Fass-texten är läkemedelsinformation som är särskilt framtagen för förskrivare och vårdpersonal. Texten är baserad på produktresumén som är godkänd av Läkemedelsverket eller motsvarande myndighet på EU-nivå.
Texten är baserad på produktresumé: 2025-11-21.
Texten är baserad på produktresumé: 2025-11-21.
Breyanzi är avsett för behandling av vuxna, med diffust storcelligt B-cellslymfom (DLBCL), höggradigt B‑cellslymfom (HGBCL), primärt mediastinalt storcelligt B-cellslymfom (PMBCL) och follikulärt lymfom grad 3B (FL3B), som recidiverat inom 12 månader efter avslutad, eller är refraktär till, första linjens immunokemoterapi.
Breyanzi är avsett för behandling av vuxna med recidiverande eller refraktär DLBCL, PMBCL och FL3B efter två eller flera linjer systemisk behandling.
Breyanzi är avsett för behandling av vuxna med recidiverande eller refraktärt follikulärt lymfom (FL) efter två eller flera linjer systemisk behandling.
Breyanzi är avsett för behandling av vuxna patienter med recidiverande eller refraktärt mantelcellslymfom (MCL) efter minst två linjer systemisk behandling inklusive en BTK‑hämmare (Brutons tyrosinkinas).
Överkänslighet mot något hjälpämne som anges i avsnitt Innehåll.
Kontraindikationer mot den lymfocytreducerande kemoterapin måste beaktas.
Breyanzi måste administreras på en kvalificerad klinik.
Behandlingen ska initieras under ledning av och övervakas av sjukvårdspersonal som har erfarenhet av behandling av hematologiska maligniteter och som utbildats i att administrera och hantera patienter som behandlas med Breyanzi.
Minst en dos av tocilizumab, för användning i händelse av cytokinfrisättningssyndrom (CRS), samt akututrustning måste finnas tillgänglig för varje patient före infusion med Breyanzi. Kliniken måste ha tillgång till ytterligare en dos av tocilizumab inom 8 timmar från varje föregående dos. I de undantagsfall då tocilizumab inte är tillgängligt, på grund av en bristsituation upptagen på Europeiska läkemedelsmyndighetens lista över restnoterade läkemedel, måste lämpliga alternativa åtgärder för att behandla CRS (istället för tocilizumab) finnas tillgängliga före infusion.
Dosering
Breyanzi är avsedd för autolog användning (se avsnitt Varningar och försiktighet).
Behandlingen består av en engångsinfusion av en dispersion av CAR‑positiva viabla T-celler i en eller flera injektionsflaskor.
Måldosen är 100 × 106 CAR‑positiva viabla T‑celler (med målförhållandet 1:1 av CD4‑positiva och CD8‑positiva celler) inom intervallet 44‑120 × 106 CAR‑positiva viabla T‑celler. Se det medföljande frisläppningscertifikatet för infusion (RfIC) för ytterligare information avseende dosen.
Spårbarhet
Regler för spårbarhet av läkemedel som används för cellbaserad avancerad terapi ska tillämpas. För att garantera spårbarheten ska läkemedlets namn, tillverkningssatsnummer och namnet på den behandlade patienten sparas i 30 år efter läkemedlets utgångsdatum.
Autolog användning
Breyanzi är endast avsett för autolog användning och får under inga omständigheter ges till andra patienter. Breyanzi får inte administreras om informationen på produktetiketterna och frisläppningscertifikat för infusion (RfIC) inte överensstämmer med patientens identitet.
Skäl till att skjuta upp behandlingen
På grund av riskerna förknippade med behandling med Breyanzi ska infusionen skjutas upp om patienten har något av följande tillstånd:
Kvarstående allvarliga biverkningar (särskilt lung- eller hjärtpåverkan eller hypotoni), inklusive de från tidigare kemoterapibehandlingar.
Aktiva okontrollerade infektioner eller inflammatoriska sjukdomar.
Inga interaktionsstudier har utförts på människa.
Monoklonala antikroppar riktade mot den epidermala tillväxtfaktorreceptorn (anti-EGFR mabs)
Långvarig beständighet av CAR-T-celler kan påverkas av efterföljande användning av anti-EGFR monoklonala antikroppar. Information om klinisk användning av anti-EGFR mabs hos patienter som behandlats med Breyanzi är emellertid begränsad.
Levande vacciner
Säkerheten vid immunisering med levande virusvacciner under eller efter behandling med Breyanzi har inte studerats. Som försiktighetsåtgärd rekommenderas ingen vaccination med levande vacciner i minst 6 veckor före start av lymfocytreducerande kemoterapi, under Breyanzi-behandling och fram till immunologisk återhämtning efter behandling.
Fertila kvinnor/Preventivmedel för män och kvinnor
Hos fertila kvinnor ska graviditetsstatus verifieras med ett graviditetstest före behandlingsstart med Breyanzi.
Se produktresumén för fludarabin och cyklofosfamid för information om behovet av effektiva preventivmedel hos patienter som får lymfocytreducerande kemoterapi.
Det finns inte tillräckliga exponeringsdata för att ge en rekommendation angående preventivmedel efter behandling med Breyanzi.
Graviditet
Det finns inga data från användningen av lisokabtagen-maraleucel hos gravida kvinnor. Inga djurstudier avseende reproduktionstoxikologiska effekter eller effekter på fosterutveckling har utförts för att utvärdera huruvida Breyanzi kan orsaka fosterskador när det administreras till en gravid kvinna (se avsnitt Prekliniska uppgifter).
Det är okänt om lisokabtagen-maraleucel har potential att överföras till fostret. Om de överförda cellerna passerar placenta kan de, baserat på verkningsmekanismen, orsaka fostertoxicitet inklusive B‑cellslymfocytopeni. Breyanzi rekommenderas därför inte till gravida kvinnor eller till fertila kvinnor som inte använder preventivmedel. Gravida kvinnor ska informeras om riskerna för fostret. Graviditet efter behandling med Breyanzi ska diskuteras med den behandlande läkaren.
Det är okänt om lisokabtagen-maraleucel utsöndras i bröstmjölk eller överförs till det ammade barnet. Kvinnor som ammar ska informeras om risken för det ammade barnet.
Det finns inga data om effekten av lisokabtagen-maraleucel på fertilitet.
Breyanzi kan ha påtaglig effekt på förmågan att framföra fordon och använda maskiner.
På grund av risken för neurologiska händelser, inklusive förändrad mental status eller kramper, ska patienter som får Breyanzi avstå från att framföra fordon och använda tunga och potentiellt farliga maskiner i minst 4 veckor efter infusion med Breyanzi, eller längre enligt läkarens bedömning.
Sammanfattning av säkerhetsprofilen
LBCL
Patienter som fått en tidigare behandlingslinje för LBCL
Biverkningarna som beskrivs i detta avsnitt karakteriserades hos 177 patienter infunderade med Breyanzi från 3 sammanslagna studier TRANSFORM [BCM‑003], PILOT [017006] och TRANSCEND WORLD [JCAR017‑BCM‑001, kohort 2].
De vanligaste biverkningarna av alla grader var neutropeni (71 %), anemi (45 %), CRS (45 %) och trombocytopeni (43 %).
De vanligaste allvarliga biverkningarna var CRS (12 %), neutropeni (3 %), bakteriella infektionssjukdomar (3 %), infektion med en ospecificerad patogen (3 %), trombocytopeni (2 %), febril neutropeni (2 %), pyrexi (2 %), afasi (2 %), huvudvärk (2 %), förvirringstillstånd (2 %), lungemboli (2 %), anemi (1 %), övre gastrointestinal blödning (1 %) och tremor (1 %).
De vanligaste biverkningarna av grad 3 eller högre inkluderade neutropeni (68 %), trombocytopeni (33 %), anemi (31 %), lymfopeni (17 %), leukopeni (17 %), febril neutropeni (5 %) och bakteriella infektionssjukdomar (5 %).
Patienter som fått två eller flera tidigare behandlingslinjer för LBCL
Inga data finns tillgängliga från kliniska studier avseende överdosering av Breyanzi.
Verkningsmekanism
Breyanzi är en autolog cellulär immunterapi riktad mot CD19 bestående av genetiskt modifierade CD8‑positiva och CD4‑positiva T‑celler, vilka administreras i en definerad blandning för att minska variabiliteten av dosen. Den chimära antigenreceptorn (CAR) består av ett enkelkedjigt variabelt fragment (scFv) härlett från den monoklonala murinantikroppen FMC6, IgG4 “hinge region”, CD28, transmembrandomän, 4-1BB (CD137) samstimulerande domän och CD3 zeta-aktiveringsdomän. CD3 zeta-signalering är avgörande för initiering av T-cellsaktivering och antitumöraktivitet, medan 4‑1BB‑ (CD137) signalering förstärker celltillväxten och persistensen av Breyanzi (se avsnitt Farmakokinetik).
När CAR binds till CD19 som uttrycks på cellytan av tumören och normala B-celler, induceras aktivering och proliferation av CAR-T-celler, frisläppande av pro-inflammatoriska cytokiner och cytotoxiskt avdödande av målceller.
Klinisk effekt och säkerhet
TRANSFORM
Effekt och säkerhet för Breyanzi jämfört med standardbehandling utvärderades i en fas 3, randomiserad, öppen, multicenterstudie med parallella grupper kallad TRANSFORM (BCM‑003), på vuxna patienter med non-Hodgkins lymfom av typen storcelligt B‑cellslymfom, med primärt refraktär eller recidiverande sjukdom inom 12 månader efter initial behandling och där patienterna lämpade sig för hematopoetisk stamcellstransplantation (HSCT). Standardbehandlingen bestod av salvage‑behandling med immunokemoterapi följt av högdoskemoterapi (HDCT) och autolog HSCT.
Efter infusion uppvisade Breyanzi en initial celltillväxt följt av ett bi-exponentiellt avklingande.
LBCL
Hos patienter som fått två eller flera tidigare behandlingslinjer för LBCL i studien TRANSCEND:s LBCL‑kohort, inträffade mediantiden för maximal celltillväxt i perifert blod 11 dagar efter den första infusionen. Breyanzi förekom i perifert blod i upp till 2 år.
Bland patienter som fått en tidigare behandlingslinje för LBCL (TRANSFORM) var medianvärdet för Cmax hos de som svarade 33 285 kopior/mikrogram (N=76), jämfört med 95 618 kopior/mikrogram för de som inte svarade (N=7). Medianvärdet för AUC0-28d hos de som svarande var 268 887 dagar*kopior/mikrogram, jämfört med 733 406 dagar*kopior/mikrogram för de som inte svarade.
I TRANSCEND hade de som svarade (N=150) en 2,85‑faldigt högre median Cmax än de som inte svarade (N=45) (33 766,0 jämfört med 11 846,0 kopior/mikrogram). De som svarade hade en 2,22‑faldigt högre median AUC0-28d än de som inte svarade (257 769,0 jämfört med 116 237,3 dagar*kopior/mikrogram).
I TRANSCEND hade patienter < 65 år (N=145) en 2,93‑faldig respektive 2,35‑faldigt högre median Cmax och AUC0‑28d jämfört med patienter ≥ 65 år gamla (N=102, inklusive 77 patienter 65‑74 år gamla, 24 patienter 75‑84 år gamla och 1 patient ≥ 85 år). Kön och kroppsvikt hade ingen tydlig koppling till C
Analyser av gentoxicitet och karcinogenicitetsstudier har inte utförts.
In vitro-studier av celltillväxt från friska donatorer och patienter visade ingen evidens på transformation och/eller immortalisering och ingen preferentiell integration nära känsliga gener i Breyanzi T-celler.
Med tanke på produktens egenskaper har prekliniska studier på fertilitet, reproduktion eller utveckling inte utförts.
Kvalitativ och kvantitativ sammansättning
2.1 Allmän beskrivning
Breyanzi (lisokabtagen-maraleucel) är en genetiskt modifierad autolog cellbaserad produkt som består av renade CD8-positiva och CD4‑positiva T-celler, i en definierad sammansättning, separat transducerade ex vivo med en replikationsinkompetent lentivirusvektor som kodar för en anti‑CD19 chimär antigenreceptor (CAR) som består av ett variabelt fragment med enkel kedja (scFv) från en murin CD19-specifik monoklonal antikropp (mAb; FMC63), en del av den 4‑1BB co-stimulatoriska endodomänen, CD3‑zeta (ζ)‑kedjans signaleringsdomäner och en icke-funktionell trunkerad epidermal tillväxtfaktorreceptor (truncated epidermal growth factor receptor (EGFRt)).
2.2 Kvalitativ och kvantitativ sammansättning
Breyanzi innehåller CAR-positiva viabla T‑celler med en definierad sammansättning av CD8-positiva och CD4-positiva celler:
CD8‑positiva celler
Varje injektionsflaska innehåller en tillverkningssatsberoende koncentration av lisokabtagen-maraleucel, autologa T‑celler som har modifierats genetiskt för att koda för en anti-CD19 chimär antigenreceptor (CAR-positiva viabla T‑celler). Läkemedlet är förpackat i en eller flera injektionsflaskor som sammanlagt innehåller en celldispersion av 5,1‑322 × 10
Då blandbarhetsstudier saknas får detta läkemedel inte blandas med andra läkemedel.
Hållbarhet
Oöppnad injektionsflaska vid förvaring i gasfasen av flytande kväve
13 månader
Efter upptining
Produkten ska administreras omedelbart efter upptining. Förvaringstider och förvaringsförhållanden under användning ska inte överstiga 2 timmar vid rumstemperatur (15 °C‑25 °C).
Får inte frysas igen.
Särskilda förvaringsanvisningar
Breyanzi måste förvaras och transporteras i gasfasen av flytande kväve (≤ ‑130 °C) och måste förbli fruset tills patienten är redo för behandling för att tillse att det finns viabla celler som kan administreras till patienten. Upptinat läkemedel får inte frysas ned på nytt.
Förvaringsanvisningar för läkemedlet efter upptining finns i avsnitt Hållbarhet, förvaring och hantering.
Infusionsvätska, dispersion.
Lätt ogenomskinlig till ogenomskinlig, färglös till gul eller brungulaktig dispersion.
Innan du fortsätter, inspektera sprutan noggrant med avseende på skräppartiklar. Kontakta företaget om det finns skräppartiklar.
Verifiera att volymen av CD8‑positiva/CD4‑positiva celler motsvarar volymen som specificerats för respektive celltyp i frisläppningscertifikatet för infusion (RfIC).
När volymen verifierats, vänd injektionsflaskan och sprutan till horisontalläge och dra ut sprutan/nålen från injektionsflaskan.
Fortsätt att hålla injektionsflaskan i horisontellt läge och lägg tillbaka den i kartongen för att undvika läckage från injektionsflaskan.
Kassera eventuell oanvänd dispersion av Breyanzi.
Tillgängligheten av Breyanzi måste bekräftas innan lymfocytreducerande kemoterapi påbörjas.
Patienterna ska på nytt utvärderas kliniskt före administrering av lymfocytreducerande kemoterapi och Breyanzi, för att säkerställa att det inte finns skäl till att senarelägga behandlingen (se avsnitt Varningar och försiktighet).
Förbehandling (lymfocytreducerande kemoterapi)
Lymfocytreducerande kemoterapi bestående av cyklofosfamid 300 mg/m2/dag och fludarabin 30 mg/m2/dag, administrerat intravenöst i tre dagar. För information om dosjustering vid nedsatt njurfunktion, se produktresumén för cyklofosfamid och fludarabin.
Breyanzi ska administreras 2 till 7 dagar efter avslutad lymfocytreducerande kemoterapi.
Om det blir en fördröjning på mer än 2 veckor mellan avslutad lymfocytreducerande kemoterapi och infusion av Breyanzi, ska patienten återbehandlas med lymfocytreducerande kemoterapi innan infusionen ges (se avsnitt Varningar och försiktighet).
Premedicinering
Det rekommenderas att premedicinering med paracetamol och difenhydramin (25‑50 mg intravenöst eller oralt), eller annan H1-antihistamin, administreras 30‑60 minuter före infusion av Breyanzi för att minska risken för en infusionsreaktion.
Profylaktisk användning av systemiska kortikosteroider bör undvikas, eftersom de kan störa aktiviteten av Breyanzi (se avsnitt Varningar och försiktighet).
Övervakning efter infusion
Under den första veckan efter infusion ska patienterna kontrolleras 2‑3 gånger avseende tecken och symtom på potentiellt CRS, neurologiska biverkningar och andra toxiciteter. Läkare bör överväga inläggning på sjukhus vid de första tecknen eller symtomen på CRS och/eller neurologiska biverkningar.
Efter den första veckan ska frekvensen av övervakningen bedömas av läkaren och den ska fortsätta i minst 2 veckor efter infusionen.
Patienterna ska instrueras att befinna sig i närheten av en kvalificerad klinik i minst 2 veckor efter infusionen.
Särskilda populationer
Patienter med infektion orsakad av humant immunbristvirus (hiv), hepatit B-virus (HBV) och hepatit C-virus (HCV)
Det finns ingen klinisk erfarenhet av patienter med aktiv infektion orsakad av hiv, HBV eller HCV.
Screening för hiv, aktiv HBV och aktiv HCV måste utföras innan celler samlas in för tillverkning. Leukaferesprodukt från patienter med aktiv hiv eller aktiv HCV kommer inte att accepteras för tillverkning av Breyanzi (se avsnitt Varningar och försiktighet).
Nedsatt njurfunktion
Det finns ingen klinisk erfarenhet av patienter med kraftigt nedsatt njurfunktion (kreatininclearance ≤ 30 ml/min).
Äldre
Ingen dosjustering krävs för patienter äldre än 65 år.
Pediatrisk population
Säkerhet och effekt för Breyanzi för barn och ungdomar yngre än 18 år har ännu inte fastställts.
Administreringssätt
Breyanzi är endast avsett för intravenös användning.
Beredning av Breyanzi
Innan injektionsflaskorna tinas måste det säkerställas att patientens identitet överensstämmer med de unika patientuppgifter som finns på transportbehållaren, ytterkartongen och frisläppningscertifikatet för infusion (RfIC). Även för det totala antalet injektionsflaskor som ska administreras måste patientspecifik information på frisläppningscertifikat för infusion (RfIC) säkerställas (se avsnitt Varningar och försiktighet). Företaget måste kontaktas omedelbart om det finns några skillnader mellan etikett och patientuppgifter.
Administrering
Använd INTE leukocytreducerande filter.
Se till att tocilizumab eller lämpliga alternativ, i de undantagsfall då tocilizumab inte är tillgängligt på grund av en bristsituation som är upptagen på Europeiska läkemedelsmyndighetens lista över restnoterade läkemedel, samt akututrustning finns tillgängligt före infusion och under återhämtningsperioden.
Bekräfta att patientens identitet stämmer med patientuppgifterna på sprutetiketten som tillhandahålls på respektive frisläppningscertifikat för infusion (RfIC).
När de två typerna av Breyanzi-celler har dragits upp i sprutorna, ska administrering ske så snart som möjligt. Den totala tiden från uttag från frysförvaring till administrering till patient ska inte överskrida 2 timmar.
För utförliga anvisningar om beredning, administrering, åtgärder som ska vidtas vid oavsiktlig exponering och kassering av Breyanzi, se avsnitt Hållbarhet, förvaring och hantering.
Vid fördröjd Breyanzi-infusion, se avsnitt Dosering.
Donation av blod, organ, vävnad och celler
Patienter som har behandlas med Breyanzi får inte donera blod, organ, vävnad eller celler för transplantation.
Lymfom i centrala nervsystemet (CNS)
Det finns ingen erfarenhet av användning av Breyanzi hos patienter med primärt CNS-lymfom. Det finns begränsad klinisk erfarenhet av användning av Breyanzi för sekundärt CNS-lymfom (se avsnitt Farmakodynamik).
Tidigare anti‑CD19-behandling
Det finns begränsad klinisk erfarenhet av Breyanzi hos patienter som tidigare fått anti‑CD19-behandling (se avsnitt Farmakodynamik). Det finns begränsade kliniska data för behandling med Breyanzi hos CD19-negativa patienter. Patienter som påvisats vara CD19-negativa genom immunhistokemi kan fortfarande uttrycka CD19. De potentiella riskerna och fördelarna med behandling med Breyanzi hos CD19-negativa patienter bör övervägas.
Cytokinfrisättningssyndrom
Cytokinfrisättningssyndrom (CRS), inkluderande dödliga eller livshotande reaktioner, kan inträffa efter infusion av Breyanzi. Hos patienter som fått en tidigare behandlingslinje för LBCL, var mediantid till debut 4 dagar (intervall: 1‑63 dagar, där CRS utan feber rapporterades för en patient vid det övre intervallvärdet). Hos patienter som fått två eller flera tidigare behandlingslinjer för LBCL var mediantid till debut 4 dagar (intervall: 1‑14 dagar). Hos patienter som fått Breyanzi för FL var mediantid till debut 6 dagar (intervall: 1–17 dagar). Hos patienter som fått Breyanzi för MCL var mediantid till debut 4 dagar (intervall: 1–10 dagar). Mindre än hälften av patienterna som behandlades med Breyanzi upplevde någon grad av CRS (se avsnitt Biverkningar).
I kliniska studier var hög tumörbörda före infusion med Breyanzi förknippad med en högre förekomst av CRS.
Tocilizumab och/eller kortikosteroider användes för att hantera CRS efter infusion med Breyanzi (se avsnitt Biverkningar).
Övervakning och hantering av CRS
CRS ska identifieras baserat på patientens kliniska symtombild. Patienterna ska utvärderas och behandlas för andra orsaker till feber, hypoxi och hypotoni.
Minst en dos av tocilizumab måste finnas tillgänglig på kliniken för varje patient före infusion med Breyanzi. Kliniken ska ha tillgång till ytterligare en dos av tocilizumab inom 8 timmar från varje föregående dos. I de undantagsfall då tocilizumab inte är tillgängligt, på grund av en bristsituation som är upptagen på Europeiska läkemedelsmyndighetens lista över restnoterade läkemedel, måste behandlingskliniken se till att lämpliga alternativa åtgärder istället för tocilizumab finns tillgängliga för att behandla CRS. Under den första veckan efter infusion med Breyanzi ska patienterna kontrolleras 2‑3 gånger på den kvalificerade kliniken avseende tecken och symtom på CRS. Efter den första veckan ska frekvensen av övervakningen bedömas av läkaren och den ska fortsätta i minst 2 veckor efter infusionen. Patienter och anhörigvårdare ska informeras om potentiellt sent debuterande CRS och instrueras att omedelbart uppsöka läkarvård om patienterna får tecken eller symtom på CRS.
Vid första tecken på CRS ska understödjande behandling, tocilizumab eller tocilizumab och kortikosteroider sättas in enligt anvisningar i tabell 1. Breyanzi fortsätter att expandera efter administrering av tocilizumab och kortikosteroider (se avsnitt Farmakokinetik).
Patienter som upplever CRS ska övervakas noga avseende hjärt- och organfunktion till dess att symtomen gått tillbaka. För svår och livshotande CRS ska övervakning på intensivvårdsnivå och understödjande behandling övervägas.
Utvärdering avseende hemofagocyterande lymfohistiocytos/makrofagaktiverande syndrom (HLH/MAS) ska övervägas hos patienter med svår CRS eller CRS som inte svarar på behandling. HLH/MAS ska behandlas enligt rådande riktlinjer.
Om samtidig neurologisk toxicitet misstänks vid CRS, administrera:
Kortikosteroider enligt den mer aggressiva interventionen baserad på grad av CRS och neurologisk toxicitetsgrad i tabell 1 och 2
Tocilizumab enligt grad av CRS i tabell 1
Antiepileptika enligt grad av neurologisk toxicitet i tabell 2.
Tabell 1: Vägledning om gradering och hantering av CRS
Neurologiska biverkningar
Neurologiska toxiciteter, inklusive immuneffektorcell‑associerat neurotoxicitetssyndrom (ICANS), som kan vara dödliga eller livshotande, inträffade efter behandling med Breyanzi, både samtidigt med CRS, efter att CRS gått tillbaka och vid frånvaro av CRS. Hos patienter som fått en tidigare behandlingslinje för LBCL var mediantid till debut av den första händelsen 8 dagar (intervall: 1‑63 dagar) och för patienter som fått två eller flera tidigare behandlingslinjer 9 dagar (intervall: 1‑66 dagar). För patienter som fått Breyanzi för FL var mediantid till debut av den första händelsen 8 dagar (intervall: 4–16 dagar), och för patienter som fått Breyanzi för MCL var mediantid till debut av den första händelsen 8 dagar (intervall: 1–25 dagar). De vanligast förekommande neurologiska symtomen inkluderade encefalopati, tremor, afasi, delirium, yrsel och huvudvärk (se avsnitt Biverkningar).
Övervakning och hantering av neurologiska toxiciteter
Patienter ska kontrolleras 2‑3 gånger under den första veckan efter infusion, på den kvalificerade kliniken avseende tecken och symtom på neurologiska toxiciteter. Efter den första veckan ska frekvensen av övervakningen bedömas av läkaren och den ska fortsätta i minst 2 veckor efter infusionen. Patienter och anhörigvårdare ska informeras om potentiellt sent debuterande neurologiska toxiciteter och instrueras att omedelbart uppsöka läkarvård om patienterna får tecken eller symtom på neurologiska toxiciteter.
Om neurologisk toxicitet misstänks ska den hanteras enligt rekommendationerna i tabell 2. Andra orsaker till neurologiska symtom ska uteslutas, inklusive vaskulära händelser. Understödjande intensivvårdsbehandling ska ges för svåra eller livshotande neurologiska toxiciteter.
Om samtidig CRS misstänks vid neurologisk toxicitet, administrera:
Kortikosteroider enligt den mer aggressiva interventionen baserad på grad av CRS och neurologisk toxicitetsgrad i tabell 1 och 2
Tocilizumab enligt grad av CRS i tabell 1
Antiepileptika enligt grad av neurologisk toxicitet i tabell 2.
Tabell 2: Vägledning om gradering och hantering av neurologisk toxicitet inklusive ICANS
Infektioner och febril neutropeni
Breyanzi ska inte administreras till patienter med en kliniskt signifikant aktiv infektion eller inflammatorisk sjukdom. Svåra infektioner, inklusive livshotande eller dödliga infektioner, har inträffat hos patienter efter att de fått detta läkemedel (se avsnitt Biverkningar). Patienterna ska övervakas avseende tecken och symtom på infektioner före och efter administrering och behandlas på lämpligt sätt. Profylaktiska antimikrobiella läkemedel bör administreras enligt rådande riktlinjer.
Febril neutropeni har observerats hos patienter efter behandling med Breyanzi (se avsnitt Biverkningar) och kan förekomma samtidigt med CRS. I händelse av febril neutropeni bör infektion utvärderas och hanteras med bredspektrumantibiotika, vätskor och annan understödjande vård såsom medicinskt indicerat.
Patienter som behandlas med Breyanzi kan löpa en ökad risk för allvarliga/dödliga covid-19-infektioner. Patienter bör informeras om vikten av förebyggande åtgärder.
Viral reaktivering
Viral reaktivering (t.ex. HBV, humant herpesvirus 6 [HHV‑6] och John Cunningham‑virus [JC‑virus]) kan inträffa hos immunsupprimerade patienter.
Manifestationer av viral reaktivering kan komplicera och försena diagnosen och lämplig behandling av CAR-T‑cellsrelaterade biverkningar. Lämpliga diagnostiska undersökningar bör utföras för att underlätta differentiering av dessa manifestationer från CAR-T‑cellsrelaterade biverkningar.
HBV-reaktivering, i vissa fall resulterande i fulminant hepatit, leversvikt och död, kan inträffa hos patienter som behandlas med läkemedel riktade mot B-celler. För patienter med HBV i anamnesen rekommenderas profylaktisk antiviral suppressiv behandling för att förebygga HBV-reaktivering under och efter behandling med Breyanzi (se avsnitt Farmakodynamik).
Reaktivering av JC‑virus, som leder till progressiv multifokal leukoencefalopati (PML), har rapporterats hos patienter behandlade med Breyanzi som också fått tidigare behandling med andra immunsuppressiva läkemedel. Fall med dödlig utgång har rapporterats.
Serologisk testning
Screening för HBV, HCV och hiv ska utföras innan celler samlas in för tillverkning (se avsnitt Dosering).
Långvariga cytopenier
Patienter kan uppvisa cytopenier i flera veckor efter lymfocytreducerande kemoterapi och Breyanzi (se avsnitt Biverkningar). Blodvärden ska övervakas före och efter administrering av Breyanzi. Långvariga cytopenier ska hanteras enligt kliniska riktlinjer.
Hypogammaglobulinemi
B-cellsaplasi, som leder till hypogammaglobulinemi, kan förkomma hos patienter som får behandling med Breyanzi. Hypogammaglobulinemi har observerats mycket ofta hos patienter som behandlats med Breyanzi (se avsnitt Biverkningar). Immunglobulinnivåer ska övervakas efter behandling och hanteras enligt kliniska riktlinjer, vilka inkluderar försiktighetsåtgärder för infektion, antibiotikaprofylax och/eller immunglobulinersättning.
Sekundära maligniteter, inklusive av T-cellsursprung
Patienter som behandlas med Breyanzi kan utveckla sekundära maligniteter. T-cellsmaligniteter har rapporterats efter behandling av hematologiska maligniteter med BCMA- eller CD19-styrd CAR-T-cellterapi, inklusive Breyanzi. T-cellsmaligniteter, inklusive CAR-positiva maligniteter, har rapporterats inom veckor och upp till flera år efter administrering av CD19- eller BCMA-styrd CAR-T-cellterapi. Det har förekommit dödlig utgång. Patienterna ska övervakas under resten av livet avseende sekundära maligniteter. Om en sekundär malignitet med ursprung från T-celler skulle uppstå, ska företaget kontaktas för att få anvisningar om insamling av tumörprover för testning.
Tumörlyssyndrom (TLS)
Tumörlyssyndrom kan inträffa hos patienter som behandlas med CAR-T-terapier. För att minimera risken för TLS ska patienter med förhöjd urinsyra eller hög tumörbörda få allopurinol eller en annan profylax före infusion med Breyanzi. Tecken och symtom på TLS ska övervakas och hanteras i enlighet med kliniska riktlinjer.
Överkänslighetsreaktioner
Allergiska reaktioner kan inträffa i samband med infusionen av Breyanzi. Allvarliga överkänslighetsreaktioner, inklusive anafylaxi, kan bero på dimetylsulfoxid i Breyanzi.
Överföring av ett smittämne
Även om Breyanzi har testats avseende sterilitet och mykoplasma, finns det en risk för överföring av smittämnen. Hälso- och sjukvårdspersonal som administrerar Breyanzi måste därför övervaka patienterna avseende tecken och symtom på infektioner efter behandling och vid behov behandla dem på lämpligt sätt.
Interferens med virologiska tester
På grund av att begränsade och korta sekvenser av genetisk information är identiska mellan den lentivirala vektor som används för att skapa Breyanzi och hiv, så kan vissa nukleinsyratester (NAT) för hiv ge ett falskt positivt resultat.
Tidigare stamcellstransplantation (GVHD)
Behandling med Breyanzi rekommenderas inte till patienter som har genomgått en allogen stamcellstransplantation och som lider av aktiv akut eller kronisk GVHD, på grund av den potentiella risken för förvärrad GVHD.
Långtidsuppföljning
Patienter förväntas delta i en registerstudie för bättre förståelse av den långsiktiga säkerheten och effekten av Breyanzi.
Hjälpämnen
Detta läkemedel innehåller 12,5 mg natrium per injektionsflaska, motsvarande 0,6 % av WHOs högsta rekommenderat dagligt intag (2 gram natrium för vuxna).
Detta läkemedel innehåller 0,2 mmol (eller 6,5 mg) kalium per injektionsflaska. Detta bör beaktas av patienter med nedsatt njurfunktion eller patienter som ordinerats kaliumfattig kost.
Utvärdering av immunglobulinnivåer och B-celler hos nyfödda till behandlade mödrar ska övervägas.
De vanligaste biverkningarna av alla grader var neutropeni (68 %), anemi (45 %), CRS (38 %), trötthet (37 %) och trombocytopeni (36 %).
De vanligaste allvarliga biverkningarna var CRS (18 %), infektion med en ospecificerad patogen (6 %), pyrexi (4 %), encefalopati (4 %), febril neutropeni (4 %), neutropeni (3 %), trombocytopeni (3 %), afasi (3 %), bakteriella infektionssjukdomar (3 %), tremor (3 %), förvirringstillstånd (3 %), anemi (2 %) och hypotoni (2 %).
De vanligaste biverkningarna av grad 3 eller högre inkluderade neutropeni (64 %), anemi (34 %), trombocytopeni (29 %), leukopeni (25 %), lymfopeni (9 %), infektion med en ospecificerad patogen (8 %) och febril neutropeni (8 %).
FL
Biverkningarna som beskrivs i detta avsnitt karakteriserades hos 130 patienter som infunderades med Breyanzi för studien TRANSCEND‑FL (FOL‑001).
De vanligaste biverkningarna av alla grader var neutropeni (68 %), CRS (58 %), anemi (40 %), huvudvärk (29 %), trombocytopeni (29 %) och förstoppning (21 %).
De vanligaste allvarliga biverkningarna var CRS (9 %), afasi (4 %), febril neutropeni (3 %), pyrexi (2 %) och tremor (2 %).
De vanligaste biverkningarna av grad 3 eller högre inkluderade neutropeni (61 %), leukopeni (12 %), lymfopeni (12 %), trombocytopeni (12 %) och anemi (10 %).
MCL
Biverkningarna som beskrivs i detta avsnitt karakteriserades hos 88 patienter som infunderades med Breyanzi för studien TRANSCEND:s MCL‑kohort [017001].
De vanligaste biverkningarna av alla grader var CRS (61 %), neutropeni (59 %), anemi (44 %), trötthet (35 %), trombocytopeni (30 %) och huvudvärk (23 %).
De vanligaste allvarliga biverkningarna var CRS (24 %), förvirringstillstånd (6 %), pyrexi (3 %), förändringar i mental status (2 %), encefalopati (2 %), övre luftvägsinfektion (2 %) och pleurautgjutning (2 %).
De vanligaste biverkningarna av grad 3 eller högre inkluderade neutropeni (56 %), anemi (38 %), trombocytopeni (25 %), hypofosfatemi (9 %) och leukopeni (7 %).
Tabell över biverkningar
Frekvenserna av biverkningarna baseras på sammanslagna data från 7 studier (TRANSCEND [017001], inklusive LBCL- och MCL‑kohorterna, TRANSCEND WORLD [JCAR017‑BCM-001, kohort 1, 2, 3 och 7], PLATFORM [JCAR017‑BCM‑002], OUTREACH [017007], TRANSFORM [BCM-003], PILOT [017006] och TRANSCEND‑FL [JCAR017-FOL-001]), på 779 vuxna patienter och från rapporter efter godkännande för försäljning som hade fått en dos med lisokabtagen-maraleucel. Frekvenserna av biverkningarna från kliniska studier baseras på frekvensen av biverkningar av alla orsaker, där en viss andel av händelserna kan ha andra orsaker.
Rapporterade biverkningar presenteras nedan. Dessa biverkningar presenteras enligt MedDRA systemorganklass och efter frekvens. Frekvenserna definieras som mycket vanliga (≥ 1/10), vanliga (≥ 1/100, < 1/10), mindre vanliga (≥ 1/1 000, < 1/100) och ingen känd frekvens (kan inte beräknas från tillgängliga data). Inom varje frekvensgrupp presenteras biverkningarna efter fallande allvarlighetsgrad.
Tabell 3: Biverkningar som identifierats med Breyanzi
Beskrivning av utvalda biverkningar
Cytokinfrisättningssyndrom
För patienter som fått en tidigare behandlingslinje för LBCL inträffade cytokinfrisättningssyndrom (CRS) hos 45 % av patienterna, av vilka 1 % upplevde CRS av grad 3. Mediantid till debut var 4 dagar (intervall: 1‑63 dagar, där CRS utan feber rapporterades för en patient vid det övre intervallvärdet) och varaktigheten av CRS var i median 4 dagar (intervall: 1‑16 dagar).
De vanligaste manifestationerna av CRS inkluderade pyrexi (44 %), hypotoni (12 %), frossa (5 %), hypoxi (5 %), takykardi (4 %), huvudvärk (3 %) och trötthet (2 %).
I kliniska LBCL‑studier fick 42 av 177 patienter (24 %) tocilizumab och/eller en kortikosteroid för CRS efter infusion av Breyanzi. 18 patienter (10 %) fick enbart tocilizumab, 24 patienter (14 %) fick tocilizumab och en kortikosteroid och inga patienter fick enbart kortikosteroider.
För patienter som fått två eller flera tidigare behandlingslinjer för LBCL inträffade CRS hos 38 % av patienterna, av vilka 2 % upplevde CRS av grad 3 eller 4 (svår eller livshotande). Fyra av de patienter som dog efter att ha fått Breyanzi hade pågående CRS vid tiden för dödsfallet. Mediantid till debut var 4 dagar (intervall: 1‑14 dagar) och varaktigheten var i median 5 dagar (intervall: 1‑17 dagar).
De vanligaste manifestationerna av CRS inkluderade pyrexi (38 %), hypotoni (18 %), takykardi (13 %), frossa (9 %) och hypoxi (8 %).
I kliniska LBCL‑studier fick 74 av 384 patienter (19 %) tocilizumab och/eller en kortikosteroid för CRS efter infusion av Breyanzi. 37 patienter (10 %) fick enbart tocilizumab, 29 patienter (8 %) fick tocilizumab och en kortikosteroid och 8 patienter (2 %) fick enbart kortikosteroider.
För patienter som fått Breyanzi för FL inträffade cytokinfrisättningssyndrom (CRS) hos 58 % av patienterna, av vilka 0,8 % upplevde CRS av grad 3. Mediantid till debut var 6 dagar (intervall: 1–17 dagar) och varaktigheten av CRS var i median 3 dagar (intervall: 1–10 dagar).
De vanligaste manifestationerna av CRS inkluderade pyrexi (57 %), hypotoni (14 %), frossa (4 %) hypoxi (2 %) och takykardi (0,8 %).
I den kliniska FL-studien fick 33 av 130 patienter (25 %) tocilizumab och/eller en kortikosteroid för CRS efter infusion av Breyanzi, 18 patienter (14 %) fick enbart tocilizumab, 15 patienter (12 %) fick tocilizumab och en kortikosteroid och inga patienter fick enbart kortikosteroider. Se avsnitt Varningar och försiktighet för riktlinjer gällande övervakning och hantering.
För patienter som fått Breyanzi för MCL inträffade CRS hos 61 % av patienterna, av vilka 1 % fick CRS av grad 3 eller 4. Mediantid till debut var 4 dagar (intervall: 1–10 dagar) och varaktigheten av CRS var i median 4 dagar (intervall: 1–14 dagar).
De vanligaste manifestationerna av CRS inkluderade pyrexi (60 %), hypotoni (22 %), hypoxi (11 %), takykardi (10 %), frossa (8 %), huvudvärk (8 %), illamående (3 %) och dyspné (2 %).
I TRANSCEND‑MCL‑kohorten fick 24 av 88 patienter (27 %) tocilizumab och/eller en kortikosteroid för CRS efter infusion av Breyanzi. 15 patienter (17 %) fick enbart tocilizumab, 8 patienter (9 %) fick tocilizumab och en kortikosteroid och 1 patient (1 %) fick enbart kortikosteroider.
Se avsnitt Varningar och försiktighet för riktlinjer gällande övervakning och hantering.
Neurologiska biverkningar
För patienter som fått en tidigare behandlingslinje för LBCL inträffade CAR-T‑cellsassocierad neurologisk toxicitet enligt prövarens bedömning hos 18 % av patienterna som fick Breyanzi, inklusive grad 3 hos 5 % av patienterna. Mediantid till debut av den första händelsen var 8 dagar (intervall: 1‑63 dagar); 84 % av all neurologisk toxicitet inträffade inom 2 veckor efter infusion med Breyanzi. Varaktigheten av neurologisk toxicitet var i median 6 dagar (intervall: 1‑89 dagar).
De vanligaste neurologiska toxiciteterna inkluderade encefalopati (10 %), tremor (8 %), afasi (5 %), yrsel (2 %) och huvudvärk (1 %).
För patienter som fått två eller flera tidigare behandlingslinjer för LBCL inträffade CAR-T‑cellsassocierad neurologisk toxicitet enligt prövarens bedömning hos 26 % av patienterna som fick Breyanzi, inklusive grad 3 eller 4 hos 10 % av patienterna. Mediantid till debut av den första händelsen var 9 dagar (intervall: 1‑66 dagar); 83 % av all neurologisk toxicitet inträffade inom 2 veckor efter infusion med Breyanzi. Varaktigheten av neurologisk toxicitet var i median 10 dagar (intervall: 1‑84 dagar).
De vanligaste neurologiska toxiciteterna inkluderade encefalopati (18 %), tremor (9 %), afasi (8 %), delirium (7 %), huvudvärk (4 %), ataxi (3 %) och yrsel (3 %). Krampanfall (2 %) och cerebralt ödem (0,3 %) har också inträffat hos patienter som behandlats med Breyanzi.
För patienter som fått Breyanzi för FL inträffade CAR‑T‑cellsassocierad neurologisk toxicitet enligt prövarens bedömning hos 16 % av patienterna som fick Breyanzi, inklusive grad 3 hos 3 % av patienterna. Mediantid till debut av den första händelsen var 8 dagar (intervall: 4–16 dagar); 95 % av all neurologisk toxicitet inträffade inom 2 veckor efter infusion med Breyanzi. Varaktigheten av neurologisk toxicitet var i median 3 dagar (intervall: 1–17 dagar).
De vanligaste neurologiska toxiciteterna inkluderade tremor (8 %), afasi (8 %), encefalopati (5 %), delirium (4 %) och huvudvärk (2 %). Se avsnitt Varningar och försiktighet för riktlinjer gällande övervakning och hantering av neurologiska toxiciteter.
För patienter som fått Breyanzi för MCL inträffade CAR‑T‑cellsassocierad neurologisk toxicitet enligt prövarens bedömning hos 31 % av patienterna som fick Breyanzi, inklusive grad 3 eller 4 hos 9 % av patienterna. Mediantid till debut av den första händelsen var 8 dagar (intervall: 1–25 dagar); 100 % av all neurologisk toxicitet inträffade inom de första 8 veckorna efter infusion med Breyanzi. Varaktigheten av neurologisk toxicitet var i median 5 dagar (intervall: 1–45 dagar).
De vanligaste neurologiska toxiciteterna inkluderade encefalopati (26 %), tremor (7 %), delirium (6 %), afasi (6 %), huvudvärk (5 %) och yrsel (3 %). Krampanfall (1 %) har inträffat hos patienter som behandlats med Breyanzi.
Se avsnitt Varningar och försiktighet för riktlinjer gällande övervakning och hantering av neurologiska toxiciteter.
Det har förekommit rapporter om dödliga ICANS‑händelser efter godkännande för försäljning.
Febril neutropeni och infektioner
Febril neutropeni har observerats hos 7 % och 9 % av patienterna som fick Breyanzi för LBCL efter en tidigare behandlingslinje respektive två eller flera tidigare behandlingslinjer, hos 5 % av patienterna som fick Breyanzi för FL och hos 6 % av patienterna efter att ha fått Breyanzi för MCL.
För patienter som fått en tidigare behandlingslinje för LBCL inträffade infektioner (av alla grader) hos 25 % av patienterna. Infektioner av grad 3 eller högre inträffade hos 10 % av patienterna av vilka 3 % orsakades av ospecificerad patogen, 5 % av bakterie, 2 % av virus och 0 % av svamp.
För patienter som fått två eller flera tidigare behandlingslinjer för LBCL inträffade infektioner (av alla grader) hos 38 % av patienterna. Infektioner av grad 3 eller högre inträffade hos 12 % av patienterna av vilka 8 % orsakades av ospecificerad patogen, 4 % av bakterie och 1 % av virus respektive svamp.
För patienter som fick Breyanzi för FL inträffade infektioner (av alla grader) hos 20 % av patienterna. Grad 3 inträffade hos 5 % av patienterna. Infektioner av grad 3 eller högre som orsakades av en ospecificerad patogen inträffade hos 4 % av patienterna, bakterieinfektioner inträffade hos 2 % av patienterna och virus- och svampinfektioner inträffade hos 1 % respektive ingen av patienterna.
För patienter som fick Breyanzi för MCL inträffade infektioner (av alla grader) hos 35 % av patienterna. Grad 3 eller högre inträffade hos 15 % av patienterna. Infektioner av grad 3 eller högre som orsakades av en ospecificerad patogen inträffade hos 6 % av patienterna, bakterieinfektioner inträffade hos 5 % av patienterna och virus- och svampinfektioner inträffade hos 5 % respektive 1 % av patienterna.
Opportunistiska infektioner (av alla grader) observerades hos 2 % av de 177 patienter som behandlades med Breyanzi efter en tidigare behandlinglinje för LBCL och opportunistiska infektioner av grad 3 eller högre inträffade hos 0,6 % av patienterna. Opportunistiska infektioner (av alla grader) observerades hos 3 % av de 384 patienter som behandlades med Breyanzi efter två eller flera tidigare behandlingslinjer för LBCL och opportunistiska infektioner av grad 3 eller högre inträffade hos 1 % av patienterna. Opportunistiska infektioner (av alla grader) observerades hos 0,8 % av de 130 patienter som behandlades med Breyanzi för FL. Inga opportunistiska infektioner av grad 3 eller högre observerades. Opportunistiska infektioner (av alla grader) observerades hos 1 % av de 88 patienter som behandlades med Breyanzi för MCL. Samtliga var av grad 3 eller högre.
Två dödliga infektioner rapporterades från de 177 patienter som behandlades med Breyanzi efter en tidigare behandlinglinje för LBCL. Fyra dödliga infektioner rapporterades från de 384 patienter som behandlades med Breyanzi efter två eller flera tidigare behandlingslinjer för LBCL i sammanslagna LBCL-studier. Av dessa rapporterades 1 som dödlig opportunistisk infektion. Inga dödliga infektioner rapporterades hos de 130 patienter som behandlades med Breyanzi för FL. Två dödliga infektioner rapporterades hos de 88 patienter som behandlades med Breyanzi för MCL.
Se avsnitt Varningar och försiktighet för riktlinjer gällande övervakning och hantering.
Långvariga cytopenier
För patienter som fått en tidigare behandlingslinje för LBCL, förekom cytopenier av grad 3 eller högre hos 35 % av patienterna vid dag 35 efter administrering av Breyanzi och inkluderade trombocytopeni (28 %), neutropeni (26 %) och anemi (9 %).
Av de totalt 177 patienter som behandlades i TRANSFORM, PILOT och TRANSCEND WORLD (kohort 2) och som vid dag 35 respektive dag 29 hade laboratorieresultat som visade på trombocytopeni av grad 3‑4 (n=50), neutropeni av grad 3‑4 (n=46) eller anemi av grad 3‑4 (n=15), och för vilka laboratorieresultat för uppföljning av cytopeni var tillgängliga, var mediantid (min, max) till återhämtning (cytopeni-återhämtning till grad 2 eller lägre) följande: trombocytopeni 32 dagar (4, 309); neutropeni 32 dagar (8, 339) och anemi 22 dagar (4, 64).
För patienter som fått två eller flera tidigare behandlingslinjer för LBCL förekom cytopenier av grad 3 eller högre vid dag 29 efter administrering av Breyanzi, hos 38 % av patienterna och inkluderade trombocytopeni (31 %), neutropeni (21 %) och anemi (7 %).
Av de totalt 384 patienter som behandlades i TRANSCEND och TRANSCEND WORLD (kohort 1, 3 och 7), PLATFORM och OUTREACH och som vid dag 29 hade laboratorieresultat som visade på trombocytopeni av grad 3‑4 (n=117), neutropeni av grad 3‑4 (n=80) eller anemi av grad 3‑4 (n=27), och för vilka laboratorieresultat för uppföljning av cytopeni var tillgängliga, var mediantid (min, max) till återhämtning (cytopeni återhämtning till grad 2 eller lägre) följande: trombocytopeni 30 dagar (2, 329); neutropeni 29 dagar (3, 337) och anemi 15 dagar (3, 78).
För patienter som fått Breyanzi för FL, förekom cytopenier av grad 3 eller högre vid dag 29 efter administrering av Breyanzi, hos 22 % av patienterna och inkluderade trombocytopeni (15 %), neutropeni (15 %) och anemi (5 %). Se avsnitt Varningar och försiktighet för riktlinjer gällande övervakning och hantering.
Av de totalt 130 patienter som behandlades i TRANSCEND‑FL och som vid dag 29 hade laboratorieresultat som visade på trombocytopeni av grad 3‑4 (n = 19), neutropeni av grad 3‑4 (n = 20) eller anemi av grad 3‑4 (n = 6), och för vilka laboratorieresultat för uppföljning av cytopeni var tillgängliga, var mediantid (min, max) till återhämtning (cytopeni-återhämtning till grad 2 eller lägre) följande: trombocytopeni 36 dagar (16, 694); neutropeni 30 dagar (5, 110) och anemi 36 dagar (8, 64).
För patienter som fått Breyanzi för MCL, förekom cytopenier av grad 3 eller högre vid dag 29 efter administrering av Breyanzi, hos 40 % av patienterna och inkluderade trombocytopeni (32 %), neutropeni (24 %) och anemi (5 %).
Av de totalt 88 patienter som behandlades i TRANSCEND‑MCL‑kohorten och som vid dag 29 hade laboratorieresultat som visade på trombocytopeni av grad 3‑4 (n = 28), neutropeni av grad 3‑4 (n = 21) eller anemi av grad 3‑4 (n = 4), och för vilka laboratorieresultat för uppföljning av cytopeni var tillgängliga, var mediantid (min, max) till återhämtning (cytopeniåterhämtning till grad 2 eller lägre) följande: trombocytopeni 30 dagar (5, 302); neutropeni 30 dagar (8, 275) och anemi 18 dagar (9, 32).
Se avsnitt Varningar och försiktighet för riktlinjer gällande övervakning och hantering.
Hypogammaglobulinemi
För patienter som fått en tidigare behandlingslinje för LBCL förekom hypogammaglobulinemi hos 7 % av patienterna. För patienter som fått två eller flera tidigare behandlingslinjer för LBCL förekom hypogammaglobulinemi hos 11 % av patienterna. För patienter som fått Breyanzi för FL förekom hypogammaglobulinemi hos 2 % av patienterna. För patienter som fått Breyanzi för MCL förekom hypogammaglobulinemi hos 7 % av patienterna. Se avsnitt Varningar och försiktighet för riktlinjer gällande övervakning och hantering.
Immunogenicitet
Breyanzi har potential att inducera antikroppar mot detta läkemedel. Humoral immunogenicitet av Breyanzi mättes genom att bestämning av anti‑CAR‑antikroppar före och efter administrering. Hos patienter som fått en tidigare behandlingslinje för LBCL (TRANSFORM, PILOT och TRANSCEND WORLD, kohort 2), detekterades redan existerande antiterapeutiska antikroppar (ATA) hos 0,6 % (1/172) av patienterna och behandlingsinducerade ATA detekterades hos 19 % (32/172) av patienterna. I de sammanslagna studierna för patienter som fått två eller flera tidigare behandlingslinjer för LBCL (TRANSCEND och TRANSCEND WORLD, kohort 1 och 3) detekterades tidigare existerande ATA hos 9 % (29/309) av patienterna, och behandlingsinducerade eller behandlingsförstärkta ATA detekterades hos 16 % (48/304) av patienterna. Hos patienter som fått Breyanzi för FL (TRANSCEND‑FL), detekterades redan existerande ATA hos 1,6 % (2/124) av patienterna och behandlingsinducerade eller behandlingsförstärkta ATA detekterades hos 26,8 % (33/123) av patienterna. Hos patienter som fått Breyanzi för MCL (TRANSCEND‑MCL‑kohorten), detekterades redan existerande ATA hos 13 % (11/88) av patienterna och behandlingsinducerade eller behandlingsförstärkta ATA detekterades hos 20 % (17/86) av patienterna. Förhållandet mellan ATA-status och effekt, säkerhet eller farmakokinetik var inte entydigt på grund av det begränsade antalet patienter med ATA på studienivå.
Rapportering av misstänkta biverkningar
Inklusions- och exklusionskriterier valdes för att säkerställa adekvat organfunktion och blodvärden för HSCT. Studien exkluderade patienter med kreatininclearance mindre än 45 ml/min, alaninaminotransferas (ALAT) > 5 gånger det övre normala gränsvärdet (ULN) och en ejektionsfraktion (LVEF) < 40 % samt absolut antal neutrofiler (ANC) < 1,0 × 109 celler/l och blodplättar < 50 × 109 celler/l i frånvaro av benmärgspåverkan.
Patienterna randomiserades 1:1 till att få antingen Breyanzi eller standardbehandling. Randomisering stratifierades utifrån svar på första linjens behandling och sekundärt utifrån åldersjusterat Internationellt Prognostiskt Index (aaIPI) (0‑1 mot 2‑3). Patienter som randomiserades till Breyanzi fick lymfocytreducerande kemoterapi bestående av samtidig behandling med fludarabin 30 mg/m2/dag och cyklofosfamid 300 mg/m2/dag i 3 dagar följt av Breyanzi-infusion 2‑7 dagar efter avslutad lymfocytreducerande kemoterapi.
I Breyanzi-gruppen var överbryggande kemoterapi tillåten mellan aferes och starten av lymfocytreducerande kemoterapi i form av 1 cykel immunokemoterapi (dvs. rituximab, dexametason, cytarabin och cisplatin [R‑DHAP], rituximab, ifosfamid, karboplatin och etoposid [R‑ICE], eller rituximab, gemcitabin, dexametason och cisplatin [R‑GDP]). Alla patienter som randomiserades till standardbehandling fick 3 cykler av immunokemoterapi som salvage‑behandling (dvs. R‑DHAP, R‑ICE eller R‑GDP). Patienter som svarade (komplett eller partiell respons) efter 3 cykler fortsatte därefter med HDCT och autolog HSCT. Patienter på standardbehandling som inte uppnådde komplett eller partiell respons efter 3 cykler av salvage-behandling med immunokemoterapi, som fick sjukdomsprogression under behandlingen eller behövde annan behandling på grund av utebliven effekt, fick möjlighet till behandling med Breyanzi.
Av de 92 patienter som randomiserades till Breyanzi fick 58 patienter (63 %) cancerbehandling för sjukdomskontroll (överbryggande behandling), 89 patienter (97 %) fick Breyanzi och en patient (1 %) fick behandling med icke-konform produkt. Två patienter erhöll inte Breyanzi, en patient (1 %) på grund av tillverkningsfel och en patient (1 %) på grund av tillbakadraget samtycke före behandling. Mediandosen av Breyanzi var 99,9 × 106 CAR‑positiva viabla T‑celler (intervall: 97‑103 × 106 CAR‑positiva viabla T‑celler).
Av de 92 patienter som randomiserades till standardbehandling påbörjade 91 patienter (99 %) behandling. En patient (1 %) drog tillbaka samtycket innan behandlingen påbörjades, 43 patienter (47 %) fullföljde immunokemoterapi, HDCT- och HSCT-behandling och 58 patienter (63 %) fick Breyanzi efter att ha sviktat på standardbehandling.
Effektanalyserna baserades på ITT‑populationen (n=184), som definierades som alla patienter som randomiserades till en behandling.
Mediantid från leukaferes tills färdig produkt fanns tillgänglig var 26 dagar (intervall: 19‑84 dagar), och mediantid från leukaferes till infusion var 36 dagar (intervall: 25‑91 dagar).
Tabell 4 sammanfattar patient- och sjukdomskarakteristika vid baslinjen i studien TRANSFORM.
Tabell 4: Demografi och sjukdomsrelaterad karakteristika vid baslinjen i TRANSFORM (Intention-To-Treat [ITT]-populationen)
Studien visade statistiskt signifikanta förbättringar i det primära effektmåttet, händelsefri överlevnad, och i de viktigaste sekundära effektmåtten, komplett respons (CR) och progressionsfri överlevnad, för patienter randomiserade till Breyanzi jämfört med standardbehandling. Effekten händelsefri överlevnad, fastställdes av en oberoende granskningskommitté utifrån 2014 års Lugano-kriterier. Händelsefri överlevnad definierades som tiden från randomisering till: död av någon orsak; progressiv sjukdom; ej uppnådd komplett respons eller partiell respons 9 veckor efter randomisering (efter 3 cykler av salvage-behandling med immunokemoterapi och 5 veckor efter Breyanzi-infusion); start av ny antineoplastisk behandling på grund av sviktande effekt, beroende på vilket som inträffar först. Vid en förspecificerad interimanalys när 80 % av datan förelåg med en uppföljningstid på 6,2 månader i median (intervall 0,9 till 20 månader) visade Breyanzi en statistiskt signifikant förbättring av händelsefri överlevnad jämfört med standardbehandling (riskkvot: 0,349 [95 % KI: 0,229, 0,530], ensidigt p‑värde < 0,0001). P-värdet jämfördes med 0,012 av tilldelad alfa för den förspecificerade interimsanalysen.
Breyanzi visade en förbättring jämfört med standardbehandling vid DLBCL (n=60, riskkvot: 0,357 [95 % KI: 0,204, 0,625]) och HGBCL (n=22, riskkvot: 0,413 [95 % KI: 0,189, 0,904]).
Resultaten för den slutliga analysen (tabell 5 och figur 1) med uppföljningstid på 33,86 månader i median (intervall: 0,9‑53,0 månader) överensstämde med både interimanalysen och den primära analysen.
Tabell 5: TRANSFORM-studien: Responsfrekvens, händelsefri överlevnad, progressionsfri överlevnad och totalöverlevnad hos patienter med recidiverande eller refraktärt LBCL (ITT‑populationen)
NR = ej uppnådd (not reached); KI = konfidensintervall.
a Kriterier enligt Lugano 2014, utvärderat av en oberoende granskningskommitté.
b Kaplan‑Meier-uppskattning.
c Baserat på en stratifierad Cox‑proportionell riskmodell.
d Greenwoods formel
Av de 92 patienterna i Breyanzi-gruppen svarade 80 patienter (komplett respons 68 patienter; partiell respons 12 patienter), dvs. total respons var 87 %.
Figur 1: Kaplan‑Meier-kurva för händelsefri överlevnad baserat på IRC-bedömning (ITT-populationen)
Riskkvot (stratifierad)
TRANSCEND‑LBCL‑kohorten
Effekt och säkerhet för Breyanzi utvärderades i en öppen, enarmad multicenterstudie, TRANSCEND (017001) på patienter med recidiverande eller refraktär (R/R) aggressivt B-cells non-Hodgkins lymfom (NHL). Inkluderbara patienter var ≥ 18 år med R/R DLBCL (not otherwise specified, NOS), enligt WHOs klassificering 2008, inklusive DLBCL som härrörde från indolent lymfom (transformerat follikulärt lymfom, marginalzonslymfom, kronisk lymfatisk leukemi/småcelligt lymfocytärt lymfom, Waldenströms makroglobulinemi eller annat), och höggradigt B-cellslymfom; primärt mediastinalt storcelligt B-cellslymfom (PMBCL) och follikulärt lymfom av grad 3B (FL3B), som hade fått minst två behandlingslinjer eller efter autolog hematopoetisk stamcellstransplantation. Patienter med andra subtyper av DLBCL har inte inkluderats i studien och nytta-risk har inte fastställts. Studien inkluderade patienter med funktionsstatus ≤ 2 enligt ECOG, tidigare autolog och/eller allogen hematopoetisk stamcellstransplantation (HSCT), och involvering av sekundärt CNS-lymfom. Patienter som tidigare hade fått anti‑CD19-behandling var inkluderbara under förutsättning att det, med en tumörbiopsi vid någon tidpunkt efter anti‑CD19-behandling, bekräftats att de var CD19‑positiva. Studien exkluderade patienter med kreatininclearance mindre än 30 ml/min, alaninaminotransferas > 5 gånger den övre gränsen för normalvärdet eller vänster ventrikulär ejektionsfraktion < 40 %.
Det fanns inget minimikrav för blodvärden. Patienter kunde inkluderas om de enligt prövarens bedömning hade tillräcklig benmärgsfunktion för att kunna få lymfocytreducerande kemoterapi. Se tabell 6 för demografi vid baslinjen och sjukdomsrelaterade karakteristika.
Behandlingen bestod av lymfocytreducerande kemoterapi, fludarabin 30 mg/m2/dag och cyklofosfamid 300 mg/m2/dag i 3 dagar, följt av Breyanzi 2 till 7 dagar senare.
Cancerbehandling för sjukdomskontroll (överbryggande behandling) var tillåten mellan aferes och lymfocytreducering. Av de 229 patienter som behandlades med Breyanzi fick 137 patienter (60 %) cancerbehandling för sjukdomskontroll; typ och varaktighet av den överbryggande behandlingen lämnades till läkarens bedömning.
Mediantid från leukaferes till tillgång på produkt var 24 dagar (intervall: 17‑51 dagar). Mediantid från leukaferes till infusion var 38,5 dagar (intervall: 27 till 156 dagar).
Av 298 patienter som genomgick leukaferes, och för vilka Breyanzi tillverkades i dosintervallet 44‑120 × 106 CAR‑positiva viabla T‑celler, fick 229 patienter (77 %) Breyanzi medan 69 patienter (23 %) inte fick Breyanzi. Av dessa 69 patienter var det tillverkningsfel i 27 fall (39 %), 2 patienter fick inte Breyanzi och 25 patienter fick behandling med studieläkemedel som inte uppfyllde specifikationerna för frisläppning. Fyrtiotvå andra patienter (61 %) behandlades inte med Breyanzi, de vanligaste orsakerna var död (n=29) eller sjukdomskomplikationer (n=6). Bland de patienter som behandlades inom intervallet 44‑120 × 106 CAR‑positiva viabla T‑celler var mediandosen av Breyanzi 87 × 106 CAR‑positiva viabla T‑celler.
Antalet patienter som gick att utvärdera avseende effekt var 216 (effektdataset). Tretton patienter gick inte att utvärdera avseende effekt, inklusive 10 patienter som inte hade en positronemissionstomografi-positiv (PET+) sjukdom vid baslinjen, eller bekräftad PET+ sjukdom efter cancerbehandling för sjukdomskontroll enligt en oberoende granskningskommitté, och 3 av andra orsaker.
Tabell 6 sammanfattar patient- och sjukdomskarakteristika vid baslinjen i TRANSCEND-studien.
Tabell 6: Demografi och sjukdomsrelaterade karakteristika vid baslinjen för TRANSCEND
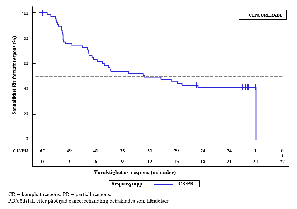
Effekten utvärderades baserat på det primära effektmåttet, total responsfrekvens (overall response rate, ORR) och sekundära effektmått vilka inkluderade frekvens av komplett respons (CR), varaktighet av respons (duration of response, DOR) fastställt av en IRC (tabell 7 och figur 2). Mediantid för uppföljning under studien var 20,5 månader (intervall 0,2 till 60,9 månader).
Tabell 7: TRANSCEND-studien: Responsfrekvens, varaktighet av respons (utvärderad av IRC)
Mediantid till respons (CR eller partiell respons [PR]) var 1,0 månader (intervall: 0,7‑8,9 månader). Mediantid till CR var 1,0 månader (intervall: 0,8‑12,5 månader). Varaktigheten av respons var längre hos patienter som uppnådde CR jämfört med patienter som uppnådde PR som bästa respons.
Sex patienter med sekundärt CNS-lymfom behandlades och utvärderades avseende effekt i TRANSCEND-studien. Tre av dessa sex patienter uppnådde CR; 2 av 3 patienter var i varaktig remission i 23 månader som kvarstod vid studiens slut. Säkerhetsprofilen för patienterna med sekundärt CNS-lymfom var likvärdig den som observerades i den totala populationen.
I effektdatasetet var ORR-resultaten inom PMBCL-gruppen 79 % (11/14 patienter) och inom FL3B-gruppen 100 % (4/4 patienter). Frekvenserna av CR var 50 % för PMBCL och 100 % för FL3B. Säkerhetsprofilen var likvärdig för dessa olika subtyper.
I effektdatasetet var ORR-resultaten inom patientgruppen med DLBCL som transformerats (t) från tidigare indolent follikulärt lymfom (FL), marginalzonslymfom (MZL), kronisk lymfatisk leukemi/småcelligt lymfocytiskt lymfom (CLL/SLL) och Waldenströms makroglobulinemi (WM) 86 % (38/44 patienter), 43 % (3/7 patienter), 50 % (2/4 patienter) respektive 50 % (1/2 patients). CR-frekvenserna var 61,4 % för tFL, 29 % för tMZL, 25 % för tCLL/SLL (Richter’s syndrom), respektive 0 % för WM. Säkerhetsprofilen var likvärdig i dessa subgrupper. Varaktig remission (d.v.s. DOR ≥ 12 månader) observerades hos patienter med tFL och tMZL. Det finns dock mycket begränsad erfarenhet från patienter med tCLL/SLL (4 patienter) och tWM (2 patienter) för vilka en varaktig remission på 2 respektive 5,3 månader observerades. Säkerhetsprofilen var likvärdig i dessa subgrupper.
I kliniska studier med Breyanzi var 89 (39 %) av de 229 patienterna i TRANSCEND 65 år eller äldre och 19 (8 %) var 75 år eller äldre. Säkerhet och effekt av Breyanzi som observerades för dessa patienter var liknande den som observerades för yngre patienter.
Elva patienter fick tidigare anti‑CD19-behandling med resultat avseende effekt och säkerhet liknande den i totala populationen. Alla patienter hade CD19-uttryck före infusion med Breyanzi.
Det finns begränsad erfarenhet av Breyanzi hos patienter med funktionsstatus ≤ 2 enligt ECOG före aferes (4 patienter) och före allogen HSCT (8 patienter).
Av 229 patienter som behandlades med Breyanzi fick majoriteten av patienterna (n=209) Breyanzi inom det rekommenderade CD4:CD8‑förhållandet 0,8 till 1,2. Det finns begränsad erfarenhet av Breyanzi utanför detta CD4:CD8‑förhållande (n=19 över 1,2, n=1 under 0,8) vilket därför begränsar tolkningen av data i denna subgrupp.
Av de 115 patienter som uppnådde CR var 82 (71 %) i remission som varade i minst 6 månader och 74 (64 %) var i remission som varade i minst 12 månader.
Figur 2: Varaktighet av respons enligt IRC‑utvärdering, TRANSCEND effektdataset
CR = komplett respons; PR = partiell respons.
Dödsfall efter påbörjad cancerbehandling betraktades som händelser.
Elva patienter med hepatit B eller hepatit C i anamnesen behandlades med Breyanzi samtidigt med antiviral suppressiv behandling enligt kliniska riktlinjer, utan reaktivering av hepatit (se avsnitt Varningar och försiktighet).
TRANSCEND WORLD
TRANSCEND WORLD är en pågående enarmad, fas II multicenterstudie. Syftet med studiens kohort 1 är ökad klinisk erfarenhet med Breyanzi i Europa för behandling av vuxna patienter med 3L+ storcelligt B-cellslymfom, definierat som R/R DLBCL (DLBCL NOS [de novo], transformerad FL), höggradigt B-cellslymfom med MYC och BCL2 och/eller BCL6-rearrangemang med DLBCL-histologi och FL3B enligt WHOs klassificering 2016. Patienter som tidigare fått anti‑CD19-behandling exkluderades. Se tabell 8 nedan för demografi och sjukdomsrelaterade karakteristika vid baslinjen.
Tabell 8: Demografi och sjukdomsrelaterade karakteristika vid baslinjen för TRANSCEND WORLD (Kohort 1)
Vid tidpunkten för den slutliga analysen hade 45 patienter i kohort 1 genomgått leukaferes och 36 patienter hade behandlats med Breyanzi, med en medianuppföljningstid på 15,8 månader. Mediantid från leukaferes till tillgänglighet av produkt var 29 dagar (intervall: 24‑38 dagar). I gruppen som behandlats med Breyanzi var ORR 61,1 % (95 % KI: 43,5‑76,9), och frekvensen av CR var 33,3 % (95 % KI: 18,6‑51,0). Sjukdomsbördan och demografin vid baslinjen var ett tecken på avancerade, aggressiva sjukdomskarakteristika. Säkerhetsprofilen för Breyanzi var likvärdig med den för den totala sammanslagna säkerhetspopulationen. Se avsnitt Biverkningar för biverkningar förknippade med lisokabtagen-maraleucel.
TRANSCEND‑FL
Breyanzis effekt och säkerhet har utvärderats i en öppen, enarmad fas 2- och multicenterstudie (TRANSCEND‑FL) av vuxna patienter med recidiverande eller refraktär FL av grad 1, 2 och 3A efter två eller flera linjer systemisk behandling. I studien registrerades patienter med ECOG-funktionsstatus ≤ 1. Studien exkluderade patienter med kreatininclearance mindre än 30 ml/min, alaninaminotransferas > 5 gånger den övre gränsen för normalvärdet eller vänster ventrikulär ejektionsfraktion (LVEF) ≤ 40 %. Det fanns inget förspecificerat krav för blodvärden. Patienter kunde inkluderas om de enligt prövarens bedömning hade tillräcklig benmärgsfunktion för att kunna få lymfocytreducerande kemoterapi.
Behandlingen bestod av lymfocytreducerande kemoterapi, fludarabin 30 mg/m2/dag och cyklofosfamid 300 mg/m2/dag i 3 dagar, följt av Breyanzi 2 till 7 dagar senare.
Mediandosen av Breyanzi var 100 × 106 CAR‑positiva viabla T‑celler (intervall: 93,4–109,2 × 106 CAR‑positiva viabla T‑celler).
Cancerbehandling för sjukdomskontroll (överbryggande behandling) var tillåten mellan aferes och lymfocytreducering. Av de 107 patienter som behandlades med Breyanzi fick 44 patienter (41 %) cancerbehandling för sjukdomskontroll enligt läkarens bedömning.
Av de 114 patienter som genomgick leukaferes fick 107 (93,8 %) patienter Breyanzi och 4 (3,5 %) patienter fick behandling med icke-konform produkt. Tre (2,7 %) patienter fick inte Breyanzi av följande skäl: 1 (0,9 %) patient på grund av en biverkning, 1 (0,9 %) patient uppfyllde inte studiekriterierna och 1 (0,9 %) patient på grund av andra orsaker.
Antalet patienter som gick att utvärdera avseende effekt var 103 (effektdataset). Fyra patienter gick inte att utvärdera avseende effekt eftersom de inte hade en PET-positiv sjukdom vid baslinjen, eller bekräftat PET-positiv sjukdom efter cancerbehandling för sjukdomskontroll enligt en oberoende granskningskommitté.
Mediantid från leukaferes tills färdig produkt fanns tillgänglig var 29 dagar (intervall: 20–55 dagar), och mediantid från leukaferes till infusion var 50 dagar (intervall: 31–313 dagar).
Tabell 9: Demografi och sjukdomsrelaterade karakteristika vid baslinjen för TRANSCEND‑FL
Effekten baserades på total responsfrekvens (ORR), definierat som andelen patienter i procent med bästa totala respons (BOR) av komplett respons (CR) eller partiell respons (PR) efter infusion med Breyanzi enligt vad som fastställts av en oberoende granskningskommitté (tabell 10). Mediantid för uppföljning under studien var 30,0 månader (intervall 0,3 till 39,6 månader).
Mediantid till första respons (CR eller PR) och mediantid till första CR var 0,95 månader (intervall: 0,6‑3,3 månader).
Tabell 10: TRANSCEND‑FL‑studien: Responsfrekvens, varaktighet av respons (utvärderad av IRC)
Figur 3: Varaktighet av respons enligt IRC-utvärdering, TRANSCEND‑FL-effektdataset
TRANSCEND‑MCL‑kohorten
Breyanzis effektivitet och säkerhet utvärderades i en öppen, enkelarmad multicenterprövning (TRANSCEND‑MCL‑kohorten) på vuxna patienter med recidiverande eller refraktärt MCL som hade fått minst två behandlingslinjer tidigare inklusive en BTK-hämmare (Brutons tyrosinkinas), ett alkylerande medel och ett anti‑CD20‑medel. Studien inkluderade patienter med funktionsstatus ≤ 2 enligt ECOG, tidigare autolog och/eller allogen HSCT, och engagemang av sekundärt CNS‑lymfom. Studien exkluderade patienter med kreatininclearance ≤ 30 ml/min, alaninaminotransferas > 5 gånger den övre gränsen för normalvärdet eller vänster ventrikulär ejektionsfraktion (LVEF) < 40 %. Det fanns inget förspecificerat krav för blodvärden. Patienter kunde inkluderas om de enligt prövarens bedömning hade tillräcklig benmärgsfunktion för att kunna få lymfocytreducerande kemoterapi.
Behandlingen bestod av lymfocytreducerande kemoterapi, fludarabin 30 mg/m2/dag och cyklofosfamid 300 mg/m2/dag i 3 dagar, följt av Breyanzi 2 till 7 dagar senare.
Cancerbehandling för sjukdomskontroll (överbryggande behandling) var tillåten mellan aferes och lymfocytreducering. Av de 88 patienter som behandlades med Breyanzi fick 58 patienter (65,9 %) cancerbehandling för sjukdomskontroll enligt läkarens bedömning.
Av 104 patienter som genomgick leukaferes fick 88 patienter (84,6 %) Breyanzi. Mediandosen av Breyanzi var 99,5 × 106 CAR‑positiva viabla T‑celler (intervall: 46–103 × 106 CAR‑positiva viabla T‑celler). Fyra patienter (3,8 %) fick behandling med en icke-konform produkt. Tolv patienter (11,5 %) fick inte Breyanzi av följande skäl: 8 patienter (7,6 %) på grund av dödsfall, 1 patient (0,9 %) uppfyllde inte längre studiekriterierna och 3 patienter (2,8 %) på grund av andra orsaker.
Av de 88 patienter som fick Breyanzi var 81 patienter utvärderbara avseende effekt och hade fått minst två linjer av systemisk behandling tidigare inklusive en BTK‑hämmare och inkluderades i effektdatasetet: fem patienter var inte utvärderbara avseende effekt eftersom de inte hade PET‑positiv sjukdom vid baslinjen eller bekräftat PET‑positiv sjukdom efter cancerbehandling för sjukdomskontroll enligt en oberoende granskningskommitté, en patient hade inte fått minst två linjer av systemisk behandling inklusive en BTK‑hämmare tidigare och en patient hade inte fått en BTK‑hämmare tidigare.
Mediantid från leukaferes tills färdig produkt fanns tillgänglig var 24,5 dagar (intervall: 17–80 dagar). Mediantid från leukaferes till infusion var 39 dagar (intervall: 28–489 dagar).
Tabell 11: Demografi och sjukdomsrelaterade karakteristika vid baslinjen för TRANSCEND‑MCL‑kohorten
Effekten baserades på total responsfrekvens (ORR), definierat som andelen patienter i procent med bästa totala respons (BOR) av komplett respons (CR) eller partiell respons (PR) efter infusion med Breyanzi enligt vad som fastställts av en oberoende granskningskommitté (tabell 12). Mediantid för uppföljning under studien var 19,5 månader (intervall 0,4 till 72 månader).
Bland de 81 patienter som inkluderades i effektdatasetet var mediantid till första respons (CR eller PR) 0,95 månad (intervall: 0,7–3,0 månader) och mediantid till första CR var 0,95 månad (intervall: 0,7–4,9 månader). Varaktigheten av respons var längre hos patienter som uppnådde en BOR på CR jämfört med patienter med en BOR på PR.
Tabell 12: TRANSCEND‑MCL‑kohorten: Responsfrekvens, varaktighet av respons (utvärderad av IRC)
Pediatrisk population
Europeiska läkemedelsmyndigheten har beviljat undantag från kravet att skicka in studieresultat för Breyanzi för alla grupper av den pediatriska populationen för behandling av mogna B-cellsneoplasier (information om pediatrisk användning finns i avsnitt Dosering).
FL
Hos patienter som fått två eller flera tidigare behandlingslinjer för FL i studien TRANSCEND‑FL, inträffade mediantid för maximal celltillväxt i perifert blod 10 dagar efter den första infusionen. Breyanzi förekom i perifert blod i upp till 3 år.
Bland patienter som fått Breyanzi för FL (TRANSCEND‑FL) var medianvärdet för Cmax hos de som svarade 31 336 kopior/mikrogram (N = 100), jämfört med 15 568 kopior/mikrogram för de som inte svarade (N = 2). Medianvärdet för AUC0‑28 d hos de som svarade (N = 96) var 245 730 dagar*kopior/mikrogram, jämfört med 161 935 dagar*kopior/mikrogram för de som inte svarade (N = 2).
MCL
För patienter som hade fått två eller flera behandlingslinjer för MCL tidigare i TRANSCEND‑MCL‑kohorten, inträffade mediantiden för maximal celltillväxt i perifert blod 10 dagar efter den första infusionen. Breyanzi förekom i perifert blod i upp till 2 år.
Bland patienter som fått Breyanzi för MCL (TRANSCEND‑MCL‑kohorten) var medianvärdet för Cmax hos de som svarade 31 631 kopior/mikrogram (N = 67), jämfört med 12 444 kopior/mikrogram för de som inte svarade (N = 8). Medianvärdet för AUC0‑28 d hos de som svarade (N = 67) var 309 578 dagar*kopior/mikrogram, jämfört med 142 462 dagar*kopior/mikrogram för de som inte svarade (N = 8).
Varje injektionsflaska innehåller 4,6 ml CD8-positiva celler.
CD4‑positiva celler
Varje injektionsflaska innehåller en tillverkningssatsberoende koncentration av lisokabtagen-maraleucel, autologa T‑celler som har modifierats genetiskt för att koda för en anti-CD19 chimär antigenreceptor (CAR-positiva viabla T‑celler). Läkemedlet är förpackat i en eller flera injektionsflaskor som sammanlagt innehåller en celldispersion av 5,1‑322 × 106 CAR-positiva viabla T‑celler (1,1‑70 × 106 CAR-positiva viabla T‑celler/ml) suspenderade i en kryokonserverande lösning.
Varje injektionsflaska innehåller 4,6 ml CD4-positiva celler.
Fler än en injektionsflaska med CD8-positiva celler och/eller CD4‑positiva celler kan behövas för att erhålla dosen av Breyanzi. Den totala volymen som ska doseras och antalet flaskor som krävs kan skilja mellan de båda celltyperna.
Den kvantitativa informationen för vardera celltyp av läkemedlet, inklusive antalet injektionsflaskor (se avsnitt 6) som ska administreras visas i frisläppningscertifikat för infusion (RfIC) placerat inuti locket till kryobehållaren som används för transport. RfIC anger den totala volymen för varje celltyp som ska doseras, antalet flaskor som krävs och volymen som ska tas från varje flaska, baserat på koncentrationen av de kryokonserverade CAR-positiva viabla T-cellerna.
Hjälpämnen med känd effekt:
Detta läkemedel innehåller 12,5 mg natrium, 6,5 mg kalium och 0,35 ml (7,5 % v/v) dimetylsulfoxid per injektionsflaska (se avsnitt Varningar och försiktighet).
Förteckning över hjälpämnen
Cryostor CS10
Natriumklorid
Natriumglukonat
Natriumacetattrihydrat
Kaliumklorid
Magnesiumklorid
Albumin, humant
N‑acetyl-DL-tryptofan
Kaprylsyra
Vatten för injektionsvätskor
Försiktighetsåtgärder före hantering eller administrering av läkemedlet
Breyanzi måste transporteras inom enheten i förslutna, okrossbara, läckagesäkra behållare.
Detta läkemedel innehåller humanceller från blod. Hälso- och sjukvårdspersonal som hanterar Breyanzi måste vidta lämpliga försiktighetsåtgärder (använda skyddshandskar, skyddskläder och ögonskydd) för att undvika potentiell överföring av infektionssjukdomar.
Förberedelse före administrering
Innan injektionsflaskorna tinas
Bekräfta att patientens identitet motsvarar patientuppgifterna på transportbehållaren.
Breyanzi består av CAR‑positiva viabla T‑celler formulerade som separata CD8‑positiva respektive CD4‑positiva celler. Det finns ett separat frisläppningscertifikat för infusion (RfIC) för varje celltyp. Läs RfIC (finns inuti transportbehållaren) för information om hur många sprutor du behöver och vilken volym av de CD8‑positiva respektive CD4‑positiva cellerna som ska administreras (sprutetiketter tillhandahålls med RfIC).
Bekräfta tidpunkten för infusion i förväg och anpassa start för upptining av Breyanzi så att det är tillgängligt för infusion när patienten är redo.
Observera: När injektionsflaskorna med CAR‑positiva viabla T‑celler (CD8‑positiva och CD4‑positiva) har tagits ut från frysförvaringen måste upptiningen slutföras och cellerna administreras inom 2 timmar.
Upptining av injektionsflaskorna
Bekräfta att patientens identitet motsvarar patientuppgifterna på ytterkartongen och frisläppningscertifikatet för infusion (RfIC).
Ta ut kartongen med CD8‑positiva celler och kartongen med CD4‑positiva celler ur ytterkartongen.
Öppna varje innerkartong och inspektera injektionsflaskan/-flaskorna visuellt för att upptäcka eventuell skada. Kontakta företaget om injektionsflaskorna är skadade.
Ta försiktigt ut injektionsflaskorna från kartongerna, placera dem på ett skyddsunderlag och tina vid rumstemperatur. Tina alla injektionsflaskor samtidigt. Var noga med att hålla isär de CD8‑positiva och CD4-positiva cellerna.
Beredning av dos
Beroende på koncentrationen av CAR‑positiva viabla T‑celler för respektive celltyp, kan fler än en injektionsflaska med CD8‑positiva respektive CD4‑positiva celler krävas för en fullständig dos. En separat spruta ska förberedas för varje injektionsflaska med CD8‑positiva och CD4‑positiva celler som mottagits.Observera: Volymen som ska dras upp och ges som infusion kan skilja sig för respektive celltyp.
Varje 5 ml injektionsflaska innehåller en total extraherbar volym på 4,6 ml med CD8‑positiva T‑celler eller CD4‑positiva T‑celler. Frisläppningscertifikatet för infusion (RfIC) för respektive celltyp anger volymen (ml) av celler som ska dras upp i varje spruta. Använd en spruta med minsta möjliga luer‑lockspets (1 ml till 5 ml) för att dra upp den specificerade volymen från varje injektionsflaska. En 5 ml spruta bör inte användas för volymer under 3 ml.
Förbered sprutan/sprutorna till de CD8‑positiva cellerna först. Bekräfta att patientuppgifterna på sprutetiketten för de CD8‑positiva cellerna motsvarar patientuppgifterna på etiketten på injektionsflaskan för de CD8‑positiva cellerna. Fäst sprutetiketterna för de CD8‑positiva cellerna på sprutan/sprutorna innan erforderlig volym dras upp i sprutan/sprutorna.
Upprepa proceduren för de CD4‑positiva cellerna.Observera: Det är viktigt att bekräfta att volymen av varje celltyp som dras upp stämmer med volymen som specificerats i respektive frisläppningscertifikat för infusion (RfIC).
Erforderlig volym av celler från varje injektionsflaska dras upp i separata sprutor enligt följande instruktioner:
Inspektera den/de tinade injektionsflaskan/‑flaskorna visuellt för att upptäcka skador eller läckage. Använd inte injektionsflaskan om skada upptäcks eller om klumparna inte finfördelas: kontakta företaget. Vätskan i injektionsflaskorna ska vara lätt ogenomskinlig till ogenomskinlig, färglös till gul eller brungulaktig.
Ta bort aluminiumskyddet från botten av injektionsflaskan (om skyddet sitter på) och rengör membranet med en alkoholtork. Låt lufttorka innan förberedelserna återupptas.
Håll injektionsflaskan/‑flaskorna upprätt och klipp av förseglingen på slangen på toppen av injektionsflaskan, alldeles ovanför filtret, för att öppna luftventilen på injektionsflaskan.
Håll en 20 G, 25‑40 mm (1‑1½ inch) nål, med nålöppningen framför portmembranet där läkemedlet tas ut.
a. För in nålen i membranet med 45°‑60° vinkel för att punktera portmembranet.
Innan du fortsätter, inspektera sprutan noggrant med avseende på skräppartiklar. Kontakta företaget om det finns skräppartiklar.
Verifiera att volymen av CD8‑positiva/CD4‑positiva celler motsvarar volymen som specificerats för respektive celltyp i frisläppningscertifikatet för infusion (RfIC).
När volymen verifierats, vänd injektionsflaskan och sprutan till horisontalläge och dra ut sprutan/nålen från injektionsflaskan.
Fortsätt att hålla injektionsflaskan i horisontellt läge och lägg tillbaka den i kartongen för att undvika läckage från injektionsflaskan.
Kassera eventuell oanvänd dispersion av Breyanzi.
Administrering
För ytterligare information om administrering, se avsnitt Dosering.
Använd natriumklorid 9 mg/ml (0,9 %) injektionsvätska, lösning för att spola infusionsslangarna före och efter varje administrering av CD8‑positiva eller CD4‑positiva celler.
Administrera de CD8‑positiva cellerna först. Hela volymen av CD8‑positiva celler administreras intravenöst med en infusionshastighet på cirka 0,5 ml/minut i den närmaste infusionsporten eller Y-kopplingen (piggyback).
Om mer än en spruta behövs för att erhålla en hel dos av CD8‑positiva celler, administrera volymen i varje spruta efter varandra utan något uppehåll mellan administreringarna av sprutinnehållet (såvida det inte finns en klinisk anledning att avvakta med dosen, t.ex. en infusionsreaktion). Efter att de CD8‑positiva cellerna har administrerats, spola slangen med natriumklorid 9 mg/ml (0,9 %) injektionsvätska, lösning.
Administrera de CD4‑positiva cellerna omedelbart efter att administrering av de CD8‑positiva cellerna är avslutad. Använd samma steg och infusionshastighet som beskrevs för de CD8‑positiva cellerna. Efter administrering av de CD4‑positiva cellerna, spola slangen med natriumklorid 9 mg/ml (0,9 %) injektionsvätska, lösning. Använd tillräcklig mängd spolvätska för att rensa slangen och hela i.v.-katetern. Infusionstiden kommer att variera och är vanligtvis mindre än 15 minuter för varje celltyp.
Åtgärder som ska vidtas vid oavsiktlig exponering
Vid oavsiktlig exponering ska lokala riktlinjer för hantering av material av humant ursprung följas. Arbetsytor och material som kan ha varit i kontakt med Breyanzi måste saneras med ett lämpligt desinfektionsmedel.
Försiktighetsåtgärder som ska vidtas för kassering av läkemedlet
Oanvänt läkemedel och allt material som har varit i kontakt med Breyanzi (fast och flytande avfall) måste hanteras och kasseras som potentiellt infektiöst avfall i enlighet med lokala riktlinjer för hantering av avfall av humant ursprung.