Tecartus 0,4–2 × 10
8celler infusionsvätska, dispersion
Infusionsvätska, dispersion.
En klar till opak, vit till röd dispersion.
Kite Pharma EU B.V.
Tufsteen 1
2132 NT Hoofddorp
Nederländerna
EU/1/20/1492/001
Första godkännandet: 14 december 2020
Förnyat godkännande: 26 februari 2025
07/2025 Ytterligare information om detta läkemedel finns på Europeiska läkemedelsmyndighetens webbplats http://www.ema.europa.eu.
Akut lymfatisk leukemi
Varje patientspecifik infusionspåse av Tecartus innehåller brexukabtagen autoleucel i en tillverkningssatsberoende koncentration av autologa T-celler som har modifierats genetiskt för att koda för en anti-CD19 chimär antigenreceptor (CAR-positiva viabla T-celler). Läkemedlet är förpackat i en infusionspåse som innehåller en celldispersion för infusion av en måldos på 1 × 106 anti-CD19 CAR-positiva viabla T-celler per kg kroppsvikt, med maximalt 1 × 108 anti-CD19 CAR-positiva viabla T-celler suspenderade i en kryokonserverande lösning.
Varje infusionspåse innehåller cirka 68 ml dispersion för infusion.
Hjälpämne(n) med känd effekt
Detta läkemedel innehåller 300 mg natrium.
Varje dos innehåller 0,05 ml dimetylsulfoxid (DMSO) per ml Tecartus.
För fullständig förteckning över hjälpämnen, se avsnitt 6.1.
2.1 Allmän beskrivning
Tecartus (brexukabtagen-autoleucel) är en genetiskt modifierad autolog cellbaserad produkt som innehåller T-celler som transducerats ex vivo med hjälp av en retroviral vektor som uttrycker en anti-CD19 chimär antigenreceptor (CAR) som består av ett murint anti-CD19-variabelt antikroppsfragment med enkel kedja (ScFv) som är kopplat till CD28-co stimulatorisk domän och CD3-zetasignaldomän.
2.2 Kvalitativ och kvantitativ sammansättning
Mantelcellslymfom
Varje patientspecifik infusionspåse av Tecartus innehåller brexukabtagen autoleucel i en tillverkningssatsberoende koncentration av autologa T-celler som har modifierats genetiskt för att koda för en anti-CD19 chimär antigenreceptor (CAR-positiva, viabla T-celler). Läkemedlet är förpackat i en infusionspåse som innehåller en celldispersion för infusion av en måldos på 2 × 106 anti-CD19, CAR-positiva viabla T-celler per kg kroppsvikt (intervall: 1 × 106 till 2 × 106 celler/kg) med maximalt 2 × 108 anti-CD19, CAR-positiva viabla T-celler suspenderade i en kryokonserverande lösning.
Varje infusionspåse innehåller cirka 68 ml dispersion för infusion.
Akut lymfatisk leukemi
Varje patientspecifik infusionspåse av Tecartus innehåller brexukabtagen autoleucel i en tillverkningssatsberoende koncentration av autologa T-celler som har modifierats genetiskt för att koda för en anti-CD19 chimär antigenreceptor (CAR-positiva viabla T-celler). Läkemedlet är förpackat i en infusionspåse som innehåller en celldispersion för infusion av en måldos på 1 × 106 anti-CD19 CAR-positiva viabla T-celler per kg kroppsvikt, med maximalt 1 × 108 anti-CD19 CAR-positiva viabla T-celler suspenderade i en kryokonserverande lösning.
Varje infusionspåse innehåller cirka 68 ml dispersion för infusion.
Hjälpämne(n) med känd effekt
Detta läkemedel innehåller 300 mg natrium.
Varje dos innehåller 0,05 ml dimetylsulfoxid (DMSO) per ml Tecartus.
För fullständig förteckning över hjälpämnen, se avsnitt 6.1.
Tecartus är avsett för autolog användning (se avsnitt 4.4).
Mantelcellslymfom
Behandlingen består av en engångsdos för infusion som innehåller en dispersion för infusion av CAR-positiva viabla T-celler i en infusionspåse. Måldosen är 2 × 106 CAR-positiva viabla T-celler per kg kroppsvikt (inom intervallet: 1 × 106–2 × 106 celler/kg), med högst 2 × 108 CAR-positiva viabla T-celler för patienter som väger 100 kg eller mer.
Det rekommenderas att Tecartus infunderas 3-14 dagar efter slutförd lymfocytreducerande kemoterapi för MCL-patienter. Tillgängligheten av läkemedlet måste bekräftas innan lymfocytreducerande regim påbörjas.
Förbehandling (lymfocytreducerande kemoterapi) för MCL-patienter
En lymfocytreducerande kemoterapiregim, bestående av cyklofosfamid 500 mg/m² intravenöst och fludarabin 30 mg/m² intravenöst, ska administreras före infusion av Tecartus. De rekommenderade dagarna är den 5:e, 4:e och 3:e dagen före infusion av Tecartus.
Akut lymfatisk leukemi
Behandlingen består av en engångsdos för infusion som innehåller en dispersion för infusion av CAR-positiva, viabla T-celler i en infusionspåse. Måldosen är 1 × 106 CAR-positiva viabla T-celler per kg kroppsvikt, med högst 1 × 108 CAR-positiva viabla T-celler för patienter som väger 100 kg eller mer.
Tecartus rekommenderas att infunderas 2 till 14 dagar efter avslutad lymfocytreducerande kemoterapi för ALL-patienter. Tillgängligheten av behandlingen måste bekräftas innan den lymfocytreducerande behandlingen påbörjas.
Förbehandling (lymfocytreducerande kemoterapi) för ALL-patienter
En lymfocytreducerande kemoterapiregim bestående av cyklofosfamid 900 mg/m2 intravenöst under 60 minuter måste administreras innan infusion av Tecartus. Detta rekommenderas den 2:a dagen före infusion av Tecartus. Fludarabin 25 mg/m2 intravenöst under 30 minuter måste administreras innan Tecartus infunderas. De rekommenderade dagarna är den 4:e, 3:e och 2:a dagen före infusion av Tecartus.
Mantelcellslymfom och akut lymfatisk leukemi
Premedicinering
För att minimera risken för akuta infusionsreaktioner rekommenderas det att patienten premedicineras med paracetamol 500–1 000 mg oralt och difenhydramin 12,5–25 mg intravenöst eller oralt (eller motsvarande läkemedel), cirka 1 timme före infusionen av Tecartus.
Profylaktisk användning av systemiska kortikosteroider rekommenderas inte (se avsnitt 4.5).
Övervakning före infusion
I vissa riskpatientgrupper kan en fördröjning av Tecartus-infusionen vara indicerad (se avsnitt 4.4 - Skäl att fördröja behandlingen).
Övervakning efter infusion
Patienter måste övervakas dagligen under de första 7 dagarna efter infusion, för tecken och symtom på potentiellt CRS, neurologiska biverkningar och andra toxiciteter. Läkare kan överväga inläggning på sjukhus under de första 7 dagarna eller vid de första tecknen eller symtomen på (CRS) och/eller neurologiska biverkningar.
Efter de första 7 dagarna efter infusionen måste patienten övervakas enligt läkarens bedömning.
Patienter måste i stanna kvar i närheten av en kvalificerad behandlingsklinik i minst 4 veckor efter infusionen.
Särskilda populationer
Äldre
Ingen dosjustering krävs för patienter ≥ 65 år.
Patienter som är seropositiva för hepatit B-virus (HBV), hepatit C-virus (HCV) eller humant immunbristvirus (HIV)
Erfarenhet av tillverkning av Tecartus för patienter med positivt provsvar på HIV-test eller med aktiv HBV-infektion eller aktiv HCV-infektion saknas. Nytta-riskförhållandet för Tecartus i denna population har därför ännu inte fastställts.
Pediatrisk population
Säkerhet och effekt för Tecartus för barn och ungdomar under 18 år har ännu inte fastställts. Inga data finns tillgängliga.
Administreringssätt
Tecartus är endast avsett för intravenöst bruk.
Tecartus får inte bestrålas. Leukocytreducerande filter får inte användas.
Före administrering måste det säkerställas att patientens identitet (ID) överensstämmer med de unika patientuppgifter som finns på infusionspåsen och på kassetten med Tecartus.
Administrering
Ett leukocytreducerande filter får inte användas.
Tocilizumab och akututrustning måste finnas tillgängliga före infusion och under övervakningsperioden. Om tocilizumab i undantagsfall inte är tillgängligt på grund av en restsituation som är listad i Europeiska läkemedelsmyndighetens lista över restsituationer, måste lämpliga alternativa åtgärder i stället för tocilizumab finnas tillgängliga på plats för att behandla CRS innan infusion inleds.
Endast för autolog användning, verifiera att patientens identitet överensstämmer med patientinformationen på Tecartus-infusionspåsen.
När infusionsslangarna har sköljts måste hela innehållet i Tecartus-infusionspåsen infunderas inom 30 minuter via antingen gravitation eller med en peristaltisk pump.
För utförliga anvisningar om beredning, administrering, åtgärder som ska vidtas vid oavsiktlig exponering och kassering av Tecartus, se avsnitt 6.6.
Överkänslighet mot den aktiva substansen eller mot något hjälpämne som anges i avsnitt 6.1.
Kontraindikationer mot den lymfocytreducerande kemoterapin måste beaktas.
Spårbarhet
Regler för spårbarhet av läkemedel för cellbaserad avancerad terapi ska tillämpas. För att garantera spårbarheten ska läkemedlets namn, tillverkningssatsnummer och namnet på den behandlade patienten sparas i 30 år efter läkemedlets utgångs-datum.
Autolog användning
Tecartus är endast avsett för autolog användning och får under inga omständigheter ges till andra patienter. Före infusion måste patientens identitet överensstämma med patientidentifieringsnumret på infusionspåsen och kassetten med Tecartus. Infundera inte Tecartus om informationen på den patientspecifika kassettetiketten inte överensstämmer med patientens identitet.
Allmänt
Varningar och försiktighetsåtgärder vad gäller den lymfocytreducerande kemoterapin måste tas i beaktande.
Skäl till att skjuta upp behandlingen
På grund av riskerna som förknippas med Tecartus-behandling måste infusionen skjutas upp om en patient har något av följande tillstånd:
Kvarstående allvarliga biverkningar (särskilt lungreaktioner, hjärtreaktioner eller hypotoni) inklusive biverkningar från föregående kemoterapier.
Aktiv okontrollerad infektion eller inflammatorisk sjukdom.
Aktiv transplantat-mot-värdsjukdom (graft-versus-host disease, GvHD).
I vissa fall kan behandlingen skjutas upp efter administrering av den lymfocytreducerande kemoterapiregimen. Om infusionen skjuts upp i mer än 2 veckor efter det att patienten har fått den lymfocytreducerande kemoterapin måste den lymfocytreducerande kemoterapiregimen administreras på nytt (se avsnitt 4.2).
Övervakning efter infusion
Patienter måste övervakas dagligen under de första 7 dagarna efter infusion, för tecken och symtom på potentiellt CRS, neurologiska händelser och andra toxiciteter. Läkare kan överväga inläggning på sjukhus under de första 7 dagarna eller vid de första tecknen eller symtomen på CRS och/eller neurologiska biverkningar. Efter de första 7 dagarna efter infusion ska patienten övervakas enligt läkarens bedömning.
Patienter måste stanna i närheten av en kvalificerad behandlingsklinik i minst 4 veckor efter infusionen och omedelbart uppsöka läkare om tecken eller symtom på CRS eller neurologiska biverkningar uppstår. Vitalparametrar och organfunktioner måste övervakas beroende på reaktionens svårighetsgrad.
Serologiska tester
Screening för HBV, HCV och hiv måste utföras före insamling av celler för framställning av Tecartus (se avsnitt 4.2).
Donation av blod, organ, vävnad och celler
Patienter som behandlas med Tecartus får inte donera blod, organ, vävnader och celler för transplantation.
Aktivt lymfom i centrala nervsystemet (CNS)
Det finns ingen erfarenhet av användning av detta läkemedel till patienter med aktivt CNS-lymfom, definierat som hjärnmetastaser som bekräftats med bilddiagnostik. Asymptomatiska patienter med ALL och maximalt CNS-2-sjukdom (definierad som <5/mikroliter vita blodkroppar i cerebrospinalvätska samt närvaro av lymfoblaster) utan kliniskt uppenbara neurologiska förändringar behandlades med Tecartus, men data är begränsade i denna population. Nytta-riskförhållandet för Tecartus i dessa populationer har därför inte fastställts.
Samtidig sjukdom
Patienter med tidigare eller aktiv CNS-sjukdom eller nedsatt njur-, lever-, lung- eller hjärtfunktion, uteslöts ur studierna. Dessa patienter är sannolikt mer känsliga för följderna av de biverkningar som beskrivs nedan och kräver särskild uppmärksamhet.
Cytokinfrisättningssyndrom
Nästan alla patienter upplevde någon form av CRS. Svår CRS, vilket kan vara dödlig, observerades med Tecartus. Mediantiden till debuten var 3 dagar (intervall: 1–13 dagar). Patienterna måste övervakas noggrant avseende tecken eller symtom på biverkningar, såsom hög feber, hypotoni, hypoxi, frossa, takykardi och huvudvärk (se avsnitt 4.8). CRS ska behandlas enligt läkares bedömning, baserat på patientens kliniska bild och i enlighet med behandlingsalgoritmen för CRS som anges i tabell 1.
För diagnos av CRS måste alternativa orsaker till systemisk inflammatorisk reaktion uteslutas, inklusive infektion.
Behandling av cytokinfrisättningssyndrom som är förknippat med Tecartus
Innan en Tecartus-infusion inleds måste minst 1 dos tocilizumab (en interleukin‑6 (IL‑6)-receptorhämmare) per patient finnas på plats och vara tillgänglig för administrering. Den kvalificerade behandlingsenheten måste ha tillgång till ytterligare en dos tocilizumab inom 8 timmar från varje föregående dos. Om tocilizumab i undantagsfall inte är tillgängligt på grund av en restsituation som är listad i Europeiska läkemedelsmyndighetens lista över restsituationer, måste behandlingsenheten ha tillgång till lämpliga alternativa åtgärder i stället för tocilizumab för att kunna behandla CRS.
Behandlingsalgoritmer har utvecklats för att lindra vissa av de CRS-symtom som patienter som står på Tecartus upplever. Dessa inkluderar användning av tocilizumab eller tocilizumab och kortikosteroider, vilka sammanfattas i tabell 1. Patienter som får CRS av grad 2 eller högre (t.ex. hypotoni som inte svarar på vätskebehandling, eller hypoxi som kräver tillägg av syresättning) måste övervakas med kontinuerlig hjärttelemetri och pulsoximetri. För patienter som får svår CRS ska en undersökning med ultraljud övervägas för att bedöma hjärtfunktionen. Vid svår eller livshotande CRS ska understödjande intensivvård övervägas.
Cytokinfrisättningssyndrom har förknippats med slutorgandysfunktion (t.ex. lever, njure, hjärta och lungor). Dessutom kan förvärring av underliggande organpatologier förekomma vid CRS. Patienter med medicinskt signifikant hjärtdysfunktion måste behandlas enligt gängse riktlinjer för intensivvård och åtgärder såsom ekokardiografi ska övervägas. I vissa fall kan ett makrofagaktiverande syndrom (MAS) och hemofagocyterande lymfohistiocytos (HLH) uppstå i samband med ett cytokinfrisättningssyndrom.
Utvärdering för hemofagocyterande lymfohistiocytos/makrofagaktiverande syndrom (HLH/MAS) ska övervägas hos patienter med svår eller icke-responsiv CRS.
Tecartus fortsätter att expandera och är persistent efter administrering av tocilizumab och kortikosteroider. Tumörnekrosfaktor (TNF)-antagonister rekommenderas inte för behandling av Tecartus-associerat CRS.
Tabell 1 Vägledning om gradering och hantering av CRS
(a) Lee et al 2014.
(b) Se Tabell 2 för hantering av neurologiska biverkningar.
(c) Se produktresumén för tocilizumab för ytterligare information.
Neurologiska biverkningar
Svåra neurologiska biverkningar, även känt som immuneffektorcellsassocierat neurotoxicitetssyndrom (ICANS), vilka kan vara livshotande eller fatala, har observerats hos patienter som behandlats med Tecartus. Mediantiden till debut var 7 dagar (intervall: 1 till 262 dagar) efter infusion av Tecartus (se avsnitt 4.8).
Patienter som får grad 2 eller högre neurologisk toxicitet/ICANS måste övervakas med kontinuerlig hjärttelemetri och pulsoximetri. Intensivvård med understödjande behandling för svår eller livshotande neurologisk toxicitet/ICANS ska tillhandahållas. Icke-sederande antiepileptiska läkemedel ska övervägas enligt vad som indiceras kliniskt för biverkningar av grad 2 eller högre. Behandlingsalgoritmer har utvecklats för att lindra de neurologiska biverkningarna som patienter som står på Tecartus upplever. Dessa inkluderar användning av tocilizumab (vid samtidigt CRS) och/eller kortikosteroider för måttliga, allvarliga eller livshotande neurologiska biverkningar som sammanfattas i tabell 2.
Tabell 2 Vägledning om gradering och hantering av neurologiska biverkningar/ICANS
Infektioner och febril neutropeni
Allvarliga infektioner som kan vara livshotande har observerats mycket ofta med Tecartus (se avsnitt 4.8).
Patienterna måste övervakas med avseende på tecken och symptom på infektion, före, under och efter infusion, och behandlas på lämpligt sätt. Profylaktisk antibiotika måste administreras enligt rådande riktlinjer.
Febril neutropeni har observerats hos patienter efter Tecartus-infusion (se avsnitt 4.8) och kan förekomma samtidigt med CRS. I händelse av febril neutropeni, utvärdera för infektion och behandla med bredspektrumantibiotika, vätskor och annan stödjande vård såsom är medicinskt indikerat.
Livshotande och dödliga opportunistiska infektioner, inklusive disseminerad mykos och reaktivering av virusinfektion (t.ex. HHV-6 och progressiv multifokal leukoencefalopati) har rapporterats hos patienter som står på immunsupprimerande behandling. Möjligheten att dessa infektioner föreligger ska tas i beaktande för patienter som drabbas av neurologiska biverkningar och lämpliga diagnostiska bedömningar måste genomföras.
Virusreaktivering
Virusreaktivering, t.ex. reaktivering av hepatit B-virus (HBV), kan uppstå hos patienter som behandlas med läkemedel som verkar på B-cellerna och kan leda till fulminant hepatit, leversvikt och dödsfall.
Långvariga cytopenier
Patienter kan uppvisa cytopeni i flera veckor efter lymfocytreducerande kemoterapi och Tecartus-infusionen, och måste behandlas enligt standard riktlinjer. Långvariga cytopenier av grad 3 eller högre var mycket vanligt förekommande efter Tecartus-infusion, och inkluderade trombocytopeni, neutropeni och anemi (se avsnitt 4.8). Efter Tecartus-infusionen måste patientens blodvärden övervakas.
Hypogammaglobulinemi
B‑cellsaplasi som leder till hypogammaglobulinemi kan förekomma hos patienter som får behandling med Tecartus. Hypogammaglobulinemi har observerats mycket ofta hos patienter som behandlats med Tecartus (se avsnitt 4.8). Hypogammaglobulinemi gör patienterna infektionsbenägna. Immunglobulinnivåerna ska övervakas efter behandling med Tecartus, och hanteras enligt försiktighetsåtgärder för att förhindra infektion, antibiotikaprofylax och
immunglobulinersättning vid återkommande infektioneroch måste tas i enlighet med standardriktlinjer.
Överkänslighetsreaktioner
Allvarliga överkänslighetsreaktioner inklusive anafylaxi, kan bero på dimetylsulfoxid eller rester av gentamicin i Tecartus.
Sekundära maligniteter, inklusive av T-cellsursprung
Patienter som behandlas med Tecartus kan utveckla sekundära maligniteter.
T-cellsmaligniteter har rapporterats efter behandling av hematologiska maligniteter med BCMA- eller CD19-styrd CAR-T-cellterapi. T-cellsmaligniteter, inklusive CAR-positiva maligniteter, har rapporterats inom veckor och upp till flera år efter administrering av CD19- eller BCMA-styrd CAR-T-cellterapi. Det har förekommit dödlig utgång. Patienterna ska kontrolleras under resten av livet avseende sekundära maligniteter. Om en sekundär malignitet skulle uppstå, ska företaget kontaktas för att få anvisningar om patientprover som ska samlas in för testning.
Tumörlyssyndrom (TLS)
TLS, vilket kan vara allvarligt, har ibland observerats. För att minimera risken för TLS ska patienter med förhöjd urinsyra eller hög tumörbörda få allopurinol eller en annan profylax före Tecartus-infusion. Tecken och symtom på TLS måste övervakas och hanteras enligt gällande riktlinjer.
Tidigare stamcellstransplantation och transplantat-mot-värd-sjukdom
Det rekommenderas inte att patienter som har genomgått en allogen stamcellstransplantation och lider av aktiv akut eller kronisk transplantat-mot-värd-sjukdom får behandlingen, eftersom det finns risk för att Tecartus förvärrar transplantat-mot-värd-sjukdomen.
Tidigare behandling med anti-CD19-terapi
Tecartus rekommenderas inte om patienten har återfallit i CD19-negativ sjukdom efter föregående anti-CD19-behandling.
CD19-negativ akut lymfatisk leukemi
Tecartus rekommenderas inte för patienter som har CD19-negativ sjukdom eller obekräftad CD19-status.
Natriuminnehåll
Detta läkemedel innehåller 300 mg natrium per infusion, motsvarande 15 % av det av WHO rekommenderade maximala dagliga intaget på 2 g natrium för en vuxen.
Långtidsuppföljning
Patienter förväntas delta i en registerstudie för bättre förståelse av den långsiktiga säkerheten och effekten av Tecartus.
Inga interaktionsstudier har utförts med Tecartus.
Profylaktisk användning av systemiska kortikosteroider kan påverka Tecartusaktiviteten. Profylaktisk användning av systemiska kortikosteroider rekommenderas därför inte före infusion (se avsnitt 4.2).
Administrering av kortikosteroider enligt riktlinjerna för behandling vid toxicitet påverkar inte ökningen av CAR-T-cellerna och deras överlevnad.
Levande vacciner
Säkerheten vid immunisering med levande virusvacciner under eller efter behandling med Tecartus har inte studerats. Som försiktighetsåtgärd rekommenderas ingen vaccination med levande vacciner i minst 6 veckor före start av lymfocytreducerande kemoterapi, under Tecartus-behandling, och fram till immunologisk återhämtning efter behandling.
Fertila kvinnor/Preventivmedel för män och kvinnor
Graviditetsstatus hos fertila kvinnor måste verifieras innan Tecartus-behandling sätts in.
Se produktinformationen för lymfocytreducerande kemoterapi för information om behovet av effektiva preventivmetoder för patienter som får lymfocytreducerande kemoterapi.
Det finns inte tillräckligt med exponeringsdata för att kunna ge rekommendationer om hur länge preventivmedel ska användas efter behandling med Tecartus.
Graviditet
Det finns inga tillgängliga data från användningen av Tecartus till gravida kvinnor. Inga djurstudier om reproduktions- och utvecklingstoxicitet har utförts med Tecartus för att bedöma om det kan orsaka fosterskador när det administreras till en gravid kvinna (se avsnitt 5.3).
Det är inte känt om Tecartus kan överföras till fostret. Baserat på verkningsmekanismen kan de transducerade cellerna, om de passerar placenta, orsaka fostertoxicitet, inklusive B-cellslymfocytopeni. Därför rekommenderas inte Tecartus för kvinnor som är gravida, eller för fertila kvinnor som inte använder en effektiv preventivmetod. Gravida kvinnor måste informeras om de potentiella riskerna för fostret. Graviditet efter Tecartus-infusion måste diskuteras med den behandlande läkaren.
Bedömning av immunglobulinnivåer och B-celler hos nyfödda barn till mödrar som behandlats med Tecartus måsteövervägas.
Amning
Det är okänt om Tecartus utsöndras i bröstmjölk eller överförs till det ammande barnet. Ammande kvinnor måste underrättas om den potentiella risken för barn som ammas.
Fertilitet
Inga kliniska data om effekten av Tecartus på fertiliteten finns tillgängliga. Effekter på manlig och kvinnlig fertilitet har inte utvärderats i djurstudier.
Tecartus har påtaglig effekt på förmågan att framföra fordon och använda maskiner.
På grund av potentialen för neurologiska biverkningar, inklusive förändrat mentalt tillstånd eller krampanfall, måste patienter avstå från att köra eller använda tunga eller potentiellt farliga maskiner tills minst 8 veckor efter infusion eller tills neurologiska biverkningar har upphört.
Sammanfattning av säkerhetsprofilen
Mantelcellslymfom
Säkerhetsuppgifterna som beskrivs i detta avsnitt avspeglar exponeringen för Tecartus i ZUMA‑2, en fas 2-studie där totalt 82 patienter med recidiverat/refraktärt MCL fick en enkeldos CAR-positiva viabla T-celler (2 × 106 eller 0,5 × 106 anti-CD19 CAR T-celler/kg) baserat på en rekommenderad dos som var viktbaserad.
De mest betydelsefulla och vanligast förekommande biverkningarna var CRS (91 %), infektioner (55 %) och encefalopati (51 %).
Allvarliga biverkningar förekom hos 56 % av patienterna. De vanligaste allvarliga biverkningarna inkluderade encefalopati (26 %), infektioner (28 %) och cytokinfrisättningssyndrom (15 %).
Biverkningar av grad 3 eller högre rapporterades hos 67 % av patienterna. De vanligaste, icke hematologiska biverkningarna av grad 3 eller högre inkluderade infektioner (34 %) och encefalopati (24 %). De vanligaste hematologiska biverkningarna av grad 3 eller högre var neutropeni (99 %), leukopeni (98 %), lymfocytopeni (96 %), trombocytopeni (65 %) och anemi (56 %).
Akut lymfatisk leukemi
Säkerhetsuppgifterna som beskrivs i detta avsnitt avspeglar exponeringen för Tecartus i ZUMA‑3, en fas 1/2-studie där totalt 100 patienter med recidiverande eller refraktär B-cellsprekursor ALL fick en enkeldos CAR-positiva viabla T-celler (0,5 × 106, 1 x 106 eller 2 × 106 anti-CD19 CAR T‑celler/kg) baserat på en rekommenderad dos som var viktbaserad.
De mest betydande och vanligast förekommande biverkningarna var CRS (91 %), encefalopati (57 %) och infektioner (41 %).
Allvarliga biverkningar förekom hos 70 % av patienterna. De vanligaste allvarliga biverkningarna inkluderade CRS (25 %), infektioner (22 %) och encefalopati (21 %).
Biverkningar av grad 3 eller högre rapporterades hos 76 % av patienterna. De vanligaste icke-hematologiska biverkningarna av grad 3 eller högre inkluderade infektioner (27 %), CRS (25 %) och encefalopati (22 %).
Lista med biverkningar i tabellform
De biverkningar som beskrivs i detta avsnitt identifierades hos 182 patienter som exponerades för Tecartus i två multicenter kliniska nyckelstudier, ZUMA‑2 (n=82) och ZUMA-3 (n=100). Dessa biverkningar presenteras enligt organsystem och frekvens. Frekvenser definieras som: mycket vanliga (≥ 1/10) och vanliga (≥ 1/100, < 1/10). Inom varje frekvensgruppering presenteras biverkningarna enligt fallande svårighetshetsgrad.
Tabell 3 Biverkningar som identifierats med Tecartus
Beskrivning av utvalda biverkningar i ZUMA-2 och ZUMA-3 (n=182) och från rapportering efter marknadsföring.
Cytokinfrisättningssyndrom
CRS förekom hos 91 % av patienterna. Tjugo procent (20 %) av patienterna upplevde CRS av grad 3 eller högre (allvarligt eller livshotande). Mediantiden till debuten var 3 dagar (intervall: 1–13 dagar) och medianvaraktigheten var 9 dagar (intervall: 1–63 dagar). Nittiosju procent (97 %) av patienterna återhämtade sig från CRS.
De vanligaste tecknen eller symtomen som var förknippade med CRS hos drabbade patienter inkluderade pyrexi (94 %), hypotoni (64 %), hypoxi (32 %), frossa (31 %), takykardi (27 %), sinustakykardi (23%), huvudvärk (22 %), trötthet (16 %) och illamående (13 %). Allvarliga biverkningar som kan vara förknippade med CRS inkluderade hypotoni (22 %), pyrexi (15 %), hypoxi (9 %), takykardi (3%), andnöd (2 %) och sinustakykardi (2 %). Se avsnitt 4.4 för vägledning om övervakning och hantering.
Neurologiska biverkningar
Neurologiska biverkningar förekom hos 69 % av patienterna. Trettiotvå procent (32 %) av patienterna upplevde biverkningar av grad 3 eller högre (allvarliga eller livshotande). Mediantiden till debut var 7 dagar (intervall: 1–262 dagar). De neurologiska biverkningarna var övergående för 113 av 125 patienter (90,4 %); medianvaraktigheten var 12 dagar (intervall: 1–708 dagar). Tre patienter hade pågående neurologiska biverkningar vid tidpunkten för dödsfallet, varav en patient rapporterades ha allvarlig encefalopati och en annan patient rapporterades lida av allvarlig konfusion. Resterande ouppklarade neurologiska biverkningar var av grad 2. Nittiotre procent av alla behandlade patienter upplevde cytokinfrisättningssyndrom eller neurologiska biverkningar inom de första 7 dagarna efter Tecartus-infusionen.
De vanligaste neurologiska biverkningarna inklusive ICANS var tremor (32 %), förvirringstillstånd (27 %) encefalopati (27 %), afasi (21 %) och agitation (11 %). Allvarliga biverkningar, inklusive encefalopati (15 %), afasi (6 %), förvirringstillstånd (5 %) och allvarliga fall av hjärnödem som kan få dödlig utgång har förekommit hos patienter som behandlats med Tecartus. Se avsnitt 4.4 för vägledning om övervakning och hantering.
Febril neutropeni och infektioner
Febril neutropeni observerades hos 12 % av patienterna efter Tecartus-infusion. Infektioner förekom hos 87 av de 182 patienter som behandlades med Tecartus i ZUMA-2 och ZUMA-3. Infektioner av grad 3 eller högre (allvarliga, livshotande eller dödliga) förekom hos 30 % av patienterna, varav ospecificerade patogena, bakterie-, svamp- och virusinfektioner hos 23 %, 8 %, 2 % respektive 4 % av patienterna. Se avsnitt 4.4 för vägledning om övervakning och hantering.
Långvarig cytopeni
Cytopeni är mycket vanligt efter lymfocytreducerande kemoterapi och behandling med Tecartus.
Långvarig cytopeni (förekommer på dag 30 eller senare eller med debut dag 30 eller senare) av grad 3 eller högre förekom hos 48 % av patienterna och inkluderade neutropeni (34 %) trombocytopeni (27 %), och anemi (15 %). Se avsnitt 4.4 för vägledning om hantering.
Hypogammaglobulinemi
Hypogammaglobulinemi förekom hos 12 % av patienterna. Hypogammaglobulinemi av grad 3 eller högre förekom hos 1 % av patienterna. Se avsnitt 4.4 för vägledning om hantering.
Immunogenicitet
Immunogeniciteten hos Tecartus har utvärderats med hjälp av en ELISA-analys (enzyme-linked immunosorbent assay, enzymkopplad immunadsorberande analys) för påvisande av bindande antikroppar mot FMC63, ursprungsantikroppen för anti-CD19-CAR. Hittills har ingen antikroppsimmunogenicitet hos anti-CD19 CAR-T-cellerna observerats hos MCL-patienter. I en initial screeninganalys uppvisade 17 patienter i ZUMA-2 vid någon tidpunkt positivt provsvar på antikroppstest. Dock visade en bekräftande ortogonal cellbaserad analys att alla 17 patienter i ZUMA-2 var antikroppsnegativa vid alla tidpunkter som testen utfördes. Baserat på en initial screeninganalys testade 16 patienter i ZUMA-3 positivt för antikroppar vid någon tidpunkt. Bland patienter med utvärderbara prover för bekräftande testning var två patienter antikroppspositiva efter behandling. En av de två patienterna hade ett bekräftat positivt antikroppsresultat vid månad 6. Den andra patienten hade ett bekräftat positivt antikroppsresultat vid återupptagen behandling dag 28 och månad 3. Det finns inga bevis för att kinetiken hos den initiala ökningen, CAR T-cellernas funktion och överlevnaden hos Tecartus, eller Tecartus säkerhet och effektivitet, var förändrad hos dessa patienter.
Sekundära maligniteter
Följande biverkningar har rapporterats efter behandling med andra CAR-T-cellsprodukter, som också kan förekomma efter behandling med Tecartus: sekundär malignitet av T-cellsursprung.
Inga data finns tillgängliga avseende överdosering av Tecartus.
Mantelcellslymfom
Tecartus är avsett för behandling av vuxna patienter med recidiverat eller refraktärt mantelcellsymfom (MCL) efter två eller fler linjers systemisk behandling med bland annat en Brutons tyrosinkinashämmare (BTK-hämmare).
Akut lymfatisk leukemi
Tecartus är avsett för behandling av vuxna patienter 26 år och äldre med recidiverat eller refraktär B-cellsprekursor akut lymfatisk leukemi (ALL).
Tecartus måste administreras på en kvalificerad behandlingklinik av en läkare som har erfarenhet av behandling av hematologiska maligniteter och är utbildad för administrering och hantering av patienter som behandlas med Tecartus. Minst 1 dos av tocilizumab för användning vid cytokinfrisättningssyndrom (cytokine release syndrome, CRS) samt akututrustning måste vara tillgänglig när infusionen inleds. Den kvalificerade behandlingskliniken måste ha tillgång till ytterligare en dos tocilizumab inom 8 timmar från varje föregående dos. Om tocilizumab i undantagsfall inte är tillgängligt på grund av en restsituation som är listad i Europeiska läkemedelsmyndighetens lista över restsituationer, måste lämpliga alternativa åtgärder i stället för tocilizumab finnas tillgängliga för att behandla CRS innan infusion inleds.
Dosering
Tecartus är avsett för autolog användning (se avsnitt 4.4).
Mantelcellslymfom
Behandlingen består av en engångsdos för infusion som innehåller en dispersion för infusion av CAR-positiva viabla T-celler i en infusionspåse. Måldosen är 2 × 106 CAR-positiva viabla T-celler per kg kroppsvikt (inom intervallet: 1 × 106–2 × 106 celler/kg), med högst 2 × 108 CAR-positiva viabla T-celler för patienter som väger 100 kg eller mer.
Det rekommenderas att Tecartus infunderas 3-14 dagar efter slutförd lymfocytreducerande kemoterapi för MCL-patienter. Tillgängligheten av läkemedlet måste bekräftas innan lymfocytreducerande regim påbörjas.
Förbehandling (lymfocytreducerande kemoterapi) för MCL-patienter
En lymfocytreducerande kemoterapiregim, bestående av cyklofosfamid 500 mg/m² intravenöst och fludarabin 30 mg/m² intravenöst, ska administreras före infusion av Tecartus. De rekommenderade dagarna är den 5:e, 4:e och 3:e dagen före infusion av Tecartus.
Akut lymfatisk leukemi
Behandlingen består av en engångsdos för infusion som innehåller en dispersion för infusion av CAR-positiva, viabla T-celler i en infusionspåse. Måldosen är 1 × 106 CAR-positiva viabla T-celler per kg kroppsvikt, med högst 1 × 108 CAR-positiva viabla T-celler för patienter som väger 100 kg eller mer.
Tecartus rekommenderas att infunderas 2 till 14 dagar efter avslutad lymfocytreducerande kemoterapi för ALL-patienter. Tillgängligheten av behandlingen måste bekräftas innan den lymfocytreducerande behandlingen påbörjas.
Förbehandling (lymfocytreducerande kemoterapi) för ALL-patienter
En lymfocytreducerande kemoterapiregim bestående av cyklofosfamid 900 mg/m2 intravenöst under 60 minuter måste administreras innan infusion av Tecartus. Detta rekommenderas den 2:a dagen före infusion av Tecartus. Fludarabin 25 mg/m2 intravenöst under 30 minuter måste administreras innan Tecartus infunderas. De rekommenderade dagarna är den 4:e, 3:e och 2:a dagen före infusion av Tecartus.
Mantelcellslymfom och akut lymfatisk leukemi
Premedicinering
För att minimera risken för akuta infusionsreaktioner rekommenderas det att patienten premedicineras med paracetamol 500–1 000 mg oralt och difenhydramin 12,5–25 mg intravenöst eller oralt (eller motsvarande läkemedel), cirka 1 timme före infusionen av Tecartus.
Profylaktisk användning av systemiska kortikosteroider rekommenderas inte (se avsnitt 4.5).
Övervakning före infusion
I vissa riskpatientgrupper kan en fördröjning av Tecartus-infusionen vara indicerad (se avsnitt 4.4 - Skäl att fördröja behandlingen).
Övervakning efter infusion
Patienter måste övervakas dagligen under de första 7 dagarna efter infusion, för tecken och symtom på potentiellt CRS, neurologiska biverkningar och andra toxiciteter. Läkare kan överväga inläggning på sjukhus under de första 7 dagarna eller vid de första tecknen eller symtomen på (CRS) och/eller neurologiska biverkningar.
Efter de första 7 dagarna efter infusionen måste patienten övervakas enligt läkarens bedömning.
Patienter måste i stanna kvar i närheten av en kvalificerad behandlingsklinik i minst 4 veckor efter infusionen.
Särskilda populationer
Äldre
Ingen dosjustering krävs för patienter ≥ 65 år.
Patienter som är seropositiva för hepatit B-virus (HBV), hepatit C-virus (HCV) eller humant immunbristvirus (HIV)
Erfarenhet av tillverkning av Tecartus för patienter med positivt provsvar på HIV-test eller med aktiv HBV-infektion eller aktiv HCV-infektion saknas. Nytta-riskförhållandet för Tecartus i denna population har därför ännu inte fastställts.
Pediatrisk population
Säkerhet och effekt för Tecartus för barn och ungdomar under 18 år har ännu inte fastställts. Inga data finns tillgängliga.
Administreringssätt
Tecartus är endast avsett för intravenöst bruk.
Tecartus får inte bestrålas. Leukocytreducerande filter får inte användas.
Före administrering måste det säkerställas att patientens identitet (ID) överensstämmer med de unika patientuppgifter som finns på infusionspåsen och på kassetten med Tecartus.
Administrering
Ett leukocytreducerande filter får inte användas.
Tocilizumab och akututrustning måste finnas tillgängliga före infusion och under övervakningsperioden. Om tocilizumab i undantagsfall inte är tillgängligt på grund av en restsituation som är listad i Europeiska läkemedelsmyndighetens lista över restsituationer, måste lämpliga alternativa åtgärder i stället för tocilizumab finnas tillgängliga på plats för att behandla CRS innan infusion inleds.
Endast för autolog användning, verifiera att patientens identitet överensstämmer med patientinformationen på Tecartus-infusionspåsen.
När infusionsslangarna har sköljts måste hela innehållet i Tecartus-infusionspåsen infunderas inom 30 minuter via antingen gravitation eller med en peristaltisk pump.
För utförliga anvisningar om beredning, administrering, åtgärder som ska vidtas vid oavsiktlig exponering och kassering av Tecartus, se avsnitt 6.6.
Överkänslighet mot den aktiva substansen eller mot något hjälpämne som anges i avsnitt 6.1.
Kontraindikationer mot den lymfocytreducerande kemoterapin måste beaktas.
Spårbarhet
Regler för spårbarhet av läkemedel för cellbaserad avancerad terapi ska tillämpas. För att garantera spårbarheten ska läkemedlets namn, tillverkningssatsnummer och namnet på den behandlade patienten sparas i 30 år efter läkemedlets utgångs-datum.
Autolog användning
Tecartus är endast avsett för autolog användning och får under inga omständigheter ges till andra patienter. Före infusion måste patientens identitet överensstämma med patientidentifieringsnumret på infusionspåsen och kassetten med Tecartus. Infundera inte Tecartus om informationen på den patientspecifika kassettetiketten inte överensstämmer med patientens identitet.
Allmänt
Varningar och försiktighetsåtgärder vad gäller den lymfocytreducerande kemoterapin måste tas i beaktande.
Skäl till att skjuta upp behandlingen
På grund av riskerna som förknippas med Tecartus-behandling måste infusionen skjutas upp om en patient har något av följande tillstånd:
Kvarstående allvarliga biverkningar (särskilt lungreaktioner, hjärtreaktioner eller hypotoni) inklusive biverkningar från föregående kemoterapier.
Aktiv okontrollerad infektion eller inflammatorisk sjukdom.
Aktiv transplantat-mot-värdsjukdom (graft-versus-host disease, GvHD).
I vissa fall kan behandlingen skjutas upp efter administrering av den lymfocytreducerande kemoterapiregimen. Om infusionen skjuts upp i mer än 2 veckor efter det att patienten har fått den lymfocytreducerande kemoterapin måste den lymfocytreducerande kemoterapiregimen administreras på nytt (se avsnitt 4.2).
Övervakning efter infusion
Patienter måste övervakas dagligen under de första 7 dagarna efter infusion, för tecken och symtom på potentiellt CRS, neurologiska händelser och andra toxiciteter. Läkare kan överväga inläggning på sjukhus under de första 7 dagarna eller vid de första tecknen eller symtomen på CRS och/eller neurologiska biverkningar. Efter de första 7 dagarna efter infusion ska patienten övervakas enligt läkarens bedömning.
Patienter måste stanna i närheten av en kvalificerad behandlingsklinik i minst 4 veckor efter infusionen och omedelbart uppsöka läkare om tecken eller symtom på CRS eller neurologiska biverkningar uppstår. Vitalparametrar och organfunktioner måste övervakas beroende på reaktionens svårighetsgrad.
Serologiska tester
Screening för HBV, HCV och hiv måste utföras före insamling av celler för framställning av Tecartus (se avsnitt 4.2).
Donation av blod, organ, vävnad och celler
Patienter som behandlas med Tecartus får inte donera blod, organ, vävnader och celler för transplantation.
Aktivt lymfom i centrala nervsystemet (CNS)
Det finns ingen erfarenhet av användning av detta läkemedel till patienter med aktivt CNS-lymfom, definierat som hjärnmetastaser som bekräftats med bilddiagnostik. Asymptomatiska patienter med ALL och maximalt CNS-2-sjukdom (definierad som <5/mikroliter vita blodkroppar i cerebrospinalvätska samt närvaro av lymfoblaster) utan kliniskt uppenbara neurologiska förändringar behandlades med Tecartus, men data är begränsade i denna population. Nytta-riskförhållandet för Tecartus i dessa populationer har därför inte fastställts.
Samtidig sjukdom
Patienter med tidigare eller aktiv CNS-sjukdom eller nedsatt njur-, lever-, lung- eller hjärtfunktion, uteslöts ur studierna. Dessa patienter är sannolikt mer känsliga för följderna av de biverkningar som beskrivs nedan och kräver särskild uppmärksamhet.
Cytokinfrisättningssyndrom
Nästan alla patienter upplevde någon form av CRS. Svår CRS, vilket kan vara dödlig, observerades med Tecartus. Mediantiden till debuten var 3 dagar (intervall: 1–13 dagar). Patienterna måste övervakas noggrant avseende tecken eller symtom på biverkningar, såsom hög feber, hypotoni, hypoxi, frossa, takykardi och huvudvärk (se avsnitt 4.8). CRS ska behandlas enligt läkares bedömning, baserat på patientens kliniska bild och i enlighet med behandlingsalgoritmen för CRS som anges i tabell 1.
För diagnos av CRS måste alternativa orsaker till systemisk inflammatorisk reaktion uteslutas, inklusive infektion.
Behandling av cytokinfrisättningssyndrom som är förknippat med Tecartus
Innan en Tecartus-infusion inleds måste minst 1 dos tocilizumab (en interleukin‑6 (IL‑6)-receptorhämmare) per patient finnas på plats och vara tillgänglig för administrering. Den kvalificerade behandlingsenheten måste ha tillgång till ytterligare en dos tocilizumab inom 8 timmar från varje föregående dos. Om tocilizumab i undantagsfall inte är tillgängligt på grund av en restsituation som är listad i Europeiska läkemedelsmyndighetens lista över restsituationer, måste behandlingsenheten ha tillgång till lämpliga alternativa åtgärder i stället för tocilizumab för att kunna behandla CRS.
Behandlingsalgoritmer har utvecklats för att lindra vissa av de CRS-symtom som patienter som står på Tecartus upplever. Dessa inkluderar användning av tocilizumab eller tocilizumab och kortikosteroider, vilka sammanfattas i tabell 1. Patienter som får CRS av grad 2 eller högre (t.ex. hypotoni som inte svarar på vätskebehandling, eller hypoxi som kräver tillägg av syresättning) måste övervakas med kontinuerlig hjärttelemetri och pulsoximetri. För patienter som får svår CRS ska en undersökning med ultraljud övervägas för att bedöma hjärtfunktionen. Vid svår eller livshotande CRS ska understödjande intensivvård övervägas.
Cytokinfrisättningssyndrom har förknippats med slutorgandysfunktion (t.ex. lever, njure, hjärta och lungor). Dessutom kan förvärring av underliggande organpatologier förekomma vid CRS. Patienter med medicinskt signifikant hjärtdysfunktion måste behandlas enligt gängse riktlinjer för intensivvård och åtgärder såsom ekokardiografi ska övervägas. I vissa fall kan ett makrofagaktiverande syndrom (MAS) och hemofagocyterande lymfohistiocytos (HLH) uppstå i samband med ett cytokinfrisättningssyndrom.
Utvärdering för hemofagocyterande lymfohistiocytos/makrofagaktiverande syndrom (HLH/MAS) ska övervägas hos patienter med svår eller icke-responsiv CRS.
Tecartus fortsätter att expandera och är persistent efter administrering av tocilizumab och kortikosteroider. Tumörnekrosfaktor (TNF)-antagonister rekommenderas inte för behandling av Tecartus-associerat CRS.
Tabell 1 Vägledning om gradering och hantering av CRS
(a) Lee et al 2014.
(b) Se Tabell 2 för hantering av neurologiska biverkningar.
(c) Se produktresumén för tocilizumab för ytterligare information.
Neurologiska biverkningar
Svåra neurologiska biverkningar, även känt som immuneffektorcellsassocierat neurotoxicitetssyndrom (ICANS), vilka kan vara livshotande eller fatala, har observerats hos patienter som behandlats med Tecartus. Mediantiden till debut var 7 dagar (intervall: 1 till 262 dagar) efter infusion av Tecartus (se avsnitt 4.8).
Patienter som får grad 2 eller högre neurologisk toxicitet/ICANS måste övervakas med kontinuerlig hjärttelemetri och pulsoximetri. Intensivvård med understödjande behandling för svår eller livshotande neurologisk toxicitet/ICANS ska tillhandahållas. Icke-sederande antiepileptiska läkemedel ska övervägas enligt vad som indiceras kliniskt för biverkningar av grad 2 eller högre. Behandlingsalgoritmer har utvecklats för att lindra de neurologiska biverkningarna som patienter som står på Tecartus upplever. Dessa inkluderar användning av tocilizumab (vid samtidigt CRS) och/eller kortikosteroider för måttliga, allvarliga eller livshotande neurologiska biverkningar som sammanfattas i tabell 2.
Tabell 2 Vägledning om gradering och hantering av neurologiska biverkningar/ICANS
Infektioner och febril neutropeni
Allvarliga infektioner som kan vara livshotande har observerats mycket ofta med Tecartus (se avsnitt 4.8).
Patienterna måste övervakas med avseende på tecken och symptom på infektion, före, under och efter infusion, och behandlas på lämpligt sätt. Profylaktisk antibiotika måste administreras enligt rådande riktlinjer.
Febril neutropeni har observerats hos patienter efter Tecartus-infusion (se avsnitt 4.8) och kan förekomma samtidigt med CRS. I händelse av febril neutropeni, utvärdera för infektion och behandla med bredspektrumantibiotika, vätskor och annan stödjande vård såsom är medicinskt indikerat.
Livshotande och dödliga opportunistiska infektioner, inklusive disseminerad mykos och reaktivering av virusinfektion (t.ex. HHV-6 och progressiv multifokal leukoencefalopati) har rapporterats hos patienter som står på immunsupprimerande behandling. Möjligheten att dessa infektioner föreligger ska tas i beaktande för patienter som drabbas av neurologiska biverkningar och lämpliga diagnostiska bedömningar måste genomföras.
Virusreaktivering
Virusreaktivering, t.ex. reaktivering av hepatit B-virus (HBV), kan uppstå hos patienter som behandlas med läkemedel som verkar på B-cellerna och kan leda till fulminant hepatit, leversvikt och dödsfall.
Långvariga cytopenier
Patienter kan uppvisa cytopeni i flera veckor efter lymfocytreducerande kemoterapi och Tecartus-infusionen, och måste behandlas enligt standard riktlinjer. Långvariga cytopenier av grad 3 eller högre var mycket vanligt förekommande efter Tecartus-infusion, och inkluderade trombocytopeni, neutropeni och anemi (se avsnitt 4.8). Efter Tecartus-infusionen måste patientens blodvärden övervakas.
Hypogammaglobulinemi
B‑cellsaplasi som leder till hypogammaglobulinemi kan förekomma hos patienter som får behandling med Tecartus. Hypogammaglobulinemi har observerats mycket ofta hos patienter som behandlats med Tecartus (se avsnitt 4.8). Hypogammaglobulinemi gör patienterna infektionsbenägna. Immunglobulinnivåerna ska övervakas efter behandling med Tecartus, och hanteras enligt försiktighetsåtgärder för att förhindra infektion, antibiotikaprofylax och
immunglobulinersättning vid återkommande infektioneroch måste tas i enlighet med standardriktlinjer.
Överkänslighetsreaktioner
Allvarliga överkänslighetsreaktioner inklusive anafylaxi, kan bero på dimetylsulfoxid eller rester av gentamicin i Tecartus.
Sekundära maligniteter, inklusive av T-cellsursprung
Patienter som behandlas med Tecartus kan utveckla sekundära maligniteter.
T-cellsmaligniteter har rapporterats efter behandling av hematologiska maligniteter med BCMA- eller CD19-styrd CAR-T-cellterapi. T-cellsmaligniteter, inklusive CAR-positiva maligniteter, har rapporterats inom veckor och upp till flera år efter administrering av CD19- eller BCMA-styrd CAR-T-cellterapi. Det har förekommit dödlig utgång. Patienterna ska kontrolleras under resten av livet avseende sekundära maligniteter. Om en sekundär malignitet skulle uppstå, ska företaget kontaktas för att få anvisningar om patientprover som ska samlas in för testning.
Tumörlyssyndrom (TLS)
TLS, vilket kan vara allvarligt, har ibland observerats. För att minimera risken för TLS ska patienter med förhöjd urinsyra eller hög tumörbörda få allopurinol eller en annan profylax före Tecartus-infusion. Tecken och symtom på TLS måste övervakas och hanteras enligt gällande riktlinjer.
Tidigare stamcellstransplantation och transplantat-mot-värd-sjukdom
Det rekommenderas inte att patienter som har genomgått en allogen stamcellstransplantation och lider av aktiv akut eller kronisk transplantat-mot-värd-sjukdom får behandlingen, eftersom det finns risk för att Tecartus förvärrar transplantat-mot-värd-sjukdomen.
Tidigare behandling med anti-CD19-terapi
Tecartus rekommenderas inte om patienten har återfallit i CD19-negativ sjukdom efter föregående anti-CD19-behandling.
CD19-negativ akut lymfatisk leukemi
Tecartus rekommenderas inte för patienter som har CD19-negativ sjukdom eller obekräftad CD19-status.
Natriuminnehåll
Detta läkemedel innehåller 300 mg natrium per infusion, motsvarande 15 % av det av WHO rekommenderade maximala dagliga intaget på 2 g natrium för en vuxen.
Långtidsuppföljning
Patienter förväntas delta i en registerstudie för bättre förståelse av den långsiktiga säkerheten och effekten av Tecartus.
Inga interaktionsstudier har utförts med Tecartus.
Profylaktisk användning av systemiska kortikosteroider kan påverka Tecartusaktiviteten. Profylaktisk användning av systemiska kortikosteroider rekommenderas därför inte före infusion (se avsnitt 4.2).
Administrering av kortikosteroider enligt riktlinjerna för behandling vid toxicitet påverkar inte ökningen av CAR-T-cellerna och deras överlevnad.
Levande vacciner
Säkerheten vid immunisering med levande virusvacciner under eller efter behandling med Tecartus har inte studerats. Som försiktighetsåtgärd rekommenderas ingen vaccination med levande vacciner i minst 6 veckor före start av lymfocytreducerande kemoterapi, under Tecartus-behandling, och fram till immunologisk återhämtning efter behandling.
Fertila kvinnor/Preventivmedel för män och kvinnor
Graviditetsstatus hos fertila kvinnor måste verifieras innan Tecartus-behandling sätts in.
Se produktinformationen för lymfocytreducerande kemoterapi för information om behovet av effektiva preventivmetoder för patienter som får lymfocytreducerande kemoterapi.
Det finns inte tillräckligt med exponeringsdata för att kunna ge rekommendationer om hur länge preventivmedel ska användas efter behandling med Tecartus.
Graviditet
Det finns inga tillgängliga data från användningen av Tecartus till gravida kvinnor. Inga djurstudier om reproduktions- och utvecklingstoxicitet har utförts med Tecartus för att bedöma om det kan orsaka fosterskador när det administreras till en gravid kvinna (se avsnitt 5.3).
Det är inte känt om Tecartus kan överföras till fostret. Baserat på verkningsmekanismen kan de transducerade cellerna, om de passerar placenta, orsaka fostertoxicitet, inklusive B-cellslymfocytopeni. Därför rekommenderas inte Tecartus för kvinnor som är gravida, eller för fertila kvinnor som inte använder en effektiv preventivmetod. Gravida kvinnor måste informeras om de potentiella riskerna för fostret. Graviditet efter Tecartus-infusion måste diskuteras med den behandlande läkaren.
Bedömning av immunglobulinnivåer och B-celler hos nyfödda barn till mödrar som behandlats med Tecartus måsteövervägas.
Amning
Det är okänt om Tecartus utsöndras i bröstmjölk eller överförs till det ammande barnet. Ammande kvinnor måste underrättas om den potentiella risken för barn som ammas.
Fertilitet
Inga kliniska data om effekten av Tecartus på fertiliteten finns tillgängliga. Effekter på manlig och kvinnlig fertilitet har inte utvärderats i djurstudier.
Tecartus har påtaglig effekt på förmågan att framföra fordon och använda maskiner.
På grund av potentialen för neurologiska biverkningar, inklusive förändrat mentalt tillstånd eller krampanfall, måste patienter avstå från att köra eller använda tunga eller potentiellt farliga maskiner tills minst 8 veckor efter infusion eller tills neurologiska biverkningar har upphört.
Sammanfattning av säkerhetsprofilen
Mantelcellslymfom
Säkerhetsuppgifterna som beskrivs i detta avsnitt avspeglar exponeringen för Tecartus i ZUMA‑2, en fas 2-studie där totalt 82 patienter med recidiverat/refraktärt MCL fick en enkeldos CAR-positiva viabla T-celler (2 × 106 eller 0,5 × 106 anti-CD19 CAR T-celler/kg) baserat på en rekommenderad dos som var viktbaserad.
De mest betydelsefulla och vanligast förekommande biverkningarna var CRS (91 %), infektioner (55 %) och encefalopati (51 %).
Allvarliga biverkningar förekom hos 56 % av patienterna. De vanligaste allvarliga biverkningarna inkluderade encefalopati (26 %), infektioner (28 %) och cytokinfrisättningssyndrom (15 %).
Biverkningar av grad 3 eller högre rapporterades hos 67 % av patienterna. De vanligaste, icke hematologiska biverkningarna av grad 3 eller högre inkluderade infektioner (34 %) och encefalopati (24 %). De vanligaste hematologiska biverkningarna av grad 3 eller högre var neutropeni (99 %), leukopeni (98 %), lymfocytopeni (96 %), trombocytopeni (65 %) och anemi (56 %).
Akut lymfatisk leukemi
Säkerhetsuppgifterna som beskrivs i detta avsnitt avspeglar exponeringen för Tecartus i ZUMA‑3, en fas 1/2-studie där totalt 100 patienter med recidiverande eller refraktär B-cellsprekursor ALL fick en enkeldos CAR-positiva viabla T-celler (0,5 × 106, 1 x 106 eller 2 × 106 anti-CD19 CAR T‑celler/kg) baserat på en rekommenderad dos som var viktbaserad.
De mest betydande och vanligast förekommande biverkningarna var CRS (91 %), encefalopati (57 %) och infektioner (41 %).
Allvarliga biverkningar förekom hos 70 % av patienterna. De vanligaste allvarliga biverkningarna inkluderade CRS (25 %), infektioner (22 %) och encefalopati (21 %).
Biverkningar av grad 3 eller högre rapporterades hos 76 % av patienterna. De vanligaste icke-hematologiska biverkningarna av grad 3 eller högre inkluderade infektioner (27 %), CRS (25 %) och encefalopati (22 %).
Lista med biverkningar i tabellform
De biverkningar som beskrivs i detta avsnitt identifierades hos 182 patienter som exponerades för Tecartus i två multicenter kliniska nyckelstudier, ZUMA‑2 (n=82) och ZUMA-3 (n=100). Dessa biverkningar presenteras enligt organsystem och frekvens. Frekvenser definieras som: mycket vanliga (≥ 1/10) och vanliga (≥ 1/100, < 1/10). Inom varje frekvensgruppering presenteras biverkningarna enligt fallande svårighetshetsgrad.
Tabell 3 Biverkningar som identifierats med Tecartus
Beskrivning av utvalda biverkningar i ZUMA-2 och ZUMA-3 (n=182) och från rapportering efter marknadsföring.
Cytokinfrisättningssyndrom
CRS förekom hos 91 % av patienterna. Tjugo procent (20 %) av patienterna upplevde CRS av grad 3 eller högre (allvarligt eller livshotande). Mediantiden till debuten var 3 dagar (intervall: 1–13 dagar) och medianvaraktigheten var 9 dagar (intervall: 1–63 dagar). Nittiosju procent (97 %) av patienterna återhämtade sig från CRS.
De vanligaste tecknen eller symtomen som var förknippade med CRS hos drabbade patienter inkluderade pyrexi (94 %), hypotoni (64 %), hypoxi (32 %), frossa (31 %), takykardi (27 %), sinustakykardi (23%), huvudvärk (22 %), trötthet (16 %) och illamående (13 %). Allvarliga biverkningar som kan vara förknippade med CRS inkluderade hypotoni (22 %), pyrexi (15 %), hypoxi (9 %), takykardi (3%), andnöd (2 %) och sinustakykardi (2 %). Se avsnitt 4.4 för vägledning om övervakning och hantering.
Neurologiska biverkningar
Neurologiska biverkningar förekom hos 69 % av patienterna. Trettiotvå procent (32 %) av patienterna upplevde biverkningar av grad 3 eller högre (allvarliga eller livshotande). Mediantiden till debut var 7 dagar (intervall: 1–262 dagar). De neurologiska biverkningarna var övergående för 113 av 125 patienter (90,4 %); medianvaraktigheten var 12 dagar (intervall: 1–708 dagar). Tre patienter hade pågående neurologiska biverkningar vid tidpunkten för dödsfallet, varav en patient rapporterades ha allvarlig encefalopati och en annan patient rapporterades lida av allvarlig konfusion. Resterande ouppklarade neurologiska biverkningar var av grad 2. Nittiotre procent av alla behandlade patienter upplevde cytokinfrisättningssyndrom eller neurologiska biverkningar inom de första 7 dagarna efter Tecartus-infusionen.
De vanligaste neurologiska biverkningarna inklusive ICANS var tremor (32 %), förvirringstillstånd (27 %) encefalopati (27 %), afasi (21 %) och agitation (11 %). Allvarliga biverkningar, inklusive encefalopati (15 %), afasi (6 %), förvirringstillstånd (5 %) och allvarliga fall av hjärnödem som kan få dödlig utgång har förekommit hos patienter som behandlats med Tecartus. Se avsnitt 4.4 för vägledning om övervakning och hantering.
Febril neutropeni och infektioner
Febril neutropeni observerades hos 12 % av patienterna efter Tecartus-infusion. Infektioner förekom hos 87 av de 182 patienter som behandlades med Tecartus i ZUMA-2 och ZUMA-3. Infektioner av grad 3 eller högre (allvarliga, livshotande eller dödliga) förekom hos 30 % av patienterna, varav ospecificerade patogena, bakterie-, svamp- och virusinfektioner hos 23 %, 8 %, 2 % respektive 4 % av patienterna. Se avsnitt 4.4 för vägledning om övervakning och hantering.
Långvarig cytopeni
Cytopeni är mycket vanligt efter lymfocytreducerande kemoterapi och behandling med Tecartus.
Långvarig cytopeni (förekommer på dag 30 eller senare eller med debut dag 30 eller senare) av grad 3 eller högre förekom hos 48 % av patienterna och inkluderade neutropeni (34 %) trombocytopeni (27 %), och anemi (15 %). Se avsnitt 4.4 för vägledning om hantering.
Hypogammaglobulinemi
Hypogammaglobulinemi förekom hos 12 % av patienterna. Hypogammaglobulinemi av grad 3 eller högre förekom hos 1 % av patienterna. Se avsnitt 4.4 för vägledning om hantering.
Immunogenicitet
Immunogeniciteten hos Tecartus har utvärderats med hjälp av en ELISA-analys (enzyme-linked immunosorbent assay, enzymkopplad immunadsorberande analys) för påvisande av bindande antikroppar mot FMC63, ursprungsantikroppen för anti-CD19-CAR. Hittills har ingen antikroppsimmunogenicitet hos anti-CD19 CAR-T-cellerna observerats hos MCL-patienter. I en initial screeninganalys uppvisade 17 patienter i ZUMA-2 vid någon tidpunkt positivt provsvar på antikroppstest. Dock visade en bekräftande ortogonal cellbaserad analys att alla 17 patienter i ZUMA-2 var antikroppsnegativa vid alla tidpunkter som testen utfördes. Baserat på en initial screeninganalys testade 16 patienter i ZUMA-3 positivt för antikroppar vid någon tidpunkt. Bland patienter med utvärderbara prover för bekräftande testning var två patienter antikroppspositiva efter behandling. En av de två patienterna hade ett bekräftat positivt antikroppsresultat vid månad 6. Den andra patienten hade ett bekräftat positivt antikroppsresultat vid återupptagen behandling dag 28 och månad 3. Det finns inga bevis för att kinetiken hos den initiala ökningen, CAR T-cellernas funktion och överlevnaden hos Tecartus, eller Tecartus säkerhet och effektivitet, var förändrad hos dessa patienter.
Sekundära maligniteter
Följande biverkningar har rapporterats efter behandling med andra CAR-T-cellsprodukter, som också kan förekomma efter behandling med Tecartus: sekundär malignitet av T-cellsursprung.
Rapportering av misstänkta biverkningar
Inga data finns tillgängliga avseende överdosering av Tecartus.
På grund av att Tecartus har effekt även på icke-tumörceller kan en period med B-cellsaplasi följa efter behandlingen.
Translationella analyser som utfördes för att identifiera associeringar mellan cytokinnivåer och förekomst av CRS eller neurologiska biverkningar visade att högre nivåer av flera analyter i serum, däribland IL-6, IL-10 och TNF-α, (toppvärde och AUC vid 1 månad) förknippades med neurologiska biverkningar av grad 3 eller högre, och CRS av grad 3 eller högre.
Klinisk effekt och säkerhet
Recidiverande eller refraktär MCL: ZUMA‑2
Säkerhet och effekt för Tecartus hos vuxna patienter med recidiverande eller refraktär MCL som tidigare hade fått cytostatikabehandling med antracyklin eller bendamustin, en anti-CD20-antikropp, och en Brutons tyrosinkinashämmare (ibrutinib eller akalabrutinib) utvärderades i en enarmad, öppen fas 2-multicenterstudie. Patienter som kunde ingå i studien hade också sjukdomsprogression efter sin senaste behandlingsregim eller sjukdom som var refraktär mot den senaste behandlingen. Patienter med en aktiv eller allvarlig infektion, som tidigare genomgått en allogen hematopoetisk stamcellstransplantation (HSCT), med detekterbara maligna celler i cerebrospinalvätskan eller hjärnmetastaser, samt patienter med CNS-lymfom eller CNS-sjukdomar i anamnesen uteslöts. I ZUMA-2 inkluderades totalt 74 patienter i studien (dvs. genomgick leukaferes) och 68 av dessa patienter behandlades med Tecartus. Tre patienter fick inte Tecartus på grund av tillverkningsfel. Två andra patienter behandlades inte på grund av progressiv sjukdom (dödsfall) efter leukaferesen. En patient behandlades inte med Tecartus efter den lymfocytreducerande kemoterapin på grund av ett pågående förmaksflimmer. Den fullständiga analysuppsättningen (FAS) definierades som alla patienter som genomgick leukaferes. En sammanfattning av patienternas egenskaper vid baslinjen visas i tabell 4.
Tabell 4 Sammanfattning av egenskaper vid baslinjen i ZUMA‑2
Tecartus administrerades till patienterna som en enskild intravenös infusion med en måldos på 2 × 106 anti-CD19 CAR T-celler/kg (högsta tillåtna dos: 2 × 108 celler) efter lymfocytreducerande kemoterapiregim med cyklofosfamid 500 mg/m² intravenöst och fludarabin 30 mg/m² intravenöst, varav båda gavs på dag 5, 4 och 3 före behandlingen. Överbryggande behandling mellan leukaferes och lymfocytreducerande kemoterapi tilläts för att hålla sjukdomsbördan under kontroll.
För de patienter som fick behandling med Tecartus var mediantiden från leukaferes till att produkten frisläpptes 13 dagar (intervall: 9–20 dagar) och mediantiden från leukaferes till Tecartus-infusionen var 27 dagar (intervall: 19–74 dagar, med undantag för en utstickare på 134 dagar). Mediandosen var 2,0 × 106 anti-CD19 CAR T-celler/kg. Alla patienter fick Tecartus-infusion dag 0 och var inneliggande på sjukhus i minst 7 dagar.
Det primära effektmåttet var objektiv svarsfrekvens (objective response rate, ORR) enligt bedömning av en oberoende granskningskommitté utifrån Lugano-kriterierna från 2014. Sekundära effektmått inkluderade svarsduration (duration of response, DOR), total överlevnad (overall survival, OS), progressionsfri överlevnad (progression free survival, PFS) och biverkningarnas svårighetgrad.
För den primära analysen definierades analysuppsättningen på förhand och utgjordes av de första 60 patienterna som hade fått behandling med Tecartus och som blev utvärderade med avseende på behandlingssvar sex månader efter sjukdomsbedömningen efter Tecartus-infusionen i vecka 4. I denna analysuppsättning med 60 patienter var ORR 93 % med en CR-frekvens på 67 %. ORR var signifikant högre än tidigare, förspecificerade kontrollfrekvens på 25 % vid en ensidig signifikansnivå på 0,025 (p < 0,0001).
De uppdaterade analyserna av effekten i 24-månadersuppföljningen genomfördes med hjälp av analysuppsättningen mITT (modifierad intention-to-treat), vilken utgjordes av 68 patienter som behandlades med Tecartus. I analysen av 24-månadersuppföljningen var andelen ORR och CR av de 68 patienterna i mITT-uppsättningen 91 % respektive 68 %.
Resultaten i FAS-uppsättningen från både den primära analysen och analysen av 24-månadersuppföljningen visas i tabell 5.
Tabell 5 Sammanfattning av effektresultat för ZUMA‑2
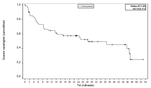
Figur 1 Kaplan Meier-skattning av DOR i ITT-uppsättningen
Pediatrisk population
Europeiska läkemedelsmyndigheten har beviljat undantag från kravet att skicka in studieresultat för Tecartus för alla grupper av den pediatriska populationen för behandling av mantelcellslymfom (information om pediatrisk användning finns i avsnitt 4.2).
Recidiverande eller refraktär B-cellsprekursor ALL – ZUMA-3
En öppen fas 2 multicenterstudie utvärderade effekten och säkerheten av Tecartus hos vuxna patienter med recidiverande eller refraktär B-cellsprekursor ALL. Recidiv eller refraktär definierades som något av följande: primärt refraktär; första återfall efter remission ≤ 12 månader; återfall eller refraktär efter andra linjens eller högre behandling; återfall eller refraktär efter allogen stamcellstransplantation (allo-SCT) (förutsatt att transplantationen skedde ≥ 100 dagar före rekrytering till studien och att inga immunsuppressiva läkemedel intogs ≤ 4 veckor före rekrytering till studien). Studien exkluderade patienter med aktiva eller allvarliga infektioner, aktiv transplantat-mot-värdsjukdom och anamnes med CNS-sjukdomar. Patienter med CNS-2-sjukdom utan kliniskt uppenbara neurologiska förändringar inkluderades. I ZUMA-3 fas 2 rekryterades totalt 71 patienter (dvs. genomgick leukaferes) och 55 patienter behandlades med Tecartus. Sex patienter fick inte Tecartus på grund av tillverkningsfel. Åtta andra patienter behandlades inte, främst på grund av biverkningar efter leukaferes. Två patienter som genomgick leukaferes och fick lymfocytreducerande kemoterapi behandlades inte med Tecartus; en patient fick bakteriemi och neutropen feber och den andra patienten uppfyllde inte inklusionskriterierna efter lymfocytreducerande kemoterapi. FAS inkluderade alla patienter som genomgick leukaferes och analysuppsättningen mITT inkluderar alla patienter som genomgick leukaferes och behandlats med Tecartus i fas 2. En sammanfattning av patienternas karakteristika vid baslinjen finns i tabell 6.
Tabell 6 Sammanfattning av utgångsvärden för ZUMA-3 fas 2
Efter lymfocytreducerande kemoterapi administrerades Tecartus till patienter som en intravenös engångsinfusion med en måldos på 1 × 106 anti-CD19 CAR T-celler/kg (högsta tillåtna dos: 1 × 108 celler). Den lymfocytreducerande behandlingen bestod av cyklofosfamid 900 mg/m2 intravenöst under 60 minuter den 2:a dagen före Tecartusinfusion och fludarabin 25 mg/m2 intravenöst under 30 minuter den 4:e, 3:e och 2:a dagen före Tecartusinfusion. Av de 55 patienter som fick Tecartus fick 51 patienter överbryggande behandling mellan leukaferes och den lymfocytreducerande kemoterapin för att kontrollera sjukdomsbördan.
Mediantiden från leukaferes till produktleverans var 16 dagar (intervall: 11 till 42 dagar) och mediantiden från leukaferes till Tecartusinfusion var 29 dagar (intervall: 20 till 60 dagar). Mediandosen var 1,0 × 106 anti-CD19 CAR T-celler/kg. Alla patienter fick Tecartus infusion på dag 0 och var inlagda på sjukhus åtminstone till dag 7.
Det primära effektmåttet var den totala, fullständiga remissionsfrekvensen (OCR) (fullständiga remissioner [CR] + fullständiga remissioner med ofullständig hematologisk återhämtning [CRi]) hos patienter som behandlats med Tecartus enligt en oberoende granskning. Hos de 55 patienter som behandlades med Tecartus (mITT) var OCR-frekvensen 70,9 % med en CR-frekvens på 56,4 % (tabell 7), vilket var signifikant större än den förspecificerade kontrollfrekvensen på 40 %. Bland de 39 patienter som uppnådde CR eller CRi var mediantiden till svar 1,1 månader (intervall: 0,85 till 2,99 månader).
Alla behandlade patienter hade potentiell uppföljning i ≥ 18 månader med en medianuppföljningstid på 20,5 månader (95 % KI: 0,3, 32,6 månader) och en medianuppföljningstid för OS på 24,0 månader (95 % KI: 23,3, 24,6).
Tabell 7 Sammanfattning av effektresultat för ZUMA-3 fas 2
Figur 2 Kaplan Meier DOR i analysuppsättningen mITTa
a. DOR definierades endast för försökspersoner som uppnådde OCR, och därför var resultaten av analysen i FAS och mITT identiska.
Pediatrisk population
Europeiska läkemedelsmyndigheten har skjutit upp skyldigheten att lämna in resultaten av studier med Tecartus i en eller flera delmängder av B-cell ALL-barnpopulationen och avstått från skyldigheten att lämna in resultaten av studier med Tecartus för behandling av ALL i barnpopulationen som väger mindre än 6 kg. Se avsnitt 4.2 för information om pediatrisk användning.
Villkorat godkännande
Detta läkemedel har godkänts enligt reglerna om ”villkorat godkännande för försäljning”. Detta innebär att fler uppgifter om läkemedlet inväntas i både MCL- och ALL-patientpopulationen.
Europeiska läkemedelsmyndigheten går igenom ny information om detta läkemedel minst varje år och uppdaterar denna produktresumé när så behövs.
Cellulär kinetik
Mantelcellslymfom
Efter infusion av 2 × 106anti-CD19 CAR T-celler/kg av Tecartus i ZUMA-2 uppvisade anti-CD19 CAR T-cellerna en snabb ökning initialt, följt av en minskning till nära baslinjenivåerna efter 3 månader. Högsta nivåer av anti-CD19 CAR T-celler förekom inom de första 7 till 15 dagarna efter infusionen.
Bland patienter med MCL var antalet anti-CD19 CAR T-celler i blodet associerat med objektiv respons (CR eller PR) (tabell 8).
Tabell 8 Sammanfattning av farmakokinetiken för brexukabtagen-autoleucel i ZUMA‑2
P-värdet har beräknats med Wilcoxon-testet
Mediantoppvärdena för anti-CD19 CAR T-celler var 74,08 celler/μl hos MCL-patienter ≥ 65 år (n = 39) och 112,45 celler/μl hos MCL-patienter < 65 år (n = 28). Medianvärdena för AUC för anti-CD19 CAR T-celler var 876,48 celler/μl x dag hos MCL-patienter ≥ 65 år och 1640,21 celler/μl x dag hos MCL-patienter < 65 år.
Akut lymfatisk leukemi
Efter infusion av en måldos på 1 × 106 anti-CD19 CAR T-celler/kg Tecartus i ZUMA-3 (fas 2) uppvisade anti-CD19 CAR T-cellerna en initial snabb expansion följt av en nedgång till nära baslinjenivåer vid 3 månader. Mediantiden till toppnivåerna av anti-CD19 CAR T-celler förekom inom de första 15 dagarna efter Tecartus-infusion.
En sammanfattning av farmakokinetiken för Tecartus över tid, baserad på central bedömning genom totalt svar, finns i tabell 9.
Tabell 9 Sammanfattning av farmakokinetiken för brexukabtagen-autoleucel i ZUMA-3 fas 2
a. Tre av 39 försökspersoner som uppnådde CR eller CRi och 2 av 16 försökspersoner som inte var CR/CRi hade inga anti-CD19 CAR T-celldata vid något besök efter infusion.
b. Icke-komplett remission inkluderar alla icke-CR / CRi-patienter vars svar klassificeras som ofullständig remission med partiell hematologisk återhämtning, blastfri hypoplastisk eller aplastisk benmärg (N = 4), partiellt svar (N = 0), inget svar (N = 9) eller inte utvärderbar (N = 3).
c. P-värdet beräknas med Wilcoxons test
Mediantoppen för anti-CD19 CAR-T-celler var 34,8 celler/μl hos ALL patienter ≥ 65 år (n=8) och 17,4 celler/μl hos ALL patienter < 65 år (n=47). Medianvärdet för AUC för anti-CD19 CAR-T-celler var 425,0 celler/µl dag hos ALL patienter ≥ 65 år och 137,7 celler/μl dag hos ALL patienter < 65 år.
Hos MCL- och ALL-patienter hade kön ingen signifikant påverkan på AUCdag 0–28 och Cmax för Tecartus.
Studier av Tecartus på patienter med nedsatt lever- och njurfunktion utfördes inte.
Tecartus innehåller genmanipulerade humana T-celler, därför finns inga representativa in vitro-analyser, ex vivo-modeller eller in vivo-modeller som på ett korrekt sätt kan belysa de toxikologiska egenskaperna för den humana produkten. Därför utfördes inte traditionella toxikologiska studier som används vid läkemedelsutveckling.
Inga karcinogenicitets- eller gentoxicitetsstudier har utförts.
Inga studier har utförts för att utvärdera effekterna av denna behandling på fertilitet, reproduktion och utveckling.
Farmakoterapeutisk grupp: Övriga antineoplastiska medel,
antineoplastisk cell- och genterapi
ATC-kod: L01XL06
Verkningsmekanism
Tecartus, en genetiskt modifierad autolog immunterapi med T-celler som är riktad mot CD19, binder till cancerceller som uttrycker CD19 och till normala B-celler. Efter anti-CD19 CAR T-cellers koppling med CD19-uttryckande målceller aktiverar den samstimulerande domänen på CD28 och signaldomänen på CD3-zeta nedströms signalkaskader som leder till T-cellsaktivering, proliferation, förvärv av effektorfunktioner och sekretion av inflammatoriska cytokiner och kemokiner. Denna sekvens av händelser leder till att CD19-uttryckande celler dödas.
Farmakodynamisk effekt
I både ZUMA-2 och ZUMA-3, efter Tecartus-infusion, utvärderades farmakodynamiska svar under ett 4-veckorsintervall genom att mäta transitorisk ökning av cytokiner, kemokiner och andra molekyler i blodet. Nivåerna av cytokiner och kemokiner såsom IL‑6, IL‑8, IL‑10, IL‑15, TNF‑α, gammainterferon (IFN‑γ) och IL-2-receptor alfa analyserades. Den högsta ökningen observerades i allmänhet inom de första 8 dagarna efter infusionen, och nivåerna återgick i allmänhet till baslinjen inom 28 dagar.
På grund av att Tecartus har effekt även på icke-tumörceller kan en period med B-cellsaplasi följa efter behandlingen.
Translationella analyser som utfördes för att identifiera associeringar mellan cytokinnivåer och förekomst av CRS eller neurologiska biverkningar visade att högre nivåer av flera analyter i serum, däribland IL-6, IL-10 och TNF-α, (toppvärde och AUC vid 1 månad) förknippades med neurologiska biverkningar av grad 3 eller högre, och CRS av grad 3 eller högre.
Klinisk effekt och säkerhet
Recidiverande eller refraktär MCL: ZUMA‑2
Säkerhet och effekt för Tecartus hos vuxna patienter med recidiverande eller refraktär MCL som tidigare hade fått cytostatikabehandling med antracyklin eller bendamustin, en anti-CD20-antikropp, och en Brutons tyrosinkinashämmare (ibrutinib eller akalabrutinib) utvärderades i en enarmad, öppen fas 2-multicenterstudie. Patienter som kunde ingå i studien hade också sjukdomsprogression efter sin senaste behandlingsregim eller sjukdom som var refraktär mot den senaste behandlingen. Patienter med en aktiv eller allvarlig infektion, som tidigare genomgått en allogen hematopoetisk stamcellstransplantation (HSCT), med detekterbara maligna celler i cerebrospinalvätskan eller hjärnmetastaser, samt patienter med CNS-lymfom eller CNS-sjukdomar i anamnesen uteslöts. I ZUMA-2 inkluderades totalt 74 patienter i studien (dvs. genomgick leukaferes) och 68 av dessa patienter behandlades med Tecartus. Tre patienter fick inte Tecartus på grund av tillverkningsfel. Två andra patienter behandlades inte på grund av progressiv sjukdom (dödsfall) efter leukaferesen. En patient behandlades inte med Tecartus efter den lymfocytreducerande kemoterapin på grund av ett pågående förmaksflimmer. Den fullständiga analysuppsättningen (FAS) definierades som alla patienter som genomgick leukaferes. En sammanfattning av patienternas egenskaper vid baslinjen visas i tabell 4.
Tabell 4 Sammanfattning av egenskaper vid baslinjen i ZUMA‑2
Tecartus administrerades till patienterna som en enskild intravenös infusion med en måldos på 2 × 106 anti-CD19 CAR T-celler/kg (högsta tillåtna dos: 2 × 108 celler) efter lymfocytreducerande kemoterapiregim med cyklofosfamid 500 mg/m² intravenöst och fludarabin 30 mg/m² intravenöst, varav båda gavs på dag 5, 4 och 3 före behandlingen. Överbryggande behandling mellan leukaferes och lymfocytreducerande kemoterapi tilläts för att hålla sjukdomsbördan under kontroll.
För de patienter som fick behandling med Tecartus var mediantiden från leukaferes till att produkten frisläpptes 13 dagar (intervall: 9–20 dagar) och mediantiden från leukaferes till Tecartus-infusionen var 27 dagar (intervall: 19–74 dagar, med undantag för en utstickare på 134 dagar). Mediandosen var 2,0 × 106 anti-CD19 CAR T-celler/kg. Alla patienter fick Tecartus-infusion dag 0 och var inneliggande på sjukhus i minst 7 dagar.
Det primära effektmåttet var objektiv svarsfrekvens (objective response rate, ORR) enligt bedömning av en oberoende granskningskommitté utifrån Lugano-kriterierna från 2014. Sekundära effektmått inkluderade svarsduration (duration of response, DOR), total överlevnad (overall survival, OS), progressionsfri överlevnad (progression free survival, PFS) och biverkningarnas svårighetgrad.
För den primära analysen definierades analysuppsättningen på förhand och utgjordes av de första 60 patienterna som hade fått behandling med Tecartus och som blev utvärderade med avseende på behandlingssvar sex månader efter sjukdomsbedömningen efter Tecartus-infusionen i vecka 4. I denna analysuppsättning med 60 patienter var ORR 93 % med en CR-frekvens på 67 %. ORR var signifikant högre än tidigare, förspecificerade kontrollfrekvens på 25 % vid en ensidig signifikansnivå på 0,025 (p < 0,0001).
De uppdaterade analyserna av effekten i 24-månadersuppföljningen genomfördes med hjälp av analysuppsättningen mITT (modifierad intention-to-treat), vilken utgjordes av 68 patienter som behandlades med Tecartus. I analysen av 24-månadersuppföljningen var andelen ORR och CR av de 68 patienterna i mITT-uppsättningen 91 % respektive 68 %.
Resultaten i FAS-uppsättningen från både den primära analysen och analysen av 24-månadersuppföljningen visas i tabell 5.
Tabell 5 Sammanfattning av effektresultat för ZUMA‑2
Figur 1 Kaplan Meier-skattning av DOR i ITT-uppsättningen
Pediatrisk population
Europeiska läkemedelsmyndigheten har beviljat undantag från kravet att skicka in studieresultat för Tecartus för alla grupper av den pediatriska populationen för behandling av mantelcellslymfom (information om pediatrisk användning finns i avsnitt 4.2).
Recidiverande eller refraktär B-cellsprekursor ALL – ZUMA-3
En öppen fas 2 multicenterstudie utvärderade effekten och säkerheten av Tecartus hos vuxna patienter med recidiverande eller refraktär B-cellsprekursor ALL. Recidiv eller refraktär definierades som något av följande: primärt refraktär; första återfall efter remission ≤ 12 månader; återfall eller refraktär efter andra linjens eller högre behandling; återfall eller refraktär efter allogen stamcellstransplantation (allo-SCT) (förutsatt att transplantationen skedde ≥ 100 dagar före rekrytering till studien och att inga immunsuppressiva läkemedel intogs ≤ 4 veckor före rekrytering till studien). Studien exkluderade patienter med aktiva eller allvarliga infektioner, aktiv transplantat-mot-värdsjukdom och anamnes med CNS-sjukdomar. Patienter med CNS-2-sjukdom utan kliniskt uppenbara neurologiska förändringar inkluderades. I ZUMA-3 fas 2 rekryterades totalt 71 patienter (dvs. genomgick leukaferes) och 55 patienter behandlades med Tecartus. Sex patienter fick inte Tecartus på grund av tillverkningsfel. Åtta andra patienter behandlades inte, främst på grund av biverkningar efter leukaferes. Två patienter som genomgick leukaferes och fick lymfocytreducerande kemoterapi behandlades inte med Tecartus; en patient fick bakteriemi och neutropen feber och den andra patienten uppfyllde inte inklusionskriterierna efter lymfocytreducerande kemoterapi. FAS inkluderade alla patienter som genomgick leukaferes och analysuppsättningen mITT inkluderar alla patienter som genomgick leukaferes och behandlats med Tecartus i fas 2. En sammanfattning av patienternas karakteristika vid baslinjen finns i tabell 6.
Tabell 6 Sammanfattning av utgångsvärden för ZUMA-3 fas 2
Efter lymfocytreducerande kemoterapi administrerades Tecartus till patienter som en intravenös engångsinfusion med en måldos på 1 × 106 anti-CD19 CAR T-celler/kg (högsta tillåtna dos: 1 × 108 celler). Den lymfocytreducerande behandlingen bestod av cyklofosfamid 900 mg/m2 intravenöst under 60 minuter den 2:a dagen före Tecartusinfusion och fludarabin 25 mg/m2 intravenöst under 30 minuter den 4:e, 3:e och 2:a dagen före Tecartusinfusion. Av de 55 patienter som fick Tecartus fick 51 patienter överbryggande behandling mellan leukaferes och den lymfocytreducerande kemoterapin för att kontrollera sjukdomsbördan.
Mediantiden från leukaferes till produktleverans var 16 dagar (intervall: 11 till 42 dagar) och mediantiden från leukaferes till Tecartusinfusion var 29 dagar (intervall: 20 till 60 dagar). Mediandosen var 1,0 × 106 anti-CD19 CAR T-celler/kg. Alla patienter fick Tecartus infusion på dag 0 och var inlagda på sjukhus åtminstone till dag 7.
Det primära effektmåttet var den totala, fullständiga remissionsfrekvensen (OCR) (fullständiga remissioner [CR] + fullständiga remissioner med ofullständig hematologisk återhämtning [CRi]) hos patienter som behandlats med Tecartus enligt en oberoende granskning. Hos de 55 patienter som behandlades med Tecartus (mITT) var OCR-frekvensen 70,9 % med en CR-frekvens på 56,4 % (tabell 7), vilket var signifikant större än den förspecificerade kontrollfrekvensen på 40 %. Bland de 39 patienter som uppnådde CR eller CRi var mediantiden till svar 1,1 månader (intervall: 0,85 till 2,99 månader).
Alla behandlade patienter hade potentiell uppföljning i ≥ 18 månader med en medianuppföljningstid på 20,5 månader (95 % KI: 0,3, 32,6 månader) och en medianuppföljningstid för OS på 24,0 månader (95 % KI: 23,3, 24,6).
Tabell 7 Sammanfattning av effektresultat för ZUMA-3 fas 2
Figur 2 Kaplan Meier DOR i analysuppsättningen mITTa
a. DOR definierades endast för försökspersoner som uppnådde OCR, och därför var resultaten av analysen i FAS och mITT identiska.
Pediatrisk population
Europeiska läkemedelsmyndigheten har skjutit upp skyldigheten att lämna in resultaten av studier med Tecartus i en eller flera delmängder av B-cell ALL-barnpopulationen och avstått från skyldigheten att lämna in resultaten av studier med Tecartus för behandling av ALL i barnpopulationen som väger mindre än 6 kg. Se avsnitt 4.2 för information om pediatrisk användning.
Villkorat godkännande
Detta läkemedel har godkänts enligt reglerna om ”villkorat godkännande för försäljning”. Detta innebär att fler uppgifter om läkemedlet inväntas i både MCL- och ALL-patientpopulationen.
Europeiska läkemedelsmyndigheten går igenom ny information om detta läkemedel minst varje år och uppdaterar denna produktresumé när så behövs.
Cellulär kinetik
Mantelcellslymfom
Efter infusion av 2 × 106anti-CD19 CAR T-celler/kg av Tecartus i ZUMA-2 uppvisade anti-CD19 CAR T-cellerna en snabb ökning initialt, följt av en minskning till nära baslinjenivåerna efter 3 månader. Högsta nivåer av anti-CD19 CAR T-celler förekom inom de första 7 till 15 dagarna efter infusionen.
Bland patienter med MCL var antalet anti-CD19 CAR T-celler i blodet associerat med objektiv respons (CR eller PR) (tabell 8).
Tabell 8 Sammanfattning av farmakokinetiken för brexukabtagen-autoleucel i ZUMA‑2
P-värdet har beräknats med Wilcoxon-testet
Mediantoppvärdena för anti-CD19 CAR T-celler var 74,08 celler/μl hos MCL-patienter ≥ 65 år (n = 39) och 112,45 celler/μl hos MCL-patienter < 65 år (n = 28). Medianvärdena för AUC för anti-CD19 CAR T-celler var 876,48 celler/μl x dag hos MCL-patienter ≥ 65 år och 1640,21 celler/μl x dag hos MCL-patienter < 65 år.
Akut lymfatisk leukemi
Efter infusion av en måldos på 1 × 106 anti-CD19 CAR T-celler/kg Tecartus i ZUMA-3 (fas 2) uppvisade anti-CD19 CAR T-cellerna en initial snabb expansion följt av en nedgång till nära baslinjenivåer vid 3 månader. Mediantiden till toppnivåerna av anti-CD19 CAR T-celler förekom inom de första 15 dagarna efter Tecartus-infusion.
En sammanfattning av farmakokinetiken för Tecartus över tid, baserad på central bedömning genom totalt svar, finns i tabell 9.
Tabell 9 Sammanfattning av farmakokinetiken för brexukabtagen-autoleucel i ZUMA-3 fas 2
a. Tre av 39 försökspersoner som uppnådde CR eller CRi och 2 av 16 försökspersoner som inte var CR/CRi hade inga anti-CD19 CAR T-celldata vid något besök efter infusion.
b. Icke-komplett remission inkluderar alla icke-CR / CRi-patienter vars svar klassificeras som ofullständig remission med partiell hematologisk återhämtning, blastfri hypoplastisk eller aplastisk benmärg (N = 4), partiellt svar (N = 0), inget svar (N = 9) eller inte utvärderbar (N = 3).
c. P-värdet beräknas med Wilcoxons test
Mediantoppen för anti-CD19 CAR-T-celler var 34,8 celler/μl hos ALL patienter ≥ 65 år (n=8) och 17,4 celler/μl hos ALL patienter < 65 år (n=47). Medianvärdet för AUC för anti-CD19 CAR-T-celler var 425,0 celler/µl dag hos ALL patienter ≥ 65 år och 137,7 celler/μl dag hos ALL patienter < 65 år.
Hos MCL- och ALL-patienter hade kön ingen signifikant påverkan på AUCdag 0–28 och Cmax för Tecartus.
Studier av Tecartus på patienter med nedsatt lever- och njurfunktion utfördes inte.
Tecartus innehåller genmanipulerade humana T-celler, därför finns inga representativa in vitro-analyser, ex vivo-modeller eller in vivo-modeller som på ett korrekt sätt kan belysa de toxikologiska egenskaperna för den humana produkten. Därför utfördes inte traditionella toxikologiska studier som används vid läkemedelsutveckling.
Inga karcinogenicitets- eller gentoxicitetsstudier har utförts.
Inga studier har utförts för att utvärdera effekterna av denna behandling på fertilitet, reproduktion och utveckling.
Tecartus kan förvaras en gång vid -80 °C (± 10 °C) i upp till 90 dagar. Efter förvaring vid -80 °C (± 10 °C) måste produkten användas inom 90 dagar eller det märkta utgångsdatumet, beroende på vilket som inträffar först. Efter dessa datum får produkten inte användas och måste kasseras.
Tinad produkt får inte återfrysas.
Förvaringsanvisningar för läkemedlet efter upptining finns i avsnitt 6.3.
Kryoförvaringspåse av etenvinylacetat med förseglad tillsatsslang och två tillgängliga spikeportar, innehållande cirka 68 ml celldispersion.
En kryoförvaringspåse är individuellt förpackad i en transportkassett av metall.
Bestrålning kan leda till att läkemedlet inaktiveras.
Försiktighetsåtgärder före hantering eller administrering av läkemedlet
Tecartus måste transporteras inom enheten i förslutna, okrossbara, läckagesäkra behållare.
Detta läkemedel innehåller humanceller från blod. Hälso- och sjukvårdspersonal som hanterar Tecartus måste vidta lämpliga försiktighetsåtgärder (använda skyddshandskar och ögonskydd) för att undvika potentiell överföring av smittsamma infektionssjukdomar.
Förberedelse före administrering
Säkerställ att patientens identitet (ID) överensstämmer med patientens ID-nummer på metallkassetten med Tecartus.
Infusionspåsen med Tecartus får inte tas ut ur metallkassetten om informationen på den patientspecifika etiketten inte överensstämmer med den avsedda patienten.
När patientens ID har bekräftats, ta ut infusionspåsen från metallkassetten.
Kontrollera att patientinformationen på metallkassettens etikett överensstämmer med den på infusionspåsens etikett.
Inspektera infusionspåsen för eventuella skador eller sprickor före upptining. Om infusionspåsen har skador ska lokala riktlinjer för hantering av avfall av humant ursprung följas (och kontakta omedelbart Kite).
Upptining
Placera infusionspåsen i en andra påse.
Tina Tecartus vid cirka 37 °C antingen i vattenbad eller genom torr upptining tills det inte finns någon synlig is i infusionspåsen. Blanda försiktigt innehållet i infusionspåsen för att lösa upp klumpar av cellulärt material. Om synliga cellklumpar kvarstår, fortsätt att varsamt blanda innehållet i infusionspåsen. Små klumpar av cellulärt material ska kunna lösas upp genom varsam manuell blandning. Tecartus får inte tvättas, centrifugeras och/eller resuspenderas i nytt medium före infusion. Upptining bör ta cirka 3 till 5 minuter.
Efter upptining är Tecartus stabilt i rumstemperatur (20 °C – 25 °C) i upp till 3 timmar. Dock måste Tecartusinfusionen påbörjas inom 30 minuter efter avslutad upptining.
Administrering
Endast för autologt engångsbruk.
Tocilizumab och akututrustning måste finnas tillgängliga före infusion och under övervakningsperioden. I det undantagsfall där tocilizumab inte är tillgängligt på grund av en brist som är listad i Europeiska läkemedelsmyndighetens bristkatalog, måste lämpliga alternativa åtgärder för att behandla CRS istället för tocilizumab finnas tillgängliga före infusion.
Ett leukocytreducerande filter får inte användas.
Central venös åtkomst rekommenderas för administrering av Tecartus.
Verifiera patient-ID en gång till och se till att ID:t motsvarar de patientidentifierande uppgifterna på Tecartus-infusionspåsen.
Förbered slangen (”prima”) genom att fylla den med natriumklorid 9 mg/ml (0,9 %) injektionslösning (0,154 mmol natrium per ml) före infusion.
Infundera hela innehållet i Tecartus-infusionspåsen inom 30 minuter antingen via gravitation eller en peristaltisk pump.
Rör försiktigt på infusionspåsen under infusionen för att förhindra att cellerna klumpar ihop sig.
Efter att hela innehållet i infusionspåsen har infunderats, skölj slangen med samma infusionshastighet med natriumklorid 9 mg/ml (0,9 %) lösning för injektion (0,154 mmol natrium per ml) för att säkerställa att all behandling levereras.
Försiktighetsåtgärder som ska vidtas för kassering av läkemedlet.
Oanvänt läkemedel och allt material som har varit i kontakt med Tecartus (fast och flytande avfall) måste hanteras och kasseras som potentiellt infektiöst avfall i enlighet med lokala riktlinjer för hantering av avfall av humant ursprung.
Åtgärder som ska vidtas vid oavsiktlig exponering
Vid oavsiktlig exponering för Tecartus ska lokala riktlinjer för hantering av material av humant ursprung följas. Arbetsytor och material som kan ha varit i kontakt med Tecartus måste saneras med lämpligt desinfektionsmedel.
Cryostor CS10 (innehåller dimetylsulfoxid (DMSO))
Natriumklorid
Humant albumin
Då blandbarhetsstudier saknas får detta läkemedel inte blandas med andra läkemedel.
1 år.
Tecartus är stabilt vid rumstemperatur (20 °C till 25 °C) i upp till 3 timmar efter upptining. Tecartus-infusionen måste dock påbörjas inom 30 minuter efter upptining och den totala infusionstiden ska inte överskrida 30 minuter.
Tecartus måste förvaras i gasfas av flytande kväve (≤ -150 °C) och måste förbli fryst tills patienten är redo för behandling, för att säkerställa att viabla, levande, autologa celler finns tillgängliga för administrering till patienten.
Tecartus kan förvaras en gång vid -80 °C (± 10 °C) i upp till 90 dagar. Efter förvaring vid -80 °C (± 10 °C) måste produkten användas inom 90 dagar eller det märkta utgångsdatumet, beroende på vilket som inträffar först. Efter dessa datum får produkten inte användas och måste kasseras.
Tinad produkt får inte återfrysas.
Förvaringsanvisningar för läkemedlet efter upptining finns i avsnitt 6.3.
Kryoförvaringspåse av etenvinylacetat med förseglad tillsatsslang och två tillgängliga spikeportar, innehållande cirka 68 ml celldispersion.
En kryoförvaringspåse är individuellt förpackad i en transportkassett av metall.
Bestrålning kan leda till att läkemedlet inaktiveras.
Försiktighetsåtgärder före hantering eller administrering av läkemedlet
Tecartus måste transporteras inom enheten i förslutna, okrossbara, läckagesäkra behållare.
Detta läkemedel innehåller humanceller från blod. Hälso- och sjukvårdspersonal som hanterar Tecartus måste vidta lämpliga försiktighetsåtgärder (använda skyddshandskar och ögonskydd) för att undvika potentiell överföring av smittsamma infektionssjukdomar.
Förberedelse före administrering
Säkerställ att patientens identitet (ID) överensstämmer med patientens ID-nummer på metallkassetten med Tecartus.
Infusionspåsen med Tecartus får inte tas ut ur metallkassetten om informationen på den patientspecifika etiketten inte överensstämmer med den avsedda patienten.
När patientens ID har bekräftats, ta ut infusionspåsen från metallkassetten.
Kontrollera att patientinformationen på metallkassettens etikett överensstämmer med den på infusionspåsens etikett.
Inspektera infusionspåsen för eventuella skador eller sprickor före upptining. Om infusionspåsen har skador ska lokala riktlinjer för hantering av avfall av humant ursprung följas (och kontakta omedelbart Kite).
Upptining
Placera infusionspåsen i en andra påse.
Tina Tecartus vid cirka 37 °C antingen i vattenbad eller genom torr upptining tills det inte finns någon synlig is i infusionspåsen. Blanda försiktigt innehållet i infusionspåsen för att lösa upp klumpar av cellulärt material. Om synliga cellklumpar kvarstår, fortsätt att varsamt blanda innehållet i infusionspåsen. Små klumpar av cellulärt material ska kunna lösas upp genom varsam manuell blandning. Tecartus får inte tvättas, centrifugeras och/eller resuspenderas i nytt medium före infusion. Upptining bör ta cirka 3 till 5 minuter.
Efter upptining är Tecartus stabilt i rumstemperatur (20 °C – 25 °C) i upp till 3 timmar. Dock måste Tecartusinfusionen påbörjas inom 30 minuter efter avslutad upptining.
Administrering
Endast för autologt engångsbruk.
Tocilizumab och akututrustning måste finnas tillgängliga före infusion och under övervakningsperioden. I det undantagsfall där tocilizumab inte är tillgängligt på grund av en brist som är listad i Europeiska läkemedelsmyndighetens bristkatalog, måste lämpliga alternativa åtgärder för att behandla CRS istället för tocilizumab finnas tillgängliga före infusion.
Ett leukocytreducerande filter får inte användas.
Central venös åtkomst rekommenderas för administrering av Tecartus.
Verifiera patient-ID en gång till och se till att ID:t motsvarar de patientidentifierande uppgifterna på Tecartus-infusionspåsen.
Förbered slangen (”prima”) genom att fylla den med natriumklorid 9 mg/ml (0,9 %) injektionslösning (0,154 mmol natrium per ml) före infusion.
Infundera hela innehållet i Tecartus-infusionspåsen inom 30 minuter antingen via gravitation eller en peristaltisk pump.
Rör försiktigt på infusionspåsen under infusionen för att förhindra att cellerna klumpar ihop sig.
Efter att hela innehållet i infusionspåsen har infunderats, skölj slangen med samma infusionshastighet med natriumklorid 9 mg/ml (0,9 %) lösning för injektion (0,154 mmol natrium per ml) för att säkerställa att all behandling levereras.
Försiktighetsåtgärder som ska vidtas för kassering av läkemedlet.
Oanvänt läkemedel och allt material som har varit i kontakt med Tecartus (fast och flytande avfall) måste hanteras och kasseras som potentiellt infektiöst avfall i enlighet med lokala riktlinjer för hantering av avfall av humant ursprung.
Åtgärder som ska vidtas vid oavsiktlig exponering
Vid oavsiktlig exponering för Tecartus ska lokala riktlinjer för hantering av material av humant ursprung följas. Arbetsytor och material som kan ha varit i kontakt med Tecartus måste saneras med lämpligt desinfektionsmedel.
Produktresumén är företagets information om läkemedlet riktat till förskrivare och personal inom sjukvård och apotek. Dokumentet är godkända av Läkemedelsverket eller den europeiska läkemedelsmyndigheten EMA i samband med att läkemedlet godkänns för marknadsföring.