Dasatinib Sandoz 20 mg filmdragerade tabletter
Dasatinib Sandoz 50 mg filmdragerade tabletter
Dasatinib Sandoz 70 mg filmdragerade tabletter
Dasatinib Sandoz 80 mg filmdragerade tabletter
Dasatinib Sandoz 100 mg filmdragerade tabletter
Dasatinib Sandoz 140 mg filmdragerade tabletter
Sandoz A/S
Edvard Thomsens Vej 14
2300 Köpenhamn S
Danmark
20 mg: 57622
50 mg: 57623
70 mg: 57624
80 mg: 58769
100 mg: 57625
140 mg: 57626
Första godkännandet: 20 mg: 2018-12-07 50 mg: 2018-12-07 70 mg: 2018-12-07 80 mg: 2019-06-07 100 mg: 2018-12-07 140 mg: 2018-12-07
Förnyat godkännande: 2023-07-25
2023-07-03
Hjälpämnen med känd effekt
Varje filmdragerad tablett innehåller 104,9 mg laktos (som monohydrat).
Varje filmdragerad tablett innehåller 100 mg dasatinib.
Hjälpämnen med känd effekt
Varje filmdragerad tablett innehåller 131,1 mg laktos (som monohydrat).
Varje filmdragerad tablett innehåller 140 mg dasatinib.
Hjälpämnen med känd effekt
Varje filmdragerad tablett innehåller 183,5 mg (som laktosmonohydrat).
För fullständig förteckning över hjälpämnen, se avsnitt 6.1.
Varje filmdragerad tablett innehåller 20 mg dasatinib.
Hjälpämnen med känd effekt
Varje filmdragerad tablett innehåller 26,2 mg laktos (som monohydrat).
Varje filmdragerad tablett innehåller 50 mg dasatinib.
Hjälpämnen med känd effekt
Varje filmdragerad tablett innehåller 65,6 mg laktos (som monohydrat).
Varje filmdragerad tablett innehåller 70 mg dasatinib.
Hjälpämnen med känd effekt
Varje filmdragerad tablett innehåller 91,8 mg laktos (som monohydrat).
Varje filmdragerad tablett innehåller 80 mg dasatinib.
Hjälpämnen med känd effekt
Varje filmdragerad tablett innehåller 104,9 mg laktos (som monohydrat).
Varje filmdragerad tablett innehåller 100 mg dasatinib.
Hjälpämnen med känd effekt
Varje filmdragerad tablett innehåller 131,1 mg laktos (som monohydrat).
Varje filmdragerad tablett innehåller 140 mg dasatinib.
Hjälpämnen med känd effekt
Varje filmdragerad tablett innehåller 183,5 mg (som laktosmonohydrat).
För fullständig förteckning över hjälpämnen, se avsnitt 6.1.
Vit till benvit, bikonvex, oval filmdragerad tablett med ”100” präglat på den ena sidan och slät på den andra sidan och med dimensionerna 14,8 mm x 7,2 mm.
140 mg filmdragerade tabletter
Vit till benvit, bikonvex, rund filmdragerad tablett med ”140” präglat på den ena sidan och slät på den andra sidan; diameter 11,8 mm.
Filmdragerad tablett.
20 mg filmdragerade tabletter
Vit till benvit, bikonvex, rund filmdragerad tablett med ”20” präglat på den ena sidan och slät på den andra sidan; diameter 6,1 mm.
50 mg filmdragerade tabletter
Vit till benvit, bikonvex, oval filmdragerad tablett med ”50” präglat på den ena sidan och slät på den andra sidan och med dimensionerna 10,9 mm x 5,8 mm.
70 mg filmdragerade tabletter
Vit till benvit, bikonvex, rund filmdragerad tablett med ”70” präglat på den ena sidan och slät på den andra sidan; diameter 8,9 mm.
80 mg filmdragerade tabletter
Vit till benvit, bikonvex, triangulär filmdragerad tablett med ”80” präglat på den ena sidan och slät på den andra sidan och med dimensionerna 10,3 mm x 10,0 mm.
100 mg filmdragerade tabletter
Vit till benvit, bikonvex, oval filmdragerad tablett med ”100” präglat på den ena sidan och slät på den andra sidan och med dimensionerna 14,8 mm x 7,2 mm.
140 mg filmdragerade tabletter
Vit till benvit, bikonvex, rund filmdragerad tablett med ”140” präglat på den ena sidan och slät på den andra sidan; diameter 11,8 mm.
Dosering
Vuxna patienter
Den rekommenderade startdosen för KML i kronisk fas är 100 mg dasatinib en gång dagligen.
Den rekommenderade startdosen för KML i accelererad fas, myeloid eller lymfoid blastkris (avancerad fas) eller Ph+ ALL är 140 mg en gång dagligen (se avsnitt 4.4).
Pediatrisk population (Ph+ KML i kronisk fas och Ph+ ALL)
Doseringen för barn och ungdomar baseras på kroppsvikt (se tabell 1). Dasatinib tas oralt en gång dagligen. Dosen bör räknas om var tredje månad på grund av viktändring, eller oftare om nödvändigt. Tabletter rekommenderas inte till patienter som väger mindre än 10 kg; pulver till oral suspension kan finnas tillgängligt för dessa patienter. Dosökning eller dosminskning rekommenderas enligt patientens svar och tolerabilitet. Det finns ingen erfarenhet av behandling med Dasatinib Sandoz hos barn under 1 år.
Dasatinib filmdragerade tabletter och dasatinib pulver till oral suspension är inte bioekvivalenta. Patienter som kan svälja tabletter och vill byta från dasatinib pulver till oral suspension till dasatinibtabletter eller patienter som inte kan svälja tabletter och vill byta från tabletter till oral suspension kan göra det förutsatt att korrekta doseringsrekommendationer för beredningsformen följs.
Den rekommenderade dagliga startdosen av Dasatinib Sandoz för pediatriska patienter framgår av tabell 1.
Tabell 1: Dosering av Dasatinib Sandoz tabletter för pediatriska patienter med Ph+ KML i kronisk fas eller Ph+ ALL
a Tabletter rekommenderas inte till patienter som väger mindre än 10 kg; pulver till oral suspension kan finnas tillgängligt för dessa patienter.
Behandlingstid
I kliniska studier fortsatte behandlingen med dasatinib av vuxna med Ph+ KML i kronisk fas, KML i accelererad fas, myeloid eller lymfoid KML i blastfas (avancerad fas) eller Ph+ ALL, och av barn med Ph+ KML i kronisk fas, till sjukdomsprogression eller till dess den inte längre tolererades av patienten. Effekten av att stoppa behandlingen, för långsiktigt sjukdomsutfall, efter det att ett cytogenetiskt eller molekylärt svar (inklusive fullständigt cytogenetiskt svar [CCyR], betydande molekylärt svar [MMR] och MR4.5) uppnåtts har inte undersökts.
I kliniska studier fortsatte behandlingen med dasatinib av barn med Ph+ ALL kontinuerligt i maximalt två år, i tillägg till behandlingsperioder med kemoterapi. För patienter som därefter genomgår stamcellstransplantation, kan behandling med dasatinib fortsätta ytterligare ett år efter transplantationen.
För att erhålla den rekommenderade dosen finns Dasatinib Sandoz tillgänglig som 20 mg, 50 mg, 70 mg, 80 mg, 100 mg och 140 mg filmdragerade tabletter. Dosökning eller dosminskning rekommenderas enligt patientens respons och tolerabilitet.
Doshöjning
I kliniska studier på vuxna patienter med KML och Ph+ ALL tilläts doshöjning till 140 mg en gång dagligen (kronisk fas av KML) eller 180 mg en gång dagligen (avancerad fas av KML eller Ph+ ALL) hos patienter som inte uppnådde ett hematologiskt eller cytogenetiskt svar med den rekommenderade startdosen.
De doshöjningar, som anges i tabell 2, rekommenderas för barn med Ph+ KML i kronisk fas som inte uppnår ett hematologiskt, cytogenetiskt och molekylärt svar vid rekommenderade tidpunkter, enligt gällande behandlingsriktlinjer, och som tolererar behandlingen.
Tabell 2: Doshöjning för pediatriska patienter med Ph+ KML i kronisk fas
Doshöjning rekommenderas inte för barn med Ph+ ALL eftersom dasatinib ges i kombination med kemoterapi till dessa patienter.
Dosjustering vid biverkningar
Myelosuppression
I kliniska studier hanterades myelosuppression genom behandlingsuppehåll, dosreduktion eller att behandlingen med studieläkemedlet avslutades. Transfusioner med trombocyter och röda blodkroppar gjordes när det ansågs lämpligt. Behandling med hematopoetisk tillväxtfaktor har använts hos patienter med kvarstående myelosuppression.
Riktlinjer för dosjustering för vuxna summeras i tabell 3 och för pediatriska patienter med Ph+ KML i kronisk fas i tabell 4. Riktlinjer för dosjustering för pediatriska patienter med Ph+ ALL, som behandlas med Dasatinib Sandoz i kombination med kemoterapi, redovisas i ett separat stycke efter tabellen.
Tabell 3: Dosjustering vid neutropeni och trombocytopeni hos vuxna
ANC: absolute neutrophil count (absolut antal neutrofiler)
Tabell 4: Dosjusteringar vid neutropeni och trombocytopeni hos pediatriska patienter med Ph+ KML i kronisk fas.
ANC: absolute neutrophil count (absolut antal neutrofiler)
*lägre tablettdos ej tillgänglig
För pediatriska patienter med Ph+ KML i kronisk fas, om grad ≥ 3 neutropeni eller trombocytopeni återkommer under fullständigt hematologiskt svar (CHR), ska dasatinib sättas ut och kan senare sättas in med reducerad dos. Temporära dosreduceringar vid andra grader av cytopeni och beroende på sjukdomsrespons bör genomföras vid behov.
För pediatriska patienter med Ph+ ALL rekommenderas ingen dosjustering i händelse av hematologiska toxiciteter av grad 1–4. Om neutropeni och/eller trombocytopeni medför att nästa behandlingsperiod försenas med mer än 14 dagar, gör uppehåll i dasatinibbehandlingen och återuppta behandlingen med samma dosering när nästa behandlingsperiod är igång. Om neutropenin och/eller trombocytopenin kvarstår, och nästa behandlingsperiod försenas med ytterligare 7 dagar, gör en benmärgsundersökning för att bedöma celluläritet och procentandel av blaster. Om benmärgens celluläritet är <10 %, sätt ut behandlingen med dasatinib till dess ANC >500/μl (0,5 x 109/l), behandlingen kan sen återupptas med full dos. Om benmärgens celluläritet är >10 %, överväg återupptagande av behandling med dasatinib.
Icke-hematologiska biverkningar
Om en måttlig, grad 2, icke-hematologisk biverkning utvecklas med dasatinib, ska behandlingen avbrytas till dess biverkningen avklingat eller återgått till ursprungsvärdet. Behandlingen bör återupptas med samma dos om detta är första gången biverkningen inträffar eller med reducerad dos om biverkningen förekommit tidigare. Om en svår, grad 3 eller 4, icke-hematologisk biverkning utvecklas med dasatinib måste behandlingen sättas ut till dess biverkningen avklingat. Därefter kan behandlingen, om lämpligt, återupptas med en minskad dos beroende på biverkningens initiala svårighetsgrad. För patienter med KML i kronisk fas som fått 100 mg en gång dagligen rekommenderas en dosminskning till 80 mg en gång dagligen med ytterligare minskning från 80 mg en gång dagligen till 50 mg en gång dagligen vid behov. För patienter med KML i avancerad fas eller Ph+ ALL som fått 140 mg en gång dagligen rekommenderas dosminskning till 100 mg en gång dagligen med ytterligare minskning från 100 mg en gång dagligen till 50 mg en gång dagligen vid behov. För pediatriska patienter med KML i kronisk fas med icke-hematologiska biverkningar, följ rekommendationerna för dosjustering vid hematologiska biverkningar som anges ovan. För pediatriska patienter med Ph+ ALL, med icke-hematologiska biverkningar, kan dosen vid behov minskas en nivå enligt rekommendationerna för dosjustering vid hematologiska biverkningar hos vuxna som anges ovan.
Pleurautgjutning
Om pleurautgjutning diagnostiserats, bör behandling med dasatinib avbrytas tills patienten undersökts och är symtomfri eller har återgått till ursprungsstatus. Om tillståndet inte förbättras inom ungefär en vecka, bör behandling med diuretika eller kortikosteroider eller båda samtidigt övervägas (se avsnitt 4.4 och 4.8). Efter normalisering efter första episoden, bör återintroduktion av dasatinib på samma dosnivå övervägas. Efter normalisering efter påföljande episoder, bör dasatinib återintroduceras på en lägre dosnivå. Efter normalisering efter en svår (grad 3 eller 4) episod, kan behandlingen, om lämpligt, återupptas på en lägre dosnivå beroende på biverkningens initiala svårighetsgrad.
Dosreduktion vid samtidig användning av potenta CYP3A4-hämmare
Samtidig användning av potenta CYP3A4-hämmare och grapefruktjuice med dasatinib bör undvikas (se avsnitt 4.5). Om möjligt bör en alternativ samtidig medicinering med ingen eller minimal enzymhämmande effekt väljas. Om dasatinib ska administreras med en potent CYP3A4-hämmare, överväg dosminskning till:
40 mg dagligen för patienter som tar dasatinib 140 mg tabletter dagligen
20 mg dagligen för patienter som tar dasatinib 100 mg tabletter dagligen
20 mg dagligen för patienter som tar dasatinib 70 mg tabletter dagligen
För patienter som tar dasatinib 60 mg eller 40 mg dagligen, överväg dosuppehåll till dess användning av CYP3A4-hämmaren är avslutad, eller byt till en lägre dos. Tillåt en washout-period på ungefär 1 vecka efter avslutad användning av hämmaren, innan dasatinib sätts in igen.
Dessa reducerade doser av dasatinib väntas justera arean under kurvan (AUC) till det intervall som observerades utan CYP3A4-hämmare. Kliniska data finns emellertid inte tillgängliga för dessa dosjusteringar hos patienter som fått potenta CYP3A4-hämmare. Om dasatinib inte tolereras efter dosreduktion ska antingen användningen av den potenta CYP3A4-hämmaren upphöra eller uppehåll i behandling med dasatinib göras tills användningen av hämmaren har avbrutits. Tillåt en washout-period på ungefär 1 vecka efter avslutad användning av hämmaren, innan dasatinibdosen ökas.
Särskilda populationer
Äldre
Inga kliniskt relevanta åldersrelaterade farmakokinetiska skillnader har setts hos dessa patienter. Inga specifika dosrekommendationer är nödvändiga till äldre.
Nedsatt leverfunktion
Patienter med lätt, medelsvårt eller svårt nedsatt leverfunktion kan använda den rekommenderade startdosen. Dasatinib ska dock användas med försiktighet hos patienter med nedsatt leverfunktion (se avsnitt 5.2).
Nedsatt njurfunktion
Inga kliniska studier har genomförts med dasatinib hos patienter med nedsatt njurfunktion (studien på patienter med nydiagnostiserad KML i kronisk fas exkluderade patienter med serumkreatininkoncentration > 3 gånger det övre normal-gränsvärdet, och studier på patienter med KML i kronisk fas med resistens eller intolerans mot tidigare imatinib-behandling exkluderade patienter med serumkreatininkoncentrationer > 1,5 gånger det övre normal-gränsvärdet). Eftersom njurclearance av dasatinib och dess metaboliter är < 4 % förväntas ingen minskning av totalclearance hos patienter med njurinsufficiens.
Administreringssätt
Dasatinib Sandoz måste administreras oralt.
För att hålla dosen konsekvent och minimera risken för hudexponering får de filmdragerade tabletterna inte krossas, brytas eller tuggas; de måste sväljas hela. Filmdragerade tabletter ska inte dispergeras eftersom exponeringen hos patienter som får en dispergerad tablett är lägre än hos dem som sväljer en hel tablett. För patienter som inte kan svälja tabletter, pediatriska patienter med Ph+ KML i kronisk fas eller Ph+ ALL och vuxna patienter med KML i kronisk fas, finns dasatinib pulver till oral suspension tillgängligt. Dasatinib Sandoz kan tas med eller utan föda och ska genomgående tas antingen på morgonen eller på kvällen (se avsnitt 5.2). Dasatinib Sandoz ska inte tas med grapefrukt eller grapefruktjuice (se avsnitt 4.5).
Överkänslighet mot den aktiva substansen eller mot något hjälpämne som anges i avsnitt 6.1.
Kliniskt relevanta interaktioner
Dasatinib är substrat för och hämmare av cytokrom P450 (CYP) 3A4. Det kan därför möjligen interagera med andra samtidigt administrerade läkemedel som primärt metaboliseras av eller modulerar aktiviteten hos CYP3A4 (se avsnitt 4.5).
Samtidig användning av dasatinib och andra läkemedel eller substanser som kraftigt hämmar CYP3A4 (t.ex. ketokonazol, itrakonazol, erytromycin, klaritromycin, ritonavir, telitromycin, grapefruktjuice) kan öka exponeringen för dasatinib. Samtidig administrering av potenta CYP3A4-hämmare rekommenderas därför inte till patienter som får dasatinib (se avsnitt 4.5).
Samtidig användning av dasatinib och läkemedel som inducerar CYP3A4 (t.ex. dexametason, fenytoin, karbamazepin, rifampicin, fenobarbital eller naturläkemedel innehållande Hypericum perforatum [även känd som johannesört]) kan kraftigt minska exponeringen för dasatinib och därigenom öka risken för terapisvikt. Till patienter som får dasatinib bör därför alternativa samtidiga läkemedel med mindre potential för induktion av CYP3A4 väljas (se avsnitt 4.5).
Samtidig användning av dasatinib och ett CYP3A4-substrat kan öka exponeringen för CYP3A4- substratet. Försiktighet bör därför iakttas när dasatinib administreras samtidigt med CYP3A4-substrat med smalt terapeutiskt index, som t.ex. astemizol, terfenadin, cisaprid, pimozid, kinidin, bepridil eller ergotalkaloider (ergotamin, dihydroergotamin) (se avsnitt 4.5).
Samtidig användning av dasatinib och en histamin-2(H2)-antagonist (t.ex. famotidin), protonpumpshämmare (t.ex. omeprazol) eller aluminiumhydroxid/magnesiumhydroxid kan minska exponeringen för dasatinib. H2-antagonister och protonpumpshämmare rekommenderas därför inte och medel innehållande aluminiumhydroxid/magnesiumhydroxid bör ges minst 2 timmar före eller 2 timmar efter administrering av dasatinib (se avsnitt 4.5).
Särskilda populationer
Baserat på resultaten från en farmakokinetisk studie med enkeldos kan patienter med lätt, medelsvårt eller svårt nedsatt leverfunktion använda den rekommenderade startdosen (se avsnitt 5.2). På grund av studiens begränsningar rekommenderas försiktighet vid administrering av dasatinib till patienter med nedsatt leverfunktion.
Viktiga biverkningar
Myelosuppression
Behandling med dasatinib är förknippad med anemi, neutropeni och trombocytopeni. Dessa biverkningar inträffar tidigare och mer frekvent hos patienter med KML i avancerad fas eller med Ph+ ALL än hos patienter med KML i kronisk fas. För vuxna patienter med KML i avancerad fas eller Ph+ ALL, som behandlas med dasatinib som monoterapi, ska fullständig blodbild tas en gång i veckan under de första 2 månaderna, därefter en gång i månaden eller på kliniska indikationer. För vuxna och pediatriska patienter med KML i kronisk fas ska fullständig blodbild tas varannan vecka under 12 veckor, därefter var tredje månad eller när kliniskt indicerat. För pediatriska patienter med Ph+ ALL, som behandlas med dasatinib i kombination med kemoterapi, ska fullständig blodbild tas före behandlingsstart av varje period med kemoterapi och när kliniskt indicerat. Under konsolideringsperioderna med kemoterapi ska fullständig blodbild tas varannan dag tills återhämtning skett (se avsnitt 4.2 och 4.8).
Myelosuppression är i allmänhet reversibelt och behandlas vanligen genom att tillfälligt avbryta behandlingen med dasatinib eller genom att minska dosen.
Blödning
Hos patienter med KML i kronisk fas (n = 548), hade 5 patienter (1 %) som behandlats med dasatinib blödningar av grad 3 eller 4. I kliniska studier på patienter med KML i avancerad fas som fick den rekommenderade dosen av dasatinib (n = 304), inträffade svår blödning i det centrala nervsystemet (CNS) hos 1 % av patienterna. Ett fall hade dödlig utgång och var förknippat med Common Toxicity Criteria (CTC) grad 4 trombocytopeni. Gastrointestinal blödning av grad 3 eller 4 inträffade hos 6 % av patienterna med KML i avancerad fas och krävde vanligtvis avbrytande av behandlingen och transfusioner. Andra blödningar av grad 3 eller 4 inträffade hos 2 % av patienterna med KML i avancerad fas. De flesta blödningsrelaterade biverkningar hos dessa patienter var vanligen förknippade med trombocytopeni av grad 3 eller 4 (se avsnitt 4.8). Dessutom indikerar trombocytanalyser in vitro och in vivo att påverkan på trombocytaktiveringen är reversibel vid behandling med dasatinib.
Försiktighet bör iakttas om patienter måste ta läkemedel som hämmar trombocytfunktionen eller antikoagulantia.
Vätskeretention
Dasatinib är förknippat med vätskeretention. I en fas III-studie på patienter med nydiagnostiserad KML i kronisk fas, rapporterades vätskeretention av grad 3 eller 4 hos 13 patienter (5 %) i den dasatinib-behandlade gruppen och hos 2 patienter (1 %) i den imatinib-behandlade gruppen efter minst 60 månaders uppföljning (se avsnitt 4.8). Hos alla dasatinib-behandlade patienter med KML i kronisk fas inträffade svår vätskeretention hos 32 patienter (6 %) som fick rekommenderad dos av dasatinib (n = 548). I kliniska studier på patienter med KML i avancerad fas eller Ph+ ALL, som fick rekommenderad dos av dasatinib (n = 304), rapporterades vätskeretention av grad 3 eller 4 hos 8 % av patienterna, vilket inkluderade pleurautgjutning och perikardiell utgjutning av grad 3 eller 4 hos 7 % respektive 1 % av patienterna. Hos dessa patienter rapporterades lungödem respektive pulmonell hypertoni av grad 3 eller 4 hos 1 % av patienterna.
Patienter som utvecklar symtom som tyder på pleurautgjutning, som t. ex. dyspné eller torrhosta bör utvärderas med lungröntgen. Pleurautgjutning av grad 3 eller 4 kan kräva thorakocentes och syrgasbehandling. Vätskeretentionsbiverkningar hanterades på sedvanligt sätt med understödjande vårdinsatser som inkluderade diuretika eller kortvariga steroidkurer (se avsnitt 4.2 och 4.8). Patienter som är 65 år eller äldre får oftare biverkningar som pleurautgjutning, dyspné, hosta, perikardiell utgjutning och kongestiv hjärtsvikt än yngre patienter och ska därför monitoreras noggrant. Fall av kylothorax har också rapporterats hos patienter med pleurautgjutning (se avsnitt 4.8).
Pulmonell arteriell hypertension (PAH)
PAH (prekapillär pulmonell arteriell hypertension konfirmerad genom högersidig hjärtkateterisering) har rapporterats som en biverkan vid dasatinib-behandling (se avsnitt 4.8). PAH rapporterades i dessa fall efter initiering av dasatinib-behandling men även efter mer än ett års behandling.
Patienter bör utvärderas för tecken och symtom på underliggande kardiopulmonell sjukdom före initiering av dasatinib-behandling. Ekokardiografi ska göras när behandling inleds hos alla patienter som har symtom på hjärtsjukdom och övervägas hos patienter med riskfaktorer för hjärt- eller lungsjukdom. Patienter som utvecklar dyspné och trötthet efter initiering av behandling bör utvärderas för vanliga etiologier inkluderande pleurautgjutning, lungödem, anemi eller lunginfiltration. Enligt rekommendationerna för hur icke-hematologiska biverkningar ska hanteras (se avsnitt 4.2) bör dosen reduceras eller behandlingen avbrytas under utvärderingen. Om ingen orsak hittas, eller om ingen förbättring sker efter dosreduktion eller behandlingsavbrott, bör PAH övervägas. Diagnos ställs enligt normal klinisk praxis. Om PAH konfirmeras ska dasatinib-behandlingen avslutas för gott. Uppföljning bör ske enligt normal klinisk praxis. Förbättringar i hemodynamiska och kliniska parametrar har observerats för dasatinib-behandlade patienter med PAH efter avslutad dasatinib-behandling.
QT-förlängning
In vitro-data tyder på att dasatinib möjligen kan förlänga den kardiella ventrikulära repolariseringen (QT-intervallet) (se avsnitt 5.3). Hos 258 dasatinib-behandlade patienter och 258 imatinib-behandlade patienter med minst 60 månaders uppföljning i fas III-studien på patienter med nydiagnostiserad KML i kronisk fas, rapporterades QTc-förlängning hos 1 patient (< 1 %) i varje grupp som biverkning. Medianförändringen i QTcF från ursprungsvärdet var 3,0 msek hos dasatinib-behandlade patienter jämfört med 8,2 msek hos imatinib-behandlade patienter. Hos en patient (< 1 %) i varje grupp var QTcF > 500 msek. Hos 865 patienter med leukemi som behandlats med dasatinib i kliniska fas II-studier var de genomsnittliga förändringarna från utgångsvärdet för QTc-intervallet enligt Fridericia metod (QTcF) 4–6 msek; de övre 95 %-iga konfidensgränserna för alla genomsnittliga förändringar från utgångsvärdet var < 7 msek (se avsnitt 4.8).
Av de 2 182 patienter med resistens eller intolerans mot tidigare imatinib-behandling som erhöll dasatinib i kliniska studier rapporterades QTc-förlängning som en biverkning för 15 (1 %) patienter. Hos tjugoen av dessa patienter (1 %) var QTcF > 500 msek.
Dasatinib bör ges med försiktighet till patienter som har eller kan utveckla ett förlängt QTc-intervall. Till denna kategori hör patienter med hypokalemi eller hypomagnesemi, patienter med kongenital QT-förlängning, patienter som tar antiarytmika eller andra läkemedel som leder till QT-förlängning och patienter som behandlas med kumulativt höga doser av antracyklin. Hypokalemi eller hypomagnesemi bör korrigeras innan dasatinib administreras.
Hjärtbiverkningar
I en randomiserad klinisk studie, som inkluderade patienter med tidigare hjärtsjukdom, studerades dasatinib hos 519 patienter med nydiagnostiserad KML i kronisk fas. Hos patienter som tagit dasatinib rapporterades hjärtbiverkningarna kongestiv hjärtsvikt/hjärtdysfunktion, perikardiell utgjutning, arrytmier, palpitationer, QT-intervallförlängning samt myokardinfarkt (inklusive fatal). Hjärtbiverkningar var mer frekventa hos patienter med riskfaktorer eller tidigare hjärtsjukdom. Patienter med riskfaktorer (t. ex. hypertoni, hyperlipidemi, diabetes) eller tidigare hjärtsjukdom (t.ex. tidigare perkutan koronarintervention, dokumenterad kransartärsjukdom) bör noggrant monitoreras med avseende på kliniska tecken eller symtom som tyder på hjärtdysfunktion så som bröstsmärtor, andfåddhet och diafores.
Om dessa kliniska tecken eller symtom utvecklas, rekommenderas läkaren att avbryta administreringen av dasatinib och överväga behovet av alternativ KML-specifik behandling. Efter normalisering bör en funktionell bedömning utföras innan dasatinib-behandling återupptas. Dasatinib-behandling kan återupptas på ursprunglig dosnivå vid milda/måttliga biverkningar (≤ grad 2) och på en lägre dosnivå vid svåra biverkningar (≥ grad 3) (se avsnitt 4.2). Patienter som fortsätter med behandling bör monitoreras periodiskt.
Patienter med okontrollerad eller betydande kardiovaskulär sjukdom var inte inkluderade i de kliniska studierna.
Trombotisk mikroangiopati (TMA)
BCR-ABL-tyrosinkinashämmare har förknippats med trombotisk mikroangiopati (TMA), inklusive individuella fallrapporter för dasatinib (se avsnitt 4.8). Om laboratorieanalyser eller kliniska undersökningar påvisar TMA hos en patient som tar dasatinib, ska behandlingen med dasatinib avbrytas och en grundlig utvärdering av TMA göras, inklusive ADAMTS13-aktivitet och anti-ADAMTS13-antikroppsbestämning. Behandling med dasatinib ska inte återupptas om mängden anti-ADAMTS13-antikroppar är förhöjd samtidigt som ADAMTS13-aktiviteten är låg.
Hepatit B-reaktivering
Hos kroniska bärare av hepatit B virus har reaktivering av hepatit B förekommit efter att dessa patienter fått BCR-ABL tyrosinkinashämmare. Vissa fall ledde till akut leversvikt eller fulminant hepatit med levertransplantation eller dödlig utgång som följd.
Patienter ska testas för HBV-infektion innan behandling med dasatinib påbörjas. Specialister på leversjukdomar och på behandling av hepatit B bör konsulteras innan behandling påbörjas hos patienter som testats positivt för hepatit B-serologi (inräknat dem med aktiv sjukdom) och vid patienter som testas positivt för HBV-infektion under behandlingen. Bärare av HBV som behöver behandling med dasatinib ska följas noga avseende tecken och symtom på aktiv HBV-infektion under hela behandlingen och i flera månader efter avslutad behandling (se avsnitt 4.8).
Effekter på tillväxt och utveckling hos pediatriska patienter
Behandlingsrelaterade biverkningar kopplade till bentillväxt och benutveckling rapporterades för 6 patienter (4,6%) i studier där imatinibresistenta/intoleranta pediatriska patienter med Ph+ KML i kronisk fas och behandlingsnaiva pediatriska patienter med Ph+ KML i kronisk fas behandlades med dasatinib i minst 2 år, en av dessa var av allvarlig intensitet (tillväxthämning av grad 3). Dessa 6 fall inkluderade fall av fördröjd epifysförslutning, osteopeni, tillväxthämning och gynekomasti (se avsnitt 5.1). Dessa resultat är svåra att tolka i samband med kroniska sjukdomar som KML och kräver långvarig uppföljning.
Behandlingsrelaterade biverkningar kopplade till bentillväxt och benutveckling rapporterades för 1 patient (0,6 %) i studier där pediatriska patienter med nydiagnostiserad Ph+ ALL behandlades med dasatinib i kombination med kemoterapi i maximalt 2 år. Det var ett fall av osteopeni av grad 1.
Tillväxthämning har observerats hos pediatriska patienter som behandlas med dasatinib i kliniska prövningar (se avsnitt 4.8). En nedåtgående trend i förväntad längd har observerats efter behandling i maximalt 2 år, i samma grad som observerats vid användning med enbart kemoterapi, utan att påverka förväntad vikt och BMI och utan samband mellan hormonella abnormiteter eller andra laboratorieparametrar. Övervakning av bentillväxt och benutveckling hos pediatriska patienter rekommenderas.
Dasatinib Sandoz innehåller laktos och natrium
Patienter med något av följande sällsynta ärftliga tillstånd bör inte använda detta läkemedel: galaktosintolerans, total laktasbrist eller glukos-galaktosmalabsorption.
Detta läkemedel innehåller mindre än 1 mmol (23 mg) natrium per filmdragerad tablett, d.v.s. är näst intill ”natriumfritt”.
Aktiva substanser som kan öka plasmakoncentrationen av dasatinib
In vitro-studier tyder på att dasatinib är ett CYP3A4-substrat. Samtidig användning av dasatinib och läkemedel eller substanser som kraftigt hämmar CYP3A4 (t.ex. ketokonazol, itrakonazol, erytromycin, klaritromycin, ritonavir, telitromycin och grapefruktjuice) kan öka exponeringen för dasatinib. Systemisk administrering av en potent CYP3A4-hämmare rekommenderas därför inte till patienter som får dasatinib (se avsnitt 4.2).
Vid kliniskt relevanta koncentrationer var bindningen av dasatinib till plasmaproteiner cirka 96 %, baserat på resultat från försök in vitro. Inga studier har gjorts för att utvärdera interaktioner mellan dasatinib och andra proteinbundna läkemedel. Möjligheten till förskjutning och dess kliniska relevans är okänd.
Aktiva substanser som kan minska plasmakoncentrationen av dasatinib
När dasatinib gavs efter 8 dagars daglig kvällsadministrering av 600 mg rifampicin, en potent CYP3A4-inducerare, minskade dasatinibs AUC med 82 %. Andra läkemedel som inducerar CYP3A4- aktivitet (t.ex. dexametason, fenytoin, karbamazepin, fenobarbital och naturläkemedel innehållande Hypericum perforatum [även känd som johannesört]) kan också öka metabolismen och minska koncentrationerna av dasatinib i plasma. Samtidig användning av potenta CYP3A4-inducerare och dasatinib rekommenderas därför inte. För patienter hos vilka rifampicin eller andra CYP3A4- inducerare är indicerade bör alternativa läkemedel med mindre potential för enzyminduktion användas. Samtidig användning av dexametason, en svag CYP3A4-inducerare, och dasatinib är möjlig: AUC för dasatinib förväntas minska med cirka 25% vid samtidig användning med dexametason, vilket inte anses vara kliniskt relevant.
Histamin-2-antagonister och protonpumpshämmare
Långvarig suppression av magsaftsutsöndring genom H2-antagonister eller protonpumpshämmare (t.ex. famotidin och omeprazol) minskar sannolikt exponeringen för dasatinib. Administrering av famotidin 10 timmar före en enkeldos av dasatinib minskade exponeringen för dasatinib med 61 % i en enkeldosstudie med friska försökspersoner. I en studie med 14 friska försökspersoner, där en 100 mg-dos av dasatinib administrerades 22 timmar efter 4 dagars behandling med 40 mg omeprazol (steady state), minskade AUC för dasatinib med 43 % och Cmax med 42 %. Användning av antacida bör därför övervägas i stället för H2-antagonister eller protonpumpshämmare hos patienter som får dasatinib (se avsnitt 4.4).
Antacida
Icke-kliniska data visar att dasatinibs löslighet är pH-beroende. Samtidig användning av aluminiumhydroxid/magnesiumhydroxidantacida och dasatinib minskade AUC för en enkeldos dasatinib med 55 % och Cmax med 58 % hos friska försökspersoner. Inga relevanta förändringar i koncentration av eller exponering för dasatinib kunde emellertid iakttas när antacida administrerades 2 timmar före en enkeldos av dasatinib. Antacida bör sålunda administreras minst 2 timmar före eller 2 timmar efter administrering av dasatinib (se avsnitt 4.4).
Aktiva substanser, vars plasmakoncentrationer kan förändras av dasatinib
Samtidig användning av dasatinib och ett CYP3A4-substrat kan öka exponeringen för CYP3A4- substratet. I en studie med friska försökspersoner ökade en enkeldos på 100 mg dasatinib AUC och Cmax för simvastatin, ett känt CYP3A4-substrat, med 20 respektive 37 %. Det kan inte uteslutas att effekten blir större efter upprepade doser av dasatinib. Därför bör CYP3A4-substrat med ett känt smalt terapeutiskt index (som t.ex. astemizol, terfenadin, cisaprid, pimozid, kinidin, bepridil eller ergotalkaloider [ergotamin, dihydroergotamin]) administreras med försiktighet till personer som får dasatinib (se avsnitt 4.4).
In vitro-data tyder på en potentiell risk för interaktion med CYP2C8-substrat såsom glitazoner.
Pediatrisk population
Interaktionsstudier har endast utförts på vuxna.
Fertila kvinnor/preventivmetoder för män och kvinnor
Både sexuellt aktiva män och fertila kvinnor skall använda effektiva preventivmetoder under behandling.
Graviditet
Baserat på erfarenhet från människa misstänks dasatinib orsaka kongenitala missbildningar, såsom skador på neuralröret, och skadliga farmakologiska effekter på fostret när det ges under graviditet. Djurstudier har visat reproduktionstoxikologiska effekter (se avsnitt 5.3).
Dasatinib Sandoz skall användas under graviditet endast då tillståndet kräver att det är absolut nödvändigt att kvinnan behandlas med dasatinib. Om Dasatinib Sandoz används under graviditet måste patienten informeras om den potentiella risken för fostret.
Amning
Data om utsöndring av dasatinib i modersmjölk hos människa eller djur är otillräckliga/begränsade. Fysikalisk-kemiska och tillgängliga farmakodynamiska/toxikologiska data för dasatinib tyder på utsöndring i modersmjölk och en risk för barn som ammas kan inte uteslutas. Amning bör upphöra under behandling med Dasatinib Sandoz.
Fertilitet
I djurstudier påverkades inte fertiliteten hos han- och honråttor av behandling med dasatinib (se avsnitt 5.3). Läkare och andra vårdgivare bör rådgöra med manliga patienter i lämplig ålder om möjliga effekter av dasatinib på fertilitet, och denna rådgivning kan innefatta övervägande av att spara sperma.
Dasatinib har mindre effekt på förmågan att framföra fordon och använda maskiner. Patienter bör informeras om möjliga biverkningar, som t.ex. yrsel eller dimsyn under behandling med dasatinib. Försiktighet bör därför rekommenderas vid bilkörning och användning av maskiner.
Sammanfattad säkerhetsprofil
Data som redovisas nedan avspeglar exponeringen för dasatinib som monoterapi vid alla doser som testats i kliniska studier (N = 2 900), inkluderande; 324 vuxna patienter med nydiagnostiserad KML i kronisk fas, 2 388 vuxna patienter med imatinib-resistent eller -intolerant KML i kronisk eller avancerad fas eller Ph+ ALL; 188 pediatriska patienter.
För 2 712 vuxna patienter med KML i kronisk eller avancerad fas, eller med Ph+ ALL, var behandlingens medianduration 19,2 månader (intervall 0–93,2 månader). I en randomiserad studie hos patienter med nydiagnostiserad KML i kronisk fas var mediandurationen av behandlingen ungefär 60 månader. Behandlingens medianduration för 1 618 vuxna patienter med KML i kronisk fas, var 29 månader (intervall 0–92,9 månader). Behandlingens medianduration för 1 094 patienter med KML i avancerad fas eller med Ph+ ALL var 6,2 månader (intervall 0–9,32 månader). Bland 188 patienter i pediatriska studier var mediandurationen av behandlingen 26,3 månader (intervall 0–99,6 månader). I delmängden av 130 dasatinib-behandlade pediatriska patienter med KML i kronisk fas var mediandurationen av behandlingen 42,3 månader (intervall 0,1–99,6 månader).
Majoriteten av de patienter som behandlats med dasatinib upplevde biverkningar vid något tillfälle. I den totala populationen av 2 712 dasatinib-behandlade vuxna patienter upplevde 520 (19 %) biverkningar som ledde till behandlingsavbrott.
Den övergripande säkerhetsprofilen för dasatinib hos den pediatriska populationen med Ph+ KML i kronisk fas liknade den hos den vuxna populationen oavsett formulering, förutom att ingen perikardiell effusion, pleural effusion, lungödem eller lunghypertension rapporterades hos den pediatriska populationen. Av de 130 dasatinib-behandlade pediatriska patienterna med KML i kronisk fas upplevde 2 (1,5%) biverkningar som ledde till avbrytande av behandlingen.
Tabell över biverkningar
Följande biverkningar, med undantag för laboratorieavvikelser, rapporterades hos patienter som behandlades med dasatinib som monoterapi i kliniska studier samt efter att dasatinib introducerades på marknaden (tabell 5). Dessa biverkningar presenteras efter organsystemklass och frekvens. Frekvensen definieras som: mycket vanliga (≥ 1/10); vanliga (≥ 1/100, < 1/10); mindre vanliga (≥ 1/1 000, < 1/100); sällsynta (≥ 1/10 000, < 1/1 000); ingen känd frekvens (kan inte beräknas från data tillgängliga efter marknadsintroduktion).
Biverkningarna presenteras inom varje frekvensområde efter fallande allvarlighetsgrad.
Tabell 5: Tabulerad sammanfattning av biverkningar
a Inkluderar minskad aptit, tidig mättnad och ökad aptit.
b Inkluderar blödning i centrala nervsystemet, cerebralt hematom, cerebral blödning, extraduralt hematom, intrakraniell blödning, hemorragisk stroke, subaraknoidal blödning, subduralt hematom och subdural blödning.
c Inkluderar ökad utsöndring av natriuretisk peptid av typ B (BNP), ventrikulär dysfunktion, vänstersidig ventrikulär dysfunktion, högersidig ventrikulär dysfunktion, hjärtsvikt, akut hjärtsvikt, kronisk hjärtsvikt, kongestiv hjärtsvikt, kardiomyopati, kongestiv kardiomyopati, diastolisk dysfunktion, nedsatt ejektionsfraktion och ventrikulär svikt, vänstersidig ventrikulär svikt, högersidig ventrikulär svikt och ventrikulär hypokinesi.
d Exkluderar gastrointestinal blödning och CNS-blödning: Dessa biverkningar är rapporterade under magtarmkanalens organklass respektive centrala och perifera nervsystemets organklass.
e Inkluderar läkemedelsutslag, erytem, erythema multiforme, erytros, exfoliativa utslag, generaliserat erytem, genitala utslag, värmeutslag, milia, miliaria, pustulös psoriasis, utslag, erytematösa utslag, follikulära utslag, generaliserade utslag, makulära utslag, makulopapulära utslag, papulära utslag, kliande utslag, pustulära utslag, vesikulära utslag, hudexfoliering, hudirritation, toxiska utslag, vesikulär urtikaria och vaskulitutslag.
f Efter marknadsföringen har enskilda fall av Stevens–Johnsons syndrom rapporterats. Det kunde inte fastställas om dessa mukokutana biverkningar var direkt relaterade till dasatinib eller samtidigt läkemedel.
g Muskuloskeletal smärta har rapporterats under eller efter avslutad behandling.
h Rapporterat som vanliga i pediatriska kliniska studier.
i Gravitationsödem, lokalt ödem och perifert ödem.
j Konjunktivalt ödem, ögonödem, ögonsvullnad, ögonlocksödem, ansiktsödem, läppödem, makulärt ödem, munödem, orbitalt ödem, periorbitalt ödem och ansiktssvullnad.
k Övervätskning, vätskeretention, gastrointestinalt ödem, generaliserat ödem, perifer svullnad, ödem, ödem på grund av hjärtsjukdom, perinefritisk utgjutning, sekundärt ödem och visceral ödem.
l Genital svullnad, ödem på incisionstället, genitalödem, penilt ödem, penil svullnad, skrotumödem, hudsvullnad, testikelödem och vulvovaginal svullnad.
* För ytterligare detaljer, se avsnitt ”Beskrivning av utvalda biverkningar”.
Beskrivning av utvalda biverkningar
Myelosuppression
Behandling med dasatinib är förknippad med anemi, neutropeni och trombocytopeni. Dessa biverkningar uppträder tidigare och oftare hos patienter med KML i framskriden fas eller Ph+ ALL än hos patienter med KML i kronisk fas (se avsnitt 4.4).
Blödning
Olika typer av läkemedelsrelaterade blödningsbiverkningar, från petekier och epistaxis till gastrointestinal blödning och CNS-blödning av grad 3 eller 4, rapporterades hos patienter som tog dasatinib (se avsnitt 4.4).
Vätskeretention
Diverse biverkningar, som t.ex. pleurautgjutning, ascites, lungödem och perikardiell utgjutning med eller utan ytligt ödem kan kollektivt beskrivas som ”vätskeretention”. I studien på patienter med nydiagnostiserad KML i kronisk fas, rapporterades dasatinib-relaterade vätskeretentionsbiverkningar inklusive pleurautgjutning (28 %), ytligt ödem (14 %), pulmonell hypertoni (5 %), generaliserat ödem (4 %) och perikardiell utgjutning (4 %) efter minst 60 månaders uppföljning. Kongestiv hjärtsvikt/hjärtdysfunktion och lungödem rapporterades hos < 2 % av patienterna. Den kumulativa frekvensen av dasatinib-relaterad pleurautgjutning (alla grader) över tid var 10 % vid 12 månader, 14 % vid 24 månader, 19 % vid 36 månader, 24 % vid 48 månader och 28 % vid 60 månader. Sammanlagt 46 dasatinib-behandlade patienter hade återkommande pleurautgjutningar. Sjutton patienter hade 2 separata biverkningar, 6 hade 3 biverkningar, 18 hade 4–8 biverkningar och 5 hade > 8 plurautgjutningar. Mediantiden till den första dasatinib-relaterade pleurautgjutningen av grad 1 eller 2 var 114 veckor (intervall 4–299 veckor). Mindre än 10 % av patienterna med pleurautgjutning hade svår (grad 3 eller 4) dasatinib-relaterad pleurautgjutning. Mediantiden till den första dasatinib-relaterade pleurautgjutningen av grad ≥ 3 var 175 veckor (intervall 114–274 veckor). Mediandurationen för dasatinib-relaterad pleurautgjutning (alla grader) var 283 dagar (~ 40 veckor).
Pleurautgjutningarna var oftast reversibla och kontrollerades genom att avbryta dasatinibbehandlingen samt använda diuretika eller andra lämpliga understödjande vårdinsatser (se avsnitt 4.2 eller 4.4). Bland dasatinib-behandlade patienter med läkemedelsrelaterad pleurautgjutning (n = 73) gjorde 45 (62 %) uppehåll i doseringen och 30 (41 %) gick ner i dosering. Dessutom behandlades 34 (47 %) med diuretika, 23 (32 %) med kortikosteroider och 20 (27 %) med både kortikosteroider och diuretika. Nio patienter (12 %) genomgick terapeutisk thorakocentes.
Sex procent av de dasatinib-behandlade patienterna avslutade behandlingen på grund av läkemedelsrelaterad pleurautgjutning. Pleurautgjutning försämrade inte patientens förmåga att svara på behandlingen. Bland de dasatinib-behandlade patienterna med pleurautgjutning uppnådde 96 % bekräftat fullständigt cytogenetiskt svar (confirmed Complete Cytogenetic Response = cCCyR), 82 % uppnådde betydande molekylärt svar (Major Molecular Response = MMR) och 50 % uppnådde MR4.5 trots doseringsuppehåll och dosjustering.
Se avsnitt 4.4 för ytterligare information om patienter med KML i kronisk fas, framskriden fas eller Ph+ ALL.
Fall av kylothorax har rapporterats hos patienter med pleurautgjutning. Vissa fall av kylothorax försvann efter utsättning, avbrott eller dosreduktion av dasatinib men de flesta fall krävde även ytterligare behandling.
Pulmonell arteriell hypertension (PAH)
PAH (prekapillär pulmonell arteriell hypertension konfirmerad genom högersidig hjärtkateterisering) har rapporterats som en biverkan vid dasatinib-behandling. PAH rapporterades i dessa fall efter initiering av dasatinib-behandling men även efter mer än ett års behandling. Patienter som under dasatinib-behandling rapporterades ha PAH hade oftast annan samtidig läkemedelsbehandling eller andra komorbiditeter i tillägg till den underliggande maligniteten. Förbättringar i hemodynamiska och kliniska parametrar har observerats för patienter med PAH efter avslutad dasatinib-
behandling.
QT-förlängning
I fas III-studien på patienter med nydiagnostiserad KML i kronisk fas hade 1 av de dasatinib-behandlade patienterna (< 1 %) en QTcF > 500 msek efter minst 12 månaders uppföljning (se avsnitt 4.4). Inga ytterligare patienter rapporterades ha en QTcF > 500 msek efter minst 60 månaders uppföljning.
I 5 kliniska fas II-studier på patienter med resistens eller intolerans mot tidigare imatinib-behandling togs upprepade EKG, vid definierade tidpunkter före och under behandling, på 865 patienter som behandlades med dasatinib 70 mg två gånger dagligen. Proverna analyserades centralt. QT-intervallet korrigerades för hjärtfrekvensen enligt Fridericia-metoden. Vid samtliga tidpunkter efter dosering på dag 8 var förändringen i QTcF-intervall i medeltal 4–6 msek från utgångsvärdet, med 95 % övre konfidensintervall < 7 msek. Av de 2 182 patienter med resistens eller intolerans mot tidigare imatinib-behandling som fick dasatinib i kliniska studier, rapporterades QTc-förlängning som en biverkan hos 15 (1 %) patienter. Tjugoen patienter (1 %) hade en QTcF > 500 msek (se avsnitt 4.4).
Hjärtbiverkningar
Patienter med riskfaktorer eller tidigare hjärtsjukdom bör monitoreras noggrant med avseende på tecken eller symtom som tyder på hjärtdysfunktion och bör utredas och behandlas på lämpligt sätt (se avsnitt 4.4).
Hepatit B-reaktivering
Hepatit B-reaktivering har rapporterats i samband med BCR-ABL TKI. Vissa fall ledde till akut leversvikt eller fulminant hepatit med levertransplantation eller dödlig utgång som följd (se avsnitt 4.4).
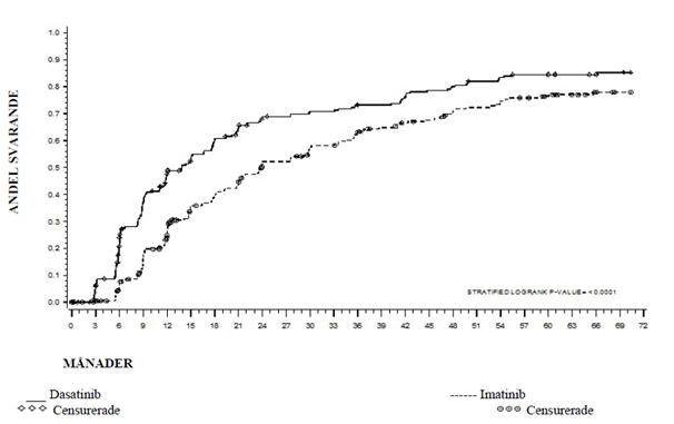
I fas III dosoptimeringsstudien på patienter med KML i kronisk fas med resistens eller intolerans mot tidigare imatinib-behandling (median behandlingstid 30 månader) var incidensen av pleurautgjutning och hjärtsvikt/hjärtdysfunktion lägre hos patienter som behandlades med dasatinib 100 mg en gång dagligen än hos de som behandlades med dasatinib 70 mg två gånger dagligen. Även myelosuppression rapporterades mindre ofta i behandlingsgruppen med doseringen 100 mg en gång dagligen (se Laboratorietestavvikelser nedan). Mediandurationen för behandling i 100 mg en gång dagligen-gruppen var 37 månader (intervall 1-91 månader). Kumulativa frekvensen av utvalda biverkningar som rapporterades för den rekommenderade startdosen 100 mg en gång dagligen visas i tabell 6a.
Tabell 6a: Utvalda biverkningar som rapporterades i fas III dosoptimeringsstudien (imatinibintoleranta eller -resistenta patienter med KML i kronisk fas)a
a Resultat från fas III dosoptimeringsstudien rapporterat för populationen med rekommenderad startdos på 100 mg en gång dagligen (n=165)
I fas III dosoptimeringsstudien på patienter med KML i avancerad fas och Ph+ ALL var median behandlingstid 14 månader för KML i accelererad fas, 3 månader för myeloisk blastisk KML, 4 månader för lymfoid blastisk KML och 3 månader för Ph+ ALL. Utvalda biverkningar som rapporterades med den rekommenderade startdosen 140 mg en gång dagligen visas i tabell 6b. En behandlingsregim på 70 mg två gånger dagligen studerades också. Behandlingsregimen 140 mg en gång dagligen hade en effektprofil jämförbar med behandlingsregimen 70 mg två gånger dagligen, men en mer gynnsam säkerhetsprofil.
Tabell 6b: Utvalda biverkningar som rapporterades i fas III dosoptimeringsstudien: KML i avancerad fas och Ph+ ALL a
a Resultat från fas III dosoptimeringsstudien rapporterat för populationen med rekommenderad startdos på 140 mg en gång om dagen (n = 304) vid 2 års final studieuppföljning.
b Inkluderar ventrikulär dysfunktion, hjärtsvikt, kongestiv hjärtsvikt, kardiomyopati, kongestiv kardiomyopati, diastolisk dysfunktion, nedsatt ejektionsfraktion och ventrikulär svikt.
Det finns även resultat från två studier med totalt 161 pediatriska patienter med Ph+ ALL där dasatinib gavs i kombination med kemoterapi. I den pivotala studien fick 106 pediatriska patienter dasatinib i kombination med kemoterapi i en kontinuerlig doseringsregim. I en stödjande studie omfattande 55 pediatriska patienter, fick 35 patienter dasatinib i kombination med kemoterapi i en icke- kontinuerlig doseringsregim (två veckors behandling följt av 1–2 veckor utan behandling), och 20 patienter fick dasatinib i kombination med kemoterapi i en kontinuerlig doseringsregim. Av de 126 pediatriska Ph+ ALL-patienter som behandlades med dasatinib i en kontinuerlig doseringsregim, var mediantiden för behandling 23,6 månader (intervall 1,4–33 månader).
Av de 126 pediatriska Ph+ ALL-patienterna med kontinuerlig doseringsregim upplevde 2 (1,6%) patienter biverkningar som ledde till behandlingsavbrott. Biverkningar rapporterade med frekvensen ≥10% i dessa två pediatriska studier för patienter med kontinuerlig doseringsregim framgår av tabell 7. Observera att pleurautgjutning rapporterades för 7 patienter (5,6%) i denna grupp och den biverkningen är därför inte med i tabellen.
Tabell 7: Biverkningar rapporterade för ≥ 10% av de pediatriska patienterna med Ph+ ALL som behandlades med dasatinib med kontinuerlig doseringsregim i kombination med kemoterapi (N=126)a
a Av totalt 106 patienter i den pivotala studien, fick 24 patienter pulver till oral suspension åtminstone en gång och 8 patienter fick enbart pulver till oral suspension.
Laboratorietestavvikelser
Hematologi
I fas III-studien på patienter med nydiagnostiserad KML i kronisk fas, rapporterades följande laboratorieavvikelser av grad 3 eller 4 hos patienter som behandlats med dasatinib efter minst 12 månaders uppföljning: neutropeni (21 %), trombocytopeni (19 %) och anemi (10 %). Efter minst 60 månaders uppföljning var de kumulativa frekvenserna av neutropeni, trombocytopeni och anemi 29 %, 22 % respektive 13 %.
Generellt återhämtade sig dasatinib-behandlade patienter med nydiagnostiserad KML i kronisk fas från myelosuppression av grad 3 eller 4 efter kortare dosavbrott och/eller dosminskning; 1,6% av patienterna avbröt behandlingen permanent efter minst 12 månaders uppföljning. Efter minst 60 månaders uppföljning var den kumulativa frekvensen av permanent behandlingsavbrott, på grund av myelosuppression av grad 3 eller 4, 2,3%.
Hos patienter med KML med resistens eller intolerans mot tidigare imatinib-behandling var förekomsten av cytopeni (trombocytopeni, neutropeni och anemi) konsekvent. Förekomsten av cytopeni var emellertid även tydligt beroende av sjukdomsfasen. Frekvensen av hematologiska avvikelser av grad 3 eller 4 presenteras i tabell 8.
Tabell 8: Hematologiska laboratorieavvikelser av CTC-grad 3/4 i kliniska studier på patienter med resistens eller intolerans mot tidigare imatinib-behandlinga
a Resultat från fas III dosoptimeringsstudien efter 2 års uppföljning.
b Resultat från CA180-034-studien med rekommenderad startdos 100 mg en gång dagligen.
c Resultat från CA180-035-studien med rekommenderad startdos 140 mg en gång dagligen.
CTC-grader: neutropeni (Grad 3 ≥ 0,5 – < 1,0 × 109/l, Grad 4 < 0,5 × 109/l); trombocytopeni (Grad 3 ≥ 25 – < 50 × 109/l, Grad 4 < 25 × 109/l); anemi (hemoglobin Grad 3 ≥ 65 – < 80 g/l, Grad 4 < 65 g/l).
Hos patienter behandlade med 100 mg en gång dagligen var den kumulativa frekvensen av cytopenier av grad 3 eller 4 liknande vid 2 och 5 år; neutropeni (35 % vs. 36 %), trombocytopeni (23 % vs. 24 %) och anemi (13 % vs. 13 %).
Hos patienter med myelosuppression av grad 3 eller 4 skedde i allmänhet en återhämtning efter korta dosavbrott och/eller dosminskningar. Hos 5 % av patienterna seponerades behandlingen helt. De flesta patienterna fortsatte behandlingen utan ytterligare tecken på myelosuppression.
Biokemi
I studien med nydiagnostiserade patienter med KML i kronisk fas rapporterades hypofosfatemi av grad 3 eller 4 hos 4 % av de dasatinib-behandlade patienterna. Förhöjningar av transaminaser, kreatinin och bilirubin av grad 3 eller 4 rapporterades hos ≤ 1 % av patienterna efter minst 12 månaders uppföljning. Efter minst 60 månaders uppföljning var den kumulativa frekvensen av hypofosfatemi av grad 3 eller 4, 7 %, frekvensen av förhöjda kreatinin och bilirubin-nivåer till grad 3 eller 4 var 1 %, och frekvensen av förhöjda transaminas-nivåer till grad 3 eller 4 låg kvar på 1 %. Inga avbrott i dasatinibbehandlingen skedde på grund av dessa biokemiska laboratorieparametrar.
2 års uppföljning
Förhöjda transaminas- eller bilirubinvärden av grad 3 eller 4 rapporterades hos 1 % av patienterna med KML i kronisk fas (resistenta eller intoleranta mot imatinib), men förhöjda värden rapporterades med en ökad frekvens på 1 till 7 % hos patienter med KML i avancerad fas och Ph+ ALL. Tillstånden hanterades vanligtvis med minskad dos eller behandlingsuppehåll. I fas III dosoptimeringsstudien rapporterades transaminas- eller bilirubinförhöjningar av grad 3 eller 4 hos ≤ 1 % av patienterna med KML i kronisk fas, med en liknande låg incidens i de fyra behandlingsgrupperna. I fas III dosoptimeringsstudien rapporterades transaminas- eller bilirubinförhöjningar av grad 3 eller 4 hos 1–5 % av patienterna med KML i avancerad fas och Ph+ ALL i alla behandlingsgrupper.
Cirka 5 % av de dasatinib-behandlade patienter som hade normala utgångsnivåer upplevde övergående hypokalcemi av grad 3 eller 4 vid något tillfälle under studiens gång. I regel fanns inget samband mellan minskat kalcium och kliniska symtom. Patienter som utvecklade hypokalcemi av grad 3 eller 4 återhämtade sig ofta med perorala kalciumtillskott.
Grad 3 eller 4 hypokalcemi, hypokalemi och hypofosfatemi rapporterades hos patienter med KML i alla faser men det rapporterades med en ökad frekvens hos patienter med KML i myeloid eller lymfoid blastkris och Ph+ ALL. Grad 3 eller 4 förhöjningar i kreatinin rapporterades hos < 1 % av patienterna med KML i kronisk fas och rapporterades med en ökad frekvens hos 1 till 4 % av patienterna med KML i avancerad fas.
Pediatrisk population
Säkerhetsprofilen för dasatinib, administrerat som monoterapi till pediatriska patienter med Ph+ KML i kronisk fas, var jämförbar med säkerhetsprofilen hos vuxna. Säkerhetsprofilen för dasatinib, administrerat i kombination med kemoterapi till pediatriska patienter med Ph+ ALL, var jämförbar med säkerhetsprofilen för dasatinib hos vuxna och de förväntade effekterna av kemoterapi, med undantag av en lägre frekvens av pleurautgjutning hos pediatriska patienter jämfört med vuxna.
I de pediatriska KML-studierna var frekvenserna av laboratorieavvikelser jämförbara med den kända profilen för laboratorieparametrar hos vuxna.
I de pediatriska ALL-studierna, där patienterna även erhöll bakgrundsbehandling med kemoterapi, var frekvenserna av laboratorieavvikelser jämförbara med den kända profilen för laboratorieparametrar hos vuxna.
Särskilda populationer
Trots att säkerhetsprofilen av dasatinib hos äldre liknade den hos den yngre populationen, är patienter som är 65 år eller äldre mer benägna att utveckla de vanligast rapporterade biverkningarna såsom trötthet, pleurautgjutning, dyspné, hosta, nedre gastrointestinal blödning, aptitstörning och de är mer benägna att utveckla de mindre frekvent rapporterade biverkningarna såsom bukspänning, yrsel, perikardiell utgjutning, kongestiv hjärtsvikt, viktminskning och bör därför monitoreras noggrant (se avsnitt 4.4).
Erfarenhet av överdosering med dasatinib i kliniska studier är begränsad till enstaka fallbeskrivningar. Den högsta överdosen på 280 mg per dag i en vecka rapporterades för två patienter och båda utvecklade en signifikant minskning av antalet trombocyter. Då dasatinib är förknippat med grad 3 eller 4 myelosuppression (se avsnitt 4.4), skall patienter som intar mer än den rekommenderade dosen övervakas noggrant för eventuell myelosuppression och ges lämplig understödjande behandling.
Dasatinib Sandoz är indicerat för behandling av vuxna patienter med:
nydiagnostiserad Philadelphiakromosompositiv (Ph+) kronisk myeloisk leukemi (KML) i kronisk fas.
KML i kronisk fas, accelererad fas eller blastkris, med resistens eller intolerans mot tidigare behandling inklusive imatinib.
Ph+ akut lymfatisk leukemi (ALL) och lymfoid blastisk KML med resistens eller intolerans mot tidigare behandling.
Dasatinib Sandoz är indicerat för behandling av pediatriska patienter med:
nydiagnostiserad Philadelphia-kromosom-positiv (Ph+) kronisk myeloisk leukemi (KML) i kronisk fas eller Ph+ KML i kronisk fas med resistens eller intolerans mot tidigare behandling inklusive imatinib.
nydiagnostiserad Ph+ akut lymfatisk leukemi (ALL) i kombination med kemoterapi.
Behandling ska inledas av en läkare med erfarenhet av att diagnosticera och behandla patienter med leukemi.
Dosering
Vuxna patienter
Den rekommenderade startdosen för KML i kronisk fas är 100 mg dasatinib en gång dagligen.
Den rekommenderade startdosen för KML i accelererad fas, myeloid eller lymfoid blastkris (avancerad fas) eller Ph+ ALL är 140 mg en gång dagligen (se avsnitt 4.4).
Pediatrisk population (Ph+ KML i kronisk fas och Ph+ ALL)
Doseringen för barn och ungdomar baseras på kroppsvikt (se tabell 1). Dasatinib tas oralt en gång dagligen. Dosen bör räknas om var tredje månad på grund av viktändring, eller oftare om nödvändigt. Tabletter rekommenderas inte till patienter som väger mindre än 10 kg; pulver till oral suspension kan finnas tillgängligt för dessa patienter. Dosökning eller dosminskning rekommenderas enligt patientens svar och tolerabilitet. Det finns ingen erfarenhet av behandling med Dasatinib Sandoz hos barn under 1 år.
Dasatinib filmdragerade tabletter och dasatinib pulver till oral suspension är inte bioekvivalenta. Patienter som kan svälja tabletter och vill byta från dasatinib pulver till oral suspension till dasatinibtabletter eller patienter som inte kan svälja tabletter och vill byta från tabletter till oral suspension kan göra det förutsatt att korrekta doseringsrekommendationer för beredningsformen följs.
Den rekommenderade dagliga startdosen av Dasatinib Sandoz för pediatriska patienter framgår av tabell 1.
Tabell 1: Dosering av Dasatinib Sandoz tabletter för pediatriska patienter med Ph+ KML i kronisk fas eller Ph+ ALL
a Tabletter rekommenderas inte till patienter som väger mindre än 10 kg; pulver till oral suspension kan finnas tillgängligt för dessa patienter.
Behandlingstid
I kliniska studier fortsatte behandlingen med dasatinib av vuxna med Ph+ KML i kronisk fas, KML i accelererad fas, myeloid eller lymfoid KML i blastfas (avancerad fas) eller Ph+ ALL, och av barn med Ph+ KML i kronisk fas, till sjukdomsprogression eller till dess den inte längre tolererades av patienten. Effekten av att stoppa behandlingen, för långsiktigt sjukdomsutfall, efter det att ett cytogenetiskt eller molekylärt svar (inklusive fullständigt cytogenetiskt svar [CCyR], betydande molekylärt svar [MMR] och MR4.5) uppnåtts har inte undersökts.
I kliniska studier fortsatte behandlingen med dasatinib av barn med Ph+ ALL kontinuerligt i maximalt två år, i tillägg till behandlingsperioder med kemoterapi. För patienter som därefter genomgår stamcellstransplantation, kan behandling med dasatinib fortsätta ytterligare ett år efter transplantationen.
För att erhålla den rekommenderade dosen finns Dasatinib Sandoz tillgänglig som 20 mg, 50 mg, 70 mg, 80 mg, 100 mg och 140 mg filmdragerade tabletter. Dosökning eller dosminskning rekommenderas enligt patientens respons och tolerabilitet.
Doshöjning
I kliniska studier på vuxna patienter med KML och Ph+ ALL tilläts doshöjning till 140 mg en gång dagligen (kronisk fas av KML) eller 180 mg en gång dagligen (avancerad fas av KML eller Ph+ ALL) hos patienter som inte uppnådde ett hematologiskt eller cytogenetiskt svar med den rekommenderade startdosen.
De doshöjningar, som anges i tabell 2, rekommenderas för barn med Ph+ KML i kronisk fas som inte uppnår ett hematologiskt, cytogenetiskt och molekylärt svar vid rekommenderade tidpunkter, enligt gällande behandlingsriktlinjer, och som tolererar behandlingen.
Tabell 2: Doshöjning för pediatriska patienter med Ph+ KML i kronisk fas
Doshöjning rekommenderas inte för barn med Ph+ ALL eftersom dasatinib ges i kombination med kemoterapi till dessa patienter.
Dosjustering vid biverkningar
Myelosuppression
I kliniska studier hanterades myelosuppression genom behandlingsuppehåll, dosreduktion eller att behandlingen med studieläkemedlet avslutades. Transfusioner med trombocyter och röda blodkroppar gjordes när det ansågs lämpligt. Behandling med hematopoetisk tillväxtfaktor har använts hos patienter med kvarstående myelosuppression.
Riktlinjer för dosjustering för vuxna summeras i tabell 3 och för pediatriska patienter med Ph+ KML i kronisk fas i tabell 4. Riktlinjer för dosjustering för pediatriska patienter med Ph+ ALL, som behandlas med Dasatinib Sandoz i kombination med kemoterapi, redovisas i ett separat stycke efter tabellen.
Tabell 3: Dosjustering vid neutropeni och trombocytopeni hos vuxna
ANC: absolute neutrophil count (absolut antal neutrofiler)
Tabell 4: Dosjusteringar vid neutropeni och trombocytopeni hos pediatriska patienter med Ph+ KML i kronisk fas.
ANC: absolute neutrophil count (absolut antal neutrofiler)
*lägre tablettdos ej tillgänglig
För pediatriska patienter med Ph+ KML i kronisk fas, om grad ≥ 3 neutropeni eller trombocytopeni återkommer under fullständigt hematologiskt svar (CHR), ska dasatinib sättas ut och kan senare sättas in med reducerad dos. Temporära dosreduceringar vid andra grader av cytopeni och beroende på sjukdomsrespons bör genomföras vid behov.
För pediatriska patienter med Ph+ ALL rekommenderas ingen dosjustering i händelse av hematologiska toxiciteter av grad 1–4. Om neutropeni och/eller trombocytopeni medför att nästa behandlingsperiod försenas med mer än 14 dagar, gör uppehåll i dasatinibbehandlingen och återuppta behandlingen med samma dosering när nästa behandlingsperiod är igång. Om neutropenin och/eller trombocytopenin kvarstår, och nästa behandlingsperiod försenas med ytterligare 7 dagar, gör en benmärgsundersökning för att bedöma celluläritet och procentandel av blaster. Om benmärgens celluläritet är <10 %, sätt ut behandlingen med dasatinib till dess ANC >500/μl (0,5 x 109/l), behandlingen kan sen återupptas med full dos. Om benmärgens celluläritet är >10 %, överväg återupptagande av behandling med dasatinib.
Icke-hematologiska biverkningar
Om en måttlig, grad 2, icke-hematologisk biverkning utvecklas med dasatinib, ska behandlingen avbrytas till dess biverkningen avklingat eller återgått till ursprungsvärdet. Behandlingen bör återupptas med samma dos om detta är första gången biverkningen inträffar eller med reducerad dos om biverkningen förekommit tidigare. Om en svår, grad 3 eller 4, icke-hematologisk biverkning utvecklas med dasatinib måste behandlingen sättas ut till dess biverkningen avklingat. Därefter kan behandlingen, om lämpligt, återupptas med en minskad dos beroende på biverkningens initiala svårighetsgrad. För patienter med KML i kronisk fas som fått 100 mg en gång dagligen rekommenderas en dosminskning till 80 mg en gång dagligen med ytterligare minskning från 80 mg en gång dagligen till 50 mg en gång dagligen vid behov. För patienter med KML i avancerad fas eller Ph+ ALL som fått 140 mg en gång dagligen rekommenderas dosminskning till 100 mg en gång dagligen med ytterligare minskning från 100 mg en gång dagligen till 50 mg en gång dagligen vid behov. För pediatriska patienter med KML i kronisk fas med icke-hematologiska biverkningar, följ rekommendationerna för dosjustering vid hematologiska biverkningar som anges ovan. För pediatriska patienter med Ph+ ALL, med icke-hematologiska biverkningar, kan dosen vid behov minskas en nivå enligt rekommendationerna för dosjustering vid hematologiska biverkningar hos vuxna som anges ovan.
Pleurautgjutning
Om pleurautgjutning diagnostiserats, bör behandling med dasatinib avbrytas tills patienten undersökts och är symtomfri eller har återgått till ursprungsstatus. Om tillståndet inte förbättras inom ungefär en vecka, bör behandling med diuretika eller kortikosteroider eller båda samtidigt övervägas (se avsnitt 4.4 och 4.8). Efter normalisering efter första episoden, bör återintroduktion av dasatinib på samma dosnivå övervägas. Efter normalisering efter påföljande episoder, bör dasatinib återintroduceras på en lägre dosnivå. Efter normalisering efter en svår (grad 3 eller 4) episod, kan behandlingen, om lämpligt, återupptas på en lägre dosnivå beroende på biverkningens initiala svårighetsgrad.
Dosreduktion vid samtidig användning av potenta CYP3A4-hämmare
Samtidig användning av potenta CYP3A4-hämmare och grapefruktjuice med dasatinib bör undvikas (se avsnitt 4.5). Om möjligt bör en alternativ samtidig medicinering med ingen eller minimal enzymhämmande effekt väljas. Om dasatinib ska administreras med en potent CYP3A4-hämmare, överväg dosminskning till:
40 mg dagligen för patienter som tar dasatinib 140 mg tabletter dagligen
20 mg dagligen för patienter som tar dasatinib 100 mg tabletter dagligen
20 mg dagligen för patienter som tar dasatinib 70 mg tabletter dagligen
För patienter som tar dasatinib 60 mg eller 40 mg dagligen, överväg dosuppehåll till dess användning av CYP3A4-hämmaren är avslutad, eller byt till en lägre dos. Tillåt en washout-period på ungefär 1 vecka efter avslutad användning av hämmaren, innan dasatinib sätts in igen.
Dessa reducerade doser av dasatinib väntas justera arean under kurvan (AUC) till det intervall som observerades utan CYP3A4-hämmare. Kliniska data finns emellertid inte tillgängliga för dessa dosjusteringar hos patienter som fått potenta CYP3A4-hämmare. Om dasatinib inte tolereras efter dosreduktion ska antingen användningen av den potenta CYP3A4-hämmaren upphöra eller uppehåll i behandling med dasatinib göras tills användningen av hämmaren har avbrutits. Tillåt en washout-period på ungefär 1 vecka efter avslutad användning av hämmaren, innan dasatinibdosen ökas.
Särskilda populationer
Äldre
Inga kliniskt relevanta åldersrelaterade farmakokinetiska skillnader har setts hos dessa patienter. Inga specifika dosrekommendationer är nödvändiga till äldre.
Nedsatt leverfunktion
Patienter med lätt, medelsvårt eller svårt nedsatt leverfunktion kan använda den rekommenderade startdosen. Dasatinib ska dock användas med försiktighet hos patienter med nedsatt leverfunktion (se avsnitt 5.2).
Nedsatt njurfunktion
Inga kliniska studier har genomförts med dasatinib hos patienter med nedsatt njurfunktion (studien på patienter med nydiagnostiserad KML i kronisk fas exkluderade patienter med serumkreatininkoncentration > 3 gånger det övre normal-gränsvärdet, och studier på patienter med KML i kronisk fas med resistens eller intolerans mot tidigare imatinib-behandling exkluderade patienter med serumkreatininkoncentrationer > 1,5 gånger det övre normal-gränsvärdet). Eftersom njurclearance av dasatinib och dess metaboliter är < 4 % förväntas ingen minskning av totalclearance hos patienter med njurinsufficiens.
Administreringssätt
Dasatinib Sandoz måste administreras oralt.
För att hålla dosen konsekvent och minimera risken för hudexponering får de filmdragerade tabletterna inte krossas, brytas eller tuggas; de måste sväljas hela. Filmdragerade tabletter ska inte dispergeras eftersom exponeringen hos patienter som får en dispergerad tablett är lägre än hos dem som sväljer en hel tablett. För patienter som inte kan svälja tabletter, pediatriska patienter med Ph+ KML i kronisk fas eller Ph+ ALL och vuxna patienter med KML i kronisk fas, finns dasatinib pulver till oral suspension tillgängligt. Dasatinib Sandoz kan tas med eller utan föda och ska genomgående tas antingen på morgonen eller på kvällen (se avsnitt 5.2). Dasatinib Sandoz ska inte tas med grapefrukt eller grapefruktjuice (se avsnitt 4.5).
Överkänslighet mot den aktiva substansen eller mot något hjälpämne som anges i avsnitt 6.1.
Kliniskt relevanta interaktioner
Dasatinib är substrat för och hämmare av cytokrom P450 (CYP) 3A4. Det kan därför möjligen interagera med andra samtidigt administrerade läkemedel som primärt metaboliseras av eller modulerar aktiviteten hos CYP3A4 (se avsnitt 4.5).
Samtidig användning av dasatinib och andra läkemedel eller substanser som kraftigt hämmar CYP3A4 (t.ex. ketokonazol, itrakonazol, erytromycin, klaritromycin, ritonavir, telitromycin, grapefruktjuice) kan öka exponeringen för dasatinib. Samtidig administrering av potenta CYP3A4-hämmare rekommenderas därför inte till patienter som får dasatinib (se avsnitt 4.5).
Samtidig användning av dasatinib och läkemedel som inducerar CYP3A4 (t.ex. dexametason, fenytoin, karbamazepin, rifampicin, fenobarbital eller naturläkemedel innehållande Hypericum perforatum [även känd som johannesört]) kan kraftigt minska exponeringen för dasatinib och därigenom öka risken för terapisvikt. Till patienter som får dasatinib bör därför alternativa samtidiga läkemedel med mindre potential för induktion av CYP3A4 väljas (se avsnitt 4.5).
Samtidig användning av dasatinib och ett CYP3A4-substrat kan öka exponeringen för CYP3A4- substratet. Försiktighet bör därför iakttas när dasatinib administreras samtidigt med CYP3A4-substrat med smalt terapeutiskt index, som t.ex. astemizol, terfenadin, cisaprid, pimozid, kinidin, bepridil eller ergotalkaloider (ergotamin, dihydroergotamin) (se avsnitt 4.5).
Samtidig användning av dasatinib och en histamin-2(H2)-antagonist (t.ex. famotidin), protonpumpshämmare (t.ex. omeprazol) eller aluminiumhydroxid/magnesiumhydroxid kan minska exponeringen för dasatinib. H2-antagonister och protonpumpshämmare rekommenderas därför inte och medel innehållande aluminiumhydroxid/magnesiumhydroxid bör ges minst 2 timmar före eller 2 timmar efter administrering av dasatinib (se avsnitt 4.5).
Särskilda populationer
Baserat på resultaten från en farmakokinetisk studie med enkeldos kan patienter med lätt, medelsvårt eller svårt nedsatt leverfunktion använda den rekommenderade startdosen (se avsnitt 5.2). På grund av studiens begränsningar rekommenderas försiktighet vid administrering av dasatinib till patienter med nedsatt leverfunktion.
Viktiga biverkningar
Myelosuppression
Behandling med dasatinib är förknippad med anemi, neutropeni och trombocytopeni. Dessa biverkningar inträffar tidigare och mer frekvent hos patienter med KML i avancerad fas eller med Ph+ ALL än hos patienter med KML i kronisk fas. För vuxna patienter med KML i avancerad fas eller Ph+ ALL, som behandlas med dasatinib som monoterapi, ska fullständig blodbild tas en gång i veckan under de första 2 månaderna, därefter en gång i månaden eller på kliniska indikationer. För vuxna och pediatriska patienter med KML i kronisk fas ska fullständig blodbild tas varannan vecka under 12 veckor, därefter var tredje månad eller när kliniskt indicerat. För pediatriska patienter med Ph+ ALL, som behandlas med dasatinib i kombination med kemoterapi, ska fullständig blodbild tas före behandlingsstart av varje period med kemoterapi och när kliniskt indicerat. Under konsolideringsperioderna med kemoterapi ska fullständig blodbild tas varannan dag tills återhämtning skett (se avsnitt 4.2 och 4.8).
Myelosuppression är i allmänhet reversibelt och behandlas vanligen genom att tillfälligt avbryta behandlingen med dasatinib eller genom att minska dosen.
Blödning
Hos patienter med KML i kronisk fas (n = 548), hade 5 patienter (1 %) som behandlats med dasatinib blödningar av grad 3 eller 4. I kliniska studier på patienter med KML i avancerad fas som fick den rekommenderade dosen av dasatinib (n = 304), inträffade svår blödning i det centrala nervsystemet (CNS) hos 1 % av patienterna. Ett fall hade dödlig utgång och var förknippat med Common Toxicity Criteria (CTC) grad 4 trombocytopeni. Gastrointestinal blödning av grad 3 eller 4 inträffade hos 6 % av patienterna med KML i avancerad fas och krävde vanligtvis avbrytande av behandlingen och transfusioner. Andra blödningar av grad 3 eller 4 inträffade hos 2 % av patienterna med KML i avancerad fas. De flesta blödningsrelaterade biverkningar hos dessa patienter var vanligen förknippade med trombocytopeni av grad 3 eller 4 (se avsnitt 4.8). Dessutom indikerar trombocytanalyser in vitro och in vivo att påverkan på trombocytaktiveringen är reversibel vid behandling med dasatinib.
Försiktighet bör iakttas om patienter måste ta läkemedel som hämmar trombocytfunktionen eller antikoagulantia.
Vätskeretention
Dasatinib är förknippat med vätskeretention. I en fas III-studie på patienter med nydiagnostiserad KML i kronisk fas, rapporterades vätskeretention av grad 3 eller 4 hos 13 patienter (5 %) i den dasatinib-behandlade gruppen och hos 2 patienter (1 %) i den imatinib-behandlade gruppen efter minst 60 månaders uppföljning (se avsnitt 4.8). Hos alla dasatinib-behandlade patienter med KML i kronisk fas inträffade svår vätskeretention hos 32 patienter (6 %) som fick rekommenderad dos av dasatinib (n = 548). I kliniska studier på patienter med KML i avancerad fas eller Ph+ ALL, som fick rekommenderad dos av dasatinib (n = 304), rapporterades vätskeretention av grad 3 eller 4 hos 8 % av patienterna, vilket inkluderade pleurautgjutning och perikardiell utgjutning av grad 3 eller 4 hos 7 % respektive 1 % av patienterna. Hos dessa patienter rapporterades lungödem respektive pulmonell hypertoni av grad 3 eller 4 hos 1 % av patienterna.
Patienter som utvecklar symtom som tyder på pleurautgjutning, som t. ex. dyspné eller torrhosta bör utvärderas med lungröntgen. Pleurautgjutning av grad 3 eller 4 kan kräva thorakocentes och syrgasbehandling. Vätskeretentionsbiverkningar hanterades på sedvanligt sätt med understödjande vårdinsatser som inkluderade diuretika eller kortvariga steroidkurer (se avsnitt 4.2 och 4.8). Patienter som är 65 år eller äldre får oftare biverkningar som pleurautgjutning, dyspné, hosta, perikardiell utgjutning och kongestiv hjärtsvikt än yngre patienter och ska därför monitoreras noggrant. Fall av kylothorax har också rapporterats hos patienter med pleurautgjutning (se avsnitt 4.8).
Pulmonell arteriell hypertension (PAH)
PAH (prekapillär pulmonell arteriell hypertension konfirmerad genom högersidig hjärtkateterisering) har rapporterats som en biverkan vid dasatinib-behandling (se avsnitt 4.8). PAH rapporterades i dessa fall efter initiering av dasatinib-behandling men även efter mer än ett års behandling.
Patienter bör utvärderas för tecken och symtom på underliggande kardiopulmonell sjukdom före initiering av dasatinib-behandling. Ekokardiografi ska göras när behandling inleds hos alla patienter som har symtom på hjärtsjukdom och övervägas hos patienter med riskfaktorer för hjärt- eller lungsjukdom. Patienter som utvecklar dyspné och trötthet efter initiering av behandling bör utvärderas för vanliga etiologier inkluderande pleurautgjutning, lungödem, anemi eller lunginfiltration. Enligt rekommendationerna för hur icke-hematologiska biverkningar ska hanteras (se avsnitt 4.2) bör dosen reduceras eller behandlingen avbrytas under utvärderingen. Om ingen orsak hittas, eller om ingen förbättring sker efter dosreduktion eller behandlingsavbrott, bör PAH övervägas. Diagnos ställs enligt normal klinisk praxis. Om PAH konfirmeras ska dasatinib-behandlingen avslutas för gott. Uppföljning bör ske enligt normal klinisk praxis. Förbättringar i hemodynamiska och kliniska parametrar har observerats för dasatinib-behandlade patienter med PAH efter avslutad dasatinib-behandling.
QT-förlängning
In vitro-data tyder på att dasatinib möjligen kan förlänga den kardiella ventrikulära repolariseringen (QT-intervallet) (se avsnitt 5.3). Hos 258 dasatinib-behandlade patienter och 258 imatinib-behandlade patienter med minst 60 månaders uppföljning i fas III-studien på patienter med nydiagnostiserad KML i kronisk fas, rapporterades QTc-förlängning hos 1 patient (< 1 %) i varje grupp som biverkning. Medianförändringen i QTcF från ursprungsvärdet var 3,0 msek hos dasatinib-behandlade patienter jämfört med 8,2 msek hos imatinib-behandlade patienter. Hos en patient (< 1 %) i varje grupp var QTcF > 500 msek. Hos 865 patienter med leukemi som behandlats med dasatinib i kliniska fas II-studier var de genomsnittliga förändringarna från utgångsvärdet för QTc-intervallet enligt Fridericia metod (QTcF) 4–6 msek; de övre 95 %-iga konfidensgränserna för alla genomsnittliga förändringar från utgångsvärdet var < 7 msek (se avsnitt 4.8).
Av de 2 182 patienter med resistens eller intolerans mot tidigare imatinib-behandling som erhöll dasatinib i kliniska studier rapporterades QTc-förlängning som en biverkning för 15 (1 %) patienter. Hos tjugoen av dessa patienter (1 %) var QTcF > 500 msek.
Dasatinib bör ges med försiktighet till patienter som har eller kan utveckla ett förlängt QTc-intervall. Till denna kategori hör patienter med hypokalemi eller hypomagnesemi, patienter med kongenital QT-förlängning, patienter som tar antiarytmika eller andra läkemedel som leder till QT-förlängning och patienter som behandlas med kumulativt höga doser av antracyklin. Hypokalemi eller hypomagnesemi bör korrigeras innan dasatinib administreras.
Hjärtbiverkningar
I en randomiserad klinisk studie, som inkluderade patienter med tidigare hjärtsjukdom, studerades dasatinib hos 519 patienter med nydiagnostiserad KML i kronisk fas. Hos patienter som tagit dasatinib rapporterades hjärtbiverkningarna kongestiv hjärtsvikt/hjärtdysfunktion, perikardiell utgjutning, arrytmier, palpitationer, QT-intervallförlängning samt myokardinfarkt (inklusive fatal). Hjärtbiverkningar var mer frekventa hos patienter med riskfaktorer eller tidigare hjärtsjukdom. Patienter med riskfaktorer (t. ex. hypertoni, hyperlipidemi, diabetes) eller tidigare hjärtsjukdom (t.ex. tidigare perkutan koronarintervention, dokumenterad kransartärsjukdom) bör noggrant monitoreras med avseende på kliniska tecken eller symtom som tyder på hjärtdysfunktion så som bröstsmärtor, andfåddhet och diafores.
Om dessa kliniska tecken eller symtom utvecklas, rekommenderas läkaren att avbryta administreringen av dasatinib och överväga behovet av alternativ KML-specifik behandling. Efter normalisering bör en funktionell bedömning utföras innan dasatinib-behandling återupptas. Dasatinib-behandling kan återupptas på ursprunglig dosnivå vid milda/måttliga biverkningar (≤ grad 2) och på en lägre dosnivå vid svåra biverkningar (≥ grad 3) (se avsnitt 4.2). Patienter som fortsätter med behandling bör monitoreras periodiskt.
Patienter med okontrollerad eller betydande kardiovaskulär sjukdom var inte inkluderade i de kliniska studierna.
Trombotisk mikroangiopati (TMA)
BCR-ABL-tyrosinkinashämmare har förknippats med trombotisk mikroangiopati (TMA), inklusive individuella fallrapporter för dasatinib (se avsnitt 4.8). Om laboratorieanalyser eller kliniska undersökningar påvisar TMA hos en patient som tar dasatinib, ska behandlingen med dasatinib avbrytas och en grundlig utvärdering av TMA göras, inklusive ADAMTS13-aktivitet och anti-ADAMTS13-antikroppsbestämning. Behandling med dasatinib ska inte återupptas om mängden anti-ADAMTS13-antikroppar är förhöjd samtidigt som ADAMTS13-aktiviteten är låg.
Hepatit B-reaktivering
Hos kroniska bärare av hepatit B virus har reaktivering av hepatit B förekommit efter att dessa patienter fått BCR-ABL tyrosinkinashämmare. Vissa fall ledde till akut leversvikt eller fulminant hepatit med levertransplantation eller dödlig utgång som följd.
Patienter ska testas för HBV-infektion innan behandling med dasatinib påbörjas. Specialister på leversjukdomar och på behandling av hepatit B bör konsulteras innan behandling påbörjas hos patienter som testats positivt för hepatit B-serologi (inräknat dem med aktiv sjukdom) och vid patienter som testas positivt för HBV-infektion under behandlingen. Bärare av HBV som behöver behandling med dasatinib ska följas noga avseende tecken och symtom på aktiv HBV-infektion under hela behandlingen och i flera månader efter avslutad behandling (se avsnitt 4.8).
Effekter på tillväxt och utveckling hos pediatriska patienter
Behandlingsrelaterade biverkningar kopplade till bentillväxt och benutveckling rapporterades för 6 patienter (4,6%) i studier där imatinibresistenta/intoleranta pediatriska patienter med Ph+ KML i kronisk fas och behandlingsnaiva pediatriska patienter med Ph+ KML i kronisk fas behandlades med dasatinib i minst 2 år, en av dessa var av allvarlig intensitet (tillväxthämning av grad 3). Dessa 6 fall inkluderade fall av fördröjd epifysförslutning, osteopeni, tillväxthämning och gynekomasti (se avsnitt 5.1). Dessa resultat är svåra att tolka i samband med kroniska sjukdomar som KML och kräver långvarig uppföljning.
Behandlingsrelaterade biverkningar kopplade till bentillväxt och benutveckling rapporterades för 1 patient (0,6 %) i studier där pediatriska patienter med nydiagnostiserad Ph+ ALL behandlades med dasatinib i kombination med kemoterapi i maximalt 2 år. Det var ett fall av osteopeni av grad 1.
Tillväxthämning har observerats hos pediatriska patienter som behandlas med dasatinib i kliniska prövningar (se avsnitt 4.8). En nedåtgående trend i förväntad längd har observerats efter behandling i maximalt 2 år, i samma grad som observerats vid användning med enbart kemoterapi, utan att påverka förväntad vikt och BMI och utan samband mellan hormonella abnormiteter eller andra laboratorieparametrar. Övervakning av bentillväxt och benutveckling hos pediatriska patienter rekommenderas.
Dasatinib Sandoz innehåller laktos och natrium
Patienter med något av följande sällsynta ärftliga tillstånd bör inte använda detta läkemedel: galaktosintolerans, total laktasbrist eller glukos-galaktosmalabsorption.
Detta läkemedel innehåller mindre än 1 mmol (23 mg) natrium per filmdragerad tablett, d.v.s. är näst intill ”natriumfritt”.
Aktiva substanser som kan öka plasmakoncentrationen av dasatinib
In vitro-studier tyder på att dasatinib är ett CYP3A4-substrat. Samtidig användning av dasatinib och läkemedel eller substanser som kraftigt hämmar CYP3A4 (t.ex. ketokonazol, itrakonazol, erytromycin, klaritromycin, ritonavir, telitromycin och grapefruktjuice) kan öka exponeringen för dasatinib. Systemisk administrering av en potent CYP3A4-hämmare rekommenderas därför inte till patienter som får dasatinib (se avsnitt 4.2).
Vid kliniskt relevanta koncentrationer var bindningen av dasatinib till plasmaproteiner cirka 96 %, baserat på resultat från försök in vitro. Inga studier har gjorts för att utvärdera interaktioner mellan dasatinib och andra proteinbundna läkemedel. Möjligheten till förskjutning och dess kliniska relevans är okänd.
Aktiva substanser som kan minska plasmakoncentrationen av dasatinib
När dasatinib gavs efter 8 dagars daglig kvällsadministrering av 600 mg rifampicin, en potent CYP3A4-inducerare, minskade dasatinibs AUC med 82 %. Andra läkemedel som inducerar CYP3A4- aktivitet (t.ex. dexametason, fenytoin, karbamazepin, fenobarbital och naturläkemedel innehållande Hypericum perforatum [även känd som johannesört]) kan också öka metabolismen och minska koncentrationerna av dasatinib i plasma. Samtidig användning av potenta CYP3A4-inducerare och dasatinib rekommenderas därför inte. För patienter hos vilka rifampicin eller andra CYP3A4- inducerare är indicerade bör alternativa läkemedel med mindre potential för enzyminduktion användas. Samtidig användning av dexametason, en svag CYP3A4-inducerare, och dasatinib är möjlig: AUC för dasatinib förväntas minska med cirka 25% vid samtidig användning med dexametason, vilket inte anses vara kliniskt relevant.
Histamin-2-antagonister och protonpumpshämmare
Långvarig suppression av magsaftsutsöndring genom H2-antagonister eller protonpumpshämmare (t.ex. famotidin och omeprazol) minskar sannolikt exponeringen för dasatinib. Administrering av famotidin 10 timmar före en enkeldos av dasatinib minskade exponeringen för dasatinib med 61 % i en enkeldosstudie med friska försökspersoner. I en studie med 14 friska försökspersoner, där en 100 mg-dos av dasatinib administrerades 22 timmar efter 4 dagars behandling med 40 mg omeprazol (steady state), minskade AUC för dasatinib med 43 % och Cmax med 42 %. Användning av antacida bör därför övervägas i stället för H2-antagonister eller protonpumpshämmare hos patienter som får dasatinib (se avsnitt 4.4).
Antacida
Icke-kliniska data visar att dasatinibs löslighet är pH-beroende. Samtidig användning av aluminiumhydroxid/magnesiumhydroxidantacida och dasatinib minskade AUC för en enkeldos dasatinib med 55 % och Cmax med 58 % hos friska försökspersoner. Inga relevanta förändringar i koncentration av eller exponering för dasatinib kunde emellertid iakttas när antacida administrerades 2 timmar före en enkeldos av dasatinib. Antacida bör sålunda administreras minst 2 timmar före eller 2 timmar efter administrering av dasatinib (se avsnitt 4.4).
Aktiva substanser, vars plasmakoncentrationer kan förändras av dasatinib
Samtidig användning av dasatinib och ett CYP3A4-substrat kan öka exponeringen för CYP3A4- substratet. I en studie med friska försökspersoner ökade en enkeldos på 100 mg dasatinib AUC och Cmax för simvastatin, ett känt CYP3A4-substrat, med 20 respektive 37 %. Det kan inte uteslutas att effekten blir större efter upprepade doser av dasatinib. Därför bör CYP3A4-substrat med ett känt smalt terapeutiskt index (som t.ex. astemizol, terfenadin, cisaprid, pimozid, kinidin, bepridil eller ergotalkaloider [ergotamin, dihydroergotamin]) administreras med försiktighet till personer som får dasatinib (se avsnitt 4.4).
In vitro-data tyder på en potentiell risk för interaktion med CYP2C8-substrat såsom glitazoner.
Pediatrisk population
Interaktionsstudier har endast utförts på vuxna.
Fertila kvinnor/preventivmetoder för män och kvinnor
Både sexuellt aktiva män och fertila kvinnor skall använda effektiva preventivmetoder under behandling.
Graviditet
Baserat på erfarenhet från människa misstänks dasatinib orsaka kongenitala missbildningar, såsom skador på neuralröret, och skadliga farmakologiska effekter på fostret när det ges under graviditet. Djurstudier har visat reproduktionstoxikologiska effekter (se avsnitt 5.3).
Dasatinib Sandoz skall användas under graviditet endast då tillståndet kräver att det är absolut nödvändigt att kvinnan behandlas med dasatinib. Om Dasatinib Sandoz används under graviditet måste patienten informeras om den potentiella risken för fostret.
Amning
Data om utsöndring av dasatinib i modersmjölk hos människa eller djur är otillräckliga/begränsade. Fysikalisk-kemiska och tillgängliga farmakodynamiska/toxikologiska data för dasatinib tyder på utsöndring i modersmjölk och en risk för barn som ammas kan inte uteslutas. Amning bör upphöra under behandling med Dasatinib Sandoz.
Fertilitet
I djurstudier påverkades inte fertiliteten hos han- och honråttor av behandling med dasatinib (se avsnitt 5.3). Läkare och andra vårdgivare bör rådgöra med manliga patienter i lämplig ålder om möjliga effekter av dasatinib på fertilitet, och denna rådgivning kan innefatta övervägande av att spara sperma.
Dasatinib har mindre effekt på förmågan att framföra fordon och använda maskiner. Patienter bör informeras om möjliga biverkningar, som t.ex. yrsel eller dimsyn under behandling med dasatinib. Försiktighet bör därför rekommenderas vid bilkörning och användning av maskiner.
Sammanfattad säkerhetsprofil
Data som redovisas nedan avspeglar exponeringen för dasatinib som monoterapi vid alla doser som testats i kliniska studier (N = 2 900), inkluderande; 324 vuxna patienter med nydiagnostiserad KML i kronisk fas, 2 388 vuxna patienter med imatinib-resistent eller -intolerant KML i kronisk eller avancerad fas eller Ph+ ALL; 188 pediatriska patienter.
För 2 712 vuxna patienter med KML i kronisk eller avancerad fas, eller med Ph+ ALL, var behandlingens medianduration 19,2 månader (intervall 0–93,2 månader). I en randomiserad studie hos patienter med nydiagnostiserad KML i kronisk fas var mediandurationen av behandlingen ungefär 60 månader. Behandlingens medianduration för 1 618 vuxna patienter med KML i kronisk fas, var 29 månader (intervall 0–92,9 månader). Behandlingens medianduration för 1 094 patienter med KML i avancerad fas eller med Ph+ ALL var 6,2 månader (intervall 0–9,32 månader). Bland 188 patienter i pediatriska studier var mediandurationen av behandlingen 26,3 månader (intervall 0–99,6 månader). I delmängden av 130 dasatinib-behandlade pediatriska patienter med KML i kronisk fas var mediandurationen av behandlingen 42,3 månader (intervall 0,1–99,6 månader).
Majoriteten av de patienter som behandlats med dasatinib upplevde biverkningar vid något tillfälle. I den totala populationen av 2 712 dasatinib-behandlade vuxna patienter upplevde 520 (19 %) biverkningar som ledde till behandlingsavbrott.
Den övergripande säkerhetsprofilen för dasatinib hos den pediatriska populationen med Ph+ KML i kronisk fas liknade den hos den vuxna populationen oavsett formulering, förutom att ingen perikardiell effusion, pleural effusion, lungödem eller lunghypertension rapporterades hos den pediatriska populationen. Av de 130 dasatinib-behandlade pediatriska patienterna med KML i kronisk fas upplevde 2 (1,5%) biverkningar som ledde till avbrytande av behandlingen.
Tabell över biverkningar
Följande biverkningar, med undantag för laboratorieavvikelser, rapporterades hos patienter som behandlades med dasatinib som monoterapi i kliniska studier samt efter att dasatinib introducerades på marknaden (tabell 5). Dessa biverkningar presenteras efter organsystemklass och frekvens. Frekvensen definieras som: mycket vanliga (≥ 1/10); vanliga (≥ 1/100, < 1/10); mindre vanliga (≥ 1/1 000, < 1/100); sällsynta (≥ 1/10 000, < 1/1 000); ingen känd frekvens (kan inte beräknas från data tillgängliga efter marknadsintroduktion).
Biverkningarna presenteras inom varje frekvensområde efter fallande allvarlighetsgrad.
Tabell 5: Tabulerad sammanfattning av biverkningar
a Inkluderar minskad aptit, tidig mättnad och ökad aptit.
b Inkluderar blödning i centrala nervsystemet, cerebralt hematom, cerebral blödning, extraduralt hematom, intrakraniell blödning, hemorragisk stroke, subaraknoidal blödning, subduralt hematom och subdural blödning.
c Inkluderar ökad utsöndring av natriuretisk peptid av typ B (BNP), ventrikulär dysfunktion, vänstersidig ventrikulär dysfunktion, högersidig ventrikulär dysfunktion, hjärtsvikt, akut hjärtsvikt, kronisk hjärtsvikt, kongestiv hjärtsvikt, kardiomyopati, kongestiv kardiomyopati, diastolisk dysfunktion, nedsatt ejektionsfraktion och ventrikulär svikt, vänstersidig ventrikulär svikt, högersidig ventrikulär svikt och ventrikulär hypokinesi.
d Exkluderar gastrointestinal blödning och CNS-blödning: Dessa biverkningar är rapporterade under magtarmkanalens organklass respektive centrala och perifera nervsystemets organklass.
e Inkluderar läkemedelsutslag, erytem, erythema multiforme, erytros, exfoliativa utslag, generaliserat erytem, genitala utslag, värmeutslag, milia, miliaria, pustulös psoriasis, utslag, erytematösa utslag, follikulära utslag, generaliserade utslag, makulära utslag, makulopapulära utslag, papulära utslag, kliande utslag, pustulära utslag, vesikulära utslag, hudexfoliering, hudirritation, toxiska utslag, vesikulär urtikaria och vaskulitutslag.
f Efter marknadsföringen har enskilda fall av Stevens–Johnsons syndrom rapporterats. Det kunde inte fastställas om dessa mukokutana biverkningar var direkt relaterade till dasatinib eller samtidigt läkemedel.
g Muskuloskeletal smärta har rapporterats under eller efter avslutad behandling.
h Rapporterat som vanliga i pediatriska kliniska studier.
i Gravitationsödem, lokalt ödem och perifert ödem.
j Konjunktivalt ödem, ögonödem, ögonsvullnad, ögonlocksödem, ansiktsödem, läppödem, makulärt ödem, munödem, orbitalt ödem, periorbitalt ödem och ansiktssvullnad.
k Övervätskning, vätskeretention, gastrointestinalt ödem, generaliserat ödem, perifer svullnad, ödem, ödem på grund av hjärtsjukdom, perinefritisk utgjutning, sekundärt ödem och visceral ödem.
l Genital svullnad, ödem på incisionstället, genitalödem, penilt ödem, penil svullnad, skrotumödem, hudsvullnad, testikelödem och vulvovaginal svullnad.
* För ytterligare detaljer, se avsnitt ”Beskrivning av utvalda biverkningar”.
Beskrivning av utvalda biverkningar
Myelosuppression
Behandling med dasatinib är förknippad med anemi, neutropeni och trombocytopeni. Dessa biverkningar uppträder tidigare och oftare hos patienter med KML i framskriden fas eller Ph+ ALL än hos patienter med KML i kronisk fas (se avsnitt 4.4).
Blödning
Olika typer av läkemedelsrelaterade blödningsbiverkningar, från petekier och epistaxis till gastrointestinal blödning och CNS-blödning av grad 3 eller 4, rapporterades hos patienter som tog dasatinib (se avsnitt 4.4).
Vätskeretention
Diverse biverkningar, som t.ex. pleurautgjutning, ascites, lungödem och perikardiell utgjutning med eller utan ytligt ödem kan kollektivt beskrivas som ”vätskeretention”. I studien på patienter med nydiagnostiserad KML i kronisk fas, rapporterades dasatinib-relaterade vätskeretentionsbiverkningar inklusive pleurautgjutning (28 %), ytligt ödem (14 %), pulmonell hypertoni (5 %), generaliserat ödem (4 %) och perikardiell utgjutning (4 %) efter minst 60 månaders uppföljning. Kongestiv hjärtsvikt/hjärtdysfunktion och lungödem rapporterades hos < 2 % av patienterna. Den kumulativa frekvensen av dasatinib-relaterad pleurautgjutning (alla grader) över tid var 10 % vid 12 månader, 14 % vid 24 månader, 19 % vid 36 månader, 24 % vid 48 månader och 28 % vid 60 månader. Sammanlagt 46 dasatinib-behandlade patienter hade återkommande pleurautgjutningar. Sjutton patienter hade 2 separata biverkningar, 6 hade 3 biverkningar, 18 hade 4–8 biverkningar och 5 hade > 8 plurautgjutningar. Mediantiden till den första dasatinib-relaterade pleurautgjutningen av grad 1 eller 2 var 114 veckor (intervall 4–299 veckor). Mindre än 10 % av patienterna med pleurautgjutning hade svår (grad 3 eller 4) dasatinib-relaterad pleurautgjutning. Mediantiden till den första dasatinib-relaterade pleurautgjutningen av grad ≥ 3 var 175 veckor (intervall 114–274 veckor). Mediandurationen för dasatinib-relaterad pleurautgjutning (alla grader) var 283 dagar (~ 40 veckor).
Pleurautgjutningarna var oftast reversibla och kontrollerades genom att avbryta dasatinibbehandlingen samt använda diuretika eller andra lämpliga understödjande vårdinsatser (se avsnitt 4.2 eller 4.4). Bland dasatinib-behandlade patienter med läkemedelsrelaterad pleurautgjutning (n = 73) gjorde 45 (62 %) uppehåll i doseringen och 30 (41 %) gick ner i dosering. Dessutom behandlades 34 (47 %) med diuretika, 23 (32 %) med kortikosteroider och 20 (27 %) med både kortikosteroider och diuretika. Nio patienter (12 %) genomgick terapeutisk thorakocentes.
Sex procent av de dasatinib-behandlade patienterna avslutade behandlingen på grund av läkemedelsrelaterad pleurautgjutning. Pleurautgjutning försämrade inte patientens förmåga att svara på behandlingen. Bland de dasatinib-behandlade patienterna med pleurautgjutning uppnådde 96 % bekräftat fullständigt cytogenetiskt svar (confirmed Complete Cytogenetic Response = cCCyR), 82 % uppnådde betydande molekylärt svar (Major Molecular Response = MMR) och 50 % uppnådde MR4.5 trots doseringsuppehåll och dosjustering.
Se avsnitt 4.4 för ytterligare information om patienter med KML i kronisk fas, framskriden fas eller Ph+ ALL.
Fall av kylothorax har rapporterats hos patienter med pleurautgjutning. Vissa fall av kylothorax försvann efter utsättning, avbrott eller dosreduktion av dasatinib men de flesta fall krävde även ytterligare behandling.
Pulmonell arteriell hypertension (PAH)
PAH (prekapillär pulmonell arteriell hypertension konfirmerad genom högersidig hjärtkateterisering) har rapporterats som en biverkan vid dasatinib-behandling. PAH rapporterades i dessa fall efter initiering av dasatinib-behandling men även efter mer än ett års behandling. Patienter som under dasatinib-behandling rapporterades ha PAH hade oftast annan samtidig läkemedelsbehandling eller andra komorbiditeter i tillägg till den underliggande maligniteten. Förbättringar i hemodynamiska och kliniska parametrar har observerats för patienter med PAH efter avslutad dasatinib-
behandling.
QT-förlängning
I fas III-studien på patienter med nydiagnostiserad KML i kronisk fas hade 1 av de dasatinib-behandlade patienterna (< 1 %) en QTcF > 500 msek efter minst 12 månaders uppföljning (se avsnitt 4.4). Inga ytterligare patienter rapporterades ha en QTcF > 500 msek efter minst 60 månaders uppföljning.
I 5 kliniska fas II-studier på patienter med resistens eller intolerans mot tidigare imatinib-behandling togs upprepade EKG, vid definierade tidpunkter före och under behandling, på 865 patienter som behandlades med dasatinib 70 mg två gånger dagligen. Proverna analyserades centralt. QT-intervallet korrigerades för hjärtfrekvensen enligt Fridericia-metoden. Vid samtliga tidpunkter efter dosering på dag 8 var förändringen i QTcF-intervall i medeltal 4–6 msek från utgångsvärdet, med 95 % övre konfidensintervall < 7 msek. Av de 2 182 patienter med resistens eller intolerans mot tidigare imatinib-behandling som fick dasatinib i kliniska studier, rapporterades QTc-förlängning som en biverkan hos 15 (1 %) patienter. Tjugoen patienter (1 %) hade en QTcF > 500 msek (se avsnitt 4.4).
Hjärtbiverkningar
Patienter med riskfaktorer eller tidigare hjärtsjukdom bör monitoreras noggrant med avseende på tecken eller symtom som tyder på hjärtdysfunktion och bör utredas och behandlas på lämpligt sätt (se avsnitt 4.4).
Hepatit B-reaktivering
Hepatit B-reaktivering har rapporterats i samband med BCR-ABL TKI. Vissa fall ledde till akut leversvikt eller fulminant hepatit med levertransplantation eller dödlig utgång som följd (se avsnitt 4.4).
I fas III dosoptimeringsstudien på patienter med KML i kronisk fas med resistens eller intolerans mot tidigare imatinib-behandling (median behandlingstid 30 månader) var incidensen av pleurautgjutning och hjärtsvikt/hjärtdysfunktion lägre hos patienter som behandlades med dasatinib 100 mg en gång dagligen än hos de som behandlades med dasatinib 70 mg två gånger dagligen. Även myelosuppression rapporterades mindre ofta i behandlingsgruppen med doseringen 100 mg en gång dagligen (se Laboratorietestavvikelser nedan). Mediandurationen för behandling i 100 mg en gång dagligen-gruppen var 37 månader (intervall 1-91 månader). Kumulativa frekvensen av utvalda biverkningar som rapporterades för den rekommenderade startdosen 100 mg en gång dagligen visas i tabell 6a.
Tabell 6a: Utvalda biverkningar som rapporterades i fas III dosoptimeringsstudien (imatinibintoleranta eller -resistenta patienter med KML i kronisk fas)a
a Resultat från fas III dosoptimeringsstudien rapporterat för populationen med rekommenderad startdos på 100 mg en gång dagligen (n=165)
I fas III dosoptimeringsstudien på patienter med KML i avancerad fas och Ph+ ALL var median behandlingstid 14 månader för KML i accelererad fas, 3 månader för myeloisk blastisk KML, 4 månader för lymfoid blastisk KML och 3 månader för Ph+ ALL. Utvalda biverkningar som rapporterades med den rekommenderade startdosen 140 mg en gång dagligen visas i tabell 6b. En behandlingsregim på 70 mg två gånger dagligen studerades också. Behandlingsregimen 140 mg en gång dagligen hade en effektprofil jämförbar med behandlingsregimen 70 mg två gånger dagligen, men en mer gynnsam säkerhetsprofil.
Tabell 6b: Utvalda biverkningar som rapporterades i fas III dosoptimeringsstudien: KML i avancerad fas och Ph+ ALL a
a Resultat från fas III dosoptimeringsstudien rapporterat för populationen med rekommenderad startdos på 140 mg en gång om dagen (n = 304) vid 2 års final studieuppföljning.
b Inkluderar ventrikulär dysfunktion, hjärtsvikt, kongestiv hjärtsvikt, kardiomyopati, kongestiv kardiomyopati, diastolisk dysfunktion, nedsatt ejektionsfraktion och ventrikulär svikt.
Det finns även resultat från två studier med totalt 161 pediatriska patienter med Ph+ ALL där dasatinib gavs i kombination med kemoterapi. I den pivotala studien fick 106 pediatriska patienter dasatinib i kombination med kemoterapi i en kontinuerlig doseringsregim. I en stödjande studie omfattande 55 pediatriska patienter, fick 35 patienter dasatinib i kombination med kemoterapi i en icke- kontinuerlig doseringsregim (två veckors behandling följt av 1–2 veckor utan behandling), och 20 patienter fick dasatinib i kombination med kemoterapi i en kontinuerlig doseringsregim. Av de 126 pediatriska Ph+ ALL-patienter som behandlades med dasatinib i en kontinuerlig doseringsregim, var mediantiden för behandling 23,6 månader (intervall 1,4–33 månader).
Av de 126 pediatriska Ph+ ALL-patienterna med kontinuerlig doseringsregim upplevde 2 (1,6%) patienter biverkningar som ledde till behandlingsavbrott. Biverkningar rapporterade med frekvensen ≥10% i dessa två pediatriska studier för patienter med kontinuerlig doseringsregim framgår av tabell 7. Observera att pleurautgjutning rapporterades för 7 patienter (5,6%) i denna grupp och den biverkningen är därför inte med i tabellen.
Tabell 7: Biverkningar rapporterade för ≥ 10% av de pediatriska patienterna med Ph+ ALL som behandlades med dasatinib med kontinuerlig doseringsregim i kombination med kemoterapi (N=126)a
a Av totalt 106 patienter i den pivotala studien, fick 24 patienter pulver till oral suspension åtminstone en gång och 8 patienter fick enbart pulver till oral suspension.
Laboratorietestavvikelser
Hematologi
I fas III-studien på patienter med nydiagnostiserad KML i kronisk fas, rapporterades följande laboratorieavvikelser av grad 3 eller 4 hos patienter som behandlats med dasatinib efter minst 12 månaders uppföljning: neutropeni (21 %), trombocytopeni (19 %) och anemi (10 %). Efter minst 60 månaders uppföljning var de kumulativa frekvenserna av neutropeni, trombocytopeni och anemi 29 %, 22 % respektive 13 %.
Generellt återhämtade sig dasatinib-behandlade patienter med nydiagnostiserad KML i kronisk fas från myelosuppression av grad 3 eller 4 efter kortare dosavbrott och/eller dosminskning; 1,6% av patienterna avbröt behandlingen permanent efter minst 12 månaders uppföljning. Efter minst 60 månaders uppföljning var den kumulativa frekvensen av permanent behandlingsavbrott, på grund av myelosuppression av grad 3 eller 4, 2,3%.
Hos patienter med KML med resistens eller intolerans mot tidigare imatinib-behandling var förekomsten av cytopeni (trombocytopeni, neutropeni och anemi) konsekvent. Förekomsten av cytopeni var emellertid även tydligt beroende av sjukdomsfasen. Frekvensen av hematologiska avvikelser av grad 3 eller 4 presenteras i tabell 8.
Tabell 8: Hematologiska laboratorieavvikelser av CTC-grad 3/4 i kliniska studier på patienter med resistens eller intolerans mot tidigare imatinib-behandlinga
a Resultat från fas III dosoptimeringsstudien efter 2 års uppföljning.
b Resultat från CA180-034-studien med rekommenderad startdos 100 mg en gång dagligen.
c Resultat från CA180-035-studien med rekommenderad startdos 140 mg en gång dagligen.
CTC-grader: neutropeni (Grad 3 ≥ 0,5 – < 1,0 × 109/l, Grad 4 < 0,5 × 109/l); trombocytopeni (Grad 3 ≥ 25 – < 50 × 109/l, Grad 4 < 25 × 109/l); anemi (hemoglobin Grad 3 ≥ 65 – < 80 g/l, Grad 4 < 65 g/l).
Hos patienter behandlade med 100 mg en gång dagligen var den kumulativa frekvensen av cytopenier av grad 3 eller 4 liknande vid 2 och 5 år; neutropeni (35 % vs. 36 %), trombocytopeni (23 % vs. 24 %) och anemi (13 % vs. 13 %).
Hos patienter med myelosuppression av grad 3 eller 4 skedde i allmänhet en återhämtning efter korta dosavbrott och/eller dosminskningar. Hos 5 % av patienterna seponerades behandlingen helt. De flesta patienterna fortsatte behandlingen utan ytterligare tecken på myelosuppression.
Biokemi
I studien med nydiagnostiserade patienter med KML i kronisk fas rapporterades hypofosfatemi av grad 3 eller 4 hos 4 % av de dasatinib-behandlade patienterna. Förhöjningar av transaminaser, kreatinin och bilirubin av grad 3 eller 4 rapporterades hos ≤ 1 % av patienterna efter minst 12 månaders uppföljning. Efter minst 60 månaders uppföljning var den kumulativa frekvensen av hypofosfatemi av grad 3 eller 4, 7 %, frekvensen av förhöjda kreatinin och bilirubin-nivåer till grad 3 eller 4 var 1 %, och frekvensen av förhöjda transaminas-nivåer till grad 3 eller 4 låg kvar på 1 %. Inga avbrott i dasatinibbehandlingen skedde på grund av dessa biokemiska laboratorieparametrar.
2 års uppföljning
Förhöjda transaminas- eller bilirubinvärden av grad 3 eller 4 rapporterades hos 1 % av patienterna med KML i kronisk fas (resistenta eller intoleranta mot imatinib), men förhöjda värden rapporterades med en ökad frekvens på 1 till 7 % hos patienter med KML i avancerad fas och Ph+ ALL. Tillstånden hanterades vanligtvis med minskad dos eller behandlingsuppehåll. I fas III dosoptimeringsstudien rapporterades transaminas- eller bilirubinförhöjningar av grad 3 eller 4 hos ≤ 1 % av patienterna med KML i kronisk fas, med en liknande låg incidens i de fyra behandlingsgrupperna. I fas III dosoptimeringsstudien rapporterades transaminas- eller bilirubinförhöjningar av grad 3 eller 4 hos 1–5 % av patienterna med KML i avancerad fas och Ph+ ALL i alla behandlingsgrupper.
Cirka 5 % av de dasatinib-behandlade patienter som hade normala utgångsnivåer upplevde övergående hypokalcemi av grad 3 eller 4 vid något tillfälle under studiens gång. I regel fanns inget samband mellan minskat kalcium och kliniska symtom. Patienter som utvecklade hypokalcemi av grad 3 eller 4 återhämtade sig ofta med perorala kalciumtillskott.
Grad 3 eller 4 hypokalcemi, hypokalemi och hypofosfatemi rapporterades hos patienter med KML i alla faser men det rapporterades med en ökad frekvens hos patienter med KML i myeloid eller lymfoid blastkris och Ph+ ALL. Grad 3 eller 4 förhöjningar i kreatinin rapporterades hos < 1 % av patienterna med KML i kronisk fas och rapporterades med en ökad frekvens hos 1 till 4 % av patienterna med KML i avancerad fas.
Pediatrisk population
Säkerhetsprofilen för dasatinib, administrerat som monoterapi till pediatriska patienter med Ph+ KML i kronisk fas, var jämförbar med säkerhetsprofilen hos vuxna. Säkerhetsprofilen för dasatinib, administrerat i kombination med kemoterapi till pediatriska patienter med Ph+ ALL, var jämförbar med säkerhetsprofilen för dasatinib hos vuxna och de förväntade effekterna av kemoterapi, med undantag av en lägre frekvens av pleurautgjutning hos pediatriska patienter jämfört med vuxna.
I de pediatriska KML-studierna var frekvenserna av laboratorieavvikelser jämförbara med den kända profilen för laboratorieparametrar hos vuxna.
I de pediatriska ALL-studierna, där patienterna även erhöll bakgrundsbehandling med kemoterapi, var frekvenserna av laboratorieavvikelser jämförbara med den kända profilen för laboratorieparametrar hos vuxna.
Särskilda populationer
Trots att säkerhetsprofilen av dasatinib hos äldre liknade den hos den yngre populationen, är patienter som är 65 år eller äldre mer benägna att utveckla de vanligast rapporterade biverkningarna såsom trötthet, pleurautgjutning, dyspné, hosta, nedre gastrointestinal blödning, aptitstörning och de är mer benägna att utveckla de mindre frekvent rapporterade biverkningarna såsom bukspänning, yrsel, perikardiell utgjutning, kongestiv hjärtsvikt, viktminskning och bör därför monitoreras noggrant (se avsnitt 4.4).
Rapportering av misstänkta biverkningar
Erfarenhet av överdosering med dasatinib i kliniska studier är begränsad till enstaka fallbeskrivningar. Den högsta överdosen på 280 mg per dag i en vecka rapporterades för två patienter och båda utvecklade en signifikant minskning av antalet trombocyter. Då dasatinib är förknippat med grad 3 eller 4 myelosuppression (se avsnitt 4.4), skall patienter som intar mer än den rekommenderade dosen övervakas noggrant för eventuell myelosuppression och ges lämplig understödjande behandling.
Klinisk effekt och säkerhet
I fas I-studien observerades hematologiska och cytogenetiska svar i alla faser av KML, och Ph+ ALL, hos de första 84 patienterna som fick behandling och uppföljning i upp till 27 månader. Svaren var varaktiga i alla faser av KML och vid Ph+ ALL.
Fyra enarmade, okontrollerade, öppna fas II-studier genomfördes för att undersöka dasatinibs säkerhet och effekt hos patienter med KML i kronisk fas, accelererad fas och myeloid blastkris, som antingen var resistenta eller intoleranta mot imatinib. En randomiserad icke-jämförande studie genomfördes med patienter i kronisk fas med terapisvikt på initial behandling med 400 eller 600 mg imatinib. Startdosen av dasatinib var 70 mg två gånger dagligen. Dosjustering tilläts för att förbättra effekten eller hantera toxiciteten (se avsnitt 4.2).
Två randomiserade, öppna fas III-studier genomfördes för att undersöka effekten av dasatinib administrerad en gång dagligen jämfört med dasatinib administrerad två gånger dagligen. Dessutom genomfördes en öppen, randomiserad, jämförande fas III-studie på vuxna patienter med nydiagnostiserad KML i kronisk fas.
Dasatinibs effekt grundar sig på de hematologiska och cytogenetiska svarsfrekvenserna. Svarsdurationen och den beräknade överlevnadsfrekvensen ger ytterligare bevis för dasatinibs kliniska effekt.
Totalt 2 712 patienter utvärderades i kliniska studier; 23 % av dessa var ≥ 65 år och 5 % var ≥ 75 år.
Kronisk fas av KML - Nydiagnostiserade
En internationell, öppen, multicenter, randomiserad, jämförande fas III-studie genomfördes hos vuxna patienter med nydiagnostiserad KML i kronisk fas. Patienterna randomiserades att antingen få dasatinib 100 mg en gång dagligen eller imatinib 400 mg en gång dagligen. Det primära effektmåttet var frekvensen av bekräftat fullständigt cytogenetiskt svar (confirmed Complete Cytogenetic Response = cCCyR) inom 12 månader. Det sekundära effektmåttet inkluderade tid i cCCyR (mått på svarets varaktighet), tid till cCCyR, frekvensen av betydande molekylärt svar (Major Molecular Response = MMR), tid till MMR, progressionsfri överlevnad (progression free survival = PFS) och total överlevnad (overall survival = OS). Andra relevanta effektresultat inkluderade frekvensen av CCyR och fullständigt molekylärt svar (Complete Molecular Response = CMR). Studien pågår.
Totalt randomiserades 519 patienter till en behandlingsgrupp: 259 till dasatinib och 260 till imatinib. De två behandlingsgruppernas karaktäristik vid ursprungsvärdet var välbalanserat, med hänsyn till ålder (medianålder var 46 år för dasatinib-gruppen och 49 år för imatinib-gruppen, där 10% respektive 11% av patienterna var 65 år eller äldre), kön (kvinnor 44% respektive 37%) och ras (vita 51% respektive 55%; asiater 42% respektive 37%). Vid ursprungsvärdet var fördelningen av Hasford Score liknande mellan dasatinib-gruppen och imatinib-gruppen (låg risk: 33% respektive 34%; måttlig risk: 48% respektive 47%; hög risk: 19% respektive 19%).
Vid minst 12 månaders uppföljning fick 85% av patienterna randomiserade till dasatinib-gruppen och 81% av patienterna randomiserade till imatinib-gruppen fortfarande första linjens behandling. Avbrott inom 12 månader på grund av sjukdomsprogression förekom hos 3% av dasatinib-behandlade patienter och 5% av imatinib-behandlade patienter.
Efter minst 60 månaders uppföljning fick 60% av patienterna randomiserade till dasatinib-gruppen och 63% av patienterna randomiserade till imatinib-gruppen fortfarande första linjens behandling. Avbrott inom 60 månader på grund av sjukdomsprogression förekom hos 11% av dasatinib-behandlade patienter och 14% av imatinib-behandlade patienter.
Effektresultaten presenteras i tabell 9. En statistiskt signifikant högre andel patienter i dasatinib-gruppen uppnådde ett cCCyR inom de 12 första behandlingsmånaderna jämfört med patienter i imatinib-gruppen. Effekten av dasatinib demonstrerades konsekvent mellan olika subgrupper inklusive ålder, kön och Hasford Score vid ursprungsvärdet.
Tabell 9: Effektresultat från en fas III studie hos nydiagnostiserade patienter med KML i kronisk fas
a Bekräftat fullständigt cytogenetiskt svar (cCCyR) definieras som ett svar noterat vid två, på varandra följande, tillfällen (minst 28 dagar emellan).
b Fullständigt cytogenetiskt svar (CCyR) baseras på en enda cytogenetisk utvärdering av benmärg.
C Betydande molekylärt svar (vid en given tidpunkt) definierades som BCR-ABL-förhållanden ≤ 0,1% med RQ-PCR av perifera blodprover standardiserade efter den internationella skalan. Dessa är kumulativa frekvenser med kortast uppföljningstid för det specificerade tidsintervallet.
*Justerad för Hasford Score och indikerad statistisk signifikans vid en förutbestämd nominell nivå av signifikans.
KI = konfidensintervall
Hos patienter med bekräftat CCyR var mediantid till cCCyR, vid 60 månaders uppföljning, 3,1 månader hos dasatinib-gruppen och 5,8 månader hos imatinibgruppen. Hos patienter med ett MMR var mediantiden till MMR, vid 60 månaders uppföljning, 9,3 månader hos dasatinib-gruppen och 15,0 månader hos imatinibgruppen. Dessa resultat överensstämmer med de vid 12, 24 och 36 månader.
Tiden till MMR visas grafiskt i bild 1. Tiden till MMR var genomgående kortare hos dasatinib-behandlade patienter jämfört med imatinib-behandlade patienter.
Bild 1: Kaplan-Meier-beräkningar av tiden till betydande molekylärt svar (MMR)
Frekvensen av cCCyR hos dasatinib-gruppen respektive imatinib-gruppen var inom 3 månader (54% respektive 30%), 6 månader (70% respektive 56%), 9 månader (75% respektive 63%), 24 månader (80% respektive 74%) och 36 månader (83% respektive 77%) , 48 månader (83% respektive 79%) och 60 månader (83% respektive 79%), lika med det primära effektmåttet. Frekvensen av MMR hos dasatinib-gruppen respektive imatinib-gruppen var inom 3 månader (8% respektive 0,4%), 6 månader (27% respektive 8%), 9 månader (39% respektive 18%), 12 månader (46% respektive 28%), 24 månader (64% respektive 46%), 36 månader (67% respektive 55%), 48 månader (73% respektive 60%) och 60 månader (76% respektive 64%) också lika med det primära effektmåttet. MMR-frekvenserna vid specifika tidpunkter visas grafiskt i bild 2. Tiden till MMR var genomgående kortare hos dasatinib-behandlade patienter jämfört med imatinib-behandlade patienter.
Bild 2: MMR-frekvenser över tid - alla randomiserade patienter i en fas III-studie med nydiagnostiserade patienter med KML i kronisk fas
Andelen patienter som uppnådde ett BCR-ABL-förhållande av ≤ 0,01% (4 log minskning) vid en given tidpunkt var högre i dasatinib-gruppen jämfört med imatinib-gruppen (54,1% jämfört med 45%). Andelen patienter som uppnådde ett BCR-ABL-förhållande av ≤ 0,0032% (4,5 log minskning) vid en given tidpunkt var högre i dasatinib-gruppen jämfört med imatinib-gruppen (44% jämfört med 34%). MR4.5-frekvenserna över tid visas grafiskt i bild 3. MR4.5-frekvenserna över tid var genomgående högre i dasatinib-behandlade patienter jämfört med imatinib-behandlade patienter.
Bild 3: MR4.5-frekvenser över tid - alla randomiserade patienter i en fas III-studie med nydiagnostiserade patienter med KML i kronisk fas
I varje riskgrupp, enligt Hasford Score, var frekvensen av MMR, vid en given tidpunkt, högre i dasatinib-gruppen jämfört med imatinib-gruppen (låg risk: 90% respektive 69%; intermediär risk 71% respektive 65%; hög risk 67% respektive 54%).
I ytterligare en analys, uppnådde fler dasatinib-behandlade patienter (84%) ett tidigt molekylärt svar (definierat som BCR-ABL-nivåerna < 10% vid 3 månader) jämfört med imatinib-behandlade patienter (64%). Patienter som uppnådde en tidig molekylärt svar hade en lägre risk för transformation, högre frekvens av progressionsfri överlevnad (progression-free survival=PFS) och högre frekvens av total överlevnad (overall survival=OS), som visas i tabell 10.
Tabell 10: Dasatinib-patienter med BCR-ABL ≤ 10% och > 10% vid 3 månader
Frekvensen för total överlevnad vid specifika tidpunkter visas grafiskt i bild 4. Frekvensen för total överlevnad var genomgående högre hos dasatinib-behandlade patienter som uppnådde BCR-ABL nivån ≤ 10 % vid 3 månader än de som inte gjorde det.
Bild 4: "Landmark Plot" för total överlevnad med dasatinib utifrån BCR-ABL-nivå (≤ 10% eller > 10%) vid 3 månader i en fas III-studie hos nydiagnostiserade patienter med KML i kronisk fas
Sjukdomsprogression definierades som ökning av vita blodceller trots lämplig behandling, förlust av CHR, delvis CyR eller CCyR, progression till accelererad fas eller blastkris, eller död. Den uppskattade 60-månaders PFS-frekvensen var 88,9% (KI: 84%-92,4%) för både dasatinib-gruppen och för imatinib-gruppen. Vid 60 månader hade färre av de dasatinib-behandlade patienterna (n = 8;3%), jämfört med (n = 15; 5,8%) de imatinib-behandlade patienterna, övergått i accelererad fas eller blastkris. Den uppskattade överlevnadsfrekvensen vid 60 månader var 90,9% (KI: 86,6%-93,8%) för dasatinib-behandlade patienter och 89,6% (KI: 85,2%-92,8%) för imatinib-behandlade patienter. Det var ingen skillnad i OS (HR 1,01, 95% KI: 0,58-1,73, p=0,9800) och PFS (HR 1,00, 95% KI: 0,58-1,72, p=0,9998) mellan dasatinib och imatinib.
För patienter med sjukdomsprogression eller avbrott i dasatinib- eller imatinib-behandlingen utfördes BCR-ABL-sekvensbestämning med hjälp av blodprov, i de fall sådana fanns tillgängliga. En liknande mutationsfrekvens observerades i båda behandlingsarmarna. Mutationerna hos dasatinib-behandlade patienter var T315I, F317I/L och V299L. Ett annat mutationsspektrum noterades i imatinib-armen. Baserat på in vitro-data verkar dasatinib inte vara aktivt mot T315I-mutationen.
KML i kronisk fas - Resistens eller intolerans vid tidigare imatinib-behandling
Två kliniska studier genomfördes med patienter som var resistenta eller intoleranta mot imatinib; det primära effektmåttet i dessa studier vad gäller läkemedelseffekt var betydande cytogenetiskt svar (Major Cytogenetic Response = MCyR):
Studie 1
En öppen, randomiserad, icke-jämförande multicenterstudie genomfördes hos patienter med terapisvikt på initial behandling med 400 eller 600 mg imatinib. De randomiserades (2:1) till antingen dasatinib (70 mg två gånger dagligen) eller imatinib (400 mg två gånger dagligen). Crossover till den andra behandlingsarmen var tillåten om patienterna visade tecken på sjukdomsprogress eller intolerans som inte kunde hanteras med dosjustering. Det primära effektmåttet var MCyR vid 12 veckor. Resultat finns tillgängliga för 150 patienter: 101 randomiserades till dasatinib och 49 till imatinib (alla resistenta mot imatinib). Mediantiden från diagnos till randomisering var 64 månader hos dasatinib-gruppen och 52 månader hos imatinib-gruppen. Alla patienter som deltog i studien hade genomgått omfattande behandling före studiestart. Fullständigt hematologiskt svar (CHR) på imatinib hade tidigare uppnåtts hos 93% av den totala patientpopulationen. Ett MCyR på imatinib uppnåddes hos 28% av patienterna i dasatinib-armen och 29% av patienterna i imatinib-armen före studiens början. Behandlingens medianduration var 23 månader för dasatinib (med 44% av patienterna hittills behandlade i > 24 månader) och 3 månader för imatinib (med 10% av patienterna hittills behandlade i > 24 månader). Nittiotre procent av patienterna i dasatinib-armen och 82% av patienterna i imatinibarmen uppnådde CHR före crossover.
Efter 3 månader erhölls MCyR oftare hos patienterna i dasatinib-armen (36%) än hos patienterna i imatinib-armen (29%). Noterbart är att 22% av patienterna rapporterade ett fullständigt cytogenetiskt svar (CCyR) i dasatinib-armen, medan enbart 8% uppnådde CCyR i imatinib-armen. Med längre behandling och uppföljning (median på 24 månader) uppnåddes MCyR hos 53% av de dasatinib-behandlade patienterna (CCyR hos 44%) och hos 33% av de imatinib-behandlade patienterna (CCyR hos 18%) före crossover. Hos patienter som hade behandlats med imatinib 400 mg före studiestart uppnåddes MCyR hos 61% av patienterna i dasatinib-armen och hos 50% av patienterna i imatinib-armen.
Baserat på Kaplan-Meier beräkningar var andelen patienter som bibehöll MCyR i 1 år 92% (95% KI: [85%-100%]) för dasatinib (CCyR 97%, 95% KI: [92%-100%]) och 74% (95% KI: [49%-100%]) för imatinib (CCyR 100%). Andelen patienter som bibehöll MCyR i 18 månader var 90%(95% KI: [82%-98%]) för dasatinib (CCyR 94%, 95% KI: [87%-100%]) och 74% (95% KI: [49%-100%]) för imatinib (CCyR 100%).
Baserat på Kaplan-Meier beräkningar var andelen patienter som hade progressionsfri överlevnad (PFS) i 1 år 91% (95% KI: [85%-97%]) för dasatinib och 73% (95% KI: [54%-91%]) för imatinib. Andelen patienter som hade progressionsfri överlevnad (PFS) i 2 år var 86% (95% KI: [78%-93%]) för dasatinib och 65% (95% KI: [43%-87%]) för imatinib.
Totalt 43% av patienterna i dasatinib-armen och 82% i imatinib-armen sviktade på behandlingen definierat som sjukdomsprogress eller crossover till den andra behandlingsarmen (bristande svar, intolerans mot studieläkemedlet, etc.).
Frekvensen av betydande molekylärt svar (definierat som andel BCR-ABL/kontroll-transkript ≤ 0,1% analyserat med RQ-PCR i perifert blod före crossover var 29% för dasatinib och 12% för imatinib.
Studie 2
En öppen, enarmad multicenterstudie genomfördes med patienter som var resistenta eller intoleranta mot imatinib (dvs. patienter som upplevde signifikant toxicitet under behandlingen med imatinib, vilket hindrade fortsatt behandling).
Totalt 387 patienter fick dasatinib 70 mg två gånger dagligen (288 resistenta och 99 intoleranta). Mediantiden från diagnos till behandlingsstart var 61 månader. Den övervägande delen av patienterna (53%) hade fått tidigare behandling med imatinib i mer än tre år. De flesta av de resistenta patienterna (72%) hade fått > 600 mg imatinib. Förutom imatinib hade 35% av patienterna tidigare fått cytostatika, 65% hade tidigare fått interferon och 10% hade tidigare fått stamcellstransplantation.
Trettioåtta procent av patienterna hade initialt mutationer kända för att medföra resistens mot imatinib. Mediandurationen för behandlingen med dasatinib var 24 månader, 51% av patienterna har hittills behandlats i > 24 månader. Effektresultaten redovisas i tabell 11. MCyR uppnåddes hos 55% av de imatinib-resistenta patienterna och hos 82% av de imatinib-intoleranta patienterna. Med minst 24 månaders uppföljning hade endast 21 av de 240 patienterna som uppnått MCyR progredierat och mediandurationen för MCyR hade inte uppnåtts.
Baserat på Kaplan-Meier beräkningar bibehöll 95% (95% KI: [92%-98%]) av patienterna MCyR i 1 år och 88% (95% KI: [83%-93%]) bibehöll MCyR i 2 år. Andelen patienter som bibehöll CCyR i 1 år var 97% (95% KI: [94%-99%]) och andelen patienter som bibehöll CCyR i 2 år var 90% (95% KI: [86%-95%]). Fyrtiotvå procent av de imatinib-resistenta patienterna utan tidigare MCyR med imatinib (n= 188) uppnådde MCyR med dasatinib.
Det förekom 45 olika BCR-ABL-mutationer hos 38% av patienterna i denna kliniska studie. Fullständigt hematologiskt svar eller MCyR uppnåddes av patienter med en mängd BCR-ABLmutationer som förknippas med imatinib-resistens förutom T315I. Svarsfrekvensen för MCyR vid 2 år var liknande, oberoende av om patienterna vid starten hade någon BCR-ABL-mutation (63%), P-loopmutation (61%) eller ingen mutation (62%).
Hos imatinib-resistenta patienter var den beräknade frekvensen av PFS 88% (95% KI: [84%-92%]) vid 1 år och 75% (95% KI: [69%-81%]) vid 2 år. Hos imatinib-intoleranta patienter var den beräknade frekvensen av PFS 98% (95% KI: [95%-100%]) vid 1 år och 94% (95% KI: [88%-99%]) vid 2 år.
Frekvensen av betydande molekylärt svar vid 24 månader var 45% (35% för imatinib-resistenta patienter och 74% för imatinib-intoleranta patienter).
Accelererad fas av KML
En öppen, enarmad, multicenterstudie genomfördes med patienter som var intoleranta eller resistenta mot imatinib. Totalt 174 patienter fick dasatinib 70 mg två gånger dagligen (161 resistenta och 13 intoleranta mot imatinib). Mediantiden från diagnos till behandlingsstart var 82 månader. Mediandurationen för behandling med dasatinib var 14 månader då hittills 31% av patienterna behandlats i > 24 månader. Frekvensen av betydande molekylärt svar (bedömd för 41 patienter med CCyR) var 46% vid 24 månader. Ytterligare effektresultat redovisas i tabell 11.
Myeloid blastkris av KML
En öppen, enarmad, multicenterstudie genomfördes med patienter som var intoleranta eller resistenta mot imatinib. Totalt 109 patienter fick dasatinib 70 mg två gånger dagligen (99 resistenta och 10 intoleranta mot imatinib). Mediantiden från diagnos till behandlingsstart var 48 månader. Mediandurationen för behandling med dasatinib var 3,5 månader då hittills 12% av patienterna behandlats i > 24 månader. Frekvensen av betydande molekylärt svar (bedömd för 19 patienter med CCyR) var 68% vid 24 månader. Ytterligare effektresultat redovisas i tabell 11.
KML i lymfoid blastkris och Ph+ ALL
En öppen, enarmad, multicenterstudie genomfördes hos patienter med KML i lymfoid blastkris eller Ph+ ALL, som var resistenta eller intoleranta mot tidigare imatinib-behandling. Totalt 48 patienter med KML i lymfoid blastkris fick dasatinib 70 mg två gånger dagligen (42 resistenta och 6 intoleranta mot imatinib). Mediantiden från diagnos till behandlingsstart var 28 månader. Mediandurationen för behandling med dasatinib var 3 månader då hittills 2% av patienterna behandlats i > 24 månader. Frekvensen av betydande molekylärt svar (alla 22 behandlade patienter med CCyR) var 50% vid 24 månader. Därutöver fick 46 patienter med Ph+ ALL fick dasatinib 70 mg två gånger dagligen (44 resistenta och 2 intoleranta mot imatinib). Mediantiden från diagnos till behandlingsstart var 18 månader. Mediandurationen för behandling med dasatinib var 3 månader då hittills 7 % av patienterna behandlats i > 24 månader. Frekvensen av betydande molekylärt svar (alla 25 behandlade patienter med CCyR) var 52 % vid 24 månader. Ytterligare effektresultat redovisas i tabell 11.
Noterbart är att betydande hematologiska svar (Major Haematologic Response = MaHR) uppnåddes snabbt (De flesta svaren kom inom 35 dagar efter den första dasatinib-administreringen hos patienter med KML i lymfoid blastkris och inom 55 dagar hos patienter med Ph+ ALL).
Tabell 11: Effekt i enarmade fas II-studier med Dasatiniba
Data i denna tabell är från studier med en startdos på 70 mg två gånger dagligen. Se avsnitt 4.2 för rekommenderad startdos.
a Värden i fet stil är resultat av primära effektmått.
b Hematologiska svarskriterier (alla svar bekräftade efter 4 veckor): Betydande hematologiskt svar: (Major Haematologic Response = MaHR) = Fullständigt hematologiskt svar (Complete Haematologic Response = CHR) + inga tecken på leukemi (No Evidence of Leukaemia = NEL)
CHR (kronisk KML): Vita blodkroppar (White Blood Cells = WBC) ≤ det institutionella övre normala gränsvärdet (Upper Limit of Normal range = ULN), trombocyter < 450 000/mm3, inga blaster eller promyelocyter i perifert blod, < 5 % myelocyter plus metamyelocyter i perifert blod, < 20 % basofiler i perifert blod och inget extramedullärt engagemang.
CHR (avancerad KML/Ph+ ALL): Vita blodkroppar ≤ institutionellt ULN, ANC ≥ 1 000/mm3, trombocyter ≥ 100 000/mm3, inga blaster eller promyelocyter i perifert blod, benmärgsblaster ≤ 5 %, < 5 % myelocyter plus metamyelocyter i perifert blod, < 20 % basofiler i perifert blod och inget extramedullärt engagemang.
NEL: samma kriterier som för CHR men ANC ≥ 500/mm3 och < 1 000/mm3 och/eller trombocyter ≥ 20 000/mm3 och ≤ 100 000/mm3.
c Cytogenetiska svarskriterier: fullständigt (0 % Ph+-metafaser) eller partiellt (> 0 %–35 %). Betydande cytogenetiskt svar (Major Cytogenetic Response = MCyR) (0 %–35 %) innefattar både fullständiga och partiella svar.
KI = Konfidensintervall; ULN (Upper Limit of Normal range) = övre normala gränsvärdet
Utfallet hos benmärgstransplanterade patienter som behandlats med dasatinib är inte fullständigt utvärderat.
Fas III kliniska studier hos patienter med KML i kronisk, accelererad eller myeloid blastkris och Ph+ ALL som var resistenta eller intoleranta mot imatinib
Två öppna, randomiserad studier genomfördes för att undersöka effekten av dasatinib givet en gång dagligen jämfört med dasatinib givet två gånger dagligen. Resultaten nedan baseras på minst 2 års och 7 års uppföljning efter behandlingsstart med dasatinib.
Studie 1
I studien med KML i kronisk fas, var det primära effektmåttet MCyR hos imatinib-resistenta patienter. Det huvudsakliga sekundära effektmåttet var MCyR med avseende på total daglig dosnivå hos de imatinib-resistenta patienterna. Andra sekundära effektmått inkluderade durationen av MCyR, PFS, samt total överlevnad. Totalt 670 patienter, varav 497 som var imatinib-resistenta, randomiserades till grupper som fick behandling med dasatinib 100 mg en gång dagligen, 140 mg en gång dagligen, 50 mg två gånger dagligen, eller 70 mg två gånger dagligen. Mediantiden för behandling, för alla patienter som fortfarande stod på behandling vid minst 5 års uppföljning (n=205), var 59 månader (intervall 28-66 månader). Behandlingens medianduration för alla patienter vid 7 års uppföljning var 29,8 månader (intervall < 1-92,9 månader).
Effekt erhölls i samtliga dasatinibs behandlingsgrupper med dosering en gång dagligen, vilket visar att effekten var jämförbar med (ej lägre än) effekten av doseringen två gånger dagligen vad gäller det primära effektmåttet (skillnad i MCyR 1,9%; 95% konfidensintervall [-6,8%-10,6%]); men behandlingsregimen 100 mg en gång dagligen uppvisade bättre säkerhet och tolerabilitet. Effektresultaten redovisas i tabellerna 12 och 13.
Tabell 12: Effekten av dasatinib i fas III dosoptimeringsstudien: imatinib-resistenta eller - intoleranta patienter med KML i kronisk fas (2-årsresultat)a
a Resultat vid rekommenderad startdos 100 mg en gång dagligen.
b Hematologiska svarskriterier (alla svar bekräftade efter 4 veckor): Fullständigt hematologiskt svar (CHR) (KML i kronisk fas): WBC ≤ det institutionella övre normala gränsvärdet,trombocyter <450,000/mm3, inga blaster eller promyelocyter i perifert blod, <5% myelocyter plus metamyelocyter n perifert blod, <20% basofiler i perifert blod, och inget extrameddulärt engagemang.
c Cytogenetiska svarskriterier: fullständigt (0% Ph+ metafaser) eller partiellt (>0%–35%). MCyR (0%–35%) innefattar både fullständigt och partiellt svar.
d Kriterier för betydande molekylärt svar: Definieras som BCR-ABL/kontrolltranskript ≤0,1% analyserat med RQ-PCR i perifert blod.
Tabell 13: Långtidseffekten av dasatinib i fas III dosoptimeringsstudien: imatinib-resistenta eller -intoleranta patienter med KML i kronisk fas a
a Resultat vid rekommenderad startdos 100 mg en gång dagligen.
b Progression definierades som ökande antal vita blodkroppar, avsaknad av CHR eller MCyR, ≥30% ökning av Ph+ metafaser, konfirmerad accelererad fas/blastisk fas, eller död. Progressionsfri överlevnad analyserades utifrån avsikt att behandla-principen och patienterna följdes upp till och med biverkningar inklusive efterföljande terapi.
Andelen patienter som bibehöll MCyR i 18 månader var 93% (95% KI: [88%-98%]) för de som behandlades med dasatinib 100 mg en gång dagligen baserat på Kaplan-Meier-beräkningar.
Effekten utvärderades även hos patienter som var intoleranta mot imatinib. Hos denna patientgrupp som fick 100 mg en gång dagligen uppnåddes MCyR hos 77% och CCyR hos 67%.
Studie 2
I studien med KML i avancerad fas och Ph+ALL, var det primära effektmåttet MaHR. Totalt randomiserades 611 patienter till antingen dasatinib 140 mg en gång dagligen eller 70 mg två gånger dagligen. Behandlingens medianduration var cirka 6 månader (intervall 0,03–31 månader).
Doseringen en gång dagligen gav en effekt som var jämförbar med (ej lägre än) doseringen två gånger dagligen vad gäller det primära effektmåttet (skillnad i MaHR 0,8 %; 95 % konfidensintervall -7,1 %–8,7 %); men behandlingsregimen 140 mg en gång dagligen uppvisade bättre säkerhet och tolerabilitet. Svarsfrekvenserna redovisas i tabell 14.
Tabell 14: Effekten av dasatinib i fas III dosoptimeringsstudien: KML i avancerad fas och Ph+ ALL (2-årsresultat)a
a Resultat vid rekommenderad startdos 140 mg en gång dagligen (se avsnitt 4.2).
b Hematologiska svarkriterier (alla svar bekräftade efter 4 veckor): Betydande hematologiskt svar (Major Haematologic Response = MaHR) = fullständigt hematologiskt svar (Complete Haematologic Response = CHR) + inga tecken på leukemi (No Evidence of Leukemia = NEL).
CHR: WBC ≤ det institutionella övre normala gränsvärdet, ANC ≥ 1 000/mm3, trombocyter ≥ 100 000/mm3, inga blaster eller promyelocyter i perifert blod, blaster i benmärg ≤ 5 %, < 5 % myelocyter plus metamyelocyter i perifert blod, < 20 % basofiler i perifert blod och inget extrameddulärt engagemang.
NEL: samma kriterier som för CHR men ANC ≥ 500/mm3 och < 1 000/mm3, eller trombocyter ≥ 20 000/mm3 och ≤ 100 000/mm3.
c MCyR innefattar både fullständigt (0 % Ph+ metafaser) och partiellt (> 0 %–35 %) svar.
KI = konfidensintervall; ULN (Upper Limit of Normal range) = övre normala gränsvärdet.
Hos patienter med KML i accelererad fas, som fick 140 mg en gång dagligen, uppnåddes inte mediandurationen för MaHR och total överlevnad. Median PFS var 25 månader.
Hos patienter med KML i myeloid blastfas, som behandlades med 140 mg en gång dagligen, var mediandurationen för MaHR 8 månader, median-PFS var 4 månader och median total överlevnad var 8 månader. Hos patienter med KML i lymfoid blastfas som behandlades med 140 mg en gång dagligen var mediandurationen för MaHR 5 månader, median-PFS var 5 månader och median total överlevnad var 11 månader.
Hos patienter med Ph+ ALL, som behandlades med 140 mg en gång dagligen, var mediandurationen för MaHR 5 månader, median-PFS var 4 månader och median total överlevnad var 7 månader.
Pediatrisk population
Pediatriska patienter med KML
Bland 130 patienter med KML i kronisk fas som behandlades i två pediatriska studier, en fas I, öppen, icke-randomiserad dosstudie och en fas II, öppen, icke-randomiserad studie, 84 patienter (alla från fas II-studien) nydiagnostiserade med KML i kronisk fas och 46 patienter (17 från fas I-studien och 29 från fas II-studien) var resistenta eller intoleranta mot tidigare behandling med imatinib. Nittiosju av 130 pediatriska patienter med KML i kronisk fas behandlades med dasatinib tabletter 60 mg/m2 en gång dagligen (maximal dos på 100 mg en gång dagligen för patienter med hög BSA). Patienterna behandlades till sjukdomsprogression eller oacceptabel toxicitet.
Viktiga effektmått var: fullständigt cytogenetiskt svar (CCyR), betydande cytogenetiskt svar (MCyR) och betydande molekylärt svar (MMR). Resultaten redovisas i tabell 15.
Tabell 15: Effekten av dasatinib hos pediatriska patienter med KML i kronisk fas Kumulativt svar över tid efter minsta uppföljningstid
a Pediatriska patienter med nydiagnostiserad KML i kronisk fas som fick oral tablettformulering i en fas II-studie.
b Pediatriska patienter med imatinibresistent eller intolerant KML i kronisk fas som fick oral tablettformulering i fas I- och fas II-studier.
I fas I-studien med pediatriska patienter var mediandurationen för PFS 53,6 månader och OS-frekvensen 82,4% efter minst 7 års uppföljning för de 17 patienter med imatinibresistent eller - intolerant KML i kronisk fas.
I fas II- studien med pediatriska patienter som fått tablettformuleringen var den uppskattade PFS-frekvensen vid 24 månader 94,0% (82,6, 98,0) för de 51 patienterna med nydiagnostiserad KML i kronisk fas och 81,7% (61,4, 92,0) för de 29 patienter med imatinibresistent/intolerant KML i kronisk fas. Efter 24 månaders uppföljning var OS 100% för nydiagnostiserade patienter och 96,6% för imatinibresistenta eller -intoleranta patienter.
I fas II-studien för pediatriska patienter progredierade 1 nydiagnostiserad patient och 2 imatinibresistenta eller -intoleranta patienter till KML i blastfas.
Trettiotre nydiagnostiserade pediatriska patienter med KML i kronisk fas fick dasatinib pulver till oral suspension i en dos av 72 mg/ml2. Denna dos innebär 30% lägre exponering jämfört med den rekommenderade dosen. Hos dessa patienter var CCyR 87,9% [95% KI: (71,8-96,6)] och MMR 45,5% [95% KI: (28,1-63,6)] vid 12 månader.
Bland de dasatinibbehandlade pediatriska patienterna med KML i kronisk fas, som tidigare exponerats för imatinib, var mutationerna som detekterades vid slutet av behandlingen: T315A, E255K och F317L. Emellertid detekterades också E255K och F317L före behandling. Inga mutationer detekterades hos nydiagnostiserade patienter med KLM i kronisk fas vid slutet av behandlingen.
Pediatriska patienter med ALL
Effekten av dasatinib i kombination med kemoterapi utvärderades i en pivotal studie med pediatriska patienter äldre än 1 år med nydiagnostiserad Ph+ ALL.
I denna multicenter, historiskt kontrollerade, fas II-studie med dasatinib, i tillägg till standardbehandling med kemoterapi, fick 106 pediatriska patienter med nydiagnostiserad Ph+ ALL, av vilka 104 patienter hade konfirmerad Ph+ ALL, en daglig dos av dasatinib på 60 mg/m2 i en kontinuerlig doseringsregim, kombinerat med kemoterapi, i upp till 24 månader. Åttiotvå patienter fick enbart dasatinib i tablettform, 24 patienter fick dasatinib pulver till oral suspension åtminstone en gång, och 8 patienter fick enbart dasatinib pulver till oral suspension. Kemoterapibehandlingen var densamma som användes i studien AIEOP-BFM ALL 2000 (kombinationer av standardprodukter). Det primära effektmåttet var 3 års eventfri överlevnad (Event Free Survival=EFS) med resultatet 65,5% (55,5, 73,7).
Andelen fall som var negativa för minimal residual disease (MRD), bedömd genom Ig/TCR‑omlagring, var vid slutet av konsolideringen 71,7% för behandlade patienter. När denna andel baserades på de 85 patienterna med utvärderbara Ig/TCR-bedömningar, uppskattades den till 89,4%. Andelen MRD-negativa fall var vid slutet av induktion och konsolidering, mätt med flödescytometri, 66,0% respektive 84,0%.
Dasatinibs farmakokinetik utvärderades hos 229 vuxna friska försökspersoner och hos 84 patienter.
Absorption
Dasatinib absorberas snabbt hos patienter efter peroral administrering, med maximal koncentration efter 0,5–3 timmar. Efter peroral administrering är ökningen i medelexponering (AUCτ) ungefärligt proportionell mot dosökningen för doser mellan 25 mg och 120 mg två gånger dagligen. Den genomsnittliga terminala halveringstiden för dasatinib är cirka 5–6 timmar hos patienter.
Data från friska försökspersoner som fick en enkeldos på 100 mg dasatinib 30 minuter efter en fettrik måltid visade på en 14 %-ig ökning i dasatinibs genomsnittliga AUC. En måltid med lågt fettinnehåll 30 minuter före intag av dasatinib resulterade i en ökning på 21 % av dasatinibs genomsnittliga AUC. De observerade effekterna av matintag avspeglar inte kliniskt relevanta förändringar i exponering. Exponeringsvariabiliteten för dasatinib är högre vid fasta (47 % C.V.) jämfört med efter måltid med låg fetthalt (39 % C.V.) och efter måltid med hög fetthalt (32 % C.V.).
Baserat på den farmakokinetiska analysen av patientpopulationen, beräknas variabiliteten i dasatinibexponering framför allt bero på att biotillgängligheten varierar vid olika tillfällen (44 % C.V.) och i mindre utsträckning på interindividuell variation i biotillgänglighet och clearance (30 % respektive 32 % C.V.). Den slumpmässiga variationen i exponering vid olika tillfällen förväntas inte påverka den kumulativa exponeringen, effekten eller säkerheten.
Distribution
Hos patienter har dasatinib en stor, skenbar distributionsvolym (2 505 l), variationskoefficient (C.V. 93%), vilket tyder på att läkemedlet har en omfattande distribution i det extravaskulära rummet. Vid kliniskt relevanta koncentrationer av dasatinib var bindningen till plasmaproteiner cirka 96 %, baserat på resultat från försök in vitro.
Metabolism
Dasatinib metaboliseras i stor utsträckning hos människa; ett flertal enzymer är involverade i bildningen av metaboliterna. Hos friska försökspersoner som fick 100 mg av [14C]-märkt dasatinib, svarade oförändrad dasatinib för 29 % av den cirkulerande radioaktiviteten i plasma. Plasmakoncentrationen och uppmätt in vitro-aktivitet indikerar att det är osannolikt att dasatinibs metaboliter skulle spela någon betydande roll i produktens iakttagna farmakologiska profil. CYP3A4 är ett av de viktigaste enzymen för metaboliseringen av dasatinib.
Eliminering
Den terminala halveringstiden för dasatinib är i medeltal 3–5 timmar. Oral clearance är i medeltal 363,8 l/timma (C.V.% 81,3%).
Utsöndringen sker huvudsakligen i faeces i form av metaboliter. Efter en peroral enkeldos av [14C]-märkt dasatinib utsöndrades cirka 89 % av dosen inom 10 dagar – 4 % av radioaktiviteten återfanns i urinen och 85 % i faeces. Oförändrad dasatinib svarade för 0,1 % av dosen i urinen och för 19 % av dosen i faeces; övrig del av dosen var i form av metaboliter.
Nedsatt lever- och njurfunktion
Effekten av nedsatt leverfunktion på dasatinibs farmakokinetik efter en enkeldos utvärderades för åtta patienter med medelsvårt nedsatt leverfunktion som erhållit en dos på 50 mg och för fem patienter med svårt nedsatt leverfunktion som erhållit en dos på 20 mg jämfört med friska personer som erhållit en dasatinibdos på 70 mg. Medelvärdet av Cmax och AUC för dasatinib, justerat för 70 mg-dosen, minskade med 47 % respektive 8 % för patienter med medelsvårt nedsatt leverfunktion jämfört med personer med normal leverfunktion. För patienter med svårt nedsatt leverfunktion minskade medelvärdet av Cmax och AUC för dasatinib, justerat för 70 mg-dosen, med 43 % respektive 28 % jämfört med patienter med normal leverfunktion (se avsnitt 4.2 och 4.4).
Dasatinib och dess metaboliter utsöndras minimalt via njurarna.
Pediatrisk population
Farmakokinetiken för dasatinib har utvärderats hos 104 pediatriska patienter med leukemi eller fasta tumörer (72 som fick tablettformuleringen och 32 som fick pulver till oral suspension).
I en farmakokinetisk studie på barn var den dos-normaliserade exponeringen för dasatinib (Cavg, Cmin och Cmax) jämförbar mellan 21 patienter med KML i kronisk fas och 16 patienter med Ph+ ALL.
Farmakokinetiken för tablettformuleringen av dasatinib utvärderades för 72 pediatriska patienter med relapserande eller refraktär leukemi eller solida tumörer vid orala doser från 60 till 120 mg/m2 en gång dagligen och 50–110 mg/m2 två gånger dagligen. Data sammanslogs från två studier och visade att dasatinib absorberades snabbt. Genomsnittligt Tmax observerades mellan 0,5 och 6 timmar och genomsnittlig halveringstid varierade från 2 till 5 timmar över alla dosnivåer och åldersgrupper. Farmakokinetiken för dasatinib uppvisade dosproportionalitet med en dosrelaterad ökning av exponeringen hos pediatriska patienter. Det fanns ingen signifikant skillnad mellan farmakokinetiken för dasatinib mellan barn och ungdomar. Det geometriska medelvärdet för dosnormaliserad Cmax, AUC(0-T) och AUC(INF) verkade vara liknande för barn och ungdomar vid olika dosnivåer. En simulering i en populationsfarmakokinetisk modell förutsade att den rekommenderade doseringen per kg kroppsvikt för tabletter, som anges i avsnitt 4.2, förväntas ge en liknande exponering som en tablettdos på 60 mg/m2. Dessa data bör övervägas om patienter ska byta från tabletter till pulver till oral suspension eller vice versa.
Dasatinibs icke-kliniska säkerhetsprofil utvärderades i en rad in vitro- och in vivo-studier med mus, råtta, apa och kanin.
De huvudsakliga toxiska effekterna uppträdde i det gastrointestinala systemet, det hematopoetiska systemet och lymfsystemet. Gastrointestinal toxicitet var dosbegränsande hos råtta och apa, då tarmarna utgjorde ett konsekvent målorgan. Hos råtta åtföljdes minimala till små minskningar i erytrocytparametrarna av benmärgsförändringar; och liknande förändringar inträffade med lägre incidens hos apa. Lymfoid toxicitet hos råtta bestod av uttömning av lymfa från lymfkörtlarna, mjälten och tymus samt minskad vikt hos lymforganen. Förändringarna i det gastrointestinala systemet, det hematopoetiska systemet och lymfsystemet var reversibla efter behandlingsstopp.
Njurförändringar hos apor som behandlades i upp till 9 månader begränsades till en ökning av normal njurmineralisering. Kutan blödning iakttogs vid en akut, oral enkeldosstudie hos apa men sågs varken hos apa eller råtta i studier med upprepade doser. Hos råtta hämmade dasatinib trombocytaggregationen in vitro och förlängde blödningstiden i ytterhuden in vivo, men framkallade inte någon spontan blödning.
Dasatinibs aktivitet in vitro i hERG- och Purkinjetrådsanalyser tyder på en potential att förlänga den kardiella ventrikulära repolariseringen (QT-intervallet). I en enkeldosstudie in vivo hos fjärravlästa apor som var vid medvetande fanns emellertid inga förändringar i QT-intervallet eller EKG-vågorna.
Dasatinib var inte mutagen i bakteriecellsanalyser in vitro (Ames test) och var inte genotoxisk i en mikrokärntest in vivo på råtta. Dasatinib var klastogen in vitro på ovarieceller från kinesisk hamster (CHO-celler) under delning.
Dasatinib påverkade inte den manliga eller kvinnliga fertiliteten i en konventionell studie på råtta av fertilitet och tidig embryonal utveckling, men inducerade embryonal dödlighet vid doser ungefärligen motsvarande de kliniskt använda på människa. I studier av embryofetal utveckling framkallade dasatinib på samma sätt embryonal dödlighet med relaterade minskningar i kullarnas storlek hos råtta så väl som skelettförändringar hos både rått- och kaninfoster. Dessa effekter uppträdde i doser som inte framkallade toxicitet hos moderdjuret, vilket indikerar att dasatinib är ett selektivt reproduktionstoxiskt ämne från implantationen till och med organogenesen.
Hos mus framkallade dasatinib dosrelaterad immunosuppression som effektivt kunde hanteras med dosminskning och/eller en ändring i doseringsschemat. Dasatinib hade fototoxisk potential i en in vitro fototoxicitetstest på musfibroblaster med upptag av neutralrött. Dasatinib ansågs vara icke-fototoxisk in vivo efter en peroral enkeldos till hårlösa honmöss med upp till 3 gånger så höga exponeringar som hos människa efter administrering av rekommenderad terapeutisk dos (baserat på AUC).
I en tvåårig carcinogenicitetsstudie på råtta administrerades orala doser av dasatinib på 0,3; 1 eller 3 mg/kg/dag. Den högsta dosen gav en plasmaexponeringsnivå (AUC) som i stort sett var överensstämmande med den humana exponeringen vid det rekommenderade startdosintervallet 100–140 mg/dagligen. Man erhöll en statistiskt signifikant ökning av den kombinerade incidensen av skivepitelcancer och papillom i livmodern och livmoderhalsen för honråttor som fått höga doser, och prostataadenom för hanråttor som fått låga doser. Det är inte känt vilken relevans resultaten från carcinogenicitetsstudien på råttor har för människa.
Farmakoterapeutisk grupp: övriga antineoplastiska medel, proteinkinashämmare, ATC-kod: L01EA02
Farmakodynamik
Dasatinib hämmar aktiviteten av BCR-ABL-kinaset och gruppen av SRC-kinaser samt ett antal andra onkogena kinaser, inklusive c-KIT, efrin (EPH) receptorkinaser och PDGFβ-receptor. Dasatinib är en potent, subnanomolar hämmare av BCR-ABL-kinaset med potens i koncentrationen 0,6–0,8 nM. Den binder till både inaktiva och aktiva konformationer av BCR-ABL-enzymet.
Verkningsmekanism
In vitro är dasatinib aktiv i leukemiska cellinjer som representerar varianter av imatinibkänslig och imatinib-resistent sjukdom. Dessa icke-kliniska studier visar att dasatinib kan övervinna imatinibresistens som orsakats av överuttryck av BCR-ABL, mutationer i BCR-ABL:s kinasdomän, aktivering av alternativa signalbanor som involverar SRC-kinaserna (LYN, HCK) och överuttryck av en multidrogresistansgen. Dasatinib hämmar dessutom SRC-kinaser vid subnanomolära koncentrationer.
In vivo förhindrade dasatinib, i olika experiment med musmodeller av KML, progressionen av KML i kronisk fas till blastkris och förlängde överlevnaden hos möss med patientgenererade KML-cellinjer som odlats på olika ställen, inklusive det centrala nervsystemet.
Klinisk effekt och säkerhet
I fas I-studien observerades hematologiska och cytogenetiska svar i alla faser av KML, och Ph+ ALL, hos de första 84 patienterna som fick behandling och uppföljning i upp till 27 månader. Svaren var varaktiga i alla faser av KML och vid Ph+ ALL.
Fyra enarmade, okontrollerade, öppna fas II-studier genomfördes för att undersöka dasatinibs säkerhet och effekt hos patienter med KML i kronisk fas, accelererad fas och myeloid blastkris, som antingen var resistenta eller intoleranta mot imatinib. En randomiserad icke-jämförande studie genomfördes med patienter i kronisk fas med terapisvikt på initial behandling med 400 eller 600 mg imatinib. Startdosen av dasatinib var 70 mg två gånger dagligen. Dosjustering tilläts för att förbättra effekten eller hantera toxiciteten (se avsnitt 4.2).
Två randomiserade, öppna fas III-studier genomfördes för att undersöka effekten av dasatinib administrerad en gång dagligen jämfört med dasatinib administrerad två gånger dagligen. Dessutom genomfördes en öppen, randomiserad, jämförande fas III-studie på vuxna patienter med nydiagnostiserad KML i kronisk fas.
Dasatinibs effekt grundar sig på de hematologiska och cytogenetiska svarsfrekvenserna. Svarsdurationen och den beräknade överlevnadsfrekvensen ger ytterligare bevis för dasatinibs kliniska effekt.
Totalt 2 712 patienter utvärderades i kliniska studier; 23 % av dessa var ≥ 65 år och 5 % var ≥ 75 år.
Kronisk fas av KML - Nydiagnostiserade
En internationell, öppen, multicenter, randomiserad, jämförande fas III-studie genomfördes hos vuxna patienter med nydiagnostiserad KML i kronisk fas. Patienterna randomiserades att antingen få dasatinib 100 mg en gång dagligen eller imatinib 400 mg en gång dagligen. Det primära effektmåttet var frekvensen av bekräftat fullständigt cytogenetiskt svar (confirmed Complete Cytogenetic Response = cCCyR) inom 12 månader. Det sekundära effektmåttet inkluderade tid i cCCyR (mått på svarets varaktighet), tid till cCCyR, frekvensen av betydande molekylärt svar (Major Molecular Response = MMR), tid till MMR, progressionsfri överlevnad (progression free survival = PFS) och total överlevnad (overall survival = OS). Andra relevanta effektresultat inkluderade frekvensen av CCyR och fullständigt molekylärt svar (Complete Molecular Response = CMR). Studien pågår.
Totalt randomiserades 519 patienter till en behandlingsgrupp: 259 till dasatinib och 260 till imatinib. De två behandlingsgruppernas karaktäristik vid ursprungsvärdet var välbalanserat, med hänsyn till ålder (medianålder var 46 år för dasatinib-gruppen och 49 år för imatinib-gruppen, där 10% respektive 11% av patienterna var 65 år eller äldre), kön (kvinnor 44% respektive 37%) och ras (vita 51% respektive 55%; asiater 42% respektive 37%). Vid ursprungsvärdet var fördelningen av Hasford Score liknande mellan dasatinib-gruppen och imatinib-gruppen (låg risk: 33% respektive 34%; måttlig risk: 48% respektive 47%; hög risk: 19% respektive 19%).
Vid minst 12 månaders uppföljning fick 85% av patienterna randomiserade till dasatinib-gruppen och 81% av patienterna randomiserade till imatinib-gruppen fortfarande första linjens behandling. Avbrott inom 12 månader på grund av sjukdomsprogression förekom hos 3% av dasatinib-behandlade patienter och 5% av imatinib-behandlade patienter.
Efter minst 60 månaders uppföljning fick 60% av patienterna randomiserade till dasatinib-gruppen och 63% av patienterna randomiserade till imatinib-gruppen fortfarande första linjens behandling. Avbrott inom 60 månader på grund av sjukdomsprogression förekom hos 11% av dasatinib-behandlade patienter och 14% av imatinib-behandlade patienter.
Effektresultaten presenteras i tabell 9. En statistiskt signifikant högre andel patienter i dasatinib-gruppen uppnådde ett cCCyR inom de 12 första behandlingsmånaderna jämfört med patienter i imatinib-gruppen. Effekten av dasatinib demonstrerades konsekvent mellan olika subgrupper inklusive ålder, kön och Hasford Score vid ursprungsvärdet.
Tabell 9: Effektresultat från en fas III studie hos nydiagnostiserade patienter med KML i kronisk fas
a Bekräftat fullständigt cytogenetiskt svar (cCCyR) definieras som ett svar noterat vid två, på varandra följande, tillfällen (minst 28 dagar emellan).
b Fullständigt cytogenetiskt svar (CCyR) baseras på en enda cytogenetisk utvärdering av benmärg.
C Betydande molekylärt svar (vid en given tidpunkt) definierades som BCR-ABL-förhållanden ≤ 0,1% med RQ-PCR av perifera blodprover standardiserade efter den internationella skalan. Dessa är kumulativa frekvenser med kortast uppföljningstid för det specificerade tidsintervallet.
*Justerad för Hasford Score och indikerad statistisk signifikans vid en förutbestämd nominell nivå av signifikans.
KI = konfidensintervall
Hos patienter med bekräftat CCyR var mediantid till cCCyR, vid 60 månaders uppföljning, 3,1 månader hos dasatinib-gruppen och 5,8 månader hos imatinibgruppen. Hos patienter med ett MMR var mediantiden till MMR, vid 60 månaders uppföljning, 9,3 månader hos dasatinib-gruppen och 15,0 månader hos imatinibgruppen. Dessa resultat överensstämmer med de vid 12, 24 och 36 månader.
Tiden till MMR visas grafiskt i bild 1. Tiden till MMR var genomgående kortare hos dasatinib-behandlade patienter jämfört med imatinib-behandlade patienter.
Bild 1: Kaplan-Meier-beräkningar av tiden till betydande molekylärt svar (MMR)
Frekvensen av cCCyR hos dasatinib-gruppen respektive imatinib-gruppen var inom 3 månader (54% respektive 30%), 6 månader (70% respektive 56%), 9 månader (75% respektive 63%), 24 månader (80% respektive 74%) och 36 månader (83% respektive 77%) , 48 månader (83% respektive 79%) och 60 månader (83% respektive 79%), lika med det primära effektmåttet. Frekvensen av MMR hos dasatinib-gruppen respektive imatinib-gruppen var inom 3 månader (8% respektive 0,4%), 6 månader (27% respektive 8%), 9 månader (39% respektive 18%), 12 månader (46% respektive 28%), 24 månader (64% respektive 46%), 36 månader (67% respektive 55%), 48 månader (73% respektive 60%) och 60 månader (76% respektive 64%) också lika med det primära effektmåttet. MMR-frekvenserna vid specifika tidpunkter visas grafiskt i bild 2. Tiden till MMR var genomgående kortare hos dasatinib-behandlade patienter jämfört med imatinib-behandlade patienter.
Bild 2: MMR-frekvenser över tid - alla randomiserade patienter i en fas III-studie med nydiagnostiserade patienter med KML i kronisk fas
Andelen patienter som uppnådde ett BCR-ABL-förhållande av ≤ 0,01% (4 log minskning) vid en given tidpunkt var högre i dasatinib-gruppen jämfört med imatinib-gruppen (54,1% jämfört med 45%). Andelen patienter som uppnådde ett BCR-ABL-förhållande av ≤ 0,0032% (4,5 log minskning) vid en given tidpunkt var högre i dasatinib-gruppen jämfört med imatinib-gruppen (44% jämfört med 34%). MR4.5-frekvenserna över tid visas grafiskt i bild 3. MR4.5-frekvenserna över tid var genomgående högre i dasatinib-behandlade patienter jämfört med imatinib-behandlade patienter.
Bild 3: MR4.5-frekvenser över tid - alla randomiserade patienter i en fas III-studie med nydiagnostiserade patienter med KML i kronisk fas
I varje riskgrupp, enligt Hasford Score, var frekvensen av MMR, vid en given tidpunkt, högre i dasatinib-gruppen jämfört med imatinib-gruppen (låg risk: 90% respektive 69%; intermediär risk 71% respektive 65%; hög risk 67% respektive 54%).
I ytterligare en analys, uppnådde fler dasatinib-behandlade patienter (84%) ett tidigt molekylärt svar (definierat som BCR-ABL-nivåerna < 10% vid 3 månader) jämfört med imatinib-behandlade patienter (64%). Patienter som uppnådde en tidig molekylärt svar hade en lägre risk för transformation, högre frekvens av progressionsfri överlevnad (progression-free survival=PFS) och högre frekvens av total överlevnad (overall survival=OS), som visas i tabell 10.
Tabell 10: Dasatinib-patienter med BCR-ABL ≤ 10% och > 10% vid 3 månader
Frekvensen för total överlevnad vid specifika tidpunkter visas grafiskt i bild 4. Frekvensen för total överlevnad var genomgående högre hos dasatinib-behandlade patienter som uppnådde BCR-ABL nivån ≤ 10 % vid 3 månader än de som inte gjorde det.
Bild 4: "Landmark Plot" för total överlevnad med dasatinib utifrån BCR-ABL-nivå (≤ 10% eller > 10%) vid 3 månader i en fas III-studie hos nydiagnostiserade patienter med KML i kronisk fas
Sjukdomsprogression definierades som ökning av vita blodceller trots lämplig behandling, förlust av CHR, delvis CyR eller CCyR, progression till accelererad fas eller blastkris, eller död. Den uppskattade 60-månaders PFS-frekvensen var 88,9% (KI: 84%-92,4%) för både dasatinib-gruppen och för imatinib-gruppen. Vid 60 månader hade färre av de dasatinib-behandlade patienterna (n = 8;3%), jämfört med (n = 15; 5,8%) de imatinib-behandlade patienterna, övergått i accelererad fas eller blastkris. Den uppskattade överlevnadsfrekvensen vid 60 månader var 90,9% (KI: 86,6%-93,8%) för dasatinib-behandlade patienter och 89,6% (KI: 85,2%-92,8%) för imatinib-behandlade patienter. Det var ingen skillnad i OS (HR 1,01, 95% KI: 0,58-1,73, p=0,9800) och PFS (HR 1,00, 95% KI: 0,58-1,72, p=0,9998) mellan dasatinib och imatinib.
För patienter med sjukdomsprogression eller avbrott i dasatinib- eller imatinib-behandlingen utfördes BCR-ABL-sekvensbestämning med hjälp av blodprov, i de fall sådana fanns tillgängliga. En liknande mutationsfrekvens observerades i båda behandlingsarmarna. Mutationerna hos dasatinib-behandlade patienter var T315I, F317I/L och V299L. Ett annat mutationsspektrum noterades i imatinib-armen. Baserat på in vitro-data verkar dasatinib inte vara aktivt mot T315I-mutationen.
KML i kronisk fas - Resistens eller intolerans vid tidigare imatinib-behandling
Två kliniska studier genomfördes med patienter som var resistenta eller intoleranta mot imatinib; det primära effektmåttet i dessa studier vad gäller läkemedelseffekt var betydande cytogenetiskt svar (Major Cytogenetic Response = MCyR):
Studie 1
En öppen, randomiserad, icke-jämförande multicenterstudie genomfördes hos patienter med terapisvikt på initial behandling med 400 eller 600 mg imatinib. De randomiserades (2:1) till antingen dasatinib (70 mg två gånger dagligen) eller imatinib (400 mg två gånger dagligen). Crossover till den andra behandlingsarmen var tillåten om patienterna visade tecken på sjukdomsprogress eller intolerans som inte kunde hanteras med dosjustering. Det primära effektmåttet var MCyR vid 12 veckor. Resultat finns tillgängliga för 150 patienter: 101 randomiserades till dasatinib och 49 till imatinib (alla resistenta mot imatinib). Mediantiden från diagnos till randomisering var 64 månader hos dasatinib-gruppen och 52 månader hos imatinib-gruppen. Alla patienter som deltog i studien hade genomgått omfattande behandling före studiestart. Fullständigt hematologiskt svar (CHR) på imatinib hade tidigare uppnåtts hos 93% av den totala patientpopulationen. Ett MCyR på imatinib uppnåddes hos 28% av patienterna i dasatinib-armen och 29% av patienterna i imatinib-armen före studiens början. Behandlingens medianduration var 23 månader för dasatinib (med 44% av patienterna hittills behandlade i > 24 månader) och 3 månader för imatinib (med 10% av patienterna hittills behandlade i > 24 månader). Nittiotre procent av patienterna i dasatinib-armen och 82% av patienterna i imatinibarmen uppnådde CHR före crossover.
Efter 3 månader erhölls MCyR oftare hos patienterna i dasatinib-armen (36%) än hos patienterna i imatinib-armen (29%). Noterbart är att 22% av patienterna rapporterade ett fullständigt cytogenetiskt svar (CCyR) i dasatinib-armen, medan enbart 8% uppnådde CCyR i imatinib-armen. Med längre behandling och uppföljning (median på 24 månader) uppnåddes MCyR hos 53% av de dasatinib-behandlade patienterna (CCyR hos 44%) och hos 33% av de imatinib-behandlade patienterna (CCyR hos 18%) före crossover. Hos patienter som hade behandlats med imatinib 400 mg före studiestart uppnåddes MCyR hos 61% av patienterna i dasatinib-armen och hos 50% av patienterna i imatinib-armen.
Baserat på Kaplan-Meier beräkningar var andelen patienter som bibehöll MCyR i 1 år 92% (95% KI: [85%-100%]) för dasatinib (CCyR 97%, 95% KI: [92%-100%]) och 74% (95% KI: [49%-100%]) för imatinib (CCyR 100%). Andelen patienter som bibehöll MCyR i 18 månader var 90%(95% KI: [82%-98%]) för dasatinib (CCyR 94%, 95% KI: [87%-100%]) och 74% (95% KI: [49%-100%]) för imatinib (CCyR 100%).
Baserat på Kaplan-Meier beräkningar var andelen patienter som hade progressionsfri överlevnad (PFS) i 1 år 91% (95% KI: [85%-97%]) för dasatinib och 73% (95% KI: [54%-91%]) för imatinib. Andelen patienter som hade progressionsfri överlevnad (PFS) i 2 år var 86% (95% KI: [78%-93%]) för dasatinib och 65% (95% KI: [43%-87%]) för imatinib.
Totalt 43% av patienterna i dasatinib-armen och 82% i imatinib-armen sviktade på behandlingen definierat som sjukdomsprogress eller crossover till den andra behandlingsarmen (bristande svar, intolerans mot studieläkemedlet, etc.).
Frekvensen av betydande molekylärt svar (definierat som andel BCR-ABL/kontroll-transkript ≤ 0,1% analyserat med RQ-PCR i perifert blod före crossover var 29% för dasatinib och 12% för imatinib.
Studie 2
En öppen, enarmad multicenterstudie genomfördes med patienter som var resistenta eller intoleranta mot imatinib (dvs. patienter som upplevde signifikant toxicitet under behandlingen med imatinib, vilket hindrade fortsatt behandling).
Totalt 387 patienter fick dasatinib 70 mg två gånger dagligen (288 resistenta och 99 intoleranta). Mediantiden från diagnos till behandlingsstart var 61 månader. Den övervägande delen av patienterna (53%) hade fått tidigare behandling med imatinib i mer än tre år. De flesta av de resistenta patienterna (72%) hade fått > 600 mg imatinib. Förutom imatinib hade 35% av patienterna tidigare fått cytostatika, 65% hade tidigare fått interferon och 10% hade tidigare fått stamcellstransplantation.
Trettioåtta procent av patienterna hade initialt mutationer kända för att medföra resistens mot imatinib. Mediandurationen för behandlingen med dasatinib var 24 månader, 51% av patienterna har hittills behandlats i > 24 månader. Effektresultaten redovisas i tabell 11. MCyR uppnåddes hos 55% av de imatinib-resistenta patienterna och hos 82% av de imatinib-intoleranta patienterna. Med minst 24 månaders uppföljning hade endast 21 av de 240 patienterna som uppnått MCyR progredierat och mediandurationen för MCyR hade inte uppnåtts.
Baserat på Kaplan-Meier beräkningar bibehöll 95% (95% KI: [92%-98%]) av patienterna MCyR i 1 år och 88% (95% KI: [83%-93%]) bibehöll MCyR i 2 år. Andelen patienter som bibehöll CCyR i 1 år var 97% (95% KI: [94%-99%]) och andelen patienter som bibehöll CCyR i 2 år var 90% (95% KI: [86%-95%]). Fyrtiotvå procent av de imatinib-resistenta patienterna utan tidigare MCyR med imatinib (n= 188) uppnådde MCyR med dasatinib.
Det förekom 45 olika BCR-ABL-mutationer hos 38% av patienterna i denna kliniska studie. Fullständigt hematologiskt svar eller MCyR uppnåddes av patienter med en mängd BCR-ABLmutationer som förknippas med imatinib-resistens förutom T315I. Svarsfrekvensen för MCyR vid 2 år var liknande, oberoende av om patienterna vid starten hade någon BCR-ABL-mutation (63%), P-loopmutation (61%) eller ingen mutation (62%).
Hos imatinib-resistenta patienter var den beräknade frekvensen av PFS 88% (95% KI: [84%-92%]) vid 1 år och 75% (95% KI: [69%-81%]) vid 2 år. Hos imatinib-intoleranta patienter var den beräknade frekvensen av PFS 98% (95% KI: [95%-100%]) vid 1 år och 94% (95% KI: [88%-99%]) vid 2 år.
Frekvensen av betydande molekylärt svar vid 24 månader var 45% (35% för imatinib-resistenta patienter och 74% för imatinib-intoleranta patienter).
Accelererad fas av KML
En öppen, enarmad, multicenterstudie genomfördes med patienter som var intoleranta eller resistenta mot imatinib. Totalt 174 patienter fick dasatinib 70 mg två gånger dagligen (161 resistenta och 13 intoleranta mot imatinib). Mediantiden från diagnos till behandlingsstart var 82 månader. Mediandurationen för behandling med dasatinib var 14 månader då hittills 31% av patienterna behandlats i > 24 månader. Frekvensen av betydande molekylärt svar (bedömd för 41 patienter med CCyR) var 46% vid 24 månader. Ytterligare effektresultat redovisas i tabell 11.
Myeloid blastkris av KML
En öppen, enarmad, multicenterstudie genomfördes med patienter som var intoleranta eller resistenta mot imatinib. Totalt 109 patienter fick dasatinib 70 mg två gånger dagligen (99 resistenta och 10 intoleranta mot imatinib). Mediantiden från diagnos till behandlingsstart var 48 månader. Mediandurationen för behandling med dasatinib var 3,5 månader då hittills 12% av patienterna behandlats i > 24 månader. Frekvensen av betydande molekylärt svar (bedömd för 19 patienter med CCyR) var 68% vid 24 månader. Ytterligare effektresultat redovisas i tabell 11.
KML i lymfoid blastkris och Ph+ ALL
En öppen, enarmad, multicenterstudie genomfördes hos patienter med KML i lymfoid blastkris eller Ph+ ALL, som var resistenta eller intoleranta mot tidigare imatinib-behandling. Totalt 48 patienter med KML i lymfoid blastkris fick dasatinib 70 mg två gånger dagligen (42 resistenta och 6 intoleranta mot imatinib). Mediantiden från diagnos till behandlingsstart var 28 månader. Mediandurationen för behandling med dasatinib var 3 månader då hittills 2% av patienterna behandlats i > 24 månader. Frekvensen av betydande molekylärt svar (alla 22 behandlade patienter med CCyR) var 50% vid 24 månader. Därutöver fick 46 patienter med Ph+ ALL fick dasatinib 70 mg två gånger dagligen (44 resistenta och 2 intoleranta mot imatinib). Mediantiden från diagnos till behandlingsstart var 18 månader. Mediandurationen för behandling med dasatinib var 3 månader då hittills 7 % av patienterna behandlats i > 24 månader. Frekvensen av betydande molekylärt svar (alla 25 behandlade patienter med CCyR) var 52 % vid 24 månader. Ytterligare effektresultat redovisas i tabell 11.
Noterbart är att betydande hematologiska svar (Major Haematologic Response = MaHR) uppnåddes snabbt (De flesta svaren kom inom 35 dagar efter den första dasatinib-administreringen hos patienter med KML i lymfoid blastkris och inom 55 dagar hos patienter med Ph+ ALL).
Tabell 11: Effekt i enarmade fas II-studier med Dasatiniba
Data i denna tabell är från studier med en startdos på 70 mg två gånger dagligen. Se avsnitt 4.2 för rekommenderad startdos.
a Värden i fet stil är resultat av primära effektmått.
b Hematologiska svarskriterier (alla svar bekräftade efter 4 veckor): Betydande hematologiskt svar: (Major Haematologic Response = MaHR) = Fullständigt hematologiskt svar (Complete Haematologic Response = CHR) + inga tecken på leukemi (No Evidence of Leukaemia = NEL)
CHR (kronisk KML): Vita blodkroppar (White Blood Cells = WBC) ≤ det institutionella övre normala gränsvärdet (Upper Limit of Normal range = ULN), trombocyter < 450 000/mm3, inga blaster eller promyelocyter i perifert blod, < 5 % myelocyter plus metamyelocyter i perifert blod, < 20 % basofiler i perifert blod och inget extramedullärt engagemang.
CHR (avancerad KML/Ph+ ALL): Vita blodkroppar ≤ institutionellt ULN, ANC ≥ 1 000/mm3, trombocyter ≥ 100 000/mm3, inga blaster eller promyelocyter i perifert blod, benmärgsblaster ≤ 5 %, < 5 % myelocyter plus metamyelocyter i perifert blod, < 20 % basofiler i perifert blod och inget extramedullärt engagemang.
NEL: samma kriterier som för CHR men ANC ≥ 500/mm3 och < 1 000/mm3 och/eller trombocyter ≥ 20 000/mm3 och ≤ 100 000/mm3.
c Cytogenetiska svarskriterier: fullständigt (0 % Ph+-metafaser) eller partiellt (> 0 %–35 %). Betydande cytogenetiskt svar (Major Cytogenetic Response = MCyR) (0 %–35 %) innefattar både fullständiga och partiella svar.
KI = Konfidensintervall; ULN (Upper Limit of Normal range) = övre normala gränsvärdet
Utfallet hos benmärgstransplanterade patienter som behandlats med dasatinib är inte fullständigt utvärderat.
Fas III kliniska studier hos patienter med KML i kronisk, accelererad eller myeloid blastkris och Ph+ ALL som var resistenta eller intoleranta mot imatinib
Två öppna, randomiserad studier genomfördes för att undersöka effekten av dasatinib givet en gång dagligen jämfört med dasatinib givet två gånger dagligen. Resultaten nedan baseras på minst 2 års och 7 års uppföljning efter behandlingsstart med dasatinib.
Studie 1
I studien med KML i kronisk fas, var det primära effektmåttet MCyR hos imatinib-resistenta patienter. Det huvudsakliga sekundära effektmåttet var MCyR med avseende på total daglig dosnivå hos de imatinib-resistenta patienterna. Andra sekundära effektmått inkluderade durationen av MCyR, PFS, samt total överlevnad. Totalt 670 patienter, varav 497 som var imatinib-resistenta, randomiserades till grupper som fick behandling med dasatinib 100 mg en gång dagligen, 140 mg en gång dagligen, 50 mg två gånger dagligen, eller 70 mg två gånger dagligen. Mediantiden för behandling, för alla patienter som fortfarande stod på behandling vid minst 5 års uppföljning (n=205), var 59 månader (intervall 28-66 månader). Behandlingens medianduration för alla patienter vid 7 års uppföljning var 29,8 månader (intervall < 1-92,9 månader).
Effekt erhölls i samtliga dasatinibs behandlingsgrupper med dosering en gång dagligen, vilket visar att effekten var jämförbar med (ej lägre än) effekten av doseringen två gånger dagligen vad gäller det primära effektmåttet (skillnad i MCyR 1,9%; 95% konfidensintervall [-6,8%-10,6%]); men behandlingsregimen 100 mg en gång dagligen uppvisade bättre säkerhet och tolerabilitet. Effektresultaten redovisas i tabellerna 12 och 13.
Tabell 12: Effekten av dasatinib i fas III dosoptimeringsstudien: imatinib-resistenta eller - intoleranta patienter med KML i kronisk fas (2-årsresultat)a
a Resultat vid rekommenderad startdos 100 mg en gång dagligen.
b Hematologiska svarskriterier (alla svar bekräftade efter 4 veckor): Fullständigt hematologiskt svar (CHR) (KML i kronisk fas): WBC ≤ det institutionella övre normala gränsvärdet,trombocyter <450,000/mm3, inga blaster eller promyelocyter i perifert blod, <5% myelocyter plus metamyelocyter n perifert blod, <20% basofiler i perifert blod, och inget extrameddulärt engagemang.
c Cytogenetiska svarskriterier: fullständigt (0% Ph+ metafaser) eller partiellt (>0%–35%). MCyR (0%–35%) innefattar både fullständigt och partiellt svar.
d Kriterier för betydande molekylärt svar: Definieras som BCR-ABL/kontrolltranskript ≤0,1% analyserat med RQ-PCR i perifert blod.
Tabell 13: Långtidseffekten av dasatinib i fas III dosoptimeringsstudien: imatinib-resistenta eller -intoleranta patienter med KML i kronisk fas a
a Resultat vid rekommenderad startdos 100 mg en gång dagligen.
b Progression definierades som ökande antal vita blodkroppar, avsaknad av CHR eller MCyR, ≥30% ökning av Ph+ metafaser, konfirmerad accelererad fas/blastisk fas, eller död. Progressionsfri överlevnad analyserades utifrån avsikt att behandla-principen och patienterna följdes upp till och med biverkningar inklusive efterföljande terapi.
Andelen patienter som bibehöll MCyR i 18 månader var 93% (95% KI: [88%-98%]) för de som behandlades med dasatinib 100 mg en gång dagligen baserat på Kaplan-Meier-beräkningar.
Effekten utvärderades även hos patienter som var intoleranta mot imatinib. Hos denna patientgrupp som fick 100 mg en gång dagligen uppnåddes MCyR hos 77% och CCyR hos 67%.
Studie 2
I studien med KML i avancerad fas och Ph+ALL, var det primära effektmåttet MaHR. Totalt randomiserades 611 patienter till antingen dasatinib 140 mg en gång dagligen eller 70 mg två gånger dagligen. Behandlingens medianduration var cirka 6 månader (intervall 0,03–31 månader).
Doseringen en gång dagligen gav en effekt som var jämförbar med (ej lägre än) doseringen två gånger dagligen vad gäller det primära effektmåttet (skillnad i MaHR 0,8 %; 95 % konfidensintervall -7,1 %–8,7 %); men behandlingsregimen 140 mg en gång dagligen uppvisade bättre säkerhet och tolerabilitet. Svarsfrekvenserna redovisas i tabell 14.
Tabell 14: Effekten av dasatinib i fas III dosoptimeringsstudien: KML i avancerad fas och Ph+ ALL (2-årsresultat)a
a Resultat vid rekommenderad startdos 140 mg en gång dagligen (se avsnitt 4.2).
b Hematologiska svarkriterier (alla svar bekräftade efter 4 veckor): Betydande hematologiskt svar (Major Haematologic Response = MaHR) = fullständigt hematologiskt svar (Complete Haematologic Response = CHR) + inga tecken på leukemi (No Evidence of Leukemia = NEL).
CHR: WBC ≤ det institutionella övre normala gränsvärdet, ANC ≥ 1 000/mm3, trombocyter ≥ 100 000/mm3, inga blaster eller promyelocyter i perifert blod, blaster i benmärg ≤ 5 %, < 5 % myelocyter plus metamyelocyter i perifert blod, < 20 % basofiler i perifert blod och inget extrameddulärt engagemang.
NEL: samma kriterier som för CHR men ANC ≥ 500/mm3 och < 1 000/mm3, eller trombocyter ≥ 20 000/mm3 och ≤ 100 000/mm3.
c MCyR innefattar både fullständigt (0 % Ph+ metafaser) och partiellt (> 0 %–35 %) svar.
KI = konfidensintervall; ULN (Upper Limit of Normal range) = övre normala gränsvärdet.
Hos patienter med KML i accelererad fas, som fick 140 mg en gång dagligen, uppnåddes inte mediandurationen för MaHR och total överlevnad. Median PFS var 25 månader.
Hos patienter med KML i myeloid blastfas, som behandlades med 140 mg en gång dagligen, var mediandurationen för MaHR 8 månader, median-PFS var 4 månader och median total överlevnad var 8 månader. Hos patienter med KML i lymfoid blastfas som behandlades med 140 mg en gång dagligen var mediandurationen för MaHR 5 månader, median-PFS var 5 månader och median total överlevnad var 11 månader.
Hos patienter med Ph+ ALL, som behandlades med 140 mg en gång dagligen, var mediandurationen för MaHR 5 månader, median-PFS var 4 månader och median total överlevnad var 7 månader.
Pediatrisk population
Pediatriska patienter med KML
Bland 130 patienter med KML i kronisk fas som behandlades i två pediatriska studier, en fas I, öppen, icke-randomiserad dosstudie och en fas II, öppen, icke-randomiserad studie, 84 patienter (alla från fas II-studien) nydiagnostiserade med KML i kronisk fas och 46 patienter (17 från fas I-studien och 29 från fas II-studien) var resistenta eller intoleranta mot tidigare behandling med imatinib. Nittiosju av 130 pediatriska patienter med KML i kronisk fas behandlades med dasatinib tabletter 60 mg/m2 en gång dagligen (maximal dos på 100 mg en gång dagligen för patienter med hög BSA). Patienterna behandlades till sjukdomsprogression eller oacceptabel toxicitet.
Viktiga effektmått var: fullständigt cytogenetiskt svar (CCyR), betydande cytogenetiskt svar (MCyR) och betydande molekylärt svar (MMR). Resultaten redovisas i tabell 15.
Tabell 15: Effekten av dasatinib hos pediatriska patienter med KML i kronisk fas Kumulativt svar över tid efter minsta uppföljningstid
a Pediatriska patienter med nydiagnostiserad KML i kronisk fas som fick oral tablettformulering i en fas II-studie.
b Pediatriska patienter med imatinibresistent eller intolerant KML i kronisk fas som fick oral tablettformulering i fas I- och fas II-studier.
I fas I-studien med pediatriska patienter var mediandurationen för PFS 53,6 månader och OS-frekvensen 82,4% efter minst 7 års uppföljning för de 17 patienter med imatinibresistent eller - intolerant KML i kronisk fas.
I fas II- studien med pediatriska patienter som fått tablettformuleringen var den uppskattade PFS-frekvensen vid 24 månader 94,0% (82,6, 98,0) för de 51 patienterna med nydiagnostiserad KML i kronisk fas och 81,7% (61,4, 92,0) för de 29 patienter med imatinibresistent/intolerant KML i kronisk fas. Efter 24 månaders uppföljning var OS 100% för nydiagnostiserade patienter och 96,6% för imatinibresistenta eller -intoleranta patienter.
I fas II-studien för pediatriska patienter progredierade 1 nydiagnostiserad patient och 2 imatinibresistenta eller -intoleranta patienter till KML i blastfas.
Trettiotre nydiagnostiserade pediatriska patienter med KML i kronisk fas fick dasatinib pulver till oral suspension i en dos av 72 mg/ml2. Denna dos innebär 30% lägre exponering jämfört med den rekommenderade dosen. Hos dessa patienter var CCyR 87,9% [95% KI: (71,8-96,6)] och MMR 45,5% [95% KI: (28,1-63,6)] vid 12 månader.
Bland de dasatinibbehandlade pediatriska patienterna med KML i kronisk fas, som tidigare exponerats för imatinib, var mutationerna som detekterades vid slutet av behandlingen: T315A, E255K och F317L. Emellertid detekterades också E255K och F317L före behandling. Inga mutationer detekterades hos nydiagnostiserade patienter med KLM i kronisk fas vid slutet av behandlingen.
Pediatriska patienter med ALL
Effekten av dasatinib i kombination med kemoterapi utvärderades i en pivotal studie med pediatriska patienter äldre än 1 år med nydiagnostiserad Ph+ ALL.
I denna multicenter, historiskt kontrollerade, fas II-studie med dasatinib, i tillägg till standardbehandling med kemoterapi, fick 106 pediatriska patienter med nydiagnostiserad Ph+ ALL, av vilka 104 patienter hade konfirmerad Ph+ ALL, en daglig dos av dasatinib på 60 mg/m2 i en kontinuerlig doseringsregim, kombinerat med kemoterapi, i upp till 24 månader. Åttiotvå patienter fick enbart dasatinib i tablettform, 24 patienter fick dasatinib pulver till oral suspension åtminstone en gång, och 8 patienter fick enbart dasatinib pulver till oral suspension. Kemoterapibehandlingen var densamma som användes i studien AIEOP-BFM ALL 2000 (kombinationer av standardprodukter). Det primära effektmåttet var 3 års eventfri överlevnad (Event Free Survival=EFS) med resultatet 65,5% (55,5, 73,7).
Andelen fall som var negativa för minimal residual disease (MRD), bedömd genom Ig/TCR‑omlagring, var vid slutet av konsolideringen 71,7% för behandlade patienter. När denna andel baserades på de 85 patienterna med utvärderbara Ig/TCR-bedömningar, uppskattades den till 89,4%. Andelen MRD-negativa fall var vid slutet av induktion och konsolidering, mätt med flödescytometri, 66,0% respektive 84,0%.
Dasatinibs farmakokinetik utvärderades hos 229 vuxna friska försökspersoner och hos 84 patienter.
Absorption
Dasatinib absorberas snabbt hos patienter efter peroral administrering, med maximal koncentration efter 0,5–3 timmar. Efter peroral administrering är ökningen i medelexponering (AUCτ) ungefärligt proportionell mot dosökningen för doser mellan 25 mg och 120 mg två gånger dagligen. Den genomsnittliga terminala halveringstiden för dasatinib är cirka 5–6 timmar hos patienter.
Data från friska försökspersoner som fick en enkeldos på 100 mg dasatinib 30 minuter efter en fettrik måltid visade på en 14 %-ig ökning i dasatinibs genomsnittliga AUC. En måltid med lågt fettinnehåll 30 minuter före intag av dasatinib resulterade i en ökning på 21 % av dasatinibs genomsnittliga AUC. De observerade effekterna av matintag avspeglar inte kliniskt relevanta förändringar i exponering. Exponeringsvariabiliteten för dasatinib är högre vid fasta (47 % C.V.) jämfört med efter måltid med låg fetthalt (39 % C.V.) och efter måltid med hög fetthalt (32 % C.V.).
Baserat på den farmakokinetiska analysen av patientpopulationen, beräknas variabiliteten i dasatinibexponering framför allt bero på att biotillgängligheten varierar vid olika tillfällen (44 % C.V.) och i mindre utsträckning på interindividuell variation i biotillgänglighet och clearance (30 % respektive 32 % C.V.). Den slumpmässiga variationen i exponering vid olika tillfällen förväntas inte påverka den kumulativa exponeringen, effekten eller säkerheten.
Distribution
Hos patienter har dasatinib en stor, skenbar distributionsvolym (2 505 l), variationskoefficient (C.V. 93%), vilket tyder på att läkemedlet har en omfattande distribution i det extravaskulära rummet. Vid kliniskt relevanta koncentrationer av dasatinib var bindningen till plasmaproteiner cirka 96 %, baserat på resultat från försök in vitro.
Metabolism
Dasatinib metaboliseras i stor utsträckning hos människa; ett flertal enzymer är involverade i bildningen av metaboliterna. Hos friska försökspersoner som fick 100 mg av [14C]-märkt dasatinib, svarade oförändrad dasatinib för 29 % av den cirkulerande radioaktiviteten i plasma. Plasmakoncentrationen och uppmätt in vitro-aktivitet indikerar att det är osannolikt att dasatinibs metaboliter skulle spela någon betydande roll i produktens iakttagna farmakologiska profil. CYP3A4 är ett av de viktigaste enzymen för metaboliseringen av dasatinib.
Eliminering
Den terminala halveringstiden för dasatinib är i medeltal 3–5 timmar. Oral clearance är i medeltal 363,8 l/timma (C.V.% 81,3%).
Utsöndringen sker huvudsakligen i faeces i form av metaboliter. Efter en peroral enkeldos av [14C]-märkt dasatinib utsöndrades cirka 89 % av dosen inom 10 dagar – 4 % av radioaktiviteten återfanns i urinen och 85 % i faeces. Oförändrad dasatinib svarade för 0,1 % av dosen i urinen och för 19 % av dosen i faeces; övrig del av dosen var i form av metaboliter.
Nedsatt lever- och njurfunktion
Effekten av nedsatt leverfunktion på dasatinibs farmakokinetik efter en enkeldos utvärderades för åtta patienter med medelsvårt nedsatt leverfunktion som erhållit en dos på 50 mg och för fem patienter med svårt nedsatt leverfunktion som erhållit en dos på 20 mg jämfört med friska personer som erhållit en dasatinibdos på 70 mg. Medelvärdet av Cmax och AUC för dasatinib, justerat för 70 mg-dosen, minskade med 47 % respektive 8 % för patienter med medelsvårt nedsatt leverfunktion jämfört med personer med normal leverfunktion. För patienter med svårt nedsatt leverfunktion minskade medelvärdet av Cmax och AUC för dasatinib, justerat för 70 mg-dosen, med 43 % respektive 28 % jämfört med patienter med normal leverfunktion (se avsnitt 4.2 och 4.4).
Dasatinib och dess metaboliter utsöndras minimalt via njurarna.
Pediatrisk population
Farmakokinetiken för dasatinib har utvärderats hos 104 pediatriska patienter med leukemi eller fasta tumörer (72 som fick tablettformuleringen och 32 som fick pulver till oral suspension).
I en farmakokinetisk studie på barn var den dos-normaliserade exponeringen för dasatinib (Cavg, Cmin och Cmax) jämförbar mellan 21 patienter med KML i kronisk fas och 16 patienter med Ph+ ALL.
Farmakokinetiken för tablettformuleringen av dasatinib utvärderades för 72 pediatriska patienter med relapserande eller refraktär leukemi eller solida tumörer vid orala doser från 60 till 120 mg/m2 en gång dagligen och 50–110 mg/m2 två gånger dagligen. Data sammanslogs från två studier och visade att dasatinib absorberades snabbt. Genomsnittligt Tmax observerades mellan 0,5 och 6 timmar och genomsnittlig halveringstid varierade från 2 till 5 timmar över alla dosnivåer och åldersgrupper. Farmakokinetiken för dasatinib uppvisade dosproportionalitet med en dosrelaterad ökning av exponeringen hos pediatriska patienter. Det fanns ingen signifikant skillnad mellan farmakokinetiken för dasatinib mellan barn och ungdomar. Det geometriska medelvärdet för dosnormaliserad Cmax, AUC(0-T) och AUC(INF) verkade vara liknande för barn och ungdomar vid olika dosnivåer. En simulering i en populationsfarmakokinetisk modell förutsade att den rekommenderade doseringen per kg kroppsvikt för tabletter, som anges i avsnitt 4.2, förväntas ge en liknande exponering som en tablettdos på 60 mg/m2. Dessa data bör övervägas om patienter ska byta från tabletter till pulver till oral suspension eller vice versa.
Dasatinibs icke-kliniska säkerhetsprofil utvärderades i en rad in vitro- och in vivo-studier med mus, råtta, apa och kanin.
De huvudsakliga toxiska effekterna uppträdde i det gastrointestinala systemet, det hematopoetiska systemet och lymfsystemet. Gastrointestinal toxicitet var dosbegränsande hos råtta och apa, då tarmarna utgjorde ett konsekvent målorgan. Hos råtta åtföljdes minimala till små minskningar i erytrocytparametrarna av benmärgsförändringar; och liknande förändringar inträffade med lägre incidens hos apa. Lymfoid toxicitet hos råtta bestod av uttömning av lymfa från lymfkörtlarna, mjälten och tymus samt minskad vikt hos lymforganen. Förändringarna i det gastrointestinala systemet, det hematopoetiska systemet och lymfsystemet var reversibla efter behandlingsstopp.
Njurförändringar hos apor som behandlades i upp till 9 månader begränsades till en ökning av normal njurmineralisering. Kutan blödning iakttogs vid en akut, oral enkeldosstudie hos apa men sågs varken hos apa eller råtta i studier med upprepade doser. Hos råtta hämmade dasatinib trombocytaggregationen in vitro och förlängde blödningstiden i ytterhuden in vivo, men framkallade inte någon spontan blödning.
Dasatinibs aktivitet in vitro i hERG- och Purkinjetrådsanalyser tyder på en potential att förlänga den kardiella ventrikulära repolariseringen (QT-intervallet). I en enkeldosstudie in vivo hos fjärravlästa apor som var vid medvetande fanns emellertid inga förändringar i QT-intervallet eller EKG-vågorna.
Dasatinib var inte mutagen i bakteriecellsanalyser in vitro (Ames test) och var inte genotoxisk i en mikrokärntest in vivo på råtta. Dasatinib var klastogen in vitro på ovarieceller från kinesisk hamster (CHO-celler) under delning.
Dasatinib påverkade inte den manliga eller kvinnliga fertiliteten i en konventionell studie på råtta av fertilitet och tidig embryonal utveckling, men inducerade embryonal dödlighet vid doser ungefärligen motsvarande de kliniskt använda på människa. I studier av embryofetal utveckling framkallade dasatinib på samma sätt embryonal dödlighet med relaterade minskningar i kullarnas storlek hos råtta så väl som skelettförändringar hos både rått- och kaninfoster. Dessa effekter uppträdde i doser som inte framkallade toxicitet hos moderdjuret, vilket indikerar att dasatinib är ett selektivt reproduktionstoxiskt ämne från implantationen till och med organogenesen.
Hos mus framkallade dasatinib dosrelaterad immunosuppression som effektivt kunde hanteras med dosminskning och/eller en ändring i doseringsschemat. Dasatinib hade fototoxisk potential i en in vitro fototoxicitetstest på musfibroblaster med upptag av neutralrött. Dasatinib ansågs vara icke-fototoxisk in vivo efter en peroral enkeldos till hårlösa honmöss med upp till 3 gånger så höga exponeringar som hos människa efter administrering av rekommenderad terapeutisk dos (baserat på AUC).
I en tvåårig carcinogenicitetsstudie på råtta administrerades orala doser av dasatinib på 0,3; 1 eller 3 mg/kg/dag. Den högsta dosen gav en plasmaexponeringsnivå (AUC) som i stort sett var överensstämmande med den humana exponeringen vid det rekommenderade startdosintervallet 100–140 mg/dagligen. Man erhöll en statistiskt signifikant ökning av den kombinerade incidensen av skivepitelcancer och papillom i livmodern och livmoderhalsen för honråttor som fått höga doser, och prostataadenom för hanråttor som fått låga doser. Det är inte känt vilken relevans resultaten från carcinogenicitetsstudien på råttor har för människa.
3 år.
Inga särskilda förvaringsanvisningar.
De filmdragerade tabletterna är förpackede i aluminium-OPA/aluminium/PVC blister (kalenderblister eller perforerade endosblister) eller burk av HDPE med barnskyddande förslutning av polypropylen och en plastbehållare (HDPE) innehållande kiseldioxidgel, förpackade i kartong.
Förpackningsstorlekar:
20 mg, 50 mg och 70 mg filmdragerade tabletter
Kartong innehållande 12 filmdragerade tabletter i 1 kalenderblister.
Kartong innehållande 56 filmdragerade tabletter i 4 kalenderblister med 14 filmdragerade tabletter var.
Kartong innehållande 12 x 1 och 60 x 1 filmdragerade tabletter i perforerade endosblister.
Kartong innehållande 60 filmdragerade tabletter i en burk.
80 mg, 100 mg, 140 mg filmdragerade tabletter
Kartong innehållande 10 filmdragerade tabletter i 1 kalenderblister.
Kartong innehållande 10 x 1 och 30 x 1 filmdragerade tabletter i perforerade endosblister.
Kartong innehållande 30 filmdragerade tabletter i en burk.
Eventuellt kommer inte alla förpackningsstorlekar att marknadsföras.
De filmdragerade tabletterna består av en tablettkärna omgiven av en filmdragering för att förhindra att vårdpersonal exponeras för den aktiva substansen. Om de filmdragerade tabletterna oavsiktligt skulle krossas eller gå sönder ska sjukvårdspersonal använda engångshandskar för kemoterapiändamål för att minimera risken för hudexponering vid lämplig kassering.
Ej använt läkemedel och avfall ska kasseras enligt gällande anvisningar.
Tablettkärna
Mikrokristallin cellulosa (E460)
Laktosmonohydrat
Kroskarmellosnatrium
Hydroxipropylcellulosa (E463)
Magnesiumstearat (E470b)
Filmdragering
Poly(vinylalkohol) (E1203)
Titandioxid (E171)
Talk (E553b)
Glycerylmonostearat (E471)
Natriumlaurilsulfat
Ej relevant.
3 år.
Inga särskilda förvaringsanvisningar.
De filmdragerade tabletterna är förpackede i aluminium-OPA/aluminium/PVC blister (kalenderblister eller perforerade endosblister) eller burk av HDPE med barnskyddande förslutning av polypropylen och en plastbehållare (HDPE) innehållande kiseldioxidgel, förpackade i kartong.
Förpackningsstorlekar:
20 mg, 50 mg och 70 mg filmdragerade tabletter
Kartong innehållande 12 filmdragerade tabletter i 1 kalenderblister.
Kartong innehållande 56 filmdragerade tabletter i 4 kalenderblister med 14 filmdragerade tabletter var.
Kartong innehållande 12 x 1 och 60 x 1 filmdragerade tabletter i perforerade endosblister.
Kartong innehållande 60 filmdragerade tabletter i en burk.
80 mg, 100 mg, 140 mg filmdragerade tabletter
Kartong innehållande 10 filmdragerade tabletter i 1 kalenderblister.
Kartong innehållande 10 x 1 och 30 x 1 filmdragerade tabletter i perforerade endosblister.
Kartong innehållande 30 filmdragerade tabletter i en burk.
Eventuellt kommer inte alla förpackningsstorlekar att marknadsföras.
De filmdragerade tabletterna består av en tablettkärna omgiven av en filmdragering för att förhindra att vårdpersonal exponeras för den aktiva substansen. Om de filmdragerade tabletterna oavsiktligt skulle krossas eller gå sönder ska sjukvårdspersonal använda engångshandskar för kemoterapiändamål för att minimera risken för hudexponering vid lämplig kassering.
Ej använt läkemedel och avfall ska kasseras enligt gällande anvisningar.
Produktresumén är företagets information om läkemedlet riktat till förskrivare och personal inom sjukvård och apotek. Dokumentet är godkänt av Läkemedelsverket eller den europeiska läkemedelsmyndigheten EMA i samband med att läkemedlet godkänns för marknadsföring.