Everolimus Viatris 2,5 mg tabletter
Everolimus Viatris 5 mg tabletter
Everolimus Viatris 10 mg tabletter
Tablett.
2,5 mg tablett
Vita till gulvita, avlånga, bikonvexa tabletter (ungefär 10 × 5 mm), präglade med E9VS på ena sidan och 2.5 på den andra.
5 mg tablett
Vita till gulvita, avlånga, bikonvexa tabletter (ungefär 13 × 6 mm), präglade med E9VS 5 på ena sidan.
10 mg tablett
Vita till gulvita, avlånga, bikonvexa tabletter (ungefär 16 × 8 mm), präglade med E9VS 10 på ena sidan.
Viatris Limited
Damastown Industrial Park
Mulhuddart
Dublin 15, DUBLIN
Irland
2,5 mg: 56163
5 mg: 56164
10 mg: 56165
Första godkännandet: 2018-11-05
Förnyat godkännande: 2023-05-30
2025-04-15.
Produktresumén är företagets information om läkemedlet riktat till förskrivare och personal inom sjukvård och apotek. Dokumentet är godkända av Läkemedelsverket eller den europeiska läkemedelsmyndigheten EMA i samband med att läkemedlet godkänns för marknadsföring.
Varje tablett innehåller 295,8 mg laktos.
För fullständig förteckning över hjälpämnen, se avsnitt 6.1.
Everolimus Viatris 2,5 mg tabletter
Varje tablett innehåller 2,5 mg everolimus.
Hjälpämne med känd effekt
Varje tablett innehåller 74,0 mg laktos.
Everolimus Viatris 5 mg tabletter
Varje tablett innehåller 5 mg everolimus.
Hjälpämne med känd effekt
Varje tablett innehåller 147,9 mg laktos.
Everolimus Viatris 10 mg tabletter
Varje tablett innehåller 10 mg everolimus.
Hjälpämne med känd effekt
Varje tablett innehåller 295,8 mg laktos.
För fullständig förteckning över hjälpämnen, se avsnitt 6.1.
Behandlingen med Everolimus Viatris ska inledas och övervakas av läkare med erfarenhet av behandling med cancerläkemedel.
Dosering
Everolimus Viatris finns som 2,5 mg, 5 mg och 10 mg tabletter för de olika dosrekommendationerna.
Rekommenderad dos är 10 mg everolimus en gång dagligen. Behandlingen bör fortsätta så länge som klinisk nytta kan ses eller tills oacceptabel toxicitet inträffar.
Om en dos glöms bort ska patienten inte ta en extra dos utan ta nästa dos vid ordinarie dostillfälle.
Dosjustering på grund av biverkningar
För hantering av svåra och/eller ej tolerabla, misstänkta biverkningar kan dosreduktion och/eller tillfällig utsättning av Everolimus Viatris vara nödvändig. För biverkningar av grad 1 behövs oftast ingen dosjustering. Om dosreduktion är nödvändig rekommenderas en dos om 5 mg dagligen och denna dos får inte understigas.
Tabell 1 sammanfattar rekommendationerna för dosjustering i samband med specifika biverkningar (se även avsnitt 4.4).
Tabell 1 Rekommendationer för dosjustering av Everolimus Viatris
Särskilda patientgrupper
Äldre (≥ 65 år)
Ingen dosjustering krävs (se avsnitt 5.2).
Nedsatt njurfunktion
Ingen dosjustering krävs (se avsnitt 5.2).
Nedsatt leverfunktion
Lindrig leverfunktionsnedsättning (Child-Pugh A) – rekommenderad daglig dos är 7,5 mg.
Måttlig leverfunktionsnedsättning (Child-Pugh B) – rekommenderad daglig dos är 5 mg.
Svår leverfunktionsnedsättning (Child-Pugh C) – Everolimus Viatris rekommenderas enbart om den önskade effekten överväger risken. I detta fall, får en daglig dos på 2,5 mg inte överskridas.
Dosjusteringar får enbart göras om patientens leverstatus (Child-Pugh) ändras under behandlingen (se även avsnitt 4.4 och 5.2).
Pediatrisk population
Säkerhet och effekt för Everolimus Viatris för barn i åldern 0 till 18 år har inte fastställts. Inga data finns tillgängliga.
Administreringssätt
Everolimus Viatris ska ges oralt en gång dagligen vid samma tidpunkt varje dag, konsekvent antingen med eller utan mat (se avsnitt 5.2). Everolimus Viatris -tabletter ska sväljas hela med ett glas vatten. Tabletterna ska inte tuggas eller krossas.
Överkänslighet mot den aktiva substansen, mot andra rapamycinderivat eller mot något hjälpämne som anges i avsnitt 6.1.
Icke-infektiös pneumonit
Icke-infektiös pneumonit är en klasseffekt av rapamycinderivat, inklusive everolimus. Fall av icke-infektiös pneumonit (inklusive interstitiell lungsjukdom) rapporteras ofta hos patienter som tar Everolimus Viatris (se avsnitt 4.8). Vissa fall har varit svåra, i sällsynta fall med dödlig utgång. Diagnosen icke-infektiös pneumonit ska övervägas hos patienter med ospecifika tecken och symtom i andningsvägarna, såsom hypoxi, pleurautgjutning, hosta eller dyspné samt där infektiösa, neoplastiska och andra icke‑medicinska orsaker har uteslutits genom lämpliga undersökningar. Vid differentialdiagnostik av icke-infektiös pneumonit bör opportunistiska infektioner, såsom Pneumocystis jirovecii (carinii)-pneumoni (PJP/PCP) uteslutas (se ”Infektioner” nedan). Patienterna ska rådas att omedelbart rapportera eventuella nya eller förvärrade symtom i andningsvägarna.
Patienter som utvecklar röntgenologiska förändringar som tyder på icke‑infektiös pneumonit och som har få eller inga symtom kan fortsätta med Everolimus Viatris-behandlingen utan dosjustering. Om symtomen är måttliga (grad 2) eller svåra (grad 3) kan behandling med kortikosteroider vara indicerat tills kliniska symtom avklingar.
För patienter som behöver kortikosteroider för behandling av icke-infektiös pneumonit bör profylax mot Pneumocystis jirovecii (carinii)-pneumoni (PJP/PCP) övervägas.
Infektioner
Everolimus har immunsuppressiva egenskaper och kan predisponera patienterna för bakterie‑, svamp‑, virus‑ eller protozoinfektioner, inklusive infektioner med opportunistiska patogener (se avsnitt 4.8). Lokala och systemiska infektioner, inklusive pneumoni, andra bakterieinfektioner, invasiva svampinfektioner som aspergillos, candidiasis eller PJP/PCP samt virusinfektioner, såsom reaktivering av hepatit B-virus, har beskrivits hos patienter som tar everolimus. Vissa av dessa infektioner har varit svåra (orsakade t.ex. sepsis, andnings‑ eller leversvikt) och ibland dödliga.
Läkare och patienter ska vara medvetna om den ökade infektionsrisken vid behandling med Everolimus Viatris. Pågående infektioner ska behandlas på lämpligt sätt och vara fullständigt behandlade innan behandling med Everolimus Viatris påbörjas. Var uppmärksam på symtom och tecken på infektion under behandling med Everolimus Viatris. Om diagnos på infektion ställs, sätt omedelbart in lämplig behandling och överväg att göra uppehåll eller avsluta behandlingen med Everolimus Viatris.
Om diagnosen invasiv systemisk svampinfektion ställs, ska behandlingen med Everolimus Viatris omedelbart och permanent utsättas och patienten få behandling med lämpligt antimykotikum.
Fall av Pneumocystis jirovecii (carinii)-pneumoni (PJP/PCP), några med dödlig utgång, har rapporterats hos patienter som fått everolimus. PJP/PCP kan associeras till samtidig användning av kortikosteroider eller andra immunsuppressiva medel. Profylax mot PJP/PCP bör övervägas vid samtidig behandling med kortikosteroider eller andra immunsuppressiva medel.
Överkänslighetsreaktioner
Överkänslighetsreaktioner med symtom inkluderande, men inte begränsat till, anafylaxi, dyspné, rodnad, bröstsmärta eller angioödem (t.ex. svullnad av luftrör eller tunga, med eller utan nedsatt andning) har observerats med everolimus (se avsnitt 4.3).
Samtidig användning av ACE-hämmare
Patienter som samtidigt tar ACE-hämmare (t.ex. ramipril) kan löpa ökad risk för angioödem (t.ex. svullnad av luftrör eller tunga, med eller utan påverkan på andning) (se avsnitt 4.5).
Stomatit
Stomatit, inklusive sårbildning i munhålan och oral mukosit, är den vanligast rapporterade biverkningen hos patienter som behandlats med everolimus (se avsnitt 4.8). Stomatit inträffar oftast inom de första 8 veckorna av behandlingen. En enarmad studie hos postmenopausala bröstcancerpatienter som behandlades med everolimus plus exemestan tyder på att användning av en alkoholfri oral kortikosteroidlösning, administrerad som munskölj under de inledande 8 behandlingsveckorna kan minska förekomsten och svårighetsgraden av stomatit (se avsnitt 5.1). Hantering av stomatit kan därmed innefatta profylaktisk och/eller terapeutisk lokal behandling med en alkoholfri oral kortikosteroidlösning som munskölj. Emellertid ska produkter som innehåller alkohol, väteperoxid, jod eller timjanderivat undvikas, eftersom de kan förvärra tillståndet. Övervakning och behandling av svampinfektion rekommenderas, särskilt hos patienter som behandlas med steroidbaserade läkemedel. Antimykotikum ska inte användas, såvida inte svampinfektion har diagnostiserats (se avsnitt 4.5).
Njursvikt
Fall av njursvikt (inklusive akut njursvikt), varav några med dödlig utgång, har observerats hos patienter som behandlats med everolimus (se avsnitt 4.8). Njurfunktionen bör kontrolleras, särskilt hos patienter med andra riskfaktorer som kan försämra njurfunktionen ytterligare.
Laboratorietester och monitorering
Njurfunktion
Förhöjda värden av serumkreatinin, vanligen lätt förhöjda, och proteinuri har rapporterats (se avsnitt 4.8). Monitorering av njurfunktionen, inklusive mätning av blodureakväve (BUN), protein i urinen eller serumkreatinin, rekommenderas före insättning av behandling med Everolimus Viatris, och därefter med jämna mellanrum.
Blodglukos
Hyperglykemi har rapporterats (se avsnitt 4.8). Monitorering av fasteglukosvärdet i serum rekommenderas före insättning av behandling med Everolimus Viatris, och därefter med jämna mellanrum. Tätare kontroller rekommenderas när Everolimus Viatris ges samtidigt med andra läkemedel som också kan orsaka hyperglykemi. Om möjligt ska optimal glykemisk kontroll uppnås innan behandling med Everolimus Viatris sätts in.
Blodlipider
Dyslipidemi (inklusive hyperkolesterolemi och hypertriglyceridemi) har rapporterats. Monitorering av kolesterol- och triglyceridnivåer i blodet före insättning av behandling med Everolimus Viatris och därefter med jämna mellanrum, liksom insättning av lämplig medicinsk behandling, rekommenderas också.
Hematologiska parametrar
Minskade värden för hemoglobin, lymfocyter, neutrofiler och trombocyter har rapporterats (se avsnitt 4.8). Monitorering av fullständig blodstatus rekommenderas före insättning av behandling med Everolimus Viatris, och därefter med jämna mellanrum.
Funktionella karcinoida tumörer
I en randomiserad, dubbelblind, multicenterstudie hos patienter med funktionella karcinoida tumörer jämfördes everolimus plus långverkande oktreotid med placebo plus långverkande oktreotid. Studien uppnådde inte det primära effektmåttet (progressionsfri överlevnad [PFS]) och interimsanalysen för total överlevnad (OS) gynnade numeriskt gruppen placebo plus långverkande oktreotid. Därför har inte säkerhet och effekt av everolimus hos patienter med funktionella karcinoida tumörer kunnat fastställas.
Prognostiska faktorer vid neuroendokrina tumörer med ursprung från mag-tarmkanalen eller lungorna
Hos patienter med icke-funktionella neuroendokrina tumörer med ursprung från mag-tarmkanalen eller lungorna och goda prognostiska faktorer, t ex primärtumör i ileum och normala kromogranin A-värden eller avsaknad av skelettpåverkan, bör en individuell nytta-riskbedömning göras innan behandling med Everolimus Viatris påbörjas. Det finns begränsade belägg för fördelaktig PFS i subgruppen som hade primärtumör med ursprung i ileum (se avsnitt 5.1).
Interaktioner
Samtidig administrering med hämmare och inducerare av CYP3A4 och/eller P-glykoprotein (PgP) ska undvikas. Om samtidig administration av måttliga CYP3A4 och/eller PgP-hämmare eller -inducerare inte kan undvikas,bör dosjusteringar av Everolimus Viatris övervägas baserat på prognosticerad AUC (se avsnitt 4.5).
Samtidig behandling med potenta CYP3A4-hämmare resulterar i kraftigt ökade plasmakoncentrationer av everolimus (se avsnitt 4.5). För tillfället finns det inte tillräckligt med data för att tillåta doseringsrekommendationer i denna situation. Som följd av detta rekommenderas inte samtidig behandling med Everolimus Viatris och potenta hämmare.
Försiktighet ska iakttas när Everolimus Viatris tas i kombination med oralt administrerade CYP3A4‑substrat med smalt terapeutiskt index på grund av risken för interaktioner. Om Everolimus Viatris tas tillsammans med något sådant läkemedel (t.ex. pimozid, terfenadin, astemizol, cisaprid, kinidin eller derivat av ergotalkaloider), ska patienten följas upp med avseende på de biverkningar som beskrivs i produktinformationen för det oralt administrerade CYP3A4‑substratet (se avsnitt 4.5).
Nedsatt leverfunktion
Exponeringen för everolimus ökar hos patienter med lindrig (Child-Pugh A), måttlig (Child-Pugh B) och svår (Child-Pugh C) leverfunktionsnedsättning (se avsnitt 5.2).
Everolimus Viatris rekommenderas endast hos patienter med svår leverfunktionsnedsättning (Child-Pugh C) om den potentiella nyttan överväger risken (se avsnitt 4.2 och 5.2).
För närvarande finns inga kliniska säkerhets- och effektdata tillgängliga för att kunna ge rekommendationer om dosjustering för hantering av biverkningar hos patienter med nedsatt leverfunktion.
Vaccinationer
Användning av levande vacciner ska undvikas under behandling med Everolimus Viatris (se avsnitt 4.5).
Sårläkningskomplikationer
Försämrad sårläkning är en klasseffekt för rapamycinderivat, inklusive everolimus. Försiktighet bör därför iakttas vid användning av Everolimus Viatris tiden före och efter kirurgiskt ingrepp.
StrålbehandlingskomplikationerAllvarliga och kraftiga strålreaktioner (som t.ex. strålningsesofagit, strålningspneumonit och strålningsskada i huden), inklusive fall med dödlig utgång har rapporterats när everolimus tagits under eller en kort tid efter strålbehandling. Försiktighet ska därför iakttas för potentiering av strålbehandlingstoxicitet hos patienter som tar everolimus i nära tidsmässig relation till strålbehandling.Strålningsinducerad hudreaktion (radiation recall syndrome, RRS) har dessutom rapporterats hos patienter som tagit everolimus och fått strålbehandling tidigare. Vid RRS ska uppehåll eller utsättning av behandlingen med everolimus övervägas.HjälpämnenLaktos
Patienter med något av följande sällsynta ärftliga tillstånd bör inte ta detta läkemedel: galaktosintolerans, total laktasbrist eller glukosgalaktosmalabsorption.
Everolimus är ett CYP3A4‑substrat och även ett substrat för och måttlig hämmare av PgP. Därför kan absorption och åtföljande eliminering av everolimus påverkas av produkter som påverkar CYP3A4 och/eller PgP. In vitro är everolimus en kompetitiv hämmare av CYP3A4 och en blandad hämmare av CYP2D6.
Kända och teoretiska interaktioner med vissa hämmare och inducerare av CYP3A4 och PgP återges i tabell 2 nedan.
CYP3A4- och PgP-hämmare som ökar koncentrationerna av everolimus
Substanser som hämmar CYP3A4 eller PgP kan öka everolimuskoncentrationerna i blodet genom att minska metabolismen eller utflödet av everolimus från intestinala celler.
CYP3A4- och PgP-inducerare som minskar koncentrationerna av everolimus
Substanser som är inducerare av CYP3A4 eller PgP kan minska blodkoncentrationerna av everolimus genom att öka metabolismen eller utflödet av everolimus från intestinala celler.
Tabell 2 Effekter av andra aktiva substanser på everolimus
Substanser vars plasmakoncentration eventuellt kan påverkas av everolimus
De systemiska koncentrationerna som erhållits efter orala dagliga doser av 10 mg, gör hämning av PgP, CYP3A4 och CYP2D6 mindre trolig (grundat på in vitro resultat). Emellertid kan hämning av CYP3A4 och PgP i tarmen inte uteslutas. En interaktionsstudie på friska frivilliga visade att samtidig administrering av en oral dos midazolam, ett känsligt testsubstrat för CYP3A, och everolimus ledde till att Cmax ökade med 25 % och AUC(0-inf) med 30 % för midazolam. Effekten beror sannolikt på en hämning av CYP3A4 i tarmen av everolimus. Everolimus kan följaktligen påverka biotillgängligheten av orala samtidigt administrerade CYP3A4-substrat. Vid systemisk administrering av CYP3A4‑substrat väntas däremot inte någon kliniskt relevant påverkan (se avsnitt 4.4).
Samtidig administrering av everolimus och långverkande oktreotid gav ett ökat Cmin för oktreotid med ett geometriskt medelvärde (everolimus/placebo) på 1,47. Någon klinisk signifikant betydelse för effekten av everolimus hos patienter med avancerade neuroendokrina tumörer kunde inte fastställas.
Samtidig administrering av everolimus och exemestan ökade Cmin och C2 h för exemestan med 45 % respektive 64 %. Motsvarande östradiolhalt vid steady state (4 veckor) skilde sig emellertid inte åt mellan de två behandlingsgrupperna. Ingen ökning av antalet biverkningar relaterat till exemestan observerades hos patienter med hormonreceptorpositiv avancerad bröstcancer som behandlades med kombinationen. Ökningen av exemestannivåerna påverkar sannolikt inte effekt eller säkerhet.
Samtidig användning av ACE-hämmare
Patienter som samtidigt tar ACE-hämmare (t.ex. ramipril) kan löpa ökad risk för angioödem (se avsnitt 4.4).
Vaccinationer
Immunresponsen på en vaccination kan eventuellt påverkas och därför kan vaccinationen vara mindre effektiv under behandling med Everolimus Viatris. Användning av levande vacciner ska undvikas under behandling med Everolimus Viatris (se avsnitt 4.4). Exempel på levande vacciner är vaccin mot influensa (intranasalt), mässling, påssjuka, röda hund, polio (peroralt), tuberkulos (BCG, Bacillus Calmette-Guérin), gula febern, vattkoppor och tyfoidfeber (stam Ty21a).
Strålbehandling
Potentiering av strålbehandlingstoxicitet har rapporterats hos patienter som fått everolimus (se avsnitt 4.4 och 4.8).
Fertila kvinnor/födelsekontroll hos män och kvinnor
Kvinnor i fertil ålder måste använda en mycket säker preventivmetod (t ex icke östrogeninnehållande preventivmedel givet oralt, via injektion eller implantat; progesteron-baserade preventivmedel, hysterektomi, tubarligering, fullständig avhållsamhet, barriärmetoder, spiral och/eller kvinnlig/manlig sterilisering) under behandling med everolimus och upp till 8 veckor efter avslutad behandling. Manliga patienter ska inte avrådas från att försöka få barn.
Graviditet
Det finns inga adekvata data från användning av everolimus hos gravida kvinnor. Djurstudier har visat reproduktionstoxikologiska effekter inklusive embryotoxicitet och fetotoxicitet (se avsnitt 5.3). Den potentiella risken för människa är okänd.
Everolimus rekommenderas inte under graviditet och hos kvinnor i fertil ålder som inte använder preventivmedel.
Amning
Det är inte känt om everolimus utsöndras i bröstmjölk. Hos råtta, däremot, passerar everolimus och/eller dess metaboliter lätt över i mjölk (se avsnitt 5.3). Därför bör kvinnor som tar everolimus inte amma under behandlingen och upp till 2 veckor efter den sista dosen.
Fertilitet
Risken för att everolimus ska orsaka infertilitet hos män och kvinnor är okänd, men amenorré (sekundär amenorré och annan oregelbundenhet av menstruation) associerat med obalans i luteiniserande hormon (LH)/follikelstimulerande hormon (FSH) har observerats hos kvinnliga patienter. Baserat på icke-kliniska fynd kan den manliga och den kvinnliga fertiliteten vara nedsatt under behandling med everolimus (se avsnitt 5.3).
Everolimus Viatris har en mindre eller måttlig effekt på förmågan att framföra fordon och använda maskiner. Patienterna bör informeras om att de ska vara försiktiga när de kör eller använder maskiner om de upplever fatigue under behandlingen med Everolimus Viatris.
Sammanfattning av biverkningsprofilen
Säkerhetsprofilen baseras på sammanställda uppgifter från elva kliniska studier där 2 879 patienter behandlades med everolimus. Fem av studierna var randomiserade, dubbelblinda, placebokontrollerade fas III-studier och sex var öppna fas I och II-studier relaterade till de godkända indikationerna.
De vanligaste biverkningarna (incidens ≥ 1/10) utifrån sammanställda säkerhetsuppgifter var (i fallande ordning): stomatit, utslag, fatigue, diarré, infektioner, illamående, minskad aptit, anemi, smakförändringar, pneumonit, perifert ödem, hyperglykemi, asteni, klåda, viktnedgång, hyperkolesterolemi, näsblod, hosta och huvudvärk.
De biverkningar av grad 3–4 som var oftast förekommande (incidens ≥ 1/100, < 1/10) var stomatit, anemi, hyperglykemi, infektioner, fatigue, diarré, pneumonit, asteni, trombocytopeni, neutropeni, dyspné, proteinuri, lymfopeni, blödning, hypofosfatemi, hudutslag, hypertoni, pneumoni, förhöjt ALAT/ASAT och diabetes mellitus. Graderna följer CTCAE version 3.0 och 4.03.
Biverkningar i tabellformat
Tabell 3 visar frekvensen av rapporterade biverkningar från den sammanlagda analysen av säkerhetsbedömningen. Biverkningarna är listade enligt MedDRA-systemets organklassificering och frekvenskategorier. Frekvenskategorierna definieras enligt följande konvention: mycket vanliga (≥ 1/10); vanliga (≥ 1/100, < 1/10); mindre vanliga (≥ 1/1 000, < 1/100); sällsynta (≥ 1/10 000, < 1/1 000); mycket sällsynta (< 1/10 000) ingen känd frekvens (kan inte beräknas från tillgängliga data). Biverkningarna presenteras inom varje frekvensområde efter fallande allvarlighetsgrad.
Tabell 3 Biverkningar som har rapporterats i kliniska prövningar
Beskrivning av utvalda biverkningar
I kliniska studier och spontanrapporter efter försäljningsgodkännande har everolimus associerats med allvarliga fall av reaktivering av hepatit B, också med dödlig utgång. Reaktivering av infektion är en förväntad effekt under immunsuppressiva behandlingsperioder.
I kliniska studier och spontanrapporter efter försäljningsgodkännande har everolimus associerats med njursvikt (även med dödlig utgång) och proteinuri. Kontroll av njurfunktionen rekommenderas (se avsnitt 4.4).
I kliniska studier och spontanrapporter efter försäljningsgodkännande har everolimus associerats med fall av amenorré (sekundär amenorré och annan oregelbundenhet av menstruation).
I kliniska studier och spontanrapporter efter försäljningsgodkännande har everolimus associerats med fall av PJP/ PCP, några med dödlig utgång (se avsnitt 4.4).
I kliniska studier och spontanrapporter efter försäljningsgodkännande har angioödem rapporterats, både med och utan samtidig användning av ACE‑hämmare (se avsnitt 4.4).
Äldre
Enligt en sammanställning av säkerhetsdata var 37 % av patienterna som behandlades med everolimus ≥ 65 år. Andelen patienter med en biverkning som ledde till utsättning av läkemedlet var högre hos patienter ≥ 65 år (20 % mot 13 %). De biverkningar som orsakade utsättning i flest fall var pneumonit (inklusive interstitiell lungsjukdom), stomatit, fatigue och dyspné.
Rapporterad erfarenhet av överdosering hos människa är mycket begränsad. Engångsdoser upp till 70 mg har getts med acceptabel akut tolerabilitet. Allmänt understödjande åtgärder bör initieras vid alla fall av överdosering.
Hormonreceptorpositiv avancerad bröstcancer
Everolimus Viatris är indicerat för behandling av hormonreceptorpositiv och HER2/neu-negativ avancerad bröstcancer hos postmenopausala kvinnor utan symtomatisk visceral sjukdom i kombination med exemestan i samband med recidiv eller sjukdomsprogress efter tidigare behandling med en icke-steroid aromatashämmare.
Neuroendokrina tumörer med ursprung från pankreas
Everolimus Viatris är indicerat för behandling av inoperabel eller metastaserande, väl eller måttligt differentierade, neuroendokrina tumörer med ursprung från pankreas hos vuxna med progredierad sjukdom.
Neuroendokrina tumörer med ursprung från mag-tarmkanalen eller lungorna
Everolimus Viatris är indicerat för behandling av inoperabel eller metastaserande, väl differentierade (grad 1 eller grad 2) icke-funktionella neuroendokrina tumörer med ursprung från mag-tarmkanalen eller lungorna hos vuxna med progredierad sjukdom (se avsnitt 4.4 och 5.1).
Njurcellscancer
Everolimus Viatris är indicerat för behandling av patienter med avancerad njurcellscancer, där sjukdomen har progredierat under eller efter behandling med VEGF-hämmare.
Behandlingen med Everolimus Viatris ska inledas och övervakas av läkare med erfarenhet av behandling med cancerläkemedel.
Dosering
Everolimus Viatris finns som 2,5 mg, 5 mg och 10 mg tabletter för de olika dosrekommendationerna.
Rekommenderad dos är 10 mg everolimus en gång dagligen. Behandlingen bör fortsätta så länge som klinisk nytta kan ses eller tills oacceptabel toxicitet inträffar.
Om en dos glöms bort ska patienten inte ta en extra dos utan ta nästa dos vid ordinarie dostillfälle.
Dosjustering på grund av biverkningar
För hantering av svåra och/eller ej tolerabla, misstänkta biverkningar kan dosreduktion och/eller tillfällig utsättning av Everolimus Viatris vara nödvändig. För biverkningar av grad 1 behövs oftast ingen dosjustering. Om dosreduktion är nödvändig rekommenderas en dos om 5 mg dagligen och denna dos får inte understigas.
Tabell 1 sammanfattar rekommendationerna för dosjustering i samband med specifika biverkningar (se även avsnitt 4.4).
Tabell 1 Rekommendationer för dosjustering av Everolimus Viatris
Särskilda patientgrupper
Äldre (≥ 65 år)
Ingen dosjustering krävs (se avsnitt 5.2).
Nedsatt njurfunktion
Ingen dosjustering krävs (se avsnitt 5.2).
Nedsatt leverfunktion
Lindrig leverfunktionsnedsättning (Child-Pugh A) – rekommenderad daglig dos är 7,5 mg.
Måttlig leverfunktionsnedsättning (Child-Pugh B) – rekommenderad daglig dos är 5 mg.
Svår leverfunktionsnedsättning (Child-Pugh C) – Everolimus Viatris rekommenderas enbart om den önskade effekten överväger risken. I detta fall, får en daglig dos på 2,5 mg inte överskridas.
Dosjusteringar får enbart göras om patientens leverstatus (Child-Pugh) ändras under behandlingen (se även avsnitt 4.4 och 5.2).
Pediatrisk population
Säkerhet och effekt för Everolimus Viatris för barn i åldern 0 till 18 år har inte fastställts. Inga data finns tillgängliga.
Administreringssätt
Everolimus Viatris ska ges oralt en gång dagligen vid samma tidpunkt varje dag, konsekvent antingen med eller utan mat (se avsnitt 5.2). Everolimus Viatris -tabletter ska sväljas hela med ett glas vatten. Tabletterna ska inte tuggas eller krossas.
Överkänslighet mot den aktiva substansen, mot andra rapamycinderivat eller mot något hjälpämne som anges i avsnitt 6.1.
Icke-infektiös pneumonit
Icke-infektiös pneumonit är en klasseffekt av rapamycinderivat, inklusive everolimus. Fall av icke-infektiös pneumonit (inklusive interstitiell lungsjukdom) rapporteras ofta hos patienter som tar Everolimus Viatris (se avsnitt 4.8). Vissa fall har varit svåra, i sällsynta fall med dödlig utgång. Diagnosen icke-infektiös pneumonit ska övervägas hos patienter med ospecifika tecken och symtom i andningsvägarna, såsom hypoxi, pleurautgjutning, hosta eller dyspné samt där infektiösa, neoplastiska och andra icke‑medicinska orsaker har uteslutits genom lämpliga undersökningar. Vid differentialdiagnostik av icke-infektiös pneumonit bör opportunistiska infektioner, såsom Pneumocystis jirovecii (carinii)-pneumoni (PJP/PCP) uteslutas (se ”Infektioner” nedan). Patienterna ska rådas att omedelbart rapportera eventuella nya eller förvärrade symtom i andningsvägarna.
Patienter som utvecklar röntgenologiska förändringar som tyder på icke‑infektiös pneumonit och som har få eller inga symtom kan fortsätta med Everolimus Viatris-behandlingen utan dosjustering. Om symtomen är måttliga (grad 2) eller svåra (grad 3) kan behandling med kortikosteroider vara indicerat tills kliniska symtom avklingar.
För patienter som behöver kortikosteroider för behandling av icke-infektiös pneumonit bör profylax mot Pneumocystis jirovecii (carinii)-pneumoni (PJP/PCP) övervägas.
Infektioner
Everolimus har immunsuppressiva egenskaper och kan predisponera patienterna för bakterie‑, svamp‑, virus‑ eller protozoinfektioner, inklusive infektioner med opportunistiska patogener (se avsnitt 4.8). Lokala och systemiska infektioner, inklusive pneumoni, andra bakterieinfektioner, invasiva svampinfektioner som aspergillos, candidiasis eller PJP/PCP samt virusinfektioner, såsom reaktivering av hepatit B-virus, har beskrivits hos patienter som tar everolimus. Vissa av dessa infektioner har varit svåra (orsakade t.ex. sepsis, andnings‑ eller leversvikt) och ibland dödliga.
Läkare och patienter ska vara medvetna om den ökade infektionsrisken vid behandling med Everolimus Viatris. Pågående infektioner ska behandlas på lämpligt sätt och vara fullständigt behandlade innan behandling med Everolimus Viatris påbörjas. Var uppmärksam på symtom och tecken på infektion under behandling med Everolimus Viatris. Om diagnos på infektion ställs, sätt omedelbart in lämplig behandling och överväg att göra uppehåll eller avsluta behandlingen med Everolimus Viatris.
Om diagnosen invasiv systemisk svampinfektion ställs, ska behandlingen med Everolimus Viatris omedelbart och permanent utsättas och patienten få behandling med lämpligt antimykotikum.
Fall av Pneumocystis jirovecii (carinii)-pneumoni (PJP/PCP), några med dödlig utgång, har rapporterats hos patienter som fått everolimus. PJP/PCP kan associeras till samtidig användning av kortikosteroider eller andra immunsuppressiva medel. Profylax mot PJP/PCP bör övervägas vid samtidig behandling med kortikosteroider eller andra immunsuppressiva medel.
Överkänslighetsreaktioner
Överkänslighetsreaktioner med symtom inkluderande, men inte begränsat till, anafylaxi, dyspné, rodnad, bröstsmärta eller angioödem (t.ex. svullnad av luftrör eller tunga, med eller utan nedsatt andning) har observerats med everolimus (se avsnitt 4.3).
Samtidig användning av ACE-hämmare
Patienter som samtidigt tar ACE-hämmare (t.ex. ramipril) kan löpa ökad risk för angioödem (t.ex. svullnad av luftrör eller tunga, med eller utan påverkan på andning) (se avsnitt 4.5).
Stomatit
Stomatit, inklusive sårbildning i munhålan och oral mukosit, är den vanligast rapporterade biverkningen hos patienter som behandlats med everolimus (se avsnitt 4.8). Stomatit inträffar oftast inom de första 8 veckorna av behandlingen. En enarmad studie hos postmenopausala bröstcancerpatienter som behandlades med everolimus plus exemestan tyder på att användning av en alkoholfri oral kortikosteroidlösning, administrerad som munskölj under de inledande 8 behandlingsveckorna kan minska förekomsten och svårighetsgraden av stomatit (se avsnitt 5.1). Hantering av stomatit kan därmed innefatta profylaktisk och/eller terapeutisk lokal behandling med en alkoholfri oral kortikosteroidlösning som munskölj. Emellertid ska produkter som innehåller alkohol, väteperoxid, jod eller timjanderivat undvikas, eftersom de kan förvärra tillståndet. Övervakning och behandling av svampinfektion rekommenderas, särskilt hos patienter som behandlas med steroidbaserade läkemedel. Antimykotikum ska inte användas, såvida inte svampinfektion har diagnostiserats (se avsnitt 4.5).
Njursvikt
Fall av njursvikt (inklusive akut njursvikt), varav några med dödlig utgång, har observerats hos patienter som behandlats med everolimus (se avsnitt 4.8). Njurfunktionen bör kontrolleras, särskilt hos patienter med andra riskfaktorer som kan försämra njurfunktionen ytterligare.
Laboratorietester och monitorering
Njurfunktion
Förhöjda värden av serumkreatinin, vanligen lätt förhöjda, och proteinuri har rapporterats (se avsnitt 4.8). Monitorering av njurfunktionen, inklusive mätning av blodureakväve (BUN), protein i urinen eller serumkreatinin, rekommenderas före insättning av behandling med Everolimus Viatris, och därefter med jämna mellanrum.
Blodglukos
Hyperglykemi har rapporterats (se avsnitt 4.8). Monitorering av fasteglukosvärdet i serum rekommenderas före insättning av behandling med Everolimus Viatris, och därefter med jämna mellanrum. Tätare kontroller rekommenderas när Everolimus Viatris ges samtidigt med andra läkemedel som också kan orsaka hyperglykemi. Om möjligt ska optimal glykemisk kontroll uppnås innan behandling med Everolimus Viatris sätts in.
Blodlipider
Dyslipidemi (inklusive hyperkolesterolemi och hypertriglyceridemi) har rapporterats. Monitorering av kolesterol- och triglyceridnivåer i blodet före insättning av behandling med Everolimus Viatris och därefter med jämna mellanrum, liksom insättning av lämplig medicinsk behandling, rekommenderas också.
Hematologiska parametrar
Minskade värden för hemoglobin, lymfocyter, neutrofiler och trombocyter har rapporterats (se avsnitt 4.8). Monitorering av fullständig blodstatus rekommenderas före insättning av behandling med Everolimus Viatris, och därefter med jämna mellanrum.
Funktionella karcinoida tumörer
I en randomiserad, dubbelblind, multicenterstudie hos patienter med funktionella karcinoida tumörer jämfördes everolimus plus långverkande oktreotid med placebo plus långverkande oktreotid. Studien uppnådde inte det primära effektmåttet (progressionsfri överlevnad [PFS]) och interimsanalysen för total överlevnad (OS) gynnade numeriskt gruppen placebo plus långverkande oktreotid. Därför har inte säkerhet och effekt av everolimus hos patienter med funktionella karcinoida tumörer kunnat fastställas.
Prognostiska faktorer vid neuroendokrina tumörer med ursprung från mag-tarmkanalen eller lungorna
Hos patienter med icke-funktionella neuroendokrina tumörer med ursprung från mag-tarmkanalen eller lungorna och goda prognostiska faktorer, t ex primärtumör i ileum och normala kromogranin A-värden eller avsaknad av skelettpåverkan, bör en individuell nytta-riskbedömning göras innan behandling med Everolimus Viatris påbörjas. Det finns begränsade belägg för fördelaktig PFS i subgruppen som hade primärtumör med ursprung i ileum (se avsnitt 5.1).
Interaktioner
Samtidig administrering med hämmare och inducerare av CYP3A4 och/eller P-glykoprotein (PgP) ska undvikas. Om samtidig administration av måttliga CYP3A4 och/eller PgP-hämmare eller -inducerare inte kan undvikas,bör dosjusteringar av Everolimus Viatris övervägas baserat på prognosticerad AUC (se avsnitt 4.5).
Samtidig behandling med potenta CYP3A4-hämmare resulterar i kraftigt ökade plasmakoncentrationer av everolimus (se avsnitt 4.5). För tillfället finns det inte tillräckligt med data för att tillåta doseringsrekommendationer i denna situation. Som följd av detta rekommenderas inte samtidig behandling med Everolimus Viatris och potenta hämmare.
Försiktighet ska iakttas när Everolimus Viatris tas i kombination med oralt administrerade CYP3A4‑substrat med smalt terapeutiskt index på grund av risken för interaktioner. Om Everolimus Viatris tas tillsammans med något sådant läkemedel (t.ex. pimozid, terfenadin, astemizol, cisaprid, kinidin eller derivat av ergotalkaloider), ska patienten följas upp med avseende på de biverkningar som beskrivs i produktinformationen för det oralt administrerade CYP3A4‑substratet (se avsnitt 4.5).
Nedsatt leverfunktion
Exponeringen för everolimus ökar hos patienter med lindrig (Child-Pugh A), måttlig (Child-Pugh B) och svår (Child-Pugh C) leverfunktionsnedsättning (se avsnitt 5.2).
Everolimus Viatris rekommenderas endast hos patienter med svår leverfunktionsnedsättning (Child-Pugh C) om den potentiella nyttan överväger risken (se avsnitt 4.2 och 5.2).
För närvarande finns inga kliniska säkerhets- och effektdata tillgängliga för att kunna ge rekommendationer om dosjustering för hantering av biverkningar hos patienter med nedsatt leverfunktion.
Vaccinationer
Användning av levande vacciner ska undvikas under behandling med Everolimus Viatris (se avsnitt 4.5).
Sårläkningskomplikationer
Försämrad sårläkning är en klasseffekt för rapamycinderivat, inklusive everolimus. Försiktighet bör därför iakttas vid användning av Everolimus Viatris tiden före och efter kirurgiskt ingrepp.
StrålbehandlingskomplikationerAllvarliga och kraftiga strålreaktioner (som t.ex. strålningsesofagit, strålningspneumonit och strålningsskada i huden), inklusive fall med dödlig utgång har rapporterats när everolimus tagits under eller en kort tid efter strålbehandling. Försiktighet ska därför iakttas för potentiering av strålbehandlingstoxicitet hos patienter som tar everolimus i nära tidsmässig relation till strålbehandling.Strålningsinducerad hudreaktion (radiation recall syndrome, RRS) har dessutom rapporterats hos patienter som tagit everolimus och fått strålbehandling tidigare. Vid RRS ska uppehåll eller utsättning av behandlingen med everolimus övervägas.HjälpämnenLaktos
Patienter med något av följande sällsynta ärftliga tillstånd bör inte ta detta läkemedel: galaktosintolerans, total laktasbrist eller glukosgalaktosmalabsorption.
Everolimus är ett CYP3A4‑substrat och även ett substrat för och måttlig hämmare av PgP. Därför kan absorption och åtföljande eliminering av everolimus påverkas av produkter som påverkar CYP3A4 och/eller PgP. In vitro är everolimus en kompetitiv hämmare av CYP3A4 och en blandad hämmare av CYP2D6.
Kända och teoretiska interaktioner med vissa hämmare och inducerare av CYP3A4 och PgP återges i tabell 2 nedan.
CYP3A4- och PgP-hämmare som ökar koncentrationerna av everolimus
Substanser som hämmar CYP3A4 eller PgP kan öka everolimuskoncentrationerna i blodet genom att minska metabolismen eller utflödet av everolimus från intestinala celler.
CYP3A4- och PgP-inducerare som minskar koncentrationerna av everolimus
Substanser som är inducerare av CYP3A4 eller PgP kan minska blodkoncentrationerna av everolimus genom att öka metabolismen eller utflödet av everolimus från intestinala celler.
Tabell 2 Effekter av andra aktiva substanser på everolimus
Substanser vars plasmakoncentration eventuellt kan påverkas av everolimus
De systemiska koncentrationerna som erhållits efter orala dagliga doser av 10 mg, gör hämning av PgP, CYP3A4 och CYP2D6 mindre trolig (grundat på in vitro resultat). Emellertid kan hämning av CYP3A4 och PgP i tarmen inte uteslutas. En interaktionsstudie på friska frivilliga visade att samtidig administrering av en oral dos midazolam, ett känsligt testsubstrat för CYP3A, och everolimus ledde till att Cmax ökade med 25 % och AUC(0-inf) med 30 % för midazolam. Effekten beror sannolikt på en hämning av CYP3A4 i tarmen av everolimus. Everolimus kan följaktligen påverka biotillgängligheten av orala samtidigt administrerade CYP3A4-substrat. Vid systemisk administrering av CYP3A4‑substrat väntas däremot inte någon kliniskt relevant påverkan (se avsnitt 4.4).
Samtidig administrering av everolimus och långverkande oktreotid gav ett ökat Cmin för oktreotid med ett geometriskt medelvärde (everolimus/placebo) på 1,47. Någon klinisk signifikant betydelse för effekten av everolimus hos patienter med avancerade neuroendokrina tumörer kunde inte fastställas.
Samtidig administrering av everolimus och exemestan ökade Cmin och C2 h för exemestan med 45 % respektive 64 %. Motsvarande östradiolhalt vid steady state (4 veckor) skilde sig emellertid inte åt mellan de två behandlingsgrupperna. Ingen ökning av antalet biverkningar relaterat till exemestan observerades hos patienter med hormonreceptorpositiv avancerad bröstcancer som behandlades med kombinationen. Ökningen av exemestannivåerna påverkar sannolikt inte effekt eller säkerhet.
Samtidig användning av ACE-hämmare
Patienter som samtidigt tar ACE-hämmare (t.ex. ramipril) kan löpa ökad risk för angioödem (se avsnitt 4.4).
Vaccinationer
Immunresponsen på en vaccination kan eventuellt påverkas och därför kan vaccinationen vara mindre effektiv under behandling med Everolimus Viatris. Användning av levande vacciner ska undvikas under behandling med Everolimus Viatris (se avsnitt 4.4). Exempel på levande vacciner är vaccin mot influensa (intranasalt), mässling, påssjuka, röda hund, polio (peroralt), tuberkulos (BCG, Bacillus Calmette-Guérin), gula febern, vattkoppor och tyfoidfeber (stam Ty21a).
Strålbehandling
Potentiering av strålbehandlingstoxicitet har rapporterats hos patienter som fått everolimus (se avsnitt 4.4 och 4.8).
Fertila kvinnor/födelsekontroll hos män och kvinnor
Kvinnor i fertil ålder måste använda en mycket säker preventivmetod (t ex icke östrogeninnehållande preventivmedel givet oralt, via injektion eller implantat; progesteron-baserade preventivmedel, hysterektomi, tubarligering, fullständig avhållsamhet, barriärmetoder, spiral och/eller kvinnlig/manlig sterilisering) under behandling med everolimus och upp till 8 veckor efter avslutad behandling. Manliga patienter ska inte avrådas från att försöka få barn.
Graviditet
Det finns inga adekvata data från användning av everolimus hos gravida kvinnor. Djurstudier har visat reproduktionstoxikologiska effekter inklusive embryotoxicitet och fetotoxicitet (se avsnitt 5.3). Den potentiella risken för människa är okänd.
Everolimus rekommenderas inte under graviditet och hos kvinnor i fertil ålder som inte använder preventivmedel.
Amning
Det är inte känt om everolimus utsöndras i bröstmjölk. Hos råtta, däremot, passerar everolimus och/eller dess metaboliter lätt över i mjölk (se avsnitt 5.3). Därför bör kvinnor som tar everolimus inte amma under behandlingen och upp till 2 veckor efter den sista dosen.
Fertilitet
Risken för att everolimus ska orsaka infertilitet hos män och kvinnor är okänd, men amenorré (sekundär amenorré och annan oregelbundenhet av menstruation) associerat med obalans i luteiniserande hormon (LH)/follikelstimulerande hormon (FSH) har observerats hos kvinnliga patienter. Baserat på icke-kliniska fynd kan den manliga och den kvinnliga fertiliteten vara nedsatt under behandling med everolimus (se avsnitt 5.3).
Everolimus Viatris har en mindre eller måttlig effekt på förmågan att framföra fordon och använda maskiner. Patienterna bör informeras om att de ska vara försiktiga när de kör eller använder maskiner om de upplever fatigue under behandlingen med Everolimus Viatris.
Sammanfattning av biverkningsprofilen
Säkerhetsprofilen baseras på sammanställda uppgifter från elva kliniska studier där 2 879 patienter behandlades med everolimus. Fem av studierna var randomiserade, dubbelblinda, placebokontrollerade fas III-studier och sex var öppna fas I och II-studier relaterade till de godkända indikationerna.
De vanligaste biverkningarna (incidens ≥ 1/10) utifrån sammanställda säkerhetsuppgifter var (i fallande ordning): stomatit, utslag, fatigue, diarré, infektioner, illamående, minskad aptit, anemi, smakförändringar, pneumonit, perifert ödem, hyperglykemi, asteni, klåda, viktnedgång, hyperkolesterolemi, näsblod, hosta och huvudvärk.
De biverkningar av grad 3–4 som var oftast förekommande (incidens ≥ 1/100, < 1/10) var stomatit, anemi, hyperglykemi, infektioner, fatigue, diarré, pneumonit, asteni, trombocytopeni, neutropeni, dyspné, proteinuri, lymfopeni, blödning, hypofosfatemi, hudutslag, hypertoni, pneumoni, förhöjt ALAT/ASAT och diabetes mellitus. Graderna följer CTCAE version 3.0 och 4.03.
Biverkningar i tabellformat
Tabell 3 visar frekvensen av rapporterade biverkningar från den sammanlagda analysen av säkerhetsbedömningen. Biverkningarna är listade enligt MedDRA-systemets organklassificering och frekvenskategorier. Frekvenskategorierna definieras enligt följande konvention: mycket vanliga (≥ 1/10); vanliga (≥ 1/100, < 1/10); mindre vanliga (≥ 1/1 000, < 1/100); sällsynta (≥ 1/10 000, < 1/1 000); mycket sällsynta (< 1/10 000) ingen känd frekvens (kan inte beräknas från tillgängliga data). Biverkningarna presenteras inom varje frekvensområde efter fallande allvarlighetsgrad.
Tabell 3 Biverkningar som har rapporterats i kliniska prövningar
Beskrivning av utvalda biverkningar
I kliniska studier och spontanrapporter efter försäljningsgodkännande har everolimus associerats med allvarliga fall av reaktivering av hepatit B, också med dödlig utgång. Reaktivering av infektion är en förväntad effekt under immunsuppressiva behandlingsperioder.
I kliniska studier och spontanrapporter efter försäljningsgodkännande har everolimus associerats med njursvikt (även med dödlig utgång) och proteinuri. Kontroll av njurfunktionen rekommenderas (se avsnitt 4.4).
I kliniska studier och spontanrapporter efter försäljningsgodkännande har everolimus associerats med fall av amenorré (sekundär amenorré och annan oregelbundenhet av menstruation).
I kliniska studier och spontanrapporter efter försäljningsgodkännande har everolimus associerats med fall av PJP/ PCP, några med dödlig utgång (se avsnitt 4.4).
I kliniska studier och spontanrapporter efter försäljningsgodkännande har angioödem rapporterats, både med och utan samtidig användning av ACE‑hämmare (se avsnitt 4.4).
Äldre
Enligt en sammanställning av säkerhetsdata var 37 % av patienterna som behandlades med everolimus ≥ 65 år. Andelen patienter med en biverkning som ledde till utsättning av läkemedlet var högre hos patienter ≥ 65 år (20 % mot 13 %). De biverkningar som orsakade utsättning i flest fall var pneumonit (inklusive interstitiell lungsjukdom), stomatit, fatigue och dyspné.
Rapportering av misstänkta biverkningar
Rapporterad erfarenhet av överdosering hos människa är mycket begränsad. Engångsdoser upp till 70 mg har getts med acceptabel akut tolerabilitet. Allmänt understödjande åtgärder bör initieras vid alla fall av överdosering.
Primärt effektmått i studien var progressionsfri överlevnad (PFS) utvärderat med RECIST (Response Evaluation Criteria in Solid Tumors), baserat på prövarens bedömning (lokal radiologi). Understödjande PFS-analyser baserades på en oberoende central radiologisk granskning.
Sekundära effektmått var total överlevnad (OS), objektiv responsfrekvens, klinisk nytta, säkerhet, förändring av livskvalitet (QoL) och tid till försämrad ECOG-funktionsstatus (Eastern Cooperative Oncology Group).
Totalt randomiserades 724 patienter 2:1 till antingen kombinationen everolimus (10 mg dagligen) plus exemestan (25 mg dagligen) (n = 485) eller till placebo plus exemestan (25 mg dagligen) (n = 239). Vid tidpunkten för analys av total överlevnad (OS) var behandlingstiden med everolimus i median 24,0 veckor (1,0–199,1 veckor). För patienterna som fick everolimus plus exemestan var behandlingstiden längre, i median 29,5 veckor (1,0–199,1), jämfört med 14,1 veckor (1,0–156,0 veckor) för placebo- plus exemestangruppen.
Effektresultaten för primärt effektmått erhölls från den slutgiltiga PFS-analysen (se tabell 4 och figur 1). Patienterna i placebo plus exemestangruppen övergick inte till everolimus vid tidpunkten för progression.
Tabell 4 Effektresultat för BOLERO-2
Figur 1 BOLERO-2 – Kaplan-Meierkurvor för progressionsfri överlevnad (radiologisk granskning av prövaren)
Den beräknade behandlingseffekten på PFS fick stöd av en planerad subgruppsanalys av PFS enligt prövarens bedömning. I alla analyserade subgrupper (ålder, känslighet för tidigare hormonell behandling, antal involverade organ, skelettmetastaser vid studiestart, förekomst av visceral metastasering och över betydande demografiska och prognostiska subgrupper) sågs en positiv behandlingseffekt av everolimus plus exemestan, med en beräknad riskkvot (HR) jämfört med placebo plus exemestan som varierade från 0,25 till 0,60.
Ingen skillnad i tid till ≥ 5 % försämring av skattningen avseende generell livskvalitet eller funktionsskalor enligt QLQ-C30 observerades i de två armarna.
BOLERO-6 (studie CRAD001Y2201), en randomiserad, öppen fas II-studie av everolimus i kombination med exemestan jämfört med enbart everolimus eller kapecitabin vid behandling av postmenopausala kvinnor med östrogenreceptorpositiv, HER2/neu-negativ, lokalt avancerad, återkommande eller metastatisk bröstcancer efter recidiv eller progression efter tidigare behandling med letrozol eller anastrozol.
Studiens primära effektmått var beräknad riskkvot (HR) för progressionsfri överlevnad (PFS) för everolimus plus exemestan, jämfört med enbart everolimus. Det huvudsakliga sekundära effektmåttet var beräknad HR för PFS för everolimus plus exemestan, jämfört med kapecitabin.
Andra sekundära effektmått innefattade utvärdering av total överlevnad, objektiv responsfrekvens, klinisk nytta, säkerhet, tid till försämrat ECOG-funktionsstatus, tid till livskvalitet-försämring och behandlingsnöjdhet (TSQM). Inga formella statistiska jämförelser planerades.
Totalt randomiserades 309 patienter i förhållandet 1:1:1 till kombinationen everolimus (10 mg dagligen) plus exemestan (25 mg dagligen) (n = 104), enbart everolimus (10 mg dagligen) (n = 103) eller kapecitabin (1 250 mg/m2 två gånger dagligen i 2 veckor följt av en veckas uppehåll, dvs. 3-veckorscykel) (n = 102). Vid sista datum för datainsamling (data cut-off) var behandlingsdurationen i median 27,5 veckor (intervall 2,0–165,7) för gruppen som fick everolimus plus exemestan, 20 veckor (1,3–145,0) för everolimus och 26,7 veckor (1,4–177,1) för kapecitabin.
Resultatet för den slutliga PFS-analysen med 154 händelser baserat på lokal bedömning visade en beräknad HR på 0,74 (90 % KI: 0,57; 0,97) till fördel för gruppen som fick everolimus plus exemestan jämfört med everolimus. I median var PFS 8,4 månader (90 % KI: 6,6; 9,7) respektive 6,8 månader (90 % KI: 5,5; 7,2).
Figur 2 BOLERO‑6 – Kaplan-Meierkurvor för progressionsfri överlevnad (radiologisk granskning av prövaren)
För det huvudsakliga sekundära effektmåttet PFS var beräknad HR 1,26 (90 % KI: 0,96; 1,66) till fördel för kapecitabin jämfört kombinationen everolimus plus exemestan, baserat på totalt 148 observerade händelser.
Resultatet för det sekundära effektmåttet total överlevnad var emellertid inte i överensstämmelse med det primära effektmåttet PFS och indikerade en fördel för enbart everolimus. Beräknad HR var 1,27 (90 % KI: 0,95; 1,70) för jämförelsen av total överlevnad hos gruppen som enbart fick everolimus respektive everolimus + exemestan. Beräknad HR för total överlevnad i gruppen som fick everolimus plus exemestan jämfört med kapecitabin var 1,33 (90 % KI: 0,99; 1,79).
Avancerade neuroendokrina tumörer med ursprung från pankreas (pNET)
RADIANT-3 (studie CRAD001C2324), en multicenter, randomiserad, dubbelblind, fas III-studie med everolimus plus bästa understödjande vård (BSC) jämfört med placebo plus BSC hos patienter med avancerad pNET, visade en statistiskt signifikant klinisk nytta av everolimus jämfört med placebo med en 2,4 gånger förlängd median progressionsfri överlevnad (PFS) (11,04 månader jämfört med 4,6 månader), (HR 0,35; 95 % KI: 0,27;0,45 p < 0,0001) (se tabell 5 och figur 3).
RADIANT-3 omfattade patienter med väl och måttligt differentierad, avancerad pNET, vars sjukdom hade progredierat under de föregående 12 månaderna. Behandling med somatostatinanaloger var tillåtet som en del av BSC.
Det primära effektmåttet för studien var PFS utvärderat med RECIST (Response Evaluation Criteria in Solid Tumors). Efter dokumenterad radiologisk progression kunde patienterna avblindas av prövaren. De som hade randomiserats till placebo kunde då få öppen behandling med everolimus.
Sekundära effektmått var säkerhet, objektiv responsfrekvens, responstid och total överlevnad (OS).
Sammanlagt randomiserades 410 patienter 1:1 till antingen everolimus 10 mg dagligen (n = 207) eller placebo (n = 203). Demografin var välbalanserad (medianålder 58 år, 55 % män, 78,5 % kaukasier). Femtioåtta procent av patienterna i båda grupperna hade tidigare erhållit systemisk behandling. Mediantiden för behandling i blindad studie var 37,8 veckor (intervall 1,1–129,9 veckor) för patienterna som fått everolimus och 16,1 veckor (intervall 0,4–147,0 veckor) för dem som fått placebo.
Totalt 172 av de 203 patienter (84,7 %) som initialt randomiserats till placebo övergick till öppen behandling med everolimus efter sjukdomsprogression eller avblindning i studien. Mediantiden för öppen behandling var 47,7 veckor för samtliga patienter; 67,1 veckor för de 53 patienter som randomiserats till everolimus respektive 44,1 veckor för de 172 patienter som randomiserats till placebo och sedan övergick till öppen everolimusbehandling.
Tabell 5 Effektresultat för RADIANT-3
Figur 3 RADIANT-3– Kaplan-Meierkurvor för progressionsfri överlevnad (radiologisk granskning av prövaren)
Avancerade neuroendokrina tumörer med ursprung från mag-tarmkanalen eller lungorna
RADIANT-4 (studie CRAD001T2302), en randomiserad, dubbelblind, multicenter, fas III-studie med everolimus plus bästa understödjande vård (BSC) jämfört med placebo plus BSC utfördes på patienter med avancerade, väl differentierade (grad 1 eller 2) icke-funktionella neuroendokrina tumörer med ursprung från mag-tarmkanalen eller lungorna och utan anamnes eller aktiva symptom relaterade till karcinoidsyndrom.
Det primära effektmåttet för studien var progressionsfri överlevnad (PFS), utvärderat enligt RECIST (Response Evaluation Criteria in Solid Tumors) och baserat på en oberoende radiologisk granskning. En understödjande PFS-analys var baserad på lokal granskning av prövaren. Sekundära effektmått var total överlevnad (OS), total svarsfrekvens, tid till sjukdomskontroll, säkerhet, förändring av livskvalitet (FACT-G) och tid till försämring enligt WHO PS (World Health Organisation performance status).
Sammanlagt randomiserades 302 patienter i ett 2:1-förhållande till antingen everolimus (10 mg dagligen) (n = 205) eller placebo (n = 97). Demografiska uppgifter och sjukdomskarakteristika var generellt sett balanserad (medianålder 63 år [intervall 22–86], 76 % kaukasier, tidigare behandling med somatostatinanaloger). Mediantiden för blindad behandling var 40,4 veckor för patienter som fick everolimus och 19,6 veckor för dem som fick placebo. Efter den primära PFS analysen gick 6 patienter från placebogruppen över till öppen behandling med everolimus.
Effektresultaten för det primära effektmåttet PFS (oberoende radiologisk granskning) erhölls från de slutliga PFS-analyserna (se tabell 6 och figur 4).
Effektresultaten för PFS (radiologisk granskning av prövaren) erhölls från den finala analysen för total överlevnad (se tabell 6).
Tabell 6 RADIANT-4 – Progressionsfri överlevnad
Figur 4 RADIANT-4 – Kaplan-Meierkurvor för progressionsfri överlevnad (oberoende radiologisk granskning)
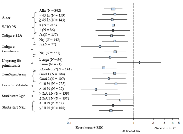
I understödjande analyser observerades en positiv behandlingseffekt i alla subgrupper med undantag för subgruppen som hade primärtumör med ursprung i ileum (ileum: HR = 1,22 [95 % KI: 0,56–2,65]; icke-ileum: HR = 0,34 [95 % KI: 0,22–0,54]; lunga: HR = 0,43 [95 % KI: 0,24–0,79]) (se figur 5).
Figur 5 RADIANT-4 – Progressionsfri överlevnad utifrån i förväg specificerade subgrupper (oberoende radiologisk granskning)
*Icke-ileum: magsäck, kolon, rektum, appendix, cekum, duodenum, jejunum, cancer av okänt primärt ursprung och övrigt gastrointestinalt ursprung.
ULN: övre normalgräns.
CgA: kromogranin A.
NSE: neuronspecifikt enolas.
Hazard ratio (95 % KI) från stratifierad Cox-modell.
Den finala analysen avseende total överlevnad (OS) visade inte en statistisk signifikant skillnad mellan de patienter som fick everolimus eller placebo under studiens blindade behandlingsperiod (HR=0,90 [95 % KI: 0,66 till 1,22]).
Ingen skillnad observerades mellan de båda grupperna avseende tid till definitiv försämring enligt WHO PS (HR=1,02; [95 % KI: 0,65; 1,61]) eller tid till definitiv försämring av livskvalitet (FACT-G HR=0,74; [95 % KI: 0,50; 1,10]).
Avancerad njurcellscancer
RECORD-1 (studie CRAD001C2240), en fas III-, internationell, randomiserad, dubbelblind multicenterstudie utfördes för att jämföra everolimus 10 mg dagligen med placebo, båda i kombination med bästa understödjande vård. Studien utfördes på patienter med metastaserande njurcellscancer, vars sjukdom hade progredierat under eller efter behandling med VEGFR-TKI (vascular endothelial growth factor receptor tyrosine kinase inhibitor), t.ex. sunitinib eller sorafenib, eller både sunitinib och sorafenib i kombination. Tidigare behandling med bevacizumab och interferon-α var också tillåtet. Patienterna stratifierades enligt prognosskalan för MSKCC (Memorial Sloan-Kettering Cancer Center) (gynnsam vs medel vs liten riskgrupp) och tidigare cancerbehandling (1 vs 2 tidigare VEGFR-TKI-behandlingar).
Det primära effektmåttet var progressionsfri överlevnad, dokumenterad med hjälp av RECIST-skalan (Response Evaluation Criteria in Solid Tumours) och bedömd via en blindad, oberoende central granskning. Sekundära effektmått var säkerhet, objektiv tumörresponsfrekvens, total överlevnad, sjukdomsrelaterade symtom och livskvalitet. Efter dokumenterad röntgenologisk progression kunde patienterna oblindas av prövaren. De som randomiserats till placebo kunde då få öppen behandling med everolimus 10 mg dagligen. Den oberoende monitoreringskommittén (”Independent Data Monitoring Committee”) rekommenderade att denna prövning skulle avslutas vid tidpunkten för den andra interimanalysen, eftersom det primära effektmåttet hade uppfyllts.
Totalt 416 patienter randomiserades 2:1 till att få everolimus (n = 277) eller placebo (n = 139). Demografin var välbalanserad (poolad medianålder [61 år; intervall 27–85], 78 % män, 88 % kaukasier, antal tidigare VEGFR-TKI-behandlingar [1–74 %, 2–26 %]). Mediantiden för behandling i blindad studie var 141 dagar (intervall 19–451 dagar) för patienter som fått everolimus och 60 dagar (intervall 21–295 dagar) för dem som fått placebo.
Everolimus var överlägset placebo vad avser primärt effektmått av progressionsfri överlevnad, med en statistiskt signifikant, 67 %, minskning av risken för progression eller dödsfall (se tabell 7 och figur 6).
Tabell 7 RECORD-1 – Progressionsfri överlevnad
Figur 6 RECORD-1 – Kaplan-Meier kurvor för progressionsfri överlevnad (oberoende central granskning)
Frekvensen progressionsfri överlevnad vid 6 månader var 36 % vid behandling med everolimus, jämfört med 9 % för placebo.
Bekräftad objektiv tumörrespons sågs hos 5 patienter (2 %) som fick everolimus, men hos ingen av dem som fick placebo. Därför återspeglar fördelen vad avser progressionsfri överlevnad primärt behandlingsgruppen med stabil sjukdom (vilket motsvarar 67 % av den behandlingsgrupp som fick everolimus).
Ingen statistiskt signifikant, behandlingsrelaterad skillnad sågs i total överlevnad (hazard ratio 0,87; konfidensintervall: 0,65–1,17; p = 0,177). Överflyttning till öppen behandling med everolimus efter sjukdomsprogression för patienter som tilldelats placebo försvårade upptäckten av eventuell behandlingsrelaterad skillnad i total överlevnad.
Övriga studier
Stomatit är den vanligast rapporterade biverkningen hos patienter som behandlas med everolimus (se avsnitt 4.4 och 4.8). I en enarmad studie efter försäljningsgodkännandet hos postmenopausala kvinnor med avancerad bröstcancer (n = 92) gavs lokal behandling med dexametason 0,5 mg/5 ml alkoholfri oral lösning, administrerad som munskölj (4 gånger dagligen under de första 8 behandlingsveckorna), från det att behandling påbörjades med everolimus (10 mg/dag) plus exemestan (25 mg/dag), för att minska incidensen och svårighetsgraden av stomatit. Incidensen av stomatit grad ≥ 2 var vid 8 veckor 2,4 % (n = 2/85 utvärderbara patienter), vilket var lägre än vad som tidigare rapporterats. Förekomsten av stomatit grad 1 var 18,8 % (n = 16/85) och inga fall av stomatit grad 3 eller 4 rapporterades. Den övergripande säkerhetsprofilen i denna studie var jämförbar med den som fastställts för everolimus vid behandling inom onkologi och tuberös skleroskomplexet (TSC), med undantag för en något ökad frekvens av oral candidiasis som rapporterades hos 2,2 % (n = 2/92) av patienterna.
Pediatrisk population
Europeiska läkemedelsmyndigheten har beviljat undantag från kravet att skicka in studieresultat för referensläkemedlet som innehåller everolimus för alla grupper av den pediatriska populationen för neuroendokrina tumörer med ursprung från pankreas och thorax samt njurcellscancer (information om pediatrisk användning finns i avsnitt 4.2).
Absorption
Hos patienter med solida tumörer i framskridet stadium uppnås maximala koncentrationer av everolimus (Cmax) 1 timme (median) efter administrering av 5 mg och 10 mg dagligen av everolimus vid fasta eller med ett lätt, fettfritt mellanmål. Cmax är dosproportionellt mellan 5 mg och 10 mg. Everolimus är ett substrat för och en måttlig hämmare av PgP.
Påverkan av föda
Hos friska individer reducerade en fettrik måltid den systemiska exponeringen för everolimus 10 mg med 22 % (uppmätt som AUC) och den maximala plasmakoncentrationen, Cmax, med 54 %. Fettfattig kost reducerade AUC med 32 % och Cmax med 42 %. Intag av föda hade dock ingen märkbar effekt på koncentration/tid-profilen efter absorptionsfasen.
Distribution
Blodplasmakvoten för everolimus, som är koncentrationsberoende inom intervallet 5–5 000 ng/ml, är 17–73 %. Ungefär 20 % av everolimuskoncentrationen i helblod återfinns i plasma hos cancerpatienter som givits 10 mg/dag. Plasmaproteinbindningen är cirka 74 % hos både friska försökspersoner och patienter med måttligt nedsatt leverfunktion. Hos patienter med solida tumörer i framskridet stadium var Vd 191 liter för skenbart centralt kompartment och 517 liter för skenbart perifert kompartment.
Metabolism
Everolimus är ett substrat för CYP3A4 och PgP. Efter oral administrering är everolimus den huvudsakliga cirkulerande komponenten i blodet hos människa. Sex huvudmetaboliter av everolimus har upptäckts i blodet hos människa, inklusive tre monohydroxylerade metaboliter, två hydrolytiska ringöppnade produkter och ett fosfatidylkolinkonjugat av everolimus. Dessa metaboliter identifierades även hos djurarter som använts i toxicitetsstudier och visade cirka 100 gånger mindre aktivitet än everolimus självt. Följaktligen anses everolimus bidra till den största delen av den totala farmakologiska aktiviteten.
Eliminering
Genomsnittligt oralt clearance (CL/F) för everolimus efter 10 mg dagligen hos patienter med solida tumörer i framskridet stadium var 24,5 liter/timme. Elimineringens genomsnittliga halveringstid för everolimus är cirka 30 timmar.
Inga specifika utsöndringsstudier har genomförts på cancerpatienter, men data finns tillgängliga från studier på patienter som genomgått transplantation. Efter administrering av en engångsdos av radiomärkt everolimus i kombination med ciklosporin återfanns 80 % av radioaktiviteten i avföring, medan 5 % utsöndrades i urinen. Modersubstansen upptäcktes inte i urinen eller avföring.
Steady state-farmakokinetik
Efter administrering av everolimus hos patienter med solida tumörer i framskridet stadium var AUC0–τ vid steady state dosproportionell inom området 5–10 mg dagligen. Steady state uppnåddes inom två veckor. Cmax är dosproportionellt mellan 5 mg och 10 mg och tmax uppträder 1–2 timmar efter doseringen. Det fanns ett signifikant samband mellan AUC0–τ och dalkoncentrationen före doseringen vid steady state.
Särskilda patientgrupper
Nedsatt leverfunktion
Everolimus säkerhet, tolerabilitet och farmakokinetik utvärderades i två studier med en oral engångsdos av everolimustabletter till 8 respektive 34 patienter med nedsatt leverfunktion jämfört med personer med normal leverfunktion.
I den första studien var det genomsnittliga AUC för everolimus hos 8 patienter med måttligt nedsatt leverfunktion (Child-Pugh B) dubbelt så högt som det hos 8 patienter med normal leverfunktion.
I den andra studien på 34 patienter med olika grader av leverfunktionsnedsättning sågs en ökad exponering för everolimus (dvs. AUC0–inf) på 1,6; 3,3 och 3,6 gånger hos patienter med lindrig (Child-Pugh A), måttlig (Child-Pugh B) respektive svår leverfunktionsnedsättning (Child-Pugh C) jämfört med personer med normal leverfunktion.
Farmakokinetiska simuleringar för upprepad dosering stödjer dosrekommendationerna för patienter med nedsatt leverfunktion baserat på leverfunktionsstatus enligt Child-Pugh.
Baserat på resultaten från de två studierna rekommenderas dosjustering för patienter med nedsatt leverfunktion (se avsnitt 4.2 och 4.4).
Nedsatt njurfunktion
I en populationsfarmakokinetisk analys av 170 patienter med solida tumörer i framskridet stadium upptäcktes ingen signifikant påverkan från kreatininclearance (25–178 ml/minut) på CL/F hos everolimus. Nedsatt njurfunktion efter transplantation (kreatininclearance inom intervallet 11–107 ml/minut) påverkade inte farmakokinetiken hos everolimus hos patienter som genomgått transplantation.
Äldre
I en populationsfarmakokinetisk utvärdering av cancerpatienter sågs ingen signifikant påverkan av åldern (27–85 år) på oralt clearance av everolimus.
Etnisk tillhörighet
Oralt clearance (CL/F) är likartad hos japanska och kaukasiska cancerpatienter med likartad leverfunktion. Baserat på analysen av populationsfarmakokinetiken är CL/F i genomsnitt 20 % högre hos svarta patienter som genomgått transplantation.
Den prekliniska säkerhetsprofilen för everolimus utvärderades hos möss, råttor, minigrisar, apor och kaniner. De huvudsakliga målorganen hos flera djurarter var han- och hondjurets reproduktionsorgan (tubulär degeneration av testiklar, minskat antal spermier i bitestiklarna och livmoderatrofi). Andra målorgan var lungor (ökat antal alveolära makrofager) hos råttor och möss, bukspottkörteln (degranulering och vakuolation av exokrina celler hos apor respektive minigrisar, och degenerering av öceller hos apor) samt ögon (linsgrumlingar i främre suturlinjen) endast hos råttor. Mindre njurförändringar sågs hos råtta (exacerbation av åldersrelaterat lipofuscin i tubulärt epitel, ökning av hydronefros) och mus (exacerbation av bakgrundslesioner). Det fanns inga tecken på njurtoxicitet hos apor eller minigrisar.
Bakgrundssjukdomar (kronisk myokardit hos råtta, coxsackie-virusinfektion i plasma och hjärta hos apa, coccidia-infestation i magtarmkanalen hos minigrisar, hudlesioner hos mus och apa) tycktes spontant förvärras av behandling med everolimus. Dessa fynd observerades i allmänhet vid systemiska exponeringsnivåer inom det terapeutiska exponeringsintervallet eller däröver, utom för fynden i råtta, vilka rapporterades vid nivåer lägre än terapeutisk exponering på grund av hög vävnadsdistribution.
I en fertilitetsstudie på hanråtta påverkades testikulär morfologi vid doser om 0,5 mg/kg och däröver. Spermiemotiliteten, spermieantal och testosteronnivån i plasma var reducerade vid 5 mg/kg, vilket orsakade nedsättning av fertiliteten hos handjur. Det fanns bevis för att denna effekt var reversibel.
I reproduktionsstudier hos djur påverkades inte kvinnlig fertilitet. Emellertid resulterade orala doser av everolimus på ≥ 0,1 mg/kg (ungefär 4 % av AUC.24 h hos patienter som får dosen 10 mg dagligen) till honråttor i en ökning av preimplantationsförlust.
Everolimus gick över i placenta och var toxiskt för fostret. Hos råttor orsakade everolimus embryo/foetotoxicitet vid systemisk exponering under den terapeutiska nivån. Detta manifesterade sig som mortalitet och minskad vikt hos fostret. Frekvensen av skelettförändringar och missbildningar vid 0,3 och 0,9 mg/kg (t.ex. ofullständig tillslutning av bröstbenet) var förhöjd. I kanin noterades embryotoxicitet i form av ökat antal sena resorptioner.
Genotoxiska studier som innefattade relevanta genotoxiska markörer visade inga tecken på klastogen eller mutagen effekt. Tillförsel av everolimus i upp till 2 år indikerade inte någon onkogen potential hos mus och råtta upp till de högsta doserna motsvarande 3,9 respektive 0,2 gånger den uppskattade kliniska exponeringen.
Farmakoterapeutisk grupp: antineoplastiska medel, övriga antineoplastiska medel, proteinkinashämmare, ATC-kod: L01EG02
Verkningsmekanism
Everolimus är en selektiv hämmare av mTOR (mammalian target of rapamycin). mTOR är ett ledande serin-treoninkinas, vars aktivitet är känd för att vara uppreglerad vid de flesta cancerformer hos människa. Everolimus binds till det intracellulära proteinet FKBP‑12, som bildar ett komplex som hämmar aktiviteten av mTORkomplex‑1 (mTORC1). Hämningen av signalvägen för mTORC1 interagerar med translationen och syntesen av proteiner genom att minska aktiviteten av S6 ribosomalproteinkinas (S6K1) och 4EBP‑1 (eukaryotic elongation factor 4E‑bindningsprotein), som reglerar proteiner som är delaktiga i cellcykeln, angiogenes och glykolys. S6K1 tros fosforylera aktiveringsdomän 1 av östrogenreceptorn, som ansvarar för ligandoberoende aktivering av receptorn. Everolimus minskar nivåerna av vaskulär endotelial tillväxtfaktor (VEGF), vilken förstärker tumörangiogena processer. Everolimus är en potent hämmare av tillväxten och proliferationen av tumörceller, endotelceller, fibroblaster och blodkärlsassocierade glattmuskelceller och har visat sig minska glykolys hos solida tumörer in vitro och in vivo.
Klinisk effekt och säkerhet
Hormonreceptorpositiv avancerad bröstcancer
BOLERO-2 (studie CRAD001Y2301), en randomiserad, dubbelblind, multicenter fas III-studie av everolimus plus exemestan jämfört med placebo plus exemestan, utfördes på postmenopausala kvinnor med östrogenreceptorpositiv, HER2/neu-negativ avancerad bröstcancer med recidiv eller progression efter tidigare behandling med letrozol eller anastrozol. Randomiseringen stratifierades efter dokumenterad känslighet för tidigare hormonbehandling och förekomst av viscerala metastaser. Känslighet för tidigare hormonbehandling definierades som antingen 1) dokumenterad klinisk nytta (komplett respons [CR], partiell respons [PR], stabil sjukdom ≥ 24 veckor) av minst en tidigare hormonbehandling för avancerad sjukdom eller 2) minst 24 månaders adjuvant hormonbehandling innan recidiv.
Primärt effektmått i studien var progressionsfri överlevnad (PFS) utvärderat med RECIST (Response Evaluation Criteria in Solid Tumors), baserat på prövarens bedömning (lokal radiologi). Understödjande PFS-analyser baserades på en oberoende central radiologisk granskning.
Sekundära effektmått var total överlevnad (OS), objektiv responsfrekvens, klinisk nytta, säkerhet, förändring av livskvalitet (QoL) och tid till försämrad ECOG-funktionsstatus (Eastern Cooperative Oncology Group).
Totalt randomiserades 724 patienter 2:1 till antingen kombinationen everolimus (10 mg dagligen) plus exemestan (25 mg dagligen) (n = 485) eller till placebo plus exemestan (25 mg dagligen) (n = 239). Vid tidpunkten för analys av total överlevnad (OS) var behandlingstiden med everolimus i median 24,0 veckor (1,0–199,1 veckor). För patienterna som fick everolimus plus exemestan var behandlingstiden längre, i median 29,5 veckor (1,0–199,1), jämfört med 14,1 veckor (1,0–156,0 veckor) för placebo- plus exemestangruppen.
Effektresultaten för primärt effektmått erhölls från den slutgiltiga PFS-analysen (se tabell 4 och figur 1). Patienterna i placebo plus exemestangruppen övergick inte till everolimus vid tidpunkten för progression.
Tabell 4 Effektresultat för BOLERO-2
Figur 1 BOLERO-2 – Kaplan-Meierkurvor för progressionsfri överlevnad (radiologisk granskning av prövaren)
Den beräknade behandlingseffekten på PFS fick stöd av en planerad subgruppsanalys av PFS enligt prövarens bedömning. I alla analyserade subgrupper (ålder, känslighet för tidigare hormonell behandling, antal involverade organ, skelettmetastaser vid studiestart, förekomst av visceral metastasering och över betydande demografiska och prognostiska subgrupper) sågs en positiv behandlingseffekt av everolimus plus exemestan, med en beräknad riskkvot (HR) jämfört med placebo plus exemestan som varierade från 0,25 till 0,60.
Ingen skillnad i tid till ≥ 5 % försämring av skattningen avseende generell livskvalitet eller funktionsskalor enligt QLQ-C30 observerades i de två armarna.
BOLERO-6 (studie CRAD001Y2201), en randomiserad, öppen fas II-studie av everolimus i kombination med exemestan jämfört med enbart everolimus eller kapecitabin vid behandling av postmenopausala kvinnor med östrogenreceptorpositiv, HER2/neu-negativ, lokalt avancerad, återkommande eller metastatisk bröstcancer efter recidiv eller progression efter tidigare behandling med letrozol eller anastrozol.
Studiens primära effektmått var beräknad riskkvot (HR) för progressionsfri överlevnad (PFS) för everolimus plus exemestan, jämfört med enbart everolimus. Det huvudsakliga sekundära effektmåttet var beräknad HR för PFS för everolimus plus exemestan, jämfört med kapecitabin.
Andra sekundära effektmått innefattade utvärdering av total överlevnad, objektiv responsfrekvens, klinisk nytta, säkerhet, tid till försämrat ECOG-funktionsstatus, tid till livskvalitet-försämring och behandlingsnöjdhet (TSQM). Inga formella statistiska jämförelser planerades.
Totalt randomiserades 309 patienter i förhållandet 1:1:1 till kombinationen everolimus (10 mg dagligen) plus exemestan (25 mg dagligen) (n = 104), enbart everolimus (10 mg dagligen) (n = 103) eller kapecitabin (1 250 mg/m2 två gånger dagligen i 2 veckor följt av en veckas uppehåll, dvs. 3-veckorscykel) (n = 102). Vid sista datum för datainsamling (data cut-off) var behandlingsdurationen i median 27,5 veckor (intervall 2,0–165,7) för gruppen som fick everolimus plus exemestan, 20 veckor (1,3–145,0) för everolimus och 26,7 veckor (1,4–177,1) för kapecitabin.
Resultatet för den slutliga PFS-analysen med 154 händelser baserat på lokal bedömning visade en beräknad HR på 0,74 (90 % KI: 0,57; 0,97) till fördel för gruppen som fick everolimus plus exemestan jämfört med everolimus. I median var PFS 8,4 månader (90 % KI: 6,6; 9,7) respektive 6,8 månader (90 % KI: 5,5; 7,2).
Figur 2 BOLERO‑6 – Kaplan-Meierkurvor för progressionsfri överlevnad (radiologisk granskning av prövaren)
För det huvudsakliga sekundära effektmåttet PFS var beräknad HR 1,26 (90 % KI: 0,96; 1,66) till fördel för kapecitabin jämfört kombinationen everolimus plus exemestan, baserat på totalt 148 observerade händelser.
Resultatet för det sekundära effektmåttet total överlevnad var emellertid inte i överensstämmelse med det primära effektmåttet PFS och indikerade en fördel för enbart everolimus. Beräknad HR var 1,27 (90 % KI: 0,95; 1,70) för jämförelsen av total överlevnad hos gruppen som enbart fick everolimus respektive everolimus + exemestan. Beräknad HR för total överlevnad i gruppen som fick everolimus plus exemestan jämfört med kapecitabin var 1,33 (90 % KI: 0,99; 1,79).
Avancerade neuroendokrina tumörer med ursprung från pankreas (pNET)
RADIANT-3 (studie CRAD001C2324), en multicenter, randomiserad, dubbelblind, fas III-studie med everolimus plus bästa understödjande vård (BSC) jämfört med placebo plus BSC hos patienter med avancerad pNET, visade en statistiskt signifikant klinisk nytta av everolimus jämfört med placebo med en 2,4 gånger förlängd median progressionsfri överlevnad (PFS) (11,04 månader jämfört med 4,6 månader), (HR 0,35; 95 % KI: 0,27;0,45 p < 0,0001) (se tabell 5 och figur 3).
RADIANT-3 omfattade patienter med väl och måttligt differentierad, avancerad pNET, vars sjukdom hade progredierat under de föregående 12 månaderna. Behandling med somatostatinanaloger var tillåtet som en del av BSC.
Det primära effektmåttet för studien var PFS utvärderat med RECIST (Response Evaluation Criteria in Solid Tumors). Efter dokumenterad radiologisk progression kunde patienterna avblindas av prövaren. De som hade randomiserats till placebo kunde då få öppen behandling med everolimus.
Sekundära effektmått var säkerhet, objektiv responsfrekvens, responstid och total överlevnad (OS).
Sammanlagt randomiserades 410 patienter 1:1 till antingen everolimus 10 mg dagligen (n = 207) eller placebo (n = 203). Demografin var välbalanserad (medianålder 58 år, 55 % män, 78,5 % kaukasier). Femtioåtta procent av patienterna i båda grupperna hade tidigare erhållit systemisk behandling. Mediantiden för behandling i blindad studie var 37,8 veckor (intervall 1,1–129,9 veckor) för patienterna som fått everolimus och 16,1 veckor (intervall 0,4–147,0 veckor) för dem som fått placebo.
Totalt 172 av de 203 patienter (84,7 %) som initialt randomiserats till placebo övergick till öppen behandling med everolimus efter sjukdomsprogression eller avblindning i studien. Mediantiden för öppen behandling var 47,7 veckor för samtliga patienter; 67,1 veckor för de 53 patienter som randomiserats till everolimus respektive 44,1 veckor för de 172 patienter som randomiserats till placebo och sedan övergick till öppen everolimusbehandling.
Tabell 5 Effektresultat för RADIANT-3
Figur 3 RADIANT-3– Kaplan-Meierkurvor för progressionsfri överlevnad (radiologisk granskning av prövaren)
Avancerade neuroendokrina tumörer med ursprung från mag-tarmkanalen eller lungorna
RADIANT-4 (studie CRAD001T2302), en randomiserad, dubbelblind, multicenter, fas III-studie med everolimus plus bästa understödjande vård (BSC) jämfört med placebo plus BSC utfördes på patienter med avancerade, väl differentierade (grad 1 eller 2) icke-funktionella neuroendokrina tumörer med ursprung från mag-tarmkanalen eller lungorna och utan anamnes eller aktiva symptom relaterade till karcinoidsyndrom.
Det primära effektmåttet för studien var progressionsfri överlevnad (PFS), utvärderat enligt RECIST (Response Evaluation Criteria in Solid Tumors) och baserat på en oberoende radiologisk granskning. En understödjande PFS-analys var baserad på lokal granskning av prövaren. Sekundära effektmått var total överlevnad (OS), total svarsfrekvens, tid till sjukdomskontroll, säkerhet, förändring av livskvalitet (FACT-G) och tid till försämring enligt WHO PS (World Health Organisation performance status).
Sammanlagt randomiserades 302 patienter i ett 2:1-förhållande till antingen everolimus (10 mg dagligen) (n = 205) eller placebo (n = 97). Demografiska uppgifter och sjukdomskarakteristika var generellt sett balanserad (medianålder 63 år [intervall 22–86], 76 % kaukasier, tidigare behandling med somatostatinanaloger). Mediantiden för blindad behandling var 40,4 veckor för patienter som fick everolimus och 19,6 veckor för dem som fick placebo. Efter den primära PFS analysen gick 6 patienter från placebogruppen över till öppen behandling med everolimus.
Effektresultaten för det primära effektmåttet PFS (oberoende radiologisk granskning) erhölls från de slutliga PFS-analyserna (se tabell 6 och figur 4).
Effektresultaten för PFS (radiologisk granskning av prövaren) erhölls från den finala analysen för total överlevnad (se tabell 6).
Tabell 6 RADIANT-4 – Progressionsfri överlevnad
Figur 4 RADIANT-4 – Kaplan-Meierkurvor för progressionsfri överlevnad (oberoende radiologisk granskning)
I understödjande analyser observerades en positiv behandlingseffekt i alla subgrupper med undantag för subgruppen som hade primärtumör med ursprung i ileum (ileum: HR = 1,22 [95 % KI: 0,56–2,65]; icke-ileum: HR = 0,34 [95 % KI: 0,22–0,54]; lunga: HR = 0,43 [95 % KI: 0,24–0,79]) (se figur 5).
Figur 5 RADIANT-4 – Progressionsfri överlevnad utifrån i förväg specificerade subgrupper (oberoende radiologisk granskning)
*Icke-ileum: magsäck, kolon, rektum, appendix, cekum, duodenum, jejunum, cancer av okänt primärt ursprung och övrigt gastrointestinalt ursprung.
ULN: övre normalgräns.
CgA: kromogranin A.
NSE: neuronspecifikt enolas.
Hazard ratio (95 % KI) från stratifierad Cox-modell.
Den finala analysen avseende total överlevnad (OS) visade inte en statistisk signifikant skillnad mellan de patienter som fick everolimus eller placebo under studiens blindade behandlingsperiod (HR=0,90 [95 % KI: 0,66 till 1,22]).
Ingen skillnad observerades mellan de båda grupperna avseende tid till definitiv försämring enligt WHO PS (HR=1,02; [95 % KI: 0,65; 1,61]) eller tid till definitiv försämring av livskvalitet (FACT-G HR=0,74; [95 % KI: 0,50; 1,10]).
Avancerad njurcellscancer
RECORD-1 (studie CRAD001C2240), en fas III-, internationell, randomiserad, dubbelblind multicenterstudie utfördes för att jämföra everolimus 10 mg dagligen med placebo, båda i kombination med bästa understödjande vård. Studien utfördes på patienter med metastaserande njurcellscancer, vars sjukdom hade progredierat under eller efter behandling med VEGFR-TKI (vascular endothelial growth factor receptor tyrosine kinase inhibitor), t.ex. sunitinib eller sorafenib, eller både sunitinib och sorafenib i kombination. Tidigare behandling med bevacizumab och interferon-α var också tillåtet. Patienterna stratifierades enligt prognosskalan för MSKCC (Memorial Sloan-Kettering Cancer Center) (gynnsam vs medel vs liten riskgrupp) och tidigare cancerbehandling (1 vs 2 tidigare VEGFR-TKI-behandlingar).
Det primära effektmåttet var progressionsfri överlevnad, dokumenterad med hjälp av RECIST-skalan (Response Evaluation Criteria in Solid Tumours) och bedömd via en blindad, oberoende central granskning. Sekundära effektmått var säkerhet, objektiv tumörresponsfrekvens, total överlevnad, sjukdomsrelaterade symtom och livskvalitet. Efter dokumenterad röntgenologisk progression kunde patienterna oblindas av prövaren. De som randomiserats till placebo kunde då få öppen behandling med everolimus 10 mg dagligen. Den oberoende monitoreringskommittén (”Independent Data Monitoring Committee”) rekommenderade att denna prövning skulle avslutas vid tidpunkten för den andra interimanalysen, eftersom det primära effektmåttet hade uppfyllts.
Totalt 416 patienter randomiserades 2:1 till att få everolimus (n = 277) eller placebo (n = 139). Demografin var välbalanserad (poolad medianålder [61 år; intervall 27–85], 78 % män, 88 % kaukasier, antal tidigare VEGFR-TKI-behandlingar [1–74 %, 2–26 %]). Mediantiden för behandling i blindad studie var 141 dagar (intervall 19–451 dagar) för patienter som fått everolimus och 60 dagar (intervall 21–295 dagar) för dem som fått placebo.
Everolimus var överlägset placebo vad avser primärt effektmått av progressionsfri överlevnad, med en statistiskt signifikant, 67 %, minskning av risken för progression eller dödsfall (se tabell 7 och figur 6).
Tabell 7 RECORD-1 – Progressionsfri överlevnad
Figur 6 RECORD-1 – Kaplan-Meier kurvor för progressionsfri överlevnad (oberoende central granskning)
Frekvensen progressionsfri överlevnad vid 6 månader var 36 % vid behandling med everolimus, jämfört med 9 % för placebo.
Bekräftad objektiv tumörrespons sågs hos 5 patienter (2 %) som fick everolimus, men hos ingen av dem som fick placebo. Därför återspeglar fördelen vad avser progressionsfri överlevnad primärt behandlingsgruppen med stabil sjukdom (vilket motsvarar 67 % av den behandlingsgrupp som fick everolimus).
Ingen statistiskt signifikant, behandlingsrelaterad skillnad sågs i total överlevnad (hazard ratio 0,87; konfidensintervall: 0,65–1,17; p = 0,177). Överflyttning till öppen behandling med everolimus efter sjukdomsprogression för patienter som tilldelats placebo försvårade upptäckten av eventuell behandlingsrelaterad skillnad i total överlevnad.
Övriga studier
Stomatit är den vanligast rapporterade biverkningen hos patienter som behandlas med everolimus (se avsnitt 4.4 och 4.8). I en enarmad studie efter försäljningsgodkännandet hos postmenopausala kvinnor med avancerad bröstcancer (n = 92) gavs lokal behandling med dexametason 0,5 mg/5 ml alkoholfri oral lösning, administrerad som munskölj (4 gånger dagligen under de första 8 behandlingsveckorna), från det att behandling påbörjades med everolimus (10 mg/dag) plus exemestan (25 mg/dag), för att minska incidensen och svårighetsgraden av stomatit. Incidensen av stomatit grad ≥ 2 var vid 8 veckor 2,4 % (n = 2/85 utvärderbara patienter), vilket var lägre än vad som tidigare rapporterats. Förekomsten av stomatit grad 1 var 18,8 % (n = 16/85) och inga fall av stomatit grad 3 eller 4 rapporterades. Den övergripande säkerhetsprofilen i denna studie var jämförbar med den som fastställts för everolimus vid behandling inom onkologi och tuberös skleroskomplexet (TSC), med undantag för en något ökad frekvens av oral candidiasis som rapporterades hos 2,2 % (n = 2/92) av patienterna.
Pediatrisk population
Europeiska läkemedelsmyndigheten har beviljat undantag från kravet att skicka in studieresultat för referensläkemedlet som innehåller everolimus för alla grupper av den pediatriska populationen för neuroendokrina tumörer med ursprung från pankreas och thorax samt njurcellscancer (information om pediatrisk användning finns i avsnitt 4.2).
Absorption
Hos patienter med solida tumörer i framskridet stadium uppnås maximala koncentrationer av everolimus (Cmax) 1 timme (median) efter administrering av 5 mg och 10 mg dagligen av everolimus vid fasta eller med ett lätt, fettfritt mellanmål. Cmax är dosproportionellt mellan 5 mg och 10 mg. Everolimus är ett substrat för och en måttlig hämmare av PgP.
Påverkan av föda
Hos friska individer reducerade en fettrik måltid den systemiska exponeringen för everolimus 10 mg med 22 % (uppmätt som AUC) och den maximala plasmakoncentrationen, Cmax, med 54 %. Fettfattig kost reducerade AUC med 32 % och Cmax med 42 %. Intag av föda hade dock ingen märkbar effekt på koncentration/tid-profilen efter absorptionsfasen.
Distribution
Blodplasmakvoten för everolimus, som är koncentrationsberoende inom intervallet 5–5 000 ng/ml, är 17–73 %. Ungefär 20 % av everolimuskoncentrationen i helblod återfinns i plasma hos cancerpatienter som givits 10 mg/dag. Plasmaproteinbindningen är cirka 74 % hos både friska försökspersoner och patienter med måttligt nedsatt leverfunktion. Hos patienter med solida tumörer i framskridet stadium var Vd 191 liter för skenbart centralt kompartment och 517 liter för skenbart perifert kompartment.
Metabolism
Everolimus är ett substrat för CYP3A4 och PgP. Efter oral administrering är everolimus den huvudsakliga cirkulerande komponenten i blodet hos människa. Sex huvudmetaboliter av everolimus har upptäckts i blodet hos människa, inklusive tre monohydroxylerade metaboliter, två hydrolytiska ringöppnade produkter och ett fosfatidylkolinkonjugat av everolimus. Dessa metaboliter identifierades även hos djurarter som använts i toxicitetsstudier och visade cirka 100 gånger mindre aktivitet än everolimus självt. Följaktligen anses everolimus bidra till den största delen av den totala farmakologiska aktiviteten.
Eliminering
Genomsnittligt oralt clearance (CL/F) för everolimus efter 10 mg dagligen hos patienter med solida tumörer i framskridet stadium var 24,5 liter/timme. Elimineringens genomsnittliga halveringstid för everolimus är cirka 30 timmar.
Inga specifika utsöndringsstudier har genomförts på cancerpatienter, men data finns tillgängliga från studier på patienter som genomgått transplantation. Efter administrering av en engångsdos av radiomärkt everolimus i kombination med ciklosporin återfanns 80 % av radioaktiviteten i avföring, medan 5 % utsöndrades i urinen. Modersubstansen upptäcktes inte i urinen eller avföring.
Steady state-farmakokinetik
Efter administrering av everolimus hos patienter med solida tumörer i framskridet stadium var AUC0–τ vid steady state dosproportionell inom området 5–10 mg dagligen. Steady state uppnåddes inom två veckor. Cmax är dosproportionellt mellan 5 mg och 10 mg och tmax uppträder 1–2 timmar efter doseringen. Det fanns ett signifikant samband mellan AUC0–τ och dalkoncentrationen före doseringen vid steady state.
Särskilda patientgrupper
Nedsatt leverfunktion
Everolimus säkerhet, tolerabilitet och farmakokinetik utvärderades i två studier med en oral engångsdos av everolimustabletter till 8 respektive 34 patienter med nedsatt leverfunktion jämfört med personer med normal leverfunktion.
I den första studien var det genomsnittliga AUC för everolimus hos 8 patienter med måttligt nedsatt leverfunktion (Child-Pugh B) dubbelt så högt som det hos 8 patienter med normal leverfunktion.
I den andra studien på 34 patienter med olika grader av leverfunktionsnedsättning sågs en ökad exponering för everolimus (dvs. AUC0–inf) på 1,6; 3,3 och 3,6 gånger hos patienter med lindrig (Child-Pugh A), måttlig (Child-Pugh B) respektive svår leverfunktionsnedsättning (Child-Pugh C) jämfört med personer med normal leverfunktion.
Farmakokinetiska simuleringar för upprepad dosering stödjer dosrekommendationerna för patienter med nedsatt leverfunktion baserat på leverfunktionsstatus enligt Child-Pugh.
Baserat på resultaten från de två studierna rekommenderas dosjustering för patienter med nedsatt leverfunktion (se avsnitt 4.2 och 4.4).
Nedsatt njurfunktion
I en populationsfarmakokinetisk analys av 170 patienter med solida tumörer i framskridet stadium upptäcktes ingen signifikant påverkan från kreatininclearance (25–178 ml/minut) på CL/F hos everolimus. Nedsatt njurfunktion efter transplantation (kreatininclearance inom intervallet 11–107 ml/minut) påverkade inte farmakokinetiken hos everolimus hos patienter som genomgått transplantation.
Äldre
I en populationsfarmakokinetisk utvärdering av cancerpatienter sågs ingen signifikant påverkan av åldern (27–85 år) på oralt clearance av everolimus.
Etnisk tillhörighet
Oralt clearance (CL/F) är likartad hos japanska och kaukasiska cancerpatienter med likartad leverfunktion. Baserat på analysen av populationsfarmakokinetiken är CL/F i genomsnitt 20 % högre hos svarta patienter som genomgått transplantation.
Den prekliniska säkerhetsprofilen för everolimus utvärderades hos möss, råttor, minigrisar, apor och kaniner. De huvudsakliga målorganen hos flera djurarter var han- och hondjurets reproduktionsorgan (tubulär degeneration av testiklar, minskat antal spermier i bitestiklarna och livmoderatrofi). Andra målorgan var lungor (ökat antal alveolära makrofager) hos råttor och möss, bukspottkörteln (degranulering och vakuolation av exokrina celler hos apor respektive minigrisar, och degenerering av öceller hos apor) samt ögon (linsgrumlingar i främre suturlinjen) endast hos råttor. Mindre njurförändringar sågs hos råtta (exacerbation av åldersrelaterat lipofuscin i tubulärt epitel, ökning av hydronefros) och mus (exacerbation av bakgrundslesioner). Det fanns inga tecken på njurtoxicitet hos apor eller minigrisar.
Bakgrundssjukdomar (kronisk myokardit hos råtta, coxsackie-virusinfektion i plasma och hjärta hos apa, coccidia-infestation i magtarmkanalen hos minigrisar, hudlesioner hos mus och apa) tycktes spontant förvärras av behandling med everolimus. Dessa fynd observerades i allmänhet vid systemiska exponeringsnivåer inom det terapeutiska exponeringsintervallet eller däröver, utom för fynden i råtta, vilka rapporterades vid nivåer lägre än terapeutisk exponering på grund av hög vävnadsdistribution.
I en fertilitetsstudie på hanråtta påverkades testikulär morfologi vid doser om 0,5 mg/kg och däröver. Spermiemotiliteten, spermieantal och testosteronnivån i plasma var reducerade vid 5 mg/kg, vilket orsakade nedsättning av fertiliteten hos handjur. Det fanns bevis för att denna effekt var reversibel.
I reproduktionsstudier hos djur påverkades inte kvinnlig fertilitet. Emellertid resulterade orala doser av everolimus på ≥ 0,1 mg/kg (ungefär 4 % av AUC.24 h hos patienter som får dosen 10 mg dagligen) till honråttor i en ökning av preimplantationsförlust.
Everolimus gick över i placenta och var toxiskt för fostret. Hos råttor orsakade everolimus embryo/foetotoxicitet vid systemisk exponering under den terapeutiska nivån. Detta manifesterade sig som mortalitet och minskad vikt hos fostret. Frekvensen av skelettförändringar och missbildningar vid 0,3 och 0,9 mg/kg (t.ex. ofullständig tillslutning av bröstbenet) var förhöjd. I kanin noterades embryotoxicitet i form av ökat antal sena resorptioner.
Genotoxiska studier som innefattade relevanta genotoxiska markörer visade inga tecken på klastogen eller mutagen effekt. Tillförsel av everolimus i upp till 2 år indikerade inte någon onkogen potential hos mus och råtta upp till de högsta doserna motsvarande 3,9 respektive 0,2 gånger den uppskattade kliniska exponeringen.
Kartonger om 30 eller 90 tabletter förpackade i blister av oPA/Al/PVC/Al.
Kartonger om 30 tabletter förpackade i perforerade endosblister av oPA/Al/PVC/Al.
Eventuellt kommer inte alla förpackningsstorlekar att marknadsföras.
Ej använt läkemedel och avfall ska kasseras enligt gällande anvisningar.
Butylhydroxitoluen (E321)
Hypromellos (E464)
Laktos
Laktosmonohydrat
Krospovidon (E1202)
Magnesiumstearat (E470b)
Ej relevant
3 år.
Förvaras i originalförpackningen. Ljuskänsligt.
Inga särskilda temperaturanvisningar.
Kartonger om 30 eller 90 tabletter förpackade i blister av oPA/Al/PVC/Al.
Kartonger om 30 tabletter förpackade i perforerade endosblister av oPA/Al/PVC/Al.
Eventuellt kommer inte alla förpackningsstorlekar att marknadsföras.
Ej använt läkemedel och avfall ska kasseras enligt gällande anvisningar.