Lynparza 100 mg filmdragerade tabletter
Lynparza 150 mg filmdragerade tabletter
Lynparza 100 mg filmdragerade tabletter
Varje filmdragerad tablett innehåller 100 mg olaparib.
Lynparza 150 mg filmdragerade tabletter
Varje filmdragerad tablett innehåller 150 mg olaparib.
Hjälpämnen med känd effekt:
Detta läkemedel innehåller 0,24 mg natrium per 100 mg tablett och 0,35 mg natrium per 150 mg tablett.
För fullständig förteckning över hjälpämnen, se avsnitt 6.1.
Filmdragerad tablett (tablett).
Lynparza 100 mg filmdragerade tabletter
Gul till mörkgul, oval, bikonvex tablett, präglad med ”OP100” på ena sidan och slät på den andra.
Lynparza 150 mg filmdragerade tabletter
Grön till grågrön, oval, bikonvex tablett, präglad med ”OP150” på ena sidan och slät på den andra.
AstraZeneca AB
SE‑151 85 Södertälje
Sverige
EU/1/14/959/002 56 filmdragerade tabletter (100 mg)
EU/1/14/959/003 112 filmdragerade tabletter (2 förpackningar med 56) (100 mg)
EU/1/14/959/004 56 filmdragerade tabletter (150 mg)
EU/1/14/959/005 112 filmdragerade tabletter (2 förpackningar med 56) (150 mg)
Första godkännandet: 16 december 2014
Förnyat godkännande: 1 oktober 2019
09 oktober 2025
Ytterligare information om detta läkemedel finns på Europeiska läkemedelsmyndighetens webbplats https://www.ema.europa.eu.
Bröstcancer
Lynparza är indicerat som:
monoterapi eller i kombination med endokrin terapi som adjuvant behandling av vuxna patienter med nedärvd BRCA1/2-mutation som har HER2-negativ tidig bröstcancer med hög risk som tidigare behandlats med neoadjuvant eller adjuvant kemoterapi (se avsnitt 4.2 och 5.1).
monoterapi för behandling av vuxna patienter med nedärvd BRCA1/2‑mutation som har HER2‑negativ lokalt avancerad eller metastaserad bröstcancer. Patienter ska tidigare ha behandlats med en antracyklin och en taxan som (neo)adjuvant behandling eller som behandling för metastaserad sjukdom, såvida inte patienterna var olämpliga för dessa behandlingar (se avsnitt 5.1). Patienter med hormonreceptor (HR)‑positiv bröstcancer ska också ha progredierat under eller efter tidigare endokrin behandling eller anses olämpliga för endokrin behandling.
Adenokarcinom i pankreas
Lynparza är indicerat som monoterapi för underhållsbehandling av vuxna patienter med nedärvda BRCA1/2‑mutationer som har metastaserande adenokarcinom i pankreas och som inte har progredierat efter minst 16 veckors platinumbehandling inom en första linjens cytostatikaregim.
Prostatacancer
Lynparza är indicerat:
som monoterapi för behandling av vuxna patienter med metastaserande kastrationsresistent prostatacancer (mCRPC) och BRCA1/2‑mutationer (germline och/eller somatisk) som har progredierat efter tidigare behandling som inkluderade typen nya hormonella läkemedel.
i kombination med abirateron och prednison eller prednisolon för behandling av vuxna patienter med mCRPC hos vilka kemoterapi inte är kliniskt indicerad (se avsnitt 5.1).
Endometriecancer
Lynparza i kombination med durvalumab är indicerat för underhållsbehandling av vuxna patienter med primär avancerad eller recidiverande endometriecancer med bevarad mismatch repair (pMMR), som inte har progredierat vid första linjens behandling med durvalumab i kombination med karboplatin och paklitaxel.
Behandling med Lynparza ska initieras och övervakas av läkare med erfarenhet av användning av cancerläkemedel.
Val av patient
Första linjens underhållsbehandling av BRCA‑muterad avancerad ovarialcancer:
Innan första linjens underhållsbehandling med Lynparza initieras mot höggradig epitelial ovarialcancer (EOC), tubarcancer (FTC) eller primär peritonealcancer (PPC) måste patienter ha bekräftat skadliga eller misstänkt skadliga nedärvda och/eller somatiska mutationer i bröstcancergenerna (BRCA) 1 eller 2 fastställda med en validerad testmetod.
Underhållsbehandling av platinumkänslig recidiverande ovarialcancer:
Det finns inget krav på BRCA1/2 test före användning av Lynparza som monoterapi underhållsbehandling av recidiverande EOC, FTC eller PPC vilka är i komplett eller partiell respons på platinabaserad terapi.
Första linjens undershållsbehandling av HRD‑positiv avancerad ovarialcancer i kombination med bevacizumab:
Innan första linjens underhållsbehandling med Lynparza med bevacizumab initieras mot EOC, FTC eller PPC måste patienter ha bekräftad skadlig eller misstänkt skadlig BRCA1/2-mutation och/eller genomisk instabilitet fastställd med en validerad testmetod (se avsnitt 5.1).
Adjuvant behandling av nedärvd BRCA-muterad tidig bröstcancer med hög risk
Innan behandling med Lynparza initieras som adjuvant behandling av HER2-negativ tidig bröstcancer med hög risk måste patienter ha bekräftad skadlig eller misstänkt skadlig gBRCA1/2-mutation fastställd med en validerad testmetod (se avsnitt 5 1).
Monoterapi av gBRCA1/2‑muterad HER2‑negativ metastaserad bröstcancer:
Patienter med germlineBRCA1/2-muterade bröstcancergener (gBRCA1/2) som har HER2‑negativ, lokalt avancerad eller metastaserad bröstcancer, måste ha en skadlig eller misstänkt skadlig gBRCA1/2‑mutation bekräftad innan behandling med Lynparza sätts in. gBRCA1/2-mutationsstatus ska fastställas av ett rutinerat laboratorium med en validerad testmetod. Det finns inga tillgängliga data som visar klinisk validering av BRCA1/2-tumörtester vid bröstcancer.
Första linjens undershållsbehandling av gBRCA‑muterat metastaserande adenokarcinom i pankreas:
För första linjens undershållsbehandling av nedärvd BRCA1/2‑muterat metastaserande adenokarcinom i pankreas måste patienterna ha en bekräftat skadlig eller misstänkt skadlig gBRCA1/2‑mutation innan behandling med Lynparza sätts in. gBRCA1/2‑mutationsstatus ska fastställas av ett rutinerat laboratorium med en validerad testmetod. Det finns inga tillgängliga data som visar klinisk validering av BRCA1/2‑tumörtester vid adenokarcinom i pankreas.
Monoterapi av BRCA1/2‑muterad metastaserande kastrationsresistent prostatacancer:
För BRCA1/2‑muterad metastaserande kastrationsresistent prostatacancer (mCRPC) måste patienterna ha en bekräftat skadlig eller misstänkt skadlig BRCA1/2‑mutation (antingen med tumör- eller blodprov) innan behandling med Lynparza sätts in (se avsnitt 5.1). BRCA1/2-mutationsstatus ska fastställas av ett erfaret laboratorium med en validerad testmetod.
Behandling av mCRPC i kombination med abirateron och prednison eller prednisolon:
Ingen genomisk testning krävs före användning av Lynparza i kombination med abirateron och prednison eller prednisolon för behandling av patienter med mCRPC.
Första linjens underhållsbehandling av avancerad eller recidiverande endometriecancer med bevarad mismatch repair (pMMR) i kombination med durvalumab:
Innan behandlingen inleds måste patientens tumörstatus bekräftas som pMMR (bevarad mismatch repair) med ett validerat test (se avsnitt 5.1).
Genetisk rådgivning för patienter testade för mutationer i BRCA1/2‑gener ska utföras enligt lokala föreskrifter.
Dosering
Lynparza finns som 100 mg och 150 mg tabletter.
Den rekommenderade dosen av Lynparza som monoterapi eller i kombination med andra läkemedel är 300 mg (två 150 mg tabletter) två gånger dagligen, vilket motsvarar en total daglig dos på 600 mg. Tabletten med 100 mg är tillgänglig för dosminskning.
Lynparza monoterapi
Patienter med platinumkänslig recidiverande höggradig epitelial ovarial-, tubar- eller primär peritonealcancer och som är i respons (komplett eller partiell) efter platinumbaserad cytostatikabehandling ska påbörja behandling med Lynparza senast 8 veckor efter att de har avslutat sin sista dos av den platinainnehållande behandlingen.
Lynparza i kombination med bevacizumab
När Lynparza används i kombination med bevacizumab som första linjens underhållsbehandling av höggradig epitelial ovarial-, tubar- eller primär peritonealcancer efter avslutad första linjens platinumbaserad behandling med bevacizumab, är dosen av bevacizumab 15 mg/kg en gång var tredje vecka. Se fullständig produktinformation för bevacizumab (se avsnitt 5.1).
Lynparza i kombination med endokrin behandling
Se den fullständiga produktinformationen för läkemedel som används som endokrin behandling i kombination med Lynparza (aromatashämmare/antiöstrogenläkemedel och/eller luteiniserande hormonfrisättande hormon (LHRH)‑analog) för rekommenderad dosering.
Lynparza i kombination med abirateron och prednison eller prednisolon
Vid användning av Lynparza i kombination med abirateron för behandling av patienter med mCRPC är dosen av abirateron 1000 mg oralt en gång dagligen (se avsnitt 5.1). Abirateron ska ges med prednison eller prednisolon 5 mg oralt två gånger dagligen. Se den fullständiga produktinformationen för abirateron.
Lynparza i kombination med durvalumab
När Lynparza används i kombination med durvalumab för underhållsbehandling av patienter med primär avancerad eller recidiverande endometriecancer med bevarad mismatch repair (pMMR), som inte har progredierat vid första linjens behandling med durvalumab i kombination med karboplatin och paklitaxel, är dosen 1500 mg durvalumab var 4:e vecka (se avsnitt 5.1). Se den fullständiga produktinformationen för durvalumab.
Behandlingsvaraktighet
Första linjens underhållsbehandling av BRCA-muterad avancerad ovarialcancer
Patienter kan fortsätta behandling till radiologiskt påvisad sjukdomsprogression, oacceptabel toxicitet eller upp till 2 år om inga radiologiska sjukdomsfynd finns efter 2 års behandling. Patienter med sjukdomsfynd vid två år, som enligt behandlande läkares bedömning kan dra ytterligare nytta av fortsatt behandling, kan behandlas längre än två år.
Underhållsbehandling av platinumkänslig recidiverande ovarialcancer:
För patienter med platinumkänslig recidiverande höggradig epitelial ovarial-, tubar- eller primär peritonealcancer, rekommenderas att behandlingen fortsätter tills den underliggande sjukdomen progredierar eller till oacceptabel toxicitet
Första linjens undershållsbehandling av HRD‑positiv avancerad ovarialcancer i kombination med bevacizumab:
Patienter kan fortsätta behandling med Lynparza till radiologiskt påvisad sjukdomsprogression, oacceptabel toxicitet eller upp till 2 år om inga radiologiska tecken på sjukdom finns efter 2 års behandling. Patienter med tecken på sjukdom vid 2 år, som enligt behandlande läkares bedömning kan dra ytterligare nytta av fortsatt behandling med Lynparza, kan behandlas längre än 2 år. Se produktinformation för bevacizumab för den rekommenderade totala behandlingstiden på högst 15 månader, inklusive perioderna i kombination med cytostatikabehandling och som underhållsbehandling (se avsnitt 5.1).
Adjuvant behandling av nedärvd BRCA-muterad tidig bröstcancer med hög risk
Det rekommenderas att behandlingen fortsätter upp till 1 år eller till sjukdomsåterfall eller oacceptabel toxicitet, beroende på vilket som inträffar först.
Monoterapi av gBRCA1/2-muterad HER2-negativ metastaserad bröstcancer:
Det rekommenderas att behandlingen fortsätter till progress av den underliggande sjukdomen eller till oacceptabel toxicitet.
Effekt och säkerhet av förnyad underhållsbehandling med Lynparza efter första eller efterföljande recidiv hos patienter med ovarialcancer har inte fastställts. Det finns inga effekt- eller säkerhetsdata på återbehandling av bröstcancerpatienter (se avsnitt 5.1).
Första linjens undershållsbehandling av gBRCA‑muterat metastaserande adenokarcinom i pankreas:
Det rekommenderas att behandlingen fortsätter till progress av den underliggande sjukdomen eller till oacceptabel toxicitet.
Monoterapi av BRCA1/2‑muterad metastaserande kastrationsresistent prostatacancer:
Det rekommenderas att behandlingen fortsätter till progress av den underliggande sjukdomen eller till oacceptabel toxicitet. Medicinsk kastrering med luteiniserande hormonfrisättande hormon (LHRH)‑analog ska fortsätta under behandling av patienter som inte är kirurgiskt kastrerade.
Behandling av mCRPC i kombination med abirateron och prednison eller prednisolon:
Det rekommenderas att behandlingen fortsätter till progress av den underliggande sjukdomen eller till oacceptabel toxicitet vid användning av Lynparza i kombination med abirateron och prednison eller prednisolon. Behandling med en gonadotropinfrisättande hormonanalog (GnRH) ska fortsätta under behandlingen hos alla patienter, alternativt ska patienter ha genomgått en bilateral orkiektomi före behandlingen. Se produktinformationen för abirateron.
Det finns inga effekt- eller säkerhetsdata på förnyad behandling med Lynparza hos patienter med prostatacancer (se avsnitt 5.1).
Första linjens underhållsbehandling av avancerad eller recidiverande endometriecancer med bevarad mismatch repair (pMMR) i kombination med durvalumab:
Det rekommenderas att behandlingen fortsätter till progress av den underliggande sjukdomen eller till oacceptabel toxicitet. Se produktinformationen för durvalumab.
Glömd dos
Om en patient glömmer att ta en dos av Lynparza ska nästa normala dos tas vid vanlig tidpunkt.
Dosjusteringar vid biverkningar
Behandlingen kan avbrytas för behandling av biverkningar såsom illamående, kräkningar, diarré och anemi. Dosminskning kan övervägas (se avsnitt 4.8).
Den rekommenderade dosminskningen är till 250 mg (en 150 mg tablett och en 100 mg tablett) två gånger dagligen (motsvarande en total daglig dos om 500 mg).
Om ytterligare dosminskning krävs rekommenderas en minskning till 200 mg (två 100 mg tabletter) två gånger dagligen (motsvarande en total daglig dos om 400 mg).
Dosjusteringar vid samtidig administrering av CYP3A‑hämmare
Samtidig användning av starka och måttliga CYP3A‑hämmare rekommenderas inte och alternativa läkemedel bör övervägas. Om en stark CYP3A‑hämmare måste administreras samtidigt, rekommenderas att dosen av Lynparza minskas till 100 mg (en 100 mg tablett) som tas två gånger dagligen (motsvarande en total daglig dos på 200 mg). Om en måttlig CYP3A-hämmare måste administreras samtidigt, rekommenderas att dosen av Lynparza minskas till 150 mg (en 150 mg tablett) som tas två gånger dagligen (motsvarande en total daglig dos på 300 mg) (se avsnitt 4.4 och 4.5).
Särskilda populationer
Äldre
Det krävs ingen justering av startdosen för äldre patienter.
Nedsatt njurfunktion
För patienter med måttligt nedsatt njurfunktion (kreatininclearance 31 till 50 ml/min) är den rekommenderade dosen av Lynparza 200 mg (två 100 mg tabletter) två gånger dagligen (motsvarande en total daglig dos om 400 mg) (se avsnitt 5.2).
Lynparza kan administreras till patienter med lätt nedsatt njurfunktion (kreatininclearance 51 till 80 ml/min) utan dosjustering.
Lynparza rekommenderas inte till patienter med gravt nedsatt njurfunktion eller med njursjukdom i slutstadiet (kreatininclearance ≤ 30 ml/min), då säkerhet och farmakokinetik inte har studerats hos dessa patienter. Lynparza kan användas till patienter med gravt nedsatt njurfunktion endast om nyttan uppväger den potentiella risken och patienten bör övervakas noga med avseende på njurfunktion och biverkningar.
Nedsatt leverfunktion
Lynparza kan administreras till patienter med lindrigt eller måttligt nedsatt leverfunktion (Child-Pugh klassificering A eller B) utan dosjustering (se avsnitt 5.2). Lynparza rekommenderas inte till patienter med gravt nedsatt leverfunktion (Child-Pugh klassificering C) då säkerhet och farmakokinetik inte har studerats hos dessa patienter.
Icke-kaukasier
Det finns begränsat med kliniska data om användning till icke‑kaukasiska patienter. Ingen dosjustering behövs dock på grund av etnicitet (se avsnitt 5.2).
Pediatrisk population
Säkerhet och effekt för Lynparza för barn och ungdomar (< 18 år) har inte fastställts.
För närvarande tillgänglig information finns i avsnitt 4.8, 5.1 och 5.2, men ingen doseringsrekommendation kan fastställas.
Administreringssätt
Lynparza är avsett för oral användning.
Lynparza tabletter ska sväljas hela utan att tuggas, krossas, lösas upp eller delas. Lynparza tabletter kan tas utan hänsyn till måltider.
Överkänslighet mot den aktiva substansen eller mot något hjälpämne som anges i avsnitt 6.1.
Amning under behandlingen och 1 månad efter den sista dosen (se avsnitt 4.6).
Hematologisk toxicitet
Hematologisk toxicitet har rapporterats hos patienter som behandlas med Lynparza, inklusive kliniska diagnoser och/eller laboratoriefynd som visar generellt lindrig eller måttlig (CTCAE‑grad 1 eller 2) anemi, neutropeni, trombocytopeni och lymfopeni. Erytroblastopeni (PRCA) (se avsnitt 4.8) och/eller autoimmun hemolytisk anemi (AIHA) har rapporterats när Lynparza använts i kombination med durvalumab.
Patienterna ska inte påbörja behandling med Lynparza förrän de har återhämtat sig från en hematologisk toxicitet som orsakats av föregående cancerbehandling (värdena för hemoglobin, trombocyter och neutrofiler ska vara ≤ CTCAE‑grad 1). Provtagning vid initiering av behandlingen och därefter månatliga kontroller av fullständig blodstatus rekommenderas under de första 12 behandlingsmånaderna och därefter med jämna mellanrum för kontroll av kliniskt signifikanta förändringar i någon parameter under behandlingstiden (se avsnitt 4.8).
Om en patient får allvarlig hematologisk toxicitet eller är beroende av blodtransfusioner, ska behandlingen med Lynparza avbrytas och lämpliga blodtester göras. Om blodvärdena fortfarande är kliniskt onormala efter 4 veckors uppehåll med Lynparza-behandlingen, rekommenderas benmärgsanalys och/eller cytogenetisk blodanalys. Om PRCA eller AIHA bekräftas ska behandlingen med Lynparza och durvalumab avbrytas.
Myelodysplastiskt syndrom/akut myeloisk leukemi
Myelodysplastiskt syndrom (MDS)/akut myeloisk leukemi (AML) har inträffat hos patienter som behandlats med Lynparza (se avsnitt 4.8). De flesta händelserna hade en dödlig utgång. Patienter med BRCA-muterad (BRCAm) platinumkänslig recidiverande ovarialcancer som hade fått minst två tidigare behandlingslinjer med platinumbaserad cytostatikabehandling löpte större risk att få MDS/AML. Varaktigheten i behandlingen med olaparib hos de patienter som utvecklade MDS/AML varierade från < 6 månader till > 4 år.
Om MDS/AML misstänks ska patienten remitteras till en hematolog för vidare utredning, inklusive benmärgsanalys och blodprovtagning för cytogenetik. Om MDS/AML bekräftas efter utredning avseende långvarig hematologisk toxicitet ska Lynparza sättas ut och patienten ska erhålla lämplig behandling.
Venösa tromboemboliska händelser
Venösa tromboemboliska händelser, främst lungemboli, har inträffat hos patienter som behandlats med Lynparza. Händelserna hade inte något enhetligt kliniskt mönster. En högre incidens observerades hos patienter med metastaserande kastrationsresistent prostatacancer som också fick androgen deprivationsterapi, jämfört med andra godkända indikationer (se avsnitt 4.8). Patienter ska övervakas för kliniska tecken och symtom på ventrombos och lungemboli och behandlas på medicinskt lämpligt sätt. Patienter med tidigare venös tromboembolisk händelse har högre risk för ytterligare förekomst och ska övervakas på lämpligt sätt.
Pneumonit
Pneumonit, inklusive händelser med dödlig utgång, har rapporterats hos patienter som behandlats med Lynparza i kliniska studier (se avsnitt 4.8). Om patienterna får nya eller förvärrade symtom från andningsvägarna såsom dyspné, hosta och feber, eller om något onormalt upptäcks vid lungröntgen, ska Lynparza‑behandlingen avbrytas och utredning inledas omedelbart. Om pneumonit kan bekräftas ska Lynparza‑behandlingen sättas ut och patienten erhålla lämplig behandling.
Levertoxicitet
Fall av levertoxicitet har rapporterats hos patienter som behandlats med olaparib (se avsnitt 4.8). Om kliniska symtom eller tecken på levertoxicitet uppträder ska en klinisk utvärdering av patienten och mätning av leverfunktionstester omedelbart genomföras. Vid misstänkt läkemedelsinducerad leverskada ska behandlingen avbrytas. Vid svår läkemedelsinducerad leverskada ska utsättning av behandlingen övervägas om kliniskt lämpligt.
Embryofetal toxicitet
Baserat på sin verkningsmekanism (PARP‑hämning) skulle Lynparza kunna orsaka fosterskador om det ges till en gravid kvinna. Icke‑kliniska studier på råtta har visat att olaparib har negativa effekter på den embryofetala överlevnaden och orsakar kraftiga fostermissbildningar vid exponeringar som ligger under de som förväntas vid den rekommenderade dosen till människa på 300 mg två gånger dagligen.
Graviditet/preventivmedel
Lynparza får inte användas under graviditet. Fertila kvinnor måste använda två sorters tillförlitliga preventivmedel innan de påbörjar behandlingen med Lynparza, under behandlingen och under 6 månader efter den sista dosen av Lynparza. Två mycket effektiva och kompletterande sorter av preventivmedel rekommenderas. Manliga patienter och deras fertila kvinnliga partner ska använda tillförlitliga preventivmedel under behandlingen och under tre månader efter den sista dosen av Lynparza (se avsnitt 4.6).
Interaktioner
Samtidig administrering av Lynparza och starka eller måttliga CYP3A‑hämmare rekommenderas inte (se avsnitt 4.5). Dosen av Lynparza ska minskas om en stark eller måttlig CYP3A‑hämmare måste administreras samtidigt (se avsnitt 4.2 och 4.5).
Samtidig administrering av Lynparza och starka eller måttliga CYP3A‑inducerare rekommenderas inte. Vid tillfällen där en patient som redan får Lynparza behöver behandling med en stark eller måttlig CYP3A‑inducerare, måste förskrivaren vara uppmärksam på att effekten av Lynparza kan minska betydligt (se avsnitt 4.5).
Natrium
Detta läkemedel innehåller mindre än 1 mmol (23 mg) natrium per 100 mg eller 150 mg tablett, d.v.s. är näst intill “natriumfritt”.
Farmakodynamiska interaktioner
Kliniska studier av olaparib i kombination med andra läkemedel mot cancer, även preparat som skadar DNA, tyder på en förstärkning och förlängning av den myelosuppressiva toxiciteten. Den rekommenderade Lynparza‑dosen för monoterapi är inte lämplig att kombinera med myelosuppressiva cancerläkemedel.
Kombination av olaparib med vacciner eller immunsuppressiva medel har inte studerats. Därför ska försiktighet iakttas om dessa läkemedel administreras samtidigt med Lynparza och patienterna ska övervakas noga.
Farmakokinetiska interaktioner
Andra läkemedels effekt på olaparib
CYP3A4/5 är de isoenzymer som till största delen svarar för metabol clearance av olaparib.
En klinisk studie för att undersöka inverkan av itrakonazol, en känd CYP3A-hämmare, har visat att samtidig administrering med olaparib ökade olaparibs genomsnittliga Cmax med 42 % (90 % KI: 33‑52 %) och genomsnittligt AUC med 170 % (90 % KI: 144‑197 %). Därför rekommenderas inte kända starka (t.ex. itrakonazol, telitromycin, klaritromycin, proteashämmare förstärkta med ritonavir eller kobicistat, boceprevir, telaprevir) eller måttliga (t.ex. erytromycin, diltiazem, flukonazol, verapamil) hämmare av detta isoenzym tillsammans med Lynparza (se avsnitt 4.4). Om starka eller måttliga CYP3A-hämmare måste administreras samtidigt, ska dosen av Lynparza minskas. Det rekommenderas att Lynparza-dosen minskas till 100 mg två gånger dagligen (motsvarande en total daglig dos på 200 mg) tillsammans med en stark CYP3A-hämmare eller 150 mg två gånger dagligen (motsvarande en total daglig dos på 300 mg) tillsammans med en måttlig CYP3A-hämmare (se avsnitt 4.2 och 4.4). Dessutom avråds konsumtion av grapefruktjuice under behandling med Lynparza eftersom det är en CYP3A-hämmare.
En klinisk studie för att undersöka inverkan av rifampicin, en känd CYP3A‑inducerare, har visat att samtidig administrering med olaparib minskade olaparibs genomsnittliga Cmax med 71 % (90 % KI: 76‑67 %) och genomsnittligt AUC med 87 % (90 % KI: 89‑84 %). Därför rekommenderas inte kända starka inducerare av detta isoenzym (t.ex. fenytoin, rifampicin, rifapentin, karbamazepin, nevirapin, fenobarbital och johannesört) tillsammans med Lynparza, eftersom det är möjligt att effekten av Lynparza kan minska betydligt. Verkningsgraden för måttliga till starka inducerare (t.ex. efavirenz, rifabutin) på exponeringen av olaparib är inte känd, därför rekommenderas inte heller samtidig administrering av Lynparza med dessa läkemedel (se avsnitt 4.4).
Olaparibs effekt på andra läkemedel
Olaparib hämmar CYP3A4 in vitro och förväntas vara en mild CYP3A-hämmare in vivo. Försiktighet ska därför iakttas när känsliga CYP3A‑substrat eller substrat med ett smalt terapeutiskt index (t.ex. simvastatin, cisaprid, ciklosporin, ergotalkaloider, fentanyl, pimozid, sirolimus, takrolimus och quetiapin) kombineras med olaparib. Lämplig klinisk övervakning rekommenderas för patienter som får CYP3A‑substrat med ett smalt terapeutiskt index samtidigt med olaparib.
Induktion av CYP1A2, 2B6 och 3A4 har påvisats in vitro där CYP2B6 har högst sannolikhet att induceras i en kliniskt relevant omfattning. Olaparibs potential att inducera CYP2C9, CYP2C19 och P‑gp kan inte heller uteslutas. Därför kan samtidig administrering med olaparib minska exponeringen för substrat till dessa metabola enzymer och transportprotein. Effekten av vissa hormonella preventivmedel kan minskas om de tas samtidigt med olaparib (se även avsnitt 4.4 och 4.6).
In vitro hämmar olaparib effluxtransportören P-gp (IC50 = 76 µM). Därför kan det inte uteslutas att olaparib kan ge upphov till kliniskt relevanta läkemedelsinteraktioner med P-gp‑substrat (t.ex. simvastatin, pravastatin, dabigatran, digoxin och kolkicin). Lämplig klinisk övervakning rekommenderas för patienter som får denna typ av läkemedel samtidigt.
In vitro har olaparib visat sig vara en hämmare av BCRP, OATP1B1, OCT1, OCT2, OAT3, MATE1 och MATE2K. Det kan inte uteslutas att olaparib skulle kunna öka exponeringen för substrat av BCRP (t.ex. metotrexat, rosuvastatin), OATP1B1 (t.ex. bosentan, glibenklamid, repaglinid, statiner och valsartan), OCT1 (t.ex. metformin), OCT2 (t.ex. serumkreatinin), OAT3 (t.ex. furosemid och metotrexat), MATE1 (t.ex. metformin) och MATE2K (t.ex. metformin). I synnerhet ska försiktighet iakttas om olaparib administreras i kombination med någon statin.
Kombination med anastrozol, letrozol och tamoxifen
En klinisk studie har utförts för att bedöma kombinationen av olaparib med anastrozol, letrozol eller tamoxifen. Inga kliniskt relevanta interaktioner observerades.
Fertila kvinnor/preventivmedel för kvinnor
Fertila kvinnor ska inte bli gravida under tiden de får Lynparza och inte vara gravida när behandlingen påbörjas. Ett graviditetstest måste utföras på alla fertila kvinnor före behandling och övervägas regelbundet under hela behandlingen.
Fertila kvinnor måste använda två sorters tillförlitliga preventivmedel innan de påbörjar behandlingen med Lynparza, under behandlingen och 6 månader efter att de har fått den sista dosen Lynparza, såvida avhållsamhet inte är den valda preventivmedelsmetoden (se avsnitt 4.4). Två mycket effektiva och kompletterande sorter av preventivmedel rekommenderas.
Effekten av vissa hormonella preventivmedel kan minska om dessa administreras samtidigt med olaparib eftersom det inte kan uteslutas att olaparib kan minska exponeringen för CYP2C9‑substrat genom enzyminduktion. Därför bör man överväga ytterligare ett icke‑hormonellt preventivmedel under behandlingen (se avsnitt 4.5). Hos kvinnor med hormonberoende cancer bör man överväga två icke-hormonella preventivmedelsmetoder.
Preventivmedel hos män
Det är inte känt huruvida olaparib eller dess metaboliter kan påvisas i sädesvätska. Manliga patienter måste använda kondom under behandlingen och under tre månader efter den sista dosen av Lynparza när de har samlag med en gravid kvinna eller med en fertil kvinna. Kvinnliga partners till manliga patienter måste också använda mycket tillförlitligt preventivmedel om de är fertila (se avsnitt 4.4). Manliga patienter ska inte donera sperma under behandlingen och under tre månader efter den sista dosen av Lynparza.
Graviditet
Data från djurstudier har visat på reproduktionstoxikologiska effekter, däribland allvarliga teratogena effekter och effekter på den embryofetala överlevnaden hos råtta vid exponering av modern som var lägre än de hos människor vid terapeutiska doser (se avsnitt 5.3). Det finns inga data från användningen av olaparib till gravida kvinnor, men baserat på verkningsmekanismen för olaparib ska Lynparza inte användas under graviditet och till fertila kvinnor som inte använder tillförlitliga preventivmedel under behandling och i 6 månader efter att de har fått den sista dosen Lynparza. (Se föregående stycke: ”Fertila kvinnor/preventivmedel för kvinnor” för ytterligare information om preventivmedel och graviditetstest.)
Amning
Det finns inga djurstudier på utsöndringen av olaparib i bröstmjölk. Det är okänt om olaparib eller dess metaboliter utsöndras i bröstmjölk. Med tanke på läkemedlets farmakologiska egenskaper är Lynparza kontraindicerat under amning och under 1 månad efter den sista dosen (se avsnitt 4.3).
Fertilitet
Det finns inga kliniska data om fertilitet. I djurstudier observerades ingen effekt på konception, men det förekom negativa effekter på embryofetal överlevnad (se avsnitt 5.3).
Lynparza har måttlig effekt på förmågan att framföra fordon och använda maskiner. Patienter som tar Lynparza kan uppleva trötthet, asteni eller yrsel. Patienter som får sådana symtom ska vara försiktiga när de framför fordon eller använder maskiner.
Sammanfattning av säkerhetsprofilen
Lynparza har satts i samband med biverkningar som i allmänhet är av lindrig eller måttlig svårighetsgrad (CTCAE-grad 1 eller 2), som oftast inte krävde utsättning av behandlingen. De vanligaste biverkningarna i kliniska prövningar med patienter som fick Lynparza som monoterapi (≥ 10 %) var illamående, trötthet/asteni, anemi, kräkningar, diarré, nedsatt aptit, huvudvärk, neutropeni, dysgeusi, hosta, leukopeni, yrsel, dyspné och dyspepsi.
Biverkningar av grad ≥ 3 som inträffade hos > 2 % av patienterna var anemi (14 %), neutropeni (5 %), trötthet/asteni (4 %), leukopeni (2 %) och trombocytopeni (2 %).
De biverkningar som oftast ledde till dosavbrott och/eller reduktion vid monoterapi var anemi (16 %), illamående (7 %), trötthet/asteni (6 %), neutropeni (6 %) och kräkningar (6 %). De biverkningar som oftast ledde till permanent utsättning var anemi (1,7 %), illamående (0,9 %), trötthet/asteni (0,8 %), trombocytopeni (0,7 %), neutropeni (0,6 %) och kräkningar (0,5 %).
När Lynparza används i kombination med bevacizumab för äggstockscancer, i kombination med abirateron och prednison eller prednisolon för prostatacancer, eller i kombination med durvalumab efter behandling med durvalumab i kombination med platinumbaserad cytostatikabehandling för endometriecancer är säkerhetsprofilen generellt överensstämmande med den för de individuella behandlingarna.
Vid användning i kombination med bevacizumab ledde biverkningar till dosavbrott och/eller reduktion av olaparib hos 57 % av patienterna och till permanent utsättning hos 21 % av patienterna som behandlades med olaparib respektive 6 % av patienterna som fick placebo. De biverkningar som oftast ledde till dosavbrott och/eller reduktion av olaparib var anemi (21,7 %), illamående (9,5 %), trötthet/asteni (5,4 %), kräkningar (3,7 %), neutropeni (3,6 %), trombocytopeni (3,0 %) och diarré (2,6 %). De biverkningar som oftast ledde till permanent utsättning var anemi (3,7 %), illamående (3,6 %) och trötthet/asteni (1,5 %).
Vid användning i kombination med abirateron ledde biverkningar till dosavbrott och/eller reduktion av olaparib hos 50,7 % av patienterna och till permanent utsättning hos 19,0 % av patienterna som behandlades med olaparib respektive 8,8 % av patienterna som fick placebo. De biverkningar som oftast ledde till dosavbrott och/eller reduktion av olaparib var anemi (17,1 %), trötthet/asteni (5,5 %), illamående (4,1 %), neutropeni (3,4 %), kräkningar (2,3 %), diarré (2,1 %) och venösa tromboemboliska händelser (2,1 %). De biverkningar som oftast ledde till permanent utsättning var anemi (4,5 %) och trötthet/asteni (1,3 %).
Vid användning i kombination med durvalumab efter behandling med durvalumab i kombination med platinumbaserad cytostatikabehandling ledde biverkningar till dosavbrott och/eller reduktion av olaparib hos 59,9 % av patienterna och till permanent utsättning hos 10,9 % av patienterna som behandlades med olaparib. De biverkningar som oftast ledde till dosavbrott och/eller reduktion av olaparib var anemi (20,8 %), illamående (8,3 %), neutropeni (7,3 %), trötthet/asteni (5,7 %), trombocytopeni (4,2 %), kräkningar (4,2 %), förhöjt blodkreatinin (3,1 %), leukopeni (3,1 %), nedsatt aptit (2,6 %) och diarré (2,1 %). De biverkningar som oftast ledde till permanent utsättning av olaparib var anemi (3,6 %) och neutropeni (1 %).
Tabell över biverkningar
Säkerhetsprofilen baseras på sammanställda data från 4 499 patienter med solida tumörer som behandlats med Lynparza som monoterapi i kliniska studier för den terapeutiska indikationen vid den rekommenderade dosen.
Nedanstående biverkningar har förekommit i kliniska studier hos patienter som fick Lynparza som monoterapi där patientexponering är känd. Läkemedelsbiverkningar listas enligt MedDRA-klassificeringen av organsystem (SOC) och sedan enligt föredragen MedDRA-term i tabell 1. Inom varje organsystemklass ordnas rekommenderade termer enligt fallande frekvens och sedan efter minskande allvarlighetsgrad. Biverkningsfrekvenser definieras som: mycket vanliga (≥ 1/10), vanliga (≥ 1/100, < 1/10), mindre vanliga (≥ 1/1 000, < 1/100), sällsynta (≥ 1/10 000, < 1/1 000), mycket sällsynta (< 1/10 000) och ingen känd frekvens (kan inte beräknas från tillgängliga data).
Tabell 1 Lista över biverkningar
a I MDS/AML ingår de föredragna termerna (preferred terms, PT) för akut myeloisk leukemi, myelodysplastiskt syndrom och myeloisk leukemi.
I anemi ingår de föredragna termerna för anemi, makrocytär anemi, erytropeni, minskat hematokrit, sänkt hemoglobin, normocytär anemi och minskat antal röda blodkroppar.
I neutropeni ingår de föredragna termerna för febril neutropeni, neutropeni, neutropen infektion, neutropen sepsis och minskat antal neutrofiler.
I trombocytopeni ingår de föredragna termerna för minskat antal trombocyter och trombocytopeni.
I leukopeni ingår de föredragna termerna för leukopeni och minskat antal vita blodkroppar.
I lymfopeni ingår de föredragna termerna för minskat antal lymfocyter och lymfopeni.
I överkänslighet ingår de föredragna termerna för läkemedelsöverkänslighet och överkänslighet.
Förhöjda transaminaser inkluderar de föredragna termerna förhöjt alaninaminotransferas, förhöjt aspartataminotransferas, förhöjda leverenzymer och hypertransaminasemi.
I dysgeusi ingår de föredragna termerna för dysgeusi och smakstörning.
I hosta ingår de föredragna termerna för hosta och produktiv hosta.
I dyspné ingår de föredragna termerna för dyspné och ansträngningsdyspné.
I pneumonit ingår de föredragna termerna för pneumonit, interstitiell lungsjukdom, akut interstitiell pneumonit, eosinofil pneumoni, akut eosinofil pneumoni och hypersensitivitetspneumonit.
I stomatit ingår de föredragna termerna för aftösa sår, munsår och stomatit.
I hudutslag ingår de föredragna termerna för erytem, exfoliativa hudutslag, hudutslag, erytematösa hudutslag, makulära hudutslag, makulo-papulära hudutslag, papulära hudutslag och pruritiska hudutslag.
I dermatit ingår de föredragna termerna för dermatit och allergisk dermatit.
I venös tromboembolism ingår de föredragna termerna för embolism, lungemboli, trombos, djup ventrombos, vena cava-trombos och ventrombos.
b Registrerade laboratoriedata visas under Hematologisk toxicitet och Övriga laboratoriefynd nedan
* Som observerats efter marknadsintroduktionen.
För patienter som fick Lynparza i kombination med durvalumab efter behandling med durvalumab i kombination med platinumbaserad cytostatikabehandling inträffade de flesta biverkningarna med samma eller lägre frekvens (alla grader och CTCAE-grad ≥ 3) jämfört med biverkningarna som listas i tabellen ovan för Lynparza som monoterapi. Biverkningar som rapporterades med högre frekvens hos patienter som fick Lynparza i kombination med durvalumab var trombocytopeni och utslag (mycket vanliga) samt överkänslighet (vanliga). Följande ytterligare biverkning identifierades också:
Tabell 2 Ytterligare biverkning som rapporterats i en klinisk prövning med Lynparza i kombination med durvalumab
Beskrivning av ett urval biverkningar
Hematologisk toxicitet
Anemi och annan hematologisk toxicitet var vanligen låggradig (CTCAE‑grad 1 eller 2), dock förekom rapporter om fall med biverkningar av CTCAE‑grad 3 och högre. Anemi var den vanligaste biverkningen av CTCAE‑grad ≥ 3 som rapporterats i kliniska studier. Mediantiden till den första debuten av anemi var ungefär 4 veckor (cirka 7 veckor för händelser av CTCAE-grad ≥ 3). Anemi hanterades med dosavbrott, dosminskning (se avsnitt 4.2) och där tillämpligt med blodtransfusioner. I klinska studier med tablettformuleringen var förekomsten av anemibiverkningar 35,2 % (CTCAE-grad ≥ 3 14,8 %) och förekomsten av dosavbrott, dosminskning och utsättning på grund av anemi var 16,4 %, 11,1 % respektive 2,1 %. Av de olaparibbehandlade patienterna behövde 15,6 % en eller flera blodtransfusioner. Ett exponering-responssamband mellan olaparib och sänkningar av hemoglobin har påvisats. I kliniska studier med Lynparza var förekomsten av CTCAE‑grad ≥ 2‑förändringar (sänkningar) från baslinjen för hemoglobin 21 %, absoluta neutrofiler 17 %, trombocyter 5 %, lymfocyter 26 % och leukocyter 19 % (alla procenttal är ungefärliga).
Förekomsten av förhöjd medelcellvolym från låg eller normal vid baslinjen till över ULN var cirka 51 %. Nivåerna föreföll återgå till de normala efter behandlingsavbrott och verkade inte ha några kliniska följder.
Provtagning vid baslinjen och därefter månatliga kontroller av fullständig blodstatus rekommenderas under de första 12 behandlingsmånaderna och därefter med jämna mellanrum för kontroll av kliniskt signifikanta förändringar i någon parameter under behandlingstiden, som kan kräva behandlingsavbrott eller dosminskning och/eller ytterligare behandling (se avsnitt 4.2 och 4.4).
Myelodysplastiskt syndrom/akut myeloisk leukemi
MDS/AML är allvarliga biverkningar som var mindre vanligt förekommande i kliniska studier med monoterapi vid den terapeutiska dosen, för alla indikationer (0,9 %). Förekomsten var 0,5 % inklusive biverkningar som rapporterats under långtidsuppföljningen avseende säkerhet (frekvensberäkning baserad på en total säkerhetspopulation på 18 576 patienter som exponerats för minst en dos av oralt olaparib i kliniska studier). Alla patienter hade faktorer som potentiellt kunde bidra till utvecklingen av MDS/AML; tidigare erhållen cytostatikabehandling med platinamedel. Många hade även fått andra DNA‑skadande läkemedel och strålbehandling. Majoriteten av rapporterna gällde bärare av nedärvd mutation i bröstcancergen 1 eller 2 (gBRCA1/2). Förekomsten av MDS/AML-fall var liknande hos gBRCA1m- och gBRCA2m‑patienter (1,6 % jämfört med 1,2 %). Vissa av patienterna hade en sjukdomshistoria med tidigare cancer eller benmärgsdysplasi.
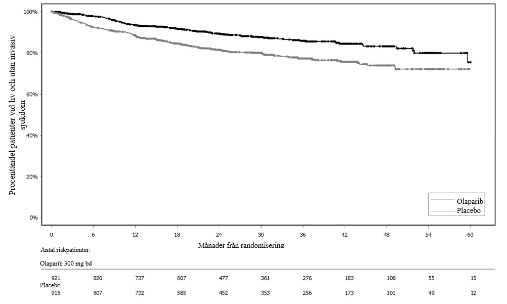
Hos patienter med BRCAm platinumkänslig recidiverande ovarialcancer som hade fått minst två tidigare behandlingslinjer med platinumbaserad cytostatikabehandling och som fick studiebehandling fram till sjukdomsprogression (SOLO2-studien, med olaparib-behandling ≥ 2 år hos 45 % av patienterna), var förekomsten av MDS/AML 8 % hos patienter som fick olaparib och 4 % hos patienter som fick placebo vid en uppföljning på 5 år. I olaparibarmen inträffade 9 av 16 MDS/AML‑fall efter utsättning av olaparib under överlevnadsuppföljningen. Förekomsten av MDS/AML observerades i samband med förlängd total överlevnad i olaparibarmen och sen debut av MDS/AML. Risken för MDS/AML förblir låg i första linjens behandling när underhållsbehandling med olaparib ges efter en linje platinumbaserad cytostatikabehandling under en period av 2 år (1,5 % i SOLO1-studien vid 7 års uppföljning och 1,1 % i PAOLA-1-studien vid 5 års uppföljning). För riskreducering och hantering se avsnitt 4.4.
Erytroblastopeni
Erytroblastopeni (PRCA) har rapporterats när Lynparza använts i kombination med durvalumab. I en klinisk studie av patienter med endometriecancer som behandlades med Lynparza i kombination med durvalumab var incidensen av PRCA 1,6 %. Alla händelser var av CTCAE-grad 3 eller 4. Händelserna var hanterbara efter utsättning av både Lynparza och durvalumab. Majoriteten av händelserna hanterades med blodtransfusion och immunsuppression och var övergående. Det förekom inga händelser med dödlig utgång. För riskreducering och hantering, se avsnitt 4.4.
Venösa tromboemboliska händelser
Hos män som fick olaparib plus abirateron som första linjens behandling för mCRPC (PROpel-studien) var incidensen av venösa tromboemboliska händelser 8 % i olaparib- plus abirateronarmen och 3,3 % i placebo- plus abirateronarmen. Mediantiden för debut i denna studie var 170 dagar (intervall: 12–906 dagar). Majoriteten av patienterna återhämtade sig från händelsen och kunde fortsätta behandlingen med olaparib tillsammans med standardbehandling.
Patienter med signifikant kardiovaskulär sjukdom exkluderades. Se produktinformationen för abirateron för de kardiovaskulära exklusionskriterierna (se avsnitt 4.4).
Övriga laboratoriefynd
I kliniska studier med Lynparza var förekomsten av CTCAE-grad ≥ 2‑förändringar (höjningar) från baslinjen för blodkreatinin cirka 11 %. Data från en dubbelblind placebokontrollerad studie visade en medianökning på upp till 23 % från baslinjen som förblev konsekvent över tid och återgick till baslinjen efter behandlingsavbrott, utan några synbara kliniska följdtillstånd. 90 % av patienterna hade kreatininvärden på CTCAE-grad 0 vid baslinjen och 10 % hade CTCAE‑grad 1 vid baslinjen.
Gastrointestinal toxicitet
Illamående rapporterades i allmänhet mycket tidigt, med debut inom den första månaden med Lynparza-behandling hos de flesta av patienterna. Kräkning rapporterades tidigt, med debut inom de första två månaderna med Lynparza-behandling hos de flesta av patienterna. Både illamående och kräkning rapporterades vara intermittent för de flesta av patienterna och kan hanteras med dosavbrott, dosminskning och/eller behandling med antiemetika. Profylax med antiemetika behövs inte.
I första linjens underhållsbehandling av ovarialcancer upplevde patienterna illamående (77 % på olaparib, 38 % på placebo), kräkningar (40 % på olaparib, 15 % på placebo), diarré (34 % på olaparib, 25 % på placebo), och dyspepsi (17 % på olaparib, 12 % på placebo). Illamående ledde till behandlingsavbrott hos 2,3 % av olaparibbehandlade patienter (CTCAE-grad 2) och 0,8 % av placebobehandlade patienter (CTCAE-grad 1), 0,8 % och 0,4 % av olaparibbehandlade patienter avbröt behandling på grund av låg grad (CTCAE-grad 2) av kräkningar respektive dyspepsi. Inga olaparib- eller placebobehandlade patienter avbröt på grund av diarré. Inga placebobehandlade patienter avbröt på grund av kräkningar eller dyspepsi. Illamående ledde till dosavbrott och dosreduktion hos 14 % respektive 4 % av olaparibbehandlade patienter. Kräkningar ledde till avbrott hos 10 % av olaparibbehandlade patienter, inga olaparibbehandlade patienter upplevde kräkningar som ledde till dosreduktion.
Pediatrisk population
Inga nya säkerhetssignaler observerades i studiepopulationen jämfört med den kända säkerhetsprofilen för Lynparza hos vuxna, baserat på det begränsade antalet pediatriska patienter som behandlades med olaparib i studie D0816C00025 (se avsnitt 5.1).
Andra särskilda populationer
Det finns begränsade säkerhetsdata för icke‑kaukasiska patienter.
Det finns begränsad erfarenhet av överdosering med olaparib. Hos ett litet antal patienter som tog en daglig dos på upp till 900 mg olaparib tabletter under två dagar rapporterades inga oväntade biverkningar. Det finns ingen specifik behandling vid överdosering av Lynparza och symtomen på överdosering har inte fastställts. Vid överdosering ska läkaren sätta in allmänna stödjande åtgärder och ge symtomatisk behandling.
Äggstockscancer
Lynparza är indicerat som monoterapi för:
underhållsbehandling av vuxna patienter med avancerad (FIGO stadie III och IV) BRCA1/2-muterad (germline och/eller somatisk) höggradig epitelial ovarial-, tubar- eller primär peritonealcancer som är i respons (komplett eller partiell) efter avslutad första linjens platinumbaserad cytostatikabehandling.
underhållsbehandling av vuxna patienter med platinumkänslig recidiverande höggradig epitelial ovarial-, tubar- eller primär peritonealcancer och som är i respons (komplett eller partiell) efter platinumbaserad cytostatikabehandling.
Lynparza i kombination med bevacizumab är indicerat för:
underhållsbehandling av vuxna patienter med avancerad (FIGO stadie III och IV) höggradig epitelial ovarial-, tubar- eller primär peritonealcancer som är i respons (komplett eller partiell) efter avslutad första linjens platinumbaserad cytostatikabehandling i kombination med bevacizumab och vars cancer är associerad med en positiv status för defekt homolog rekombination (HRD) som definieras antingen av en BRCA1/2-mutation och/eller genomisk instabilitet (se avsnitt 5.1).
Bröstcancer
Lynparza är indicerat som:
monoterapi eller i kombination med endokrin terapi som adjuvant behandling av vuxna patienter med nedärvd BRCA1/2-mutation som har HER2-negativ tidig bröstcancer med hög risk som tidigare behandlats med neoadjuvant eller adjuvant kemoterapi (se avsnitt 4.2 och 5.1).
monoterapi för behandling av vuxna patienter med nedärvd BRCA1/2‑mutation som har HER2‑negativ lokalt avancerad eller metastaserad bröstcancer. Patienter ska tidigare ha behandlats med en antracyklin och en taxan som (neo)adjuvant behandling eller som behandling för metastaserad sjukdom, såvida inte patienterna var olämpliga för dessa behandlingar (se avsnitt 5.1). Patienter med hormonreceptor (HR)‑positiv bröstcancer ska också ha progredierat under eller efter tidigare endokrin behandling eller anses olämpliga för endokrin behandling.
Adenokarcinom i pankreas
Lynparza är indicerat som monoterapi för underhållsbehandling av vuxna patienter med nedärvda BRCA1/2‑mutationer som har metastaserande adenokarcinom i pankreas och som inte har progredierat efter minst 16 veckors platinumbehandling inom en första linjens cytostatikaregim.
Prostatacancer
Lynparza är indicerat:
som monoterapi för behandling av vuxna patienter med metastaserande kastrationsresistent prostatacancer (mCRPC) och BRCA1/2‑mutationer (germline och/eller somatisk) som har progredierat efter tidigare behandling som inkluderade typen nya hormonella läkemedel.
i kombination med abirateron och prednison eller prednisolon för behandling av vuxna patienter med mCRPC hos vilka kemoterapi inte är kliniskt indicerad (se avsnitt 5.1).
Endometriecancer
Lynparza i kombination med durvalumab är indicerat för underhållsbehandling av vuxna patienter med primär avancerad eller recidiverande endometriecancer med bevarad mismatch repair (pMMR), som inte har progredierat vid första linjens behandling med durvalumab i kombination med karboplatin och paklitaxel.
Behandling med Lynparza ska initieras och övervakas av läkare med erfarenhet av användning av cancerläkemedel.
Val av patient
Första linjens underhållsbehandling av BRCA‑muterad avancerad ovarialcancer:
Innan första linjens underhållsbehandling med Lynparza initieras mot höggradig epitelial ovarialcancer (EOC), tubarcancer (FTC) eller primär peritonealcancer (PPC) måste patienter ha bekräftat skadliga eller misstänkt skadliga nedärvda och/eller somatiska mutationer i bröstcancergenerna (BRCA) 1 eller 2 fastställda med en validerad testmetod.
Underhållsbehandling av platinumkänslig recidiverande ovarialcancer:
Det finns inget krav på BRCA1/2 test före användning av Lynparza som monoterapi underhållsbehandling av recidiverande EOC, FTC eller PPC vilka är i komplett eller partiell respons på platinabaserad terapi.
Första linjens undershållsbehandling av HRD‑positiv avancerad ovarialcancer i kombination med bevacizumab:
Innan första linjens underhållsbehandling med Lynparza med bevacizumab initieras mot EOC, FTC eller PPC måste patienter ha bekräftad skadlig eller misstänkt skadlig BRCA1/2-mutation och/eller genomisk instabilitet fastställd med en validerad testmetod (se avsnitt 5.1).
Adjuvant behandling av nedärvd BRCA-muterad tidig bröstcancer med hög risk
Innan behandling med Lynparza initieras som adjuvant behandling av HER2-negativ tidig bröstcancer med hög risk måste patienter ha bekräftad skadlig eller misstänkt skadlig gBRCA1/2-mutation fastställd med en validerad testmetod (se avsnitt 5 1).
Monoterapi av gBRCA1/2‑muterad HER2‑negativ metastaserad bröstcancer:
Patienter med germlineBRCA1/2-muterade bröstcancergener (gBRCA1/2) som har HER2‑negativ, lokalt avancerad eller metastaserad bröstcancer, måste ha en skadlig eller misstänkt skadlig gBRCA1/2‑mutation bekräftad innan behandling med Lynparza sätts in. gBRCA1/2-mutationsstatus ska fastställas av ett rutinerat laboratorium med en validerad testmetod. Det finns inga tillgängliga data som visar klinisk validering av BRCA1/2-tumörtester vid bröstcancer.
Första linjens undershållsbehandling av gBRCA‑muterat metastaserande adenokarcinom i pankreas:
För första linjens undershållsbehandling av nedärvd BRCA1/2‑muterat metastaserande adenokarcinom i pankreas måste patienterna ha en bekräftat skadlig eller misstänkt skadlig gBRCA1/2‑mutation innan behandling med Lynparza sätts in. gBRCA1/2‑mutationsstatus ska fastställas av ett rutinerat laboratorium med en validerad testmetod. Det finns inga tillgängliga data som visar klinisk validering av BRCA1/2‑tumörtester vid adenokarcinom i pankreas.
Monoterapi av BRCA1/2‑muterad metastaserande kastrationsresistent prostatacancer:
För BRCA1/2‑muterad metastaserande kastrationsresistent prostatacancer (mCRPC) måste patienterna ha en bekräftat skadlig eller misstänkt skadlig BRCA1/2‑mutation (antingen med tumör- eller blodprov) innan behandling med Lynparza sätts in (se avsnitt 5.1). BRCA1/2-mutationsstatus ska fastställas av ett erfaret laboratorium med en validerad testmetod.
Behandling av mCRPC i kombination med abirateron och prednison eller prednisolon:
Ingen genomisk testning krävs före användning av Lynparza i kombination med abirateron och prednison eller prednisolon för behandling av patienter med mCRPC.
Första linjens underhållsbehandling av avancerad eller recidiverande endometriecancer med bevarad mismatch repair (pMMR) i kombination med durvalumab:
Innan behandlingen inleds måste patientens tumörstatus bekräftas som pMMR (bevarad mismatch repair) med ett validerat test (se avsnitt 5.1).
Genetisk rådgivning för patienter testade för mutationer i BRCA1/2‑gener ska utföras enligt lokala föreskrifter.
Dosering
Lynparza finns som 100 mg och 150 mg tabletter.
Den rekommenderade dosen av Lynparza som monoterapi eller i kombination med andra läkemedel är 300 mg (två 150 mg tabletter) två gånger dagligen, vilket motsvarar en total daglig dos på 600 mg. Tabletten med 100 mg är tillgänglig för dosminskning.
Lynparza monoterapi
Patienter med platinumkänslig recidiverande höggradig epitelial ovarial-, tubar- eller primär peritonealcancer och som är i respons (komplett eller partiell) efter platinumbaserad cytostatikabehandling ska påbörja behandling med Lynparza senast 8 veckor efter att de har avslutat sin sista dos av den platinainnehållande behandlingen.
Lynparza i kombination med bevacizumab
När Lynparza används i kombination med bevacizumab som första linjens underhållsbehandling av höggradig epitelial ovarial-, tubar- eller primär peritonealcancer efter avslutad första linjens platinumbaserad behandling med bevacizumab, är dosen av bevacizumab 15 mg/kg en gång var tredje vecka. Se fullständig produktinformation för bevacizumab (se avsnitt 5.1).
Lynparza i kombination med endokrin behandling
Se den fullständiga produktinformationen för läkemedel som används som endokrin behandling i kombination med Lynparza (aromatashämmare/antiöstrogenläkemedel och/eller luteiniserande hormonfrisättande hormon (LHRH)‑analog) för rekommenderad dosering.
Lynparza i kombination med abirateron och prednison eller prednisolon
Vid användning av Lynparza i kombination med abirateron för behandling av patienter med mCRPC är dosen av abirateron 1000 mg oralt en gång dagligen (se avsnitt 5.1). Abirateron ska ges med prednison eller prednisolon 5 mg oralt två gånger dagligen. Se den fullständiga produktinformationen för abirateron.
Lynparza i kombination med durvalumab
När Lynparza används i kombination med durvalumab för underhållsbehandling av patienter med primär avancerad eller recidiverande endometriecancer med bevarad mismatch repair (pMMR), som inte har progredierat vid första linjens behandling med durvalumab i kombination med karboplatin och paklitaxel, är dosen 1500 mg durvalumab var 4:e vecka (se avsnitt 5.1). Se den fullständiga produktinformationen för durvalumab.
Behandlingsvaraktighet
Första linjens underhållsbehandling av BRCA-muterad avancerad ovarialcancer
Patienter kan fortsätta behandling till radiologiskt påvisad sjukdomsprogression, oacceptabel toxicitet eller upp till 2 år om inga radiologiska sjukdomsfynd finns efter 2 års behandling. Patienter med sjukdomsfynd vid två år, som enligt behandlande läkares bedömning kan dra ytterligare nytta av fortsatt behandling, kan behandlas längre än två år.
Underhållsbehandling av platinumkänslig recidiverande ovarialcancer:
För patienter med platinumkänslig recidiverande höggradig epitelial ovarial-, tubar- eller primär peritonealcancer, rekommenderas att behandlingen fortsätter tills den underliggande sjukdomen progredierar eller till oacceptabel toxicitet
Första linjens undershållsbehandling av HRD‑positiv avancerad ovarialcancer i kombination med bevacizumab:
Patienter kan fortsätta behandling med Lynparza till radiologiskt påvisad sjukdomsprogression, oacceptabel toxicitet eller upp till 2 år om inga radiologiska tecken på sjukdom finns efter 2 års behandling. Patienter med tecken på sjukdom vid 2 år, som enligt behandlande läkares bedömning kan dra ytterligare nytta av fortsatt behandling med Lynparza, kan behandlas längre än 2 år. Se produktinformation för bevacizumab för den rekommenderade totala behandlingstiden på högst 15 månader, inklusive perioderna i kombination med cytostatikabehandling och som underhållsbehandling (se avsnitt 5.1).
Adjuvant behandling av nedärvd BRCA-muterad tidig bröstcancer med hög risk
Det rekommenderas att behandlingen fortsätter upp till 1 år eller till sjukdomsåterfall eller oacceptabel toxicitet, beroende på vilket som inträffar först.
Monoterapi av gBRCA1/2-muterad HER2-negativ metastaserad bröstcancer:
Det rekommenderas att behandlingen fortsätter till progress av den underliggande sjukdomen eller till oacceptabel toxicitet.
Effekt och säkerhet av förnyad underhållsbehandling med Lynparza efter första eller efterföljande recidiv hos patienter med ovarialcancer har inte fastställts. Det finns inga effekt- eller säkerhetsdata på återbehandling av bröstcancerpatienter (se avsnitt 5.1).
Första linjens undershållsbehandling av gBRCA‑muterat metastaserande adenokarcinom i pankreas:
Det rekommenderas att behandlingen fortsätter till progress av den underliggande sjukdomen eller till oacceptabel toxicitet.
Monoterapi av BRCA1/2‑muterad metastaserande kastrationsresistent prostatacancer:
Det rekommenderas att behandlingen fortsätter till progress av den underliggande sjukdomen eller till oacceptabel toxicitet. Medicinsk kastrering med luteiniserande hormonfrisättande hormon (LHRH)‑analog ska fortsätta under behandling av patienter som inte är kirurgiskt kastrerade.
Behandling av mCRPC i kombination med abirateron och prednison eller prednisolon:
Det rekommenderas att behandlingen fortsätter till progress av den underliggande sjukdomen eller till oacceptabel toxicitet vid användning av Lynparza i kombination med abirateron och prednison eller prednisolon. Behandling med en gonadotropinfrisättande hormonanalog (GnRH) ska fortsätta under behandlingen hos alla patienter, alternativt ska patienter ha genomgått en bilateral orkiektomi före behandlingen. Se produktinformationen för abirateron.
Det finns inga effekt- eller säkerhetsdata på förnyad behandling med Lynparza hos patienter med prostatacancer (se avsnitt 5.1).
Första linjens underhållsbehandling av avancerad eller recidiverande endometriecancer med bevarad mismatch repair (pMMR) i kombination med durvalumab:
Det rekommenderas att behandlingen fortsätter till progress av den underliggande sjukdomen eller till oacceptabel toxicitet. Se produktinformationen för durvalumab.
Glömd dos
Om en patient glömmer att ta en dos av Lynparza ska nästa normala dos tas vid vanlig tidpunkt.
Dosjusteringar vid biverkningar
Behandlingen kan avbrytas för behandling av biverkningar såsom illamående, kräkningar, diarré och anemi. Dosminskning kan övervägas (se avsnitt 4.8).
Den rekommenderade dosminskningen är till 250 mg (en 150 mg tablett och en 100 mg tablett) två gånger dagligen (motsvarande en total daglig dos om 500 mg).
Om ytterligare dosminskning krävs rekommenderas en minskning till 200 mg (två 100 mg tabletter) två gånger dagligen (motsvarande en total daglig dos om 400 mg).
Dosjusteringar vid samtidig administrering av CYP3A‑hämmare
Samtidig användning av starka och måttliga CYP3A‑hämmare rekommenderas inte och alternativa läkemedel bör övervägas. Om en stark CYP3A‑hämmare måste administreras samtidigt, rekommenderas att dosen av Lynparza minskas till 100 mg (en 100 mg tablett) som tas två gånger dagligen (motsvarande en total daglig dos på 200 mg). Om en måttlig CYP3A-hämmare måste administreras samtidigt, rekommenderas att dosen av Lynparza minskas till 150 mg (en 150 mg tablett) som tas två gånger dagligen (motsvarande en total daglig dos på 300 mg) (se avsnitt 4.4 och 4.5).
Särskilda populationer
Äldre
Det krävs ingen justering av startdosen för äldre patienter.
Nedsatt njurfunktion
För patienter med måttligt nedsatt njurfunktion (kreatininclearance 31 till 50 ml/min) är den rekommenderade dosen av Lynparza 200 mg (två 100 mg tabletter) två gånger dagligen (motsvarande en total daglig dos om 400 mg) (se avsnitt 5.2).
Lynparza kan administreras till patienter med lätt nedsatt njurfunktion (kreatininclearance 51 till 80 ml/min) utan dosjustering.
Lynparza rekommenderas inte till patienter med gravt nedsatt njurfunktion eller med njursjukdom i slutstadiet (kreatininclearance ≤ 30 ml/min), då säkerhet och farmakokinetik inte har studerats hos dessa patienter. Lynparza kan användas till patienter med gravt nedsatt njurfunktion endast om nyttan uppväger den potentiella risken och patienten bör övervakas noga med avseende på njurfunktion och biverkningar.
Nedsatt leverfunktion
Lynparza kan administreras till patienter med lindrigt eller måttligt nedsatt leverfunktion (Child-Pugh klassificering A eller B) utan dosjustering (se avsnitt 5.2). Lynparza rekommenderas inte till patienter med gravt nedsatt leverfunktion (Child-Pugh klassificering C) då säkerhet och farmakokinetik inte har studerats hos dessa patienter.
Icke-kaukasier
Det finns begränsat med kliniska data om användning till icke‑kaukasiska patienter. Ingen dosjustering behövs dock på grund av etnicitet (se avsnitt 5.2).
Pediatrisk population
Säkerhet och effekt för Lynparza för barn och ungdomar (< 18 år) har inte fastställts.
För närvarande tillgänglig information finns i avsnitt 4.8, 5.1 och 5.2, men ingen doseringsrekommendation kan fastställas.
Administreringssätt
Lynparza är avsett för oral användning.
Lynparza tabletter ska sväljas hela utan att tuggas, krossas, lösas upp eller delas. Lynparza tabletter kan tas utan hänsyn till måltider.
Överkänslighet mot den aktiva substansen eller mot något hjälpämne som anges i avsnitt 6.1.
Amning under behandlingen och 1 månad efter den sista dosen (se avsnitt 4.6).
Hematologisk toxicitet
Hematologisk toxicitet har rapporterats hos patienter som behandlas med Lynparza, inklusive kliniska diagnoser och/eller laboratoriefynd som visar generellt lindrig eller måttlig (CTCAE‑grad 1 eller 2) anemi, neutropeni, trombocytopeni och lymfopeni. Erytroblastopeni (PRCA) (se avsnitt 4.8) och/eller autoimmun hemolytisk anemi (AIHA) har rapporterats när Lynparza använts i kombination med durvalumab.
Patienterna ska inte påbörja behandling med Lynparza förrän de har återhämtat sig från en hematologisk toxicitet som orsakats av föregående cancerbehandling (värdena för hemoglobin, trombocyter och neutrofiler ska vara ≤ CTCAE‑grad 1). Provtagning vid initiering av behandlingen och därefter månatliga kontroller av fullständig blodstatus rekommenderas under de första 12 behandlingsmånaderna och därefter med jämna mellanrum för kontroll av kliniskt signifikanta förändringar i någon parameter under behandlingstiden (se avsnitt 4.8).
Om en patient får allvarlig hematologisk toxicitet eller är beroende av blodtransfusioner, ska behandlingen med Lynparza avbrytas och lämpliga blodtester göras. Om blodvärdena fortfarande är kliniskt onormala efter 4 veckors uppehåll med Lynparza-behandlingen, rekommenderas benmärgsanalys och/eller cytogenetisk blodanalys. Om PRCA eller AIHA bekräftas ska behandlingen med Lynparza och durvalumab avbrytas.
Myelodysplastiskt syndrom/akut myeloisk leukemi
Myelodysplastiskt syndrom (MDS)/akut myeloisk leukemi (AML) har inträffat hos patienter som behandlats med Lynparza (se avsnitt 4.8). De flesta händelserna hade en dödlig utgång. Patienter med BRCA-muterad (BRCAm) platinumkänslig recidiverande ovarialcancer som hade fått minst två tidigare behandlingslinjer med platinumbaserad cytostatikabehandling löpte större risk att få MDS/AML. Varaktigheten i behandlingen med olaparib hos de patienter som utvecklade MDS/AML varierade från < 6 månader till > 4 år.
Om MDS/AML misstänks ska patienten remitteras till en hematolog för vidare utredning, inklusive benmärgsanalys och blodprovtagning för cytogenetik. Om MDS/AML bekräftas efter utredning avseende långvarig hematologisk toxicitet ska Lynparza sättas ut och patienten ska erhålla lämplig behandling.
Venösa tromboemboliska händelser
Venösa tromboemboliska händelser, främst lungemboli, har inträffat hos patienter som behandlats med Lynparza. Händelserna hade inte något enhetligt kliniskt mönster. En högre incidens observerades hos patienter med metastaserande kastrationsresistent prostatacancer som också fick androgen deprivationsterapi, jämfört med andra godkända indikationer (se avsnitt 4.8). Patienter ska övervakas för kliniska tecken och symtom på ventrombos och lungemboli och behandlas på medicinskt lämpligt sätt. Patienter med tidigare venös tromboembolisk händelse har högre risk för ytterligare förekomst och ska övervakas på lämpligt sätt.
Pneumonit
Pneumonit, inklusive händelser med dödlig utgång, har rapporterats hos patienter som behandlats med Lynparza i kliniska studier (se avsnitt 4.8). Om patienterna får nya eller förvärrade symtom från andningsvägarna såsom dyspné, hosta och feber, eller om något onormalt upptäcks vid lungröntgen, ska Lynparza‑behandlingen avbrytas och utredning inledas omedelbart. Om pneumonit kan bekräftas ska Lynparza‑behandlingen sättas ut och patienten erhålla lämplig behandling.
Levertoxicitet
Fall av levertoxicitet har rapporterats hos patienter som behandlats med olaparib (se avsnitt 4.8). Om kliniska symtom eller tecken på levertoxicitet uppträder ska en klinisk utvärdering av patienten och mätning av leverfunktionstester omedelbart genomföras. Vid misstänkt läkemedelsinducerad leverskada ska behandlingen avbrytas. Vid svår läkemedelsinducerad leverskada ska utsättning av behandlingen övervägas om kliniskt lämpligt.
Embryofetal toxicitet
Baserat på sin verkningsmekanism (PARP‑hämning) skulle Lynparza kunna orsaka fosterskador om det ges till en gravid kvinna. Icke‑kliniska studier på råtta har visat att olaparib har negativa effekter på den embryofetala överlevnaden och orsakar kraftiga fostermissbildningar vid exponeringar som ligger under de som förväntas vid den rekommenderade dosen till människa på 300 mg två gånger dagligen.
Graviditet/preventivmedel
Lynparza får inte användas under graviditet. Fertila kvinnor måste använda två sorters tillförlitliga preventivmedel innan de påbörjar behandlingen med Lynparza, under behandlingen och under 6 månader efter den sista dosen av Lynparza. Två mycket effektiva och kompletterande sorter av preventivmedel rekommenderas. Manliga patienter och deras fertila kvinnliga partner ska använda tillförlitliga preventivmedel under behandlingen och under tre månader efter den sista dosen av Lynparza (se avsnitt 4.6).
Interaktioner
Samtidig administrering av Lynparza och starka eller måttliga CYP3A‑hämmare rekommenderas inte (se avsnitt 4.5). Dosen av Lynparza ska minskas om en stark eller måttlig CYP3A‑hämmare måste administreras samtidigt (se avsnitt 4.2 och 4.5).
Samtidig administrering av Lynparza och starka eller måttliga CYP3A‑inducerare rekommenderas inte. Vid tillfällen där en patient som redan får Lynparza behöver behandling med en stark eller måttlig CYP3A‑inducerare, måste förskrivaren vara uppmärksam på att effekten av Lynparza kan minska betydligt (se avsnitt 4.5).
Natrium
Detta läkemedel innehåller mindre än 1 mmol (23 mg) natrium per 100 mg eller 150 mg tablett, d.v.s. är näst intill “natriumfritt”.
Farmakodynamiska interaktioner
Kliniska studier av olaparib i kombination med andra läkemedel mot cancer, även preparat som skadar DNA, tyder på en förstärkning och förlängning av den myelosuppressiva toxiciteten. Den rekommenderade Lynparza‑dosen för monoterapi är inte lämplig att kombinera med myelosuppressiva cancerläkemedel.
Kombination av olaparib med vacciner eller immunsuppressiva medel har inte studerats. Därför ska försiktighet iakttas om dessa läkemedel administreras samtidigt med Lynparza och patienterna ska övervakas noga.
Farmakokinetiska interaktioner
Andra läkemedels effekt på olaparib
CYP3A4/5 är de isoenzymer som till största delen svarar för metabol clearance av olaparib.
En klinisk studie för att undersöka inverkan av itrakonazol, en känd CYP3A-hämmare, har visat att samtidig administrering med olaparib ökade olaparibs genomsnittliga Cmax med 42 % (90 % KI: 33‑52 %) och genomsnittligt AUC med 170 % (90 % KI: 144‑197 %). Därför rekommenderas inte kända starka (t.ex. itrakonazol, telitromycin, klaritromycin, proteashämmare förstärkta med ritonavir eller kobicistat, boceprevir, telaprevir) eller måttliga (t.ex. erytromycin, diltiazem, flukonazol, verapamil) hämmare av detta isoenzym tillsammans med Lynparza (se avsnitt 4.4). Om starka eller måttliga CYP3A-hämmare måste administreras samtidigt, ska dosen av Lynparza minskas. Det rekommenderas att Lynparza-dosen minskas till 100 mg två gånger dagligen (motsvarande en total daglig dos på 200 mg) tillsammans med en stark CYP3A-hämmare eller 150 mg två gånger dagligen (motsvarande en total daglig dos på 300 mg) tillsammans med en måttlig CYP3A-hämmare (se avsnitt 4.2 och 4.4). Dessutom avråds konsumtion av grapefruktjuice under behandling med Lynparza eftersom det är en CYP3A-hämmare.
En klinisk studie för att undersöka inverkan av rifampicin, en känd CYP3A‑inducerare, har visat att samtidig administrering med olaparib minskade olaparibs genomsnittliga Cmax med 71 % (90 % KI: 76‑67 %) och genomsnittligt AUC med 87 % (90 % KI: 89‑84 %). Därför rekommenderas inte kända starka inducerare av detta isoenzym (t.ex. fenytoin, rifampicin, rifapentin, karbamazepin, nevirapin, fenobarbital och johannesört) tillsammans med Lynparza, eftersom det är möjligt att effekten av Lynparza kan minska betydligt. Verkningsgraden för måttliga till starka inducerare (t.ex. efavirenz, rifabutin) på exponeringen av olaparib är inte känd, därför rekommenderas inte heller samtidig administrering av Lynparza med dessa läkemedel (se avsnitt 4.4).
Olaparibs effekt på andra läkemedel
Olaparib hämmar CYP3A4 in vitro och förväntas vara en mild CYP3A-hämmare in vivo. Försiktighet ska därför iakttas när känsliga CYP3A‑substrat eller substrat med ett smalt terapeutiskt index (t.ex. simvastatin, cisaprid, ciklosporin, ergotalkaloider, fentanyl, pimozid, sirolimus, takrolimus och quetiapin) kombineras med olaparib. Lämplig klinisk övervakning rekommenderas för patienter som får CYP3A‑substrat med ett smalt terapeutiskt index samtidigt med olaparib.
Induktion av CYP1A2, 2B6 och 3A4 har påvisats in vitro där CYP2B6 har högst sannolikhet att induceras i en kliniskt relevant omfattning. Olaparibs potential att inducera CYP2C9, CYP2C19 och P‑gp kan inte heller uteslutas. Därför kan samtidig administrering med olaparib minska exponeringen för substrat till dessa metabola enzymer och transportprotein. Effekten av vissa hormonella preventivmedel kan minskas om de tas samtidigt med olaparib (se även avsnitt 4.4 och 4.6).
In vitro hämmar olaparib effluxtransportören P-gp (IC50 = 76 µM). Därför kan det inte uteslutas att olaparib kan ge upphov till kliniskt relevanta läkemedelsinteraktioner med P-gp‑substrat (t.ex. simvastatin, pravastatin, dabigatran, digoxin och kolkicin). Lämplig klinisk övervakning rekommenderas för patienter som får denna typ av läkemedel samtidigt.
In vitro har olaparib visat sig vara en hämmare av BCRP, OATP1B1, OCT1, OCT2, OAT3, MATE1 och MATE2K. Det kan inte uteslutas att olaparib skulle kunna öka exponeringen för substrat av BCRP (t.ex. metotrexat, rosuvastatin), OATP1B1 (t.ex. bosentan, glibenklamid, repaglinid, statiner och valsartan), OCT1 (t.ex. metformin), OCT2 (t.ex. serumkreatinin), OAT3 (t.ex. furosemid och metotrexat), MATE1 (t.ex. metformin) och MATE2K (t.ex. metformin). I synnerhet ska försiktighet iakttas om olaparib administreras i kombination med någon statin.
Kombination med anastrozol, letrozol och tamoxifen
En klinisk studie har utförts för att bedöma kombinationen av olaparib med anastrozol, letrozol eller tamoxifen. Inga kliniskt relevanta interaktioner observerades.
Fertila kvinnor/preventivmedel för kvinnor
Fertila kvinnor ska inte bli gravida under tiden de får Lynparza och inte vara gravida när behandlingen påbörjas. Ett graviditetstest måste utföras på alla fertila kvinnor före behandling och övervägas regelbundet under hela behandlingen.
Fertila kvinnor måste använda två sorters tillförlitliga preventivmedel innan de påbörjar behandlingen med Lynparza, under behandlingen och 6 månader efter att de har fått den sista dosen Lynparza, såvida avhållsamhet inte är den valda preventivmedelsmetoden (se avsnitt 4.4). Två mycket effektiva och kompletterande sorter av preventivmedel rekommenderas.
Effekten av vissa hormonella preventivmedel kan minska om dessa administreras samtidigt med olaparib eftersom det inte kan uteslutas att olaparib kan minska exponeringen för CYP2C9‑substrat genom enzyminduktion. Därför bör man överväga ytterligare ett icke‑hormonellt preventivmedel under behandlingen (se avsnitt 4.5). Hos kvinnor med hormonberoende cancer bör man överväga två icke-hormonella preventivmedelsmetoder.
Preventivmedel hos män
Det är inte känt huruvida olaparib eller dess metaboliter kan påvisas i sädesvätska. Manliga patienter måste använda kondom under behandlingen och under tre månader efter den sista dosen av Lynparza när de har samlag med en gravid kvinna eller med en fertil kvinna. Kvinnliga partners till manliga patienter måste också använda mycket tillförlitligt preventivmedel om de är fertila (se avsnitt 4.4). Manliga patienter ska inte donera sperma under behandlingen och under tre månader efter den sista dosen av Lynparza.
Graviditet
Data från djurstudier har visat på reproduktionstoxikologiska effekter, däribland allvarliga teratogena effekter och effekter på den embryofetala överlevnaden hos råtta vid exponering av modern som var lägre än de hos människor vid terapeutiska doser (se avsnitt 5.3). Det finns inga data från användningen av olaparib till gravida kvinnor, men baserat på verkningsmekanismen för olaparib ska Lynparza inte användas under graviditet och till fertila kvinnor som inte använder tillförlitliga preventivmedel under behandling och i 6 månader efter att de har fått den sista dosen Lynparza. (Se föregående stycke: ”Fertila kvinnor/preventivmedel för kvinnor” för ytterligare information om preventivmedel och graviditetstest.)
Amning
Det finns inga djurstudier på utsöndringen av olaparib i bröstmjölk. Det är okänt om olaparib eller dess metaboliter utsöndras i bröstmjölk. Med tanke på läkemedlets farmakologiska egenskaper är Lynparza kontraindicerat under amning och under 1 månad efter den sista dosen (se avsnitt 4.3).
Fertilitet
Det finns inga kliniska data om fertilitet. I djurstudier observerades ingen effekt på konception, men det förekom negativa effekter på embryofetal överlevnad (se avsnitt 5.3).
Lynparza har måttlig effekt på förmågan att framföra fordon och använda maskiner. Patienter som tar Lynparza kan uppleva trötthet, asteni eller yrsel. Patienter som får sådana symtom ska vara försiktiga när de framför fordon eller använder maskiner.
Sammanfattning av säkerhetsprofilen
Lynparza har satts i samband med biverkningar som i allmänhet är av lindrig eller måttlig svårighetsgrad (CTCAE-grad 1 eller 2), som oftast inte krävde utsättning av behandlingen. De vanligaste biverkningarna i kliniska prövningar med patienter som fick Lynparza som monoterapi (≥ 10 %) var illamående, trötthet/asteni, anemi, kräkningar, diarré, nedsatt aptit, huvudvärk, neutropeni, dysgeusi, hosta, leukopeni, yrsel, dyspné och dyspepsi.
Biverkningar av grad ≥ 3 som inträffade hos > 2 % av patienterna var anemi (14 %), neutropeni (5 %), trötthet/asteni (4 %), leukopeni (2 %) och trombocytopeni (2 %).
De biverkningar som oftast ledde till dosavbrott och/eller reduktion vid monoterapi var anemi (16 %), illamående (7 %), trötthet/asteni (6 %), neutropeni (6 %) och kräkningar (6 %). De biverkningar som oftast ledde till permanent utsättning var anemi (1,7 %), illamående (0,9 %), trötthet/asteni (0,8 %), trombocytopeni (0,7 %), neutropeni (0,6 %) och kräkningar (0,5 %).
När Lynparza används i kombination med bevacizumab för äggstockscancer, i kombination med abirateron och prednison eller prednisolon för prostatacancer, eller i kombination med durvalumab efter behandling med durvalumab i kombination med platinumbaserad cytostatikabehandling för endometriecancer är säkerhetsprofilen generellt överensstämmande med den för de individuella behandlingarna.
Vid användning i kombination med bevacizumab ledde biverkningar till dosavbrott och/eller reduktion av olaparib hos 57 % av patienterna och till permanent utsättning hos 21 % av patienterna som behandlades med olaparib respektive 6 % av patienterna som fick placebo. De biverkningar som oftast ledde till dosavbrott och/eller reduktion av olaparib var anemi (21,7 %), illamående (9,5 %), trötthet/asteni (5,4 %), kräkningar (3,7 %), neutropeni (3,6 %), trombocytopeni (3,0 %) och diarré (2,6 %). De biverkningar som oftast ledde till permanent utsättning var anemi (3,7 %), illamående (3,6 %) och trötthet/asteni (1,5 %).
Vid användning i kombination med abirateron ledde biverkningar till dosavbrott och/eller reduktion av olaparib hos 50,7 % av patienterna och till permanent utsättning hos 19,0 % av patienterna som behandlades med olaparib respektive 8,8 % av patienterna som fick placebo. De biverkningar som oftast ledde till dosavbrott och/eller reduktion av olaparib var anemi (17,1 %), trötthet/asteni (5,5 %), illamående (4,1 %), neutropeni (3,4 %), kräkningar (2,3 %), diarré (2,1 %) och venösa tromboemboliska händelser (2,1 %). De biverkningar som oftast ledde till permanent utsättning var anemi (4,5 %) och trötthet/asteni (1,3 %).
Vid användning i kombination med durvalumab efter behandling med durvalumab i kombination med platinumbaserad cytostatikabehandling ledde biverkningar till dosavbrott och/eller reduktion av olaparib hos 59,9 % av patienterna och till permanent utsättning hos 10,9 % av patienterna som behandlades med olaparib. De biverkningar som oftast ledde till dosavbrott och/eller reduktion av olaparib var anemi (20,8 %), illamående (8,3 %), neutropeni (7,3 %), trötthet/asteni (5,7 %), trombocytopeni (4,2 %), kräkningar (4,2 %), förhöjt blodkreatinin (3,1 %), leukopeni (3,1 %), nedsatt aptit (2,6 %) och diarré (2,1 %). De biverkningar som oftast ledde till permanent utsättning av olaparib var anemi (3,6 %) och neutropeni (1 %).
Tabell över biverkningar
Säkerhetsprofilen baseras på sammanställda data från 4 499 patienter med solida tumörer som behandlats med Lynparza som monoterapi i kliniska studier för den terapeutiska indikationen vid den rekommenderade dosen.
Nedanstående biverkningar har förekommit i kliniska studier hos patienter som fick Lynparza som monoterapi där patientexponering är känd. Läkemedelsbiverkningar listas enligt MedDRA-klassificeringen av organsystem (SOC) och sedan enligt föredragen MedDRA-term i tabell 1. Inom varje organsystemklass ordnas rekommenderade termer enligt fallande frekvens och sedan efter minskande allvarlighetsgrad. Biverkningsfrekvenser definieras som: mycket vanliga (≥ 1/10), vanliga (≥ 1/100, < 1/10), mindre vanliga (≥ 1/1 000, < 1/100), sällsynta (≥ 1/10 000, < 1/1 000), mycket sällsynta (< 1/10 000) och ingen känd frekvens (kan inte beräknas från tillgängliga data).
Tabell 1 Lista över biverkningar
a I MDS/AML ingår de föredragna termerna (preferred terms, PT) för akut myeloisk leukemi, myelodysplastiskt syndrom och myeloisk leukemi.
I anemi ingår de föredragna termerna för anemi, makrocytär anemi, erytropeni, minskat hematokrit, sänkt hemoglobin, normocytär anemi och minskat antal röda blodkroppar.
I neutropeni ingår de föredragna termerna för febril neutropeni, neutropeni, neutropen infektion, neutropen sepsis och minskat antal neutrofiler.
I trombocytopeni ingår de föredragna termerna för minskat antal trombocyter och trombocytopeni.
I leukopeni ingår de föredragna termerna för leukopeni och minskat antal vita blodkroppar.
I lymfopeni ingår de föredragna termerna för minskat antal lymfocyter och lymfopeni.
I överkänslighet ingår de föredragna termerna för läkemedelsöverkänslighet och överkänslighet.
Förhöjda transaminaser inkluderar de föredragna termerna förhöjt alaninaminotransferas, förhöjt aspartataminotransferas, förhöjda leverenzymer och hypertransaminasemi.
I dysgeusi ingår de föredragna termerna för dysgeusi och smakstörning.
I hosta ingår de föredragna termerna för hosta och produktiv hosta.
I dyspné ingår de föredragna termerna för dyspné och ansträngningsdyspné.
I pneumonit ingår de föredragna termerna för pneumonit, interstitiell lungsjukdom, akut interstitiell pneumonit, eosinofil pneumoni, akut eosinofil pneumoni och hypersensitivitetspneumonit.
I stomatit ingår de föredragna termerna för aftösa sår, munsår och stomatit.
I hudutslag ingår de föredragna termerna för erytem, exfoliativa hudutslag, hudutslag, erytematösa hudutslag, makulära hudutslag, makulo-papulära hudutslag, papulära hudutslag och pruritiska hudutslag.
I dermatit ingår de föredragna termerna för dermatit och allergisk dermatit.
I venös tromboembolism ingår de föredragna termerna för embolism, lungemboli, trombos, djup ventrombos, vena cava-trombos och ventrombos.
b Registrerade laboratoriedata visas under Hematologisk toxicitet och Övriga laboratoriefynd nedan
* Som observerats efter marknadsintroduktionen.
För patienter som fick Lynparza i kombination med durvalumab efter behandling med durvalumab i kombination med platinumbaserad cytostatikabehandling inträffade de flesta biverkningarna med samma eller lägre frekvens (alla grader och CTCAE-grad ≥ 3) jämfört med biverkningarna som listas i tabellen ovan för Lynparza som monoterapi. Biverkningar som rapporterades med högre frekvens hos patienter som fick Lynparza i kombination med durvalumab var trombocytopeni och utslag (mycket vanliga) samt överkänslighet (vanliga). Följande ytterligare biverkning identifierades också:
Tabell 2 Ytterligare biverkning som rapporterats i en klinisk prövning med Lynparza i kombination med durvalumab
Beskrivning av ett urval biverkningar
Hematologisk toxicitet
Anemi och annan hematologisk toxicitet var vanligen låggradig (CTCAE‑grad 1 eller 2), dock förekom rapporter om fall med biverkningar av CTCAE‑grad 3 och högre. Anemi var den vanligaste biverkningen av CTCAE‑grad ≥ 3 som rapporterats i kliniska studier. Mediantiden till den första debuten av anemi var ungefär 4 veckor (cirka 7 veckor för händelser av CTCAE-grad ≥ 3). Anemi hanterades med dosavbrott, dosminskning (se avsnitt 4.2) och där tillämpligt med blodtransfusioner. I klinska studier med tablettformuleringen var förekomsten av anemibiverkningar 35,2 % (CTCAE-grad ≥ 3 14,8 %) och förekomsten av dosavbrott, dosminskning och utsättning på grund av anemi var 16,4 %, 11,1 % respektive 2,1 %. Av de olaparibbehandlade patienterna behövde 15,6 % en eller flera blodtransfusioner. Ett exponering-responssamband mellan olaparib och sänkningar av hemoglobin har påvisats. I kliniska studier med Lynparza var förekomsten av CTCAE‑grad ≥ 2‑förändringar (sänkningar) från baslinjen för hemoglobin 21 %, absoluta neutrofiler 17 %, trombocyter 5 %, lymfocyter 26 % och leukocyter 19 % (alla procenttal är ungefärliga).
Förekomsten av förhöjd medelcellvolym från låg eller normal vid baslinjen till över ULN var cirka 51 %. Nivåerna föreföll återgå till de normala efter behandlingsavbrott och verkade inte ha några kliniska följder.
Provtagning vid baslinjen och därefter månatliga kontroller av fullständig blodstatus rekommenderas under de första 12 behandlingsmånaderna och därefter med jämna mellanrum för kontroll av kliniskt signifikanta förändringar i någon parameter under behandlingstiden, som kan kräva behandlingsavbrott eller dosminskning och/eller ytterligare behandling (se avsnitt 4.2 och 4.4).
Myelodysplastiskt syndrom/akut myeloisk leukemi
MDS/AML är allvarliga biverkningar som var mindre vanligt förekommande i kliniska studier med monoterapi vid den terapeutiska dosen, för alla indikationer (0,9 %). Förekomsten var 0,5 % inklusive biverkningar som rapporterats under långtidsuppföljningen avseende säkerhet (frekvensberäkning baserad på en total säkerhetspopulation på 18 576 patienter som exponerats för minst en dos av oralt olaparib i kliniska studier). Alla patienter hade faktorer som potentiellt kunde bidra till utvecklingen av MDS/AML; tidigare erhållen cytostatikabehandling med platinamedel. Många hade även fått andra DNA‑skadande läkemedel och strålbehandling. Majoriteten av rapporterna gällde bärare av nedärvd mutation i bröstcancergen 1 eller 2 (gBRCA1/2). Förekomsten av MDS/AML-fall var liknande hos gBRCA1m- och gBRCA2m‑patienter (1,6 % jämfört med 1,2 %). Vissa av patienterna hade en sjukdomshistoria med tidigare cancer eller benmärgsdysplasi.
Hos patienter med BRCAm platinumkänslig recidiverande ovarialcancer som hade fått minst två tidigare behandlingslinjer med platinumbaserad cytostatikabehandling och som fick studiebehandling fram till sjukdomsprogression (SOLO2-studien, med olaparib-behandling ≥ 2 år hos 45 % av patienterna), var förekomsten av MDS/AML 8 % hos patienter som fick olaparib och 4 % hos patienter som fick placebo vid en uppföljning på 5 år. I olaparibarmen inträffade 9 av 16 MDS/AML‑fall efter utsättning av olaparib under överlevnadsuppföljningen. Förekomsten av MDS/AML observerades i samband med förlängd total överlevnad i olaparibarmen och sen debut av MDS/AML. Risken för MDS/AML förblir låg i första linjens behandling när underhållsbehandling med olaparib ges efter en linje platinumbaserad cytostatikabehandling under en period av 2 år (1,5 % i SOLO1-studien vid 7 års uppföljning och 1,1 % i PAOLA-1-studien vid 5 års uppföljning). För riskreducering och hantering se avsnitt 4.4.
Erytroblastopeni
Erytroblastopeni (PRCA) har rapporterats när Lynparza använts i kombination med durvalumab. I en klinisk studie av patienter med endometriecancer som behandlades med Lynparza i kombination med durvalumab var incidensen av PRCA 1,6 %. Alla händelser var av CTCAE-grad 3 eller 4. Händelserna var hanterbara efter utsättning av både Lynparza och durvalumab. Majoriteten av händelserna hanterades med blodtransfusion och immunsuppression och var övergående. Det förekom inga händelser med dödlig utgång. För riskreducering och hantering, se avsnitt 4.4.
Venösa tromboemboliska händelser
Hos män som fick olaparib plus abirateron som första linjens behandling för mCRPC (PROpel-studien) var incidensen av venösa tromboemboliska händelser 8 % i olaparib- plus abirateronarmen och 3,3 % i placebo- plus abirateronarmen. Mediantiden för debut i denna studie var 170 dagar (intervall: 12–906 dagar). Majoriteten av patienterna återhämtade sig från händelsen och kunde fortsätta behandlingen med olaparib tillsammans med standardbehandling.
Patienter med signifikant kardiovaskulär sjukdom exkluderades. Se produktinformationen för abirateron för de kardiovaskulära exklusionskriterierna (se avsnitt 4.4).
Övriga laboratoriefynd
I kliniska studier med Lynparza var förekomsten av CTCAE-grad ≥ 2‑förändringar (höjningar) från baslinjen för blodkreatinin cirka 11 %. Data från en dubbelblind placebokontrollerad studie visade en medianökning på upp till 23 % från baslinjen som förblev konsekvent över tid och återgick till baslinjen efter behandlingsavbrott, utan några synbara kliniska följdtillstånd. 90 % av patienterna hade kreatininvärden på CTCAE-grad 0 vid baslinjen och 10 % hade CTCAE‑grad 1 vid baslinjen.
Gastrointestinal toxicitet
Illamående rapporterades i allmänhet mycket tidigt, med debut inom den första månaden med Lynparza-behandling hos de flesta av patienterna. Kräkning rapporterades tidigt, med debut inom de första två månaderna med Lynparza-behandling hos de flesta av patienterna. Både illamående och kräkning rapporterades vara intermittent för de flesta av patienterna och kan hanteras med dosavbrott, dosminskning och/eller behandling med antiemetika. Profylax med antiemetika behövs inte.
I första linjens underhållsbehandling av ovarialcancer upplevde patienterna illamående (77 % på olaparib, 38 % på placebo), kräkningar (40 % på olaparib, 15 % på placebo), diarré (34 % på olaparib, 25 % på placebo), och dyspepsi (17 % på olaparib, 12 % på placebo). Illamående ledde till behandlingsavbrott hos 2,3 % av olaparibbehandlade patienter (CTCAE-grad 2) och 0,8 % av placebobehandlade patienter (CTCAE-grad 1), 0,8 % och 0,4 % av olaparibbehandlade patienter avbröt behandling på grund av låg grad (CTCAE-grad 2) av kräkningar respektive dyspepsi. Inga olaparib- eller placebobehandlade patienter avbröt på grund av diarré. Inga placebobehandlade patienter avbröt på grund av kräkningar eller dyspepsi. Illamående ledde till dosavbrott och dosreduktion hos 14 % respektive 4 % av olaparibbehandlade patienter. Kräkningar ledde till avbrott hos 10 % av olaparibbehandlade patienter, inga olaparibbehandlade patienter upplevde kräkningar som ledde till dosreduktion.
Pediatrisk population
Inga nya säkerhetssignaler observerades i studiepopulationen jämfört med den kända säkerhetsprofilen för Lynparza hos vuxna, baserat på det begränsade antalet pediatriska patienter som behandlades med olaparib i studie D0816C00025 (se avsnitt 5.1).
Andra särskilda populationer
Det finns begränsade säkerhetsdata för icke‑kaukasiska patienter.
Rapportering av misstänkta biverkningar
Det finns begränsad erfarenhet av överdosering med olaparib. Hos ett litet antal patienter som tog en daglig dos på upp till 900 mg olaparib tabletter under två dagar rapporterades inga oväntade biverkningar. Det finns ingen specifik behandling vid överdosering av Lynparza och symtomen på överdosering har inte fastställts. Vid överdosering ska läkaren sätta in allmänna stödjande åtgärder och ge symtomatisk behandling.
I BRCA1/2-defekta in vivo‑modeller där olaparib gavs efter platinabehandling observerades fördröjd tumörprogression och förlängd total överlevnad jämfört med vid enbart platinabehandling, vilket var korrelerat med perioden för underhållsbehandling med olaparib.
Kombinerad antitumöreffekt med NHA
I prekliniska studier i prostatacancermodeller rapporterades en kombinerad antitumöreffekt när PARP-hämmare och nästa generationens hormonella läkemedel administrerades tillsammans. PARP är involverad i en positiv koreglering av signalering av androgenreceptorn (AR), vilket leder till ökad suppression av AR-målgenen vid samtidig hämning av PARP/AR-signalering. I andra prekliniska studier rapporterades att behandling med NHA hämmar transkriptionen av vissa HRR-gener och orsakar därför HRR-defekt och ökad känslighet för PARP-hämmare via icke-genetiska mekanismer.
Detektion av BRCA‑mutationer
Ett gentest ska utföras av ett erfaret laboratorium som använder validerade testmetoder. Lokal eller central testning av blod- eller tumörprover för germline och/eller somatiska BRCA1/2- mutationer har använts i olika studier. DNA från ett vävnads- eller blodprov har testats i de flesta av studierna, där test av ctDNA användes för explorativa syften. Beroende på använt test och internationell klassificeringskonsensus har BRCA1/2-mutationer klassificerats som skadliga/misstänkt skadliga eller patogena/sannolikt patogena.
Positiv status för defekt homolog rekombination (HRD) kan definieras genom detektion av BRCA1/2‑mutation klassificerad som skadlig/misstänkt skadlig eller patogen/sannolikt patogen. Detektion av dessa mutationer kan kombineras med positiv HRD‑poäng (nedan) för att fastställa positiv HRD-status.
Detektion av genomisk instabilitet
HRD‑associerade genomiska förändringar som har undersökts i PAOLA‑1 inkluderar genomomfattande förlust av heterozygositet, telomerisk allelisk obalans och storskaliga övergångar (large-scale transitions) som är kontinuerliga mått med fördefinierade kriterier och poäng. Sammansatt poäng för genomisk instabilitet (GIS [genomic instability score], även kallad HRD‑poäng) bestäms när de kombinerade måtten och respektive poäng används för att utvärdera omfattningen av specifika genomiska avvikelser accumulerade i tumörceller. Lägre poäng indikerar lägre sannolikhet för HRD hos tumörceller och högre poäng indikerar högre sannolikhet för HRD hos tumörceller vid tiden för insamling av provet i förhållande till exponering för DNA‑skadligt medel. Validerade brytvärden ska användas för att fastställa positiv GIS-status.
Positiv HRD-status kan definieras genom ett sammansatt GIS‑poäng för HRD‑associerade genomiska förändringar testat av ett erfaret laboratorium med användning av ett validerat test.
Klinisk effekt och säkerhet
Första linjens underhållsbehandling av BRCA-muterad ovarialcancer
SOLO1-studien
Säkerhet och effekt av olaparib som underhållsbehandling studerades hos patienter med nydiagnosticerad avancerad (FIGO stadie III-IV) höggradig serös eller endometroid BRCA1/2-muterad (BRCA1/2m) ovarialcancer efter fullföljd platinabaserad cytostatikabehandling, i en randomiserad, dubbelblind, placebokontrollerad, multicenter fas III‑prövning. I denna studie randomiserades 391 patienter 2:1 att få antingen Lynparza (300 mg [2 x 150 mg tabletter] två gånger dagligen) eller placebo. Patienterna stratifierades med avseende på respons på första linjens platinainnehållande cytostatikabehandling; komplett respons (CR) eller partiell respons (PR). Behandlingen fortsatte till radiologisk progression av den underliggande sjukdomen, oacceptabel toxicitet eller i upp till två år. För patienter som kvarstod i fullt kliniskt respons (d.v.s. inga radiologiska sjukdomsfynd) var maximal behandlingstid två år; emellertid kunde patienter med bevis på stabil sjukdom (d.v.s. inga bevis för sjukdomsprogression) fortsätta att få behandling med Lynparza längre än två år.
Patienter med nedärvda eller somatiska BRCA1/2-mutationer identifierades prospektivt antingen genom testning av blod med ett lokalt test (n = 208) eller centralt test (n = 181) eller genom test av ett tumörprov med ett lokalt test (n = 2). Med central testning, identifierades skadliga eller misstänkt skadliga mutationer hos 95,3 % (365/383) respektive 4,7 % (18/383) av patienterna. Stora rearrangemang i BRAC1/2-generna upptäcktes hos 5,5 % (21/383) av de randomiserade patienterna. gBRCAm-status hos patienter som inkluderades genom lokal testning bekräftades retrospektivt genom central testning. Retrospektiv testning av patienter med tillgängliga tumörprov utfördes med central testning och gav fastställda resultat hos 341 patienter, av vilka 95 % hade lämplig mutation (känd [n = 47] eller sannolikt patogen [n = 277]) och 2 gBRCAwt patienter bekräftades endast ha sBRCAm. I SOLO1 hade 389 patienter germline BRCA1/2m och 2 hade somatisk BRCA1/2m.
Demografiska- och baslinjekaraktäristika var generellt välbalanserade mellan olaparib- och placebobehandlingsarmarna. Medianåldern var 53 år i båda armarna. Ovarialcancer var primärtumör hos 85 % av patienterna. Den vanligaste histologiska typen var serös (96 %), endometroid histologi rapporterades hos 2 % av patienterna. De flesta patienterna hade ECOG funktionsstatus 0 (78 %), det finns inga data för patienter med funktionsstatus 2 till 4. Sextiotre procent (63 %) av patienterna hade genomgått cancerreducerande kirurgi och av dessa hade majoriteten (75 %) ingen makroskopisk återstående sjukdom. Cancerreducerande intervallkirurgi utfördes i 35 % av patienterna och av dessa hade 82 % ingen återstående makroskopisk sjukdom rapporterad. Sju patienter, alla i stadie IV, fick ingen cancerreducerande kirurgi. Alla patienter hade fått första linjens platinabaserad behandling. Det fanns inga sjukdomsbevis vid studiestart (CR) definierade av prövaren som avsaknad av radiologiska bevis för sjukdom och cancerantigen 125 (CA-125) inom normalintervallet, hos 73 % och 77 % av patienterna i olaparib- respektive placeboarmarna. PR, definierad som förekomst av mätbara eller ej mätbara lesioner vid baslinjen eller förhöjda CA‑125, rapporterades hos 27 % och 23 % av patienterna i olaparib- respektive placeboarmen. Nittiotre procent (93 %) av patienterna randomiserades inom 8 veckor från deras sista dos palatinabaserad cytostatikabehandling. Patienter som behandlats med bevacizumab exkluderades från studien, därför saknas säkerhets- och effektdata för olaparibpatienter som tidigare fått bevacizumab. Det finns mycket begränsade data för patienter med somatisk BRCA-mutation.
Primärt effektmått var progressionsfri överlevnad (PFS) definierad som tid från randomisering till progression bedömt av prövaren genom användning av modifierad Response Evaluation Criteria in Solid Tumors (RECIST) 1.1 eller död. Sekundärt effektmått omfattade tiden från randomisering till andra progression eller död (PFS2), total överlevnad (OS), tid från randomisering till behandlingsavbrott eller död (TDT), tid från randomisering till första efterföljande cancerbehandling eller död (TFST) och hälsorelaterad livskvalitet (HRQoL). Patienterna genomgick tumörbedömningar vid baslinjen och var tolfte vecka under 3 år och därefter var 24:e vecka relaterat till randomiseringsdatum fram till objektiv radiologisk sjukdomsprogression.
Studien visade en kliniskt relevant och statistiskt signifikant förbättring i prövarbedömd PFS för olaparib jämfört med placebo. Prövarens bedömning av PFS stöddes av en blindad oberoende central radiologisk (blinded independent central radiological, BICR) granskning av PFS. En deskriptiv analys vid sju år efter randomisering av den sista patienten visade en kliniskt betydande nytta för total överlevnad (OS) som numeriskt gynnade olaparibarmen. Effektresultat presenteras i tabell 3 och figur 1 och 2.
Tabell 3 Effektresultat för nydiagnosticerade patienter med BRCA1/2m avancerad ovarialcancer i SOLO1
a Baserad på Kaplan-Meier-beräkningar, andel patienter som var progressionsfria vid 24 och 36 månader var 74 % och 60 % för olaparib jämfört med 35 % och 27 % för placebo; medianuppföljningstiden var 41 månader för både olaparib- och placeboarmarna.
b Ett värde på < 1 gynnar olaparib. Analysen utfördes med en Cox proportionell riskmodell inklusive respons på tidigare cytostatikabehandling med platina (CR eller PR) som en kovariat.
c Av de 97 patienterna i placeboarmen som erhöll efterföljande behandling fick 58 (60 %) en PARP-inhibitor.
d Baserad på Kaplan-Meier-beräkningar var andelen patienter som var vid liv 84 månader 67 % för olaparibarmen jämfört med 47 % för placebo.
bd Två gånger dagligen; NR = ej uppnått; KI = konfidensintervall; PFS = progressionsfri överlevnad; PFS2 = tid till andra progression eller död; OS = total överlevnad; TFST = tid från randomisering till första efterföljande anticancerbehandling eller död.
Figur 1 SOLO1: Kaplan‑Meier-kurva av PFS hos nydiagnosticerade patienter med BRCA1/2m avancerad ovarialcancer (51 % mognad ‑ prövarens bedömning)
Figur 2 SOLO1: Kaplan‑Meier-kurva av OS hos nydiagnosticerade patienter with BRCA1/2m avancerad ovarialcancer (38 % mognad)
Konsekventa resultat observerades i undergrupperna av patienter per sjukdomsbevis vid studiestart. Patienter med CR definierad av prövaren hade riskkvot 0,34 (95 % KI 0,24–0,47); median PFS uppnåddes inte för olaparib jämfört med 15,3 månader för placebo. Vid 24 respektive 36 månader, kvarstod 68 % respektive 45 % av patienterna i CR i olaparibarmen, och 34 % respektive 22 % av patienterna i placeboarmen. Patienterna med PR vid studiestart hade PFS riskkvot 0,31 (95 % KI 0,18, 0,52; median PFS 30,9 månader för olaparib jämfört med 8,4 månader för placebo). Patienter med PR vid studiestart nådde antingen CR (15 % i olaparibarmen och 4 % i placeboarmen vid 24 månader, kvarstod i CR vid 36 månader) eller hade fortsatt PR/stabil sjukdom (43 % i olaparibarmen och 15 % i placeboarmen vid 24 månader; 17 % i olaparibarmen och 15 % i placeboarmen vid 36 månader). Andelen patienter som progredierade inom 6 månader efter den sista dosen platinabaserad cytostatikabehandling var 3,5 % för olaparib och 8,4 % för placebo.
Underhållsbehandling av platinumkänslig recidiverande (PSR) ovarialcancer
SOLO2‑studien
Säkerhet och effekt av olaparib som underhållsbehandling vid behandling av platinumkänslig recidiverande (PSR) ovarialcancer, tubarcancer eller primär peritonealcancer, studerades i en randomiserad, dubbelblind placebokontrollerad fas III‑prövning med PSR och BRCA1/2-muterad sjukdom. I studien jämfördes effekten av underhållsbehandling med Lynparza [300 mg (2 x 150 mg tabletter) två gånger dagligen] fram till progression med placebobehandling hos 295 patienter med höggradig serös eller endometrioid PSR ovarialcancer (randomisering 2:1: 196 olaparib och 99 placebo) vilka var i respons (CR eller PR) efter avslutad platinainnehållande cytostatikabehandling.
Patienter med två eller flera platina-innehållande regimer och vars sjukdom återkommit > 6 månader efter den näst sista platinabaserade cytostatikabehandlingen ingick i studien. Patienter som tidigare behandlats med olaparib eller annan PARP‑hämmare ingick inte i studien. Patienter kunde tidigare ha fått bevacizumab, förutom i den behandling som omedelbart föregick randomisering.
Alla patienter hade bekräftad gBRCA1/2m-mutation vid baslinjen. Patienter med BRCA1/2-mutationer identifierades antingen genom testning av blod genom ett lokalt test eller central testning genom Myriad eller genom lokal testning av tumörvävnad. Stora rearrangemang i BRCA1/2‑generna detekterades hos 4,7 % (14/295) av de randomiserade patienterna.
Demografi- och baslinjekarakteristika var generellt sett välbalanserade mellan olaparib- och placeboarmarna. Medianåldern var 56 år i båda armarna. Den primära tumören var lokaliserad till äggstockarna hos > 80 % av patienterna. Den vanligaste histologiska typen var serös (> 90 %), endometrioid histologi rapporterades hos 6 % av patienterna. I olaparibarmen hade 55 % av patienterna endast fått 2 tidigare behandlingslinjer och 45 % hade fått 3 eller fler tidigare behandlingslinjer. I placeboarmen hade 61 % av patienterna endast fått 2 tidigare behandlingslinjer och 39 % hade fått 3 eller fler tidigare behandlingslinjer. De flesta patienterna hade ett ECOG-funktionsstatus på 0 (81 %), det finns inga data för patienter med funktionsstatus 2 till 4. Det platinafria intervallet var > 12 månader hos 60 % och > 6‑12 månader hos 40 % av patienterna. Svaret på tidigare platinakemoterapi var fullständigt hos 47 % och partiellt hos 53 % av patienterna. I olaparib- och placeboarmarna hade 17 % respektive 20 % av patienterna tidigare fått bevacizumab.
Primärt effektmått var PFS enligt prövarens bedömning genom användning av RECIST 1.1. Sekundära effektmått innefattade PFS2; OS, TDT, TFST, TSST; samt HRQoL.
Studien uppnådde det primära syftet genom att påvisa statistiskt signifikant förbättring av prövarbedömd PFS för olaparib jämfört med placebo med en riskkvot på 0,30 (95 % KI 0,22‑0,41; p < 0,0001; median 19,1 månader olaparib jämfört med 5,5 månader placebo). Prövarnas bedömning av PFS stämde överens med en blindad, oberoende, central radiologisk granskning av PFS (HR 0,25; 95 % KI 0,18‑0,35; p < 0,0001; median 30,2 månader för olaparib och 5,5 månader för placebo). Vid 2 år var 43 % olaparibbehandlade patienter fortfarande fria från progression jämfört med endast 15 % placebobehandlade patienter.
En sammanfattning av de primära objektiva resultaten för patienter med gBRCA1/2m PSR ovarialcancer i SOLO2 redovisas i tabell 4 och figur 3.
Tabell 4 Sammanfattning av de primära objektiva resultaten för patienter med gBRCA1/2m PSR ovarialcancer i SOLO2
a HR= riskkvot (Hazard Ratio). Ett värde < 1 innebär fördel för olaparib. Analysen utfördes med Cox proportionella riskmodell inklusive respons på tidigare platinakemoterapi (CR eller PR) och tid till sjukdomsprogression (> 6‑12 månader och > 12 månader) i den näst senaste platinabaserade kemoterapin, som kovariater.
bd =två gånger dagligen; PFS=progressionsfri överlevnad; KI=konfidensintervall.
Figur 3 SOLO2: Kaplan-Meier-kurva över PFS hos patienter med gBRCA1/2m PSR ovarialcancer (63 % mognad - prövarens bedömning)
Vid den slutliga analysen av OS (61 % mognad) var HR 0,74 (95 % KI 0,54-1,00; p=0,0537; median 51,7 månader för olaparib jämfört med 38,8 månader för placebo) vilket inte nådde statistisk signifikans. De sekundära effektmåtten TFST och PFS2 påvisade en persistent och statistiskt signifikant förbättring för olaparib jämfört med placebo. Resultat för OS, TFST och PFS2 presenteras i tabell 5 och figur 4.
Tabell 5 Sammanfattning av viktiga sekundära objektiva resultat för patienter med gBRCA1/2m PSR ovarialcancer i SOLO2
* Ej kontrollerat avseende multiplicitet
a HR=riskkvot (Hazard Ratio). Ett värde < 1 innebär fördel för olaparib. Analysen utfördes med Cox proportionella riskmodell inklusive respons på tidigare platinakemoterapi (CR eller PR) och tid till sjukdomsprogression (> 6‑12 månader och > 12 månader) i den näst senaste platinabaserade kemoterapin, som kovariater.
bd Två gånger dagligen; NR ej uppnått; KI konfidensintervall; PFS2 tid från randomisering till andra progression eller död; TFST Tid från randomisering till start av första påföljande behandling eller död.
Figur 4 SOLO2: Kaplan-Meier-kurva över OS hos patienter med gBRCA1/2m PSR ovarialcancer (61 % mognad)
Bland de patienter som gick in i studien med mätbar sjukdom (mållesioner vid baslinjen), uppnåddes en objektiv responsfrekvens på 41 % i Lynparza-armen jämfört med 17 % på placebo. Av patienter som behandlades med Lynparza, och som gick in i studien med evidens för sjukdom (mål- eller icke mållesioner vid baslinjen), fick 15,0 % komplett respons jämfört med 9,1 % av patienterna på placebo.
Vid tiden för analysen av PFS var medianvärdet för behandlingsvaraktigheten 19,4 månader för olaparib och 5,6 månader för placebo. Majoriteten av patienterna förblev på en olaparib-dos på 300 mg två gånger dagligen. Förekomsten av dosavbrott, dosminskning, utsättning på grund av en biverkning var 45,1 %, 25,1 % respektive 10,8 %. Dosavbrott uppträdde oftast under de första 3 månaderna och dosminskningar under de första 3‑6 månaderna av behandlingen. De vanligaste biverkningarna som ledde till dosavbrott eller dosminskning var anemi, illamående och kräkningar.
Patientrapporterade resultatdata (PRO) visar inte på någon skillnad för de olaparibbehandlade patienterna jämfört med placebo bedömt som förändringen från baslinjen i TOI i FACT‑O.
Study 19 (D0810C00019)
Säkerhet och effekt av olaparib som underhållsbehandling vid behandling av platinumkänslig recidiverande (PSR) ovarialcancer, inklusive tubarcancer eller primär peritonealcancer, efter två eller fler behandlingsregimer med platinumbaserad cytostatikabehandling, studerades i en randomiserad, dubbelblind placebokontrollerad fas II‑prövning (Study 19). I studien jämfördes effekten av underhållsbehandling med Lynparza som togs fram till progression med placebobehandling hos 265 (136 olaparib och 129 placebo) PSR höggradig serös ovarialcancer-patienter som var i respons (CR eller PR) efter slutförande av platinainnehållande kemoterapi. Det primära effektmåttet var PFS baserat på prövarens bedömning med användning av RECIST 1.0. Sekundära effektmått innefattade OS, sjukdomskontrollfrekvens (DCR) definierat som bekräftad CR/PR + SD (stabil sjukdom), HRQoL och sjukdomsrelaterade symtom. Dessutom gjordes explorativa analyser av TFST och TSST.
Patienter vars sjukdom återkommit > 6 månader efter den näst sista platinabaserade kemoterapin ingick i studien. Inskrivningen krävde inte evidens på BRCA1/2‑mutation (BRCA-mutationsstatus bedömdes retrospektivt för vissa patienter). Patienter som tidigare behandlats med olaparib eller annan PARP‑hämmare ingick inte. Patienter kunde tidigare ha fått bevacizumab, förutom i den behandling som omedelbart föregick randomisering. Förnyad behandling med olaparib var inte tillåtet efter progression hos patienter behandlade med olaparib.
Patienter med BRCA1/2-mutationer identifierades antingen genom testning av blod genom ett lokalt test eller central testning genom Myriad eller genom testning av ett tumörprov utfört av Foundation Medicine. Stora rearrangemang i BRCA1/2-generna detekterades hos 7,4 % (10/136) av de randomiserade patienterna.
Demografi- och baslinjekarakteristika var generellt sett välbalanserade mellan olaparib- och placeboarmarna. Medianåldern var 59 år i båda armarna. Ovarialcancer var den primära tumören hos 86 % av patienterna. I olaparibarmen hade 44 % av patienterna endast fått 2 tidigare behandlingslinjer och 56 % hade fått 3 eller fler tidigare behandlingslinjer. I placeboarmen hade 49 % av patienterna endast fått 2 tidigare behandlingslinjer och 51 % hade fått 3 eller fler tidigare behandlingslinjer. De flesta patienterna hade ett ECOG-funktionsstatus på 0 (77 %), det finns inga data för patienter med funktionsstatus 2 till 4. Det platinafria intervallet var > 12 månader hos 60 % och 6-12 månader hos 40 % av patienterna. Svaret på tidigare platinakemoterapi var fullständigt hos 45 % och partiellt hos 55 % av patienterna. I olaparib- och placeboarmarna hade 6 % respektive 5 % av patienterna tidigare fått bevacizumab.
Studien uppfyllde det primära syftet genom att påvisa en statistiskt signifikant förbättring av PFS för olaparib jämfört med placebo i den totala populationen med en riskkvot (HR) på 0,35 (95 % KI 0,25‑0,49; p < 0,00001; median 8,4 månader olaparib jämfört med 4,8 månader placebo). Vid den slutliga analysen (data-brytvärde [DCO] 9 maj 2016) för OS vid 79 % mognad var riskkvoten vid jämförelse av olaparib med placebo 0,73 (95 % KI 0,55‑0,95; p=0,02138 (uppfyllde inte förspecificerad signifikansnivå på < 0,0095); median 29,8 månader olaparib jämfört med 27,8 månader placebo). I den olaparibbehandlade gruppen kvarstod 23,5 % (n=32/136) av patienterna på behandling i ≥ 2 år jämfört med 3,9 % (n=5/128) av patienterna på placebo. Även om antalet patienter var begränsat, stod 13,2 % (n=18/136) av patienterna i den olaparibbehandlade gruppen kvar på behandling i ≥ 5 år jämfört med 0,8 % (n=1/128) av patienterna i placebogruppen.
Förplanerad subgruppsanalys identifierade patienter med BRCA1/2-muterad ovarialcancer (n=136, 51,3 %; inklusive 20 patienter som identifierades med en somatisk BRCA1/2-mutation i tumören) som den subgrupp med största kliniska nyttan av underhållsmonoterapi med olaparib. En fördel observerades också hos patienter med BRCA1/2-vildtyp/varianter av oklar signifikans (BRCA1/2 wt/VUS), dock i mindre omfattning. Det fanns ingen strategi för multipel testning planerad för subgruppsanalyserna.
En sammanfattning av de primära objektiva resultaten för patienter med BRCA1/2-muterad och BRCA1/2 wt/VUS-PSR ovarialcancer i Study 19 redovisas i tabell 6 och för alla patienter i Study 19 i tabell 6 och figur 5.
Tabell 6 Sammanfattning av primära objektiva resultat för alla patienter och patienter med BRCA1/2-muterad och BRCA1/2 wt/VUS PSR ovarialcancer i Study 19
a Alla patienter består av följande subgrupper: BRCA1/2-muterad, BRCA1/2 wt/VUS och BRCA1/2 okänd status (11 patienter med okänd status visas inte som en separat subgrupp i tabellen).
b HR= riskkvot (Hazard Ratio). Ett värde < 1 innebär fördel för olaparib. Analysen utfördes med Cox proportionell riskmodell med faktorer för behandling, etniskt ursprung, platinakänslighet och respons på den sista platinabehandlingen.
PFS = progressionsfri överlevnad; DCO = data-brytvärde; KI = konfidensintervall; NR = inte uppnått.
Figur 5 Study 19: Kaplan-Meier-kurva över PFS i FAS (58 % mognad - prövarens bedömning) DCO 30 juni 2010
En sammanfattning av viktiga sekundära objektiva resultat för patienter med BRCA1/2-muterad och BRCA1/2 wt/VUS-PSR ovarialcancer i Study 19 redovisas i tabell 7 och för alla patienter i Study 19 i tabell 7 och figur 6.
Tabell 7 Sammanfattning av viktiga sekundära objektiva resultat för alla patienter och patienter med BRCA1/2-muterad och BRCA1/2 wt/VUS PSR ovarialcancer i Study 19
* Det fanns ingen strategi planerad för multipel testning för subgruppsanalyser eller för alla patienters TFST.
a Alla patienter består av följande subgrupper: BRCA1/2-muterad, BRCA1/2 wt/VUS och BRCA1/2 okänd status (11 patienter med okänd status visas inte som en separat subgrupp i tabellen).
b HR= riskkvot (Hazard Ratio). Ett värde < 1 innebär fördel för olaparib. Analysen utfördes med Cox proportionell riskmodell med faktorer för behandling, etniskt ursprung, platinakänslighet och respons på den sista platinabehandlingen.
c Cirka en fjärdedel av de placebobehandlade patienterna i subgruppen med BRCA-mutation (14/62; 22,6 %) fick därefter en PARP-hämmare.
OS= total överlevnad; DCO=databrytvärde; KI=konfidensintervall; TFST=tid från första randomisering till start av första påföljande behandling eller död.
Figur 6 Study 19: Kaplan-Meier-kurva över OS i FAS (79 % mognad) DCO 09 maj 2016
Vid tiden för analysen av PFS var medianvärdet för behandlingsvaraktighet 8 månader för olaparib och 4 månader för placebo. Majoriteten av patienterna förblev på en olaparib-dos. Förekomsten av dosavbrott, dosminskningar och utsättning på grund av en biverkning var 34,6 %, 25,7 % respektive 5,9 %. Dosavbrott och dosminskningar uppträdde oftast under de första 3 månaderna av behandlingen. De vanligaste biverkningarna som ledde till dosavbrott eller dosminskning var illamående, anemi, kräkningar, neutropeni och trötthet. Förekomsten av anemibiverkningar var 22,8 % (CTCAE-grad ≥ 3 7,4 %).
Patientrapporterade resultatdata (PRO) visar inte på någon skillnad för de olaparibbehandlade patienterna jämfört med placebo uppmätt genom förbättrings- och försämringsfrekvenser i TOI och total poäng i FACT-O.
OPINION-studien
OPINION, en fas IIIb enarmad, multicenterstudie, undersökte olaparib som underhållsbehandling för patienter med PSR ovarial-, tubar- eller primär peritonealcancer efter två eller flera behandlingslinjer med platinumbaserad cytostatikabehandling och som inte hade en känd skadlig eller misstänkt skadlig gBRCA‑mutation. Patienter vars sjukdom var i respons (CR eller PR) efter avslutad platinumbaserad cytostatikabehandling inkluderades. Totalt 279 patienter inkluderades och fick olaparibbehandling i denna studie tills sjukdomsprogression eller oacceptabel toxicitet. Baserat på central testning bekräftades 90,7 % med en icke-gBRCAm status, dessutom identifierades 9,7 % som sBRCAm.
Det primära effektmåttet var prövarbedömd PFS enligt modifierad RECIST v1.1. Sekundära effektmått inkluderade OS.
Underhållsbehandling med olaparib visade klinisk aktivitet hos patienter med icke-gBRCAm PSR ovarialcancer. Vid den slutliga analysen av total överlevnad (DCO 17 september 2021) var OS-data 52,3 % mogna.
En sammanfattning av de primära objektiva PFS-resultaten och de sekundära objektiva OS-resultaten för patienter med icke-gBRCAm PSR ovarialcancer i OPINION redovisas i tabell 8.
Tabell 8 Sammanfattning av viktiga objektiva resultat för icke-gBRCAm patienter med PSR ovarialcancer i OPINION
a Beräknad med Kaplan-Meier metoden.Konfidensintervall för median PFS och OS erhölls baserat på Brookmeyer Crowley metoden.bd=två gånger dagligen; PFS=progressionsfri överlevnad; OS=total överlevnad; DCO=datum för datainsamling (data cut off); KI=konfidensintervall.
Första linjens underhållsbehandling av HRD‑positiv avancerad ovarialcancer
PAOLA‑1‑studien
PAOLA‑1 var en randomiserad, dubbelblind, placebokontrollerad, multicenter fas III‑studie som jämförde effekt och säkerhet av Lynparza (300 mg [2 x 150 mg] två gånger dagligen) i kombination med bevacizumab (15 mg/kg kroppsvikt en gång var tredje vecka som en intravenös infusion) mot placebo plus bevacizumab som underhållsbehandling av avancerad (FIGO stadie III och IV) höggradig epitelial ovarial-, tubar- eller primär peritonealcancer efter avslutad första linjens platinumbaserad cytostatikabehandling och bevacizumab. Behandling med bevacizumab pågick i totalt upp till 15 månader/22 cykler, inklusive perioden i kombination med cytostatikabehandling och som underhållsbehandling.
I studien randomiserades 806 patienter (2:1 randomisering: 537 olaparib/bevacizumab: 269 placebo/bevacizumab) utan tecken på sjukdom (no evidence of disease, NED) på grund av fullständig kirurgisk resektion, eller med komplett respons (CR) eller partiell respons (PR) efter avslutad första linjens platinuminnehållande cytostatikabehandling och bevacizumab. Patienterna hade genomgått minst 4 och högst 9 cykler. Majoriteten (63 %) hade fått 6 cykler med första linjens platinum-taxan‑baserad cytostatikabehandling, inklusive minst 2 cykler med bevacizumab i kombination med de 3 sista cyklerna av cytostatikabehandling. Medianantal bevacizumab‑cykler före randomisering var 5.
Patienterna stratifierades med avseende på respons på första linjens behandling (tidpunkt och resultat av cancerreducerande kirurgi och svar på platinumbaserad cytostatikabehandling) och tBRCAm‑status, fastställd genom prospektiv lokal testning. Patienterna fortsatte behandling med bevacizumab som underhållsbehandling och började behandling med Lynparza efter minst 3 veckor och upp till högst 9 veckor efter avslutad sista dos cytostatikabehandling. Behandling med Lynparza fortsatte tills den underliggande sjukdomen progredierar, oacceptabel toxicitet eller i upp till 2 år. Patienter som enligt behandlande läkares bedömning kunde dra ytterligare nytta av fortsatt behandling, kunde behandlas längre än 2 år.
Demografi- och baslinjekarakteristika var balanserade mellan de båda armarna i ITT (intent to treat)‑populationen och i subgrupperna definierade av biomarkörer för tBRCAm (prospektivt och retrospektivt fastställda), GIS‑ och HRD‑status (definierad i denna studie som en kombination av båda biomarkörer). Medianåldern för alla patienter var 61 år. De flesta patienter i båda armarna hade ett ECOG‑funktionsstatus på 0 (70 %). Ovarialcancer var primärtumör hos 86 % av patienterna. Den vanligaste histologiska typen var serös (96 %) och endometroid histologi rapporterades hos 2 % av patienterna. De flesta patienter diagnostiserades i FIGO stadie IIIC (63 %). Alla patienter hade fått första linjens platinumbaserad behandling och bevacizumab. Patienterna begränsades inte av det kirurgiska utfallet; sextiotre procent (63 %) av patienterna hade komplett cytoreduktion efter initial eller cancerreducerande intervallkirurgi och 37 % hade makroskopisk resterande sjukdom. Trettio procent (30 %) av patienterna i båda armarna hade tBRCAm vid screening. Demografi- och baslinjekarakteristika för subgrupperna för biomarkörer överensstämde med dem för ITT‑populationen. I den HRD‑positiva subgruppen hade 65 % av patienterna komplett cytoreduktion och 35 % av patienterna hade makroskopisk resterande sjukdom. I hela den inkluderade patientpopulationen hade 30 % av patienterna i båda armarna tBRCAm (skadlig/patogen mutation) vid screening genom lokal testning och för 4 % av patienterna var BRCAm‑statusen okänd. Retrospektiva analyser genomfördes på tillgängliga kliniska prover för 97 % av patienterna för att bekräfta tBRCAm‑status och undersöka poäng för genomisk instabilitet som beskrivet ovan. Bland icke-tBRCAm-patienter hade 29 % (19 % i den totala populationen) positiv GIS fördefinierad i denna studie som sammansatt poäng ≥ 42. När tBRCAm‑status och positiv GIS kombinerades representerade patienter med HRD-positiv, HRD‑negativ respektive okänd HRD‑status i sina tumörer 48 %, 34 % respektive 18 % av den totala populationen.
Det primära effektmåttet var progressionsfri överlevnad (PFS) definierad som tid från randomisering till progression bedömt av prövaren genom användning av modifierad Response Evaluation Criteria in Solid Tumors (RECIST) 1.1 eller död. Sekundärt effektmått omfattade tiden från randomisering till andra progression eller död (PFS2), total överlevnad (OS), tid från randomisering till första efterföljande cancerbehandling eller död (TFST) och hälsorelaterad livskvalitet (HRQoL). Patienterna genomgick tumörbedömningar vid baslinjen och var 24:e vecka (CT/MRI vid vecka 12 om klinisk eller CA 125 progression) i upp till 42 månader eller till objektiv radiologisk sjukdomsprogression.
Studien uppnådde det primära effektmåttet i ITT-populationen genom att påvisa en statistiskt signifikant förbättring av prövarbedömd PFS för olaparib/bevacizumab jämfört med placebo/bevacizumab (HR: 0,59, 95 % KI 0,49‑0,72, p < 0,0001 med en mediantid på 22,1 månader för olaparib/bevacizumab jämfört med 16,6 månader för placebo/bevacizumab). Detta överensstämde med en BICR-utvärdering av PFS. Patienter definierade som positiva för biomarkörer (tBRCAm, GIS, positiv HRD-status definierad som tBRCAm‑ och/eller GIS‑positiv) erhöll dock större nytta.
Slutlig analys av PFS2 (DCO 22 mars 2020, 53 % mognad) i den totala populationen var statistiskt signifikant (HR 0,78, 95 % KI 0,64‑0,95, p=0,0125 med en median på 36,5 månader för olaparib/bevacizumab jämfört med 32,6 månader för placebo/bevacizumab).
Vid den slutliga analysen av OS (DCO 22 mars 2022) hos patienterna med positiv HRD-status (tBRCAm och/eller GIS) konstaterades en numerisk förbättring av OS i olaparib/bevacizumab-armen jämfört med placebo/bevacizumab-armen (se tabell 9).
I den randomiserade subgruppen med tBRCAm (241/806 patienter) var median PFS 37,2 månader i olaparib/bevacizumab‑armen jämfört med 22,0 månader i placebo/bevacizumab‑armen (HR=0,34, 95 % KI 0,23, 0,51). Vid den slutliga analysen av total överlevnad (DCO 22 mars 2022) visar den randomiserade subgruppen med tBRCAm en numerisk minskning av risk för död med olaparib/bevacizumab jämfört med placebo/bevacizumab (HR 0,63; 95 % KI 0,41, 0,97).
Effektresultat från andra analyser från subgrupper för biomarkörer, baserat på retrospektivt analyserade tumörprover, redovisas i tabell 9.
Tabell 9 Sammanfattning av de viktigaste effektresultaten för patienter med positiv status för defekt homolog rekombination (HRD) definierad av antingen tBRCAm och/eller GIS med avancerad ovarialcancer i PAOLA-1
* Förplanerad subgrupp
a Baserad på Kaplan-Meier-beräkningar, andel patienter som var progressionsfria vid 12 och 24 månader var 89 % och 66 % för olaparib/bevacizumab jämfört med 71 % och 29 % för placebo/bevacizumab.
b Ett värde på < 1 gynnar olaparib. Analysen utfördes med en Cox proportionell riskmodell stratifierad med avseende på respons på första linjens behandling vid screening samt tBRCA‑status vid screening.
c tBRCAm‑status genom Myriad
d HRD-positiv undantaget tBRCAm definierades som poäng för genomisk instabilitet (GIS) genom Myriad ≥ 42 (förspecificerat brytvärde)
KI Konfidensintervall; HR riskkvot (Hazard Ratio); NR ej uppnått
Figur 7 PAOLA-1: Kaplan-Meier‑kurva över PFS hos patienter avancerad ovarialcancer definierad som HRD‑positiv i PAOLA-1 (46 % mognad - prövarbedömd)
Figur 8 PAOLA-1: Kaplan-Meier-kurva, slutlig total överlevnad per positiv HRD-status (inklusive tBRCAm) (DCO 22 mars 2022)
Adjuvant behandling av nedärvd BRCA-muterad tidig bröstcancer med hög risk
OlympiA
Säkerheten och effekten av olaparib som adjuvant behandling hos patienter med nedärvda BRCA1/2-mutationer och HER2-negativ tidig bröstcancer med hög risk som genomgått definitiv lokal behandling och neoadjuvant eller adjuvant kemoterapi studerades i en randomiserad, dubbelblind, placebokontrollerad fas III multicenterstudie med parallellgrupper (OlympiA). Kriteriet var att patienterna hade genomgått minst 6 cykler av neoadjuvant eller adjuvant kemoterapi innehållande antracykliner, taxaner eller båda. Tidigare platinabehandling för tidigare cancer (t.ex. ovarial cancer) eller som adjuvant eller neoadjuvant behandling för bröstcancer var tillåten. Patienter med tidig bröstcancer med hög risk definierades enligt följande:
patienter som tidigare fått neoadjuvant kemoterapi: patienter med antingen trippelnegativ bröstcancer (TNBC) eller hormonreceptorpositiv bröstcancer måste ha haft kvarvarande invasiv cancer i bröstet och/eller de borttagna lymfnoderna (patologisk icke-komplett respons, non-pathologic complete response) vid tidpunkten för operation. Patienter med hormonreceptorpositiv bröstcancer måste också ha haft ett CPS- och EG-poäng ≥ 3 baserat på kliniskt och patologiskt stadium före och efter behandlingen (CPS), östrogenreceptorstatus (ER) och histologisk grad såsom visas i tabell 10.
Tabell 10 Kriterier för poäng för stadium av tidig bröstcancer, receptorstatus och grad för inklusion i studien*
*Ett totalpoäng ≥ 3 krävs för patienter med hormonreceptorpositiv bröstcancer
patienter som tidigare fått adjuvant kemoterapi: patienter med trippelnegativ bröstcancer (TNBC) måste ha haft nodpositiv sjukdom eller nodnegativ sjukdom med en primärtumör ≥ 2 cm, HR-positiva, HER2-negativa patienter måste ha haft ≥ 4 patologiskt bekräftade positiva lymfnoder.
Patienterna randomiserades (1:1) till antingen olaparib 300 mg (2 x 150 mg tabletter) två gånger dagligen (n=921) eller placebo (n=915). Randomiseringen stratifierades med avseende på hormonreceptorstatus (HR-positiv/HER2-negativ vs. TNBC), tidigare neoadjuvant vs. adjuvant kemoterapi och tidigare platinabehandling för nuvarande bröstcancer (ja vs. nej). Behandlingen fortsatte i upp till 1 år eller till sjukdomsåterfall eller oacceptabel toxicitet. Patienter med HR-positiva tumörer fick också endokrin behandling.
Primärt effektmått var invasiv sjukdomsfri överlevnad (IDFS) som definierades som tiden från randomisering till datum för första återfall, där återfall definierades som invasiv lokoregional, fjärråterfall, kontralateral invasiv bröstcancer, ny cancer eller död oavsett orsak. Sekundära syften inkluderade total överlevnad (OS), fjärrmetastasfri överlevnad (DDFS, definierad som tiden från randomisering till evidens på första fjärråterfall av bröstcancer), incidens av nya primära kontralaterala bröstcancerfall (invasiv och icke-invasiv), ny primär ovarial cancer, ny primär tubarcancer och ny primär peritonealcancer och patientrapporterade resultat (PRO) utifrån FACIT-Trötthet- och EORTC QLQ-C30-enkäterna.
Central testning genom Myriad eller lokal gBRCA-testning, om tillgänglig, användes för att fastställa lämpligheten för studien. Patienter som inkluderats baserat på lokalt gBRCA-test lämnade prov för retrospektiv bekräftande testning. Av 1836 patienter som inkluderades i OlympiA bekräftades 1623 ha gBRCAm genom central testning, antingen prospektivt eller retrospektivt.
Demografiska- och baslinjekaraktäristika var välbalanserade mellan de två behandlingsarmarna. Medianåldern var 42 år. Sextiosju procent (67 %) av patienterna var vita, 29 % asiatiska och 2,6 % svarta. Två patienter (0,2 %) av patienterna i olaparibarmen och fyra patienter (0,4 %) i placeboarmen var män. Sextioen procent (61 %) av patienterna var premenopausala. Åttionio procent (89 %) av patienterna hade ECOG-funktionsstatus på 0 och 11 % ECOG-funktionsstatus på 1. Åttiotvå procent (82 %) av patienterna hade TNBC och 18 % hade HR-positiv sjukdom. Femtio procent (50 %) av patienterna hade tidigare fått neoadjuvant och 50 % hade tidigare fått adjuvant kemoterapi. Nittiofyra procent (94 %) av patienterna fick antracyklin och taxan. Totalt tjugosex procent (2 %) av patienterna hade tidigare fått platinabehandling för bröstcancer. I olaparibarmen fick 87 % och i placeboarmen 92 % av patienterna med HR-positiv sjukdom samtidig endokrin behandling. Totalt 89,5 % av patienterna med HR-positiv sjukdom fick endokrin behandling, som inkluderade letrozol (23,7 %), tamoxifen (40,9 %), anastrozol (17,2 %) eller exemestan (14,8 %).
Studien uppnådde sitt primära effektmått genom att påvisa statistiskt signifikant förbättring av IDFS i olaparibarmen jämfört med placeboarmen. IDFS-relaterade händelser inträffade hos 284 patienter, vilket motsvarade 12 % av patienterna i olaparibarmen (fjärrmetastaserad 8 %, lokal/regional 1,4 %, kontralateral invasiv bröstcancer 0,9 %, sekundära primära maligniteter annanstans än i bröstet 1,2 %, död 0,2 %) och 20 % av patienterna i placeboarmen (fjärrmetastaserad 13 %, lokal/regional 2,7 %, kontralateral invasiv bröstcancer 1,3 %, sekundära primära maligniteter annanstans än i bröstet 2,3 %, död 0 %). Ytterligare observerades en statistiskt signifikant förbättring av DDFS i olaparibarmen jämfört med placeboarmen. Vid tidpunkten för den primära OS-analysen (10 % mognad, DCO 12 juli 2021) observerades en statistiskt signifikant förbättring av OS i olaparibarmen jämfört med placeboarmen (HR = 0,68 [98,5 % KI 0,47, 0,97], p‑värde = 0,0091). En förspecifierad analys som utfördes ungefär 5 år efter att den sista patienten randomiserades, med en median uppföljningstid på 6,2 år i olaparibarmen och 6,1 år i placeboarmen, visade fortfarande en förbättring av OS med olaparib jämfört med placebo. Effektresultat i FAS presenteras i tabell 11 och figurerna 9 och 10.
Tabell 11 Effektresultat för adjuvant behandling av patienter med nedärvd BRCA-muterad tidig bröstcancer i OlympiA
a Baserat på stratifierad Cox proportionell riskmodell, < 1 indikerar en lägre risk med olaparib jämfört med placeboarmen.
b P-värde från ett stratifierat log-ranktest.
c Procentandelarna baseras på KM-beräkningar.
bd = två gånger dagligen; KI = konfidensintervall; DCO = data cut-off; DDFS = fjärrmetastasfri överlevnad; IDFS = invasiv sjukdomsfri överlevnad; HR = riskkvot; KM = Kaplan-Meier; OS = total överlevnad. N= antal patienter
Figur 9 Kaplan-Meier-kurva av IDFS för adjuvant behandling av patienter med nedärvd BRCA-muterad tidig bröstcancer med hög risk i OlympiA (DCO 27 mars 2020)
Figur 10 Kaplan-Meier-kurva av OS för adjuvant behandling av patienter med nedärvd BRCA-muterad tidig bröstcancer med hög risk i OlympiA
(DCO 5 juni 2024)
gBRCA1/2-muterad HER2-negativ metastaserad bröstcancer
OlympiAD (Studie D0819C00003)
Säkerhet och effekt av olaparib hos patienter med gBRCA1/2-mutationer som har HER2-negativ metastaserad bröstcancer studerades i en fas III randomiserad, öppen, kontrollerad studie (OlympiAD). I denna studie randomiserades 302 patienter med en dokumenterad skadlig eller misstänkt skadlig gBRCA-mutation i förhållandet 2:1 att få antingen Lynparza (300 mg [2 x 150 mg tabletter] två gånger dagligen) eller läkarens val av cytostatika (capecitabin 42 %, eribulin 35 % eller vinorelbin 17 %) till progression eller oacceptabel toxicitet. Patienter med BRCA1/2-mutationer identifierades genom testning av blod genom ett lokalt test eller central testning genom Myriad. Patienter stratifierades baserat på: tidigare cytostatikaregimer för metastaserad bröstcancer (ja/nej), hormonreceptor (HR)‑positiv kontra trippel‑negativ bröstcancer (TNBC) samt tidigare platinabehandling av bröstcancer (ja/nej). Primärt effektmått var PFS fastställt av blindad oberoende central granskning (BICR) med användning av RECIST 1.1. Sekundärt effektmått inkluderade PFS2, OS, objektiv svarsfrekvens (ORR) och HRQoL.
Patienterna skulle ha behandlats med antracyklin, om inte kontraindicerat, och en taxan antingen vid (neo)adjuvant behandling eller vid metastaserad sjukdom. Patienter med HR+ (ER-positiv och/eller PgR-positiv) tumörer skulle ha mottagit och progredierat på åtminstone en endokrin behandling (adjuvant eller metastaserad) eller ha en sjukdom som den behandlande läkaren tyckte var olämplig för endokrin behandling. Tidigare behandling med platinum var tillåten vid metastaserad sjukdom, förutsatt att tecken på sjukdomsprogression saknades under platinabehandlingen och under (neo)adjuvant behandling, förutsatt att sista dosen erhölls minst 12 månader före randomisering. Tidigare behandling med olaparib eller annan PARP-hämmare var inte tillåten.
Demografi- och baslinjekarakteristika var generellt sett välbalanserade mellan olaparib- och jämförelsearmarna (tabell 12).
Tabell 12 Demografi- och baslinjekarakteristika för patienter i OlympiAD
Som efterföljande behandling fick 0,5 % av patienterna i behandlingsarmen och 8 % i jämförelsearmen en efterföljande PARP‑hämmare medan 29 % av patienterna i behandlingsarmen och 42 % i jämförelsearmen fick efterföljande platinabehandling.
En statistiskt signifikant förbättring av PFS, det primära effektmåttet, visades för olaparib-behandlade patienter jämfört med patienter i jämförelsearmen (se tabell 13 och figur 11).
Tabell 13 Sammanfattning av viktiga resultat i OlympiAD gällande effekt hos patienter med gBRCA1/2-muterad HER2-negativ metastaserad bröstcancer
a Baserat på stratifierat log-ranktest.
b Post-hoc analys.
c Median uppföljningstid i censurerade patienter var 25,3 månader för olaparib jämfört med 26,3 månader för jämförelseläkemedel.
d Fastställd respons (genom BICR) definierades som en dokumenterad respons av antingen CR/PR, bekräftat med upprepad bildtagning inte mindre än 4 veckor efter besöket då responsen först observerades. I olaparibarmen hade 8 % av patienterna med mätbar sjukdom jämfört med 1,5 % av patienterna i jämförelsearmen en komplett respons medan 74/167 (44 %) av patienterna i olaparibarmen jämfört med 14/66 (21 %) av patienterna i cytostatikaarmen hade en partiellt respons. I TNBC patientsubgruppen var fastställd ORR 48 % (41/86) i olaparibarmen och 12 % (4/33) i jämförelsearmen. I den HR+ patientsubgruppen var fastställd ORR 57 % (46/81) i olaparibarmen och 33 % (11/33) i jämförelsearmen.
bd Två gånger dagligen; KI konfidensintervall; DOR responsvaraktighet; DCO Datum för datainsamling (data cut off); HR riskfaktor; HR+ Hormonreceptor‑positiv, ORR Objektiv responsfrekvens; OS total överlevnad; PFS progressionsfri överlevnad; PFS2 Tid till andra progression eller död, TNBC trippelnegativ bröstcancer.
Figur 11 OlympiAD; Kaplan-Meier kurva över BICR PFS hos patienter med gBRCA1/2-muterad HER2-negativ metastaserad bröstcancer (77 % mognad) DCO 9 december 2016
Överensstämmande resultat observerades i alla fördefinierade patientsubgrupper (figur 12). Subgruppsanalyser indikerade en fördel i PFS för olaparib jämfört med jämförelseläkemedel i patientsubgrupper för TNBC (HR 0,43; 95 % KI: 0,29‑0,63, n = 152) och HR+ (HR 0,82; 95 % KI: 0,55-1,26, n = 150).
Figur 12 PFS (BICR), Forest graf efter förspecificerade subgrupper
I en post-hoc analys av patientsubgruppen som inte hade progredierat på cytostatika annan än platinum, var median PFS i olaparibarmen (n = 22) 8,3 månader (95 % KI 3,1-16,7) och 2,8 månader (95 % KI 1,4-4,2) i cytostatikaarmen (n = 16) med en HR på 0,54 (95 % KI 0,24-1,23). Antalet patienter är dock alltför begränsat för att kunna dra meningsfulla slutsatser om effekten i denna subgrupp.
Sju manliga patienter randomiserades (5 olaparib och 2 jämförelseläkemedel). Vid tiden för PFS‑analys hade en patient fastställd partiell respons med en responsvaraktighet på 9,7 månader i olaparibarmen. Det fanns ingen fastställd respons i jämförelsearmen.
Figur 13 OlympiAD: Kaplan-Meier-kurva över OS i patienter med gBRCA1/2-mutaterad HER2-negativ metastaserad bröstcancer (64 % mognad) DCO 25 september 2017
OS‑analys av patienter utan tidigare cytostatika för metastaserad bröstcancer indikerade en fördel för dessa patienter med ett HR på 0,45 (95 % KI 0,27-0,77), medan HR överskred 1 vid ytterligare behandlingslinjer.
Undershållsbehandling efter första linjens behandling av nedärvd BRCA‑muterat metastaserande adenokarcinom i pankreas:
POLO-studien
Säkerhet och effekt av olaparib som underhållsbehandling studerades i en randomiserad (3:2), dubbelblind, placebokontrollerad multicenterstudie på 154 patienter med nedärvda BRCA1/2‑mutationer som hade metastaserande adenokarcinom i pankreas. Patienterna fick antingen Lynparza 300 mg (2 x 150 mg tabletter) två gånger dagligen (n=92) eller placebo (n=62) fram till radiologisk sjukdomsprogression eller oacceptabel toxicitet. Patienterna skulle inte ha progredierat under första linjens platinumbaserade cytostatikabehandling och skulle ha fått minst 16 veckors kontinuerlig platinumbehandling som därefter kunde sättas ut när som helst p.g.a. oacceptabel toxicitet medan behandling med andra läkemedel fortsatte enligt planerad regim eller fram till oacceptabel toxicitet för annan (andra) komponent(er). Patienter som kunde tolerera komplett regim med platinuminnehållande cytostatikabehandling fram till progression har inte tagits i beaktande för denna studie. Underhållsbehandlingen påbörjades 4 till 8 veckor efter den sista dosen av komponenten(-erna) i första linjens cytostatikabehandling vid frånvaro av progression och om all toxicitet från tidigare cancerbehandling hade avklingat till CTCAE-grad 1, med undantag för alopeci, perifer neuropati grad 3 och Hgb ≥ 9 g/dl.
Trettioen procent (31 %) av patienterna med nedärvda BRCA1/2-mutationer identifierades genom tidigare resultat från lokala tester och 69 % genom centrala tester. I olaparibarmen var 32 % av patienterna bärare av en nedärvd BRCA1-mutation, 64 % var bärare av en nedärvd BRCA2-mutation och 1 % var bärare av både nedärvda BRCA1- och nedärvda BRCA2-mutationer. I placeboarmen var 26 % av patienterna bärare av en nedärvd BRCA1-mutation, 73 % var bärare av en nedärvd BRCA2-mutation och inga var bärare av både nedärvda BRCA1- och nedärvda BRCA2-mutationer. BRCAm-status för alla patienter som identifierats genom tidigare lokal testning bekräftades, i de fall de skickades, genom central testning. Nittioåtta procent (98 %) av patienterna var bärare av en skadlig mutation och 2 % var bärare av en misstänkt skadlig mutation. Stora rearrangemang i BRCA1/2-generna detekterades hos 5,2 % (8/154) av de randomiserade patienterna.
Demografi- och baslinjekarakteristika var generellt sett välbalanserade mellan olaparib- och placeboarmarna. Medianåldern var 57 år i båda armarna; 30 % av patienterna i olaparibarmen var ≥ 65 år jämfört med 20 % i placeboarmen. Femtioåtta procent (58 %) av patienterna i olaparibarmen och 50 % av patienterna i placeboarmen var män. I olaparibarmen var 89 % av patienterna vita och 11 % var icke-vita; i placeboarmen var 95 % av patienterna vita och 5 % var icke-vita. De flesta patienter hade ett ECOG-funktionsstatus på 0 (71 % i olaparibarmen och 61 % i placeboarmen). Lokalisering för metastaser före kemoterapi var totalt sett 72 % i levern, 10 % i lungorna och 50 % i andra områden. Mediantid från första diagnos till randomisering var 6,9 månader i båda armarna (intervall 3,6 till 38,4 månader).
Totalt 75 % av patienterna fick FOLFIRINOX i median 9 cykler (intervall 4‑61), 8 % fick FOLFOX eller XELOX, 4 % fick GEMOX och 3 % fick gemcitabin plus cisplatin; återstående 10 % av patienterna fick andra cytostatikaregimer. Varaktigheten av första linjens cytostatikabehandling för metastaserande sjukdom var 4 till 6 månader, > 6 till < 12 månader respektive ≥ 12 månader för 77 %, 19 % respektive 4 % av patienterna i olaparibarmen och för 80 %, 17 % respektive 3 % i placeboarmen, med omkring 1 månad från sista dosen av komponenten(-erna) i första linjens cytostatikabehandling till påbörjad behandling i studien för båda armarna. Som bästa svar på första linjens cytostatikabehandling hade 7 % av olaparibpatienterna och 5 % av placebopatienterna en komplett respons, 44 % av olaparibpatienterna och 44 % av placebopatienterna hade en partiell respons och 49 % av olaparibpatienterna och 50 % av placebopatienterna hade stabil sjukdom. Vid randomisering rapporterades mätbar sjukdom hos 85 % av patienterna i olaparibarmen respektive 84 % av patienterna i placeboarmen. Mediantid från initiering av första linjens platinumbaserad cytostatikabehandling till randomisering var 5,7 månader (intervall 3,4 till 33,4 månader).
Vid tidpunkten för PFS-analys stod 33 % av patienterna i olaparibarmen och 13 % av patienterna i placeboarmen kvar på studiebehandling. Fyrtionio procent (49 %) av patienterna i olaparibarmen och 74 % i placeboarmen fick efterföljande behandling. Fyrtiotvå procent (42 %) av patienterna i olaparibarmen och 55 % i placeboarmen fick efterföljande behandling med platinum. En procent (1 %) av patienterna i olaparibarmen och 15 % i placeboarmen fick efterföljande behandling med PARP-hämmare. Av de 33 (36 %) respektive 28 (45 %) patienter som fick en första efterföljande platinumbaserad behandling rapporterades stabil sjukdom hos 8 patienter i olaparibarmen och 6 patienter i placeboarmen medan 1 patient i olaparibarmen och 2 patienter i placeboarmen hade respons.
Primärt effektmått var progressionsfri överlevnad (PFS) definierat som tid från randomisering till progression, fastställd av BICR med användning av Response Evaluation Criteria in Solid Tumors (RECIST) 1.1 modifierad för att utvärdera patienter utan tecken på sjukdom eller död. Sekundära effektmått omfattade total överlevnad (OS), tid från randomisering till andra progression eller död (PFS2), tid från randomisering till första efterföljande cancerbehandling eller död (TFST), objektiv svarsfrekvens (ORR), responsvaraktighet (DoR), svarsfrekvens och hälsorelaterad livskvalitet (HRQoL).
Studien visade en statistiskt signifikant förbättring av PFS för olaparib jämfört med placebo (tabell 14). BICR-utvärderingen av PFS överensstämde med prövarens bedömning.
Vid slutlig analys av OS var andelen patienter som var i livet och under uppföljning 28 % i olaparibarmen och 18 % i placeboarmen.
Tabell 14 Effektresultat för patienter med gBRCAm-metastaserande adenokarcinom i pankreas i POLO-studien
a Baserat på Kaplan-Meier beräkningar var andelen patienter som var i livet och progressionsfria vid 12 och 24 månader 34 % respektive 22 % för olaparib jämfört med 15 % respektive 10 % för placebo.
b För PFS var median uppföljningstid för censurerade patienter 9,1 månader i olaparibarmen och 3,8 månader i placeboarmen.
c Ett värde < 1 innebär fördel för olaparib.
d Analysen utfördes med hjälp av ett log-rank test.
eFör OS var median uppföljningstid för censurerade patienter 31,3 månader i olaparibarmen och 23,9 månader i placeboarmen.
bd Två gånger dagligen; KI Konfidensintervall; HR riskkvot; OS total överlevad; PFS Progressionsfri överlevnad.
Figur 14 POLO: Kaplan-Meier-graf med PFS för patienter med gBRCAm-metastaserande adenokarcinom i pankreas (68 % mognad – BICR, DCO 15 january 2019)
Figur 15 POLO: Kaplan-Meier-kurva med OS för patienter med gBRCAm-metastaserande adenokarcinom i pankreas (70 % mognad, DCO 21 juli 2020)
BRCA1/2‑muterad metastaserande kastrationsresistent prostatacancer:
PROfound‑studien
Säkerhet och effekt av olaparib studerades hos män med metastaserande kastrationsresistent prostatacancer (mCRPC) i en randomiserad, öppen, multicenter fas III‑studie som utvärderade effekten av Lynparza jämfört med en jämförelsearm med NHA ([nya hormonella läkemedel] enzalutamid eller abirateronacetat) enligt prövarens val.
Patienter skulle också ha progredierat under tidigare NHA för behandling av metastaserande prostatacancer och/eller CRPC. För inklusion i kohort A skulle patienterna ha skadlig eller misstänkt skadlig mutation i antingen BRCA1- eller BRCA2-generna. Patienter med ATM-mutationer randomiserades också i kohort A men en gynnsam nytta-risk kunde inte visas i denna undergrupp av patienter. Patienter med mutationer i andra gener randomiserades i kohort B.
I denna studie randomiserades 387 patienter 2:1 för att få antingen olaparib (300 mg [2 x 150 mg tabletter] två gånger dagligen) eller jämförelseläkemedel. I kohort A fanns 245 patienter (162 olaparib och 83 jämförelseläkemedel) och i kohort B fanns 142 patienter (94 olaparib och 48 jämförelseläkemedel). Patienter stratifierades med avseende på tidigare taxan‑användning och bevis på mätbar sjukdom. Behandlingen fortsatte fram till sjukdomsprogression. Patienter randomiserade till jämförelseläkemedel fick möjlighet att byta till olaparib vid radiologisk progression fastställd av BICR. Patienter med BRCA1m, BRCA2m detekterade i sina tumörer inkluderades baserat på prospektiv central testning, med undantag av 3 patienter som inkluderades med hjälp av att lokalt testresultat. Av de 160 patienter med BRCA1 eller BRCA2-mutation i PROfound testades 114 patienter retrospektivt för att bestämma om den identifierade BRCA1/2-mutationen var av germline eller somatiskt ursprung. Inom denna patientgrupp identifierades 63 BRCA1/2-mutationer i germline-blodprovet och därmed bestämda till att vara av germline-ursprung. Återstående 51 patienter hade ingen tumör detekterad BRCA1/2-mutation identifierad i germline-blodprovet och därmed bestämda till att vara av somatiskt ursprung. För de återstående 46 patienterna är somatiskt eller germline-ursprung okänt.
Demografi- och baslinjekarakteristika var generellt sett välbalanserade mellan olaparibarmen och jämförelsearmen hos patienter med BRCA1/2-mutationer. Medianåldern var 68 år i olaparibarmen och 67 år i jämförelsearmen. Tidigare behandling i olaparibarmen var taxan (71 %), enzalutamid (41 %), abirateronacetat (37 %) och både enzalutamid och abirateronacetat (20 %). Tidigare behandling i jämförelsearmen var taxan (60 %), enzalutamid (50 %), abirateronacetat (36 %) och både enzalutamid och abirateronacetat (14 %). Femtioåtta procent (58 %) av patienterna i olaparibarmen och 55 % i jämförelsearmen hade mätbar sjukdom vid studiestart. Andelen patienter med skelett-, lymfkörtel- , luftvägs- och levermetastaser var 89 %, 62 %, 23 % respektive 12 % i olaparibarmen och 86 %, 71 %, 16 % respektive 17 % i jämförelsearmen. De flesta patienter i båda behandlingsarmarna hade ett ECOG‑funktionsstatus på 0 eller 1 (93 %). Smärtpoäng vid baslinjen (BPI-SF värsta smärtan) var 0-<2 (52 %), 2-3 (10 %) eller >3 (34 %) i olaparibarmen och 0-<2 (45 %), 2-3 (7 %) eller >3 (45 %) i jämförelsearmen. Medianvärdet för PSA vid baslinjen var 57,48 µg/l i olaparibarmen och 103,95 µg/l i jämförelsearmen.
Studiens primära effektmått var radiologisk progressionsfri överlevnad (rPFS) i kohort A fastställt av BICR med användning av RECIST 1.1 (mjuk vävnad) och Prostate Cancer Working Group (PCWG3) (skelett). Viktiga sekundära effektmått innefattade bekräftad objektiv svarsfrekvens (ORR) fastställt av BICR, rPFS fastställt av BICR, tid till smärtprogression (TTPP) och total överlevnad (OS).
Studien visade en statistiskt signifikant förbättring av BICR-utvärderad rPFS och slutlig OS för olaparib jämfört med jämförelseläkemedel i kohort A.
Resultaten för patienter med BRCA1/2-mutationer presenteras i tabell 15. Det var en statistiskt signifikant förbättring av BICR-utvärderad rPFS för olaparib jämfört med armen med prövarens val av NHA hos BRCA1/2m-patienter. Den slutliga analysen av OS visade en nominellt statistiskt signifikant förbättring av OS hos BRCA1/2m-patienter randomiserade till Lynparza jämfört med jämförelseläkemedel.
Tabell 15 Sammanfattning av viktiga effektresultat för patienter med BRCA1/2-muterad mCRPC i PROfound
a Ej kontrollerat avseende multiplicitet
b rPFS 71 % mognad
c HR och KI beräknades med hjälp av en Cox proportionell riskmodell som innehåller termer för behandling, faktor och behandling med faktorinteraktion.
bd Två gånger dagligen; BICR Blindad oberoende central granskning; KI Konfidensintervall; HR Riskkvot; NC Ej beräkningsbar, NHA nya hormonella läkemedel; ORR Objektiv svarsfrekvens; OS Total överlevnad; rPFS Radiologisk progressionsfri överlevnad
Figur 16 BRCA1/2m-patienter: Kaplan-Meier‑kurva över rPFS (av BICR)
Figur 17 BRCA1/2m-patienter: Kaplan-Meier‑kurva över OS
Första linjens behandling av patienter vid mCRPC
PROpel
Säkerheten och effekten av olaparib studerades hos män med metastaserande kastrationsresistent prostatacancer (mCRPC) i en randomiserad, dubbelblind, placebokontrollerad fas III-multicenterstudie som utvärderade effekten av Lynparza (300 mg [2 x 150 mg tabletter] två gånger dagligen) i kombination med abirateron (1 000 mg [2 x 500 mg tabletter] en gång dagligen) jämfört med en jämförelsearm med placebo plus abirateron. Patienter i båda armarna fick också antingen prednison eller prednisolon 5 mg två gånger dagligen.
I studien randomiserades 796 patienter (1:1 randomisering; 399 olaparib/abirateron, 397 placebo/abirateron) som hade histologiskt bekräftat adenokarcinom i prostata och metastaserande status definierat som minst en dokumenterad metastatisk lesion antingen vid skelettscintigrafi eller CT/MRI-undersökning och som var behandlingsnaiva och inte behandlats med kemoterapi eller NHA vid mCRPC. Före mCRPC-stadiet var behandling med NHA (förutom abirateron) utan PSA-progression (klinisk eller radiologisk) under behandlingen tillåten, förutsatt att behandlingen avbröts minst 12 månader före randomiseringen. Behandling med första generationens antiandrogena läkemedel (t.ex. bikalutamid, nilutamid, flutamid) var också tillåten, förutsatt att där var en washout-period på 4 veckor. Behandling med docetaxel var tillåten under behandling med neoadjuvans/adjuvans för lokaliserad prostatacancer och vid metastaserande hormonsensitiv prostatacancer (mHSPC)-stadiet, så länge inga tecken på sjukdomsprogression förekom under eller omedelbart efter en sådan behandling. Alla patienter fick en GnRH-analog eller hade tidigare genomgått bilateral orkiektomi. Patienterna stratifierades med avseende på metastaser (enbart benmetastaser, viscerala eller andra metastaser) och behandling med docetaxel vid mHSPC-stadiet (ja eller nej). Behandlingen fortsatte till radiologisk progression av underliggande sjukdom eller oacceptabel toxicitet.
Demografiska- och baslinjekaraktäristika var balanserade mellan de två behandlingsarmarna. Medianåldern hos patienterna var 69 år totalt, och majoriteten (71 %) av patienterna var i åldersgruppen ≥ 65 år. 189 patienter (24 %) hade tidigare behandlats med docetaxel vid mHSPC-stadiet. Totalt hade 434 (55 %) patienter benmetastaser (metastaser i ben och inget annat distant område), 105 (13 %) patienter hade viscerala metastaser (fjärrmetastaser i mjukvävnaden i ett organ, t.ex. levern, lungorna) och 257 (32 %) patienter hade andra metastaser (som kunde inkludera till exempel patienter med benmetastaser och distanta lymfknutor eller patienter med sjukdom enbart i distanta lymfknutor). De flesta patienter i båda armarna (70 %) hade ett ECOG-funktionsstatus på 0. Det fanns 103 (25,8 %) symtomatiska patienter i olaparibgruppen och 80 (20,2 %) i placebogruppen. Som symtomatiska patienter karakteriserades enligt den korta smärtskalan (Brief Pain Inventory-Short Form, BPI-SF item #3) patienter med poäng ≥ 4 och/eller användning av opiater vid baslinjen.
Patientrekryteringen baserades inte på biomarkörstatus. HRR-genmutationsstatus utvärderades retrospektivt med avseende på ctDNA och tumörvävnadstest för att utvärdera överensstämmelsen av behandlingseffekt i hela analyserade-populationen. Av de testade patienterna var 198 respektive 188 HRR-mutationspositiva fastställt enligt ctDNA och tumörvävnad. Fördelningen av patienter med HRRm var välbalanserad mellan de två armarna.
Det primära effektmåttet var rPFS, definierat som tid från randomisering till radiologisk progression enligt prövarens bedömning baserat på RECIST 1.1. och PCWG-3-kriterier (skelett). Det viktiga sekundära effektmåttet var total överlevnad (OS). Ytterligare sekundära effekmått inkluderade PFS2, TFST och HRQoL.
Studien uppnådde sitt primära effektmått genom att påvisa statistiskt signifikant förbättring avseende risken för radiologisk sjukdomsprogression eller död för olaparib/abirateron jämfört med placebo/abirateron enligt prövarens bedömning, med HR 0,66; 95 % KI 0,54, 0,81; p < 0,0001; median rPFS 24,8 månader i olaparib/abirateronarmen jämfört med 16,6 månader i placebo/abirateronarmen. Prövarens bedömning av rPFS stöddes av en blindad oberoende central radiologisk (blinded independent central radiological, BICR) granskning. Känslighetsanalysen av rPFS med BICR var konsekvent med prövarbaserad analys med HR 0,61; 95 % KI 0,49, 0,74; p < 0,0001; median rPFS 27,6 månader i olaparib/abirateronarmen jämfört med 16,4 månader i placebo/abirateronarmen.
Subgruppsresultaten var konsekventa med de totala resultaten för olaparib/abirateron jämfört med placebo/abirateron i alla förhandsdefinierade subgrupper, inklusive patienter med eller utan tidigare taxan vid mHSPC-stadiet, patienter med olika metastaserad sjukdom vid baslinjen (enbart i skelett jämfört med viscerala jämfört med andra) och patienter med eller utan HRRm (figur 20).
Effektresultaten presenteras i tabell 16, tabell 17, figur 18 och figur 19.
Tabell 16 Sammanfattning av viktiga effektresultat för behandling av patienter med mCRPC i PROpel
a HR och KI beräknades med en Cox proportionell riskmodell som justerats för variablerna som valts ut i den primära poolingstrategin: metastaser, docetaxelbehandling i mHSPC-stadiet. Efronmetoden användes vid lika resultat. HR < 1 gynnar olaparib 300 mg två gånger dagligen + abirateron 1000 mg en gång dagligen.
b Det 2-sidiga p-värdet beräknades med log-rank testet som stratifierats med samma variabler som valts ut i den primära poolingstrategin. c Beräknades med Kaplan-Meier-metoden.
Tabell 17 rPFS-subgruppsanalyser genom prövarbedömning i PROpel (DCO 30 juli 2021)
a Aggregerade subgrupper härleddes från ctDNA och vävnadsbaserade grupperingar.
b Analysen utfördes med en Cox proportionell riskmodell som inkluderar termer för behandlingsgrupp, subgruppsfaktor och en behandling per subgruppsinteraktion. Konfidensintervall beräknades med en profil-likelihood-metod. HR < 1 gynnar olaparib 300 mg två gånger dagligen.
Figur 18 PROpel: Kaplan-Meier-kurva av rPFS (prövarbedömd) (50 % mognad) DCO 30 juli 2021
Figur 19 PROpel: Kaplan-Meier-kurva av OS (48 % mognad) DCO 12 oktober 2022
Figur 20 PROpel: “Forest plot” av subgruppsanalys av rPFS (prövarbedömd) (50 % mognad) DCO 30 juli 2021
Varje subgruppsanalys utfördes med hjälp av en Cox proportionell riskmodell som inkluderade en term för behandling, faktor, och behandling per faktorinteraktion. En riskkvot < 1 innebär en lägre risk för progression med olaparib. Storleken på en cirkel är proportionell mot antalet händelser. Alla subgrupper i denna figur är baserade på data från det elektroniska fallrapporteringsformuläret (eCRF).
*Utesluter patienter utan bedömning vid baslinjen. KI: konfidensintervall, ECOG: Eastern Cooperative Oncology Group; HRRm: mutation i homolog rekombinationsreparationsgen; mHSPC: metastaserande hormonsensitiv prostatacancer; NC: Ej beräkningsbar; PSA: prostataspecifikt antigen.
Första linjens underhållsbehandling av avancerad eller recidiverande endometriecancer med bevarad mismatch repair (pMMR)
DUO-E-studien
DUO-E var en randomiserad, multicenter, dubbelblind, placebokontrollerad fas III-studie av första linjens platinumbaserad cytostatikabehandling i kombination med durvalumab följt av durvalumab med eller utan olaparib hos patienter med avancerad eller recidiverande endometriecancer. Patienterna skulle ha endometriecancer i någon av följande kategorier: nydiagnostiserad sjukdom i stadium III (mätbar sjukdom enligt RECIST 1.1 efter kirurgi eller diagnostisk biopsi), nydiagnostiserad sjukdom i stadium IV (med eller utan sjukdom efter kirurgi eller diagnostisk biopsi), eller recidiverande sjukdom (mätbar eller icke-mätbar sjukdom enligt RECIST 1.1) där potentialen för utläkning genom operation enbart eller som del i kombinationsbehandling är låg. För patienter med recidiverande sjukdom var tidigare kemoterapi tillåten endast om den gavs som adjuvant behandling och det gått minst 12 månader från det datum som den sista dosen kemoterapi administrerades till datumet för det efterföljande recidivet. I studien inkluderades patienter med epiteliala endometriecarcinom av alla histologier, inklusive carcinosarkom. Patienter med endometriesarkom uteslöts.
Randomiseringen stratifierades efter tumörvävnadens MMR-status (bevarad vs. defekt), sjukdomsstatus (recidiverande vs. nydiagnostiserad) och geografiskt område (Asien vs. resten av världen). Patienterna randomiserades 1:1:1 till en av följande armar:
Platinumbaserad cytostatikabehandling: Platinumbaserad cytostatikabehandling (paklitaxel och karboplatin) var 3:e vecka i högst 6 cykler med durvalumab-placebo var 3:e vecka. Efter avslutad kemoterapibehandling fick patienter utan objektiv sjukdomsprogression durvalumab-placebo var 4:e vecka och olaparib-placebotabletter två gånger dagligen som underhållsbehandling fram till sjukdomsprogression.
Platinumbaserad cytostatikabehandling + durvalumab: Platinumbaserad cytostatikabehandling (paklitaxel och karboplatin) var 3:e vecka i högst 6 cykler med 1120 mg durvalumab var 3:e vecka. Efter avslutad kemoterapibehandling fick patienter utan objektiv sjukdomsprogression 1500 mg durvalumab var 4:e vecka med olaparib-placebotabletter två gånger dagligen som underhållsbehandling fram till sjukdomsprogression.
Platinumbaserad cytostatikabehandling + durvalumab + olaparib: Platinumbaserad cytostatikabehandling (paklitaxel och karboplatin) var 3:e vecka i högst 6 cykler med 1120 mg durvalumab var 3:e vecka. Efter avslutad kemoterapibehandling fick patienter utan objektiv sjukdomsprogression 1500 mg durvalumab var 4:e vecka med 300 mg olaparibtabletter två gånger dagligen som underhållsbehandling fram till sjukdomsprogression.
Patienter som avbrutit någon av behandlingarna (olaparib/placebo eller durvalumab/placebo) av andra orsaker än sjukdomsprogression kunde fortsätta med den andra behandlingen om lämpligt baserat på överväganden om toxicitet och prövarens bedömning.
Behandlingen fortsatte till sjukdomsprogression definierad enligt RECIST v1.1 eller oacceptabel toxicitet. Bedömning av tumörstatus gjordes var 9:e vecka under de första 18 veckorna efter randomiseringen och därefter var 12:e vecka.
Det primära effektmåttet var PFS definierad som tid från randomisering till progression, bedömt av prövaren genom användning av RECIST 1.1, eller död. Sekundärt effektmått omfattade OS, ORR och DoR.
Studien påvisade en statistiskt signifikant förbättring av PFS i ITT-populationen för patienter som behandlades med platinumbaserad cytostatikabehandling + durvalumab + olaparib jämfört med enbart platinumbaserad cytostatikabehandling (HR 0,55; 95 % KI: 0,43, 0,69). Vid tidpunkten för PFS-analysen hade interimsdata för OS 28 % mognad med händelser hos 199 av 718 patienter.
MMR-status fastställdes centralt med hjälp av en MMR-immunhistokemisk panelanalys. Av totalt 718 patienter som randomiserades i studien hade 575 (80 %) patienter pMMR-tumörstatus och 143 patienter (20 %) hade dMMR-tumörstatus (defekt mismatch repair, dMMR).
Bland patienter med pMMR-tumörstatus var demografi och baslinjekarakteristika generellt sett välbalanserade mellan behandlingsarmarna. Demografiska baslinjekarakteristika för de tre behandlingsarmarna var följande: medianålder 64 år (intervall: 22 till 86); 65 år eller äldre 48 %; 75 år eller äldre 8 %; vita 56 %, asiater 30 % och svarta eller afroamerikaner 6 %. Sjukdomskarakteristika var följande: ECOG PS på 0 (69 %) eller 1 (31 %); nydiagnostiserad 47 % och recidiverande sjukdom 53 %. De histologiska subtyperna var endometrioida (54 %), serösa (26 %), carcinosarkom (8 %), blandade epiteliala (4 %), klarcelliga (3 %), odifferentierade (2 %), mucinösa (< 1 %) och övriga (3 %).
Resultaten för patienter med pMMR-tumörstatus sammanfattas i tabell 18 och figur 21. Median uppföljningstid hos censurerade patienter med pMMR-tumörstatus var 15,2 månader i armen med platinumbaserad cytostatikabehandling + durvalumab + olaparib och 12,8 månader i armen med platinumbaserad cytostatikabehandling. Vid tidpunkten för PFS-analysen hade interimsdata för OS 29 % mognad med händelser hos 110 av 383 patienter.
Tabell 18 Sammanfattning av effektresultat för patienter med avancerad eller recidiverande endometriecancer i DUO-E (patienter med pMMR-tumörstatus)
a Beräknad med Kaplan-Meier-metoden
b Baserat på första interimsanalysen
c Respons: Bästa objektiva respons som bekräftad komplett respons eller partiell respons.
KI = konfidensintervall; DCO = data-brytvärde; HR = riskkvot (Hazard Ratio); NR = ej uppnått; OS = total överlevnad; PFS = progressionsfri överlevnad
Figur 21 DUO-E: Kaplan-Meier-kurva över PFS (patienter med pMMR-tumörstatus)
Bland patienter med pMMR-tumörstatus var PFS riskkvot 0,44 (95% KI: 0,31, 0,61) hos patienter med positiv status för PD-L1-uttryck (236/383; 62 %) och 0,87 (95 % KI: 0,59, 1,28) hos patienter med negativ status för PD-L1-uttryck (140/383; 37 %) i armen med platinumbaserad cytostatikabehandling + durvalumab + olaparib jämfört med armen med platinumbaserad cytostatikabehandling. Positivt PD-L1-uttryck definierades som TAP (tumour area positivity) ≥ 1 %.
Pediatrisk population
Säkerhet och effekt för Lynparza för barn och ungdomar yngre än 18 år har inte fastställts. Studie D0816C00025 var en öppen fas 1-multicenterstudie för att undersöka säkerhet, tolerabilitet, farmakokinetik, farmakodynamik och preliminär effekt av monoterapi med Lynparza hos pediatriska patienter från ≥ 6 månader till < 18 år med recidiverande eller refraktära solida eller primära tumörer i centrala nervsystemet (CNS) (exklusive lymfoida maligniteter) för vilka det inte fanns några standardbehandlingsalternativ. Studien inkluderade 16 patienter i åldern ≥ 6 år till < 18 år med defekt homolog rekombinationsreparation (HRR) eller HRR-genmutation baserat på lokalt test eller gBRCA-mutation baserat på centralt test. Lynparza administrerades som en engångsdos dag 1, följt av administrering två gånger dagligen enligt ett kontinuerligt schema. Av de 16 inkluderade patienterna fick 13 patienter i åldern ≥ 12 år till < 18 år 300 mg olaparib i tablettform två gånger dagligen och 3 patienter i åldern ≥ 6 år till < 12 år fick 200 mg olaparib i tablettform två gånger dagligen fram till sjukdomsprogression eller oacceptabel toxicitet. Det observerades ingen objektiv respons hos de 12 deltagarna med mätbar sjukdom vid baslinjen. Utifrån resultaten av studien var det inte möjligt att dra slutsatsen att nyttan med sådan användning skulle uppväga riskerna. Se avsnitt 4.2 för information om användning för pediatrisk population.
Farmakokinetiken för olaparib tabletter vid dosen 300 mg karakteriseras av skenbar plasmaclearance på ~7 l/h, skenbar distributionsvolym på ~158 l och terminal halveringstid på 15 timmar. Vid multipel dosering observerades en AUC-ackumuleringskvot på 1,8 och PK verkade vara tidsberoende i en liten omfattning.
Absorption
Efter oral administrering av olaparib via tablettformuleringen (2 x 150 mg) sker en snabb absorption där maximala plasmakoncentrationer (i median) vanligen uppnås 1,5 timmar efter dosering.
Samtidig administrering av föda fördröjde hastigheten (tmax fördröjd med 2,5 timmar och Cmax reducerad med cirka 21 %) men hade ingen signifikant påverkan på omfattningen av absorption av olaparib (AUC ökade med 8 %). Följaktligen kan Lynparza tas utan hänsyn till föda (se avsnitt 4.2).
Distribution
In vitro är plasmaproteinbindningen cirka 82 % vid 10 µg/ml vilket ungefär motsvarar Cmax.
In vitro var human plasmaproteinbindning av olaparib dosberoende; den bundna fraktionen var ungefär 91 % vid 1 µg/ml, vilket reducerades till 82 % vid 10 µg/ml och till 70 % vid 40 µg/ml. I lösningar av renade proteiner var olaparibfraktionen som var bunden till albumin cirka 56 %, vilket var oberoende av olaparibkoncentrationer. Med användning av samma analys var fraktionen som var bunden till surt alfa‑1‑glykoprotein 29 % vid 10 µg/ml med en tendens till minskad bindning vid högre koncentrationer.
Metabolism
In vitro har CYP3A4/5 visats vara de enzymer som främst svarar för metabolismen av olaparib (se avsnitt 4.5).
Efter peroral dosering av 14C‑olaparib till kvinnliga patienter stod oförändrat olaparib för den största delen av den cirkulerande radioaktiviteten i plasma (70 %) och utgjorde huvudkomponent i både urin och feces (15 % respektive 6 % av dosen). Olaparib metaboliseras i stor utsträckning. Till största delen sker detta genom oxidationsreaktioner där flera av de komponenter som bildas genomgår en efterföljande glukuronid‑ eller sulfatkonjugering. Upp till 20, 37 och 20 metaboliter kunde detekteras i plasma, urin respektive feces, av vilka majoriteten utgjorde < 1 % av det doserade materialet. En piperazin‑3‑ol‑del med öppen ring, och två mono‑oxygenerade metaboliter (vardera ~10 %) var de huvudsakliga cirkulerande komponenterna, där en av de mono‑oxygenerade metaboliterna även var den främsta metaboliten i exkret (6 % och 5 % av radioaktiviteten i urin respektive feces).
In vitro medförde olaparib liten/ingen hämning av UGT2B7, eller CYP-enzymerna 1A2, 2A6, 2B6, 2C8, 2C9, 2C19, 2D6 eller 2E1 och förväntas inte vara någon kliniskt signifikant tidsberoende hämmare av något av dessa CYP-enzymer. Olaparib hämmade UGT1A1 in vitro, men PBPK-simuleringar tyder på att detta saknar klinisk betydelse. In vitro är olaparib ett substrat av effluxtransportören P‑gp men det är osannolikt att detta har någon klinisk signifikans (se avsnitt 4.5).
In vitro, visar data också att olaparib inte är substrat till OATP1B1, OATP1B3, OCT1, BCRP eller MRP2 och ingen hämmare av OATP1B3, OAT1 eller MRP2.
Eliminering
Efter en engångsdos av 14C‑olaparib återfanns ~86 % av den doserade radioaktiviteten inom en insamlingsperiod på 7 dagar, ~44 % i urinen och ~42 % i feces. Den största delen utsöndrades i form av metaboliter.
Särskilda populationer
I populationsbaserade PK‑analyser var patienternas ålder, kön, kroppsvikt, tumörens lokalisation eller etnicitet (inklusive kaukasiska och japanska patienter) inga signifikanta kovariater.
Nedsatt njurfunktion
Hos patienter med lindrigt nedsatt njurfunktion (kreatininclearance 51 till 80 ml/min) ökade AUC med 24 % och Cmax med 15 % jämfört med patienter med normal njurfunktion. Ingen dosjustering av Lynparza krävs för patienter med lindrigt nedsatt njurfunktion.
Hos patienter med måttligt nedsatt njurfunktion (kreatininclearance 31 till 50 ml/min) ökade AUC med 44 % och Cmax med 26 % jämfört med patienter med normal njurfunktion. Dosjustering av Lynparza rekommenderas för patienter med måttligt nedsatt njurfunktion (se avsnitt 4.2).
Det finns inga data från patienter med gravt nedsatt njurfunktion eller njursjukdom i slutstadiet (kreatininclearance < 30 ml/min).
Nedsatt leverfunktion
Hos patienter med lindrigt nedsatt leverfunktion (Child-Pugh klassificering A) ökade AUC med 15 % och Cmax med 13 % och hos patienter med måttligt nedsatt leverfunktion (Child-Pugh klassificering B) ökade AUC med 8 % och Cmax minskade med 13 % jämfört med patienter med normal leverfunktion. Ingen dosjustering av Lynparza behövs för patienter med lindrigt eller måttligt nedsatt leverfunktion (se avsnitt 4.2). Det finns inga uppgifter för patienter med gravt nedsatt leverfunktion (Child-Pugh klassificering C).
Pediatrisk population
Farmakokinetiken för olaparib utvärderades hos 14 barn och ungdomar från ≥ 6 år till < 18 år i studie D0816C00025 där de fick antingen 300 mg två gånger dagligen (8 patienter, 12 till < 18 år) eller 200 mg två gånger dagligen (3 patienter, 6 till 11 år); ytterligare 3 patienter behandlades under signalidentifieringsfasen och fick Lynparza 300 mg tablett två gånger dagligen (12 till < 18 år) fram till sjukdomsprogression eller oacceptabel toxicitet. Plasmakoncentrationen i båda grupperna visade en liknande exponering jämfört med vuxna vid dosen 300 mg.
Toxicitet vid upprepad dosering
I toxicitetsstudier vid upprepad dosering till råtta och hund, som pågick i upp till 6 månader, tolererades dagliga perorala doser av olaparib väl. Det målorgan som främst drabbades av toxiska biverkningar hos båda djurslagen var benmärgen, med åtföljande förändringar i perifera hematologiska parametrar. Dessa förändringar var reversibla inom 4 veckor efter avslutad dosering. Hos råttor noterades även minimala degenerativa effekter på mag-tarmkanalen. Dessa fynd förekom vid exponeringar som var lägre än de som setts kliniskt. Studier på mänskliga benmärgsceller visade också att direkt exponering för olaparib kan resultera i toxicitet hos benmärgsceller i ex vivo-analyser.
Gentoxicitet
Olaparib visade ingen mutagen potential men hade klastogen verkan på däggdjursceller in vitro. Vid peroral administrering till råtta inducerade olaparib mikrokärnor i benmärgen. Denna klastogenicitet överensstämmer med olaparibs kända farmakologiska egenskaper och tyder på en potentiell gentoxicitet hos människa.
Karcinogenicitet
Inga karcinogenicitetsstudier har utförts med olaparib.
Reproduktionstoxikologi
I en fertilitetsstudie på hondjur fick råttor olaparib fram till implantation. Parningsbeteende och dräktighetsfrekvens påverkades inte, dock sågs förlängt östrus hos en del av djuren. Embryofetal överlevnad minskade något.
I studier av embryofetal utveckling hos råtta, i dosnivåer som inte inducerade någon signifikant maternell toxicitet, orsakade olaparib lägre embryofetal överlevnad, lägre fostervikt samt fostermissbildningar såsom större missbildningar i ögon (t.ex. anoftalmi, mikroftalmi), missbildningar i ryggkotor/revben och viscerala och skeletala missbildningar.
Farmakoterapeutisk grupp: Övriga antineoplastiska läkemedel, ATC‑kod: L01XK01
Verkningsmekanism och farmakodynamisk effekt
Olaparib är en potent hämmare av humana poly(ADP‑ribos) polymerasenzymer (PARP‑1, PARP‑2, och PARP‑3) och har visat sig hämma tillväxten av vissa tumörcellinjer in vitro och tumörtillväxt in vivo, antingen som monoterapi eller i kombination med etablerad cytostatikabehandling eller nya hormonella läkemedel (NHA).
PARP är nödvändigt för effektiv reparation av enkelsträngat brott i DNA. En viktig del av den PARP‑inducerade reparationen kräver att PARP, efter kromatinmodifiering, modifierar sig själv och avskiljs från DNA för att underlätta åtkomst för base excision repair (BER)-enzymerna. När olaparib är bundet till den aktiva platsen på DNA-associerat PARP förhindrar det avskiljningen av PARP så att detta fastnar på DNA-molekylen och således blockeras reparationen. Hos replikerande celler leder detta till ett dubbelsträngat brott i DNA när replikationsgaffeln möter PARP‑DNA‑addukten. I normala celler är den homologa rekombinationsreparationsvägen (HRR) effektiv när det gäller att reparera dessa dubbelsträngade brott i DNA. I cancerceller som saknar kritiska funktionella komponenter för effektiv HRR såsom BRCA1 eller 2, kan dubbelsträngade brott i DNA inte repareras korrekt eller effektivt, vilket leder till omfattande defekt homolog rekombination (HRD). Istället aktiveras alternativa vägar där misstag oftare uppstår, såsom icke-homolog sammanfogning (NHEJ, non-homologous end joining), vilket leder till en hög grad av instabilitet i genomet. Cancerceller har fler DNA-skador än normala celler och efter ett antal replikationer kan genomets instabilitet bli så pass hög att cancercellerna dör. HRR-vägen kan försämras av andra mekanismer, även om den kausala avvikelsen och penetransen inte är fullständigt utredd. Frånvaro av fullständigt fungerande HRR-väg är en av de viktigaste determinanterna för platinakänslighet vid ovarialcancer och möjligen andra cancertyper.
I BRCA1/2-defekta in vivo‑modeller där olaparib gavs efter platinabehandling observerades fördröjd tumörprogression och förlängd total överlevnad jämfört med vid enbart platinabehandling, vilket var korrelerat med perioden för underhållsbehandling med olaparib.
Kombinerad antitumöreffekt med NHA
I prekliniska studier i prostatacancermodeller rapporterades en kombinerad antitumöreffekt när PARP-hämmare och nästa generationens hormonella läkemedel administrerades tillsammans. PARP är involverad i en positiv koreglering av signalering av androgenreceptorn (AR), vilket leder till ökad suppression av AR-målgenen vid samtidig hämning av PARP/AR-signalering. I andra prekliniska studier rapporterades att behandling med NHA hämmar transkriptionen av vissa HRR-gener och orsakar därför HRR-defekt och ökad känslighet för PARP-hämmare via icke-genetiska mekanismer.
Detektion av BRCA‑mutationer
Ett gentest ska utföras av ett erfaret laboratorium som använder validerade testmetoder. Lokal eller central testning av blod- eller tumörprover för germline och/eller somatiska BRCA1/2- mutationer har använts i olika studier. DNA från ett vävnads- eller blodprov har testats i de flesta av studierna, där test av ctDNA användes för explorativa syften. Beroende på använt test och internationell klassificeringskonsensus har BRCA1/2-mutationer klassificerats som skadliga/misstänkt skadliga eller patogena/sannolikt patogena.
Positiv status för defekt homolog rekombination (HRD) kan definieras genom detektion av BRCA1/2‑mutation klassificerad som skadlig/misstänkt skadlig eller patogen/sannolikt patogen. Detektion av dessa mutationer kan kombineras med positiv HRD‑poäng (nedan) för att fastställa positiv HRD-status.
Detektion av genomisk instabilitet
HRD‑associerade genomiska förändringar som har undersökts i PAOLA‑1 inkluderar genomomfattande förlust av heterozygositet, telomerisk allelisk obalans och storskaliga övergångar (large-scale transitions) som är kontinuerliga mått med fördefinierade kriterier och poäng. Sammansatt poäng för genomisk instabilitet (GIS [genomic instability score], även kallad HRD‑poäng) bestäms när de kombinerade måtten och respektive poäng används för att utvärdera omfattningen av specifika genomiska avvikelser accumulerade i tumörceller. Lägre poäng indikerar lägre sannolikhet för HRD hos tumörceller och högre poäng indikerar högre sannolikhet för HRD hos tumörceller vid tiden för insamling av provet i förhållande till exponering för DNA‑skadligt medel. Validerade brytvärden ska användas för att fastställa positiv GIS-status.
Positiv HRD-status kan definieras genom ett sammansatt GIS‑poäng för HRD‑associerade genomiska förändringar testat av ett erfaret laboratorium med användning av ett validerat test.
Klinisk effekt och säkerhet
Första linjens underhållsbehandling av BRCA-muterad ovarialcancer
SOLO1-studien
Säkerhet och effekt av olaparib som underhållsbehandling studerades hos patienter med nydiagnosticerad avancerad (FIGO stadie III-IV) höggradig serös eller endometroid BRCA1/2-muterad (BRCA1/2m) ovarialcancer efter fullföljd platinabaserad cytostatikabehandling, i en randomiserad, dubbelblind, placebokontrollerad, multicenter fas III‑prövning. I denna studie randomiserades 391 patienter 2:1 att få antingen Lynparza (300 mg [2 x 150 mg tabletter] två gånger dagligen) eller placebo. Patienterna stratifierades med avseende på respons på första linjens platinainnehållande cytostatikabehandling; komplett respons (CR) eller partiell respons (PR). Behandlingen fortsatte till radiologisk progression av den underliggande sjukdomen, oacceptabel toxicitet eller i upp till två år. För patienter som kvarstod i fullt kliniskt respons (d.v.s. inga radiologiska sjukdomsfynd) var maximal behandlingstid två år; emellertid kunde patienter med bevis på stabil sjukdom (d.v.s. inga bevis för sjukdomsprogression) fortsätta att få behandling med Lynparza längre än två år.
Patienter med nedärvda eller somatiska BRCA1/2-mutationer identifierades prospektivt antingen genom testning av blod med ett lokalt test (n = 208) eller centralt test (n = 181) eller genom test av ett tumörprov med ett lokalt test (n = 2). Med central testning, identifierades skadliga eller misstänkt skadliga mutationer hos 95,3 % (365/383) respektive 4,7 % (18/383) av patienterna. Stora rearrangemang i BRAC1/2-generna upptäcktes hos 5,5 % (21/383) av de randomiserade patienterna. gBRCAm-status hos patienter som inkluderades genom lokal testning bekräftades retrospektivt genom central testning. Retrospektiv testning av patienter med tillgängliga tumörprov utfördes med central testning och gav fastställda resultat hos 341 patienter, av vilka 95 % hade lämplig mutation (känd [n = 47] eller sannolikt patogen [n = 277]) och 2 gBRCAwt patienter bekräftades endast ha sBRCAm. I SOLO1 hade 389 patienter germline BRCA1/2m och 2 hade somatisk BRCA1/2m.
Demografiska- och baslinjekaraktäristika var generellt välbalanserade mellan olaparib- och placebobehandlingsarmarna. Medianåldern var 53 år i båda armarna. Ovarialcancer var primärtumör hos 85 % av patienterna. Den vanligaste histologiska typen var serös (96 %), endometroid histologi rapporterades hos 2 % av patienterna. De flesta patienterna hade ECOG funktionsstatus 0 (78 %), det finns inga data för patienter med funktionsstatus 2 till 4. Sextiotre procent (63 %) av patienterna hade genomgått cancerreducerande kirurgi och av dessa hade majoriteten (75 %) ingen makroskopisk återstående sjukdom. Cancerreducerande intervallkirurgi utfördes i 35 % av patienterna och av dessa hade 82 % ingen återstående makroskopisk sjukdom rapporterad. Sju patienter, alla i stadie IV, fick ingen cancerreducerande kirurgi. Alla patienter hade fått första linjens platinabaserad behandling. Det fanns inga sjukdomsbevis vid studiestart (CR) definierade av prövaren som avsaknad av radiologiska bevis för sjukdom och cancerantigen 125 (CA-125) inom normalintervallet, hos 73 % och 77 % av patienterna i olaparib- respektive placeboarmarna. PR, definierad som förekomst av mätbara eller ej mätbara lesioner vid baslinjen eller förhöjda CA‑125, rapporterades hos 27 % och 23 % av patienterna i olaparib- respektive placeboarmen. Nittiotre procent (93 %) av patienterna randomiserades inom 8 veckor från deras sista dos palatinabaserad cytostatikabehandling. Patienter som behandlats med bevacizumab exkluderades från studien, därför saknas säkerhets- och effektdata för olaparibpatienter som tidigare fått bevacizumab. Det finns mycket begränsade data för patienter med somatisk BRCA-mutation.
Primärt effektmått var progressionsfri överlevnad (PFS) definierad som tid från randomisering till progression bedömt av prövaren genom användning av modifierad Response Evaluation Criteria in Solid Tumors (RECIST) 1.1 eller död. Sekundärt effektmått omfattade tiden från randomisering till andra progression eller död (PFS2), total överlevnad (OS), tid från randomisering till behandlingsavbrott eller död (TDT), tid från randomisering till första efterföljande cancerbehandling eller död (TFST) och hälsorelaterad livskvalitet (HRQoL). Patienterna genomgick tumörbedömningar vid baslinjen och var tolfte vecka under 3 år och därefter var 24:e vecka relaterat till randomiseringsdatum fram till objektiv radiologisk sjukdomsprogression.
Studien visade en kliniskt relevant och statistiskt signifikant förbättring i prövarbedömd PFS för olaparib jämfört med placebo. Prövarens bedömning av PFS stöddes av en blindad oberoende central radiologisk (blinded independent central radiological, BICR) granskning av PFS. En deskriptiv analys vid sju år efter randomisering av den sista patienten visade en kliniskt betydande nytta för total överlevnad (OS) som numeriskt gynnade olaparibarmen. Effektresultat presenteras i tabell 3 och figur 1 och 2.
Tabell 3 Effektresultat för nydiagnosticerade patienter med BRCA1/2m avancerad ovarialcancer i SOLO1
a Baserad på Kaplan-Meier-beräkningar, andel patienter som var progressionsfria vid 24 och 36 månader var 74 % och 60 % för olaparib jämfört med 35 % och 27 % för placebo; medianuppföljningstiden var 41 månader för både olaparib- och placeboarmarna.
b Ett värde på < 1 gynnar olaparib. Analysen utfördes med en Cox proportionell riskmodell inklusive respons på tidigare cytostatikabehandling med platina (CR eller PR) som en kovariat.
c Av de 97 patienterna i placeboarmen som erhöll efterföljande behandling fick 58 (60 %) en PARP-inhibitor.
d Baserad på Kaplan-Meier-beräkningar var andelen patienter som var vid liv 84 månader 67 % för olaparibarmen jämfört med 47 % för placebo.
bd Två gånger dagligen; NR = ej uppnått; KI = konfidensintervall; PFS = progressionsfri överlevnad; PFS2 = tid till andra progression eller död; OS = total överlevnad; TFST = tid från randomisering till första efterföljande anticancerbehandling eller död.
Figur 1 SOLO1: Kaplan‑Meier-kurva av PFS hos nydiagnosticerade patienter med BRCA1/2m avancerad ovarialcancer (51 % mognad ‑ prövarens bedömning)
Figur 2 SOLO1: Kaplan‑Meier-kurva av OS hos nydiagnosticerade patienter with BRCA1/2m avancerad ovarialcancer (38 % mognad)
Konsekventa resultat observerades i undergrupperna av patienter per sjukdomsbevis vid studiestart. Patienter med CR definierad av prövaren hade riskkvot 0,34 (95 % KI 0,24–0,47); median PFS uppnåddes inte för olaparib jämfört med 15,3 månader för placebo. Vid 24 respektive 36 månader, kvarstod 68 % respektive 45 % av patienterna i CR i olaparibarmen, och 34 % respektive 22 % av patienterna i placeboarmen. Patienterna med PR vid studiestart hade PFS riskkvot 0,31 (95 % KI 0,18, 0,52; median PFS 30,9 månader för olaparib jämfört med 8,4 månader för placebo). Patienter med PR vid studiestart nådde antingen CR (15 % i olaparibarmen och 4 % i placeboarmen vid 24 månader, kvarstod i CR vid 36 månader) eller hade fortsatt PR/stabil sjukdom (43 % i olaparibarmen och 15 % i placeboarmen vid 24 månader; 17 % i olaparibarmen och 15 % i placeboarmen vid 36 månader). Andelen patienter som progredierade inom 6 månader efter den sista dosen platinabaserad cytostatikabehandling var 3,5 % för olaparib och 8,4 % för placebo.
Underhållsbehandling av platinumkänslig recidiverande (PSR) ovarialcancer
SOLO2‑studien
Säkerhet och effekt av olaparib som underhållsbehandling vid behandling av platinumkänslig recidiverande (PSR) ovarialcancer, tubarcancer eller primär peritonealcancer, studerades i en randomiserad, dubbelblind placebokontrollerad fas III‑prövning med PSR och BRCA1/2-muterad sjukdom. I studien jämfördes effekten av underhållsbehandling med Lynparza [300 mg (2 x 150 mg tabletter) två gånger dagligen] fram till progression med placebobehandling hos 295 patienter med höggradig serös eller endometrioid PSR ovarialcancer (randomisering 2:1: 196 olaparib och 99 placebo) vilka var i respons (CR eller PR) efter avslutad platinainnehållande cytostatikabehandling.
Patienter med två eller flera platina-innehållande regimer och vars sjukdom återkommit > 6 månader efter den näst sista platinabaserade cytostatikabehandlingen ingick i studien. Patienter som tidigare behandlats med olaparib eller annan PARP‑hämmare ingick inte i studien. Patienter kunde tidigare ha fått bevacizumab, förutom i den behandling som omedelbart föregick randomisering.
Alla patienter hade bekräftad gBRCA1/2m-mutation vid baslinjen. Patienter med BRCA1/2-mutationer identifierades antingen genom testning av blod genom ett lokalt test eller central testning genom Myriad eller genom lokal testning av tumörvävnad. Stora rearrangemang i BRCA1/2‑generna detekterades hos 4,7 % (14/295) av de randomiserade patienterna.
Demografi- och baslinjekarakteristika var generellt sett välbalanserade mellan olaparib- och placeboarmarna. Medianåldern var 56 år i båda armarna. Den primära tumören var lokaliserad till äggstockarna hos > 80 % av patienterna. Den vanligaste histologiska typen var serös (> 90 %), endometrioid histologi rapporterades hos 6 % av patienterna. I olaparibarmen hade 55 % av patienterna endast fått 2 tidigare behandlingslinjer och 45 % hade fått 3 eller fler tidigare behandlingslinjer. I placeboarmen hade 61 % av patienterna endast fått 2 tidigare behandlingslinjer och 39 % hade fått 3 eller fler tidigare behandlingslinjer. De flesta patienterna hade ett ECOG-funktionsstatus på 0 (81 %), det finns inga data för patienter med funktionsstatus 2 till 4. Det platinafria intervallet var > 12 månader hos 60 % och > 6‑12 månader hos 40 % av patienterna. Svaret på tidigare platinakemoterapi var fullständigt hos 47 % och partiellt hos 53 % av patienterna. I olaparib- och placeboarmarna hade 17 % respektive 20 % av patienterna tidigare fått bevacizumab.
Primärt effektmått var PFS enligt prövarens bedömning genom användning av RECIST 1.1. Sekundära effektmått innefattade PFS2; OS, TDT, TFST, TSST; samt HRQoL.
Studien uppnådde det primära syftet genom att påvisa statistiskt signifikant förbättring av prövarbedömd PFS för olaparib jämfört med placebo med en riskkvot på 0,30 (95 % KI 0,22‑0,41; p < 0,0001; median 19,1 månader olaparib jämfört med 5,5 månader placebo). Prövarnas bedömning av PFS stämde överens med en blindad, oberoende, central radiologisk granskning av PFS (HR 0,25; 95 % KI 0,18‑0,35; p < 0,0001; median 30,2 månader för olaparib och 5,5 månader för placebo). Vid 2 år var 43 % olaparibbehandlade patienter fortfarande fria från progression jämfört med endast 15 % placebobehandlade patienter.
En sammanfattning av de primära objektiva resultaten för patienter med gBRCA1/2m PSR ovarialcancer i SOLO2 redovisas i tabell 4 och figur 3.
Tabell 4 Sammanfattning av de primära objektiva resultaten för patienter med gBRCA1/2m PSR ovarialcancer i SOLO2
a HR= riskkvot (Hazard Ratio). Ett värde < 1 innebär fördel för olaparib. Analysen utfördes med Cox proportionella riskmodell inklusive respons på tidigare platinakemoterapi (CR eller PR) och tid till sjukdomsprogression (> 6‑12 månader och > 12 månader) i den näst senaste platinabaserade kemoterapin, som kovariater.
bd =två gånger dagligen; PFS=progressionsfri överlevnad; KI=konfidensintervall.
Figur 3 SOLO2: Kaplan-Meier-kurva över PFS hos patienter med gBRCA1/2m PSR ovarialcancer (63 % mognad - prövarens bedömning)
Vid den slutliga analysen av OS (61 % mognad) var HR 0,74 (95 % KI 0,54-1,00; p=0,0537; median 51,7 månader för olaparib jämfört med 38,8 månader för placebo) vilket inte nådde statistisk signifikans. De sekundära effektmåtten TFST och PFS2 påvisade en persistent och statistiskt signifikant förbättring för olaparib jämfört med placebo. Resultat för OS, TFST och PFS2 presenteras i tabell 5 och figur 4.
Tabell 5 Sammanfattning av viktiga sekundära objektiva resultat för patienter med gBRCA1/2m PSR ovarialcancer i SOLO2
* Ej kontrollerat avseende multiplicitet
a HR=riskkvot (Hazard Ratio). Ett värde < 1 innebär fördel för olaparib. Analysen utfördes med Cox proportionella riskmodell inklusive respons på tidigare platinakemoterapi (CR eller PR) och tid till sjukdomsprogression (> 6‑12 månader och > 12 månader) i den näst senaste platinabaserade kemoterapin, som kovariater.
bd Två gånger dagligen; NR ej uppnått; KI konfidensintervall; PFS2 tid från randomisering till andra progression eller död; TFST Tid från randomisering till start av första påföljande behandling eller död.
Figur 4 SOLO2: Kaplan-Meier-kurva över OS hos patienter med gBRCA1/2m PSR ovarialcancer (61 % mognad)
Bland de patienter som gick in i studien med mätbar sjukdom (mållesioner vid baslinjen), uppnåddes en objektiv responsfrekvens på 41 % i Lynparza-armen jämfört med 17 % på placebo. Av patienter som behandlades med Lynparza, och som gick in i studien med evidens för sjukdom (mål- eller icke mållesioner vid baslinjen), fick 15,0 % komplett respons jämfört med 9,1 % av patienterna på placebo.
Vid tiden för analysen av PFS var medianvärdet för behandlingsvaraktigheten 19,4 månader för olaparib och 5,6 månader för placebo. Majoriteten av patienterna förblev på en olaparib-dos på 300 mg två gånger dagligen. Förekomsten av dosavbrott, dosminskning, utsättning på grund av en biverkning var 45,1 %, 25,1 % respektive 10,8 %. Dosavbrott uppträdde oftast under de första 3 månaderna och dosminskningar under de första 3‑6 månaderna av behandlingen. De vanligaste biverkningarna som ledde till dosavbrott eller dosminskning var anemi, illamående och kräkningar.
Patientrapporterade resultatdata (PRO) visar inte på någon skillnad för de olaparibbehandlade patienterna jämfört med placebo bedömt som förändringen från baslinjen i TOI i FACT‑O.
Study 19 (D0810C00019)
Säkerhet och effekt av olaparib som underhållsbehandling vid behandling av platinumkänslig recidiverande (PSR) ovarialcancer, inklusive tubarcancer eller primär peritonealcancer, efter två eller fler behandlingsregimer med platinumbaserad cytostatikabehandling, studerades i en randomiserad, dubbelblind placebokontrollerad fas II‑prövning (Study 19). I studien jämfördes effekten av underhållsbehandling med Lynparza som togs fram till progression med placebobehandling hos 265 (136 olaparib och 129 placebo) PSR höggradig serös ovarialcancer-patienter som var i respons (CR eller PR) efter slutförande av platinainnehållande kemoterapi. Det primära effektmåttet var PFS baserat på prövarens bedömning med användning av RECIST 1.0. Sekundära effektmått innefattade OS, sjukdomskontrollfrekvens (DCR) definierat som bekräftad CR/PR + SD (stabil sjukdom), HRQoL och sjukdomsrelaterade symtom. Dessutom gjordes explorativa analyser av TFST och TSST.
Patienter vars sjukdom återkommit > 6 månader efter den näst sista platinabaserade kemoterapin ingick i studien. Inskrivningen krävde inte evidens på BRCA1/2‑mutation (BRCA-mutationsstatus bedömdes retrospektivt för vissa patienter). Patienter som tidigare behandlats med olaparib eller annan PARP‑hämmare ingick inte. Patienter kunde tidigare ha fått bevacizumab, förutom i den behandling som omedelbart föregick randomisering. Förnyad behandling med olaparib var inte tillåtet efter progression hos patienter behandlade med olaparib.
Patienter med BRCA1/2-mutationer identifierades antingen genom testning av blod genom ett lokalt test eller central testning genom Myriad eller genom testning av ett tumörprov utfört av Foundation Medicine. Stora rearrangemang i BRCA1/2-generna detekterades hos 7,4 % (10/136) av de randomiserade patienterna.
Demografi- och baslinjekarakteristika var generellt sett välbalanserade mellan olaparib- och placeboarmarna. Medianåldern var 59 år i båda armarna. Ovarialcancer var den primära tumören hos 86 % av patienterna. I olaparibarmen hade 44 % av patienterna endast fått 2 tidigare behandlingslinjer och 56 % hade fått 3 eller fler tidigare behandlingslinjer. I placeboarmen hade 49 % av patienterna endast fått 2 tidigare behandlingslinjer och 51 % hade fått 3 eller fler tidigare behandlingslinjer. De flesta patienterna hade ett ECOG-funktionsstatus på 0 (77 %), det finns inga data för patienter med funktionsstatus 2 till 4. Det platinafria intervallet var > 12 månader hos 60 % och 6-12 månader hos 40 % av patienterna. Svaret på tidigare platinakemoterapi var fullständigt hos 45 % och partiellt hos 55 % av patienterna. I olaparib- och placeboarmarna hade 6 % respektive 5 % av patienterna tidigare fått bevacizumab.
Studien uppfyllde det primära syftet genom att påvisa en statistiskt signifikant förbättring av PFS för olaparib jämfört med placebo i den totala populationen med en riskkvot (HR) på 0,35 (95 % KI 0,25‑0,49; p < 0,00001; median 8,4 månader olaparib jämfört med 4,8 månader placebo). Vid den slutliga analysen (data-brytvärde [DCO] 9 maj 2016) för OS vid 79 % mognad var riskkvoten vid jämförelse av olaparib med placebo 0,73 (95 % KI 0,55‑0,95; p=0,02138 (uppfyllde inte förspecificerad signifikansnivå på < 0,0095); median 29,8 månader olaparib jämfört med 27,8 månader placebo). I den olaparibbehandlade gruppen kvarstod 23,5 % (n=32/136) av patienterna på behandling i ≥ 2 år jämfört med 3,9 % (n=5/128) av patienterna på placebo. Även om antalet patienter var begränsat, stod 13,2 % (n=18/136) av patienterna i den olaparibbehandlade gruppen kvar på behandling i ≥ 5 år jämfört med 0,8 % (n=1/128) av patienterna i placebogruppen.
Förplanerad subgruppsanalys identifierade patienter med BRCA1/2-muterad ovarialcancer (n=136, 51,3 %; inklusive 20 patienter som identifierades med en somatisk BRCA1/2-mutation i tumören) som den subgrupp med största kliniska nyttan av underhållsmonoterapi med olaparib. En fördel observerades också hos patienter med BRCA1/2-vildtyp/varianter av oklar signifikans (BRCA1/2 wt/VUS), dock i mindre omfattning. Det fanns ingen strategi för multipel testning planerad för subgruppsanalyserna.
En sammanfattning av de primära objektiva resultaten för patienter med BRCA1/2-muterad och BRCA1/2 wt/VUS-PSR ovarialcancer i Study 19 redovisas i tabell 6 och för alla patienter i Study 19 i tabell 6 och figur 5.
Tabell 6 Sammanfattning av primära objektiva resultat för alla patienter och patienter med BRCA1/2-muterad och BRCA1/2 wt/VUS PSR ovarialcancer i Study 19
a Alla patienter består av följande subgrupper: BRCA1/2-muterad, BRCA1/2 wt/VUS och BRCA1/2 okänd status (11 patienter med okänd status visas inte som en separat subgrupp i tabellen).
b HR= riskkvot (Hazard Ratio). Ett värde < 1 innebär fördel för olaparib. Analysen utfördes med Cox proportionell riskmodell med faktorer för behandling, etniskt ursprung, platinakänslighet och respons på den sista platinabehandlingen.
PFS = progressionsfri överlevnad; DCO = data-brytvärde; KI = konfidensintervall; NR = inte uppnått.
Figur 5 Study 19: Kaplan-Meier-kurva över PFS i FAS (58 % mognad - prövarens bedömning) DCO 30 juni 2010
En sammanfattning av viktiga sekundära objektiva resultat för patienter med BRCA1/2-muterad och BRCA1/2 wt/VUS-PSR ovarialcancer i Study 19 redovisas i tabell 7 och för alla patienter i Study 19 i tabell 7 och figur 6.
Tabell 7 Sammanfattning av viktiga sekundära objektiva resultat för alla patienter och patienter med BRCA1/2-muterad och BRCA1/2 wt/VUS PSR ovarialcancer i Study 19
* Det fanns ingen strategi planerad för multipel testning för subgruppsanalyser eller för alla patienters TFST.
a Alla patienter består av följande subgrupper: BRCA1/2-muterad, BRCA1/2 wt/VUS och BRCA1/2 okänd status (11 patienter med okänd status visas inte som en separat subgrupp i tabellen).
b HR= riskkvot (Hazard Ratio). Ett värde < 1 innebär fördel för olaparib. Analysen utfördes med Cox proportionell riskmodell med faktorer för behandling, etniskt ursprung, platinakänslighet och respons på den sista platinabehandlingen.
c Cirka en fjärdedel av de placebobehandlade patienterna i subgruppen med BRCA-mutation (14/62; 22,6 %) fick därefter en PARP-hämmare.
OS= total överlevnad; DCO=databrytvärde; KI=konfidensintervall; TFST=tid från första randomisering till start av första påföljande behandling eller död.
Figur 6 Study 19: Kaplan-Meier-kurva över OS i FAS (79 % mognad) DCO 09 maj 2016
Vid tiden för analysen av PFS var medianvärdet för behandlingsvaraktighet 8 månader för olaparib och 4 månader för placebo. Majoriteten av patienterna förblev på en olaparib-dos. Förekomsten av dosavbrott, dosminskningar och utsättning på grund av en biverkning var 34,6 %, 25,7 % respektive 5,9 %. Dosavbrott och dosminskningar uppträdde oftast under de första 3 månaderna av behandlingen. De vanligaste biverkningarna som ledde till dosavbrott eller dosminskning var illamående, anemi, kräkningar, neutropeni och trötthet. Förekomsten av anemibiverkningar var 22,8 % (CTCAE-grad ≥ 3 7,4 %).
Patientrapporterade resultatdata (PRO) visar inte på någon skillnad för de olaparibbehandlade patienterna jämfört med placebo uppmätt genom förbättrings- och försämringsfrekvenser i TOI och total poäng i FACT-O.
OPINION-studien
OPINION, en fas IIIb enarmad, multicenterstudie, undersökte olaparib som underhållsbehandling för patienter med PSR ovarial-, tubar- eller primär peritonealcancer efter två eller flera behandlingslinjer med platinumbaserad cytostatikabehandling och som inte hade en känd skadlig eller misstänkt skadlig gBRCA‑mutation. Patienter vars sjukdom var i respons (CR eller PR) efter avslutad platinumbaserad cytostatikabehandling inkluderades. Totalt 279 patienter inkluderades och fick olaparibbehandling i denna studie tills sjukdomsprogression eller oacceptabel toxicitet. Baserat på central testning bekräftades 90,7 % med en icke-gBRCAm status, dessutom identifierades 9,7 % som sBRCAm.
Det primära effektmåttet var prövarbedömd PFS enligt modifierad RECIST v1.1. Sekundära effektmått inkluderade OS.
Underhållsbehandling med olaparib visade klinisk aktivitet hos patienter med icke-gBRCAm PSR ovarialcancer. Vid den slutliga analysen av total överlevnad (DCO 17 september 2021) var OS-data 52,3 % mogna.
En sammanfattning av de primära objektiva PFS-resultaten och de sekundära objektiva OS-resultaten för patienter med icke-gBRCAm PSR ovarialcancer i OPINION redovisas i tabell 8.
Tabell 8 Sammanfattning av viktiga objektiva resultat för icke-gBRCAm patienter med PSR ovarialcancer i OPINION
a Beräknad med Kaplan-Meier metoden.Konfidensintervall för median PFS och OS erhölls baserat på Brookmeyer Crowley metoden.bd=två gånger dagligen; PFS=progressionsfri överlevnad; OS=total överlevnad; DCO=datum för datainsamling (data cut off); KI=konfidensintervall.
Första linjens underhållsbehandling av HRD‑positiv avancerad ovarialcancer
PAOLA‑1‑studien
PAOLA‑1 var en randomiserad, dubbelblind, placebokontrollerad, multicenter fas III‑studie som jämförde effekt och säkerhet av Lynparza (300 mg [2 x 150 mg] två gånger dagligen) i kombination med bevacizumab (15 mg/kg kroppsvikt en gång var tredje vecka som en intravenös infusion) mot placebo plus bevacizumab som underhållsbehandling av avancerad (FIGO stadie III och IV) höggradig epitelial ovarial-, tubar- eller primär peritonealcancer efter avslutad första linjens platinumbaserad cytostatikabehandling och bevacizumab. Behandling med bevacizumab pågick i totalt upp till 15 månader/22 cykler, inklusive perioden i kombination med cytostatikabehandling och som underhållsbehandling.
I studien randomiserades 806 patienter (2:1 randomisering: 537 olaparib/bevacizumab: 269 placebo/bevacizumab) utan tecken på sjukdom (no evidence of disease, NED) på grund av fullständig kirurgisk resektion, eller med komplett respons (CR) eller partiell respons (PR) efter avslutad första linjens platinuminnehållande cytostatikabehandling och bevacizumab. Patienterna hade genomgått minst 4 och högst 9 cykler. Majoriteten (63 %) hade fått 6 cykler med första linjens platinum-taxan‑baserad cytostatikabehandling, inklusive minst 2 cykler med bevacizumab i kombination med de 3 sista cyklerna av cytostatikabehandling. Medianantal bevacizumab‑cykler före randomisering var 5.
Patienterna stratifierades med avseende på respons på första linjens behandling (tidpunkt och resultat av cancerreducerande kirurgi och svar på platinumbaserad cytostatikabehandling) och tBRCAm‑status, fastställd genom prospektiv lokal testning. Patienterna fortsatte behandling med bevacizumab som underhållsbehandling och började behandling med Lynparza efter minst 3 veckor och upp till högst 9 veckor efter avslutad sista dos cytostatikabehandling. Behandling med Lynparza fortsatte tills den underliggande sjukdomen progredierar, oacceptabel toxicitet eller i upp till 2 år. Patienter som enligt behandlande läkares bedömning kunde dra ytterligare nytta av fortsatt behandling, kunde behandlas längre än 2 år.
Demografi- och baslinjekarakteristika var balanserade mellan de båda armarna i ITT (intent to treat)‑populationen och i subgrupperna definierade av biomarkörer för tBRCAm (prospektivt och retrospektivt fastställda), GIS‑ och HRD‑status (definierad i denna studie som en kombination av båda biomarkörer). Medianåldern för alla patienter var 61 år. De flesta patienter i båda armarna hade ett ECOG‑funktionsstatus på 0 (70 %). Ovarialcancer var primärtumör hos 86 % av patienterna. Den vanligaste histologiska typen var serös (96 %) och endometroid histologi rapporterades hos 2 % av patienterna. De flesta patienter diagnostiserades i FIGO stadie IIIC (63 %). Alla patienter hade fått första linjens platinumbaserad behandling och bevacizumab. Patienterna begränsades inte av det kirurgiska utfallet; sextiotre procent (63 %) av patienterna hade komplett cytoreduktion efter initial eller cancerreducerande intervallkirurgi och 37 % hade makroskopisk resterande sjukdom. Trettio procent (30 %) av patienterna i båda armarna hade tBRCAm vid screening. Demografi- och baslinjekarakteristika för subgrupperna för biomarkörer överensstämde med dem för ITT‑populationen. I den HRD‑positiva subgruppen hade 65 % av patienterna komplett cytoreduktion och 35 % av patienterna hade makroskopisk resterande sjukdom. I hela den inkluderade patientpopulationen hade 30 % av patienterna i båda armarna tBRCAm (skadlig/patogen mutation) vid screening genom lokal testning och för 4 % av patienterna var BRCAm‑statusen okänd. Retrospektiva analyser genomfördes på tillgängliga kliniska prover för 97 % av patienterna för att bekräfta tBRCAm‑status och undersöka poäng för genomisk instabilitet som beskrivet ovan. Bland icke-tBRCAm-patienter hade 29 % (19 % i den totala populationen) positiv GIS fördefinierad i denna studie som sammansatt poäng ≥ 42. När tBRCAm‑status och positiv GIS kombinerades representerade patienter med HRD-positiv, HRD‑negativ respektive okänd HRD‑status i sina tumörer 48 %, 34 % respektive 18 % av den totala populationen.
Det primära effektmåttet var progressionsfri överlevnad (PFS) definierad som tid från randomisering till progression bedömt av prövaren genom användning av modifierad Response Evaluation Criteria in Solid Tumors (RECIST) 1.1 eller död. Sekundärt effektmått omfattade tiden från randomisering till andra progression eller död (PFS2), total överlevnad (OS), tid från randomisering till första efterföljande cancerbehandling eller död (TFST) och hälsorelaterad livskvalitet (HRQoL). Patienterna genomgick tumörbedömningar vid baslinjen och var 24:e vecka (CT/MRI vid vecka 12 om klinisk eller CA 125 progression) i upp till 42 månader eller till objektiv radiologisk sjukdomsprogression.
Studien uppnådde det primära effektmåttet i ITT-populationen genom att påvisa en statistiskt signifikant förbättring av prövarbedömd PFS för olaparib/bevacizumab jämfört med placebo/bevacizumab (HR: 0,59, 95 % KI 0,49‑0,72, p < 0,0001 med en mediantid på 22,1 månader för olaparib/bevacizumab jämfört med 16,6 månader för placebo/bevacizumab). Detta överensstämde med en BICR-utvärdering av PFS. Patienter definierade som positiva för biomarkörer (tBRCAm, GIS, positiv HRD-status definierad som tBRCAm‑ och/eller GIS‑positiv) erhöll dock större nytta.
Slutlig analys av PFS2 (DCO 22 mars 2020, 53 % mognad) i den totala populationen var statistiskt signifikant (HR 0,78, 95 % KI 0,64‑0,95, p=0,0125 med en median på 36,5 månader för olaparib/bevacizumab jämfört med 32,6 månader för placebo/bevacizumab).
Vid den slutliga analysen av OS (DCO 22 mars 2022) hos patienterna med positiv HRD-status (tBRCAm och/eller GIS) konstaterades en numerisk förbättring av OS i olaparib/bevacizumab-armen jämfört med placebo/bevacizumab-armen (se tabell 9).
I den randomiserade subgruppen med tBRCAm (241/806 patienter) var median PFS 37,2 månader i olaparib/bevacizumab‑armen jämfört med 22,0 månader i placebo/bevacizumab‑armen (HR=0,34, 95 % KI 0,23, 0,51). Vid den slutliga analysen av total överlevnad (DCO 22 mars 2022) visar den randomiserade subgruppen med tBRCAm en numerisk minskning av risk för död med olaparib/bevacizumab jämfört med placebo/bevacizumab (HR 0,63; 95 % KI 0,41, 0,97).
Effektresultat från andra analyser från subgrupper för biomarkörer, baserat på retrospektivt analyserade tumörprover, redovisas i tabell 9.
Tabell 9 Sammanfattning av de viktigaste effektresultaten för patienter med positiv status för defekt homolog rekombination (HRD) definierad av antingen tBRCAm och/eller GIS med avancerad ovarialcancer i PAOLA-1
* Förplanerad subgrupp
a Baserad på Kaplan-Meier-beräkningar, andel patienter som var progressionsfria vid 12 och 24 månader var 89 % och 66 % för olaparib/bevacizumab jämfört med 71 % och 29 % för placebo/bevacizumab.
b Ett värde på < 1 gynnar olaparib. Analysen utfördes med en Cox proportionell riskmodell stratifierad med avseende på respons på första linjens behandling vid screening samt tBRCA‑status vid screening.
c tBRCAm‑status genom Myriad
d HRD-positiv undantaget tBRCAm definierades som poäng för genomisk instabilitet (GIS) genom Myriad ≥ 42 (förspecificerat brytvärde)
KI Konfidensintervall; HR riskkvot (Hazard Ratio); NR ej uppnått
Figur 7 PAOLA-1: Kaplan-Meier‑kurva över PFS hos patienter avancerad ovarialcancer definierad som HRD‑positiv i PAOLA-1 (46 % mognad - prövarbedömd)
Figur 8 PAOLA-1: Kaplan-Meier-kurva, slutlig total överlevnad per positiv HRD-status (inklusive tBRCAm) (DCO 22 mars 2022)
Adjuvant behandling av nedärvd BRCA-muterad tidig bröstcancer med hög risk
OlympiA
Säkerheten och effekten av olaparib som adjuvant behandling hos patienter med nedärvda BRCA1/2-mutationer och HER2-negativ tidig bröstcancer med hög risk som genomgått definitiv lokal behandling och neoadjuvant eller adjuvant kemoterapi studerades i en randomiserad, dubbelblind, placebokontrollerad fas III multicenterstudie med parallellgrupper (OlympiA). Kriteriet var att patienterna hade genomgått minst 6 cykler av neoadjuvant eller adjuvant kemoterapi innehållande antracykliner, taxaner eller båda. Tidigare platinabehandling för tidigare cancer (t.ex. ovarial cancer) eller som adjuvant eller neoadjuvant behandling för bröstcancer var tillåten. Patienter med tidig bröstcancer med hög risk definierades enligt följande:
patienter som tidigare fått neoadjuvant kemoterapi: patienter med antingen trippelnegativ bröstcancer (TNBC) eller hormonreceptorpositiv bröstcancer måste ha haft kvarvarande invasiv cancer i bröstet och/eller de borttagna lymfnoderna (patologisk icke-komplett respons, non-pathologic complete response) vid tidpunkten för operation. Patienter med hormonreceptorpositiv bröstcancer måste också ha haft ett CPS- och EG-poäng ≥ 3 baserat på kliniskt och patologiskt stadium före och efter behandlingen (CPS), östrogenreceptorstatus (ER) och histologisk grad såsom visas i tabell 10.
Tabell 10 Kriterier för poäng för stadium av tidig bröstcancer, receptorstatus och grad för inklusion i studien*
*Ett totalpoäng ≥ 3 krävs för patienter med hormonreceptorpositiv bröstcancer
patienter som tidigare fått adjuvant kemoterapi: patienter med trippelnegativ bröstcancer (TNBC) måste ha haft nodpositiv sjukdom eller nodnegativ sjukdom med en primärtumör ≥ 2 cm, HR-positiva, HER2-negativa patienter måste ha haft ≥ 4 patologiskt bekräftade positiva lymfnoder.
Patienterna randomiserades (1:1) till antingen olaparib 300 mg (2 x 150 mg tabletter) två gånger dagligen (n=921) eller placebo (n=915). Randomiseringen stratifierades med avseende på hormonreceptorstatus (HR-positiv/HER2-negativ vs. TNBC), tidigare neoadjuvant vs. adjuvant kemoterapi och tidigare platinabehandling för nuvarande bröstcancer (ja vs. nej). Behandlingen fortsatte i upp till 1 år eller till sjukdomsåterfall eller oacceptabel toxicitet. Patienter med HR-positiva tumörer fick också endokrin behandling.
Primärt effektmått var invasiv sjukdomsfri överlevnad (IDFS) som definierades som tiden från randomisering till datum för första återfall, där återfall definierades som invasiv lokoregional, fjärråterfall, kontralateral invasiv bröstcancer, ny cancer eller död oavsett orsak. Sekundära syften inkluderade total överlevnad (OS), fjärrmetastasfri överlevnad (DDFS, definierad som tiden från randomisering till evidens på första fjärråterfall av bröstcancer), incidens av nya primära kontralaterala bröstcancerfall (invasiv och icke-invasiv), ny primär ovarial cancer, ny primär tubarcancer och ny primär peritonealcancer och patientrapporterade resultat (PRO) utifrån FACIT-Trötthet- och EORTC QLQ-C30-enkäterna.
Central testning genom Myriad eller lokal gBRCA-testning, om tillgänglig, användes för att fastställa lämpligheten för studien. Patienter som inkluderats baserat på lokalt gBRCA-test lämnade prov för retrospektiv bekräftande testning. Av 1836 patienter som inkluderades i OlympiA bekräftades 1623 ha gBRCAm genom central testning, antingen prospektivt eller retrospektivt.
Demografiska- och baslinjekaraktäristika var välbalanserade mellan de två behandlingsarmarna. Medianåldern var 42 år. Sextiosju procent (67 %) av patienterna var vita, 29 % asiatiska och 2,6 % svarta. Två patienter (0,2 %) av patienterna i olaparibarmen och fyra patienter (0,4 %) i placeboarmen var män. Sextioen procent (61 %) av patienterna var premenopausala. Åttionio procent (89 %) av patienterna hade ECOG-funktionsstatus på 0 och 11 % ECOG-funktionsstatus på 1. Åttiotvå procent (82 %) av patienterna hade TNBC och 18 % hade HR-positiv sjukdom. Femtio procent (50 %) av patienterna hade tidigare fått neoadjuvant och 50 % hade tidigare fått adjuvant kemoterapi. Nittiofyra procent (94 %) av patienterna fick antracyklin och taxan. Totalt tjugosex procent (2 %) av patienterna hade tidigare fått platinabehandling för bröstcancer. I olaparibarmen fick 87 % och i placeboarmen 92 % av patienterna med HR-positiv sjukdom samtidig endokrin behandling. Totalt 89,5 % av patienterna med HR-positiv sjukdom fick endokrin behandling, som inkluderade letrozol (23,7 %), tamoxifen (40,9 %), anastrozol (17,2 %) eller exemestan (14,8 %).
Studien uppnådde sitt primära effektmått genom att påvisa statistiskt signifikant förbättring av IDFS i olaparibarmen jämfört med placeboarmen. IDFS-relaterade händelser inträffade hos 284 patienter, vilket motsvarade 12 % av patienterna i olaparibarmen (fjärrmetastaserad 8 %, lokal/regional 1,4 %, kontralateral invasiv bröstcancer 0,9 %, sekundära primära maligniteter annanstans än i bröstet 1,2 %, död 0,2 %) och 20 % av patienterna i placeboarmen (fjärrmetastaserad 13 %, lokal/regional 2,7 %, kontralateral invasiv bröstcancer 1,3 %, sekundära primära maligniteter annanstans än i bröstet 2,3 %, död 0 %). Ytterligare observerades en statistiskt signifikant förbättring av DDFS i olaparibarmen jämfört med placeboarmen. Vid tidpunkten för den primära OS-analysen (10 % mognad, DCO 12 juli 2021) observerades en statistiskt signifikant förbättring av OS i olaparibarmen jämfört med placeboarmen (HR = 0,68 [98,5 % KI 0,47, 0,97], p‑värde = 0,0091). En förspecifierad analys som utfördes ungefär 5 år efter att den sista patienten randomiserades, med en median uppföljningstid på 6,2 år i olaparibarmen och 6,1 år i placeboarmen, visade fortfarande en förbättring av OS med olaparib jämfört med placebo. Effektresultat i FAS presenteras i tabell 11 och figurerna 9 och 10.
Tabell 11 Effektresultat för adjuvant behandling av patienter med nedärvd BRCA-muterad tidig bröstcancer i OlympiA
a Baserat på stratifierad Cox proportionell riskmodell, < 1 indikerar en lägre risk med olaparib jämfört med placeboarmen.
b P-värde från ett stratifierat log-ranktest.
c Procentandelarna baseras på KM-beräkningar.
bd = två gånger dagligen; KI = konfidensintervall; DCO = data cut-off; DDFS = fjärrmetastasfri överlevnad; IDFS = invasiv sjukdomsfri överlevnad; HR = riskkvot; KM = Kaplan-Meier; OS = total överlevnad. N= antal patienter
Figur 9 Kaplan-Meier-kurva av IDFS för adjuvant behandling av patienter med nedärvd BRCA-muterad tidig bröstcancer med hög risk i OlympiA (DCO 27 mars 2020)
Figur 10 Kaplan-Meier-kurva av OS för adjuvant behandling av patienter med nedärvd BRCA-muterad tidig bröstcancer med hög risk i OlympiA
(DCO 5 juni 2024)
gBRCA1/2-muterad HER2-negativ metastaserad bröstcancer
OlympiAD (Studie D0819C00003)
Säkerhet och effekt av olaparib hos patienter med gBRCA1/2-mutationer som har HER2-negativ metastaserad bröstcancer studerades i en fas III randomiserad, öppen, kontrollerad studie (OlympiAD). I denna studie randomiserades 302 patienter med en dokumenterad skadlig eller misstänkt skadlig gBRCA-mutation i förhållandet 2:1 att få antingen Lynparza (300 mg [2 x 150 mg tabletter] två gånger dagligen) eller läkarens val av cytostatika (capecitabin 42 %, eribulin 35 % eller vinorelbin 17 %) till progression eller oacceptabel toxicitet. Patienter med BRCA1/2-mutationer identifierades genom testning av blod genom ett lokalt test eller central testning genom Myriad. Patienter stratifierades baserat på: tidigare cytostatikaregimer för metastaserad bröstcancer (ja/nej), hormonreceptor (HR)‑positiv kontra trippel‑negativ bröstcancer (TNBC) samt tidigare platinabehandling av bröstcancer (ja/nej). Primärt effektmått var PFS fastställt av blindad oberoende central granskning (BICR) med användning av RECIST 1.1. Sekundärt effektmått inkluderade PFS2, OS, objektiv svarsfrekvens (ORR) och HRQoL.
Patienterna skulle ha behandlats med antracyklin, om inte kontraindicerat, och en taxan antingen vid (neo)adjuvant behandling eller vid metastaserad sjukdom. Patienter med HR+ (ER-positiv och/eller PgR-positiv) tumörer skulle ha mottagit och progredierat på åtminstone en endokrin behandling (adjuvant eller metastaserad) eller ha en sjukdom som den behandlande läkaren tyckte var olämplig för endokrin behandling. Tidigare behandling med platinum var tillåten vid metastaserad sjukdom, förutsatt att tecken på sjukdomsprogression saknades under platinabehandlingen och under (neo)adjuvant behandling, förutsatt att sista dosen erhölls minst 12 månader före randomisering. Tidigare behandling med olaparib eller annan PARP-hämmare var inte tillåten.
Demografi- och baslinjekarakteristika var generellt sett välbalanserade mellan olaparib- och jämförelsearmarna (tabell 12).
Tabell 12 Demografi- och baslinjekarakteristika för patienter i OlympiAD
Som efterföljande behandling fick 0,5 % av patienterna i behandlingsarmen och 8 % i jämförelsearmen en efterföljande PARP‑hämmare medan 29 % av patienterna i behandlingsarmen och 42 % i jämförelsearmen fick efterföljande platinabehandling.
En statistiskt signifikant förbättring av PFS, det primära effektmåttet, visades för olaparib-behandlade patienter jämfört med patienter i jämförelsearmen (se tabell 13 och figur 11).
Tabell 13 Sammanfattning av viktiga resultat i OlympiAD gällande effekt hos patienter med gBRCA1/2-muterad HER2-negativ metastaserad bröstcancer
a Baserat på stratifierat log-ranktest.
b Post-hoc analys.
c Median uppföljningstid i censurerade patienter var 25,3 månader för olaparib jämfört med 26,3 månader för jämförelseläkemedel.
d Fastställd respons (genom BICR) definierades som en dokumenterad respons av antingen CR/PR, bekräftat med upprepad bildtagning inte mindre än 4 veckor efter besöket då responsen först observerades. I olaparibarmen hade 8 % av patienterna med mätbar sjukdom jämfört med 1,5 % av patienterna i jämförelsearmen en komplett respons medan 74/167 (44 %) av patienterna i olaparibarmen jämfört med 14/66 (21 %) av patienterna i cytostatikaarmen hade en partiellt respons. I TNBC patientsubgruppen var fastställd ORR 48 % (41/86) i olaparibarmen och 12 % (4/33) i jämförelsearmen. I den HR+ patientsubgruppen var fastställd ORR 57 % (46/81) i olaparibarmen och 33 % (11/33) i jämförelsearmen.
bd Två gånger dagligen; KI konfidensintervall; DOR responsvaraktighet; DCO Datum för datainsamling (data cut off); HR riskfaktor; HR+ Hormonreceptor‑positiv, ORR Objektiv responsfrekvens; OS total överlevnad; PFS progressionsfri överlevnad; PFS2 Tid till andra progression eller död, TNBC trippelnegativ bröstcancer.
Figur 11 OlympiAD; Kaplan-Meier kurva över BICR PFS hos patienter med gBRCA1/2-muterad HER2-negativ metastaserad bröstcancer (77 % mognad) DCO 9 december 2016
Överensstämmande resultat observerades i alla fördefinierade patientsubgrupper (figur 12). Subgruppsanalyser indikerade en fördel i PFS för olaparib jämfört med jämförelseläkemedel i patientsubgrupper för TNBC (HR 0,43; 95 % KI: 0,29‑0,63, n = 152) och HR+ (HR 0,82; 95 % KI: 0,55-1,26, n = 150).
Figur 12 PFS (BICR), Forest graf efter förspecificerade subgrupper
I en post-hoc analys av patientsubgruppen som inte hade progredierat på cytostatika annan än platinum, var median PFS i olaparibarmen (n = 22) 8,3 månader (95 % KI 3,1-16,7) och 2,8 månader (95 % KI 1,4-4,2) i cytostatikaarmen (n = 16) med en HR på 0,54 (95 % KI 0,24-1,23). Antalet patienter är dock alltför begränsat för att kunna dra meningsfulla slutsatser om effekten i denna subgrupp.
Sju manliga patienter randomiserades (5 olaparib och 2 jämförelseläkemedel). Vid tiden för PFS‑analys hade en patient fastställd partiell respons med en responsvaraktighet på 9,7 månader i olaparibarmen. Det fanns ingen fastställd respons i jämförelsearmen.
Figur 13 OlympiAD: Kaplan-Meier-kurva över OS i patienter med gBRCA1/2-mutaterad HER2-negativ metastaserad bröstcancer (64 % mognad) DCO 25 september 2017
OS‑analys av patienter utan tidigare cytostatika för metastaserad bröstcancer indikerade en fördel för dessa patienter med ett HR på 0,45 (95 % KI 0,27-0,77), medan HR överskred 1 vid ytterligare behandlingslinjer.
Undershållsbehandling efter första linjens behandling av nedärvd BRCA‑muterat metastaserande adenokarcinom i pankreas:
POLO-studien
Säkerhet och effekt av olaparib som underhållsbehandling studerades i en randomiserad (3:2), dubbelblind, placebokontrollerad multicenterstudie på 154 patienter med nedärvda BRCA1/2‑mutationer som hade metastaserande adenokarcinom i pankreas. Patienterna fick antingen Lynparza 300 mg (2 x 150 mg tabletter) två gånger dagligen (n=92) eller placebo (n=62) fram till radiologisk sjukdomsprogression eller oacceptabel toxicitet. Patienterna skulle inte ha progredierat under första linjens platinumbaserade cytostatikabehandling och skulle ha fått minst 16 veckors kontinuerlig platinumbehandling som därefter kunde sättas ut när som helst p.g.a. oacceptabel toxicitet medan behandling med andra läkemedel fortsatte enligt planerad regim eller fram till oacceptabel toxicitet för annan (andra) komponent(er). Patienter som kunde tolerera komplett regim med platinuminnehållande cytostatikabehandling fram till progression har inte tagits i beaktande för denna studie. Underhållsbehandlingen påbörjades 4 till 8 veckor efter den sista dosen av komponenten(-erna) i första linjens cytostatikabehandling vid frånvaro av progression och om all toxicitet från tidigare cancerbehandling hade avklingat till CTCAE-grad 1, med undantag för alopeci, perifer neuropati grad 3 och Hgb ≥ 9 g/dl.
Trettioen procent (31 %) av patienterna med nedärvda BRCA1/2-mutationer identifierades genom tidigare resultat från lokala tester och 69 % genom centrala tester. I olaparibarmen var 32 % av patienterna bärare av en nedärvd BRCA1-mutation, 64 % var bärare av en nedärvd BRCA2-mutation och 1 % var bärare av både nedärvda BRCA1- och nedärvda BRCA2-mutationer. I placeboarmen var 26 % av patienterna bärare av en nedärvd BRCA1-mutation, 73 % var bärare av en nedärvd BRCA2-mutation och inga var bärare av både nedärvda BRCA1- och nedärvda BRCA2-mutationer. BRCAm-status för alla patienter som identifierats genom tidigare lokal testning bekräftades, i de fall de skickades, genom central testning. Nittioåtta procent (98 %) av patienterna var bärare av en skadlig mutation och 2 % var bärare av en misstänkt skadlig mutation. Stora rearrangemang i BRCA1/2-generna detekterades hos 5,2 % (8/154) av de randomiserade patienterna.
Demografi- och baslinjekarakteristika var generellt sett välbalanserade mellan olaparib- och placeboarmarna. Medianåldern var 57 år i båda armarna; 30 % av patienterna i olaparibarmen var ≥ 65 år jämfört med 20 % i placeboarmen. Femtioåtta procent (58 %) av patienterna i olaparibarmen och 50 % av patienterna i placeboarmen var män. I olaparibarmen var 89 % av patienterna vita och 11 % var icke-vita; i placeboarmen var 95 % av patienterna vita och 5 % var icke-vita. De flesta patienter hade ett ECOG-funktionsstatus på 0 (71 % i olaparibarmen och 61 % i placeboarmen). Lokalisering för metastaser före kemoterapi var totalt sett 72 % i levern, 10 % i lungorna och 50 % i andra områden. Mediantid från första diagnos till randomisering var 6,9 månader i båda armarna (intervall 3,6 till 38,4 månader).
Totalt 75 % av patienterna fick FOLFIRINOX i median 9 cykler (intervall 4‑61), 8 % fick FOLFOX eller XELOX, 4 % fick GEMOX och 3 % fick gemcitabin plus cisplatin; återstående 10 % av patienterna fick andra cytostatikaregimer. Varaktigheten av första linjens cytostatikabehandling för metastaserande sjukdom var 4 till 6 månader, > 6 till < 12 månader respektive ≥ 12 månader för 77 %, 19 % respektive 4 % av patienterna i olaparibarmen och för 80 %, 17 % respektive 3 % i placeboarmen, med omkring 1 månad från sista dosen av komponenten(-erna) i första linjens cytostatikabehandling till påbörjad behandling i studien för båda armarna. Som bästa svar på första linjens cytostatikabehandling hade 7 % av olaparibpatienterna och 5 % av placebopatienterna en komplett respons, 44 % av olaparibpatienterna och 44 % av placebopatienterna hade en partiell respons och 49 % av olaparibpatienterna och 50 % av placebopatienterna hade stabil sjukdom. Vid randomisering rapporterades mätbar sjukdom hos 85 % av patienterna i olaparibarmen respektive 84 % av patienterna i placeboarmen. Mediantid från initiering av första linjens platinumbaserad cytostatikabehandling till randomisering var 5,7 månader (intervall 3,4 till 33,4 månader).
Vid tidpunkten för PFS-analys stod 33 % av patienterna i olaparibarmen och 13 % av patienterna i placeboarmen kvar på studiebehandling. Fyrtionio procent (49 %) av patienterna i olaparibarmen och 74 % i placeboarmen fick efterföljande behandling. Fyrtiotvå procent (42 %) av patienterna i olaparibarmen och 55 % i placeboarmen fick efterföljande behandling med platinum. En procent (1 %) av patienterna i olaparibarmen och 15 % i placeboarmen fick efterföljande behandling med PARP-hämmare. Av de 33 (36 %) respektive 28 (45 %) patienter som fick en första efterföljande platinumbaserad behandling rapporterades stabil sjukdom hos 8 patienter i olaparibarmen och 6 patienter i placeboarmen medan 1 patient i olaparibarmen och 2 patienter i placeboarmen hade respons.
Primärt effektmått var progressionsfri överlevnad (PFS) definierat som tid från randomisering till progression, fastställd av BICR med användning av Response Evaluation Criteria in Solid Tumors (RECIST) 1.1 modifierad för att utvärdera patienter utan tecken på sjukdom eller död. Sekundära effektmått omfattade total överlevnad (OS), tid från randomisering till andra progression eller död (PFS2), tid från randomisering till första efterföljande cancerbehandling eller död (TFST), objektiv svarsfrekvens (ORR), responsvaraktighet (DoR), svarsfrekvens och hälsorelaterad livskvalitet (HRQoL).
Studien visade en statistiskt signifikant förbättring av PFS för olaparib jämfört med placebo (tabell 14). BICR-utvärderingen av PFS överensstämde med prövarens bedömning.
Vid slutlig analys av OS var andelen patienter som var i livet och under uppföljning 28 % i olaparibarmen och 18 % i placeboarmen.
Tabell 14 Effektresultat för patienter med gBRCAm-metastaserande adenokarcinom i pankreas i POLO-studien
a Baserat på Kaplan-Meier beräkningar var andelen patienter som var i livet och progressionsfria vid 12 och 24 månader 34 % respektive 22 % för olaparib jämfört med 15 % respektive 10 % för placebo.
b För PFS var median uppföljningstid för censurerade patienter 9,1 månader i olaparibarmen och 3,8 månader i placeboarmen.
c Ett värde < 1 innebär fördel för olaparib.
d Analysen utfördes med hjälp av ett log-rank test.
eFör OS var median uppföljningstid för censurerade patienter 31,3 månader i olaparibarmen och 23,9 månader i placeboarmen.
bd Två gånger dagligen; KI Konfidensintervall; HR riskkvot; OS total överlevad; PFS Progressionsfri överlevnad.
Figur 14 POLO: Kaplan-Meier-graf med PFS för patienter med gBRCAm-metastaserande adenokarcinom i pankreas (68 % mognad – BICR, DCO 15 january 2019)
Figur 15 POLO: Kaplan-Meier-kurva med OS för patienter med gBRCAm-metastaserande adenokarcinom i pankreas (70 % mognad, DCO 21 juli 2020)
BRCA1/2‑muterad metastaserande kastrationsresistent prostatacancer:
PROfound‑studien
Säkerhet och effekt av olaparib studerades hos män med metastaserande kastrationsresistent prostatacancer (mCRPC) i en randomiserad, öppen, multicenter fas III‑studie som utvärderade effekten av Lynparza jämfört med en jämförelsearm med NHA ([nya hormonella läkemedel] enzalutamid eller abirateronacetat) enligt prövarens val.
Patienter skulle också ha progredierat under tidigare NHA för behandling av metastaserande prostatacancer och/eller CRPC. För inklusion i kohort A skulle patienterna ha skadlig eller misstänkt skadlig mutation i antingen BRCA1- eller BRCA2-generna. Patienter med ATM-mutationer randomiserades också i kohort A men en gynnsam nytta-risk kunde inte visas i denna undergrupp av patienter. Patienter med mutationer i andra gener randomiserades i kohort B.
I denna studie randomiserades 387 patienter 2:1 för att få antingen olaparib (300 mg [2 x 150 mg tabletter] två gånger dagligen) eller jämförelseläkemedel. I kohort A fanns 245 patienter (162 olaparib och 83 jämförelseläkemedel) och i kohort B fanns 142 patienter (94 olaparib och 48 jämförelseläkemedel). Patienter stratifierades med avseende på tidigare taxan‑användning och bevis på mätbar sjukdom. Behandlingen fortsatte fram till sjukdomsprogression. Patienter randomiserade till jämförelseläkemedel fick möjlighet att byta till olaparib vid radiologisk progression fastställd av BICR. Patienter med BRCA1m, BRCA2m detekterade i sina tumörer inkluderades baserat på prospektiv central testning, med undantag av 3 patienter som inkluderades med hjälp av att lokalt testresultat. Av de 160 patienter med BRCA1 eller BRCA2-mutation i PROfound testades 114 patienter retrospektivt för att bestämma om den identifierade BRCA1/2-mutationen var av germline eller somatiskt ursprung. Inom denna patientgrupp identifierades 63 BRCA1/2-mutationer i germline-blodprovet och därmed bestämda till att vara av germline-ursprung. Återstående 51 patienter hade ingen tumör detekterad BRCA1/2-mutation identifierad i germline-blodprovet och därmed bestämda till att vara av somatiskt ursprung. För de återstående 46 patienterna är somatiskt eller germline-ursprung okänt.
Demografi- och baslinjekarakteristika var generellt sett välbalanserade mellan olaparibarmen och jämförelsearmen hos patienter med BRCA1/2-mutationer. Medianåldern var 68 år i olaparibarmen och 67 år i jämförelsearmen. Tidigare behandling i olaparibarmen var taxan (71 %), enzalutamid (41 %), abirateronacetat (37 %) och både enzalutamid och abirateronacetat (20 %). Tidigare behandling i jämförelsearmen var taxan (60 %), enzalutamid (50 %), abirateronacetat (36 %) och både enzalutamid och abirateronacetat (14 %). Femtioåtta procent (58 %) av patienterna i olaparibarmen och 55 % i jämförelsearmen hade mätbar sjukdom vid studiestart. Andelen patienter med skelett-, lymfkörtel- , luftvägs- och levermetastaser var 89 %, 62 %, 23 % respektive 12 % i olaparibarmen och 86 %, 71 %, 16 % respektive 17 % i jämförelsearmen. De flesta patienter i båda behandlingsarmarna hade ett ECOG‑funktionsstatus på 0 eller 1 (93 %). Smärtpoäng vid baslinjen (BPI-SF värsta smärtan) var 0-<2 (52 %), 2-3 (10 %) eller >3 (34 %) i olaparibarmen och 0-<2 (45 %), 2-3 (7 %) eller >3 (45 %) i jämförelsearmen. Medianvärdet för PSA vid baslinjen var 57,48 µg/l i olaparibarmen och 103,95 µg/l i jämförelsearmen.
Studiens primära effektmått var radiologisk progressionsfri överlevnad (rPFS) i kohort A fastställt av BICR med användning av RECIST 1.1 (mjuk vävnad) och Prostate Cancer Working Group (PCWG3) (skelett). Viktiga sekundära effektmått innefattade bekräftad objektiv svarsfrekvens (ORR) fastställt av BICR, rPFS fastställt av BICR, tid till smärtprogression (TTPP) och total överlevnad (OS).
Studien visade en statistiskt signifikant förbättring av BICR-utvärderad rPFS och slutlig OS för olaparib jämfört med jämförelseläkemedel i kohort A.
Resultaten för patienter med BRCA1/2-mutationer presenteras i tabell 15. Det var en statistiskt signifikant förbättring av BICR-utvärderad rPFS för olaparib jämfört med armen med prövarens val av NHA hos BRCA1/2m-patienter. Den slutliga analysen av OS visade en nominellt statistiskt signifikant förbättring av OS hos BRCA1/2m-patienter randomiserade till Lynparza jämfört med jämförelseläkemedel.
Tabell 15 Sammanfattning av viktiga effektresultat för patienter med BRCA1/2-muterad mCRPC i PROfound
a Ej kontrollerat avseende multiplicitet
b rPFS 71 % mognad
c HR och KI beräknades med hjälp av en Cox proportionell riskmodell som innehåller termer för behandling, faktor och behandling med faktorinteraktion.
bd Två gånger dagligen; BICR Blindad oberoende central granskning; KI Konfidensintervall; HR Riskkvot; NC Ej beräkningsbar, NHA nya hormonella läkemedel; ORR Objektiv svarsfrekvens; OS Total överlevnad; rPFS Radiologisk progressionsfri överlevnad
Figur 16 BRCA1/2m-patienter: Kaplan-Meier‑kurva över rPFS (av BICR)
Figur 17 BRCA1/2m-patienter: Kaplan-Meier‑kurva över OS
Första linjens behandling av patienter vid mCRPC
PROpel
Säkerheten och effekten av olaparib studerades hos män med metastaserande kastrationsresistent prostatacancer (mCRPC) i en randomiserad, dubbelblind, placebokontrollerad fas III-multicenterstudie som utvärderade effekten av Lynparza (300 mg [2 x 150 mg tabletter] två gånger dagligen) i kombination med abirateron (1 000 mg [2 x 500 mg tabletter] en gång dagligen) jämfört med en jämförelsearm med placebo plus abirateron. Patienter i båda armarna fick också antingen prednison eller prednisolon 5 mg två gånger dagligen.
I studien randomiserades 796 patienter (1:1 randomisering; 399 olaparib/abirateron, 397 placebo/abirateron) som hade histologiskt bekräftat adenokarcinom i prostata och metastaserande status definierat som minst en dokumenterad metastatisk lesion antingen vid skelettscintigrafi eller CT/MRI-undersökning och som var behandlingsnaiva och inte behandlats med kemoterapi eller NHA vid mCRPC. Före mCRPC-stadiet var behandling med NHA (förutom abirateron) utan PSA-progression (klinisk eller radiologisk) under behandlingen tillåten, förutsatt att behandlingen avbröts minst 12 månader före randomiseringen. Behandling med första generationens antiandrogena läkemedel (t.ex. bikalutamid, nilutamid, flutamid) var också tillåten, förutsatt att där var en washout-period på 4 veckor. Behandling med docetaxel var tillåten under behandling med neoadjuvans/adjuvans för lokaliserad prostatacancer och vid metastaserande hormonsensitiv prostatacancer (mHSPC)-stadiet, så länge inga tecken på sjukdomsprogression förekom under eller omedelbart efter en sådan behandling. Alla patienter fick en GnRH-analog eller hade tidigare genomgått bilateral orkiektomi. Patienterna stratifierades med avseende på metastaser (enbart benmetastaser, viscerala eller andra metastaser) och behandling med docetaxel vid mHSPC-stadiet (ja eller nej). Behandlingen fortsatte till radiologisk progression av underliggande sjukdom eller oacceptabel toxicitet.
Demografiska- och baslinjekaraktäristika var balanserade mellan de två behandlingsarmarna. Medianåldern hos patienterna var 69 år totalt, och majoriteten (71 %) av patienterna var i åldersgruppen ≥ 65 år. 189 patienter (24 %) hade tidigare behandlats med docetaxel vid mHSPC-stadiet. Totalt hade 434 (55 %) patienter benmetastaser (metastaser i ben och inget annat distant område), 105 (13 %) patienter hade viscerala metastaser (fjärrmetastaser i mjukvävnaden i ett organ, t.ex. levern, lungorna) och 257 (32 %) patienter hade andra metastaser (som kunde inkludera till exempel patienter med benmetastaser och distanta lymfknutor eller patienter med sjukdom enbart i distanta lymfknutor). De flesta patienter i båda armarna (70 %) hade ett ECOG-funktionsstatus på 0. Det fanns 103 (25,8 %) symtomatiska patienter i olaparibgruppen och 80 (20,2 %) i placebogruppen. Som symtomatiska patienter karakteriserades enligt den korta smärtskalan (Brief Pain Inventory-Short Form, BPI-SF item #3) patienter med poäng ≥ 4 och/eller användning av opiater vid baslinjen.
Patientrekryteringen baserades inte på biomarkörstatus. HRR-genmutationsstatus utvärderades retrospektivt med avseende på ctDNA och tumörvävnadstest för att utvärdera överensstämmelsen av behandlingseffekt i hela analyserade-populationen. Av de testade patienterna var 198 respektive 188 HRR-mutationspositiva fastställt enligt ctDNA och tumörvävnad. Fördelningen av patienter med HRRm var välbalanserad mellan de två armarna.
Det primära effektmåttet var rPFS, definierat som tid från randomisering till radiologisk progression enligt prövarens bedömning baserat på RECIST 1.1. och PCWG-3-kriterier (skelett). Det viktiga sekundära effektmåttet var total överlevnad (OS). Ytterligare sekundära effekmått inkluderade PFS2, TFST och HRQoL.
Studien uppnådde sitt primära effektmått genom att påvisa statistiskt signifikant förbättring avseende risken för radiologisk sjukdomsprogression eller död för olaparib/abirateron jämfört med placebo/abirateron enligt prövarens bedömning, med HR 0,66; 95 % KI 0,54, 0,81; p < 0,0001; median rPFS 24,8 månader i olaparib/abirateronarmen jämfört med 16,6 månader i placebo/abirateronarmen. Prövarens bedömning av rPFS stöddes av en blindad oberoende central radiologisk (blinded independent central radiological, BICR) granskning. Känslighetsanalysen av rPFS med BICR var konsekvent med prövarbaserad analys med HR 0,61; 95 % KI 0,49, 0,74; p < 0,0001; median rPFS 27,6 månader i olaparib/abirateronarmen jämfört med 16,4 månader i placebo/abirateronarmen.
Subgruppsresultaten var konsekventa med de totala resultaten för olaparib/abirateron jämfört med placebo/abirateron i alla förhandsdefinierade subgrupper, inklusive patienter med eller utan tidigare taxan vid mHSPC-stadiet, patienter med olika metastaserad sjukdom vid baslinjen (enbart i skelett jämfört med viscerala jämfört med andra) och patienter med eller utan HRRm (figur 20).
Effektresultaten presenteras i tabell 16, tabell 17, figur 18 och figur 19.
Tabell 16 Sammanfattning av viktiga effektresultat för behandling av patienter med mCRPC i PROpel
a HR och KI beräknades med en Cox proportionell riskmodell som justerats för variablerna som valts ut i den primära poolingstrategin: metastaser, docetaxelbehandling i mHSPC-stadiet. Efronmetoden användes vid lika resultat. HR < 1 gynnar olaparib 300 mg två gånger dagligen + abirateron 1000 mg en gång dagligen.
b Det 2-sidiga p-värdet beräknades med log-rank testet som stratifierats med samma variabler som valts ut i den primära poolingstrategin. c Beräknades med Kaplan-Meier-metoden.
Tabell 17 rPFS-subgruppsanalyser genom prövarbedömning i PROpel (DCO 30 juli 2021)
a Aggregerade subgrupper härleddes från ctDNA och vävnadsbaserade grupperingar.
b Analysen utfördes med en Cox proportionell riskmodell som inkluderar termer för behandlingsgrupp, subgruppsfaktor och en behandling per subgruppsinteraktion. Konfidensintervall beräknades med en profil-likelihood-metod. HR < 1 gynnar olaparib 300 mg två gånger dagligen.
Figur 18 PROpel: Kaplan-Meier-kurva av rPFS (prövarbedömd) (50 % mognad) DCO 30 juli 2021
Figur 19 PROpel: Kaplan-Meier-kurva av OS (48 % mognad) DCO 12 oktober 2022
Figur 20 PROpel: “Forest plot” av subgruppsanalys av rPFS (prövarbedömd) (50 % mognad) DCO 30 juli 2021
Varje subgruppsanalys utfördes med hjälp av en Cox proportionell riskmodell som inkluderade en term för behandling, faktor, och behandling per faktorinteraktion. En riskkvot < 1 innebär en lägre risk för progression med olaparib. Storleken på en cirkel är proportionell mot antalet händelser. Alla subgrupper i denna figur är baserade på data från det elektroniska fallrapporteringsformuläret (eCRF).
*Utesluter patienter utan bedömning vid baslinjen. KI: konfidensintervall, ECOG: Eastern Cooperative Oncology Group; HRRm: mutation i homolog rekombinationsreparationsgen; mHSPC: metastaserande hormonsensitiv prostatacancer; NC: Ej beräkningsbar; PSA: prostataspecifikt antigen.
Första linjens underhållsbehandling av avancerad eller recidiverande endometriecancer med bevarad mismatch repair (pMMR)
DUO-E-studien
DUO-E var en randomiserad, multicenter, dubbelblind, placebokontrollerad fas III-studie av första linjens platinumbaserad cytostatikabehandling i kombination med durvalumab följt av durvalumab med eller utan olaparib hos patienter med avancerad eller recidiverande endometriecancer. Patienterna skulle ha endometriecancer i någon av följande kategorier: nydiagnostiserad sjukdom i stadium III (mätbar sjukdom enligt RECIST 1.1 efter kirurgi eller diagnostisk biopsi), nydiagnostiserad sjukdom i stadium IV (med eller utan sjukdom efter kirurgi eller diagnostisk biopsi), eller recidiverande sjukdom (mätbar eller icke-mätbar sjukdom enligt RECIST 1.1) där potentialen för utläkning genom operation enbart eller som del i kombinationsbehandling är låg. För patienter med recidiverande sjukdom var tidigare kemoterapi tillåten endast om den gavs som adjuvant behandling och det gått minst 12 månader från det datum som den sista dosen kemoterapi administrerades till datumet för det efterföljande recidivet. I studien inkluderades patienter med epiteliala endometriecarcinom av alla histologier, inklusive carcinosarkom. Patienter med endometriesarkom uteslöts.
Randomiseringen stratifierades efter tumörvävnadens MMR-status (bevarad vs. defekt), sjukdomsstatus (recidiverande vs. nydiagnostiserad) och geografiskt område (Asien vs. resten av världen). Patienterna randomiserades 1:1:1 till en av följande armar:
Platinumbaserad cytostatikabehandling: Platinumbaserad cytostatikabehandling (paklitaxel och karboplatin) var 3:e vecka i högst 6 cykler med durvalumab-placebo var 3:e vecka. Efter avslutad kemoterapibehandling fick patienter utan objektiv sjukdomsprogression durvalumab-placebo var 4:e vecka och olaparib-placebotabletter två gånger dagligen som underhållsbehandling fram till sjukdomsprogression.
Platinumbaserad cytostatikabehandling + durvalumab: Platinumbaserad cytostatikabehandling (paklitaxel och karboplatin) var 3:e vecka i högst 6 cykler med 1120 mg durvalumab var 3:e vecka. Efter avslutad kemoterapibehandling fick patienter utan objektiv sjukdomsprogression 1500 mg durvalumab var 4:e vecka med olaparib-placebotabletter två gånger dagligen som underhållsbehandling fram till sjukdomsprogression.
Platinumbaserad cytostatikabehandling + durvalumab + olaparib: Platinumbaserad cytostatikabehandling (paklitaxel och karboplatin) var 3:e vecka i högst 6 cykler med 1120 mg durvalumab var 3:e vecka. Efter avslutad kemoterapibehandling fick patienter utan objektiv sjukdomsprogression 1500 mg durvalumab var 4:e vecka med 300 mg olaparibtabletter två gånger dagligen som underhållsbehandling fram till sjukdomsprogression.
Patienter som avbrutit någon av behandlingarna (olaparib/placebo eller durvalumab/placebo) av andra orsaker än sjukdomsprogression kunde fortsätta med den andra behandlingen om lämpligt baserat på överväganden om toxicitet och prövarens bedömning.
Behandlingen fortsatte till sjukdomsprogression definierad enligt RECIST v1.1 eller oacceptabel toxicitet. Bedömning av tumörstatus gjordes var 9:e vecka under de första 18 veckorna efter randomiseringen och därefter var 12:e vecka.
Det primära effektmåttet var PFS definierad som tid från randomisering till progression, bedömt av prövaren genom användning av RECIST 1.1, eller död. Sekundärt effektmått omfattade OS, ORR och DoR.
Studien påvisade en statistiskt signifikant förbättring av PFS i ITT-populationen för patienter som behandlades med platinumbaserad cytostatikabehandling + durvalumab + olaparib jämfört med enbart platinumbaserad cytostatikabehandling (HR 0,55; 95 % KI: 0,43, 0,69). Vid tidpunkten för PFS-analysen hade interimsdata för OS 28 % mognad med händelser hos 199 av 718 patienter.
MMR-status fastställdes centralt med hjälp av en MMR-immunhistokemisk panelanalys. Av totalt 718 patienter som randomiserades i studien hade 575 (80 %) patienter pMMR-tumörstatus och 143 patienter (20 %) hade dMMR-tumörstatus (defekt mismatch repair, dMMR).
Bland patienter med pMMR-tumörstatus var demografi och baslinjekarakteristika generellt sett välbalanserade mellan behandlingsarmarna. Demografiska baslinjekarakteristika för de tre behandlingsarmarna var följande: medianålder 64 år (intervall: 22 till 86); 65 år eller äldre 48 %; 75 år eller äldre 8 %; vita 56 %, asiater 30 % och svarta eller afroamerikaner 6 %. Sjukdomskarakteristika var följande: ECOG PS på 0 (69 %) eller 1 (31 %); nydiagnostiserad 47 % och recidiverande sjukdom 53 %. De histologiska subtyperna var endometrioida (54 %), serösa (26 %), carcinosarkom (8 %), blandade epiteliala (4 %), klarcelliga (3 %), odifferentierade (2 %), mucinösa (< 1 %) och övriga (3 %).
Resultaten för patienter med pMMR-tumörstatus sammanfattas i tabell 18 och figur 21. Median uppföljningstid hos censurerade patienter med pMMR-tumörstatus var 15,2 månader i armen med platinumbaserad cytostatikabehandling + durvalumab + olaparib och 12,8 månader i armen med platinumbaserad cytostatikabehandling. Vid tidpunkten för PFS-analysen hade interimsdata för OS 29 % mognad med händelser hos 110 av 383 patienter.
Tabell 18 Sammanfattning av effektresultat för patienter med avancerad eller recidiverande endometriecancer i DUO-E (patienter med pMMR-tumörstatus)
a Beräknad med Kaplan-Meier-metoden
b Baserat på första interimsanalysen
c Respons: Bästa objektiva respons som bekräftad komplett respons eller partiell respons.
KI = konfidensintervall; DCO = data-brytvärde; HR = riskkvot (Hazard Ratio); NR = ej uppnått; OS = total överlevnad; PFS = progressionsfri överlevnad
Figur 21 DUO-E: Kaplan-Meier-kurva över PFS (patienter med pMMR-tumörstatus)
Bland patienter med pMMR-tumörstatus var PFS riskkvot 0,44 (95% KI: 0,31, 0,61) hos patienter med positiv status för PD-L1-uttryck (236/383; 62 %) och 0,87 (95 % KI: 0,59, 1,28) hos patienter med negativ status för PD-L1-uttryck (140/383; 37 %) i armen med platinumbaserad cytostatikabehandling + durvalumab + olaparib jämfört med armen med platinumbaserad cytostatikabehandling. Positivt PD-L1-uttryck definierades som TAP (tumour area positivity) ≥ 1 %.
Pediatrisk population
Säkerhet och effekt för Lynparza för barn och ungdomar yngre än 18 år har inte fastställts. Studie D0816C00025 var en öppen fas 1-multicenterstudie för att undersöka säkerhet, tolerabilitet, farmakokinetik, farmakodynamik och preliminär effekt av monoterapi med Lynparza hos pediatriska patienter från ≥ 6 månader till < 18 år med recidiverande eller refraktära solida eller primära tumörer i centrala nervsystemet (CNS) (exklusive lymfoida maligniteter) för vilka det inte fanns några standardbehandlingsalternativ. Studien inkluderade 16 patienter i åldern ≥ 6 år till < 18 år med defekt homolog rekombinationsreparation (HRR) eller HRR-genmutation baserat på lokalt test eller gBRCA-mutation baserat på centralt test. Lynparza administrerades som en engångsdos dag 1, följt av administrering två gånger dagligen enligt ett kontinuerligt schema. Av de 16 inkluderade patienterna fick 13 patienter i åldern ≥ 12 år till < 18 år 300 mg olaparib i tablettform två gånger dagligen och 3 patienter i åldern ≥ 6 år till < 12 år fick 200 mg olaparib i tablettform två gånger dagligen fram till sjukdomsprogression eller oacceptabel toxicitet. Det observerades ingen objektiv respons hos de 12 deltagarna med mätbar sjukdom vid baslinjen. Utifrån resultaten av studien var det inte möjligt att dra slutsatsen att nyttan med sådan användning skulle uppväga riskerna. Se avsnitt 4.2 för information om användning för pediatrisk population.
Farmakokinetiken för olaparib tabletter vid dosen 300 mg karakteriseras av skenbar plasmaclearance på ~7 l/h, skenbar distributionsvolym på ~158 l och terminal halveringstid på 15 timmar. Vid multipel dosering observerades en AUC-ackumuleringskvot på 1,8 och PK verkade vara tidsberoende i en liten omfattning.
Absorption
Efter oral administrering av olaparib via tablettformuleringen (2 x 150 mg) sker en snabb absorption där maximala plasmakoncentrationer (i median) vanligen uppnås 1,5 timmar efter dosering.
Samtidig administrering av föda fördröjde hastigheten (tmax fördröjd med 2,5 timmar och Cmax reducerad med cirka 21 %) men hade ingen signifikant påverkan på omfattningen av absorption av olaparib (AUC ökade med 8 %). Följaktligen kan Lynparza tas utan hänsyn till föda (se avsnitt 4.2).
Distribution
In vitro är plasmaproteinbindningen cirka 82 % vid 10 µg/ml vilket ungefär motsvarar Cmax.
In vitro var human plasmaproteinbindning av olaparib dosberoende; den bundna fraktionen var ungefär 91 % vid 1 µg/ml, vilket reducerades till 82 % vid 10 µg/ml och till 70 % vid 40 µg/ml. I lösningar av renade proteiner var olaparibfraktionen som var bunden till albumin cirka 56 %, vilket var oberoende av olaparibkoncentrationer. Med användning av samma analys var fraktionen som var bunden till surt alfa‑1‑glykoprotein 29 % vid 10 µg/ml med en tendens till minskad bindning vid högre koncentrationer.
Metabolism
In vitro har CYP3A4/5 visats vara de enzymer som främst svarar för metabolismen av olaparib (se avsnitt 4.5).
Efter peroral dosering av 14C‑olaparib till kvinnliga patienter stod oförändrat olaparib för den största delen av den cirkulerande radioaktiviteten i plasma (70 %) och utgjorde huvudkomponent i både urin och feces (15 % respektive 6 % av dosen). Olaparib metaboliseras i stor utsträckning. Till största delen sker detta genom oxidationsreaktioner där flera av de komponenter som bildas genomgår en efterföljande glukuronid‑ eller sulfatkonjugering. Upp till 20, 37 och 20 metaboliter kunde detekteras i plasma, urin respektive feces, av vilka majoriteten utgjorde < 1 % av det doserade materialet. En piperazin‑3‑ol‑del med öppen ring, och två mono‑oxygenerade metaboliter (vardera ~10 %) var de huvudsakliga cirkulerande komponenterna, där en av de mono‑oxygenerade metaboliterna även var den främsta metaboliten i exkret (6 % och 5 % av radioaktiviteten i urin respektive feces).
In vitro medförde olaparib liten/ingen hämning av UGT2B7, eller CYP-enzymerna 1A2, 2A6, 2B6, 2C8, 2C9, 2C19, 2D6 eller 2E1 och förväntas inte vara någon kliniskt signifikant tidsberoende hämmare av något av dessa CYP-enzymer. Olaparib hämmade UGT1A1 in vitro, men PBPK-simuleringar tyder på att detta saknar klinisk betydelse. In vitro är olaparib ett substrat av effluxtransportören P‑gp men det är osannolikt att detta har någon klinisk signifikans (se avsnitt 4.5).
In vitro, visar data också att olaparib inte är substrat till OATP1B1, OATP1B3, OCT1, BCRP eller MRP2 och ingen hämmare av OATP1B3, OAT1 eller MRP2.
Eliminering
Efter en engångsdos av 14C‑olaparib återfanns ~86 % av den doserade radioaktiviteten inom en insamlingsperiod på 7 dagar, ~44 % i urinen och ~42 % i feces. Den största delen utsöndrades i form av metaboliter.
Särskilda populationer
I populationsbaserade PK‑analyser var patienternas ålder, kön, kroppsvikt, tumörens lokalisation eller etnicitet (inklusive kaukasiska och japanska patienter) inga signifikanta kovariater.
Nedsatt njurfunktion
Hos patienter med lindrigt nedsatt njurfunktion (kreatininclearance 51 till 80 ml/min) ökade AUC med 24 % och Cmax med 15 % jämfört med patienter med normal njurfunktion. Ingen dosjustering av Lynparza krävs för patienter med lindrigt nedsatt njurfunktion.
Hos patienter med måttligt nedsatt njurfunktion (kreatininclearance 31 till 50 ml/min) ökade AUC med 44 % och Cmax med 26 % jämfört med patienter med normal njurfunktion. Dosjustering av Lynparza rekommenderas för patienter med måttligt nedsatt njurfunktion (se avsnitt 4.2).
Det finns inga data från patienter med gravt nedsatt njurfunktion eller njursjukdom i slutstadiet (kreatininclearance < 30 ml/min).
Nedsatt leverfunktion
Hos patienter med lindrigt nedsatt leverfunktion (Child-Pugh klassificering A) ökade AUC med 15 % och Cmax med 13 % och hos patienter med måttligt nedsatt leverfunktion (Child-Pugh klassificering B) ökade AUC med 8 % och Cmax minskade med 13 % jämfört med patienter med normal leverfunktion. Ingen dosjustering av Lynparza behövs för patienter med lindrigt eller måttligt nedsatt leverfunktion (se avsnitt 4.2). Det finns inga uppgifter för patienter med gravt nedsatt leverfunktion (Child-Pugh klassificering C).
Pediatrisk population
Farmakokinetiken för olaparib utvärderades hos 14 barn och ungdomar från ≥ 6 år till < 18 år i studie D0816C00025 där de fick antingen 300 mg två gånger dagligen (8 patienter, 12 till < 18 år) eller 200 mg två gånger dagligen (3 patienter, 6 till 11 år); ytterligare 3 patienter behandlades under signalidentifieringsfasen och fick Lynparza 300 mg tablett två gånger dagligen (12 till < 18 år) fram till sjukdomsprogression eller oacceptabel toxicitet. Plasmakoncentrationen i båda grupperna visade en liknande exponering jämfört med vuxna vid dosen 300 mg.
Toxicitet vid upprepad dosering
I toxicitetsstudier vid upprepad dosering till råtta och hund, som pågick i upp till 6 månader, tolererades dagliga perorala doser av olaparib väl. Det målorgan som främst drabbades av toxiska biverkningar hos båda djurslagen var benmärgen, med åtföljande förändringar i perifera hematologiska parametrar. Dessa förändringar var reversibla inom 4 veckor efter avslutad dosering. Hos råttor noterades även minimala degenerativa effekter på mag-tarmkanalen. Dessa fynd förekom vid exponeringar som var lägre än de som setts kliniskt. Studier på mänskliga benmärgsceller visade också att direkt exponering för olaparib kan resultera i toxicitet hos benmärgsceller i ex vivo-analyser.
Gentoxicitet
Olaparib visade ingen mutagen potential men hade klastogen verkan på däggdjursceller in vitro. Vid peroral administrering till råtta inducerade olaparib mikrokärnor i benmärgen. Denna klastogenicitet överensstämmer med olaparibs kända farmakologiska egenskaper och tyder på en potentiell gentoxicitet hos människa.
Karcinogenicitet
Inga karcinogenicitetsstudier har utförts med olaparib.
Reproduktionstoxikologi
I en fertilitetsstudie på hondjur fick råttor olaparib fram till implantation. Parningsbeteende och dräktighetsfrekvens påverkades inte, dock sågs förlängt östrus hos en del av djuren. Embryofetal överlevnad minskade något.
I studier av embryofetal utveckling hos råtta, i dosnivåer som inte inducerade någon signifikant maternell toxicitet, orsakade olaparib lägre embryofetal överlevnad, lägre fostervikt samt fostermissbildningar såsom större missbildningar i ögon (t.ex. anoftalmi, mikroftalmi), missbildningar i ryggkotor/revben och viscerala och skeletala missbildningar.
4 år.
Förvaras i originalförpackningen. Fuktkänsligt.
Inga särskilda temperaturanvisningar.
Alu/Alu icke-perforerat blister innehållande 8 filmdragerade tabletter.
Förpackningsstorlekar:
56 filmdragerade tabletter (7 blister).
Multipack med 112 (2 förpackningar med 56) filmdragerade tabletter.
Eventuellt kommer inte alla förpackningsstorlekar att marknadsföras.
Ej använt läkemedel och avfall ska kasseras enligt gällande anvisningar.
Tablettkärna
Kopovidon
Kiseldioxid, kolloidal, vattenfri
Mannitol
Natriumstearylfumarat
Tablettdragering
Hypromellos
Makrogol 400
Titandioxid (E171)
Gul järnoxid (E172)
Svart järnoxid (E172) (endast 150 mg tabletter)
Ej relevant.
4 år.
Förvaras i originalförpackningen. Fuktkänsligt.
Inga särskilda temperaturanvisningar.
Alu/Alu icke-perforerat blister innehållande 8 filmdragerade tabletter.
Förpackningsstorlekar:
56 filmdragerade tabletter (7 blister).
Multipack med 112 (2 förpackningar med 56) filmdragerade tabletter.
Eventuellt kommer inte alla förpackningsstorlekar att marknadsföras.
Ej använt läkemedel och avfall ska kasseras enligt gällande anvisningar.
Produktresumén är företagets information om läkemedlet riktat till förskrivare och personal inom sjukvård och apotek. Dokumentet är godkänt av Läkemedelsverket eller den europeiska läkemedelsmyndigheten EMA i samband med att läkemedlet godkänns för marknadsföring.