodilation.
Eptinezumab är högselektivt (> 100 000-faldigt jmf. med de relaterade neuropeptiderna amylin, kalcitonin, adrenomedullin och intermedin).
Klinisk effekt och säkerhet
VYEPTI (eptinezumab) har utvärderats som förebyggande behandling av migrän i två placebokontrollerade pivotstudier: PROMISE 1 genomfördes på patienter med episodisk migrän (n = 888) och PROMISE 2 på patienter med kronisk migrän (n = 1 072). Patienterna som deltog hade tidigare haft migrän (med eller utan aura) i minst 12 månader i enlighet med de diagnostiska kriterierna ICHD-2 eller ICHD-3 (International Classification of Headache Disorders).
PROMISE 1: Episodisk migrän
PROMISE 1 var en dubbelblind, placebokontrollerad parallellgruppsstudie för utvärdering av effekt och säkerhet av VYEPTI för förebyggande behandling av episodisk migrän hos vuxna. Sexhundrasextiofem (665) patienter randomiserades till att få placebo (n = 222), 100 mg eptinezumab (n = 221), eller 300 mg eptinezumab (n = 222) var 12:e vecka i 48 veckor (4 infusioner). Episodisk migrän definierades som ≥ 4 och ≤ 14 dagar med huvudvärk, varav minst fyra dagar i varje 28-dagarsperiod av de 3 månaderna som föregick screeningen skulle vara dagar med migrän och bekräftas under baslinjeperioden. Under studien tilläts patienterna använda samtidig medicinering för akut behandling mot migrän eller huvudvärk, däribland specifika läkemedel mot migrän (d.v.s. triptaner, ergotaminderivat). Det var inte tillåtet att regelbundet (mer än 7 dagar per månad) använda andra migränförebyggande behandlingar.
Det primära effektmåttet var förändring i genomsnittligt antal dagar med migrän per månad under vecka 1-12, från baslinjen. De huvudsakliga sekundära effektmåtten var: andel patienter med migrän som svarade på behandlingen till ≥ 50 % resp. ≥ 75 %, definierat som andelen patienter som minst uppnådde specificerad minskning av antalet migrändagar under vecka 1-12, andel patienter med migrän som svarade på behandlingen till ≥ 75 % under vecka 1-4, och andelen patienter som fick migrän dagen efter den första dosen (dag 1).
Patienternas genomsnittsålder var 40 år (intervall: 18 till 71 år), 84 % var kvinnor och 84 % var vita. Vid baslinjen var det genomsnittliga antalet dagar med migrän per månad 8,6 dagar och andelen patienter med migrän på en bestämd dag var 31 %; båda effektmåtten var lika mellan behandlingsgrupperna.
Jämfört med placebo observerades en minskning av det genomsnittliga antalet dagar med migrän för båda doserna, från första dagen efter administreringen.
Figur 1: Genomsnittlig förändring av antalet dagar med migrän per månad, från baslinjen, PROMISE 1
Vid varje tidpunkt användes en kovariansanalys med bland annat "behandling" och "användning av förebyggande läkemedel" som faktorer och "antal dagar med migrän vid baslinjen" som kontinuerlig samvariabel för att uppskatta den genomsnittliga förändringen från baslinjen.
Tabell 2: Utfall för primära och huvudsakliga sekundära effektmått, PROMISE 1 (episodisk migrän)
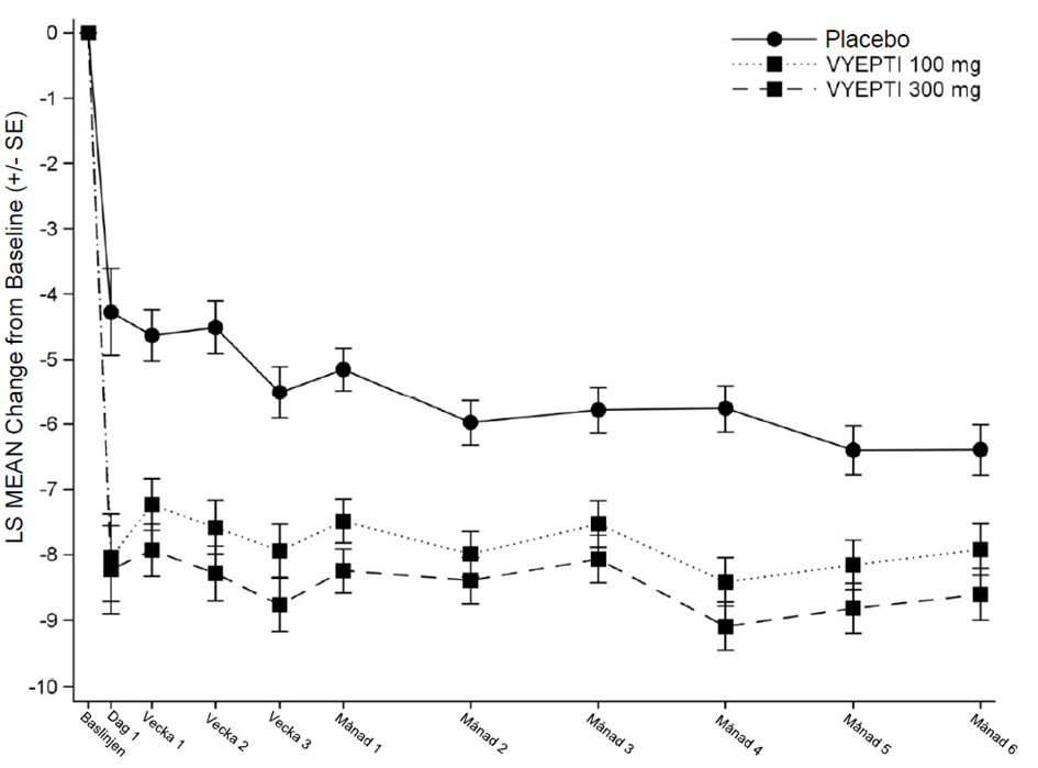
PROMISE 2: Kronisk migrän
PROMISE 2 var en internationell dubbelblind, placebokontrollerad parallellgruppsstudie för utvärdering av effekt och säkerhet för VYEPTI vid förebyggande behandling mot kronisk migrän hos vuxna. Totalt randomiserades1 072 patienter och fick antingen placebo (n = 366), 100 mg eptinezumab (n = 356) eller 300 mg eptinezumab (n = 350) var 12:e vecka i 24 veckor (två infusioner). Kronisk migrän definierades som ≥ 15 till ≤ 26 dagar med huvudvärk, varav vilka ≥ 8 bedömdes vara dagar med migrän under de 3 månader som föregick screeningen och bekräftades under den 28 dagar långa screeningperioden. Under studien tilläts patienterna använda läkemedel för akut eller förebyggande behandling mot migrän eller huvudvärk, enligt en fastställd behandlingsregim (förutom för onabotulinumtoxinA).
Totalt 431 patienter (40 %) med dubbeldiagnosen kronisk migrän och huvudvärk till följd av överanvändning av läkemedel (förknippat med överanvändning av triptaner, ergotamin eller kombinationsanalgetikum > 10 dagar/månad, eller paracetamol, acetylsalicylsyra eller NSAID-preparat (antiinflammatoriska läkemedel utan steroider) ≥ 15 dagar/månad) som fastställdes under screeningperioden, inkluderades i studiepopulationen.
Det primära effektmåttet var medelförändringen i antal migrändagar per månad jämfört med baslinjen under vecka 1-12, från baslinjen". De huvudsakliga sekundära effektmåtten var: andel patienter med migrän som svarade på behandlingen till ≥ 50 % resp. ≥ 75 % , definierat som andelen patienter som uppnådde specificerad minskning av antalet dagar med migrän under vecka 1-12, andel patienter med migrän som svarade på behandlingen till ≥ 75 % under vecka 1-4, andelen patienter som fick migrän dag 1 efter dosering, minskningen av förekomsten av migrän från baslinjen till vecka 4, förändringen av det totala antalet poäng på HIT-6-formuläret (Headache Impact Test) vecka 12, från baslinjen, (endast dosen 300 mg), samt förändringen av antalet dagar per månad med akutmedicinering i genomsnitt under vecka 1-12, från baslinjen, (endast dosen 300 mg).
Patienternas genomsnittsålder var 41 år (intervall: 18 till 65 år), 88 % var kvinnor och 91 % var vita. Fyrtioen procent av patienterna tog samtidigt förebyggande läkemedel mot migrän. Vid baslinjen var det genomsnittliga antalet dagar med migrän per månad 16,1 och andelen patienter med migrän på en bestämd dag var 57,6 %. Båda effektmåtten var lika mellan behandlingsgrupperna.
Jämfört med placebo observerades en minskning av det genomsnittliga antalet dagar med migrän för båda doserna, från första dagen efter administreringen.
Bild 2: Genomsnittlig förändring av antalet dagar med migrän per månad från baslinjen, PROMISE 2
LS=Least Square VYEPTI = eptinezumab
Vid varje tidpunkt användes en kovariansanalys med bland annat "behandling" som faktor och "antal dagar med migrän vid baslinjen" som kontinuerlig samvariabel för att uppskatta den genomsnittliga förändringen från baslinjen.
Tabell 3: Utfall för primära och huvudsakliga sekundära effektmått, PROMISE 2 (kronisk migrän)
a Effektmåttet för dosen 100 mg var inte ett förspecificerat huvudsakligt sekundärt effektmått .
b En baslinje var genomsnittet under den 28 dagar långa screeningperioden innan patienterna fick behandlingen
Patienter med diagnosen huvudvärk till följd av överanvändning av läkemedel
Av de 431 (40 %) patienter med diagnosen huvudvärk till följd av överanvändning av läkemedel i PROMISE-2, var den genomsnittliga förändringen i antalet dagar med migrän per månad från baslinjen (vecka 1-12) för VYEPTI 100 mg -8,4 dagar, VYEPTI 300 mg -8,6 dagar, och placebo -5,4 dagar (genomsnittlig skillnad mot placebo -3,0 dagar resp. -3,2 dagar för 100 mg resp. 300 mg).
DELIVER: tidigare misslyckade förebyggande behandlingar mot migrän
VYEPTI har utvärderats i en effekt- och säkerhetsstudie (DELIVER) hos patienter med episodisk (n = 484) och kronisk (n = 405) migrän och två till fyra klasser av tidigare förebyggande behandling mot migrän med dokumenterat misslyckande som inkluderade en 24 veckor lång dubbelblind, placebokontrollerad behandlingsperiod och en 48 veckor lång långtidsförlängningsperiod.
Studien visade att behandling med VYEPTI medförde en genomsnittlig minskning av antalet månatliga migrändagar (MMD) under vecka 1–12: -4,8 i VYEPTI 100 mg-gruppen och -5,3 i VYEPTI 300 mg-gruppen jämfört med -2,1 i placebogruppen, motsvarande en skillnad från placebo på -2,7 dagar (95 % KI: -3,4 till -2,0) respektive -3,2 dagar (95 % KI: -3,9 till -2,5).
Studien visade också att en ≥ 50 % minskning av antalet MMD under vecka 1–12 uppnåddes för 42 % i VYEPTI 100 mg-gruppen och för 50 % i VYEPTI 300 mg-gruppen jämfört med 13 % i placebogruppen. Minskningen av antalet MMD på ≥ 75 % under vecka 1–12 uppnåddes hos 16 % i VYEPTI 100 mg-gruppen och 19 % i VYEPTI 300 mg-gruppen jämfört med 2 % av patienterna i placebogruppen.
Den påvisade effekten under den placebokontrollerade behandlingsperioden bibehölls i upp till 72 veckor av behandling med VYEPTI under förlängningsperioden.
Säkerhetsdata överensstämde med säkerhetsprofilen för VYEPTI som beskrivs i avsnitt Biverkningar.
RELIEF: insättning av förebyggande behandling under pågående migränattack
VYEPTI har utvärderats i en effekt- och säkerhetsstudie (RELIEF) hos patienter med 4 till 15 migrändagar per månad (n = 480). Patienterna fick VYEPTI eller placebo inom 1–6 timmar efter början av en måttlig till svår migränattack.
Studien stöder att behandling med VYEPTI vid insättning under en pågående måttlig till svår migränattack visar statistiskt signifikant förkortad tid till försvunnen huvudvärk (p < 0,001; mediantid 4 timmar jämfört med 9 timmar) och försvunnet symtom för det mest besvärande symtomet (p < 0,001; mediantid 2 timmar jämfört med 3 timmar) jämfört med placebo hos patienter som uppfyller villkoren för förebyggande behandling mot migrän. Ett större antal patienter med migrän som behandlades med VYEPTI upplevde också ingen huvudvärk (24 % jämfört med 12 %) och att de mest besvärande symtomen uteblev (56 % jämfört med 36 %) efter 2 timmar jämfört med placebo (p < 0,001) och inom de första 24 timmarna efter infusion behövde färre patienter akut undsättningsläkemedel efter behandling med VYEPTI jämfört med placebo (p < 0,001).
Säkerhetsdata överensstämde med säkerhetsprofilen för VYEPTI som beskrivs i avsnitt Biverkningar.
PREVAIL: Långtidsstudie
VYEPTI 300 mg administrerades var 12:e vecka genom intravenös infusion under upp till 96 veckor, till 128 patienter med kronisk migrän. Det primära syftet var att utvärdera den långsiktiga säkerheten efter upprepade doser med VYEPTI. De sekundära syftena omfattade karaktärisering av PK- och immunogenicitetsprofilerna för VYEPTI (avsnitt Biverkningar) och utvärdering av den terapeutiska effekten av VYEPTI på flera patientrapporterade utfallsmått i relation till migrän och livskvalitet, däribland HIT-6 (Headache Impact Test). Patienternas genomsnittsålder var 41,5 år (intervall: 18 till 65 år), 85 % var kvinnor, 95 % var vita och 36 % tog samtidigt förebyggande läkemedel mot migrän. Det genomsnittliga antalet dagar med migrän per 28-dagarsperiod under de 3 månaderna som föregick screeningen var 14,1 dagar. Totalt fullföljde 100 patienter (78,1 %) studien (vecka 104). Patienterna var allvarligt påverkade vid baslinjen, med en genomsnittlig totalpoäng på HIT-6-skalan på 65. Den genomsnittliga förändringen, från baslinjen till och med vecka 104, var -9,7 (p < 0,0001). Säkerhetsprofilen var enhetlig med de säkerhetsprofiler som observerades i de randomiserade, placebokontrollerade studierna, och det observerades en ihållande effekt på olika utfallsmått med relevans för patienterna i upp till 96 veckor.
Pediatrisk population
Europeiska läkemedelsmyndigheten har senarelagt kravet att skicka in studieresultat för VYEPTI för en eller flera grupper av den pediatriska populationen för förebyggande behandling mot migrän (information om pediatrisk användning finns i avsnitt Dosering)
Eftersom VYEPTI administreras intravenöst är det biotillgängligt till 100 procent. Eptinezumab uppvisar linjära farmakokinetiska egenskaper och exponeringen för läkemedlet ökar proportionellt med dosen vid doser på 10 till 1 000 mg. Steady state uppnås efter den första dosen vid dosering en gång var 12:e vecka. Mediantiden till den maximal koncentrationen (Cmax) är 30 minuter (slutet på infusionen), och den genomsnittliga slutliga halveringstiden för elimineringen är 27 dagar. Det genomsnittliga ackumulationsförhållandet, baserat på Cmax och AUC0-tau, är 1,08 resp. 1,15.
Absorption
VYEPTI administreras genom intravenös infusion varmed extravaskulär absorption undviks och läkemedlet blir biotillgängligt till 100 procent. Mediantiden till toppkoncentrationen uppnåddes i slutet på infusionen (30 minuter).
Distribution
Den centrala distributionsvolymen (Vc) för eptinezumab var cirka 3,7 liter.
Metabolism
Eptinezumab förväntas brytas ned av proteolytiska enzymer till små peptider och aminosyror.
Eliminering
Eptinezumabs skenbara clearance var 0,15 l/dag och den slutliga halveringstiden för elimineringen var cirka 27 dagar.
Särskilda populationer
I en farmakokinetisk populationsanalys som omfattade 2 123 patienter undersöktes effekten av ålder, kön, etnicitet och kroppsvikt på farmakokinetiken för eptinezumab. Relativt till en patient på 70 kg, var exponeringen vid steady state för eptinezumab hos en patient på 190 kg upp till 52 % lägre, medan den skulle vara upp till 50 % högre hos en patient på 39 kg. Enligt utvärderingen av exponering-svarsförhållandet förelåg dock ingen effekt av kroppsvikten på den kliniska effekten. Det fordras ingen dosjustering baserat på kroppsvikt. Baserat på farmakokinetiken för populationen påverkades inte farmakokinetiken för eptinezumab av vare sig ålder (18-71 år), kön eller etnicitet. Därför fordras ingen dosjustering.
Nedsatt njur- eller leverfunktion
Det har inte genomförts några specifika studier av nedsatt lever- eller njurfunktion för bedömning av effekten av nedsatt lever- och njurfunktion på farmakokinetiken för eptinezumab. I de farmakokinetiska populationsanalyserna av integrerade data från de kliniska studierna av VYEPTI påvisades inte några skillnader hos patienterna med nedsatt njur- eller leverfunktion som skulle innebära att en dosjustering fordras. Det finns inga tillgängliga data för patienter med allvarligt nedsatt njurfunktion.
Gängse studier avseende säkerhetsfarmakologi, allmäntoxicitet, juvenil toxicitet och reproduktionseffekter och effekter på utveckling visade inte några särskilda risker för människa.
Gentoxicitet och karcinogenes
Eftersom det är osannolikt att eptinezumab interagerar direkt med DNA eller annat kromosommaterial har utvärderingar avseende eventuell gentoxicitet ansetts vara onödiga och inte utförts.
Då ingen risk för karcinogenicitet har identifierats genom omfattande utvärdering av litteraturen i relation till CGRP-hämning, och eftersom inga proliferativa fynd i relation till eptinezumb har observerats i några långtidsstudier på apor, har undersökningar av karcinogeniciteten ansetts vara onödiga och inte utförts.
Kvalitativ och kvantitativ sammansättning
Varje injektionsflaska med koncentrat innehåller 100 mg eptinezumab per ml.
Eptinezumab är en humaniserad, monoklonal antikropp som framställs ur jästceller från Pichia pastoris.
Hjälpämne(n) med känd effekt
Detta läkemedel innehåller 40,5 mg sorbitol per ml och 0,15 mg polysorbat 80 per ml.
Förteckning över hjälpämnen
Sorbitol (E420)
L-histidin
L-histidinhydrokloridmonohydrat
Polysorbat 80
Vatten för injektioner
Då blandbarhetsstudier saknas får detta läkemedel inte blandas med andra läkemedel, förutom de som nämns i avsnitt Hållbarhet, förvaring och hantering.
Hållbarhet
3 år.
Efter spädningen måste VYEPTI infusionsvätska, lösning (VYEPTI och 0,9 % natriumklorid för injektion) infunderas inom 8 timmar (se avsnitt Särskilda anvisningar för destruktion och övrig hantering).
Särskilda förvaringsanvisningar
Förvaras i kylskåp (2°C - 8°C).
Får ej frysas eller skakas.
Förvaras i ytterkartongen. Ljuskänsligt.
Om VYEPTI tas ut ur kylskåpet måste det användas inom 7 dagar vid förvaring i originalförpackningen i rumstemperatur (högst 25 °C) eller kasseras. Om det förvaras vid högre temperaturer eller under längre tid måste det kasseras.
Efter spädningen kan VYEPTI infusionsvätska, lösning (VYEPTI och 0,9 % natriumklorid för injektion) förvaras i rumstemperatur (högst 25 °C) eller i kylskåp vid 2°C - 8°C. Efter spädningen måste VYEPTI infusionsvätska, lösning infunderas inom 8 timmar.
Särskilda anvisningar för destruktion och övrig hantering
Läkemedlet måste spädas innan det administreras. För att tillförsäkra att den beredda infusionsvätskan, lösningen är steril ska spädningen genomföras av hälso- och sjukvårdspersonal med användning av aseptisk teknik.
Läkemedlet innehåller inget konserveringsmedel utan är endast avsett för engångsbruk. Allt oanvänt läkemedel ska kasseras.
Innan läkemedlet (koncentratet i injektionsflaskorna) spädes ska det inspekteras visuellt. Läkemedlet får inte användas om koncentratet innehåller synliga partiklar eller är grumligt eller missfärgat (utöver att vara klart till lätt opaliserande, färglöst till brungult).
Både för dosen 100 mg och dosen 300 mg ska en 100 ml infusionspåse med natriumkloridlösning 9 mg/ml (0,9 %) användas för beredning av VYEPTI infusionsvätska, lösning enligt nedanstående beskrivning. Inga andra volymer eller spädningsvätskor för intravenöst bruk får användas för beredning av VYEPTI infusionsvätska, lösning.
Vänd försiktigt på VYEPTI infusionsvätska, lösning så att den blandas helt och hållet. Får ej skakas.
Efter spädningen måste VYEPTI infusionsvätska, lösning infunderas inom 8 timmar. Under denna tid kan VYEPTI infusionsvätska, lösning förvaras i rumstemperatur (högst 25 °C) eller i kylskåp i 2 °C - 8 °C. Vid förvaring i 2 °C - 8 °C ska VYEPTI infusionsvätska, lösning få anta rumstemperatur före infusion. FÅR EJ FRYSAS.
VYEPTI 100 mg dos
Beredning av VYEPTI infusionsvätska, lösning: Dra upp 1,0 ml VYEPTI ur en 100-mginjektionsflaska för engångsbruk med hjälp av en steril kanyl och spruta. Injicera innehållet på 1,0 ml (100 mg) i en 100 ml infusionspåse med 0,9 % natriumklorid för injektion.
VYEPTI 300 mg dos
Beredning av VYEPTI infusionsvätska, lösning: Dra upp 1,0 ml VYEPTI ur 3 st 100-mginjektionsflaskor för engångsbruk eller 3,0 ml VYEPTI ur en 300-mg injektionsflaska för engångsbruk med hjälp av en steril kanyl och spruta. Injicera det uppdragna innehållet på 3,0 ml (300 mg) i en 100 ml infusionspåse med 0,9 % natriumklorid för injektion.
Infusionsanvisningar
Parenterala läkemedel ska inspekteras visuellt med avseende på partiklar och missfärgning innan de administreras. Läkemedlet får inte användas om vätskan innehåller partiklar eller är grumlig eller missfärgad.
Infundera dosen med VYEPTI 100 mg eller VYEPTI 300 mg enligt ordination under cirka 30 minuter när innehållet i injektionsflaskan har spätts i en 100 ml infusionspåse med 0,9 % natriumklorid för injektion. Använd en infusionssats för intravenöst bruk med ett integrerat slangfilter eller ett tilläggsfilter på 0,2 eller 0,22 μm. Spola igenom slangen med 20 ml 0,9 % natriumklorid för injektion när infusionen är genomförd.
VYEPTI får inte administreras som bolusinjektion.
Inga andra läkemedel får administreras genom infusionssatsen eller blandas med VYEPTI.
Ej använt läkemedel och avfall ska kasseras enligt gällande anvisningar.
Koncentrat till infusionsvätska, lösning (sterilt koncentrat).
Koncentratet till infusionsvätskan, lösningen är klart till lätt opaliserande, färglöst till brungult med ett pH på 5,5-6,1 och en osmolaritet på 290-350 mOsmol/kg.