Hizentra 200 mg/ml injektionsvätska för subkutan injektion, lösning
Hizentra 200 mg/ml injektionsvätska för subkutan injektion, lösning i förfylld spruta
Lösning för subkutan injektion.
Lösningen är klar och svagt gul eller ljusbrun.
Hizentra har en ungefärlig osmolalitet på 380 mOsmol/kg.
CSL Behring GmbH
Emil-von-Behring-Strasse 76
D-35041 Marburg
Tyskland
Första godkännandet: 14 april 2011
Förnyat godkännande: 18 februari 2016
09/2025
Information om detta läkemedel finns på Europeiska läkemedelsmyndighetens webbplats http://www.ema.europa.eu/
Varje förfylld spruta med 10 ml lösning innehåller: 2 g humant normalt immunglobulin
Varje förfylld spruta med 20 ml lösning innehåller: 4 g humant normalt immunglobulin
Varje förfylld spruta med 50 ml lösning innehåller: 10 g humant normalt immunglobulin
Fördelning av IgG-subklasser (ungefärliga värden):
IgG1 69%
IgG2 26%
IgG3 3%
IgG4 2%
Maximalt IgA-innehåll är 50 mikrogram/ml.
Producerad av human plasma från donatorer.
Hjälpämne(n) med känd effekt
Hizentra innehåller cirka 250 mmol/l (intervall: 210 till 290) L-prolin.
Den fullständiga förteckningen över hjälpämnen finns i avsnitt 6.1.
Humant normalt immunglobulin (SCIg)
En ml innehåller:
Humant normalt immunglobulin 200 mg
(renhet: minst 98% är immunglobulin typ G (IgG))
Injektionsflaskor
Varje injektionsflaska med 5 ml lösning innehåller: 1 g humant normalt immunglobulin
Varje injektionsflaska med 10 ml lösning innehåller: 2 g humant normalt immunglobulin
Varje injektionsflaska med 20 ml lösning innehåller: 4 g humant normalt immunglobulin
Varje injektionsflaska med 50 ml lösning innehåller: 10 g humant normalt immunglobulin
Förfyllda sprutor
Varje förfylld spruta med 5 ml lösning innehåller: 1 g humant normalt immunglobulin
Varje förfylld spruta med 10 ml lösning innehåller: 2 g humant normalt immunglobulin
Varje förfylld spruta med 20 ml lösning innehåller: 4 g humant normalt immunglobulin
Varje förfylld spruta med 50 ml lösning innehåller: 10 g humant normalt immunglobulin
Fördelning av IgG-subklasser (ungefärliga värden):
IgG1 69%
IgG2 26%
IgG3 3%
IgG4 2%
Maximalt IgA-innehåll är 50 mikrogram/ml.
Producerad av human plasma från donatorer.
Hjälpämne(n) med känd effekt
Hizentra innehåller cirka 250 mmol/l (intervall: 210 till 290) L-prolin.
Den fullständiga förteckningen över hjälpämnen finns i avsnitt 6.1.
Behandling ska initieras och övervakas under ledning av sjukvårdspersonal med erfarenhet av behandling av immunbrist/CIDP med SCIg.
Dosering
Vuxna och barn (0–18 år)
Substitutionsterapi
Läkemedlet ska administreras subkutant.
Vid substitutionsterapi kan dosen behöva anpassas individuellt till varje patient beroende på det kliniska svaret och lägsta nivåer av serum-IgG. Följande doser anges som vägledning.
Doseringsregimen bör uppnå en lägsta IgG-nivå (uppmätt innan nästa infusion) om minst 6 g/l, eller ligga inom det normala referensintervallet för åldersgruppen i populationen. En startdos på minst 0,2-0,5 g/kg (1,0-2,5 ml/kg) kroppsvikt kan krävas. Den kan behöva fördelas på flera dagar. Efter att steady state av IgG-nivåer uppnåtts, administreras underhållsdoser med jämna mellanrum för att uppnå en total månatlig dos i storleksordningen 0,4-0,8 g/kg (2,0-4,0 ml/kg) kroppsvikt. Varje enskild dos kan behöva injiceras på olika ställen på kroppen.
Lägsta nivåer ska mätas och bedömas i samband med patientens kliniska svar. Beroende på det kliniska svaret (t.ex. infektionsfrekvens), kan justering av dos och/eller dosintervall övervägas för att man ska kunna uppnå högre lägsta nivåer.
Immunomodulerande terapi vid CIDP
Behandling med Hizentra påbörjas 1 vecka efter den sista infusionen IVIg. Den rekommenderade subkutana dosen är 0,2‑0,4 g/kg kroppsvikt per vecka administrerat 1 eller 2 gånger under 1 eller 2 dagar i följd. Den initiala subkutana dosen kan ha en 1:1-konversion mot den tidigare IVIg-dosen (beräknad som veckodos).
Exempel en dos på 1 g/kg IVIg given var tredje vecka räknas om till 0,33 g/kg Hizentra som veckodos.
Veckodosen kan fördelas i mindre doser och administreras efter önskat antal gånger per vecka. För dosering varannan vecka ska veckodosen av Hizentra dubbleras.
Dosen kan behöva anpassas för att uppnå önskad klinisk respons. Patientens individuella kliniska respons ska vara den främsta faktorn vid dosjustering. Vid eventuell klinisk försämring kan dosen ökas tilll den rekommenderade maximala veckodosen 0,4 g/kg. Underhållsbehandling med Hizentra vid CIDP har inte studerats i perioder längre än 18 månader. Behandling längre än 18 månader ska anpassas efter patientens respons och uppvisade behov av fortsatt behandling.
Effekten av Hizentra jämfört med placebo har visats efter byte från intravenösa immunoglobuliner (IVIg). Direkt jämförande data för Hizentra mot IVIg finns inte tillgängliga. Se avsnitt 5.1.
Pediatrisk population
Doseringen till barn och ungdomar (0-18 år) skiljer sig inte från den för vuxna, då doseringen ges enligt kroppsvikt för varje indikation och justeras enligt det kliniska svaret vid substitutionsterapiindikationerna.
Hizentra utvärderades hos 68 pediatriska patienter med PID i åldern 2 till <12 år och hos 57 tonåringar i åldern 12 till <18 år. Inga specifika doskrav för barn var nödvändiga för att uppnå de önskade nivåerna av serum-IgG. Hizentra har inte utvärderats i kliniska studier på pediatriska patienter med CIDP som är under 18 år.
Äldre
Då doseringen ges enligt kroppsvikt och justeras enligt det kliniska svaret av de ovan nämnda tillstånden, så anses doseringen hos äldre inte vara annorlunda än den för patienter i åldern 18‑65 år.
Hizentra utvärderades i kliniska studier på 13 patienter med PID som var >65 år. Inga specifika dosjusteringar var nödvändiga för att uppnå de önskade nivåerna av serumg-IgG.
Hizentra utvärderades i kliniska studier på 61 patienter med CIDP som var >65 år. Inga specifika dosjusteringar var nödvändiga för att uppnå det önskade kliniska resultatet.
Administreringssätt
Endast för subkutan använding.
Hembehandling
Subkutan infusion för behandling i hemmet ska initieras och övervakas av sjukvårdspersonal med erfarenhet av att instruera patienter för behandling i hemmet. Sjukvårdspersonalen måste välja ett lämpligt sätt för infusion (infusion via infusionsutrustning eller infusion med manuellt tryck), baserat på patientens individuella medicinska situation och preferenser. Infusionsanordning lämplig för subkutan administrering av immunglobuliner kan användas. Patienten eller vårdgivaren måste instrueras och tränas i hur infusionsanordningar ska användas, att behandlingsdagbok skall föras och hur eventuella allvarliga biverkningar känns igen och hanteras.
Hizentra kan infunderas på ställen som buk, lår, överarm och/eller lateral höft.
Mer än en infusionsutrustning kan användas samtidigt. Mängden läkemedel som infunderas på ett specifikt ställe kan variera. Hos spädbarn och barn kan infusionsstället ändras var 5-15 ml. Hos vuxna kan doser på upp till 50 ml/infusionsställe ges. Det finns ingen gräns för antalet infusionsställen. Infusionsställena ska vara belägna minst 5 cm ifrån varandra.
Infusionshastighet
Hizentra kan infunderas:
via infusionsutrustning, eller
manuellt tryck med en spruta.
Den rekommenderade initiala infusionshastigheten beror på den enskilda patientens behov.
Infusion via infusionsutrustning
Den initiala infusionshastigheten ska inte överskrida 20 ml/timme/ställe.
Om den tolereras väl (se även avsnitt 4.4), kan infusionshastigheten sedan gradvis ökas till 35 ml/timme/ställe under de två följande infusionerna. Därefter, om patienten tolererar de initiala infusionerna med full dos per ställe och maximal hastighet, kan en ökning av infusionshastigheten under påföljande infusioner övervägas i samråd med patienten och baserat på vårdpersonalens bedömning.
Infusion med manuellt tryck
Den rekommenderade initiala infusionshastigheten ska inte överstiga 0,5 ml/min/ställe (30 ml/timme/ställe). Om den tolereras väl (se även avsnitt 4.4), kan infusionshastigheten ökas till 2,0 ml/min/ställe (120 ml/timme/ställe). Därefter, om patienten tolererar de initiala infusionerna med full dos per ställe och maximal hastighet, kan en ökning av infusionshastigheten under påföljande infusioner övervägas i samråd med patienten och baserat på sjukvårdspersonalens bedömning.
En 24 eller högre nålstorlek (dvs. lägre gaugetal) kan vara nödvändig för högre infusionshastigheter. Att använda mindre nålar (dvs. högre gaugetal) kan göra det svårare att manuellt trycka in Hizentra. En spruta kan endast användas till ett infusionsställe. Om administrering med ytterligare en Hizentra-spruta krävs, bör en ny steril injektionsnål användas och infusionsstället flyttas.
Om Hizentra förfylld spruta används med manuellt tryck, rekommenderas användning av 5 ml, 10 ml eller 20 ml förfylld spruta.
Överkänslighet mot den aktiva substansen eller mot något hjälpämne som anges i avsnitt 6.1 (se avsnitt 4.4).
Patienter med hyperprolinemi typ I eller II.
Hizentra får inte ges intravaskulärt.
Spårbarhet
För att underlätta spårbarhet av biologiska läkemedel ska läkemedlets namn och satsnummer dokumenteras.
Hizentra är endast avsett för subkutan användning. Om Hizentra av misstag administreras i ett blodkärl kan patienter drabbas av chock.
Den rekommenderade infusionshastigheten som anges i avsnitt 4.2 ska följas. Patienter ska övervakas och hållas under noggrann observation för eventuella biverkningar under hela infusionsperioden.
Vissa biverkningar är vanligare hos patienter som får humant normalt immunglobulin för första gången eller, i sällsynta fall, när den humana normala immunglobulinprodukten byts eller vid uppehåll i behandling i mer än åtta veckor.
Eventuella komplikationer kan ofta undvikas genom att säkerställa att patienter:
inte är känsliga för humant normalt immunglobulin, genom att initialt infundera produkten långsamt (se avsnitt 4.2);
övervakas noggrant för eventuella symtom under hela infusionsperioden. Patienter som är naiva för humant normalt immunglobulin, patienter som byter från annan produkt eller när det har gått lång tid sedan föregående infusion, ska övervakas särskilt under den första infusionen och i en timme därefter, för att upptäcka eventuella biverkningar. Alla andra patienter ska observeras i minst 20 minuter efter administrering
Vid misstänkt allergi eller anafylaktisk reaktion ska infusionen omedelbart avbrytas. Vid chock ska behandling ges i enlighet med gällande riktlinjer.
Överkänslighet
Äkta överkänslighetsreaktioner är sällsynta. De kan särskilt ske hos patienter med anti-IgA antikroppar och dessa borde behandlas med särkild försiktighet. Patienter med anti-IgA antikroppar där behandling med subkutana IgG-produkter är den enda återstående valmöjligheten, borde behandlas med Hizentra enbart under noga medicinsk övervakning.
I sällsynta fall kan humant normalt immunglobulin orsaka blodtrycksfall med anafylaktisk reaktion, även hos patienter som tidigare har tolererat behandling med humant normalt immunglobulin.
Tromboembolism
Arteriella och venösa tromboembolihändelser inklusive myokardinfarkt, stroke, djup ventrombos och lungembolism har associerats med användningen av immunglobuliner. Försiktighet ska iakttas när det gäller patienter med befintliga riskfaktorer för tromboshändelser (t.ex. hög ålder, hypertoni, diabetes mellitus och tidigare vaskulär sjukdom eller trombosepisoder, patienter med förvärvad eller ärftlig trombofili, patienter med långvariga perioder med immobilisering, kraftigt hypovolemiska patienter, patienter med sjukdomar som ökar blodets viskositet). Patienter ska informeras om de inledande symtomen på tromboembolihändelser, inklusive andfåddhet, smärta och svullnad i en extremitet, fokala neurologiska bortfall och bröstsmärta och de ska uppmanas att omedelbart kontakta läkare vid symtomdebut. Patienter ska vara tillräckligt hydrerade innan immunglobuliner används.
Aseptiskt meningitsyndrom (AMS)
AMS har rapporterats vid användning av IVIg eller SCIg. Syndromet debuterar vanligtvis inom några timmar till 2 dagar efter behandling med immunglobulin. AMS kännetecknas av följande tecken och symtom: svår huvudvärk, stel nacke, dåsighet, feber, ljuskänslighet, illamående och kräkning. Patienter som uppvisar tecken och symtom på AMS ska genomgå en grundlig neurologisk undersökning, inklusive CSF-undersökningar, för att utesluta andra orsaker till meningit. Om behandlingen med immunglobulin avbryts kan AMS läka ut på några dagar utan följdverkningar.
Information om säkerhet gällande överförbara agens
Standardåtgärder för att förhindra att infektioner överförs från läkemedel som är tillverkade av humant blod eller plasma omfattar urval av givare, test av individuella donationer och plasmapooler för specifika infektionsmarkörer samt att effektiva tillverkningssteg för att inaktivera eller eliminera virus är en del av tillverkningsprocessen. Trots detta kan risken för överföring av infektiösa agens inte helt uteslutas när läkemedel som framställts av humant blod eller human plasma ges. Detta gäller även nya hittills okända virus och andra patogener.
De vidtagna åtgärderna anses vara effektiva mot höljeförsedda virus, såsom HIV, HBV och HCV, och för icke-höljeförsedda virus som HAV och parvovirus B19.
Det finns övertygande klinisk erfarenhet av att hepatit A eller parvovirus B19 inte överförs med immunglobuliner och det antas också att antikroppsinnehållet ger ett viktigt bidrag till virussäkerheten.
Interferens med serologiska tester
Efter infusion av immunglobulin kan den tillfälliga ökningen av de olika passivt överförda antikropparna i patientens blod ge falskt positiva resultat i serologiska tester.
Passiv överföring av antikroppar mot erytrocytantigener, t.ex. A, B, D, kan påverka vissa serologiska tester av alloantikroppar mot röda blodkroppar (Coombs test).
Natriuminnehåll
Detta läkemedel innehåller mindre än 1 mmol (23 mg) natrium per injektionsflaska/spruta, d.v.s. är näst intill “natriumfritt”.
Pediatrisk population
Samma varningar och försiktighetsåtgärder gäller för den pediatriska populationen.
Äldre
Samma varningar och försiktighetsåtgärder gäller för äldre.
Levande, försvagade virusvacciner
Administrering av immunglobuliner kan försämra effekten av levande, försvagade virusvacciner som t.ex. mässling, påssjuka, röda hund och vattkoppor under en period på minst sex veckor och upp till tre månader. Efter administrering av detta läkemedel, bör det vara ett uppehåll på tre månader före vaccination med levande, försvagade virusvacciner. För mässling kan risken för sämre effekt kvarstå i upp till ett år. Därför bör patienter som får mässlingsvaccin få sin antikroppsstatus kontrollerad.
Pediatrisk population
Samma interaktioner kan uppkomma i den pediatriska populationen.
Äldre
Samma interaktioner kan uppkomma hos äldre.
Graviditet
Uppgifter från prospektiva kliniska studier på användning av humant normalt immunglobulin hos gravida kvinnor är begränsade. Därför ska Hizentra endast ges med försiktighet till gravida kvinnor. Klinisk erfarenhet av immunglobuliner tyder på att inga skadliga effekter på graviditetsförloppet eller på fostret och det nyfödda barnet förväntas.
Fortsatt behandling av den gravida kvinnan säkerställer en passiv immunitet för det nyfödda barnet.
Amning
Data från prospektiva kliniska studier där användning av humant normalt immunglobulin på ammande mödrar studeras är begränsat. Därför bör Hizentra enbart ges med försiktighet till ammande mödrar. Klinisk erfarenhet med immunglobuliner antyder dock att inga skadliga effekter på det nyfödda barnet förväntas. Immunglobuliner utsöndras i mjölken och kan bidra till överföring av skyddande antikroppar till det nyfödda barnet.
Fertilitet
Klinisk erfarenhet av immunglobuliner tyder på att inga skadliga effekter på fertiliteten förväntas.
Hizentra har mindre effekt på förmågan att framföra fordon och använda maskiner, t.ex. yrsel (se avsnitt 4.8). Patienter som upplever biverkningar under behandling ska vänta på att dessa försvinner innan de framför fordon eller använder maskiner.
Sammanfattning av säkerhetsprofilen
Biverkningar som frossbrytningar, huvudvärk, feber, kräkningar, allergiska reaktioner, illamående, artralgi, lågt blodtryck och måttlig smärta i nedre delen av ryggen kan förekomma emellanåt.
I sällsynta fall kan humana normala immunglobuliner orsaka ett plötsligt blodtrycksfall och i enstaka fall anafylaktisk chock, även om patienten inte har visat överkänslighet vid tidigare administrering.
Symtom vid administreringsstället: svullnad, ömhet, rodnad, induration, lokal värmekänsla, klåda, blåmärke och hudutslag.
För information om säkerhet avseende överförbara agens, se avsnitt 4.4.
Biverkningar listade i tabellform
Biverkningar har sammanställts från kliniska prövningar med Hizentra: sju fas III-studier hos patienter med primär immunbrist (n = 231), två fas IV-studier hos patienter med PID (n = 74), en fas III‑studie (n = 115) och en förlängningsstudie (n = 82) hos patienter med CIDP (totalt n = 502 patienter; 26 646 infusioner). Biverkningarna som rapporterades i dessa kliniska studier är sammanfattade och kategoriserade enligt MedDRA-klassificeringen av organsystem (systemorganklass och föredragna termer) och frekvens nedan.
Frekvens per patient eller per infusion har utvärderats enligt följande kriterier: Mycket vanliga (≥1/10), vanliga (≥1/100, <1/10), mindre vanliga (≥1/1 000, <1/100), sällsynta (≥1/10 000, <1/1 000), mycket sällsynta (<1/10,000). För spontana biverkningar efter läkemedlets godkännande är frekvensen kategoriserad som ingen känd frekvens.
Biverkningarna presenteras inom varje frekvensgrupp efter avtagande frekvens.
Frekvens av biverkningar associerade med Hizentra från kliniska studier och efter godkännande, rapporterat per patient eller per infusion.
Pediatrisk population
Kliniska prövningar av Hizentra visade en totalt sett likartad säkerhetsprofil hos pediatriska och vuxna patienter med PID.
Hizentra har inte utvärderats i kliniska studier på pediatriska patienter med CIDP som var under 18 år.
Äldre
Samma biverkningar kan uppkomma hos äldre. Data från kliniska prövningar visade inga skillnader i säkerhetsprofilen hos patienter ≥65 år jämfört med yngre patienter.
Erfarenheter efter marknadsföring av Hizentra hos patienter ≥65 år visar en generellt sett liknande säkerhetsprofil i denna åldergrupp jämfört med yngre patienter.
Se avsnitt 4.4 för mer information om riskfaktorer och övervakningsrekommendationer.
Konsekvenserna av överdosering är inte kända.
Substitutionsterapi hos vuxna, barn och ungdomar (0–18 år) vid:
Primär immunbristssyndrom med nedsatt antikroppsproduktion (se avsnitt 4.4).
Sekundär immunbrist (SID) hos patienter som lider av svåra eller återkommande infektioner, ineffektiv antimikrobiell behandling och som antingen har en konstaterad specifik antikroppsbrist (PSAF, proven specific antibody failure)* eller en IgG-nivå i serum på < 4 g/l.
*PSAF = oförmåga att uppnå minst en fördubblad IgG-antikroppstiter mot pneumokockpolysackarid- och polypeptidantigenvaccin.
Immunomodulerande terapi hos vuxna, barn och ungdomar (0‑18 år):
Hizentra är indicerat för underhållsbehandling av patienter med kronisk inflammatorisk demyeliniserande polyradikuloneuropati (CIDP) efter stabilisering med IVIg.
Dosen och doseringsregimen är beroende av indikation.
Behandling ska initieras och övervakas under ledning av sjukvårdspersonal med erfarenhet av behandling av immunbrist/CIDP med SCIg.
Dosering
Vuxna och barn (0–18 år)
Substitutionsterapi
Läkemedlet ska administreras subkutant.
Vid substitutionsterapi kan dosen behöva anpassas individuellt till varje patient beroende på det kliniska svaret och lägsta nivåer av serum-IgG. Följande doser anges som vägledning.
Doseringsregimen bör uppnå en lägsta IgG-nivå (uppmätt innan nästa infusion) om minst 6 g/l, eller ligga inom det normala referensintervallet för åldersgruppen i populationen. En startdos på minst 0,2-0,5 g/kg (1,0-2,5 ml/kg) kroppsvikt kan krävas. Den kan behöva fördelas på flera dagar. Efter att steady state av IgG-nivåer uppnåtts, administreras underhållsdoser med jämna mellanrum för att uppnå en total månatlig dos i storleksordningen 0,4-0,8 g/kg (2,0-4,0 ml/kg) kroppsvikt. Varje enskild dos kan behöva injiceras på olika ställen på kroppen.
Lägsta nivåer ska mätas och bedömas i samband med patientens kliniska svar. Beroende på det kliniska svaret (t.ex. infektionsfrekvens), kan justering av dos och/eller dosintervall övervägas för att man ska kunna uppnå högre lägsta nivåer.
Immunomodulerande terapi vid CIDP
Behandling med Hizentra påbörjas 1 vecka efter den sista infusionen IVIg. Den rekommenderade subkutana dosen är 0,2‑0,4 g/kg kroppsvikt per vecka administrerat 1 eller 2 gånger under 1 eller 2 dagar i följd. Den initiala subkutana dosen kan ha en 1:1-konversion mot den tidigare IVIg-dosen (beräknad som veckodos).
Exempel en dos på 1 g/kg IVIg given var tredje vecka räknas om till 0,33 g/kg Hizentra som veckodos.
Veckodosen kan fördelas i mindre doser och administreras efter önskat antal gånger per vecka. För dosering varannan vecka ska veckodosen av Hizentra dubbleras.
Dosen kan behöva anpassas för att uppnå önskad klinisk respons. Patientens individuella kliniska respons ska vara den främsta faktorn vid dosjustering. Vid eventuell klinisk försämring kan dosen ökas tilll den rekommenderade maximala veckodosen 0,4 g/kg. Underhållsbehandling med Hizentra vid CIDP har inte studerats i perioder längre än 18 månader. Behandling längre än 18 månader ska anpassas efter patientens respons och uppvisade behov av fortsatt behandling.
Effekten av Hizentra jämfört med placebo har visats efter byte från intravenösa immunoglobuliner (IVIg). Direkt jämförande data för Hizentra mot IVIg finns inte tillgängliga. Se avsnitt 5.1.
Pediatrisk population
Doseringen till barn och ungdomar (0-18 år) skiljer sig inte från den för vuxna, då doseringen ges enligt kroppsvikt för varje indikation och justeras enligt det kliniska svaret vid substitutionsterapiindikationerna.
Hizentra utvärderades hos 68 pediatriska patienter med PID i åldern 2 till <12 år och hos 57 tonåringar i åldern 12 till <18 år. Inga specifika doskrav för barn var nödvändiga för att uppnå de önskade nivåerna av serum-IgG. Hizentra har inte utvärderats i kliniska studier på pediatriska patienter med CIDP som är under 18 år.
Äldre
Då doseringen ges enligt kroppsvikt och justeras enligt det kliniska svaret av de ovan nämnda tillstånden, så anses doseringen hos äldre inte vara annorlunda än den för patienter i åldern 18‑65 år.
Hizentra utvärderades i kliniska studier på 13 patienter med PID som var >65 år. Inga specifika dosjusteringar var nödvändiga för att uppnå de önskade nivåerna av serumg-IgG.
Hizentra utvärderades i kliniska studier på 61 patienter med CIDP som var >65 år. Inga specifika dosjusteringar var nödvändiga för att uppnå det önskade kliniska resultatet.
Administreringssätt
Endast för subkutan använding.
Hembehandling
Subkutan infusion för behandling i hemmet ska initieras och övervakas av sjukvårdspersonal med erfarenhet av att instruera patienter för behandling i hemmet. Sjukvårdspersonalen måste välja ett lämpligt sätt för infusion (infusion via infusionsutrustning eller infusion med manuellt tryck), baserat på patientens individuella medicinska situation och preferenser. Infusionsanordning lämplig för subkutan administrering av immunglobuliner kan användas. Patienten eller vårdgivaren måste instrueras och tränas i hur infusionsanordningar ska användas, att behandlingsdagbok skall föras och hur eventuella allvarliga biverkningar känns igen och hanteras.
Hizentra kan infunderas på ställen som buk, lår, överarm och/eller lateral höft.
Mer än en infusionsutrustning kan användas samtidigt. Mängden läkemedel som infunderas på ett specifikt ställe kan variera. Hos spädbarn och barn kan infusionsstället ändras var 5-15 ml. Hos vuxna kan doser på upp till 50 ml/infusionsställe ges. Det finns ingen gräns för antalet infusionsställen. Infusionsställena ska vara belägna minst 5 cm ifrån varandra.
Infusionshastighet
Hizentra kan infunderas:
via infusionsutrustning, eller
manuellt tryck med en spruta.
Den rekommenderade initiala infusionshastigheten beror på den enskilda patientens behov.
Infusion via infusionsutrustning
Den initiala infusionshastigheten ska inte överskrida 20 ml/timme/ställe.
Om den tolereras väl (se även avsnitt 4.4), kan infusionshastigheten sedan gradvis ökas till 35 ml/timme/ställe under de två följande infusionerna. Därefter, om patienten tolererar de initiala infusionerna med full dos per ställe och maximal hastighet, kan en ökning av infusionshastigheten under påföljande infusioner övervägas i samråd med patienten och baserat på vårdpersonalens bedömning.
Infusion med manuellt tryck
Den rekommenderade initiala infusionshastigheten ska inte överstiga 0,5 ml/min/ställe (30 ml/timme/ställe). Om den tolereras väl (se även avsnitt 4.4), kan infusionshastigheten ökas till 2,0 ml/min/ställe (120 ml/timme/ställe). Därefter, om patienten tolererar de initiala infusionerna med full dos per ställe och maximal hastighet, kan en ökning av infusionshastigheten under påföljande infusioner övervägas i samråd med patienten och baserat på sjukvårdspersonalens bedömning.
En 24 eller högre nålstorlek (dvs. lägre gaugetal) kan vara nödvändig för högre infusionshastigheter. Att använda mindre nålar (dvs. högre gaugetal) kan göra det svårare att manuellt trycka in Hizentra. En spruta kan endast användas till ett infusionsställe. Om administrering med ytterligare en Hizentra-spruta krävs, bör en ny steril injektionsnål användas och infusionsstället flyttas.
Om Hizentra förfylld spruta används med manuellt tryck, rekommenderas användning av 5 ml, 10 ml eller 20 ml förfylld spruta.
Överkänslighet mot den aktiva substansen eller mot något hjälpämne som anges i avsnitt 6.1 (se avsnitt 4.4).
Patienter med hyperprolinemi typ I eller II.
Hizentra får inte ges intravaskulärt.
Spårbarhet
För att underlätta spårbarhet av biologiska läkemedel ska läkemedlets namn och satsnummer dokumenteras.
Hizentra är endast avsett för subkutan användning. Om Hizentra av misstag administreras i ett blodkärl kan patienter drabbas av chock.
Den rekommenderade infusionshastigheten som anges i avsnitt 4.2 ska följas. Patienter ska övervakas och hållas under noggrann observation för eventuella biverkningar under hela infusionsperioden.
Vissa biverkningar är vanligare hos patienter som får humant normalt immunglobulin för första gången eller, i sällsynta fall, när den humana normala immunglobulinprodukten byts eller vid uppehåll i behandling i mer än åtta veckor.
Eventuella komplikationer kan ofta undvikas genom att säkerställa att patienter:
inte är känsliga för humant normalt immunglobulin, genom att initialt infundera produkten långsamt (se avsnitt 4.2);
övervakas noggrant för eventuella symtom under hela infusionsperioden. Patienter som är naiva för humant normalt immunglobulin, patienter som byter från annan produkt eller när det har gått lång tid sedan föregående infusion, ska övervakas särskilt under den första infusionen och i en timme därefter, för att upptäcka eventuella biverkningar. Alla andra patienter ska observeras i minst 20 minuter efter administrering
Vid misstänkt allergi eller anafylaktisk reaktion ska infusionen omedelbart avbrytas. Vid chock ska behandling ges i enlighet med gällande riktlinjer.
Överkänslighet
Äkta överkänslighetsreaktioner är sällsynta. De kan särskilt ske hos patienter med anti-IgA antikroppar och dessa borde behandlas med särkild försiktighet. Patienter med anti-IgA antikroppar där behandling med subkutana IgG-produkter är den enda återstående valmöjligheten, borde behandlas med Hizentra enbart under noga medicinsk övervakning.
I sällsynta fall kan humant normalt immunglobulin orsaka blodtrycksfall med anafylaktisk reaktion, även hos patienter som tidigare har tolererat behandling med humant normalt immunglobulin.
Tromboembolism
Arteriella och venösa tromboembolihändelser inklusive myokardinfarkt, stroke, djup ventrombos och lungembolism har associerats med användningen av immunglobuliner. Försiktighet ska iakttas när det gäller patienter med befintliga riskfaktorer för tromboshändelser (t.ex. hög ålder, hypertoni, diabetes mellitus och tidigare vaskulär sjukdom eller trombosepisoder, patienter med förvärvad eller ärftlig trombofili, patienter med långvariga perioder med immobilisering, kraftigt hypovolemiska patienter, patienter med sjukdomar som ökar blodets viskositet). Patienter ska informeras om de inledande symtomen på tromboembolihändelser, inklusive andfåddhet, smärta och svullnad i en extremitet, fokala neurologiska bortfall och bröstsmärta och de ska uppmanas att omedelbart kontakta läkare vid symtomdebut. Patienter ska vara tillräckligt hydrerade innan immunglobuliner används.
Aseptiskt meningitsyndrom (AMS)
AMS har rapporterats vid användning av IVIg eller SCIg. Syndromet debuterar vanligtvis inom några timmar till 2 dagar efter behandling med immunglobulin. AMS kännetecknas av följande tecken och symtom: svår huvudvärk, stel nacke, dåsighet, feber, ljuskänslighet, illamående och kräkning. Patienter som uppvisar tecken och symtom på AMS ska genomgå en grundlig neurologisk undersökning, inklusive CSF-undersökningar, för att utesluta andra orsaker till meningit. Om behandlingen med immunglobulin avbryts kan AMS läka ut på några dagar utan följdverkningar.
Information om säkerhet gällande överförbara agens
Standardåtgärder för att förhindra att infektioner överförs från läkemedel som är tillverkade av humant blod eller plasma omfattar urval av givare, test av individuella donationer och plasmapooler för specifika infektionsmarkörer samt att effektiva tillverkningssteg för att inaktivera eller eliminera virus är en del av tillverkningsprocessen. Trots detta kan risken för överföring av infektiösa agens inte helt uteslutas när läkemedel som framställts av humant blod eller human plasma ges. Detta gäller även nya hittills okända virus och andra patogener.
De vidtagna åtgärderna anses vara effektiva mot höljeförsedda virus, såsom HIV, HBV och HCV, och för icke-höljeförsedda virus som HAV och parvovirus B19.
Det finns övertygande klinisk erfarenhet av att hepatit A eller parvovirus B19 inte överförs med immunglobuliner och det antas också att antikroppsinnehållet ger ett viktigt bidrag till virussäkerheten.
Interferens med serologiska tester
Efter infusion av immunglobulin kan den tillfälliga ökningen av de olika passivt överförda antikropparna i patientens blod ge falskt positiva resultat i serologiska tester.
Passiv överföring av antikroppar mot erytrocytantigener, t.ex. A, B, D, kan påverka vissa serologiska tester av alloantikroppar mot röda blodkroppar (Coombs test).
Natriuminnehåll
Detta läkemedel innehåller mindre än 1 mmol (23 mg) natrium per injektionsflaska/spruta, d.v.s. är näst intill “natriumfritt”.
Pediatrisk population
Samma varningar och försiktighetsåtgärder gäller för den pediatriska populationen.
Äldre
Samma varningar och försiktighetsåtgärder gäller för äldre.
Levande, försvagade virusvacciner
Administrering av immunglobuliner kan försämra effekten av levande, försvagade virusvacciner som t.ex. mässling, påssjuka, röda hund och vattkoppor under en period på minst sex veckor och upp till tre månader. Efter administrering av detta läkemedel, bör det vara ett uppehåll på tre månader före vaccination med levande, försvagade virusvacciner. För mässling kan risken för sämre effekt kvarstå i upp till ett år. Därför bör patienter som får mässlingsvaccin få sin antikroppsstatus kontrollerad.
Pediatrisk population
Samma interaktioner kan uppkomma i den pediatriska populationen.
Äldre
Samma interaktioner kan uppkomma hos äldre.
Graviditet
Uppgifter från prospektiva kliniska studier på användning av humant normalt immunglobulin hos gravida kvinnor är begränsade. Därför ska Hizentra endast ges med försiktighet till gravida kvinnor. Klinisk erfarenhet av immunglobuliner tyder på att inga skadliga effekter på graviditetsförloppet eller på fostret och det nyfödda barnet förväntas.
Fortsatt behandling av den gravida kvinnan säkerställer en passiv immunitet för det nyfödda barnet.
Amning
Data från prospektiva kliniska studier där användning av humant normalt immunglobulin på ammande mödrar studeras är begränsat. Därför bör Hizentra enbart ges med försiktighet till ammande mödrar. Klinisk erfarenhet med immunglobuliner antyder dock att inga skadliga effekter på det nyfödda barnet förväntas. Immunglobuliner utsöndras i mjölken och kan bidra till överföring av skyddande antikroppar till det nyfödda barnet.
Fertilitet
Klinisk erfarenhet av immunglobuliner tyder på att inga skadliga effekter på fertiliteten förväntas.
Hizentra har mindre effekt på förmågan att framföra fordon och använda maskiner, t.ex. yrsel (se avsnitt 4.8). Patienter som upplever biverkningar under behandling ska vänta på att dessa försvinner innan de framför fordon eller använder maskiner.
Sammanfattning av säkerhetsprofilen
Biverkningar som frossbrytningar, huvudvärk, feber, kräkningar, allergiska reaktioner, illamående, artralgi, lågt blodtryck och måttlig smärta i nedre delen av ryggen kan förekomma emellanåt.
I sällsynta fall kan humana normala immunglobuliner orsaka ett plötsligt blodtrycksfall och i enstaka fall anafylaktisk chock, även om patienten inte har visat överkänslighet vid tidigare administrering.
Symtom vid administreringsstället: svullnad, ömhet, rodnad, induration, lokal värmekänsla, klåda, blåmärke och hudutslag.
För information om säkerhet avseende överförbara agens, se avsnitt 4.4.
Biverkningar listade i tabellform
Biverkningar har sammanställts från kliniska prövningar med Hizentra: sju fas III-studier hos patienter med primär immunbrist (n = 231), två fas IV-studier hos patienter med PID (n = 74), en fas III‑studie (n = 115) och en förlängningsstudie (n = 82) hos patienter med CIDP (totalt n = 502 patienter; 26 646 infusioner). Biverkningarna som rapporterades i dessa kliniska studier är sammanfattade och kategoriserade enligt MedDRA-klassificeringen av organsystem (systemorganklass och föredragna termer) och frekvens nedan.
Frekvens per patient eller per infusion har utvärderats enligt följande kriterier: Mycket vanliga (≥1/10), vanliga (≥1/100, <1/10), mindre vanliga (≥1/1 000, <1/100), sällsynta (≥1/10 000, <1/1 000), mycket sällsynta (<1/10,000). För spontana biverkningar efter läkemedlets godkännande är frekvensen kategoriserad som ingen känd frekvens.
Biverkningarna presenteras inom varje frekvensgrupp efter avtagande frekvens.
Frekvens av biverkningar associerade med Hizentra från kliniska studier och efter godkännande, rapporterat per patient eller per infusion.
Pediatrisk population
Kliniska prövningar av Hizentra visade en totalt sett likartad säkerhetsprofil hos pediatriska och vuxna patienter med PID.
Hizentra har inte utvärderats i kliniska studier på pediatriska patienter med CIDP som var under 18 år.
Äldre
Samma biverkningar kan uppkomma hos äldre. Data från kliniska prövningar visade inga skillnader i säkerhetsprofilen hos patienter ≥65 år jämfört med yngre patienter.
Erfarenheter efter marknadsföring av Hizentra hos patienter ≥65 år visar en generellt sett liknande säkerhetsprofil i denna åldergrupp jämfört med yngre patienter.
Se avsnitt 4.4 för mer information om riskfaktorer och övervakningsrekommendationer.
Rapportering av misstänkta biverkningar
Konsekvenserna av överdosering är inte kända.
I den amerikanska prospektiva, öppna, multicenterstudien med en behandlingsarm, behandlades sammanlagt 49 patienter med primära immunbristsyndrom i åldrarna 5 till 72 år med Hizentra i upp till 15 månader. Medeldosen som administrerades varje vecka var 0,23 g/kg kroppsvikt. Kontinuerliga lägsta IgG-nivåer med en medelkoncentration på 12,53 g/l uppnåddes därigenom under hela behandlingsperioden. Patienter fick sammanlagt 2 264 veckovisa infusioner av Hizentra.
Inga allvarliga bakterieinfektioner rapporterades under effektperioden för patienter som fick Hizentra i kliniska studier.
För att bedöma säkerhet och tolerans för högre infusionshastigheter som ges via den manuella tryck- respektive pumpassisterade administreringen, var 49 PID-personer i åldern 2-75 år inkluderade i en öppen multicenter, parallell, icke-randomiserad fas IV HILO-studie (Hizentra Label Optimering) och behandlades med Hizentra i minst 12 veckor (11 pediatriska patienter i åldern 2 till och med 17 år, 35 vuxna patienter i åldern 18-65 år och 3 geriatriska patienter i åldern över 65 år). I den första patientgruppen som fick Hizentra via den manuella trycktekniken (n = 16) administrerades 2-7 infusioner per vecka med flödeshastigheterna 30, 60 och 120 ml/timme/ställe (se avsnitt 4.2). I den andra patientgruppen som fick Hizentra via pumpassisterad administrering (n = 18) gavs varje vecka Hizentra-infusioner med flödeshastigheten 25, 50, 75 och 100 ml/timme/ställe. I en tredje grupp utvärderades ytterligare infusionsvolymer om 25, 40 och 50 ml per ställe vid pumpassisterad administrering av Hizentra-doser varje vecka (n = 15). I alla tre grupperna användes infusionsparametrarna under 4 veckor, därefter kunde de försökspersoner som lyckats slutföra det nödvändiga minimiantalet giltiga infusioner byta till nästa högre infusionsparameter.
Det primära effektmåttet var procentandelen personer som svarade på en högre infusionsparameter:
Responder: I gruppen med pump-assistans var det personer som genomförde ≥3 giltiga infusioner av 4 för en infusionsparameter; i gruppen med manuellt tryck var det personer som genomförde ≥60 % giltiga infusioner för en infusionsparameter. En infusion ansågs giltig, om ≥95 % av den planerade flödeshastigheten/volymen på ≥1 infusionsställe uppnåddes.
Totalt sett var antalet infusioner utan allvarliga lokala reaktioner jämfört med det totala antalet infusioner (tolerans) ≥ 0,98 i alla grupper för alla infusionsparametrar. Inga kliniskt relevanta skillnader i lägsta serum-IgG-koncentrationer observerades mellan baslinjen vid dag 1 och studiens slut hos någon av försökspersonerna.
CIDP
Säkerheten, effekten och toleransen för Hizentra hos patienter med CIDP har bedömts i en multicenter, dubbelblind, randomiserad, placebokontrollerad, parallellgrupp fas III PATH [polyneuropati och behandling med Hizentra] studie. 172 vuxna med fastställd eller trolig CIPD som tidigare behandlats med och svarat på IVIg randomiserades till 0,2 g Hizentra per kg kroppsvikt veckovis, 0,4 g Hizentra per kg kroppsvikt veckovis eller placebogrupp. Patienterna följdes i 24 veckor. Den genomsnittliga perioden för exponering var 118,9 dagar respektive 129 dagar i gruppen som fick 0,2 g Hizentra per kg kroppsvikt respektive 0,4 g Hizentra per kg kroppsvikt (maximal exponering var upp till 167 och 166 dagar i respektive grupp). Patienterna använde generellt 4 infusionsställen parallellt (upp till 8 ställen parallellt). Sammanlagt fick 57 patienter i placebogruppen fick 1 514 infusioner, 57 patienter i gruppen som fick 0,2 g Hizentra per kg kroppsvikt fick 2 007 infusioner och 58 patienter i gruppen som fick 0,4 g Hizentra per kg kroppsvikt fick 2 218 infusioner (sammanlagt 5 739 infusioner).
Det primära effektmåttet var den procent av patienter som fick ett återfall av CIDP (definierat som en ≥ 1 poäng ökning på en justerad INCAT-skala [Inflammatory Neuropathy Cause and Treatment] jämfört med baslinjen) eller som av någon annan anledning avbröt behandlingsperioden med Hizentra.
För det primära effektmåttet visade båda doserna av Hizentra överlägsenhet gentemot placebo. En statistiskt signifikant lägre procent av patienterna som behandlades med Hizentra, 32,8 % för 0,4 g/kg kroppsvikt och 38,6 % för 0,2 g/kg kroppsvikt, fick återfall av CIDP eller avbröt av annan anledning studien jämfört med 63,2 % av patienterna som behandlades med placebo (p < 0,001 respektive p = 0,007). När hänsyn endast tas till återfall, var återfallsfrekvensen för CIDP 19,0 % för 0,4 g Hizentra per kg kroppsvikt och 33,3 % för 0,2 g Hizentra per kg kroppsvikt jämfört med 56,1 % för placebo (p < 0,001 respektive p = 0,012). Därmed förhindrade Hizentra återfall under behandlingsperioden i upp till 24 veckor hos 81 % av patienterna som fick 0,4 g/kg kroppsvikt respektive hos 67 % av patienterna som fick 0,2 g per kg kroppsvikt. I placebogruppen förblev 44 % återfallsfria.
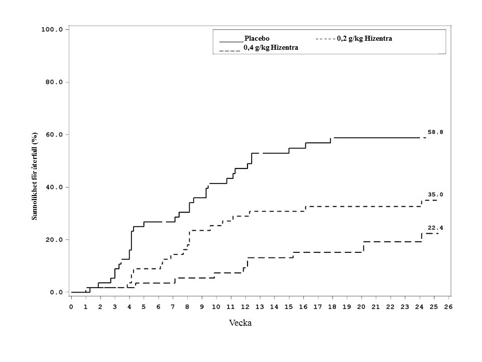
Tid till återfall av CIDP (figur 1) utvärderades och de motsvarande sannolikheterna för återfall av CIDP baserat på Kaplan‑Meier‑estimat var: placebo, 58,8 %; 0,2 g Hizentra per kg kroppsvikt, 35,0 %; och 0,4 g Hizentra per kg kroppsvikt, 22,4 %. Riskkvoterna (95 % KI) för den lägre dosen och den högre dosen jämfört med placebo var 0,48 (0,27; 0,85) respektive 0,25 (0,12; 0,49). Skillnaden som observerades mellan 0,2 g Hizentra per kg kroppsvikt och 0,4 g Hizentra per kg kroppsvikt uppnådde inte statistisk signifikans.
Figur 1. Kaplan‑Meier‑kurva över tid till återfall av CIDP
På effektskalorna (INCAT-skalan, genomsnittlig gripstyrka och poäng på Medical Research Council-skalan) förblev patienter i båda Hizentra dosgrupperna stabila, medan patienter i placebogruppen försämrades. Patienter i gruppen med högre dos Hizentra förblev stabila enligtRasch-built Overall Disability-skalan (R-ODS). Patienter i båda Hizentra dosgrupperna förblev stabila med avseende på elektrofysiologiska parametrar.
En fas III, multicenter, 48-veckors öppen förlängningsstudie inkluderade 82 CIDP-patienter från PATH-studien. I förlängningsstudien undersöktes långtidssäkerhet och långtidseffekt av Hizentra som underhållsbehandling med två doser per vecka om 0,2 g/kg kroppsvikt och 0,4 g/kg kroppsvikt. På grund av studiens utformning kunde samma patient få båda doserna under studien; 72 patienter fick dosen på 0,4 g/kg kroppsvikt och 73 patienter fick dosen på 0,2 g/kg kroppsvikt under perioden för effektbedömning. Den genomsnittliga perioden för effektbedömning varade i 125,8 dagar (intervall: 1–330) i gruppen som fick 0,2 g/kg kroppsvikt och 196,1 dagar (intervall 1–330) i gruppen som fick 0,4 g/kg kroppsvikt. Patienter som avslutat den pivotala PATH-studien utan återfall på dosen 0,4 g/kg kroppsvikt och som initialt fick denna dos i förlängningsstudien hade en återfallsfrekvens på 5,6 % (1/18 patienter). För samtliga patienter som fick 0,4 g/kg kroppsvikt i PATH-förlängningsstudien var återfallfrekvensen 9,7 % (7/72 patienter). Patienter som avslutat PATH-studien utan återfall på dosen 0,2 g/kg kroppsvikt och som initialt fick denna dos i förlängningsstudien hade en återfallsfrekvens på 50 % (3/6 patienter). För samtliga patienter som fick 0,2 g/kg kroppsvikt i förlängningsstudien var återfallfrekvensen 47,9 % (35/73 patienter). Av de patienter i förlängningsstudien som avslutat PATH-studien på endera av doserna var nedtitrering från 0,4 g/kg kroppsvikt till 0,2 g/kg kroppsvikt möjlig hos 67,9% av patienterna (19/28 patienter) utan att de fick återfall. Samtliga av de 9 patienter som fick återfall återhämtade sig inom 4 veckor efter behandling med 0,4 g/kg kroppsvikt. Gripstyrka, MRC-poäng och R-ODS-poäng var fortsatt stabila jämfört med baslinjen hos patienter som aldrig fick något återfall i förlängningsstudien.
Pediatrisk population
Säkerheten och effekten av Hizentra har fastställts hos pediatriska patienter i åldern 2 till 18 år. Hizentra utvärderades hos 68 pediatriska patienter med PID i åldern 2 till <12 år och hos 57 pediatriska patienter i åldern 12 till <18 år. Inga skillnader observerades i farmakokinetik, säkerhets- eller effektprofiler jämfört med hos vuxna patienter. Inga specifika dosjusteringar för pediatriska patienter var nödvändiga för att uppnå önskade serum-IgG-nivåer. Inga skillnader observerades i de farmakodynamiska egenskaperna mellan vuxna och pediatriska studiepatienter med PID. Hizentra har inte utvärderats i kliniska studier på pediatriska patienter under 18 år med CIDP.
Äldre
Inga generella skillnader i säkerhet eller effekt observerades mellan PID-patienter >65 år och PID-patienter 18 till 65 år. I de kliniska studierna utvärderades Hizentra hos 13 PID-patienter >65 år.
Inga generella skillnader i säkerhet eller effekt observerades mellan CIDP-patienter >65 år och CIDP-patienter 18 till 65 år. I de kliniska studierna av CIDP-patienter behandlades 61 patienter >65 år med Hizentra
Absorption och distribution
Vid subkutan administrering av Hizentra uppnås maximala serumnivåer efter ungefär 2 dagar.
Eliminering
IgG och IgG-komplex bryts ned i det retikuloendoteliala systemet.
PID
I en klinisk fas III-prövning med Hizentra (n = 46), så uppnådde patienterna kontinuerliga lägsta nivåer (medelvärde 8,1 g/l) över en period på 29 veckor då de erhöll veckovisa medeldoser på 0,06-0,24 g/kg kroppsvikt.
Simuleringar enligt empiriska populationsfarmakokinetiska modeller tydde på att jämförbara IgG-exponeringsnivåer (AUC0–14dagar, Cmin 14dagar) kan uppnås om Hizentra administreras subkutant varannan vecka med användning av den dubbla veckodosen vid underhållsbehandling.
Dessa simuleringar tydde vidare på att jämförbara lägsta nivåer av serum-IgG kan uppnås när veckounderhållsdosen av Hizentra administreras i proportionella mängder mer frekvent än en gång i veckan (t.ex. 2 gånger i veckan, 3 gånger i veckan, 5 gånger i veckan eller dagligen).
Simulering av 2–3 missade dagliga doser resulterade i en sänkning av mediannivån av serum-IgG på ≤ 4 % jämfört med konsekvent daglig dosering. Genom att ersätta de missade doserna när daglig dosering återupptogs, återställdes medianvärdena av koncentrationsprofilen inom 2 till 3 dagar. Om missade doser inte ersattes när dosering återupptogs, tog det emellertid upp till 5–6 veckor för de lägsta nivåerna av IgG att återgå till steady state.
Pediatrisk population
Inga skillnader observerades i de farmakokinetiska parametrarna mellan vuxna och pediatriska PID-studiepatienter.
Äldre
Inga generella skillnader i farmakokinetiska parametrar observerades mellan PID-patienter >65 år och patienter 18 till 65 år.
CIDP
I PATH‑studien uppnådde patienter (n = 172) långvariga lägstanivåer under en period av 24 veckor när de fick doser om 0,2 g/kg kroppsvikt respektive 0,4 g/kg kroppsvikt varje vecka. Den genomsnittliga (SD) IgG lägstakoncentrationen efter Hizentrabehandling i gruppen som fick 0,4 g/kg kroppsvikt var 20,4 (3,24) g/l och 15,4 (3,06) g/l i gruppen som fick 0,2 g/kg kroppsvikt. Simuleringar med populationsfarmakokinetiska modeller i PATH‑studien tyder på att en jämförbar exponering för IgG (Cmax, AUC 0‑14 dagar, Cmin, 14 dagar) uppnås när den dubbla veckodosen av Hizentra administreras varannan vecka till patienter med CIDP. Dessa simuleringar tyder även på att en jämförbar exponering för IgG uppnås när underhållsdosen av Hizentra per vecka fördelas i flera, mer frekventa doser (2‑7 gånger per vecka) till patienter med CIDP.
Pediatrisk population
Hizentra har inte utvärderats i kliniska studier på pediatriska patienter under 18 år med CIDP.
Äldre
Inga generella skillnader i de farmakokinetiska parametrarna observerades mellan CIDP-patienter >65 år och patienter 18 till 65 år.
Immunglobuliner är normala beståndsdelar i den mänskliga kroppen. L-prolin är en fysiologisk, icke-essentiell aminosyra.
Hizentras säkerhet har utvärderats i flera prekliniska studier, speciellt avseende hjälpämnet L-prolin. Gängse studier avseende säkerhetsfarmakologi och toxikologi visade inga särskilda risker för människa.
Farmakoterapeutisk grupp: Immunsera och immunglobuliner: humant normalt immunglobulin för extravaskulärt bruk. ATC-kod: J06BA01.
Humant normalt immunglobulin innehåller huvudsakligen immunglobulin G (IgG) med ett brett spektrum av antikroppar mot infektiösa agens.
Humant normalt immunglobulin innehåller de IgG-antikroppar som finns hos normalpopulationen. Det bereds vanligen från poolad plasma från minst 1 000 donatorer. Det har en fördelning av immunglobulin G-subklasser som nästan motsvarar den hos naturlig human plasma.
Verkningsmekanism
Vid immunbristtillstånd kan adekvata doser av Hizentra återställa onormalt låga nivåer av immunglobulin G-antikroppar till normalnivån och bidra till infektionsbekämpning.
Verkningsmekanismen vid andra indikationer än som substitutionsterapi är inte helt klarlagd, men innefattar bland annat immunmodulerande effekter.
PID
I den europeiska pivotala, prospektiva, öppna, multicenterstudien, med en behandlingsarm, behandlades sammanlagt 51 patienter med primära immunbristsyndrom i åldrarna 3 till 60 år med Hizentra i upp till 41 veckor. Medeldosen som administrerades varje vecka var 0,12 g/kg kroppsvikt. Kontinuerliga lägsta IgG-nivåer med medelkoncentrationer på 7,99-8,25 g/l uppnåddes därigenom under hela behandlingsperioden. Patienter fick sammanlagt 1 831 veckovisa infusioner av Hizentra.
I den amerikanska prospektiva, öppna, multicenterstudien med en behandlingsarm, behandlades sammanlagt 49 patienter med primära immunbristsyndrom i åldrarna 5 till 72 år med Hizentra i upp till 15 månader. Medeldosen som administrerades varje vecka var 0,23 g/kg kroppsvikt. Kontinuerliga lägsta IgG-nivåer med en medelkoncentration på 12,53 g/l uppnåddes därigenom under hela behandlingsperioden. Patienter fick sammanlagt 2 264 veckovisa infusioner av Hizentra.
Inga allvarliga bakterieinfektioner rapporterades under effektperioden för patienter som fick Hizentra i kliniska studier.
För att bedöma säkerhet och tolerans för högre infusionshastigheter som ges via den manuella tryck- respektive pumpassisterade administreringen, var 49 PID-personer i åldern 2-75 år inkluderade i en öppen multicenter, parallell, icke-randomiserad fas IV HILO-studie (Hizentra Label Optimering) och behandlades med Hizentra i minst 12 veckor (11 pediatriska patienter i åldern 2 till och med 17 år, 35 vuxna patienter i åldern 18-65 år och 3 geriatriska patienter i åldern över 65 år). I den första patientgruppen som fick Hizentra via den manuella trycktekniken (n = 16) administrerades 2-7 infusioner per vecka med flödeshastigheterna 30, 60 och 120 ml/timme/ställe (se avsnitt 4.2). I den andra patientgruppen som fick Hizentra via pumpassisterad administrering (n = 18) gavs varje vecka Hizentra-infusioner med flödeshastigheten 25, 50, 75 och 100 ml/timme/ställe. I en tredje grupp utvärderades ytterligare infusionsvolymer om 25, 40 och 50 ml per ställe vid pumpassisterad administrering av Hizentra-doser varje vecka (n = 15). I alla tre grupperna användes infusionsparametrarna under 4 veckor, därefter kunde de försökspersoner som lyckats slutföra det nödvändiga minimiantalet giltiga infusioner byta till nästa högre infusionsparameter.
Det primära effektmåttet var procentandelen personer som svarade på en högre infusionsparameter:
Responder: I gruppen med pump-assistans var det personer som genomförde ≥3 giltiga infusioner av 4 för en infusionsparameter; i gruppen med manuellt tryck var det personer som genomförde ≥60 % giltiga infusioner för en infusionsparameter. En infusion ansågs giltig, om ≥95 % av den planerade flödeshastigheten/volymen på ≥1 infusionsställe uppnåddes.
Totalt sett var antalet infusioner utan allvarliga lokala reaktioner jämfört med det totala antalet infusioner (tolerans) ≥ 0,98 i alla grupper för alla infusionsparametrar. Inga kliniskt relevanta skillnader i lägsta serum-IgG-koncentrationer observerades mellan baslinjen vid dag 1 och studiens slut hos någon av försökspersonerna.
CIDP
Säkerheten, effekten och toleransen för Hizentra hos patienter med CIDP har bedömts i en multicenter, dubbelblind, randomiserad, placebokontrollerad, parallellgrupp fas III PATH [polyneuropati och behandling med Hizentra] studie. 172 vuxna med fastställd eller trolig CIPD som tidigare behandlats med och svarat på IVIg randomiserades till 0,2 g Hizentra per kg kroppsvikt veckovis, 0,4 g Hizentra per kg kroppsvikt veckovis eller placebogrupp. Patienterna följdes i 24 veckor. Den genomsnittliga perioden för exponering var 118,9 dagar respektive 129 dagar i gruppen som fick 0,2 g Hizentra per kg kroppsvikt respektive 0,4 g Hizentra per kg kroppsvikt (maximal exponering var upp till 167 och 166 dagar i respektive grupp). Patienterna använde generellt 4 infusionsställen parallellt (upp till 8 ställen parallellt). Sammanlagt fick 57 patienter i placebogruppen fick 1 514 infusioner, 57 patienter i gruppen som fick 0,2 g Hizentra per kg kroppsvikt fick 2 007 infusioner och 58 patienter i gruppen som fick 0,4 g Hizentra per kg kroppsvikt fick 2 218 infusioner (sammanlagt 5 739 infusioner).
Det primära effektmåttet var den procent av patienter som fick ett återfall av CIDP (definierat som en ≥ 1 poäng ökning på en justerad INCAT-skala [Inflammatory Neuropathy Cause and Treatment] jämfört med baslinjen) eller som av någon annan anledning avbröt behandlingsperioden med Hizentra.
För det primära effektmåttet visade båda doserna av Hizentra överlägsenhet gentemot placebo. En statistiskt signifikant lägre procent av patienterna som behandlades med Hizentra, 32,8 % för 0,4 g/kg kroppsvikt och 38,6 % för 0,2 g/kg kroppsvikt, fick återfall av CIDP eller avbröt av annan anledning studien jämfört med 63,2 % av patienterna som behandlades med placebo (p < 0,001 respektive p = 0,007). När hänsyn endast tas till återfall, var återfallsfrekvensen för CIDP 19,0 % för 0,4 g Hizentra per kg kroppsvikt och 33,3 % för 0,2 g Hizentra per kg kroppsvikt jämfört med 56,1 % för placebo (p < 0,001 respektive p = 0,012). Därmed förhindrade Hizentra återfall under behandlingsperioden i upp till 24 veckor hos 81 % av patienterna som fick 0,4 g/kg kroppsvikt respektive hos 67 % av patienterna som fick 0,2 g per kg kroppsvikt. I placebogruppen förblev 44 % återfallsfria.
Tid till återfall av CIDP (figur 1) utvärderades och de motsvarande sannolikheterna för återfall av CIDP baserat på Kaplan‑Meier‑estimat var: placebo, 58,8 %; 0,2 g Hizentra per kg kroppsvikt, 35,0 %; och 0,4 g Hizentra per kg kroppsvikt, 22,4 %. Riskkvoterna (95 % KI) för den lägre dosen och den högre dosen jämfört med placebo var 0,48 (0,27; 0,85) respektive 0,25 (0,12; 0,49). Skillnaden som observerades mellan 0,2 g Hizentra per kg kroppsvikt och 0,4 g Hizentra per kg kroppsvikt uppnådde inte statistisk signifikans.
Figur 1. Kaplan‑Meier‑kurva över tid till återfall av CIDP
På effektskalorna (INCAT-skalan, genomsnittlig gripstyrka och poäng på Medical Research Council-skalan) förblev patienter i båda Hizentra dosgrupperna stabila, medan patienter i placebogruppen försämrades. Patienter i gruppen med högre dos Hizentra förblev stabila enligtRasch-built Overall Disability-skalan (R-ODS). Patienter i båda Hizentra dosgrupperna förblev stabila med avseende på elektrofysiologiska parametrar.
En fas III, multicenter, 48-veckors öppen förlängningsstudie inkluderade 82 CIDP-patienter från PATH-studien. I förlängningsstudien undersöktes långtidssäkerhet och långtidseffekt av Hizentra som underhållsbehandling med två doser per vecka om 0,2 g/kg kroppsvikt och 0,4 g/kg kroppsvikt. På grund av studiens utformning kunde samma patient få båda doserna under studien; 72 patienter fick dosen på 0,4 g/kg kroppsvikt och 73 patienter fick dosen på 0,2 g/kg kroppsvikt under perioden för effektbedömning. Den genomsnittliga perioden för effektbedömning varade i 125,8 dagar (intervall: 1–330) i gruppen som fick 0,2 g/kg kroppsvikt och 196,1 dagar (intervall 1–330) i gruppen som fick 0,4 g/kg kroppsvikt. Patienter som avslutat den pivotala PATH-studien utan återfall på dosen 0,4 g/kg kroppsvikt och som initialt fick denna dos i förlängningsstudien hade en återfallsfrekvens på 5,6 % (1/18 patienter). För samtliga patienter som fick 0,4 g/kg kroppsvikt i PATH-förlängningsstudien var återfallfrekvensen 9,7 % (7/72 patienter). Patienter som avslutat PATH-studien utan återfall på dosen 0,2 g/kg kroppsvikt och som initialt fick denna dos i förlängningsstudien hade en återfallsfrekvens på 50 % (3/6 patienter). För samtliga patienter som fick 0,2 g/kg kroppsvikt i förlängningsstudien var återfallfrekvensen 47,9 % (35/73 patienter). Av de patienter i förlängningsstudien som avslutat PATH-studien på endera av doserna var nedtitrering från 0,4 g/kg kroppsvikt till 0,2 g/kg kroppsvikt möjlig hos 67,9% av patienterna (19/28 patienter) utan att de fick återfall. Samtliga av de 9 patienter som fick återfall återhämtade sig inom 4 veckor efter behandling med 0,4 g/kg kroppsvikt. Gripstyrka, MRC-poäng och R-ODS-poäng var fortsatt stabila jämfört med baslinjen hos patienter som aldrig fick något återfall i förlängningsstudien.
Pediatrisk population
Säkerheten och effekten av Hizentra har fastställts hos pediatriska patienter i åldern 2 till 18 år. Hizentra utvärderades hos 68 pediatriska patienter med PID i åldern 2 till <12 år och hos 57 pediatriska patienter i åldern 12 till <18 år. Inga skillnader observerades i farmakokinetik, säkerhets- eller effektprofiler jämfört med hos vuxna patienter. Inga specifika dosjusteringar för pediatriska patienter var nödvändiga för att uppnå önskade serum-IgG-nivåer. Inga skillnader observerades i de farmakodynamiska egenskaperna mellan vuxna och pediatriska studiepatienter med PID. Hizentra har inte utvärderats i kliniska studier på pediatriska patienter under 18 år med CIDP.
Äldre
Inga generella skillnader i säkerhet eller effekt observerades mellan PID-patienter >65 år och PID-patienter 18 till 65 år. I de kliniska studierna utvärderades Hizentra hos 13 PID-patienter >65 år.
Inga generella skillnader i säkerhet eller effekt observerades mellan CIDP-patienter >65 år och CIDP-patienter 18 till 65 år. I de kliniska studierna av CIDP-patienter behandlades 61 patienter >65 år med Hizentra
Absorption och distribution
Vid subkutan administrering av Hizentra uppnås maximala serumnivåer efter ungefär 2 dagar.
Eliminering
IgG och IgG-komplex bryts ned i det retikuloendoteliala systemet.
PID
I en klinisk fas III-prövning med Hizentra (n = 46), så uppnådde patienterna kontinuerliga lägsta nivåer (medelvärde 8,1 g/l) över en period på 29 veckor då de erhöll veckovisa medeldoser på 0,06-0,24 g/kg kroppsvikt.
Simuleringar enligt empiriska populationsfarmakokinetiska modeller tydde på att jämförbara IgG-exponeringsnivåer (AUC0–14dagar, Cmin 14dagar) kan uppnås om Hizentra administreras subkutant varannan vecka med användning av den dubbla veckodosen vid underhållsbehandling.
Dessa simuleringar tydde vidare på att jämförbara lägsta nivåer av serum-IgG kan uppnås när veckounderhållsdosen av Hizentra administreras i proportionella mängder mer frekvent än en gång i veckan (t.ex. 2 gånger i veckan, 3 gånger i veckan, 5 gånger i veckan eller dagligen).
Simulering av 2–3 missade dagliga doser resulterade i en sänkning av mediannivån av serum-IgG på ≤ 4 % jämfört med konsekvent daglig dosering. Genom att ersätta de missade doserna när daglig dosering återupptogs, återställdes medianvärdena av koncentrationsprofilen inom 2 till 3 dagar. Om missade doser inte ersattes när dosering återupptogs, tog det emellertid upp till 5–6 veckor för de lägsta nivåerna av IgG att återgå till steady state.
Pediatrisk population
Inga skillnader observerades i de farmakokinetiska parametrarna mellan vuxna och pediatriska PID-studiepatienter.
Äldre
Inga generella skillnader i farmakokinetiska parametrar observerades mellan PID-patienter >65 år och patienter 18 till 65 år.
CIDP
I PATH‑studien uppnådde patienter (n = 172) långvariga lägstanivåer under en period av 24 veckor när de fick doser om 0,2 g/kg kroppsvikt respektive 0,4 g/kg kroppsvikt varje vecka. Den genomsnittliga (SD) IgG lägstakoncentrationen efter Hizentrabehandling i gruppen som fick 0,4 g/kg kroppsvikt var 20,4 (3,24) g/l och 15,4 (3,06) g/l i gruppen som fick 0,2 g/kg kroppsvikt. Simuleringar med populationsfarmakokinetiska modeller i PATH‑studien tyder på att en jämförbar exponering för IgG (Cmax, AUC 0‑14 dagar, Cmin, 14 dagar) uppnås när den dubbla veckodosen av Hizentra administreras varannan vecka till patienter med CIDP. Dessa simuleringar tyder även på att en jämförbar exponering för IgG uppnås när underhållsdosen av Hizentra per vecka fördelas i flera, mer frekventa doser (2‑7 gånger per vecka) till patienter med CIDP.
Pediatrisk population
Hizentra har inte utvärderats i kliniska studier på pediatriska patienter under 18 år med CIDP.
Äldre
Inga generella skillnader i de farmakokinetiska parametrarna observerades mellan CIDP-patienter >65 år och patienter 18 till 65 år.
Immunglobuliner är normala beståndsdelar i den mänskliga kroppen. L-prolin är en fysiologisk, icke-essentiell aminosyra.
Hizentras säkerhet har utvärderats i flera prekliniska studier, speciellt avseende hjälpämnet L-prolin. Gängse studier avseende säkerhetsfarmakologi och toxikologi visade inga särskilda risker för människa.
Förvara injektionsflaskan eller den blisterförpackade förfyllda sprutan i ytterkartongen. Ljuskänsligt.
Förvaringsanvisningar för läkemedlet efter öppnande finns i avsnitt 6.3.
Injektionsflaskor
5, 10 eller 20 ml lösning i en injektionsflaska (glas av typ I) och 50 ml lösning i en injektionsflaska (glas av typ II) med propp (halobutyl), aluminiumförsegling, snäpplock (plast).
Förpackningsstorlekar av 1, 10 eller 20 injektionsflaskor:
1 g/5 ml
2 g/10 ml
4 g/20 ml
10 g/50 ml
Förfyllda sprutor
5, 10, 20 eller 50 ml lösning i en förfylld spruta (cyklo-olefin-copolymer (COC)) blisterförpackad med en syreabsorbentförpackning.
Förpackningsstorlekar av 1 förfylld spruta:
1 g/5 ml
2 g/10 ml
4 g/20 ml
10 g/50 ml
Förpackningsstorlekar av 10 förfyllda sprutor:
1 g/5 ml
2 g/10 ml
4 g/20 ml
10 g/50 ml
Förpackningsstorlekar av 20 förfyllda sprutor:
2 g/10 ml
4 g/20 ml
Spritservetter, nålar och annat material eller utrustning ingår inte i förpackningen.
Eventuellt kommer inte alla förpackningsstorlekar att marknadsföras.
Hizentra levereras som bruksfärdig lösning i injektionsflaskor eller förfyllda sprutor för engångsbruk. Hizentra ska användas/infunderas så snart som möjligt efter att flaskan eller den blisterförpackade förfyllda sprutan öppnats. Använd inte Hizentra om flaskan eller den blisterförpackade förfyllda sprutan är öppen eller trasig.
Läkemedlet ska rums- eller kroppstempereras innan det används.
Lösningen ska vara klar och svagt gul eller ljusbrun.
Lösningar som är grumliga eller innehåller partiklar ska inte användas.
Ej använt läkemedel, avfall och syreabsorbentförpackningen ska kasseras enligt gällande anvisningar.
L-prolin
Polysorbat 80
Vatten för injektionsvätskor
Saltsyra (för pH-justering)
Natriumhydroxid (för pH-justering)
I avsaknad av kompabilitetsstudier, får detta läkemedel inte blandas med andra läkemedel.
30 månader.
När en injektionsflaska eller den blisterförpackade förfyllda sprutan har öppnats ska lösningen användas omedelbart.
Förvaras vid högst 25 °C.
Får ej frysas.
Förvara injektionsflaskan eller den blisterförpackade förfyllda sprutan i ytterkartongen. Ljuskänsligt.
Förvaringsanvisningar för läkemedlet efter öppnande finns i avsnitt 6.3.
Injektionsflaskor
5, 10 eller 20 ml lösning i en injektionsflaska (glas av typ I) och 50 ml lösning i en injektionsflaska (glas av typ II) med propp (halobutyl), aluminiumförsegling, snäpplock (plast).
Förpackningsstorlekar av 1, 10 eller 20 injektionsflaskor:
1 g/5 ml
2 g/10 ml
4 g/20 ml
10 g/50 ml
Förfyllda sprutor
5, 10, 20 eller 50 ml lösning i en förfylld spruta (cyklo-olefin-copolymer (COC)) blisterförpackad med en syreabsorbentförpackning.
Förpackningsstorlekar av 1 förfylld spruta:
1 g/5 ml
2 g/10 ml
4 g/20 ml
10 g/50 ml
Förpackningsstorlekar av 10 förfyllda sprutor:
1 g/5 ml
2 g/10 ml
4 g/20 ml
10 g/50 ml
Förpackningsstorlekar av 20 förfyllda sprutor:
2 g/10 ml
4 g/20 ml
Spritservetter, nålar och annat material eller utrustning ingår inte i förpackningen.
Eventuellt kommer inte alla förpackningsstorlekar att marknadsföras.
Hizentra levereras som bruksfärdig lösning i injektionsflaskor eller förfyllda sprutor för engångsbruk. Hizentra ska användas/infunderas så snart som möjligt efter att flaskan eller den blisterförpackade förfyllda sprutan öppnats. Använd inte Hizentra om flaskan eller den blisterförpackade förfyllda sprutan är öppen eller trasig.
Läkemedlet ska rums- eller kroppstempereras innan det används.
Lösningen ska vara klar och svagt gul eller ljusbrun.
Lösningar som är grumliga eller innehåller partiklar ska inte användas.
Ej använt läkemedel, avfall och syreabsorbentförpackningen ska kasseras enligt gällande anvisningar.
Injektionsflaskor EU/1/11/687/001
EU/1/11/687/002
EU/1/11/687/003
EU/1/11/687/004
EU/1/11/687/005
EU/1/11/687/006
EU/1/11/687/010
EU/1/11/687/011
EU/1/11/687/012
EU/1/11/687/013
EU/1/11/687/014
Förfyllda sprutor
EU/1/11/687/015
EU/1/11/687/016
EU/1/11/687/017
EU/1/11/687/018
EU/1/11/687/019
EU/1/11/687/020
EU/1/11/687/021
EU/1/11/687/022
EU/1/11/687/023
Produktresumén är företagets information om läkemedlet riktat till förskrivare och personal inom sjukvård och apotek. Dokumentet är godkänt av Läkemedelsverket eller den europeiska läkemedelsmyndigheten EMA i samband med att läkemedlet godkänns för marknadsföring.