Humira 20 mg injektionsvätska, lösning i förfylld spruta
Varje 0,2 ml endos förfylld spruta innehåller 20 mg adalimumab.
Adalimumab är en rekombinant human monoklonal antikropp producerad i CHO (Chinese Hamster Ovary-celler).
Hjälpämnen med känd effekt
Detta läkemedel innehåller 0,2 mg polysorbat 80 per 20 mg dos.
För fullständig förteckning över hjälpämnen, se avsnitt 6.1.
Injektionsvätska, lösning (injektion).
Klar, färglös lösning.
AbbVie Deutschland GmbH & Co. KG
Knollstrasse
67061 Ludwigshafen
Tyskland
EU/1/03/256/022
Första godkännandet: 8 September 2003
Förnyat godkännande: 8 September 2008
8 Oktober 2025
Pediatriska patienter med Crohns sjukdom
Humira är indicerat för behandling av måttlig till svår, aktiv Crohns sjukdom hos pediatriska patienter (från 6 års ålder) som inte har svarat på konventionell terapi inklusive primär nutritionsterapi och en kortikosteroid och/eller en immunomodulerare eller som är intoleranta mot eller har kontraindikationer mot sådan behandling.
Pediatriska patienter med uveit
Humira är indicerat för behandling av pediatrisk icke-infektiös kronisk främre uveit hos patienter från 2 års ålder som inte har svarat tillräckligt eller som inte tolererar konventionell behandling eller där konventionell behandling inte är lämpligt.
Behandling med Humira bör initieras och övervakas av specialist med erfarenhet av diagnos och behandling av de sjukdomar Humira är indicerat för. Oftalmologer rekommenderas att konsultera en lämplig specialist innan behandling med Humira påbörjas (se avsnitt 4.4). Patienter som behandlas med Humira ska ges ett speciellt patientkort.
Efter noggrann utbildning i injektionsteknik, kan patienterna själva injicera Humira om deras läkare beslutar att det är lämpligt och om de kan få medicinsk uppföljning vid behov.
Under behandling med Humira bör andra behandlingar som ges samtidigt (t.ex. kortikosteroider och/eller immunomodulerande ämnen) optimeras.
Dosering
Pediatrisk population
Juvenil idiopatisk artrit
Polyartikulär juvenil idiopatisk artrit från 2 års ålder
Den rekommenderade dosen av Humira för patienter med polyartikulär juvenil idiopatisk artrit från 2 års ålder baseras på kroppsvikt (tabell 1). Humira administreras varannan vecka via subkutan injektion.
Tabell 1. Humira dosering för patienter med polyartikulär juvenil idiopatisk artrit
Tillgänglig data tyder på att kliniskt svar vanligtvis erhålls inom 12 veckors behandling. Fortsatt behandling ska noga övervägas hos patienter som inte svarar inom detta tidsintervall.
Det finns ingen relevant användning av Humira för patienter under 2 år för denna indikation.
Humira kan finnas tillgängligt i andra styrkor och/eller förpackningstyper beroende på det individuella behandlingsbehovet.
Entesitrelaterad artrit
Den rekommenderade dosen av Humira för patienter med entesitrelaterad artrit från 6 års ålder baseras på kroppsvikt (tabell 2). Humira administreras varannan vecka via subkutan injektion.
Tabell 2. Humira dosering för patienter med entesitrelaterad artrit
Humira har inte studerats hos patienter med entesitrelaterad artrit yngre än 6 år.
Humira kan finnas tillgängligt i andra styrkor och/eller förpackningstyper beroende på det individuella behandlingsbehovet.
Pediatriska patienter med plackpsoriasis
Den rekommenderade dosen av Humira för patienter med plackpsoriasis 4–17 år baseras på kroppsvikt (tabell 3). Humira administreras via subkutan injektion.
Tabell 3. Humira dosering för pediatriska patienter med plackpsoriasis
Fortsatt behandling efter 16 veckor ska noggrant övervägas hos en patient som inte svarat inom denna tidsperiod.
Om återinsättning av Humira är motiverat ska ovanstående instruktioner om dosering och behandlingslängd följas.
Säkerheten för Humira hos pediatriska patienter med plackpsoriasis har studerats i ett genomsnitt av 13 månader.
Det finns ingen relevant användning av Humira hos barn som är yngre än 4 år för denna indikation.
Humira kan finnas tillgängligt i andra styrkor och/eller förpackningstyper beroende på det individuella behandlingsbehovet.
Pediatriska patienter med Crohns sjukdom
Den rekommenderade dosen av Humira för patienter med Crohns sjukdom 6–17 år baseras på kroppsvikt (tabell 4). Humira administreras via subkutan injektion.
Tabell 4. Humira dosering för pediatriska patienter med Crohns sjukdom
Patienter som upplever ett otillräckligt terapisvar kan ha fördel av att höja doseringen till:
<40 kg: 20 mg varje vecka
≥ 40 kg: 40 mg varje vecka eller 80 mg varannan vecka
Fortsatt behandling bör tas under noggrant övervägande om patienten inte har svarat på behandlingen efter 12 veckor.
Det finns ingen relevant användning av Humira hos barn som är yngre än 6 år för denna indikation.
Humira kan finnas tillgängligt i andra styrkor och/eller förpackningstyper beroende på det individuella behandlingsbehovet.
Pediatriska patienter med uveit
Den rekommenderade dosen av Humira för pediatriska patienter med uveit från 2 års ålder baseras på kroppsvikt (tabell 5). Humira administreras via subkutan injektion.
Det saknas erfarenhet av behandling med Humira utan samtidig behandling med metotrexat vid pediatrisk uveit.
Tabell 5. Humira dosering för pediatriska patienter med uveit
När behandling med Humira påbörjas, kan en laddningsdos på 40 mg för patienter < 30 kg eller 80 mg för patienter ≥ 30 kg administreras en vecka före start av underhållsbehandlingen. Inga kliniska data finns tillgängliga för användning av en laddningsdos av Humira hos barn < 6 år (se avsnitt 5.2).
Det finns ingen relevant användning av Humira hos barn under 2 år för denna indikation.
Det rekommenderas att nyttan och risken med fortsatt långtidsbehandling utvärderas årligen (se avsnitt 5.1).
Humira kan finnas tillgängligt i andra styrkor och/eller förpackningstyper beroende på det individuella behandlingsbehovet.
Försämrad njur- och/eller leverfunktion
Humira har inte studerats i dessa patientpopulationer. Ingen dosrekommendation kan göras.
Administreringssätt
Humira administreras via subkutan injektion. Kompletta användarinstruktioner finns i bipacksedeln.
Humira finns tillgänglig i andra styrkor och förpackningstyper.
Överkänslighet mot den aktiva substansen eller mot något hjälpämne som anges i avsnitt 6.1.
Aktiv tuberkulos eller andra allvarliga infektioner såsom sepsis och opportunistiska infektioner (se avsnitt 4.4).
Måttlig till svår hjärtsvikt (NYHA klass III/IV) (se avsnitt 4.4).
Spårbarhet
För att förbättra spårbarheten av biologiska läkemedel ska namnet och tillverkningssatsnumret på det administrerade läkemedlet tydligt noteras i patientens journal.
Infektioner
Patienter som tar TNF-antagonister är mer mottagliga för allvarliga infektioner. Försämrad lungfunktion kan öka risken för att utveckla infektioner. Patienter måste därför monitoreras noggrant med avseende på infektioner, inklusive tuberkulos, före, under och efter behandling med Humira. Eftersom eliminering av adalimumab kan ta upp till fyra månader, ska monitorering fortsätta under denna period.
Behandling med Humira bör inte påbörjas hos patienter med pågående infektioner, inklusive kroniska eller lokaliserade infektioner tills infektionerna är under kontroll. Hos patienter som har exponerats för tuberkulos och patienter som har rest i områden med hög risk för tuberkulos och endemiska mykoser såsom histoplasmos, koccidioidomykos, eller blastomykos, ska risk och nytta med Humirabehandling övervägas före behandlingen påbörjas (se Andra opportunistiska infektioner).
Patienter som utvecklar en ny infektion under tiden för behandling med Humira ska monitoreras noga och genomgå en fullständig diagnostisk utvärdering. Behandling med Humira ska avbrytas om en patient utvecklar en ny allvarlig infektion eller sepsis och lämplig antimikrobiell eller antimykotisk behandling ska påbörjas, tills infektionerna är under kontroll. Läkare bör iaktta försiktighet när man överväger att använda Humira till patienter som tidigare haft återkommande infektioner, eller som har bakomliggande tillstånd som kan göra patienterna mer infektionskänsliga, inklusive samtidig användning av immunosuppressiva läkemedel.
Allvarliga infektioner
Allvarliga infektioner, inklusive sepsis, pga. bakteriell, mykobakteriell, invasiva svamp-, parasit-, virus- eller andra opportunistiska infektioner såsom listerios, legionella och pneumocystis har rapporterats hos patienter som får Humira.
Andra allvarliga infektioner som har setts i kliniska prövningar inkluderar pneumoni, pyelonefrit, septisk artrit och septicemi. Sjukhusinläggning eller dödlig utgång associerad med infektioner har rapporterats.
Tuberkulos
Tuberkulos inklusive reaktivering och nyinsjuknande i tuberkulos, har rapporterats hos patienter som tar Humira. Rapporterna inkluderade fall av pulmonell och extrapulmonell (dvs. disseminerad) tuberkulos.
Före behandlingsstart med Humira måste alla patienter utvärderas för både aktiv och inaktiv (”latent”) tuberkulosinfektion. Denna utvärdering ska inkludera en detaljerad klinisk utvärdering av patienthistorik av tuberkulos eller möjliga tidigare exponering för människor med aktiv tuberkulos och tidigare och/eller pågående immunosuppressiv behandling. Lämpliga screeningtest (dvs. tuberkulintest och lungröntgen) ska utföras på alla patienter (lokala rekommendationer kan förekomma). Det rekommenderas att utförandet och resultatet av dessa tester noteras på patientkortet. Förskrivare påminns om risken för falska negativa tuberkulintestresultat, speciellt hos patienter med allvarlig sjukdom eller som är immunosupprimerade.
Om aktiv tuberkulos är diagnostiserad så får ej behandling med Humira påbörjas (se avsnitt 4.3).
I alla situationer som beskrivs nedan ska risk-nytta balansen av behandling noga övervägas.
Om latent tuberkulos misstänks ska en läkare konsulteras, som har erfarenhet av tuberkulosbehandling.
Om latent tuberkulos diagnosticeras, måste lämplig behandling med anti-tuberkulosprofylax startas, innan Humirabehandling påbörjas, och i enlighet med gällande lokala riktlinjer.
Användning av anti-tuberkulosprofylax ska också övervägas före behandlingsstart med Humira hos patienter med flera eller signifikanta riskfaktorer för tuberkulos trots negativ tuberkulintest och hos patienter med en tidigare historia av latent eller aktiv tuberkulos hos de patienter där en adekvat behandling ej kan bekräftas.
Trots profylaxbehandling av tuberkulos så har fall av reaktiverad tuberkulos setts hos patienter som behandlas med Humira. Några patienter som behandlats framgångsrikt för aktiv tuberkulos har insjuknat i tuberkulos igen under behandling med Humira.
Patienter ska uppmanas att söka läkarhjälp vid tecken/symtom som kan tyda på en tuberkulosinfektion (t.ex. ihållande hosta, viktnedgång, lätt feber, håglöshet) inträffar under eller efter behandling med Humira.
Andra opportunistiska infektioner
Opportunistiska infektioner, inklusive invasiv svampinfektion har setts hos patienter som får Humira. Dessa infektioner har inte konsekvent blivit synliggjorda hos patienter som tar TNF-antagonister och detta har resulterat i förseningar i lämplig behandling, som ibland resulterat i dödlig utgång.
Hos patienter som utvecklar tecken och symtom såsom feber, sjukdomskänsla, viktnedgång, svettning, hosta, dyspné och/eller lunginfiltrat eller annan allvarlig systemisk sjukdom med eller utan samtidig chock ska en invasiv svampinfektion misstänkas och Humirabehandling ska snabbt avslutas. Diagnos och administrering av empirisk svampbehandling hos dessa patienter bör ske i samråd med en läkare med specialistkunskap om patienter med invasiva svampinfektioner.
Hepatit B reaktivering
Reaktivering av hepatit B har inträffat hos patienter som är kroniska bärare av detta virus (d.v.s. ytantigen positiva) och som har fått TNF-antagonister inklusive Humira. Vissa fall har haft dödlig utgång. Patienter ska testas för HBV-infektion innan behandling med Humira startas. För patienter som testas positiva för hepatit B infektion, rekommenderas en konsultation med en läkare med erfarenhet av att behandla hepatit B.
Bärare av HBV som behöver behandling med Humira ska noga övervakas för tecken och symtom på aktiv HBV-infektion under hela behandlingen och åtskilliga månader efter att behandling har avslutats. Data saknas avseende behandling av patienter som är bärare av HBV med anti-viral behandling tillsammans med TNF-antagonist, för att förebygga HBV-reaktivering. Hos patienter som utvecklar HBV-reaktivering, ska behandling med Humira avbrytas och effektiv antiviral behandling och lämplig ytterligare behandling påbörjas.
Neurologiska händelser
Humira och andra TNF-antagonister har i sällsynta fall associerats med nytt skov eller exacerbation av kliniska symtom och/eller radiografiska tecken på demyeliniserande sjukdom i centrala nervsystemet, inklusive multipel skleros och optisk neurit samt perifer demyelinerande sjukdom, inklusive Guillain-Barré syndrom. Förskrivare ska vara försiktiga när användning av Humira övervägs till patienter med existerande eller nyligen debuterade symtom som överensstämmer med en diagnos på centrala eller perifera demyeliniserande tillstånd; att avbryta behandling med Humira ska övervägas om något av dessa tillstånd utvecklas. Det finns ett känt samband mellan intermediär uveit och centrala demyeliniserande tillstånd. En neurologisk utvärdering ska göras hos patienter med icke-infektiös intermediär uveit innan Humira-behandling startas och regelbundet under behandlingen för att utvärdera underliggande eller påbörjade centrala demyeliniserande tillstånd.
Allergiska reaktioner
Allvarliga allergiska reaktioner associerade med Humira var sällsynta i kliniska studier. Icke-allvarliga allergiska reaktioner relaterade till Humira var mindre vanliga i de kliniska studierna. Rapporter om allvarliga allergiska reaktioner, inklusive anafylaxi, har rapporterats efter Humira-administrering. Om en anafylaktisk reaktion eller annan allvarlig allergisk reaktion skulle inträffa ska administreringen av Humira avbrytas omedelbart och lämpliga behandlingsåtgärder insättas.
Immunosuppression
I en studie på 64 patienter med reumatoid artrit som behandlades med Humira, fann man inga tecken på försämrad fördröjd hypersensitivitet, sänkning av immunoglobulinnivåerna eller förändringar i antalet effektor T-, B- och NK-celler, monocyter/makrofager och neutrofiler.
Maligniteter och lymfoproliferativa störningar
Fler fall av maligniteter, inklusive lymfom har observerats bland patienter som får TNF-antagonister i jämförelse med kontrollpatienter, i den kontrollerade delen av kliniska prövningar med TNF-antagonister. Denna händelse är dock sällsynt. Efter marknadsföring har leukemifall rapporterats hos patienter som behandlats med TNF-antagonist. Det finns en ökad bakgrundsrisk för lymfom och leukemi hos i reumatoid artrit patienter med långvarig, hög aktiv, inflammatorisk sjukdom, vilket komplicerar riskberäkningen. Med nuvarande kunskap kan man inte utesluta en möjlig risk för utveckling av lymfom, leukemi och andra maligna sjukdomar hos patienter som behandlas med en TNF-antagonist.
Maligniteter, vissa med dödlig utgång, har rapporterats bland barn, ungdomar och unga vuxna (upp till 22 års ålder) som behandlats med TNF- antagonister (behandlingsstart < 18 års ålder), inklusive adalimumab efter marknadsföring. Ungefär hälften av fallen var lymfom. De andra fallen representerade en mängd olika maligniteter och inkluderade sällsynta maligniteter vanligtvis associerade med immunosuppression. En risk för utvecklande av maligniteter hos barn och ungdomar behandlade med TNF- antagonist kan inte uteslutas.
Sällsynta fall av hepatospleniskt T-cellslymfom har efter marknadsföring identifierats hos patienter som behandlas med adalimumab. Denna sällsynta form av T-cellslymfom har ett mycket aggressivt förlopp och är vanligtvis dödlig. Vissa av dessa hepatospleniska T-cellslymfom med Humira har inträffat hos unga vuxna patienter som samtidigt behandlats med azatioprin eller 6-merkaptopurin för inflammatorisk tarmsjukdom. Den potentiella risken med kombination av azatioprin eller merkaptopurin tillsammans med Humira ska noga övervägas. En risk för utvecklande av hepatospleniskt T-cellslymfom hos patienter som behandlas med Humira kan inte uteslutas (se avsnitt 4.8).
Inga studier har gjorts som inkluderar patienter med en historik av malignitet eller hos de som fortsätter med behandling efter utvecklande av malignitet. Således ska ytterligare försiktighet iakttas då man överväger Humira behandling av dessa patienter (se avsnitt 4.8).
Alla patienter och speciellt de patienter som har behandlats med betydande mängd immunosuppressiv behandling eller psoriasispatienter som behandlats med PUVA ska undersökas för förekomsten av icke-melanom hudcancer före och under behandling med Humira. Melanom och Merkel-cellscarcinom har också rapporterats hos patienter som behandlats med TNF-antagonister inklusive adalimumab (se avsnitt 4.8).
I en utvärderande klinisk studie som undersökte användningen av en annan TNF-antagonist, infliximab, hos patienter med måttlig till allvarlig kronisk obstruktiv lungsjukdom (KOL), rapporterades fler maligniteter, mestadels i lungan eller huvudet och halsen, hos de infliximab-behandlade patienterna än hos kontrollpatienterna. Alla patienterna hade en historik av storrökning. Användning av någon TNF-antagonist hos KOL-patienter ska därför ske med försiktighet, liksom användning hos patienter som beroende på storrökning har en ökad risk för malignitet.
Med tillgängliga data är det inte känt om behandling med adalimumab påverkar risken för att utveckla dysplasi eller koloncancer. Alla patienter med ulcerös kolit vilka löper ökad risk för dysplasi eller koloncarcinom (t.ex. patienter med långvarig ulcerös kolit eller primär skleroserande kolangit) eller som har dysplasi eller koloncarcinom i anamnesen bör undersökas regelbundet med avseende på dysplasi innan behandling och under hela sjukdomsförloppet. Denna undersökning bör omfatta koloskopi och biopsier enligt lokala rekommendationer.
Hematologiska reaktioner
Sällsynta fall av pancytopeni som inkluderar aplastisk anemi har rapporterats för TNF-antagonister. Hematologiska biverkningar, kliniskt signifikant cytopeni (t.ex. trombocytopeni, leukopeni) inkluderad, har rapporterats för Humira. Samtliga patienter ska uppmanas att omedelbart söka läkarvård om de utvecklar tecken och symtom som indikerar bloddyskrasi (t.ex. långvarig feber, blåmärke, blödning, blekhet) under pågående behandling med Humira. Behandlingsuppehåll med Humira ska övervägas hos patienter med konstaterad signifikant hematologisk avvikelse.
Vaccinationer
Liknande antikroppssvar på standard 23-valent pneumokockvaccination och trivalent influensavirus-vaccination sågs i en studie hos 226 vuxna med reumatoid artrit som behandlades med adalimumab eller placebo. Ingen data finns tillgänglig på den sekundära spridningen av infektion av levande vaccin hos patienter som behandlas med Humira.
Det rekommenderas att pediatriska patienter, om möjligt, vaccineras enligt gällande riktlinjer för allmän vaccination före behandling med Humira påbörjas.
Patienter på Humira kan få vaccinationer samtidigt, förutom med levande vacciner. För spädbarn som exponerats för adalimumab under graviditeten rekommenderas ej administrering av levande vaccin (t.ex. BCG vaccin) förrän 5 månader efter moderns sista adalimumabinjektion under graviditeten.
Kronisk hjärtsvikt
I en klinisk prövning med en annan TNF antagonist har försämrad kronisk hjärtsvikt och ökad mortalitet beroende på kronisk hjärtsvikt observerats. Även fall med försämring av kronisk hjärtsvikt har rapporterats hos patienter som använder Humira. Humira ska användas med försiktighet hos patienter med mild hjärtsvikt (NYHA klass I/II). Humira är kontraindicerat vid måttlig eller svår hjärtsvikt (se avsnitt 4.3). Behandling med Humira ska avbrytas hos patienter som utvecklar nya eller förvärrar symtomen på kronisk hjärtsvikt.
Autoimmuna processer
Behandling med Humira kan resultera i bildning av autoimmuna antikroppar. Långtidseffekten av Humirabehandling för utvecklande av autoimmuna sjukdomar är okänd. Om en patient utvecklar symtom som påminner om lupusliknande syndrom efter behandling med Humira och är positiv för antikroppar mot dubbelsträngat DNA, ska ytterligare behandling med Humira inte ges (se avsnitt 4.8).
Samtidig administrering av biologiska DMARDs eller TNF-antagonister
I kliniska studier sågs vid samtidig användning av anakinra och en annan TNF-antagonist, etanercept, allvarliga infektioner utan att man såg ökad klinisk fördel jämfört med etanercept ensamt. På grund av biverkningsbilden som sågs vid kombinationen av etanercept med anakinra-terapi, skulle kombination av anakinra och andra TNF-antagonister också kunna ge liknande toxiciteter. Därför är kombinationen av adalimumab och anakinra inte att rekommendera (se avsnitt 4.5).
Samtidig administrering av adalimumab med andra biologiska DMARDs (ex. anakinra och abatecept) eller andra TNF-antagonister rekommenderas inte baserat på den möjliga ökade risken för infektioner, inklusive allvarliga infektioner och andra potentiella farmakologiska interaktioner (se avsnitt 4.5).
Kirurgi
Det finns begränsad erfarenhet gällande säkerhet vid kirurgiska ingrepp på patienter behandlade med Humira. Adalimumabs långa halveringstid ska tas i beaktande om ett kirurgiskt ingrepp planeras. En patient som fordrar kirurgi under pågående Humira-behandling bör övervakas noggrant för infektioner och lämpliga åtgärder ska vidtas. Det finns begränsad erfarenhet gällande säkerhet bland patienter som genomgår proteskirurgi under pågående Humira-behandling.
Tunntarmsobstruktioner
Uteblivet svar på behandling för Crohns sjukdom kan indikera en fixerad fibrotisk striktur som kan behöva opereras. Tillgänglig data tyder på att Humira inte förvärrar eller orsakar strikturer.
Äldre
Frekvensen av allvarliga infektioner var högre hos de Humira-behandlade patienterna över 65 år (3,7%) än hos de under 65 år (1,5%). Vissa av dessa hade dödlig utgång. Särskild uppmärksamhet krävs avseende risken för infektion vid behandling av äldre.
Pediatrisk population
Se vaccinationer ovan.
Hjälpämnen med känd effekt
Detta läkemedel innehåller 0,2 mg polysorbat 80 per 20 mg dos. Polysorbater kan orsaka allergiska reaktioner.
Humira har studerats hos reumatoid artrit, polyartikulär juvenil idiopatisk artrit och psoriasisartrit patienter som tar Humira som monoterapi och de som samtidigt tar metotrexat. Bildningen av antikroppar var lägre när Humira gavs tillsammans med metotrexat i jämförelse med användning i monoterapi. Administrering av Humira utan metotrexat resulterade i ökad bildning av antikroppar, ökad clearance och minskad effekt av adalimumab (se avsnitt 5.1).
Kombinationen av Humira och anakinra rekommenderas inte (se avsnitt 4.4 “Samtidig administrering av biologiska DMARDs eller TNF-antagonister”).
Kombinationen av Humira och abatacept rekommenderas inte (se avsnitt 4.4 “Samtidig administrering av biologiska DMARDs eller TNF-antagonister”).
Kvinnor i fertil ålder
Kvinnor i fertil ålder ska överväga att använda adekvat preventivmetod för att undvika graviditet och fortsätta använda detta i minst fem månader efter den sista behandlingen med Humira.
Graviditet
Prospektivt insamlad data från ett stort antal (cirka 2100) graviditeter med exponering för adalimumab som resulterat i levande födsel med känt utfall, inklusive mer än 1500 fall med exponering under första trimestern, tyder inte på en ökning i antalet nyfödda barn med missbildning.
I ett prospektivt kohortregister registrerades 257 kvinnor med reumatoid artrit (RA) eller Crohns sjukdom (CD) som behandlats med adalimumab under första trimestern som minst och 120 kvinnor med RA eller CD som inte behandlats med adalimumab. Det primära effektmåttet var födelseprevalensen av grav fosterskada. Andelen graviditeter som slutade med minst en levande födsel med grav fosterskada var 6/69 (8,7%) hos adalimumab-behandlade kvinnor med RA och 5/74 (6,8%) hos obehandlade kvinnor med RA (ojusterad oddsratio (OR) 1,31, 95% KI 0,38-4,52) och 16/152 (10,5%) hos adalimumab-behandlade kvinnor med CD och 3/32 (9,4%) hos obehandlade kvinnor med CD (ojusterad OR 1,14, 95% KI 0,31-4,16). Justerad OR (justerad för skillnader vid baslinjen) var 1,10 (95% KI 0,45-2,74) för RA och CD tillsammans. Det fanns inga tydliga skillnader mellan adalimumab-behandlade och obehandlade kvinnor i de sekundära effektmåtten - spontana aborter, mindre fosterskador, prematur födsel, födelsestorlek och allvarliga eller opportunistiska infektioner och inga dödfödslar eller malignititer rapporterades. Tolkningen av data kan påverkas av metodologiska begränsningar av studien, inklusive liten gruppstorlek och icke-randomiserad design.
I en utvecklingstoxicitetsstudie utförd på apor, fanns det ingen indikation på maternal toxicitet, embryotoxicitet eller teratogenicitet. Prekliniska data på effekter på postnatal toxicitet av adalimumab finns inte (se avsnitt 5.3).
Beroende på sin hämning av TNFα, kan adalimumab som administreras under graviditet påverka normalt immunsvar hos den nyfödda. Adalimumab ska endast användas under graviditet om det finns ett uttalat behov.
Adalimumab kan överföras via placenta till serum hos nyfödda barn som är födda av kvinnor som behandlats med adalimumab under graviditet. Som en följd kan dessa nyfödda barn ha en ökad risk för infektion. Administrering av levande vaccin (t.ex. BCG vaccin) till nyfödda som har exponerats för adalimumab i livmodern rekommenderas inte i 5 månader efter moderns sista adalimumab-injektion under sin graviditet.
Amning
Begränsad information från den publicerade litteraturen visar att adalimumab utsöndras i bröstmjölk i mycket låga koncentrationer. Koncentrationerna av adalimumab i bröstmjölk var 0,1% till 1% av moderns serumnivå. Oralt intag av immunoglobulin G proteiner genomgår intestinal proteolys och har låg biotillgänglighet. Inga effekter förväntas på det ammande nyfödda barnet. Följaktligen kan Humira användas under amning.
Fertilitet
Preklinisk data på fertilitetseffekter av adalimumab finns ej tillgängliga.
Humira kan ha en mindre effekt på förmågan att framföra fordon och använda maskiner. Svindel och försämrad syn kan inträffa vid administrering av Humira (se avsnitt 4.8).
Summering av säkerhetsprofilen
Humira studerades hos 9506 patienter i pivotala kontrollerade och öppna studier i upp till 60 månader eller längre. Dessa studier innefattade såväl reumatoid artrit-patienter med kort- och långvarig sjukdomshistoria, juvenil idiopatisk artrit-patienter (polyartikulär juvenil idiopatisk artrit och entesitrelaterad artrit) som patienter med axial spondylartrit (ankyloserande spondylit och axial spondylartrit utan radiografiska tecken på AS), psoriasisartrit, Crohns sjukdom, ulcerös kolit, psoriasis, hidradenitis suppurativa och uveit. Pivotala kontrollerade studier innefattade 6089 patienter som behandlats med Humira och 3801 patienter som erhållit placebo eller aktiv jämförande substans under den kontrollerade studieperioden.
Proportionen av patienter som på grund av biverkningar avbröt behandling under den dubbelblinda, kontrollerade delen av pivotala studier var 5,9% för patienter som fick Humira och 5,4% för kontrollbehandlade patienter.
De mest rapporterade biverkningarna är infektioner (såsom nasofaryngit, övre luftvägsinfektioner och sinuit), reaktioner på injektionsstället (erytem, klåda, blödning, smärta eller svullnad), huvudvärk och muskuloskeletal smärta.
Allvarliga biverkningar har rapporterats för Humira. TNF-antagonister såsom Humira påverkar immunsystemet och dess användning i kroppens försvar mot infektion och cancer.
Dödliga och livshotande infektioner (inklusive sepsis, opportunistiska infektioner och Tbc), HBV-reaktivering och olika maligniteter (inklusive leukemi, lymfom och HSTCL) har också rapporterats vid användning av Humira.
Allvarliga hematologiska, neurologiska och autoimmuna reaktioner har också rapporterats. Dessa inkluderar sällsynta rapporter av pancytopeni, aplastisk anemi, central och perifer demyelinerande händelser och rapporter av lupus, lupus-relaterade tillstånd och Stevens-Johnson syndrom.
Pediatrisk population
Generellt sett var biverkningarna som sågs hos pediatriska patienter liknande de som sågs hos vuxna patienter både i frekvens och sort.
Lista över biverkningar i tabellform
Följande lista med biverkningar är baserad på erfarenhet från kliniska prövningar och erfarenheter efter marknadsföring och visas i tabell 6 nedan, uppdelade i organklasser och frekvens: mycket vanliga (≥ 1/10); vanliga (≥ 1/100 till < 1/10); mindre vanliga (≥ 1/1000 till < 1/100), sällsynta (≥ 1/10 000 till < 1/1000) och ingen känd frekvens (kan inte beräknas från tillgänglig data). Inom varje frekvensgruppering redovisas biverkningar i fallande allvarlighetsgrad. Den högsta frekvensen som setts inom de olika indikationerna har inkluderats. En asterisk (*) syns i kolumnen för organklass om ytterligare information finns att hitta någon annanstans i avsnitt 4.3, 4.4 och 4.8.
Tabell 6
Biverkningar
* Ytterligare information kan hittas i avsnitt 4.3, 4.4 och 4.8
** Inklusive öppna förlängningsstudier
1) Inklusive spontanrapporterad data
2) Medelförändringen av kroppsvikten från baslinjen för adalimumab varierade mellan 0,3 kg och 1,0 kg för alla indikationer för vuxna jämfört med (minus) -0,4 kg till 0,4 kg för placebo under en behandlingsperiod på 4–6 månader. Viktökning på 5–6 kg har även observerats i långvariga förlängningsstudier med en medelexponeringstid på ca 1–2 år utan kontrollgrupp, i synnerhet hos patienter med Crohns sjukdom och ulcerös kolit. Mekanismen bakom denna effekt är oklar men kan vara associerad med adalimumabs antiinflammatoriska effekt.
Uveit
Säkerhetsprofilen för patienter med uveit som behandlats med Humira varannan vecka var i enlighet med den redan kända säkerhetsprofilen för Humira.
Förklaring av utvalda biverkningar
Reaktioner på injektionsstället
I de pivotala kontrollerade studierna hos vuxna och barn utvecklade 12,9% av patienterna som behandlades med Humira, reaktioner på injektionsstället (erytem och/eller klåda, blödning, smärta eller svullnad), jämfört med 7,2% av patienterna som fick placebo eller aktiv jämförande substans. Reaktioner på injektionsstället ledde generellt sett inte till att behandlingen med läkemedlet avbröts.
Infektioner
I de pivotala kontrollerade studierna hos vuxna och barn uppgick infektionsnivån till 1,51 per patientår hos Humira-behandlade patienter och 1,46 per patientår hos patienter behandlade med placebo- eller aktiv kontroll. Infektionerna bestod huvudsakligen i nasofaryngit, övre luftvägsinfektion och bihåleinflammation. Flertalet patienter fortsatte med Humira efter utläkt infektion.
Incidensen av allvarliga infektioner uppgick till 0,04 per patientår hos Humira-behandlade patienter och 0,03 per patientår hos patienter behandlade med placebo eller aktiv kontroll.
I kontrollerade och öppna studier hos vuxna och barn med Humira har allvarliga infektioner (inklusive dödliga infektioner, dock sällan förekommande) rapporterats. Dessa rapporter innefattar fall av tuberkulos (inklusive miliär och extrapulmonella lokalisationer) och invasiva opportunistiska infektioner (t e x disseminerad och extrapulmonell histoplasmos, blastomykos, koccidioidomykos, pneumocystit, candidias-, aspergillos- och listerios-infektion). De flesta fallen av tuberkulos inträffade inom de första åtta månaderna efter behandlingsstart och kan tänkas återspegla återfall av latent sjukdom.
Maligniteter och lymfoproliferativa störningar
Inga maligniteter observerades hos 249 pediatriska patienter med en exponeringstid av 655,6 patientår i Humira-studier hos patienter med juvenil idiopatisk artrit (polyartikulär juvenil idiopatisk artrit och entesitrelaterad artrit). Dessutom observerades inga maligniteter hos 192 pediatriska patienter med en exponering av 498,1 patientår under Humira studier på pediatriska patienter med Crohns sjukdom. Inga maligniteter observerades hos 77 pediatriska patienter med en exponeringstid av 80,0 patientår i Humira-studier hos pediatriska patienter med kronisk plackpsoriasis. Inga maligniteter observerades hos 60 pediatriska patienter med en exponeringstid av 58,4 patientår i en Humira-studie på pediatriska patienter med uveit.
Under de kontrollerade delarna av de pivotala Humira-studierna hos vuxna som var minst 12 veckor långa hos patienter med måttlig till allvarligt aktiv reumatoid artrit, ankyloserande spondylit, axial spondylartrit utan radiografiska tecken på AS, psoriasisartrit, psoriasis, hidradenitis suppurativa, Crohns sjukdom, ulcerös kolit och uveit sågs andra maligniteter än lymfom och icke-melanom hudcancer till en frekvens (95% konfidensintervall) av 6,8 (4,4; 10,5) per 1000 patientår hos 5291 Humira-behandlade patienter, jämfört med frekvensen 6,3 (3,4; 11,8) per 1000 patientår hos 3444 kontrollpatienter (medianlängd för behandling var 4,0 månader för Humira och 3,8 månader för kontrollbehandlade patienter). Frekvensen (95% konfidensintervall) av icke-melanom hudcancer var 8,8 (6,0; 13,0) per 1000 patientår hos Humira-behandlade patienter och 3,2 (1,3; 7,6) per 1000 patientår hos kontrollpatienterna. Av dessa hudcancertyper förekom skivepitelcarcinom med frekvensen (95 % konfidensintervall) av 2,7 (1,4; 5,4) per 1000 patientår hos Humira-behandlade patienter och 0,6 (0,1; 4,5) per 1000 patientår hos kontrollpatienter. Frekvensen (95 % konfidensintervall) av lymfom var 0,7 (0,2; 2,7) per 1000 patientår hos Humira-behandlade patienter och 0,6 (0,1; 4,5) per 1000 patientår hos kontrollpatienter.
Vid kombination av den kontrollerade delen av dessa studier och pågående och avslutade öppna förlängningsstudier, med en medianlängd av ungefär 3,3 år och som inkluderar 6427 patienter och mer än 26439 patientår av behandling, så var malignitetsfrekvensen, andra än lymfom och icke-melanom hudcancer, ungefär 8,5 per 1000 patientår. Den observerade frekvensen av icke-melanom hudcancer är ungefär 9,6 per 1000 patientår, och den observerade frekvensen för lymfom är ungefär 1,3 per 1000 patientår.
Efter marknadsföring, från januari 2003 till december 2010 och i huvudsak hos patienter med reumatoid artrit, är frekvensen av spontant rapporterade maligniteter ungefär 2,7 per 1000 patient behandlingsår. Den spontant rapporterade frekvensen för icke-melanom hudcancer och lymfom är ungefär 0,2 respektive 0,3 per 1000 patient behandlingsår (se avsnitt 4.4).
Sällsynta fall av hepatospleniskt T-cellslymfom har efter marknadsföring rapporterats hos patienter som behandlas med adalimumab (se avsnitt 4.4).
Autoantikroppar
Vid flera tillfällen undersöktes patienternas serum i reumatoid artrit studierna I-V för att se om autoantikroppar kunde påvisas. Av de patienter hos vilka man i de studierna inte kunde påvisa autoantikroppar initialt, utvecklade 11,9% av patienterna som behandlades med Humira och 8,1% av patienterna som fick placebo och aktiv kontroll, positiva titrar av autoantikroppar efter 24 veckor. Två av de 3441 patienter som behandlades med Humira i alla reumatoid artrit och psoriasisartrit studierna utvecklade kliniska tecken på nydebuterat lupusliknande syndrom. Patienterna förbättrades efter att behandlingen avbrutits. Inga patienter utvecklade lupusnefrit eller fick symtom från CNS.
Lever och gallvägar
I kontrollerade fas-3 prövningar med Humira hos patienter med reumatoid artrit och psoriasisartrit med en kontrollperiod mellan 4 till 104 veckor så uppstod ALAT ökningar ≥ 3 x ULN hos 3,7% av Humira-behandlade patienter och 1,6% av kontroll-behandlade patienter.
I kontrollerade fas-3 prövningar med Humira hos patienter med polyartikulär juvenil idiopatisk artrit som var 4 till 17 år och entesitrelaterad artrit som var 6 till 17 år, uppstod ALAT ökningar ≥ 3 x ULN hos 6,1% av Humira-behandlade patienter och 1,3% av kontroll-behandlade patienter. De flesta ALAT ökningar uppstod vid samtidig användning av metotrexat. Ingen ALAT ökning ≥ 3 x ULN uppstod i fas-3 prövningar med Humira hos patienter med polyartikulär juvenil idiopatisk artrit som var 2 till <4 år.
I kontrollerade fas-3 prövningar med Humira hos patienter med Crohn’s sjukdom och ulcerös kolit med en varierande kontrollperiod på mellan 4 och 52 veckor, så uppstod ALAT ökningar ≥ 3 x ULN hos 0,9% av Humira-behandlade patienter och 0,9% av kontroll-behandlade patienter.
I fas-3 prövningen av Humira hos pediatriska patienter med Crohns sjukdom, som utvärderade effekt och säkerhet hos två kroppsviktsjusterade underhållsdoseringar, efter en kroppsviktsjusterad induktionsbehandling upp till 52 veckors behandling, så uppstod ALAT ökningar ≥ 3 x ULN hos 2,6 % (5/192) av patienterna, där 4 patienter hade samtidig immunosupprimerande behandling vid baslinjen.
I kontrollerade fas-3 prövningar med Humira hos patienter med plackpsoriasis med en kontrollperiod på mellan 12 och 24 veckor, så uppstod ALAT ökningar ≥ 3 x ULN hos 1,8% av Humira-behandlade patienter och 1,8% av kontroll-behandlade patienter.
Ingen ALAT-ökning ≥ 3 x ULN uppstod i fas-3 prövningar med Humira hos pediatriska patienter med plackpsoriasis.
I kontrollerade prövningar med Humira (startdoser på 80 mg vid vecka 0 följt av 40 mg varannan vecka med början vecka 1), hos vuxna patienter med uveit i upp till 80 veckor med en medianexponering på 166,5 dagar och 105,0 dagar hos Humira-behandlade patienter respektive kontrollbehandlade patienter, uppstod ALAT-ökningar ≥ 3 x ULN hos 2,4 % av Humira-behandlade patienter och hos 2,4 % av kontrollbehandlade patienter.
Över alla indikationer i kliniska prövningar var patienter med förhöjt ALAT asymtomatiska och i de flesta fall var ökningarna övergående och upphörde med fortsatt behandling. Det finns dock rapporter efter marknadsföring om leversvikt liksom mindre allvarliga leverrubbningar som kan föregå leversvikt, såsom hepatit inklusive autoimmun hepatit, hos patienter som får adalimumab.
Samtidig behandling med azatioprin/6-merkaptopurin
Högre incidenser av maligna och allvarliga infektionsrelaterade biverkningar sågs i studier med Crohns sjukdom hos vuxna då Humira kombinerades med azatioprin/6-merkaptopurin jämfört med Humira ensamt.
Ingen dosbegränsande toxicitet observerades under kliniska prövningar. Den högsta dosen som evaluerades har varit multipla intravenösa doser på 10 mg/kg, vilket är ungefär 15 gånger den rekommenderade dosen.
Juvenil idiopatisk artrit
Polyartikulär juvenil idiopatisk artrit
Humira i kombination med metotrexat är indicerat för behandling av aktiv polyartikulär juvenil idiopatisk artrit hos patienter från 2 års ålder som har svarat otillräckligt på en eller flera sjukdomsmodifierande antireumatiska läkemedel (DMARDs). Humira kan ges som monoterapi vid intolerans för metotrexat eller då fortsatt behandling med metotrexat är olämplig (för effekt vid monoterapi, se avsnitt 5.1). Humira har inte studerats hos patienter yngre än 2 år.
Entesitrelaterad artrit
Humira är indicerat för behandling av aktiv entesitrelaterad artrit hos patienter, 6 år och äldre, som har svarat otillräckligt på eller som inte tolererar konventionell terapi (se avsnitt 5.1).
Pediatriska patienter med plackpsoriasis
Humira är indicerat för behandling av svår kronisk plackpsoriasis hos barn och ungdomar från 4 års ålder som inte har svarat på eller som är olämpliga för topikal behandling och ljusbehandling.
Pediatriska patienter med Crohns sjukdom
Humira är indicerat för behandling av måttlig till svår, aktiv Crohns sjukdom hos pediatriska patienter (från 6 års ålder) som inte har svarat på konventionell terapi inklusive primär nutritionsterapi och en kortikosteroid och/eller en immunomodulerare eller som är intoleranta mot eller har kontraindikationer mot sådan behandling.
Pediatriska patienter med uveit
Humira är indicerat för behandling av pediatrisk icke-infektiös kronisk främre uveit hos patienter från 2 års ålder som inte har svarat tillräckligt eller som inte tolererar konventionell behandling eller där konventionell behandling inte är lämpligt.
Behandling med Humira bör initieras och övervakas av specialist med erfarenhet av diagnos och behandling av de sjukdomar Humira är indicerat för. Oftalmologer rekommenderas att konsultera en lämplig specialist innan behandling med Humira påbörjas (se avsnitt 4.4). Patienter som behandlas med Humira ska ges ett speciellt patientkort.
Efter noggrann utbildning i injektionsteknik, kan patienterna själva injicera Humira om deras läkare beslutar att det är lämpligt och om de kan få medicinsk uppföljning vid behov.
Under behandling med Humira bör andra behandlingar som ges samtidigt (t.ex. kortikosteroider och/eller immunomodulerande ämnen) optimeras.
Dosering
Pediatrisk population
Juvenil idiopatisk artrit
Polyartikulär juvenil idiopatisk artrit från 2 års ålder
Den rekommenderade dosen av Humira för patienter med polyartikulär juvenil idiopatisk artrit från 2 års ålder baseras på kroppsvikt (tabell 1). Humira administreras varannan vecka via subkutan injektion.
Tabell 1. Humira dosering för patienter med polyartikulär juvenil idiopatisk artrit
Tillgänglig data tyder på att kliniskt svar vanligtvis erhålls inom 12 veckors behandling. Fortsatt behandling ska noga övervägas hos patienter som inte svarar inom detta tidsintervall.
Det finns ingen relevant användning av Humira för patienter under 2 år för denna indikation.
Humira kan finnas tillgängligt i andra styrkor och/eller förpackningstyper beroende på det individuella behandlingsbehovet.
Entesitrelaterad artrit
Den rekommenderade dosen av Humira för patienter med entesitrelaterad artrit från 6 års ålder baseras på kroppsvikt (tabell 2). Humira administreras varannan vecka via subkutan injektion.
Tabell 2. Humira dosering för patienter med entesitrelaterad artrit
Humira har inte studerats hos patienter med entesitrelaterad artrit yngre än 6 år.
Humira kan finnas tillgängligt i andra styrkor och/eller förpackningstyper beroende på det individuella behandlingsbehovet.
Pediatriska patienter med plackpsoriasis
Den rekommenderade dosen av Humira för patienter med plackpsoriasis 4–17 år baseras på kroppsvikt (tabell 3). Humira administreras via subkutan injektion.
Tabell 3. Humira dosering för pediatriska patienter med plackpsoriasis
Fortsatt behandling efter 16 veckor ska noggrant övervägas hos en patient som inte svarat inom denna tidsperiod.
Om återinsättning av Humira är motiverat ska ovanstående instruktioner om dosering och behandlingslängd följas.
Säkerheten för Humira hos pediatriska patienter med plackpsoriasis har studerats i ett genomsnitt av 13 månader.
Det finns ingen relevant användning av Humira hos barn som är yngre än 4 år för denna indikation.
Humira kan finnas tillgängligt i andra styrkor och/eller förpackningstyper beroende på det individuella behandlingsbehovet.
Pediatriska patienter med Crohns sjukdom
Den rekommenderade dosen av Humira för patienter med Crohns sjukdom 6–17 år baseras på kroppsvikt (tabell 4). Humira administreras via subkutan injektion.
Tabell 4. Humira dosering för pediatriska patienter med Crohns sjukdom
Patienter som upplever ett otillräckligt terapisvar kan ha fördel av att höja doseringen till:
<40 kg: 20 mg varje vecka
≥ 40 kg: 40 mg varje vecka eller 80 mg varannan vecka
Fortsatt behandling bör tas under noggrant övervägande om patienten inte har svarat på behandlingen efter 12 veckor.
Det finns ingen relevant användning av Humira hos barn som är yngre än 6 år för denna indikation.
Humira kan finnas tillgängligt i andra styrkor och/eller förpackningstyper beroende på det individuella behandlingsbehovet.
Pediatriska patienter med uveit
Den rekommenderade dosen av Humira för pediatriska patienter med uveit från 2 års ålder baseras på kroppsvikt (tabell 5). Humira administreras via subkutan injektion.
Det saknas erfarenhet av behandling med Humira utan samtidig behandling med metotrexat vid pediatrisk uveit.
Tabell 5. Humira dosering för pediatriska patienter med uveit
När behandling med Humira påbörjas, kan en laddningsdos på 40 mg för patienter < 30 kg eller 80 mg för patienter ≥ 30 kg administreras en vecka före start av underhållsbehandlingen. Inga kliniska data finns tillgängliga för användning av en laddningsdos av Humira hos barn < 6 år (se avsnitt 5.2).
Det finns ingen relevant användning av Humira hos barn under 2 år för denna indikation.
Det rekommenderas att nyttan och risken med fortsatt långtidsbehandling utvärderas årligen (se avsnitt 5.1).
Humira kan finnas tillgängligt i andra styrkor och/eller förpackningstyper beroende på det individuella behandlingsbehovet.
Försämrad njur- och/eller leverfunktion
Humira har inte studerats i dessa patientpopulationer. Ingen dosrekommendation kan göras.
Administreringssätt
Humira administreras via subkutan injektion. Kompletta användarinstruktioner finns i bipacksedeln.
Humira finns tillgänglig i andra styrkor och förpackningstyper.
Överkänslighet mot den aktiva substansen eller mot något hjälpämne som anges i avsnitt 6.1.
Aktiv tuberkulos eller andra allvarliga infektioner såsom sepsis och opportunistiska infektioner (se avsnitt 4.4).
Måttlig till svår hjärtsvikt (NYHA klass III/IV) (se avsnitt 4.4).
Spårbarhet
För att förbättra spårbarheten av biologiska läkemedel ska namnet och tillverkningssatsnumret på det administrerade läkemedlet tydligt noteras i patientens journal.
Infektioner
Patienter som tar TNF-antagonister är mer mottagliga för allvarliga infektioner. Försämrad lungfunktion kan öka risken för att utveckla infektioner. Patienter måste därför monitoreras noggrant med avseende på infektioner, inklusive tuberkulos, före, under och efter behandling med Humira. Eftersom eliminering av adalimumab kan ta upp till fyra månader, ska monitorering fortsätta under denna period.
Behandling med Humira bör inte påbörjas hos patienter med pågående infektioner, inklusive kroniska eller lokaliserade infektioner tills infektionerna är under kontroll. Hos patienter som har exponerats för tuberkulos och patienter som har rest i områden med hög risk för tuberkulos och endemiska mykoser såsom histoplasmos, koccidioidomykos, eller blastomykos, ska risk och nytta med Humirabehandling övervägas före behandlingen påbörjas (se Andra opportunistiska infektioner).
Patienter som utvecklar en ny infektion under tiden för behandling med Humira ska monitoreras noga och genomgå en fullständig diagnostisk utvärdering. Behandling med Humira ska avbrytas om en patient utvecklar en ny allvarlig infektion eller sepsis och lämplig antimikrobiell eller antimykotisk behandling ska påbörjas, tills infektionerna är under kontroll. Läkare bör iaktta försiktighet när man överväger att använda Humira till patienter som tidigare haft återkommande infektioner, eller som har bakomliggande tillstånd som kan göra patienterna mer infektionskänsliga, inklusive samtidig användning av immunosuppressiva läkemedel.
Allvarliga infektioner
Allvarliga infektioner, inklusive sepsis, pga. bakteriell, mykobakteriell, invasiva svamp-, parasit-, virus- eller andra opportunistiska infektioner såsom listerios, legionella och pneumocystis har rapporterats hos patienter som får Humira.
Andra allvarliga infektioner som har setts i kliniska prövningar inkluderar pneumoni, pyelonefrit, septisk artrit och septicemi. Sjukhusinläggning eller dödlig utgång associerad med infektioner har rapporterats.
Tuberkulos
Tuberkulos inklusive reaktivering och nyinsjuknande i tuberkulos, har rapporterats hos patienter som tar Humira. Rapporterna inkluderade fall av pulmonell och extrapulmonell (dvs. disseminerad) tuberkulos.
Före behandlingsstart med Humira måste alla patienter utvärderas för både aktiv och inaktiv (”latent”) tuberkulosinfektion. Denna utvärdering ska inkludera en detaljerad klinisk utvärdering av patienthistorik av tuberkulos eller möjliga tidigare exponering för människor med aktiv tuberkulos och tidigare och/eller pågående immunosuppressiv behandling. Lämpliga screeningtest (dvs. tuberkulintest och lungröntgen) ska utföras på alla patienter (lokala rekommendationer kan förekomma). Det rekommenderas att utförandet och resultatet av dessa tester noteras på patientkortet. Förskrivare påminns om risken för falska negativa tuberkulintestresultat, speciellt hos patienter med allvarlig sjukdom eller som är immunosupprimerade.
Om aktiv tuberkulos är diagnostiserad så får ej behandling med Humira påbörjas (se avsnitt 4.3).
I alla situationer som beskrivs nedan ska risk-nytta balansen av behandling noga övervägas.
Om latent tuberkulos misstänks ska en läkare konsulteras, som har erfarenhet av tuberkulosbehandling.
Om latent tuberkulos diagnosticeras, måste lämplig behandling med anti-tuberkulosprofylax startas, innan Humirabehandling påbörjas, och i enlighet med gällande lokala riktlinjer.
Användning av anti-tuberkulosprofylax ska också övervägas före behandlingsstart med Humira hos patienter med flera eller signifikanta riskfaktorer för tuberkulos trots negativ tuberkulintest och hos patienter med en tidigare historia av latent eller aktiv tuberkulos hos de patienter där en adekvat behandling ej kan bekräftas.
Trots profylaxbehandling av tuberkulos så har fall av reaktiverad tuberkulos setts hos patienter som behandlas med Humira. Några patienter som behandlats framgångsrikt för aktiv tuberkulos har insjuknat i tuberkulos igen under behandling med Humira.
Patienter ska uppmanas att söka läkarhjälp vid tecken/symtom som kan tyda på en tuberkulosinfektion (t.ex. ihållande hosta, viktnedgång, lätt feber, håglöshet) inträffar under eller efter behandling med Humira.
Andra opportunistiska infektioner
Opportunistiska infektioner, inklusive invasiv svampinfektion har setts hos patienter som får Humira. Dessa infektioner har inte konsekvent blivit synliggjorda hos patienter som tar TNF-antagonister och detta har resulterat i förseningar i lämplig behandling, som ibland resulterat i dödlig utgång.
Hos patienter som utvecklar tecken och symtom såsom feber, sjukdomskänsla, viktnedgång, svettning, hosta, dyspné och/eller lunginfiltrat eller annan allvarlig systemisk sjukdom med eller utan samtidig chock ska en invasiv svampinfektion misstänkas och Humirabehandling ska snabbt avslutas. Diagnos och administrering av empirisk svampbehandling hos dessa patienter bör ske i samråd med en läkare med specialistkunskap om patienter med invasiva svampinfektioner.
Hepatit B reaktivering
Reaktivering av hepatit B har inträffat hos patienter som är kroniska bärare av detta virus (d.v.s. ytantigen positiva) och som har fått TNF-antagonister inklusive Humira. Vissa fall har haft dödlig utgång. Patienter ska testas för HBV-infektion innan behandling med Humira startas. För patienter som testas positiva för hepatit B infektion, rekommenderas en konsultation med en läkare med erfarenhet av att behandla hepatit B.
Bärare av HBV som behöver behandling med Humira ska noga övervakas för tecken och symtom på aktiv HBV-infektion under hela behandlingen och åtskilliga månader efter att behandling har avslutats. Data saknas avseende behandling av patienter som är bärare av HBV med anti-viral behandling tillsammans med TNF-antagonist, för att förebygga HBV-reaktivering. Hos patienter som utvecklar HBV-reaktivering, ska behandling med Humira avbrytas och effektiv antiviral behandling och lämplig ytterligare behandling påbörjas.
Neurologiska händelser
Humira och andra TNF-antagonister har i sällsynta fall associerats med nytt skov eller exacerbation av kliniska symtom och/eller radiografiska tecken på demyeliniserande sjukdom i centrala nervsystemet, inklusive multipel skleros och optisk neurit samt perifer demyelinerande sjukdom, inklusive Guillain-Barré syndrom. Förskrivare ska vara försiktiga när användning av Humira övervägs till patienter med existerande eller nyligen debuterade symtom som överensstämmer med en diagnos på centrala eller perifera demyeliniserande tillstånd; att avbryta behandling med Humira ska övervägas om något av dessa tillstånd utvecklas. Det finns ett känt samband mellan intermediär uveit och centrala demyeliniserande tillstånd. En neurologisk utvärdering ska göras hos patienter med icke-infektiös intermediär uveit innan Humira-behandling startas och regelbundet under behandlingen för att utvärdera underliggande eller påbörjade centrala demyeliniserande tillstånd.
Allergiska reaktioner
Allvarliga allergiska reaktioner associerade med Humira var sällsynta i kliniska studier. Icke-allvarliga allergiska reaktioner relaterade till Humira var mindre vanliga i de kliniska studierna. Rapporter om allvarliga allergiska reaktioner, inklusive anafylaxi, har rapporterats efter Humira-administrering. Om en anafylaktisk reaktion eller annan allvarlig allergisk reaktion skulle inträffa ska administreringen av Humira avbrytas omedelbart och lämpliga behandlingsåtgärder insättas.
Immunosuppression
I en studie på 64 patienter med reumatoid artrit som behandlades med Humira, fann man inga tecken på försämrad fördröjd hypersensitivitet, sänkning av immunoglobulinnivåerna eller förändringar i antalet effektor T-, B- och NK-celler, monocyter/makrofager och neutrofiler.
Maligniteter och lymfoproliferativa störningar
Fler fall av maligniteter, inklusive lymfom har observerats bland patienter som får TNF-antagonister i jämförelse med kontrollpatienter, i den kontrollerade delen av kliniska prövningar med TNF-antagonister. Denna händelse är dock sällsynt. Efter marknadsföring har leukemifall rapporterats hos patienter som behandlats med TNF-antagonist. Det finns en ökad bakgrundsrisk för lymfom och leukemi hos i reumatoid artrit patienter med långvarig, hög aktiv, inflammatorisk sjukdom, vilket komplicerar riskberäkningen. Med nuvarande kunskap kan man inte utesluta en möjlig risk för utveckling av lymfom, leukemi och andra maligna sjukdomar hos patienter som behandlas med en TNF-antagonist.
Maligniteter, vissa med dödlig utgång, har rapporterats bland barn, ungdomar och unga vuxna (upp till 22 års ålder) som behandlats med TNF- antagonister (behandlingsstart < 18 års ålder), inklusive adalimumab efter marknadsföring. Ungefär hälften av fallen var lymfom. De andra fallen representerade en mängd olika maligniteter och inkluderade sällsynta maligniteter vanligtvis associerade med immunosuppression. En risk för utvecklande av maligniteter hos barn och ungdomar behandlade med TNF- antagonist kan inte uteslutas.
Sällsynta fall av hepatospleniskt T-cellslymfom har efter marknadsföring identifierats hos patienter som behandlas med adalimumab. Denna sällsynta form av T-cellslymfom har ett mycket aggressivt förlopp och är vanligtvis dödlig. Vissa av dessa hepatospleniska T-cellslymfom med Humira har inträffat hos unga vuxna patienter som samtidigt behandlats med azatioprin eller 6-merkaptopurin för inflammatorisk tarmsjukdom. Den potentiella risken med kombination av azatioprin eller merkaptopurin tillsammans med Humira ska noga övervägas. En risk för utvecklande av hepatospleniskt T-cellslymfom hos patienter som behandlas med Humira kan inte uteslutas (se avsnitt 4.8).
Inga studier har gjorts som inkluderar patienter med en historik av malignitet eller hos de som fortsätter med behandling efter utvecklande av malignitet. Således ska ytterligare försiktighet iakttas då man överväger Humira behandling av dessa patienter (se avsnitt 4.8).
Alla patienter och speciellt de patienter som har behandlats med betydande mängd immunosuppressiv behandling eller psoriasispatienter som behandlats med PUVA ska undersökas för förekomsten av icke-melanom hudcancer före och under behandling med Humira. Melanom och Merkel-cellscarcinom har också rapporterats hos patienter som behandlats med TNF-antagonister inklusive adalimumab (se avsnitt 4.8).
I en utvärderande klinisk studie som undersökte användningen av en annan TNF-antagonist, infliximab, hos patienter med måttlig till allvarlig kronisk obstruktiv lungsjukdom (KOL), rapporterades fler maligniteter, mestadels i lungan eller huvudet och halsen, hos de infliximab-behandlade patienterna än hos kontrollpatienterna. Alla patienterna hade en historik av storrökning. Användning av någon TNF-antagonist hos KOL-patienter ska därför ske med försiktighet, liksom användning hos patienter som beroende på storrökning har en ökad risk för malignitet.
Med tillgängliga data är det inte känt om behandling med adalimumab påverkar risken för att utveckla dysplasi eller koloncancer. Alla patienter med ulcerös kolit vilka löper ökad risk för dysplasi eller koloncarcinom (t.ex. patienter med långvarig ulcerös kolit eller primär skleroserande kolangit) eller som har dysplasi eller koloncarcinom i anamnesen bör undersökas regelbundet med avseende på dysplasi innan behandling och under hela sjukdomsförloppet. Denna undersökning bör omfatta koloskopi och biopsier enligt lokala rekommendationer.
Hematologiska reaktioner
Sällsynta fall av pancytopeni som inkluderar aplastisk anemi har rapporterats för TNF-antagonister. Hematologiska biverkningar, kliniskt signifikant cytopeni (t.ex. trombocytopeni, leukopeni) inkluderad, har rapporterats för Humira. Samtliga patienter ska uppmanas att omedelbart söka läkarvård om de utvecklar tecken och symtom som indikerar bloddyskrasi (t.ex. långvarig feber, blåmärke, blödning, blekhet) under pågående behandling med Humira. Behandlingsuppehåll med Humira ska övervägas hos patienter med konstaterad signifikant hematologisk avvikelse.
Vaccinationer
Liknande antikroppssvar på standard 23-valent pneumokockvaccination och trivalent influensavirus-vaccination sågs i en studie hos 226 vuxna med reumatoid artrit som behandlades med adalimumab eller placebo. Ingen data finns tillgänglig på den sekundära spridningen av infektion av levande vaccin hos patienter som behandlas med Humira.
Det rekommenderas att pediatriska patienter, om möjligt, vaccineras enligt gällande riktlinjer för allmän vaccination före behandling med Humira påbörjas.
Patienter på Humira kan få vaccinationer samtidigt, förutom med levande vacciner. För spädbarn som exponerats för adalimumab under graviditeten rekommenderas ej administrering av levande vaccin (t.ex. BCG vaccin) förrän 5 månader efter moderns sista adalimumabinjektion under graviditeten.
Kronisk hjärtsvikt
I en klinisk prövning med en annan TNF antagonist har försämrad kronisk hjärtsvikt och ökad mortalitet beroende på kronisk hjärtsvikt observerats. Även fall med försämring av kronisk hjärtsvikt har rapporterats hos patienter som använder Humira. Humira ska användas med försiktighet hos patienter med mild hjärtsvikt (NYHA klass I/II). Humira är kontraindicerat vid måttlig eller svår hjärtsvikt (se avsnitt 4.3). Behandling med Humira ska avbrytas hos patienter som utvecklar nya eller förvärrar symtomen på kronisk hjärtsvikt.
Autoimmuna processer
Behandling med Humira kan resultera i bildning av autoimmuna antikroppar. Långtidseffekten av Humirabehandling för utvecklande av autoimmuna sjukdomar är okänd. Om en patient utvecklar symtom som påminner om lupusliknande syndrom efter behandling med Humira och är positiv för antikroppar mot dubbelsträngat DNA, ska ytterligare behandling med Humira inte ges (se avsnitt 4.8).
Samtidig administrering av biologiska DMARDs eller TNF-antagonister
I kliniska studier sågs vid samtidig användning av anakinra och en annan TNF-antagonist, etanercept, allvarliga infektioner utan att man såg ökad klinisk fördel jämfört med etanercept ensamt. På grund av biverkningsbilden som sågs vid kombinationen av etanercept med anakinra-terapi, skulle kombination av anakinra och andra TNF-antagonister också kunna ge liknande toxiciteter. Därför är kombinationen av adalimumab och anakinra inte att rekommendera (se avsnitt 4.5).
Samtidig administrering av adalimumab med andra biologiska DMARDs (ex. anakinra och abatecept) eller andra TNF-antagonister rekommenderas inte baserat på den möjliga ökade risken för infektioner, inklusive allvarliga infektioner och andra potentiella farmakologiska interaktioner (se avsnitt 4.5).
Kirurgi
Det finns begränsad erfarenhet gällande säkerhet vid kirurgiska ingrepp på patienter behandlade med Humira. Adalimumabs långa halveringstid ska tas i beaktande om ett kirurgiskt ingrepp planeras. En patient som fordrar kirurgi under pågående Humira-behandling bör övervakas noggrant för infektioner och lämpliga åtgärder ska vidtas. Det finns begränsad erfarenhet gällande säkerhet bland patienter som genomgår proteskirurgi under pågående Humira-behandling.
Tunntarmsobstruktioner
Uteblivet svar på behandling för Crohns sjukdom kan indikera en fixerad fibrotisk striktur som kan behöva opereras. Tillgänglig data tyder på att Humira inte förvärrar eller orsakar strikturer.
Äldre
Frekvensen av allvarliga infektioner var högre hos de Humira-behandlade patienterna över 65 år (3,7%) än hos de under 65 år (1,5%). Vissa av dessa hade dödlig utgång. Särskild uppmärksamhet krävs avseende risken för infektion vid behandling av äldre.
Pediatrisk population
Se vaccinationer ovan.
Hjälpämnen med känd effekt
Detta läkemedel innehåller 0,2 mg polysorbat 80 per 20 mg dos. Polysorbater kan orsaka allergiska reaktioner.
Humira har studerats hos reumatoid artrit, polyartikulär juvenil idiopatisk artrit och psoriasisartrit patienter som tar Humira som monoterapi och de som samtidigt tar metotrexat. Bildningen av antikroppar var lägre när Humira gavs tillsammans med metotrexat i jämförelse med användning i monoterapi. Administrering av Humira utan metotrexat resulterade i ökad bildning av antikroppar, ökad clearance och minskad effekt av adalimumab (se avsnitt 5.1).
Kombinationen av Humira och anakinra rekommenderas inte (se avsnitt 4.4 “Samtidig administrering av biologiska DMARDs eller TNF-antagonister”).
Kombinationen av Humira och abatacept rekommenderas inte (se avsnitt 4.4 “Samtidig administrering av biologiska DMARDs eller TNF-antagonister”).
Kvinnor i fertil ålder
Kvinnor i fertil ålder ska överväga att använda adekvat preventivmetod för att undvika graviditet och fortsätta använda detta i minst fem månader efter den sista behandlingen med Humira.
Graviditet
Prospektivt insamlad data från ett stort antal (cirka 2100) graviditeter med exponering för adalimumab som resulterat i levande födsel med känt utfall, inklusive mer än 1500 fall med exponering under första trimestern, tyder inte på en ökning i antalet nyfödda barn med missbildning.
I ett prospektivt kohortregister registrerades 257 kvinnor med reumatoid artrit (RA) eller Crohns sjukdom (CD) som behandlats med adalimumab under första trimestern som minst och 120 kvinnor med RA eller CD som inte behandlats med adalimumab. Det primära effektmåttet var födelseprevalensen av grav fosterskada. Andelen graviditeter som slutade med minst en levande födsel med grav fosterskada var 6/69 (8,7%) hos adalimumab-behandlade kvinnor med RA och 5/74 (6,8%) hos obehandlade kvinnor med RA (ojusterad oddsratio (OR) 1,31, 95% KI 0,38-4,52) och 16/152 (10,5%) hos adalimumab-behandlade kvinnor med CD och 3/32 (9,4%) hos obehandlade kvinnor med CD (ojusterad OR 1,14, 95% KI 0,31-4,16). Justerad OR (justerad för skillnader vid baslinjen) var 1,10 (95% KI 0,45-2,74) för RA och CD tillsammans. Det fanns inga tydliga skillnader mellan adalimumab-behandlade och obehandlade kvinnor i de sekundära effektmåtten - spontana aborter, mindre fosterskador, prematur födsel, födelsestorlek och allvarliga eller opportunistiska infektioner och inga dödfödslar eller malignititer rapporterades. Tolkningen av data kan påverkas av metodologiska begränsningar av studien, inklusive liten gruppstorlek och icke-randomiserad design.
I en utvecklingstoxicitetsstudie utförd på apor, fanns det ingen indikation på maternal toxicitet, embryotoxicitet eller teratogenicitet. Prekliniska data på effekter på postnatal toxicitet av adalimumab finns inte (se avsnitt 5.3).
Beroende på sin hämning av TNFα, kan adalimumab som administreras under graviditet påverka normalt immunsvar hos den nyfödda. Adalimumab ska endast användas under graviditet om det finns ett uttalat behov.
Adalimumab kan överföras via placenta till serum hos nyfödda barn som är födda av kvinnor som behandlats med adalimumab under graviditet. Som en följd kan dessa nyfödda barn ha en ökad risk för infektion. Administrering av levande vaccin (t.ex. BCG vaccin) till nyfödda som har exponerats för adalimumab i livmodern rekommenderas inte i 5 månader efter moderns sista adalimumab-injektion under sin graviditet.
Amning
Begränsad information från den publicerade litteraturen visar att adalimumab utsöndras i bröstmjölk i mycket låga koncentrationer. Koncentrationerna av adalimumab i bröstmjölk var 0,1% till 1% av moderns serumnivå. Oralt intag av immunoglobulin G proteiner genomgår intestinal proteolys och har låg biotillgänglighet. Inga effekter förväntas på det ammande nyfödda barnet. Följaktligen kan Humira användas under amning.
Fertilitet
Preklinisk data på fertilitetseffekter av adalimumab finns ej tillgängliga.
Humira kan ha en mindre effekt på förmågan att framföra fordon och använda maskiner. Svindel och försämrad syn kan inträffa vid administrering av Humira (se avsnitt 4.8).
Summering av säkerhetsprofilen
Humira studerades hos 9506 patienter i pivotala kontrollerade och öppna studier i upp till 60 månader eller längre. Dessa studier innefattade såväl reumatoid artrit-patienter med kort- och långvarig sjukdomshistoria, juvenil idiopatisk artrit-patienter (polyartikulär juvenil idiopatisk artrit och entesitrelaterad artrit) som patienter med axial spondylartrit (ankyloserande spondylit och axial spondylartrit utan radiografiska tecken på AS), psoriasisartrit, Crohns sjukdom, ulcerös kolit, psoriasis, hidradenitis suppurativa och uveit. Pivotala kontrollerade studier innefattade 6089 patienter som behandlats med Humira och 3801 patienter som erhållit placebo eller aktiv jämförande substans under den kontrollerade studieperioden.
Proportionen av patienter som på grund av biverkningar avbröt behandling under den dubbelblinda, kontrollerade delen av pivotala studier var 5,9% för patienter som fick Humira och 5,4% för kontrollbehandlade patienter.
De mest rapporterade biverkningarna är infektioner (såsom nasofaryngit, övre luftvägsinfektioner och sinuit), reaktioner på injektionsstället (erytem, klåda, blödning, smärta eller svullnad), huvudvärk och muskuloskeletal smärta.
Allvarliga biverkningar har rapporterats för Humira. TNF-antagonister såsom Humira påverkar immunsystemet och dess användning i kroppens försvar mot infektion och cancer.
Dödliga och livshotande infektioner (inklusive sepsis, opportunistiska infektioner och Tbc), HBV-reaktivering och olika maligniteter (inklusive leukemi, lymfom och HSTCL) har också rapporterats vid användning av Humira.
Allvarliga hematologiska, neurologiska och autoimmuna reaktioner har också rapporterats. Dessa inkluderar sällsynta rapporter av pancytopeni, aplastisk anemi, central och perifer demyelinerande händelser och rapporter av lupus, lupus-relaterade tillstånd och Stevens-Johnson syndrom.
Pediatrisk population
Generellt sett var biverkningarna som sågs hos pediatriska patienter liknande de som sågs hos vuxna patienter både i frekvens och sort.
Lista över biverkningar i tabellform
Följande lista med biverkningar är baserad på erfarenhet från kliniska prövningar och erfarenheter efter marknadsföring och visas i tabell 6 nedan, uppdelade i organklasser och frekvens: mycket vanliga (≥ 1/10); vanliga (≥ 1/100 till < 1/10); mindre vanliga (≥ 1/1000 till < 1/100), sällsynta (≥ 1/10 000 till < 1/1000) och ingen känd frekvens (kan inte beräknas från tillgänglig data). Inom varje frekvensgruppering redovisas biverkningar i fallande allvarlighetsgrad. Den högsta frekvensen som setts inom de olika indikationerna har inkluderats. En asterisk (*) syns i kolumnen för organklass om ytterligare information finns att hitta någon annanstans i avsnitt 4.3, 4.4 och 4.8.
Tabell 6
Biverkningar
* Ytterligare information kan hittas i avsnitt 4.3, 4.4 och 4.8
** Inklusive öppna förlängningsstudier
1) Inklusive spontanrapporterad data
2) Medelförändringen av kroppsvikten från baslinjen för adalimumab varierade mellan 0,3 kg och 1,0 kg för alla indikationer för vuxna jämfört med (minus) -0,4 kg till 0,4 kg för placebo under en behandlingsperiod på 4–6 månader. Viktökning på 5–6 kg har även observerats i långvariga förlängningsstudier med en medelexponeringstid på ca 1–2 år utan kontrollgrupp, i synnerhet hos patienter med Crohns sjukdom och ulcerös kolit. Mekanismen bakom denna effekt är oklar men kan vara associerad med adalimumabs antiinflammatoriska effekt.
Uveit
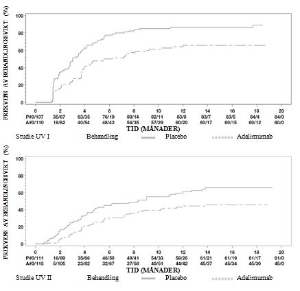
Säkerhetsprofilen för patienter med uveit som behandlats med Humira varannan vecka var i enlighet med den redan kända säkerhetsprofilen för Humira.
Förklaring av utvalda biverkningar
Reaktioner på injektionsstället
I de pivotala kontrollerade studierna hos vuxna och barn utvecklade 12,9% av patienterna som behandlades med Humira, reaktioner på injektionsstället (erytem och/eller klåda, blödning, smärta eller svullnad), jämfört med 7,2% av patienterna som fick placebo eller aktiv jämförande substans. Reaktioner på injektionsstället ledde generellt sett inte till att behandlingen med läkemedlet avbröts.
Infektioner
I de pivotala kontrollerade studierna hos vuxna och barn uppgick infektionsnivån till 1,51 per patientår hos Humira-behandlade patienter och 1,46 per patientår hos patienter behandlade med placebo- eller aktiv kontroll. Infektionerna bestod huvudsakligen i nasofaryngit, övre luftvägsinfektion och bihåleinflammation. Flertalet patienter fortsatte med Humira efter utläkt infektion.
Incidensen av allvarliga infektioner uppgick till 0,04 per patientår hos Humira-behandlade patienter och 0,03 per patientår hos patienter behandlade med placebo eller aktiv kontroll.
I kontrollerade och öppna studier hos vuxna och barn med Humira har allvarliga infektioner (inklusive dödliga infektioner, dock sällan förekommande) rapporterats. Dessa rapporter innefattar fall av tuberkulos (inklusive miliär och extrapulmonella lokalisationer) och invasiva opportunistiska infektioner (t e x disseminerad och extrapulmonell histoplasmos, blastomykos, koccidioidomykos, pneumocystit, candidias-, aspergillos- och listerios-infektion). De flesta fallen av tuberkulos inträffade inom de första åtta månaderna efter behandlingsstart och kan tänkas återspegla återfall av latent sjukdom.
Maligniteter och lymfoproliferativa störningar
Inga maligniteter observerades hos 249 pediatriska patienter med en exponeringstid av 655,6 patientår i Humira-studier hos patienter med juvenil idiopatisk artrit (polyartikulär juvenil idiopatisk artrit och entesitrelaterad artrit). Dessutom observerades inga maligniteter hos 192 pediatriska patienter med en exponering av 498,1 patientår under Humira studier på pediatriska patienter med Crohns sjukdom. Inga maligniteter observerades hos 77 pediatriska patienter med en exponeringstid av 80,0 patientår i Humira-studier hos pediatriska patienter med kronisk plackpsoriasis. Inga maligniteter observerades hos 60 pediatriska patienter med en exponeringstid av 58,4 patientår i en Humira-studie på pediatriska patienter med uveit.
Under de kontrollerade delarna av de pivotala Humira-studierna hos vuxna som var minst 12 veckor långa hos patienter med måttlig till allvarligt aktiv reumatoid artrit, ankyloserande spondylit, axial spondylartrit utan radiografiska tecken på AS, psoriasisartrit, psoriasis, hidradenitis suppurativa, Crohns sjukdom, ulcerös kolit och uveit sågs andra maligniteter än lymfom och icke-melanom hudcancer till en frekvens (95% konfidensintervall) av 6,8 (4,4; 10,5) per 1000 patientår hos 5291 Humira-behandlade patienter, jämfört med frekvensen 6,3 (3,4; 11,8) per 1000 patientår hos 3444 kontrollpatienter (medianlängd för behandling var 4,0 månader för Humira och 3,8 månader för kontrollbehandlade patienter). Frekvensen (95% konfidensintervall) av icke-melanom hudcancer var 8,8 (6,0; 13,0) per 1000 patientår hos Humira-behandlade patienter och 3,2 (1,3; 7,6) per 1000 patientår hos kontrollpatienterna. Av dessa hudcancertyper förekom skivepitelcarcinom med frekvensen (95 % konfidensintervall) av 2,7 (1,4; 5,4) per 1000 patientår hos Humira-behandlade patienter och 0,6 (0,1; 4,5) per 1000 patientår hos kontrollpatienter. Frekvensen (95 % konfidensintervall) av lymfom var 0,7 (0,2; 2,7) per 1000 patientår hos Humira-behandlade patienter och 0,6 (0,1; 4,5) per 1000 patientår hos kontrollpatienter.
Vid kombination av den kontrollerade delen av dessa studier och pågående och avslutade öppna förlängningsstudier, med en medianlängd av ungefär 3,3 år och som inkluderar 6427 patienter och mer än 26439 patientår av behandling, så var malignitetsfrekvensen, andra än lymfom och icke-melanom hudcancer, ungefär 8,5 per 1000 patientår. Den observerade frekvensen av icke-melanom hudcancer är ungefär 9,6 per 1000 patientår, och den observerade frekvensen för lymfom är ungefär 1,3 per 1000 patientår.
Efter marknadsföring, från januari 2003 till december 2010 och i huvudsak hos patienter med reumatoid artrit, är frekvensen av spontant rapporterade maligniteter ungefär 2,7 per 1000 patient behandlingsår. Den spontant rapporterade frekvensen för icke-melanom hudcancer och lymfom är ungefär 0,2 respektive 0,3 per 1000 patient behandlingsår (se avsnitt 4.4).
Sällsynta fall av hepatospleniskt T-cellslymfom har efter marknadsföring rapporterats hos patienter som behandlas med adalimumab (se avsnitt 4.4).
Autoantikroppar
Vid flera tillfällen undersöktes patienternas serum i reumatoid artrit studierna I-V för att se om autoantikroppar kunde påvisas. Av de patienter hos vilka man i de studierna inte kunde påvisa autoantikroppar initialt, utvecklade 11,9% av patienterna som behandlades med Humira och 8,1% av patienterna som fick placebo och aktiv kontroll, positiva titrar av autoantikroppar efter 24 veckor. Två av de 3441 patienter som behandlades med Humira i alla reumatoid artrit och psoriasisartrit studierna utvecklade kliniska tecken på nydebuterat lupusliknande syndrom. Patienterna förbättrades efter att behandlingen avbrutits. Inga patienter utvecklade lupusnefrit eller fick symtom från CNS.
Lever och gallvägar
I kontrollerade fas-3 prövningar med Humira hos patienter med reumatoid artrit och psoriasisartrit med en kontrollperiod mellan 4 till 104 veckor så uppstod ALAT ökningar ≥ 3 x ULN hos 3,7% av Humira-behandlade patienter och 1,6% av kontroll-behandlade patienter.
I kontrollerade fas-3 prövningar med Humira hos patienter med polyartikulär juvenil idiopatisk artrit som var 4 till 17 år och entesitrelaterad artrit som var 6 till 17 år, uppstod ALAT ökningar ≥ 3 x ULN hos 6,1% av Humira-behandlade patienter och 1,3% av kontroll-behandlade patienter. De flesta ALAT ökningar uppstod vid samtidig användning av metotrexat. Ingen ALAT ökning ≥ 3 x ULN uppstod i fas-3 prövningar med Humira hos patienter med polyartikulär juvenil idiopatisk artrit som var 2 till <4 år.
I kontrollerade fas-3 prövningar med Humira hos patienter med Crohn’s sjukdom och ulcerös kolit med en varierande kontrollperiod på mellan 4 och 52 veckor, så uppstod ALAT ökningar ≥ 3 x ULN hos 0,9% av Humira-behandlade patienter och 0,9% av kontroll-behandlade patienter.
I fas-3 prövningen av Humira hos pediatriska patienter med Crohns sjukdom, som utvärderade effekt och säkerhet hos två kroppsviktsjusterade underhållsdoseringar, efter en kroppsviktsjusterad induktionsbehandling upp till 52 veckors behandling, så uppstod ALAT ökningar ≥ 3 x ULN hos 2,6 % (5/192) av patienterna, där 4 patienter hade samtidig immunosupprimerande behandling vid baslinjen.
I kontrollerade fas-3 prövningar med Humira hos patienter med plackpsoriasis med en kontrollperiod på mellan 12 och 24 veckor, så uppstod ALAT ökningar ≥ 3 x ULN hos 1,8% av Humira-behandlade patienter och 1,8% av kontroll-behandlade patienter.
Ingen ALAT-ökning ≥ 3 x ULN uppstod i fas-3 prövningar med Humira hos pediatriska patienter med plackpsoriasis.
I kontrollerade prövningar med Humira (startdoser på 80 mg vid vecka 0 följt av 40 mg varannan vecka med början vecka 1), hos vuxna patienter med uveit i upp till 80 veckor med en medianexponering på 166,5 dagar och 105,0 dagar hos Humira-behandlade patienter respektive kontrollbehandlade patienter, uppstod ALAT-ökningar ≥ 3 x ULN hos 2,4 % av Humira-behandlade patienter och hos 2,4 % av kontrollbehandlade patienter.
Över alla indikationer i kliniska prövningar var patienter med förhöjt ALAT asymtomatiska och i de flesta fall var ökningarna övergående och upphörde med fortsatt behandling. Det finns dock rapporter efter marknadsföring om leversvikt liksom mindre allvarliga leverrubbningar som kan föregå leversvikt, såsom hepatit inklusive autoimmun hepatit, hos patienter som får adalimumab.
Samtidig behandling med azatioprin/6-merkaptopurin
Högre incidenser av maligna och allvarliga infektionsrelaterade biverkningar sågs i studier med Crohns sjukdom hos vuxna då Humira kombinerades med azatioprin/6-merkaptopurin jämfört med Humira ensamt.
Rapportering av misstänkta biverkningar
Ingen dosbegränsande toxicitet observerades under kliniska prövningar. Den högsta dosen som evaluerades har varit multipla intravenösa doser på 10 mg/kg, vilket är ungefär 15 gånger den rekommenderade dosen.
Klinisk effekt och säkerhet
Vuxna med reumatoid artrit
Humira har utvärderats i mer än 3000 patienter i alla kliniska reumatoid artrit-studier. Effekten och säkerheten av Humira vid behandling av reumatoid artrit undersöktes i fem randomiserade, dubbelblinda och välkontrollerade studier. Några patienter behandlades i upp till 120 månader.
RA-studie I involverade 271 patienter som var ≥18 år gamla med måttlig- till högaktiv reumatoid artrit, som inte hade svarat på minst ett sjukdomsmodifierande anti-reumatiskt läkemedel och hade otillräcklig effekt av metotrexat i doser mellan 12,5-25 mg (10 mg om patienten var metotrexatintolerant) en gång i veckan och vilkas metotrexatdosering var oförändrad på 10-25 mg i veckan. Humira eller placebo gavs i doserna 20, 40 eller 80 mg varannan vecka i 24 veckor.
RA-studie II utvärderade 544 patienter som var ≥18 år gamla med måttlig- till högaktiv reumatoid artrit och inte hade svarat på minst ett sjukdomsmodifierande, anti-reumatiska läkemedel. Humira i doserna 20 eller 40 mg injicerades subkutant varannan vecka med placebo alternerande veckor eller varje vecka i 26 veckor; placebo gavs varje vecka under samma tidsperiod. Inga andra sjukdomsmodifierande antireumatiska läkemedel var tillåtna.
RA-studie III utvärderade 619 patienter som var ≥18 år gamla med måttlig- till högaktiv reumatoid artrit, och som hade ett otillräckligt svar på metotrexat vid doser 12,5-25 mg, eller som har varit intoleranta mot 10 mg metotrexat varje vecka. Det fanns tre grupper i denna studie. Den första fick placebo injektioner varje vecka i 52 veckor. Den andra fick 20 mg Humira varje vecka i 52 veckor. Den tredje gruppen fick 40 mg Humira varannan vecka med placebo alternerande veckor. Vid avslut av de första 52 veckorna, togs 457 patienter in i en öppen förlängningsfas i vilken 40 mg Humira/MTX administrerades varannan vecka i upp till 10 år.
RA-studie IV bedömde huvudsakligen säkerheten hos 636 patienter som var ≥18 år gamla med måttlig- till högaktiv reumatoid artrit. Patienterna tilläts antingen vara DMARD -naiva eller stå kvar på sin pågående reumatologiska behandling, förutsatt att denna var stabil sedan minst 28 dagar. Dessa terapier inkluderade metotrexat, leflunomid, hydroxiklorokin, sulfasalazin och/eller guldsalter. Patienterna randomiserades till 40 mg Humira eller placebo varannan vecka i 24 veckor.
RA-studie V utvärderade 799 metotrexat-naiva, vuxna patienter med måttlig till högaktiv tidig reumatoid artrit (genomsnittlig sjukdomsperiod mindre än 9 månader). Denna studie utvärderade effekten av behandling med Humira 40 mg varannan vecka kombinerat med metotrexat, Humira 40 mg varannan vecka som monoterapi, respektive metotrexat som monoterapi, under 104 veckor för att reducera tecken och symtom på reumatoid artrit samt utvecklingstakten av ledskada.
Efter avslut av de första 104 veckorna antogs 497 patienter till en öppen förlängningsstudie där 40 mg Humira administrerades varannan vecka i upp till 10 år.
Den primära endpointen i RA-studierna I, II och III och den sekundära endpointen i RA-studien IV uttrycks som procentandelen patienter som nådde ett ACR 20-svar vid vecka 24 eller 26. Den primära endpointen i RA-studie V var procentandelen patienter som nådde ett ACR 50-svar vid vecka 52. RA-studie III och V hade en ytterligare primär endpoint vid 52 veckor avseende fördröjning av sjukdomsprogression (som visas med röntgenresultat). RA-studie III hade även en primär endpoint avseende förändringar i livskvalitet.
ACR-svar
Andelen av de Humirabehandlade patienterna som uppnådde ACR 20, 50 och 70 effekt var likartad i RA-studierna I, II och III. Resultaten från 40 mg varannan vecka-doseringen är summerade i tabell 7.
I RA-studierna I-IV förbättrades alla de individuella komponenterna i ACR effekt kriterierna jämfört med placebo (antal svullna och ömma leder, läkares och patients bedömning av sjukdomsaktivitet och smärta, invaliditets index (HAQ) och CRP (mg/dl) värden) vid vecka 24 eller 26. I RA-studie III kvarstod dessa förbättringar under alla 52 veckor.
I en öppen förlängningsstudie för RA studie III, upprätthöll de flesta patienter som var ACR-responders detta svar då de följdes upp efter upp till 10 år. Av 207 patienter som randomiserades till Humira 40 mg varannan vecka så fortsatte 114 patienter med Humira 40 mg varannan vecka under 5 år. Bland dessa hade 86 patienter (75,4%) ett ACR 20 svar; 72 patienter (63,2%) hade ACR 50 svar och 41 patienter (36%) hade ett ACR 70 svar. Av 207 patienter så fortsatte 81 patienter med Humira 40 mg varannan vecka under 10 år. Av dessa så hade 64 patienter (79,0%) ett ACR 20 svar; 56 patienter (69,1%) ACR 50 svar och 43 patienter (53,1%) ett ACR 70 svar.
I RA-studie IV, var ACR 20 svaret hos patienter behandlade med Humira plus standardbehandling statistiskt signifikant bättre än hos patienter som behandlades med placebo plus standardbehandling (p<0,001).
I RA-studierna I-IV uppnådde de Humirabehandlade patienterna statistiskt signifikant högre ACR 20 och 50 svar jämfört med placebo så tidigt som en till två veckor efter initieringen av behandlingen.
I RA-studie V ledde kombinationsbehandling med Humira och metotrexat, till patienter med tidig reumatoid artrit som var metotrexat-naiva, till snabbare och signifikant högre ACR-svar än metotrexat eller Humira i monoterapi vid vecka 52 och svaren kvarstod vid vecka 104 (se tabell 8).
I den öppna förlängningsstudien för RA-studie V bibehölls ACR-svaren vid uppföljning i upp till 10 år. Av 542 patienter som randomiserades till Humira 40 mg varannan vecka, så fortsatte 170 patienter med Humira 40 mg varannan vecka i 10 år. Av dessa hade 154 patienter (90,6 %) ACR 20-svar; 127 patienter (74,7%) ACR 50-svar; och 102 patienter (60,0%) ACR 70-svar.
Vid vecka 52 hade 42,9% av patienterna som fick kombinationsbehandling med Humira/metotrexat uppnått klinisk remission (DAS28 (CRP) < 2,6) jämfört med 20,6% av patienterna som fick monoterapi med metotrexat och 23,4% av patienterna som fick monoterapi med Humira. Kombinationsbehandlingen med Humira/metotrexat var kliniskt och statistiskt överlägsen behandlingen med metotrexat (p<0,001) och Humira (p<0,001) i monoterapi vad gäller att uppnå en låg sjukdomsgrad hos patienter som nyligen fått diagnosen måttlig till svår reumatoid artrit. Behandlingseffekten för de två monoterapiarmarna var likvärdig (p=0,447). Av 342 patienter som ursprungligen randomiserats till monoterapi med Humira eller en kombination av Humira/metrotrexat och som gick in i den öppna förlängningsstudien genomgick 171 patienter 10 års behandling med Humira. Bland dessa patienter rapporterades bibehållen klinisk remission vid 10 år hos 109 (63,7%).
Radiografisk behandlingseffekt
I RA-studie III, där de Humira-behandlade patienterna hade en medelduration av reumatoid artrit på ungefär 11 år, mättes strukturell ledförstörelse radiografiskt och uttrycktes som förändring i totalt "Sharp Score" (TSS) och dess komponenter, erosions-"score" och broskhöjdsminsknings-"score". Humira/metotrexat-patienter uppvisade signifikant mindre radiografisk progression vid 6 och 12 månader (se tabell 9) än patienter som enbart fick metotrexat.
I den öppna förlängningen av RA-studie III, upprätthålls minskningen i progressionhastigheten av strukturell förstörelse under 8-10 år i en subgrupp av patienterna. Vid 8 år så hade 81 av 207 patienter som från början behandlades med 40 mg Humira varannan vecka utvärderats radiografiskt. Av dessa visade 48 patienter ingen progression av strukturell skada som definierades av en förändring från baslinje i mTSS av 0,5 eller mindre. Vid 10 år så utvärderades 79 av 207 patienter som ursprungligen behandlades med 40 mg Humira varannan vecka, radiografiskt. Bland dessa visade 40 patienter ingen progression av strukturell skada som definierades av en förändring från baslinje i mTSS av 0,5 eller mindre.
I RA-studie V bedömdes den strukturella ledskadan radiografiskt och uttrycktes som förändring i modifierad Total Sharp Score (se tabell 10).
Efter 52 och 104 veckors behandling var procentandelen patienter utan progress (förändring från baslinjen i modifierad Total Sharp Score <0,5) signifikant högre för kombinationsbehandling med Humira/metotrexat (63,8% respektive 61,2%) jämfört med metotrexat i monoterapi (37,4% respektive 33,5%, p<0,001) och Humira i monoterapi (50,7%, <0,002 respektive 44,5%, p<0,001).
I den öppna förlängningsstudien för RA-studie V var den genomsnittliga ändringen från baslinjen vid år 10 i modifierad Total Sharp Score 10,8, 9,2 och 3,9 hos patienter som ursprungligen hade randomiserats till respektive metotrexat i monoterapi, Humira i monoterapi och Humira/metotrexat kombinationsterapi. Den korresponderande andelen patienter utan radiografisk progression var 31,3%, 23,7% och 36,7%, i respektive studiearm.
Livskvalitet och fysisk funktion
Hälsorelaterad livskvalitet och fysisk funktion bedömdes med hjälp av invaliditetsindexet Health Assessment Questionnaire (HAQ) i de fyra ursprungliga, adekvata och välkontrollerade studierna och användes dessutom som primär effektparameter vid vecka 52 i RA-studie III. Alla de använda doser/doseringsscheman för Humira, som användes i alla fyra studier, ledde till en statistiskt signifikant större förbättring av ingångsvärdena av invaliditetsindexet HAQ efter 6 månader jämfört med placebo och i RA-studie III observerades samma efter 52 veckor. Resultat från Short Form Health Survey (SF 36) med alla doser/doseringsscheman av Humira i alla fyra studier stödjer dessa observationer med en statistiskt signifikant förbättring av scoren för fysisk förmåga (PCS), och i tillägg en signifikant förbättring av domänerna smärta och vitalitet vid dosen 40 mg varannan vecka. I de tre studierna där detta bedömdes (RA-studier I, III, IV) fann man en statistiskt signifikant sänkning av utmattning mätt med hjälp av FACIT scores (Functional Assessment of Chronic Illness Therapy).
I RA-studie III, hos de flesta patienter som uppnådde förbättring i fysisk funktion och fortsatte med behandling, kvarstod förbättringen vid vecka 520 (120 månader) av öppen behandling. Ökad livskvalitet uppmättes fram till vecka 156 (36 månader) och förbättringen bibehölls under hela den tiden.
I RA-studie V var förbättringen i invaliditetsindex (HAQ) och den fysiska komponenten av SF 36 större (p<0,001) för kombinationsbehandling med Humira/metotrexat jämfört med metotrexat eller Humira i monoterapi vid vecka 52. Detta resultat kvarstod vid vecka 104. Hos de 250 patienter som fullföljde den öppna förlängningsstudien, bibehölls förbättringar av den fysiska funktionen under 10 års behandling.
Vuxna patienter med plackpsoriasis
Humiras säkerhet och effekt studerades hos vuxna patienter med kronisk plackpsoriasis (≥ 10% BSA = Body Surface Area engagemang och PASI ≥ 12 eller ≥ 10) som var aktuella för systembehandling eller ljusbehandling i randomiserade, dubbelblinda studier. Av de patienter som påbörjade Psoriasis studie I och II hade 73% tidigare fått systembehandling eller ljusbehandling. Humiras säkerhet och effekt studerades även hos vuxna patienter med måttlig till svår kronisk plackpsoriasis med samtidig hand- eller fotpsoriasis som var aktuella för systemisk behandling i en randomiserad dubbelblind studie (Psoriasis studie III).
Psoriasis studie I (REVEAL) utvärderade 1212 patienter inom tre behandlingsperioder. I period A, fick patienter placebo eller Humira med en startdos av 80 mg följt av 40 mg varannan vecka som påbörjades en vecka efter startdosen. Efter 16 veckors behandling fick de patienter som uppnådde minst PASI 75 (förbättring av PASI med minst 75% jämfört med baslinje/utgångsvärdet), gå in i period B och fick ”öppen label/behandling” med 40 mg Humira varannan vecka. Patienter som bibehöll ≥PASI 75 vid vecka 33 och som ursprungligen randomiserades till aktiv behandling i Period A, rerandomiserades i period C till 40 mg Humira varannan vecka eller placebo i ytterligare 19 veckor. För alla behandlingsgrupper var medelvärdet på baslinjen PASI 18,9 och värdet på baslinjen för PGA varierade från “måttlig” (53% av de inkluderade patienterna) till “svår” (41%) till “mycket svår” (6%).
Psoriasis studie II (CHAMPION) jämförde säkerhet och effekt av Humira jämfört med metotrexat (MTX) och placebo hos 271 patienter. Patienter fick placebo eller en startdos av MTX 7,5 mg följt av dosökningar fram till vecka 12, upp till en maxdos på 25 mg eller en startdos på 80 mg Humira följt av 40 mg varannan vecka (påbörjas en vecka efter startdosen) i 16 veckor. Det finns inga data som jämför Humira och MTX efter 16 veckors behandling. Patienter som får MTX och som uppnådde ett ≥PASI 50 svar vid vecka 8 och/eller 12 fick inga ytterligare doshöjningar. För alla behandlingsgrupper var medelvärdet på baslinjen PASI 19,7 och värdet på baslinjen Physician’s Global Assessment (PGA) varierade från “mild” (<1%) till “måttlig” (48%) till “svår” (46%) till “mycket svår” (6%).
Patienter som deltog i alla fas II och fas III psoriasisstudier kunde enrollera till en öppen förlängningsstudie, där Humira gavs i minst ytterligare 108 veckor.
I Psoriasis studie I och II var en primär endpoint andelen patienter som uppnådde ett PASI 75 svar från baslinje vid vecka 16 (se tabell 11 och 12).
I psoriasis studie I, upplevde 28% av patienterna som hade PASI 75 och som randomiserades om till placebo vecka 33 ”förlust av adekvat svar” jämfört med 5% som fortsatte med Humira, p<0,001, (PASI poäng efter vecka 33 och framåt eller före vecka 52 som resulterade i ett <PASI 50 jämfört med baslinjen med minst 6 poängs ökning i PASI jämfört med vecka 33). Av de patienter som inte längre svarade efter re-randomisering till placebo och som sedan påbörjade en öppen förlängningsstudie, återfick 38% (25/66) och 55% (36/66) PASI 75 efter 12 respektive 24 veckor efter återinsatt behandling.
Totalt 223 patienter som hade ett PASI 75-svar vid vecka 16 och vecka 33 fick kontinuerlig Humirabehandling i 52 veckor i Psoriasis studie I och fortsatte med Humira i den öppna förlängningsstudien. Terapisvar med PASI 75 och PGA med värdena ”utläkt” eller ”minimal”, hos dessa patienter var 74,7% respektive 59,0% efter ytterligare 108 veckor av öppen behandling (totalt 160 veckor). I en analys där alla patienter som lämnade studien på grund av biverkningar eller brist på effekt, eller som dos-ökade, räknades som non-responders, var PASI 75-svar och PGA-värde ”utläkt” eller ”minimal” hos dessa patienter 69,6% respektive 55,7% efter ytterligare 108 veckor av öppen behandling (totalt 160 veckor).
Totalt 347 stabila responders deltog i en utsättnings- och återbehandlingsutvärdering i en öppen förlängningsstudie. Under utsättningssperioden kom symtom på psoriasis succesivt tillbaka med en mediantid till återfall (försämring till PGA-värde "måttlig" eller ”sämre”) på ungefär 5 månader. Ingen av dessa patienter upplevde rebound under utsättningsperioden. Totalt 76,5% (218/285) av patienterna som gick in i återbehandlingsperioden hade ett PGA-värde på "utläkt" eller "minimal" efter 16 veckors återbehandling, oavsett om de hade haft återfall under behandlingsuppehållet eller ej (69,1%[123/178] och 88,8% [95/107] för patienter som fick återfall respektive de som inte fick återfall under utsättningsperioden.)
Biverkningsprofilen under återbehandling liknade den som sågs innan utsättandet.
Signifikant förbättring vid vecka 16 från baslinje jämfört med placebo (studie I och II) och MTX (studie II) visades med DLQI (Dermatology Life Quality Index). I studie I var den sammanräknade förbättringen av den fysiska och mentala komponenten av SF-36 också signifikant jämfört med placebo.
I en öppen förlängningsstudie för patienter som ökade dosen från 40 mg varannan vecka till 40 mg varje vecka, beroende på ett PASI svar under 50%, uppnådde 26,4% (92/349) och 37,8% (132/349) av patienterna PASI 75 respons vid vecka 12 respektive vecka 24.
Psoriasis studie III (REACH) jämförde Humiras säkerhet och effekt med placebo hos 72 patienter med måttlig till svår kronisk plackpsoriasis och hand- och/eller fotpsoriasis. Patienterna fick placebo eller en startdos av Humira på 80 mg följt av 40 mg varannan vecka som påbörjades en vecka efter startdosen, i 16 veckor. Vid vecka 16 hade en större, statistiskt signifikant, grupp av patienter som fått Humira nått ett PGA-värde på ”utläkt” eller ”nästan utläkt” för händer och/eller fötter jämfört med patienter som fått placebo (30,6% vs 4,3%, respektive [P=0,014]).
Psoriasis studie IV jämförde effekt och säkerhet av Humira jämfört med placebo hos 217 vuxna patienter med måttlig till svår nagelpsoriasis. Patienterna fick en startdos av 80 mg Humira följt av 40 mg varannan vecka (med start en vecka efter startdosen) eller placebo under 26 veckor följt av en öppen förlängningsstudie med Humira-behandling i ytterligare 26 veckor. För bedömning av graden av nagelpsoriasis användes Modified Nail Psoriasis Severity Index (mNAPSI), Physician’s Global Assessment of Fingernail Psoriasis (PGA-F) och Nail Psoriasis Severity Index (NAPSI) (se tabell 13). Humira visade på en fördelaktig behandlingseffekt hos patienter med nagelpsoriasis med olika grad av hudinvolvering (BSA ≥10% (60% av patienterna) och BSA <10% och ≥5% (40% av patienterna)).
Tabell 13
Ps studie IV Effektresultat vid 16, 26 och 52 veckor
Humira-behandlade patienter visade statistiskt signifikant förbättring i DLQI vid vecka 26 jämfört med placebo.
Crohns sjukdom hos vuxna
Säkerhet och effekt av Humira utvärderades hos över 1500 patienter med måttlig till svår aktiv Crohns sjukdom (Crohns sjukdom aktivitets index (CDAI) ≥220 och ≤450) i randomiserade, dubbelblinda, placebo-kontrollerade studier. Samtidig behandling med stabila doser av aminosalicylater, kortikosteroider och/eller immunomodulerande medel tilläts och 80% av patienterna fortsatte med minst ett utav dessa läkemedel.
Induktion av klinisk remission (definierad som CDAI < 150) utvärderades i två studier, CD-studie I (CLASSIC I) och CD-studie II (GAIN). I CD studie I randomiserades 299 TNF-antagonist naiva patienter till en av fyra behandlingsgrupper; placebo vid vecka 0 och 2, 160 mg Humira vid vecka 0 och 80 mg vid vecka 2, 80 mg vid vecka 0 och 40 mg vid vecka 2 och 40 mg vid vecka 0 och 20 mg vid vecka 2. I CD studie II, randomiserades 325 patienter som inte längre svarade eller som var intoleranta mot infliximab till att få antingen 160 mg Humira vid vecka 0 och 80 mg vid vecka 2 eller placebo vid veckorna 0 och 2. De som primärt var non-responders exkluderades från studierna och därför utvärderades inte dessa patienter mer.
Bibehållande av klinisk remission utvärderades i CD studie III (CHARM). I CD studie III, fick 854 patienter öppen behandling med 80 mg vid vecka 0 och 40 mg vid vecka 2. Vid vecka 4 randomiserades patienterna till 40 mg varannan vecka, 40 mg varje vecka eller placebo med en total studielängd på 56 veckor. Patienter med klinisk respons (sänkning i CDAI ≥70) vid vecka 4 stratifierades och analyserades separat från de som inte hade svarat kliniskt vecka 4. Dosreduktion av kortikosteroider tilläts efter vecka 8.
CD studie I och CD studie II induktion av remission och behandlingssvar visas i tabell 14.
Liknande remissionsnivåer observerades för 160/80 mg och 80/40 mg induktionsbehandlingar vid vecka 8 och biverkningar sågs mer frekvent hos 160/80 mg gruppen.
Vid vecka 4 i CD studie III, hade 58% (499/854) av patienterna svarat kliniskt och utvärderades i den primära analysen. Av de som svarade kliniskt vid vecka 4 hade 48% tidigare exponerats för annan TNF-antagonist. Upprätthållande av remission och svarsfrekvenser visas i tabell 15. Kliniska remissionsresultat kvarstod relativt konstant oberoende av tidigare TNF-antagonistexponering.
Sjukdomsrelaterade sjukhusinläggningar och operationer minskade signifikant med adalimumab jämfört med placebo vid vecka 56.
Av de patienter som inte hade svarat vid vecka 4, hade 43% av patienterna som fick underhållsbehandling med Humira svarat vid vecka 12 jämfört med 30% av placebo-behandlade patienter. Dessa resultat visar att vissa patienter som inte har svarat vid vecka 4 har nytta av fortsatt underhållsbehandling till och med vecka 12. Behandling som fortsatte efter vecka 12 resulterade inte i signifikant fler svar (se avsnitt 4.2).
117/276 patienter från CD studie I och 272/777 patienter från CD studie II och III följdes under minst 3 år av öppen adalimumab-behandling. 88 respektive 189 patienter fortsatte att vara i klinisk remission. Kliniskt svar (CR-100) bibehölls hos 102 respektive 233 patienter.
Livskvalitet
I CD-studie I och II, uppnåddes statistiskt signifikant förbättring i totalpoäng i det sjukdomsspecifika frågeformuläret för inflammatoriska tarmsjukdomar (IBDQ) vid vecka 4 hos patienter som randomiserats till Humira 80/40 mg och 160/80 mg jämfört med placebo och sågs vid vecka 26 och 56 i CD-studie III liksom i de adalimumab-behandlade grupperna jämfört med placebogruppen.
Uveit hos vuxna
Humiras säkerhet och effekt utvärderades hos vuxna patienter med icke-infektiös intermediär, bakre och panuveit, där patienter med isolerad främre uveit var exkluderade, i två randomiserade, dubbelmaskerade placebokontrollerade studier (UV I och II). Patienter fick placebo eller Humira med en startdos på 80 mg följt av 40 mg varannan vecka med början en vecka efter startdosen. Samtidig behandling med ett icke-biologiskt immunosuppressivt läkemedel i stabila doser var tillåtet.
Studie UV I utvärderade 217 patienter med aktiv uveit trots behandling med kortikosteroider (prednison oralt vid doser på 10 till 60 mg/dag). Alla patienter fick en standardiserad 2-veckorsdos av prednison på 60 mg/dag vid studiestart följt av ett obligatoriskt nedtrappningsschema, med helt avbruten kortikosteroidbehandling vid vecka 15.
Studie UV II utvärderade 226 patienter med inaktiv uveit med behov av kronisk kortikosteroidbehandling (prednison oralt 10 till 35 mg/dag) vid baslinjen för att kontrollera deras sjukdom. Patienterna genomgick därefter ett obligatoriskt nedtrappningsschema, med helt avbruten kortikosteroidbehandling vid vecka 19.
Den primära endpointen för effekt i båda studierna var ”tid till behandlingssvikt”. Behandlingssvikt definierades genom ett multikomponent utfall baserat på inflammatoriska korioretinala och/eller inflammatoriska retinala vaskulära lesioner, gradering av inflammerade celler i främre kammaren (anterior chamber (AC) cell grade), gradering av grumlingar i glaskroppen (vitreous haze (VH) grade) och bäst korrigerad synskärpa (best corrected visual acuity (BCVA)).
Patienter som avslutade studie UV I och UV II fick fortsätta i en icke-kontrollerad förlängningsstudie med en planerad längd på 78 veckor. Patienter tilläts fortsätta med studieläkemedlet efter vecka 78 tills de hade tillgång till Humira.
Klinisk respons
Resultaten från båda studierna demonstrerade en statistiskt signifikant minskning av risken för behandlingssvikt hos patienter som behandlats med Humira jämfört med patienter som fått placebo (se tabell 16). Båda studierna demonstrerade en tidig och bibehållen effekt av Humira med avseende på frekvens av behandlingssvikt jämfört med placebo (se figur 1).
Tabell 16 Tid till behandlingssvikt i studierna UV I och UV II
OBS: Behandlingssvikt vid eller efter vecka 6 (studie UV I), eller vid eller efter vecka 2 (studie UV II) räknades som en incident. Bortfall på grund av andra skäl än behandlingssvikt censurerades vid tidpunkten då bortfallet skedde.
a HR för adalimumab jämfört med placebo från proportionella hazard-regressioner med behandling som faktor.
b Dubbelsidigt P-värde från log rank test.
c NE = ej möjligt att utvärdera. Färre än hälften av patienterna i riskzonen var med om en incident.
Figur 1. Kaplan-Meier-kurvor som summerar tid till behandlingssvikt vid eller efter vecka 6 (studie UV I) eller vecka 2 (studie UV II)
OBS: P# = Placebo (Antal incidenter/Antal i riskzonen); A# = HUMIRA (Antal incidenter/Antal i riskzonen)
I studie UV I observerades statistisk signifikant skillnad till adalimumabs fördel jämfört med placebo för varje komponent av behandlingssvikt. I studie UV II visades statistiskt signifikanta skillnader enbart för synskärpa, men de andra komponenterna var numeriskt till fördel för adalimumab.
Av de 424 patienter som inkluderades i den icke-kontrollerade förlängningsstudien av studierna UV I och UV II, bedömdes 60 patienter som olämpliga (t.ex. på grund av avvikelser eller på grund av sekundära komplikationer till diabetesretinopati, på grund av kataraktkirurgi eller vitrektomi) och exkluderades från den primära effektanalysen. Av de 364 resterande patienterna, nådde 269 utvärderbara patienter (74%) 78 veckors öppen adalimumab-behandling. Baserat på observerade data, hade 216 (80,3%) patienter en lågaktiv sjukdomsperiod (inga aktiva inflammatoriska lesioner, AC-cellgrad ≤0,5+, VH grad ≤0,5+) med en samtidig steroiddos på ≤7,5 mg per dag och 178 (66,2%) patienter hade en period med steroidfri lågaktiv sjukdom. BCVA förbättrades eller upprätthölls (< 5 bokstävers försämring) i 88,6% av ögonen vid vecka 78. Data efter vecka 78 överensstämde generellt med dessa resultat men antalet deltagande patienter sjönk efter denna tidpunkt. Sammantaget, av de patienter som avbröt studien, var 18% på grund av biverkningar och 8% på grund av otillräckligt svar på adalimumab-behandlingen.
Livskvalitet
Patientrapporterade utfall med avseende på synrelaterade funktioner mättes i båda kliniska studierna, med hjälp av NEI VFQ-25. Humira hade numerisk fördel för majoriteten av subscores med statistiskt signifikanta genomsnittliga skillnader för generell syn, okulär smärta, närsynthet, psykisk hälsa och totala scoren i studie UV I samt för generell syn och psykisk hälsa i studie UV II. Synrelaterade effekter var inte numeriskt till fördel för Humira gällande färgseende i studie UV I och färgseende, perifert seende och närsynthet i studie UV II.
Immunogenicitet
Bildning av anti-adalimumab antikroppar är sammankopplad med ökad clearance och minskad effekt av adalimumab. Det finns ingen tydlig korrelation mellan anti-adalimumab antikroppar och förekomsten av biverkningar.
Hos patienter med polyartikulär juvenil idiopatisk artrit som var 4-17 år, identifierades anti-adalimumab antikroppar hos 15,8% (27/171) av patienter som behandlades med adalimumab. Hos patienter som inte samtidigt fick metotrexat, var incidensen 25,6% (22/86) jämfört med 5,9% (5/85) då adalimumab gavs som tillägg till metotrexat. Hos patienter med polyartikulär juvenil idiopatisk artrit som var 2 till <4 år eller 4 år och äldre med en kroppsvikt <15 kg, identifierades anti-adalimumab antikroppar hos 7% (1/15) av patienterna och den patienten fick samtidig metotrexat-behandling.
Hos patienter med entesitrelaterad artrit, identifierades anti-adalimumab antikroppar hos 10,9% (5/46) av patienterna som behandlades med adalimumab. Hos patienter som inte samtidigt fick metotrexat, var incidensen 13,6% (3/22), jämfört med 8,3% (2/24) då adalimumab gavs som tillägg till metotrexat.
Patienter i reumatoid artrit-studie I, II och III testades vid ett flertal tidpunkter för anti-adalimumab antikroppar under perioden 6 till 12 månader. I de pivotala studierna identifierades anti-adalimumab antikroppar hos 5,5% (58/1053) av adalimumab-behandlade patienter i jämförelse med 0,5% (2/370) för placebo. Hos patienter som inte samtidigt gavs metotrexat var incidensen 12,4% i jämförelse med 0,6% då adalimumab användes som tillägg till metotrexat.
Hos pediatriska patienter med psoriasis identifierades anti-adalimumab antikroppar hos 5/38 patienter (13%) som behandlats med 0,8 mg/kg adalimumab som monoterapi.
Hos vuxna patienter med psoriasis identifierades anti-adalimumab antikroppar hos 77/920 patienter (8,4%) som behandlats med adalimumab som monoterapi.
Hos vuxna patienter med plackpsoriasis som stod på långtidsbehandling med adalimumab som monoterapi och som deltog i en utsättnings- och återbehandlingsstudie, var förekomsten av antikroppar mot adalimumab efter återbehandlingen (11 av 482 patienter, 2,3%) liknande den som sågs innan utsättandet (11 av 590 patienter, 1,9%).
Hos pediatriska patienter med måttlig till svår aktiv Crohns sjukdom utvecklades anti-adalimumab antikroppar hos 3,3% av patienter som behandlats med adalimumab.
Hos vuxna patienter med Crohns sjukdom identifierades anti-adalimumab antikroppar hos 7/269 patienter (2,6%).
Hos vuxna patienter med icke-infektiös uveit identifierades anti-adalimumab antikroppar hos 4,8% (12/249) av patienterna som behandlats med adalimumab.
Eftersom immunogenicitetsanalyser är produktspecifika, är en jämförelse med antikroppsförekomst från andra produkter inte tillämpbar.
Pediatrisk population
Juvenilidiopatiskartrit (JIA)
Polyartikulär juvenilidiopatiskartrit (pJIA)
Säkerhet och effekt av Humira utvärderades i två studier (pJIA I och II) hos barn med aktiv polyartikulär juvenil idiopatisk artrit, som hade varierande debuttyper av JIA (mest frekvent var reumatoid faktor negativ eller positiv polyartrit och utvidgad oligoartikulär JIA).
p-JIA-I
Säkerhet och effekt av Humira utvärderades i en multicenter, randomiserad, dubbelblind, parallell- grupp-studie hos 171 barn (4-17 år gamla) med polyartikulär JIA. I den öppna, inledande fasen (OL LI, open-label lead in phase) blev patienterna stratifierade till två grupper, antingen MTX (metotrexat)-behandling eller inte MTX-behandling. Patienter som var i gruppen ”inte MTX-behandling” var antingen naiva till eller hade slutat använda MTX minst två veckor före administrering av studieläkemedel. Patienterna kvarstod på stabila doser med icke-steroida antiinflammatoriska medel (NSAID) och/eller prednison (< 0,2 mg/kg/dag eller maximalt 10 mg/dag). I OL LI fasen fick alla patienter 24 mg/m2 upp till maximalt 40 mg Humira varannan vecka under 16 veckor. Fördelning av patienter i ålder och minimum, median och maximum doser som administrerades under OL LI fasen presenteras i tabell 17.
Patienter som uppvisade ett pediatriskt ACR 30 respons vid vecka 16, kvalificerades till att randomiseras in i den dubbelblinda (DB) fasen och fick antingen Humira 24 mg/ m2 upp till maximalt 40 mg, eller placebo varannan vecka under ytterligare 32 veckor eller tills sjukdomsförsämring inträffade. Kriterier för sjukdomsförsämring definierades som en försämring av ≥ 30% från baslinjen hos ≥ 3 av de 6 kriterierna för pediatrisk ACR respons, ≥ 2 aktiva leder, och förbättring av > 30% i inte fler än 1 av de 6 kriterierna. Efter 32 veckor eller vid sjukdomsförsämring kunde patienterna enrolleras in till den öppna förlängningsfasen.
Bland de som svarade på behandlingen vecka 16 (n=144), kvarstod de pediatriska ACR-svaren (ACR 30/50/70/90) i upp till sex år i OLE fasen hos patienter som fick Humira genom hela studien. Totalt 19 patienter, av vilka 11 var i åldersgrupp 4-12 år vid baslinjen och 8 av dem var i åldersgrupp 13-17 år vid baslinjen, behandlades 6 år eller längre.
Det totala behandlingssvaret var generellt bättre och färre patienter utvecklade antikroppar då de behandlades med kombinationen Humira och MTX jämfört med Humira enbart. Då man tar dessa resultat under övervägande, rekommenderas att Humira används i kombination med MTX och för användning som monoterapi hos de patienter där MTX-användning är olämpligt (se avsnitt 4.2).
p-JIA II
Säkerhet och effekt av Humira utvärderades i en öppen multicenter studie hos 32 barn (2-<4 år eller 4 år och uppåt med vikten <15 kg) med måttlig till allvarlig, pågående polyartikulär JIA. Patienterna fick 24 mg/m2 kroppsytearea (BSA) av Humira upp till maximalt 20 mg varannan vecka som en singeldos via subkutan injektion under minst 24 veckor. Under studien så använde de flesta patienterna samtidigt MTX, ett fåtal rapporterade att de använda kortikosteroider eller NSAIDs.
Vid vecka 12 och vecka 24, så var PedACR 30 svaret 93,5% respektive 90,0%, då observerad data användes. Proportionen av patienter med PedACR50/70/90 vid vecka 12 och vecka 24 var 90,3%/61,3%/38,7% respektive 83,3%/73,3%/36,7%. Bland de som svarade (Pediatric ACR 30) vid vecka 24 (n=27 av 30 patienter), bibehölls de Pediatriska ACR 30 svaren i upp till 60 veckor under OLE fasen hos patienter som fick Humira under hela den perioden. Sammantaget behandlades 20 patienter under 60 veckor eller längre.
Entesitrelaterad artrit
Säkerhet och effekt av Humira utvärderades i en multicenter, randomiserad, dubbelblind studie hos 46 pediatriska patienter (6-17 år) med måttlig entesitrelaterad artrit. Patienter randomiserades till att antigen få 24 mg/m2 kroppsyta av Humira upp till maximalt 40 mg, eller placebo, varannan vecka i 12 veckor. Den dubbelblindade perioden följdes av en öppen period där patienter fick 24 mg/m2 kroppsyta av Humira upp till maximalt 40 mg varannan vecka subkutant i upp till ytterligare 192 veckor. Primär endpoint var den procentuella förändringen från baslinjen till vecka 12 av antalet aktiva leder med artrit (svullnad som inte beror på deformitet eller leder med inskränkt rörlighet plus smärta och/eller ömhet), vilket uppnåddes med genomsnittlig procentuell minskning på -62,6% (median för procentuell förändring -88,9%) hos patienter i Humira-gruppen jämfört med -11,6% (median för procentuell förändring -50,0%) hos patienterna i placebogruppen. Förbättring i antalet aktiva leder med artrit bibehölls under den öppna perioden till och med vecka 156 för de 26 av 31 (84%) patienter i Humira-gruppen som stannade kvar i studien. Även om det inte var statistiskt signifikant, visade majoriteten av patienterna klinisk förbättring i sekundära endpoints såsom antalet entesititer, antalet ömma leder, antalet svullna leder, pediatrisk ACR 50-svar och pediatrisk ACR 70-svar.
Pediatriska patienter med plackpsoriasis
Effekten hos Humira utvärderades i en randomiserad, dubbelblind, kontrollerad studie med 114 pediatriska patienter från 4 års ålder med svår kronisk plackpsoriasis (definierad som Physician’s Global Assessment (PGA) ≥ 4 eller > 20% BSA-engagemang eller > 10% BSA-engagemang med mycket tjocka lesioner eller Psoriasis Area and Severity Index (PASI) ≥ 20 eller ≥ 10 med kliniskt relevant involvering av ansiktet, genitalierna eller händer/fötter) som inte kontrollerats tillfredställande med topikal behandling och solbehandling eller ljusbehandling.
Patienter fick Humira 0,8 mg/kg varannan vecka (upp till 40 mg), 0,4 mg/kg varannan vecka (upp till 20 mg) eller metotrexat 0,1-0,4 mg/kg varje vecka (upp till 25 mg). Vid vecka 16 hade fler patienter som randomiserats till Humira 0,8 mg/kg haft en positiv klinisk respons (PASI 75) än de som randomiserats till 0,4 mg/kg varannan vecka eller metotrexat.
För patienter som uppnådde PASI 75 och PGA ”utläkt” eller ”minimal” stoppades behandlingen i upp till 36 veckor och patienterna monitorerades för sjukdomsåterfall (definerat som förvärrande av PGA med åtminstone 2 grader). Patienterna återinsattes sedan på adalimumab 0,8 mg/kg varannan vecka i ytterligare 16 veckor och svarsfrekvenser observerade under återbehandlingenliknade de från den tidigare dubbelblindade perioden; PASI 75-svar på 78,9% (15 av 19 patienter) och PGA ”utläkt” eller ”minimal” på 52,6% (10 av 19 patienter).
I den öppna förlängningen av studien kvarstod responsen PASI 75 och PGA ”utläkt” eller ”minimal” i upp till ytterligare 52 veckor utan någon ytterligare påverkan av säkerhetsprofilen.
Pediatriska patienter med Crohns sjukdom
Humira utvärderades i en multicenter, randomiserad, dubbelblind klinisk prövning utformad för att utvärdera effekt och säkerhet av induktions- och underhållsbehandling med doser beroende av kroppsvikt (<40 kg eller ≥40 kg) hos 192 pediatriska patienter i åldern mellan 6 och 17 år med måttlig till svår Crohns sjukdom (CD) definierad som Pediatrisk Crohns sjukdoms Aktivitetsindex (PCDAI) score >30. Patienter skulle ha fallerat på konventionell behandlingsterapi (inklusive en kortikosteroid och/eller en immunmodulator) för CD. Patienter kunde också ha slutat svara eller varit intoleranta mot infliximab.
Alla patienter fick öppen induktionsbehandling med dosering baserad på deras kroppsvikt vid baslinjen; 160 mg vid vecka 0 och 80 mg vid vecka 2 för patienter >40 kg och 80 mg och 40 mg vid respektive tillfälle för patienter <40 kg.
Vid vecka 4 randomiserades patienterna 1:1 baserat på sin kroppsvikt vid denna tidpunkt till underhållsbehandling, antingen i lågdos eller standarddos, som visas i tabell 20.
Effektresultat
Den primära endpointen av studien var klinisk remission vid vecka 26, definierad som PCDAI score ≤ 10.
Klinisk remission och kliniskt svar (definierad som en sänkning i PCDAI score med minst 15 punkter från baslinjen) presenteras i tabell 21. Diskontinuering av kortikosteroider eller immunomodulatorer presenteras i tabell 22.
Statistiskt signifikanta ökningar (förbättringar) från baslinje till vecka 26 och 52 i BMI och längdtillväxt observerades för båda behandlingsgrupperna.
Statistiskt och kliniskt signifikanta ökningar (förbättringar) från baslinje observerades hos båda behandlingsgrupperna för livskvalitet-parametrarna (inklusive IMPACT III).
Ett hundra patienter (n=100) från den pediatriska CD-studien fortsatte in i en oblindad långtids-förlängningsstudie. Efter 5 år med adalimumabterapi var 74% (37/50) av de kvarvarande 50 patienterna i studien fortfarande i klinisk remission, och 92% (46/50) av patienterna visade fortfarande på kliniskt svar enligt PCDAI.
Pediatriska patienter med uveit
Humiras säkerhet och effekt utvärderades i en randomiserad, dubbelmaskerad, kontrollerad studie med 90 pediatriska patienter från 2 till < 18 års ålder med aktiv JIA-associerad icke-infektiös främre uveit och som inte svarat på minst 12 veckors behandling med metotrexat. Patienterna fick antingen placebo eller 20 mg adalimumab (vid < 30 kg) eller 40 mg adalimumab (vid ≥ 30 kg) varannan vecka i kombination med deras baslinjedos av metotrexat.
Den primära endpointen var ”tid till behandlingssvikt”. Kriterierna för behandlingssvikt var försämring eller fortsatt oförbättrad okulär inflammation, delvis förbättring med utveckling av bibehållen okulär komorbiditet eller försämring av okulär komorbiditet, ej tillåten användning av samtidig medicinering och behandlingsuppehåll under en längre period.
Kliniskt svar
Adalimumab fördröjde signifikant tiden till behandlingssvikt i jämförelse med placebo (se figur 1, P < 0,0001 från log rank test). Mediantiden till behandlingssvikt var 24,1 veckor för patienter som behandlades med placebo, medan mediantiden till behandlingssvikt för patienter som behandlades med adalimumab inte gick att fastställa eftersom mindre än hälften av dessa patienter upplevde behandlingssvikt. Adalimumab minskade signifikant risken för behandlingssvikt med 75 % jämfört med placebo, vilket framgår av hazardkvoten (HR = 0,25 [95 % CI: 0,12; 0,49]).
Figur 2: Kaplan-Meier-kurvor som summerar tid till behandlingssvikt i studien på pediatrisk uveit
Absorption och distribution
Efter administrering av 24 mg/m2 (maximalt 40 mg) adalimumab subkutant varannan vecka utan samtidig behandling med metotrexat, hos patienter med polyartikulär juvenil idiopatisk artrit (JIA) som var 4-17 år, var medelvärdet för dalkoncentrationen av adalimumab i serum vid steady-state 5,6 ± 5,6 µg/ml (102 % CV) (värden uppmättes från vecka 20 till 48). Vid samtidig behandling med metotrexat var medelvärdet 10,9 ± 5,2 µg/ml (47,7% CV).
Hos patienter med polyartikulär JIA som var 2 till <4 år eller 4 år och äldre och som vägde <15 kg doserade med adalimumab 24 mg/m2, var medelvärdet för dalkoncentrationerna av adalimumab i serum vid steady-state 6,0 ± 6,1 µg/ml (101% CV) utan samtidig behandling med metotrexat och 7,9 ± 5,6 µg/ml (71,2% CV) med samtidig användning av metotrexat.
Efter administrering av 24 mg/m2 (maximalt 40 mg) adalimumab subkutant varannan vecka utan samtidig behandling med metotrexat, hos patienter med entesitrelaterad artrit, 6-17 år, var medelvärdet för dalkoncentrationen av adalimumab i serum vid steady state 8,8 ± 6,6 μg/ml (värden uppmättes vid vecka 24). Vid samtidig behandling med metotrexat var medelvärdet 11,8 ± 4,3 μg/ml.
Efter administrering av 0,8 mg/kg (maximalt 40 mg) subkutant varannan vecka till pediatriska patienter med kronisk plackpsoriasis var medelvärdet ± SD för dalkoncentrationen av adalimumab vid steady state cirka 7,4 ± 5,8 µg/mL (79% CV).
Hos pediatriska patienter med måttlig till svår CD, var den öppna induktionsdosen av adalimumab 160/80 mg respektive 80/40 mg vid vecka 0 och 2, beroende på en kroppsviktsgräns över/under 40 kg. Vid vecka 4 randomiserades patienterna 1:1 baserat på kroppsvikt till underhållsbehandlingsgrupper med antingen standarddos (40/20 mg varannan vecka) eller lågdos (20/10 mg varannan vecka). Medelvärdet (±SD) för dalkoncentrationen av adalimumab i serum som uppnåddes vid vecka 4 var 15,7±6,6 μg/ml för patienter ≥40 kg (160/80 mg) och 10,6±6,1 μg/ml för patienter <40 kg (80/40 mg).
För patienter som stod kvar på sin randomiseringsbehandling var dal-medelvärdet (±SD) för adalimumab vid vecka 52 9,5±5,6 μg/ml för standarddosgruppen och 3,5±2,2 μg/ml för lågdosgruppen. Dalkoncentrationernas medelvärde bibehölls hos patienter som fortsatte med adalimumab-behandling varannan vecka under 52 veckor. För patienter som hade doseskalerat från varannan vecka till varje vecka, var medel serumkoncentrationer (±SD) av adalimumab vid vecka 52; 15,3±11,4 μg/ml (40/20 mg, varje vecka) och 6,7±3,5 μg/ml (20/10 mg, varje vecka).
Adalimumabexponeringen hos pediatriska patienter med uveit predikterades med hjälp av populationsbaserad farmakokinetisk modellering och simulering, baserad på farmakokinetik hos andra pediatriska patienter över flera indikationer (pediatrisk psoriasis, juvenil idiopatisk artrit, pediatrisk Crohns sjukdom och entesitrelaterad artrit). Inga kliniska exponeringsdata finns tillgängliga för användning av en laddningsdos hos barn < 6 år. Den predikterade exponeringen tyder på att utan metotrexat kan en laddningsdos leda till initialt förhöjd systemisk exponering.
Exponerings-responsförhållande hos pediatriska patienter
Baserat på data från kliniska studier hos patienter med JIA (pJIA och ERA), faställdes ett exponerings-responssamband mellan plasmakoncentrationer och PedACR 50 respons. Plasmakoncentrationen av adalimumab som ger halva den maximala sannolikheten för PedACR 50 respons (EC50) var 3 μg/ml (95% CI: 1‑6 μg/ml).
Exponerings-responsförhållanden mellan koncentrationen av adalimumab och effekt hos pediatriska patienter med svår kronisk plackpsoriasis fastställdes för PASI 75 respektive PGA ”utläkt” eller ”minimal”. PASI 75 och PGA ”utläkt” eller ”minimal” ökade med ökande koncentrationer av adalimumab, båda med en liknande EC50 på cirka 4,5 μg/ml (95% CI 0,4-47,6 respektive 1,9-10,5).
Vuxna
Efter subkutan administrering av en singeldos på 40 mg var absorptionen och distributionen av adalimumab långsam och högsta serumkoncentrationen nåddes cirka 5 dagar efter administrering. Den genomsnittliga absoluta biotillgängligheten beräknat från tre studier efter administrering av 40 mg adalimumab av en subkutan singeldos var 64 %. Efter administrering av intravenösa singeldoser i intervallet 0,25 till 10 mg/kg var koncentrationerna dosproportionella. Efter doser på 0,5 mg/kg (~ 40 mg) varierade clearence från 11 till 15 ml/timme, distributionsvolymen (Vss) varierade mellan 5 till 6 liter och medelvärdet för terminal halveringstid var cirka 2 veckor. Koncentrationen av adalimumab i synovialvätska från ett flertal patienter med reumatoid artrit varierade mellan 31-96 % av koncentrationen i serum.
Efter subkutan administrering av 40 mg adalimumab varannan vecka hos vuxna reumatoid artrit (RA) patienter var medelvärdet för de lägsta steady-state medelkoncentrationerna ca 5 μg/ml (utan samtidig metotrexat) och 8 till 9 μg/ml (med samtidig metotrexat). Dalvärdena för adalimumab i serum vid steady-state ökade grovt räknat proportionellt med dosen efter subkutan tillförsel av 20, 40 och 80 mg varannan vecka och varje vecka.
Hos vuxna patienter med psoriasis var medelvärdet för dalkoncentrationen vid steady state 5 µg/ml vid behandling med adalimumab 40 mg varannan vecka som monoterapi.
Hos patienter med Crohns sjukdom ger laddningsdosen 80 mg Humira vecka 0 följt av 40 mg Humira vecka 2 en lägsta serumkoncentration av adalimumab på ca 5,5 μg/ml under induktionsperioden. En laddningsdos på 160 mg Humira vecka 0 följt av 80 mg Humira vecka 2 ger en lägsta serumkoncentration av adalimumab på ca 12 μg/ml under induktionsperioden. Medelvärdet för de lägsta steady-state nivåerna på ca 7 μg/ml observerades hos patienter med Crohns sjukdom som fick en underhållsdos på 40 mg Humira varannan vecka.
Hos vuxna patienter med uveit resulterade en laddningsdos på 80 mg adalimumab vecka 0 följt av 40 mg adalimumab varannan vecka från vecka 1 i ett medelvärde av steady-state-koncentrationer på ca 8 till 10 μg/ml.
Populationsbaserad farmakokinetisk och farmakokinetisk/farmakodynamisk modellering och simulering predikterade jämförbar exponering och effekt av adalimumab hos patienter som behandlades med 80 mg varannan vecka jämfört med 40 mg varje vecka (inklusive vuxna patienter med RA, HS, UC, CD eller Ps, ungdomar med HS och pediatriska patienter ≥ 40 kg med CD.
Eliminering
Populationsbaserade farmakokinetiska analyser med data från mer än 1300 RA patienter visade en tendens till högre synbar clearence med ökande kroppsvikt. Efter justering för viktskillnader, verkade skillnader i kön och ålder ha minimal effekt på adalimumabs clearence. Serumnivåerna av fritt adalimumab (inte bundet till anti-adalimumab antikroppar, AAA) observerades vara lägre hos patienter med mätbara AAA.
Nedsatt njur- eller leverfunktion
Humira har inte studerats hos denna patientpopulation.
Gängse studier avseende toxicitet efter en singeldos och efter upprepad dosering, samt gentoxicitet visade inte några särskilda risker för människa.
En embryo-fetal utvecklingstoxicitets-/perinatal utvecklingsstudie har utförts på cynomolgusapor med doser på 0, 30 och 100 mg/kg (9-17 apor/grupp) och inga tecken på fosterskador beroende av adalimumab, kunde påvisas. Varken carcinogenicitetsstudier eller standardbedömning av fertilitet och postnatal toxicitet har genomförts med adalimumab, på grund av att lämpliga modeller saknas för en antikropp med begränsad korsreaktivitet med gnagar-TNF och bildandet av neutraliserande antikroppar i gnagare.
Farmakoterapeutisk grupp: Immunsuppressiva medel, TNF-α-hämmare. ATC kod: L04AB04
Verkningsmekanism
Adalimumab binder specifikt till TNF och neutraliserar TNF:s biologiska funktion genom att blockera dess interaktion med TNF-receptorerna p55 och p75 på cellmembranen.
Adalimumab modulerar också det biologiska svar som induceras eller regleras genom TNF, inklusive förändringarna i nivåerna av adhesionsmolekyler ansvariga för leukocytmigration (ELAM-1, VCAM-1 och ICAM-1 med en IC50 på 0,1-0,2 nM).
Farmakodynamisk effekt
Efter behandling med Humira observerar man hos patienter med reumatoid artrit en snabb sänkning i nivåerna av akutfasreaktanter för inflammation (CRP, SR och serumcytokiner (IL-6)) jämfört med utgångsvärdet. Serumnivåerna av matrix metalloproteinaser (MMP-1 och MMP-3) som initierar de processer som ligger bakom broskdestruktionen sjunker också efter administration av Humira. Patienter som behandlas med Humira erfar oftast en förbättring i hematologiska tecken på kronisk inflammation.
En snabb sänkning av CRP-nivåer observerades även hos patienter med polyartikulär juvenil idiopatiskartrit, Crohns sjukdom, ulcerös kolit och hidradenitis suppurativa efter behandling med Humira. Hos patienter med Crohns sjukdom ses ett minskat antal celler som uttrycker inflammatoriska markörer i tjocktarmen inklusive en signifikant sänkning i uttrycket av TNFα. Endoskopistudier av tarmmukosa har visat på läkning hos adalimumab-behandlade patienter.
Klinisk effekt och säkerhet
Vuxna med reumatoid artrit
Humira har utvärderats i mer än 3000 patienter i alla kliniska reumatoid artrit-studier. Effekten och säkerheten av Humira vid behandling av reumatoid artrit undersöktes i fem randomiserade, dubbelblinda och välkontrollerade studier. Några patienter behandlades i upp till 120 månader.
RA-studie I involverade 271 patienter som var ≥18 år gamla med måttlig- till högaktiv reumatoid artrit, som inte hade svarat på minst ett sjukdomsmodifierande anti-reumatiskt läkemedel och hade otillräcklig effekt av metotrexat i doser mellan 12,5-25 mg (10 mg om patienten var metotrexatintolerant) en gång i veckan och vilkas metotrexatdosering var oförändrad på 10-25 mg i veckan. Humira eller placebo gavs i doserna 20, 40 eller 80 mg varannan vecka i 24 veckor.
RA-studie II utvärderade 544 patienter som var ≥18 år gamla med måttlig- till högaktiv reumatoid artrit och inte hade svarat på minst ett sjukdomsmodifierande, anti-reumatiska läkemedel. Humira i doserna 20 eller 40 mg injicerades subkutant varannan vecka med placebo alternerande veckor eller varje vecka i 26 veckor; placebo gavs varje vecka under samma tidsperiod. Inga andra sjukdomsmodifierande antireumatiska läkemedel var tillåtna.
RA-studie III utvärderade 619 patienter som var ≥18 år gamla med måttlig- till högaktiv reumatoid artrit, och som hade ett otillräckligt svar på metotrexat vid doser 12,5-25 mg, eller som har varit intoleranta mot 10 mg metotrexat varje vecka. Det fanns tre grupper i denna studie. Den första fick placebo injektioner varje vecka i 52 veckor. Den andra fick 20 mg Humira varje vecka i 52 veckor. Den tredje gruppen fick 40 mg Humira varannan vecka med placebo alternerande veckor. Vid avslut av de första 52 veckorna, togs 457 patienter in i en öppen förlängningsfas i vilken 40 mg Humira/MTX administrerades varannan vecka i upp till 10 år.
RA-studie IV bedömde huvudsakligen säkerheten hos 636 patienter som var ≥18 år gamla med måttlig- till högaktiv reumatoid artrit. Patienterna tilläts antingen vara DMARD -naiva eller stå kvar på sin pågående reumatologiska behandling, förutsatt att denna var stabil sedan minst 28 dagar. Dessa terapier inkluderade metotrexat, leflunomid, hydroxiklorokin, sulfasalazin och/eller guldsalter. Patienterna randomiserades till 40 mg Humira eller placebo varannan vecka i 24 veckor.
RA-studie V utvärderade 799 metotrexat-naiva, vuxna patienter med måttlig till högaktiv tidig reumatoid artrit (genomsnittlig sjukdomsperiod mindre än 9 månader). Denna studie utvärderade effekten av behandling med Humira 40 mg varannan vecka kombinerat med metotrexat, Humira 40 mg varannan vecka som monoterapi, respektive metotrexat som monoterapi, under 104 veckor för att reducera tecken och symtom på reumatoid artrit samt utvecklingstakten av ledskada.
Efter avslut av de första 104 veckorna antogs 497 patienter till en öppen förlängningsstudie där 40 mg Humira administrerades varannan vecka i upp till 10 år.
Den primära endpointen i RA-studierna I, II och III och den sekundära endpointen i RA-studien IV uttrycks som procentandelen patienter som nådde ett ACR 20-svar vid vecka 24 eller 26. Den primära endpointen i RA-studie V var procentandelen patienter som nådde ett ACR 50-svar vid vecka 52. RA-studie III och V hade en ytterligare primär endpoint vid 52 veckor avseende fördröjning av sjukdomsprogression (som visas med röntgenresultat). RA-studie III hade även en primär endpoint avseende förändringar i livskvalitet.
ACR-svar
Andelen av de Humirabehandlade patienterna som uppnådde ACR 20, 50 och 70 effekt var likartad i RA-studierna I, II och III. Resultaten från 40 mg varannan vecka-doseringen är summerade i tabell 7.
I RA-studierna I-IV förbättrades alla de individuella komponenterna i ACR effekt kriterierna jämfört med placebo (antal svullna och ömma leder, läkares och patients bedömning av sjukdomsaktivitet och smärta, invaliditets index (HAQ) och CRP (mg/dl) värden) vid vecka 24 eller 26. I RA-studie III kvarstod dessa förbättringar under alla 52 veckor.
I en öppen förlängningsstudie för RA studie III, upprätthöll de flesta patienter som var ACR-responders detta svar då de följdes upp efter upp till 10 år. Av 207 patienter som randomiserades till Humira 40 mg varannan vecka så fortsatte 114 patienter med Humira 40 mg varannan vecka under 5 år. Bland dessa hade 86 patienter (75,4%) ett ACR 20 svar; 72 patienter (63,2%) hade ACR 50 svar och 41 patienter (36%) hade ett ACR 70 svar. Av 207 patienter så fortsatte 81 patienter med Humira 40 mg varannan vecka under 10 år. Av dessa så hade 64 patienter (79,0%) ett ACR 20 svar; 56 patienter (69,1%) ACR 50 svar och 43 patienter (53,1%) ett ACR 70 svar.
I RA-studie IV, var ACR 20 svaret hos patienter behandlade med Humira plus standardbehandling statistiskt signifikant bättre än hos patienter som behandlades med placebo plus standardbehandling (p<0,001).
I RA-studierna I-IV uppnådde de Humirabehandlade patienterna statistiskt signifikant högre ACR 20 och 50 svar jämfört med placebo så tidigt som en till två veckor efter initieringen av behandlingen.
I RA-studie V ledde kombinationsbehandling med Humira och metotrexat, till patienter med tidig reumatoid artrit som var metotrexat-naiva, till snabbare och signifikant högre ACR-svar än metotrexat eller Humira i monoterapi vid vecka 52 och svaren kvarstod vid vecka 104 (se tabell 8).
I den öppna förlängningsstudien för RA-studie V bibehölls ACR-svaren vid uppföljning i upp till 10 år. Av 542 patienter som randomiserades till Humira 40 mg varannan vecka, så fortsatte 170 patienter med Humira 40 mg varannan vecka i 10 år. Av dessa hade 154 patienter (90,6 %) ACR 20-svar; 127 patienter (74,7%) ACR 50-svar; och 102 patienter (60,0%) ACR 70-svar.
Vid vecka 52 hade 42,9% av patienterna som fick kombinationsbehandling med Humira/metotrexat uppnått klinisk remission (DAS28 (CRP) < 2,6) jämfört med 20,6% av patienterna som fick monoterapi med metotrexat och 23,4% av patienterna som fick monoterapi med Humira. Kombinationsbehandlingen med Humira/metotrexat var kliniskt och statistiskt överlägsen behandlingen med metotrexat (p<0,001) och Humira (p<0,001) i monoterapi vad gäller att uppnå en låg sjukdomsgrad hos patienter som nyligen fått diagnosen måttlig till svår reumatoid artrit. Behandlingseffekten för de två monoterapiarmarna var likvärdig (p=0,447). Av 342 patienter som ursprungligen randomiserats till monoterapi med Humira eller en kombination av Humira/metrotrexat och som gick in i den öppna förlängningsstudien genomgick 171 patienter 10 års behandling med Humira. Bland dessa patienter rapporterades bibehållen klinisk remission vid 10 år hos 109 (63,7%).
Radiografisk behandlingseffekt
I RA-studie III, där de Humira-behandlade patienterna hade en medelduration av reumatoid artrit på ungefär 11 år, mättes strukturell ledförstörelse radiografiskt och uttrycktes som förändring i totalt "Sharp Score" (TSS) och dess komponenter, erosions-"score" och broskhöjdsminsknings-"score". Humira/metotrexat-patienter uppvisade signifikant mindre radiografisk progression vid 6 och 12 månader (se tabell 9) än patienter som enbart fick metotrexat.
I den öppna förlängningen av RA-studie III, upprätthålls minskningen i progressionhastigheten av strukturell förstörelse under 8-10 år i en subgrupp av patienterna. Vid 8 år så hade 81 av 207 patienter som från början behandlades med 40 mg Humira varannan vecka utvärderats radiografiskt. Av dessa visade 48 patienter ingen progression av strukturell skada som definierades av en förändring från baslinje i mTSS av 0,5 eller mindre. Vid 10 år så utvärderades 79 av 207 patienter som ursprungligen behandlades med 40 mg Humira varannan vecka, radiografiskt. Bland dessa visade 40 patienter ingen progression av strukturell skada som definierades av en förändring från baslinje i mTSS av 0,5 eller mindre.
I RA-studie V bedömdes den strukturella ledskadan radiografiskt och uttrycktes som förändring i modifierad Total Sharp Score (se tabell 10).
Efter 52 och 104 veckors behandling var procentandelen patienter utan progress (förändring från baslinjen i modifierad Total Sharp Score <0,5) signifikant högre för kombinationsbehandling med Humira/metotrexat (63,8% respektive 61,2%) jämfört med metotrexat i monoterapi (37,4% respektive 33,5%, p<0,001) och Humira i monoterapi (50,7%, <0,002 respektive 44,5%, p<0,001).
I den öppna förlängningsstudien för RA-studie V var den genomsnittliga ändringen från baslinjen vid år 10 i modifierad Total Sharp Score 10,8, 9,2 och 3,9 hos patienter som ursprungligen hade randomiserats till respektive metotrexat i monoterapi, Humira i monoterapi och Humira/metotrexat kombinationsterapi. Den korresponderande andelen patienter utan radiografisk progression var 31,3%, 23,7% och 36,7%, i respektive studiearm.
Livskvalitet och fysisk funktion
Hälsorelaterad livskvalitet och fysisk funktion bedömdes med hjälp av invaliditetsindexet Health Assessment Questionnaire (HAQ) i de fyra ursprungliga, adekvata och välkontrollerade studierna och användes dessutom som primär effektparameter vid vecka 52 i RA-studie III. Alla de använda doser/doseringsscheman för Humira, som användes i alla fyra studier, ledde till en statistiskt signifikant större förbättring av ingångsvärdena av invaliditetsindexet HAQ efter 6 månader jämfört med placebo och i RA-studie III observerades samma efter 52 veckor. Resultat från Short Form Health Survey (SF 36) med alla doser/doseringsscheman av Humira i alla fyra studier stödjer dessa observationer med en statistiskt signifikant förbättring av scoren för fysisk förmåga (PCS), och i tillägg en signifikant förbättring av domänerna smärta och vitalitet vid dosen 40 mg varannan vecka. I de tre studierna där detta bedömdes (RA-studier I, III, IV) fann man en statistiskt signifikant sänkning av utmattning mätt med hjälp av FACIT scores (Functional Assessment of Chronic Illness Therapy).
I RA-studie III, hos de flesta patienter som uppnådde förbättring i fysisk funktion och fortsatte med behandling, kvarstod förbättringen vid vecka 520 (120 månader) av öppen behandling. Ökad livskvalitet uppmättes fram till vecka 156 (36 månader) och förbättringen bibehölls under hela den tiden.
I RA-studie V var förbättringen i invaliditetsindex (HAQ) och den fysiska komponenten av SF 36 större (p<0,001) för kombinationsbehandling med Humira/metotrexat jämfört med metotrexat eller Humira i monoterapi vid vecka 52. Detta resultat kvarstod vid vecka 104. Hos de 250 patienter som fullföljde den öppna förlängningsstudien, bibehölls förbättringar av den fysiska funktionen under 10 års behandling.
Vuxna patienter med plackpsoriasis
Humiras säkerhet och effekt studerades hos vuxna patienter med kronisk plackpsoriasis (≥ 10% BSA = Body Surface Area engagemang och PASI ≥ 12 eller ≥ 10) som var aktuella för systembehandling eller ljusbehandling i randomiserade, dubbelblinda studier. Av de patienter som påbörjade Psoriasis studie I och II hade 73% tidigare fått systembehandling eller ljusbehandling. Humiras säkerhet och effekt studerades även hos vuxna patienter med måttlig till svår kronisk plackpsoriasis med samtidig hand- eller fotpsoriasis som var aktuella för systemisk behandling i en randomiserad dubbelblind studie (Psoriasis studie III).
Psoriasis studie I (REVEAL) utvärderade 1212 patienter inom tre behandlingsperioder. I period A, fick patienter placebo eller Humira med en startdos av 80 mg följt av 40 mg varannan vecka som påbörjades en vecka efter startdosen. Efter 16 veckors behandling fick de patienter som uppnådde minst PASI 75 (förbättring av PASI med minst 75% jämfört med baslinje/utgångsvärdet), gå in i period B och fick ”öppen label/behandling” med 40 mg Humira varannan vecka. Patienter som bibehöll ≥PASI 75 vid vecka 33 och som ursprungligen randomiserades till aktiv behandling i Period A, rerandomiserades i period C till 40 mg Humira varannan vecka eller placebo i ytterligare 19 veckor. För alla behandlingsgrupper var medelvärdet på baslinjen PASI 18,9 och värdet på baslinjen för PGA varierade från “måttlig” (53% av de inkluderade patienterna) till “svår” (41%) till “mycket svår” (6%).
Psoriasis studie II (CHAMPION) jämförde säkerhet och effekt av Humira jämfört med metotrexat (MTX) och placebo hos 271 patienter. Patienter fick placebo eller en startdos av MTX 7,5 mg följt av dosökningar fram till vecka 12, upp till en maxdos på 25 mg eller en startdos på 80 mg Humira följt av 40 mg varannan vecka (påbörjas en vecka efter startdosen) i 16 veckor. Det finns inga data som jämför Humira och MTX efter 16 veckors behandling. Patienter som får MTX och som uppnådde ett ≥PASI 50 svar vid vecka 8 och/eller 12 fick inga ytterligare doshöjningar. För alla behandlingsgrupper var medelvärdet på baslinjen PASI 19,7 och värdet på baslinjen Physician’s Global Assessment (PGA) varierade från “mild” (<1%) till “måttlig” (48%) till “svår” (46%) till “mycket svår” (6%).
Patienter som deltog i alla fas II och fas III psoriasisstudier kunde enrollera till en öppen förlängningsstudie, där Humira gavs i minst ytterligare 108 veckor.
I Psoriasis studie I och II var en primär endpoint andelen patienter som uppnådde ett PASI 75 svar från baslinje vid vecka 16 (se tabell 11 och 12).
I psoriasis studie I, upplevde 28% av patienterna som hade PASI 75 och som randomiserades om till placebo vecka 33 ”förlust av adekvat svar” jämfört med 5% som fortsatte med Humira, p<0,001, (PASI poäng efter vecka 33 och framåt eller före vecka 52 som resulterade i ett <PASI 50 jämfört med baslinjen med minst 6 poängs ökning i PASI jämfört med vecka 33). Av de patienter som inte längre svarade efter re-randomisering till placebo och som sedan påbörjade en öppen förlängningsstudie, återfick 38% (25/66) och 55% (36/66) PASI 75 efter 12 respektive 24 veckor efter återinsatt behandling.
Totalt 223 patienter som hade ett PASI 75-svar vid vecka 16 och vecka 33 fick kontinuerlig Humirabehandling i 52 veckor i Psoriasis studie I och fortsatte med Humira i den öppna förlängningsstudien. Terapisvar med PASI 75 och PGA med värdena ”utläkt” eller ”minimal”, hos dessa patienter var 74,7% respektive 59,0% efter ytterligare 108 veckor av öppen behandling (totalt 160 veckor). I en analys där alla patienter som lämnade studien på grund av biverkningar eller brist på effekt, eller som dos-ökade, räknades som non-responders, var PASI 75-svar och PGA-värde ”utläkt” eller ”minimal” hos dessa patienter 69,6% respektive 55,7% efter ytterligare 108 veckor av öppen behandling (totalt 160 veckor).
Totalt 347 stabila responders deltog i en utsättnings- och återbehandlingsutvärdering i en öppen förlängningsstudie. Under utsättningssperioden kom symtom på psoriasis succesivt tillbaka med en mediantid till återfall (försämring till PGA-värde "måttlig" eller ”sämre”) på ungefär 5 månader. Ingen av dessa patienter upplevde rebound under utsättningsperioden. Totalt 76,5% (218/285) av patienterna som gick in i återbehandlingsperioden hade ett PGA-värde på "utläkt" eller "minimal" efter 16 veckors återbehandling, oavsett om de hade haft återfall under behandlingsuppehållet eller ej (69,1%[123/178] och 88,8% [95/107] för patienter som fick återfall respektive de som inte fick återfall under utsättningsperioden.)
Biverkningsprofilen under återbehandling liknade den som sågs innan utsättandet.
Signifikant förbättring vid vecka 16 från baslinje jämfört med placebo (studie I och II) och MTX (studie II) visades med DLQI (Dermatology Life Quality Index). I studie I var den sammanräknade förbättringen av den fysiska och mentala komponenten av SF-36 också signifikant jämfört med placebo.
I en öppen förlängningsstudie för patienter som ökade dosen från 40 mg varannan vecka till 40 mg varje vecka, beroende på ett PASI svar under 50%, uppnådde 26,4% (92/349) och 37,8% (132/349) av patienterna PASI 75 respons vid vecka 12 respektive vecka 24.
Psoriasis studie III (REACH) jämförde Humiras säkerhet och effekt med placebo hos 72 patienter med måttlig till svår kronisk plackpsoriasis och hand- och/eller fotpsoriasis. Patienterna fick placebo eller en startdos av Humira på 80 mg följt av 40 mg varannan vecka som påbörjades en vecka efter startdosen, i 16 veckor. Vid vecka 16 hade en större, statistiskt signifikant, grupp av patienter som fått Humira nått ett PGA-värde på ”utläkt” eller ”nästan utläkt” för händer och/eller fötter jämfört med patienter som fått placebo (30,6% vs 4,3%, respektive [P=0,014]).
Psoriasis studie IV jämförde effekt och säkerhet av Humira jämfört med placebo hos 217 vuxna patienter med måttlig till svår nagelpsoriasis. Patienterna fick en startdos av 80 mg Humira följt av 40 mg varannan vecka (med start en vecka efter startdosen) eller placebo under 26 veckor följt av en öppen förlängningsstudie med Humira-behandling i ytterligare 26 veckor. För bedömning av graden av nagelpsoriasis användes Modified Nail Psoriasis Severity Index (mNAPSI), Physician’s Global Assessment of Fingernail Psoriasis (PGA-F) och Nail Psoriasis Severity Index (NAPSI) (se tabell 13). Humira visade på en fördelaktig behandlingseffekt hos patienter med nagelpsoriasis med olika grad av hudinvolvering (BSA ≥10% (60% av patienterna) och BSA <10% och ≥5% (40% av patienterna)).
Tabell 13
Ps studie IV Effektresultat vid 16, 26 och 52 veckor
Humira-behandlade patienter visade statistiskt signifikant förbättring i DLQI vid vecka 26 jämfört med placebo.
Crohns sjukdom hos vuxna
Säkerhet och effekt av Humira utvärderades hos över 1500 patienter med måttlig till svår aktiv Crohns sjukdom (Crohns sjukdom aktivitets index (CDAI) ≥220 och ≤450) i randomiserade, dubbelblinda, placebo-kontrollerade studier. Samtidig behandling med stabila doser av aminosalicylater, kortikosteroider och/eller immunomodulerande medel tilläts och 80% av patienterna fortsatte med minst ett utav dessa läkemedel.
Induktion av klinisk remission (definierad som CDAI < 150) utvärderades i två studier, CD-studie I (CLASSIC I) och CD-studie II (GAIN). I CD studie I randomiserades 299 TNF-antagonist naiva patienter till en av fyra behandlingsgrupper; placebo vid vecka 0 och 2, 160 mg Humira vid vecka 0 och 80 mg vid vecka 2, 80 mg vid vecka 0 och 40 mg vid vecka 2 och 40 mg vid vecka 0 och 20 mg vid vecka 2. I CD studie II, randomiserades 325 patienter som inte längre svarade eller som var intoleranta mot infliximab till att få antingen 160 mg Humira vid vecka 0 och 80 mg vid vecka 2 eller placebo vid veckorna 0 och 2. De som primärt var non-responders exkluderades från studierna och därför utvärderades inte dessa patienter mer.
Bibehållande av klinisk remission utvärderades i CD studie III (CHARM). I CD studie III, fick 854 patienter öppen behandling med 80 mg vid vecka 0 och 40 mg vid vecka 2. Vid vecka 4 randomiserades patienterna till 40 mg varannan vecka, 40 mg varje vecka eller placebo med en total studielängd på 56 veckor. Patienter med klinisk respons (sänkning i CDAI ≥70) vid vecka 4 stratifierades och analyserades separat från de som inte hade svarat kliniskt vecka 4. Dosreduktion av kortikosteroider tilläts efter vecka 8.
CD studie I och CD studie II induktion av remission och behandlingssvar visas i tabell 14.
Liknande remissionsnivåer observerades för 160/80 mg och 80/40 mg induktionsbehandlingar vid vecka 8 och biverkningar sågs mer frekvent hos 160/80 mg gruppen.
Vid vecka 4 i CD studie III, hade 58% (499/854) av patienterna svarat kliniskt och utvärderades i den primära analysen. Av de som svarade kliniskt vid vecka 4 hade 48% tidigare exponerats för annan TNF-antagonist. Upprätthållande av remission och svarsfrekvenser visas i tabell 15. Kliniska remissionsresultat kvarstod relativt konstant oberoende av tidigare TNF-antagonistexponering.
Sjukdomsrelaterade sjukhusinläggningar och operationer minskade signifikant med adalimumab jämfört med placebo vid vecka 56.
Av de patienter som inte hade svarat vid vecka 4, hade 43% av patienterna som fick underhållsbehandling med Humira svarat vid vecka 12 jämfört med 30% av placebo-behandlade patienter. Dessa resultat visar att vissa patienter som inte har svarat vid vecka 4 har nytta av fortsatt underhållsbehandling till och med vecka 12. Behandling som fortsatte efter vecka 12 resulterade inte i signifikant fler svar (se avsnitt 4.2).
117/276 patienter från CD studie I och 272/777 patienter från CD studie II och III följdes under minst 3 år av öppen adalimumab-behandling. 88 respektive 189 patienter fortsatte att vara i klinisk remission. Kliniskt svar (CR-100) bibehölls hos 102 respektive 233 patienter.
Livskvalitet
I CD-studie I och II, uppnåddes statistiskt signifikant förbättring i totalpoäng i det sjukdomsspecifika frågeformuläret för inflammatoriska tarmsjukdomar (IBDQ) vid vecka 4 hos patienter som randomiserats till Humira 80/40 mg och 160/80 mg jämfört med placebo och sågs vid vecka 26 och 56 i CD-studie III liksom i de adalimumab-behandlade grupperna jämfört med placebogruppen.
Uveit hos vuxna
Humiras säkerhet och effekt utvärderades hos vuxna patienter med icke-infektiös intermediär, bakre och panuveit, där patienter med isolerad främre uveit var exkluderade, i två randomiserade, dubbelmaskerade placebokontrollerade studier (UV I och II). Patienter fick placebo eller Humira med en startdos på 80 mg följt av 40 mg varannan vecka med början en vecka efter startdosen. Samtidig behandling med ett icke-biologiskt immunosuppressivt läkemedel i stabila doser var tillåtet.
Studie UV I utvärderade 217 patienter med aktiv uveit trots behandling med kortikosteroider (prednison oralt vid doser på 10 till 60 mg/dag). Alla patienter fick en standardiserad 2-veckorsdos av prednison på 60 mg/dag vid studiestart följt av ett obligatoriskt nedtrappningsschema, med helt avbruten kortikosteroidbehandling vid vecka 15.
Studie UV II utvärderade 226 patienter med inaktiv uveit med behov av kronisk kortikosteroidbehandling (prednison oralt 10 till 35 mg/dag) vid baslinjen för att kontrollera deras sjukdom. Patienterna genomgick därefter ett obligatoriskt nedtrappningsschema, med helt avbruten kortikosteroidbehandling vid vecka 19.
Den primära endpointen för effekt i båda studierna var ”tid till behandlingssvikt”. Behandlingssvikt definierades genom ett multikomponent utfall baserat på inflammatoriska korioretinala och/eller inflammatoriska retinala vaskulära lesioner, gradering av inflammerade celler i främre kammaren (anterior chamber (AC) cell grade), gradering av grumlingar i glaskroppen (vitreous haze (VH) grade) och bäst korrigerad synskärpa (best corrected visual acuity (BCVA)).
Patienter som avslutade studie UV I och UV II fick fortsätta i en icke-kontrollerad förlängningsstudie med en planerad längd på 78 veckor. Patienter tilläts fortsätta med studieläkemedlet efter vecka 78 tills de hade tillgång till Humira.
Klinisk respons
Resultaten från båda studierna demonstrerade en statistiskt signifikant minskning av risken för behandlingssvikt hos patienter som behandlats med Humira jämfört med patienter som fått placebo (se tabell 16). Båda studierna demonstrerade en tidig och bibehållen effekt av Humira med avseende på frekvens av behandlingssvikt jämfört med placebo (se figur 1).
Tabell 16 Tid till behandlingssvikt i studierna UV I och UV II
OBS: Behandlingssvikt vid eller efter vecka 6 (studie UV I), eller vid eller efter vecka 2 (studie UV II) räknades som en incident. Bortfall på grund av andra skäl än behandlingssvikt censurerades vid tidpunkten då bortfallet skedde.
a HR för adalimumab jämfört med placebo från proportionella hazard-regressioner med behandling som faktor.
b Dubbelsidigt P-värde från log rank test.
c NE = ej möjligt att utvärdera. Färre än hälften av patienterna i riskzonen var med om en incident.
Figur 1. Kaplan-Meier-kurvor som summerar tid till behandlingssvikt vid eller efter vecka 6 (studie UV I) eller vecka 2 (studie UV II)
OBS: P# = Placebo (Antal incidenter/Antal i riskzonen); A# = HUMIRA (Antal incidenter/Antal i riskzonen)
I studie UV I observerades statistisk signifikant skillnad till adalimumabs fördel jämfört med placebo för varje komponent av behandlingssvikt. I studie UV II visades statistiskt signifikanta skillnader enbart för synskärpa, men de andra komponenterna var numeriskt till fördel för adalimumab.
Av de 424 patienter som inkluderades i den icke-kontrollerade förlängningsstudien av studierna UV I och UV II, bedömdes 60 patienter som olämpliga (t.ex. på grund av avvikelser eller på grund av sekundära komplikationer till diabetesretinopati, på grund av kataraktkirurgi eller vitrektomi) och exkluderades från den primära effektanalysen. Av de 364 resterande patienterna, nådde 269 utvärderbara patienter (74%) 78 veckors öppen adalimumab-behandling. Baserat på observerade data, hade 216 (80,3%) patienter en lågaktiv sjukdomsperiod (inga aktiva inflammatoriska lesioner, AC-cellgrad ≤0,5+, VH grad ≤0,5+) med en samtidig steroiddos på ≤7,5 mg per dag och 178 (66,2%) patienter hade en period med steroidfri lågaktiv sjukdom. BCVA förbättrades eller upprätthölls (< 5 bokstävers försämring) i 88,6% av ögonen vid vecka 78. Data efter vecka 78 överensstämde generellt med dessa resultat men antalet deltagande patienter sjönk efter denna tidpunkt. Sammantaget, av de patienter som avbröt studien, var 18% på grund av biverkningar och 8% på grund av otillräckligt svar på adalimumab-behandlingen.
Livskvalitet
Patientrapporterade utfall med avseende på synrelaterade funktioner mättes i båda kliniska studierna, med hjälp av NEI VFQ-25. Humira hade numerisk fördel för majoriteten av subscores med statistiskt signifikanta genomsnittliga skillnader för generell syn, okulär smärta, närsynthet, psykisk hälsa och totala scoren i studie UV I samt för generell syn och psykisk hälsa i studie UV II. Synrelaterade effekter var inte numeriskt till fördel för Humira gällande färgseende i studie UV I och färgseende, perifert seende och närsynthet i studie UV II.
Immunogenicitet
Bildning av anti-adalimumab antikroppar är sammankopplad med ökad clearance och minskad effekt av adalimumab. Det finns ingen tydlig korrelation mellan anti-adalimumab antikroppar och förekomsten av biverkningar.
Hos patienter med polyartikulär juvenil idiopatisk artrit som var 4-17 år, identifierades anti-adalimumab antikroppar hos 15,8% (27/171) av patienter som behandlades med adalimumab. Hos patienter som inte samtidigt fick metotrexat, var incidensen 25,6% (22/86) jämfört med 5,9% (5/85) då adalimumab gavs som tillägg till metotrexat. Hos patienter med polyartikulär juvenil idiopatisk artrit som var 2 till <4 år eller 4 år och äldre med en kroppsvikt <15 kg, identifierades anti-adalimumab antikroppar hos 7% (1/15) av patienterna och den patienten fick samtidig metotrexat-behandling.
Hos patienter med entesitrelaterad artrit, identifierades anti-adalimumab antikroppar hos 10,9% (5/46) av patienterna som behandlades med adalimumab. Hos patienter som inte samtidigt fick metotrexat, var incidensen 13,6% (3/22), jämfört med 8,3% (2/24) då adalimumab gavs som tillägg till metotrexat.
Patienter i reumatoid artrit-studie I, II och III testades vid ett flertal tidpunkter för anti-adalimumab antikroppar under perioden 6 till 12 månader. I de pivotala studierna identifierades anti-adalimumab antikroppar hos 5,5% (58/1053) av adalimumab-behandlade patienter i jämförelse med 0,5% (2/370) för placebo. Hos patienter som inte samtidigt gavs metotrexat var incidensen 12,4% i jämförelse med 0,6% då adalimumab användes som tillägg till metotrexat.
Hos pediatriska patienter med psoriasis identifierades anti-adalimumab antikroppar hos 5/38 patienter (13%) som behandlats med 0,8 mg/kg adalimumab som monoterapi.
Hos vuxna patienter med psoriasis identifierades anti-adalimumab antikroppar hos 77/920 patienter (8,4%) som behandlats med adalimumab som monoterapi.
Hos vuxna patienter med plackpsoriasis som stod på långtidsbehandling med adalimumab som monoterapi och som deltog i en utsättnings- och återbehandlingsstudie, var förekomsten av antikroppar mot adalimumab efter återbehandlingen (11 av 482 patienter, 2,3%) liknande den som sågs innan utsättandet (11 av 590 patienter, 1,9%).
Hos pediatriska patienter med måttlig till svår aktiv Crohns sjukdom utvecklades anti-adalimumab antikroppar hos 3,3% av patienter som behandlats med adalimumab.
Hos vuxna patienter med Crohns sjukdom identifierades anti-adalimumab antikroppar hos 7/269 patienter (2,6%).
Hos vuxna patienter med icke-infektiös uveit identifierades anti-adalimumab antikroppar hos 4,8% (12/249) av patienterna som behandlats med adalimumab.
Eftersom immunogenicitetsanalyser är produktspecifika, är en jämförelse med antikroppsförekomst från andra produkter inte tillämpbar.
Pediatrisk population
Juvenilidiopatiskartrit (JIA)
Polyartikulär juvenilidiopatiskartrit (pJIA)
Säkerhet och effekt av Humira utvärderades i två studier (pJIA I och II) hos barn med aktiv polyartikulär juvenil idiopatisk artrit, som hade varierande debuttyper av JIA (mest frekvent var reumatoid faktor negativ eller positiv polyartrit och utvidgad oligoartikulär JIA).
p-JIA-I
Säkerhet och effekt av Humira utvärderades i en multicenter, randomiserad, dubbelblind, parallell- grupp-studie hos 171 barn (4-17 år gamla) med polyartikulär JIA. I den öppna, inledande fasen (OL LI, open-label lead in phase) blev patienterna stratifierade till två grupper, antingen MTX (metotrexat)-behandling eller inte MTX-behandling. Patienter som var i gruppen ”inte MTX-behandling” var antingen naiva till eller hade slutat använda MTX minst två veckor före administrering av studieläkemedel. Patienterna kvarstod på stabila doser med icke-steroida antiinflammatoriska medel (NSAID) och/eller prednison (< 0,2 mg/kg/dag eller maximalt 10 mg/dag). I OL LI fasen fick alla patienter 24 mg/m2 upp till maximalt 40 mg Humira varannan vecka under 16 veckor. Fördelning av patienter i ålder och minimum, median och maximum doser som administrerades under OL LI fasen presenteras i tabell 17.
Patienter som uppvisade ett pediatriskt ACR 30 respons vid vecka 16, kvalificerades till att randomiseras in i den dubbelblinda (DB) fasen och fick antingen Humira 24 mg/ m2 upp till maximalt 40 mg, eller placebo varannan vecka under ytterligare 32 veckor eller tills sjukdomsförsämring inträffade. Kriterier för sjukdomsförsämring definierades som en försämring av ≥ 30% från baslinjen hos ≥ 3 av de 6 kriterierna för pediatrisk ACR respons, ≥ 2 aktiva leder, och förbättring av > 30% i inte fler än 1 av de 6 kriterierna. Efter 32 veckor eller vid sjukdomsförsämring kunde patienterna enrolleras in till den öppna förlängningsfasen.
Bland de som svarade på behandlingen vecka 16 (n=144), kvarstod de pediatriska ACR-svaren (ACR 30/50/70/90) i upp till sex år i OLE fasen hos patienter som fick Humira genom hela studien. Totalt 19 patienter, av vilka 11 var i åldersgrupp 4-12 år vid baslinjen och 8 av dem var i åldersgrupp 13-17 år vid baslinjen, behandlades 6 år eller längre.
Det totala behandlingssvaret var generellt bättre och färre patienter utvecklade antikroppar då de behandlades med kombinationen Humira och MTX jämfört med Humira enbart. Då man tar dessa resultat under övervägande, rekommenderas att Humira används i kombination med MTX och för användning som monoterapi hos de patienter där MTX-användning är olämpligt (se avsnitt 4.2).
p-JIA II
Säkerhet och effekt av Humira utvärderades i en öppen multicenter studie hos 32 barn (2-<4 år eller 4 år och uppåt med vikten <15 kg) med måttlig till allvarlig, pågående polyartikulär JIA. Patienterna fick 24 mg/m2 kroppsytearea (BSA) av Humira upp till maximalt 20 mg varannan vecka som en singeldos via subkutan injektion under minst 24 veckor. Under studien så använde de flesta patienterna samtidigt MTX, ett fåtal rapporterade att de använda kortikosteroider eller NSAIDs.
Vid vecka 12 och vecka 24, så var PedACR 30 svaret 93,5% respektive 90,0%, då observerad data användes. Proportionen av patienter med PedACR50/70/90 vid vecka 12 och vecka 24 var 90,3%/61,3%/38,7% respektive 83,3%/73,3%/36,7%. Bland de som svarade (Pediatric ACR 30) vid vecka 24 (n=27 av 30 patienter), bibehölls de Pediatriska ACR 30 svaren i upp till 60 veckor under OLE fasen hos patienter som fick Humira under hela den perioden. Sammantaget behandlades 20 patienter under 60 veckor eller längre.
Entesitrelaterad artrit
Säkerhet och effekt av Humira utvärderades i en multicenter, randomiserad, dubbelblind studie hos 46 pediatriska patienter (6-17 år) med måttlig entesitrelaterad artrit. Patienter randomiserades till att antigen få 24 mg/m2 kroppsyta av Humira upp till maximalt 40 mg, eller placebo, varannan vecka i 12 veckor. Den dubbelblindade perioden följdes av en öppen period där patienter fick 24 mg/m2 kroppsyta av Humira upp till maximalt 40 mg varannan vecka subkutant i upp till ytterligare 192 veckor. Primär endpoint var den procentuella förändringen från baslinjen till vecka 12 av antalet aktiva leder med artrit (svullnad som inte beror på deformitet eller leder med inskränkt rörlighet plus smärta och/eller ömhet), vilket uppnåddes med genomsnittlig procentuell minskning på -62,6% (median för procentuell förändring -88,9%) hos patienter i Humira-gruppen jämfört med -11,6% (median för procentuell förändring -50,0%) hos patienterna i placebogruppen. Förbättring i antalet aktiva leder med artrit bibehölls under den öppna perioden till och med vecka 156 för de 26 av 31 (84%) patienter i Humira-gruppen som stannade kvar i studien. Även om det inte var statistiskt signifikant, visade majoriteten av patienterna klinisk förbättring i sekundära endpoints såsom antalet entesititer, antalet ömma leder, antalet svullna leder, pediatrisk ACR 50-svar och pediatrisk ACR 70-svar.
Pediatriska patienter med plackpsoriasis
Effekten hos Humira utvärderades i en randomiserad, dubbelblind, kontrollerad studie med 114 pediatriska patienter från 4 års ålder med svår kronisk plackpsoriasis (definierad som Physician’s Global Assessment (PGA) ≥ 4 eller > 20% BSA-engagemang eller > 10% BSA-engagemang med mycket tjocka lesioner eller Psoriasis Area and Severity Index (PASI) ≥ 20 eller ≥ 10 med kliniskt relevant involvering av ansiktet, genitalierna eller händer/fötter) som inte kontrollerats tillfredställande med topikal behandling och solbehandling eller ljusbehandling.
Patienter fick Humira 0,8 mg/kg varannan vecka (upp till 40 mg), 0,4 mg/kg varannan vecka (upp till 20 mg) eller metotrexat 0,1-0,4 mg/kg varje vecka (upp till 25 mg). Vid vecka 16 hade fler patienter som randomiserats till Humira 0,8 mg/kg haft en positiv klinisk respons (PASI 75) än de som randomiserats till 0,4 mg/kg varannan vecka eller metotrexat.
För patienter som uppnådde PASI 75 och PGA ”utläkt” eller ”minimal” stoppades behandlingen i upp till 36 veckor och patienterna monitorerades för sjukdomsåterfall (definerat som förvärrande av PGA med åtminstone 2 grader). Patienterna återinsattes sedan på adalimumab 0,8 mg/kg varannan vecka i ytterligare 16 veckor och svarsfrekvenser observerade under återbehandlingenliknade de från den tidigare dubbelblindade perioden; PASI 75-svar på 78,9% (15 av 19 patienter) och PGA ”utläkt” eller ”minimal” på 52,6% (10 av 19 patienter).
I den öppna förlängningen av studien kvarstod responsen PASI 75 och PGA ”utläkt” eller ”minimal” i upp till ytterligare 52 veckor utan någon ytterligare påverkan av säkerhetsprofilen.
Pediatriska patienter med Crohns sjukdom
Humira utvärderades i en multicenter, randomiserad, dubbelblind klinisk prövning utformad för att utvärdera effekt och säkerhet av induktions- och underhållsbehandling med doser beroende av kroppsvikt (<40 kg eller ≥40 kg) hos 192 pediatriska patienter i åldern mellan 6 och 17 år med måttlig till svår Crohns sjukdom (CD) definierad som Pediatrisk Crohns sjukdoms Aktivitetsindex (PCDAI) score >30. Patienter skulle ha fallerat på konventionell behandlingsterapi (inklusive en kortikosteroid och/eller en immunmodulator) för CD. Patienter kunde också ha slutat svara eller varit intoleranta mot infliximab.
Alla patienter fick öppen induktionsbehandling med dosering baserad på deras kroppsvikt vid baslinjen; 160 mg vid vecka 0 och 80 mg vid vecka 2 för patienter >40 kg och 80 mg och 40 mg vid respektive tillfälle för patienter <40 kg.
Vid vecka 4 randomiserades patienterna 1:1 baserat på sin kroppsvikt vid denna tidpunkt till underhållsbehandling, antingen i lågdos eller standarddos, som visas i tabell 20.
Effektresultat
Den primära endpointen av studien var klinisk remission vid vecka 26, definierad som PCDAI score ≤ 10.
Klinisk remission och kliniskt svar (definierad som en sänkning i PCDAI score med minst 15 punkter från baslinjen) presenteras i tabell 21. Diskontinuering av kortikosteroider eller immunomodulatorer presenteras i tabell 22.
Statistiskt signifikanta ökningar (förbättringar) från baslinje till vecka 26 och 52 i BMI och längdtillväxt observerades för båda behandlingsgrupperna.
Statistiskt och kliniskt signifikanta ökningar (förbättringar) från baslinje observerades hos båda behandlingsgrupperna för livskvalitet-parametrarna (inklusive IMPACT III).
Ett hundra patienter (n=100) från den pediatriska CD-studien fortsatte in i en oblindad långtids-förlängningsstudie. Efter 5 år med adalimumabterapi var 74% (37/50) av de kvarvarande 50 patienterna i studien fortfarande i klinisk remission, och 92% (46/50) av patienterna visade fortfarande på kliniskt svar enligt PCDAI.
Pediatriska patienter med uveit
Humiras säkerhet och effekt utvärderades i en randomiserad, dubbelmaskerad, kontrollerad studie med 90 pediatriska patienter från 2 till < 18 års ålder med aktiv JIA-associerad icke-infektiös främre uveit och som inte svarat på minst 12 veckors behandling med metotrexat. Patienterna fick antingen placebo eller 20 mg adalimumab (vid < 30 kg) eller 40 mg adalimumab (vid ≥ 30 kg) varannan vecka i kombination med deras baslinjedos av metotrexat.
Den primära endpointen var ”tid till behandlingssvikt”. Kriterierna för behandlingssvikt var försämring eller fortsatt oförbättrad okulär inflammation, delvis förbättring med utveckling av bibehållen okulär komorbiditet eller försämring av okulär komorbiditet, ej tillåten användning av samtidig medicinering och behandlingsuppehåll under en längre period.
Kliniskt svar
Adalimumab fördröjde signifikant tiden till behandlingssvikt i jämförelse med placebo (se figur 1, P < 0,0001 från log rank test). Mediantiden till behandlingssvikt var 24,1 veckor för patienter som behandlades med placebo, medan mediantiden till behandlingssvikt för patienter som behandlades med adalimumab inte gick att fastställa eftersom mindre än hälften av dessa patienter upplevde behandlingssvikt. Adalimumab minskade signifikant risken för behandlingssvikt med 75 % jämfört med placebo, vilket framgår av hazardkvoten (HR = 0,25 [95 % CI: 0,12; 0,49]).
Figur 2: Kaplan-Meier-kurvor som summerar tid till behandlingssvikt i studien på pediatrisk uveit
Absorption och distribution
Efter administrering av 24 mg/m2 (maximalt 40 mg) adalimumab subkutant varannan vecka utan samtidig behandling med metotrexat, hos patienter med polyartikulär juvenil idiopatisk artrit (JIA) som var 4-17 år, var medelvärdet för dalkoncentrationen av adalimumab i serum vid steady-state 5,6 ± 5,6 µg/ml (102 % CV) (värden uppmättes från vecka 20 till 48). Vid samtidig behandling med metotrexat var medelvärdet 10,9 ± 5,2 µg/ml (47,7% CV).
Hos patienter med polyartikulär JIA som var 2 till <4 år eller 4 år och äldre och som vägde <15 kg doserade med adalimumab 24 mg/m2, var medelvärdet för dalkoncentrationerna av adalimumab i serum vid steady-state 6,0 ± 6,1 µg/ml (101% CV) utan samtidig behandling med metotrexat och 7,9 ± 5,6 µg/ml (71,2% CV) med samtidig användning av metotrexat.
Efter administrering av 24 mg/m2 (maximalt 40 mg) adalimumab subkutant varannan vecka utan samtidig behandling med metotrexat, hos patienter med entesitrelaterad artrit, 6-17 år, var medelvärdet för dalkoncentrationen av adalimumab i serum vid steady state 8,8 ± 6,6 μg/ml (värden uppmättes vid vecka 24). Vid samtidig behandling med metotrexat var medelvärdet 11,8 ± 4,3 μg/ml.
Efter administrering av 0,8 mg/kg (maximalt 40 mg) subkutant varannan vecka till pediatriska patienter med kronisk plackpsoriasis var medelvärdet ± SD för dalkoncentrationen av adalimumab vid steady state cirka 7,4 ± 5,8 µg/mL (79% CV).
Hos pediatriska patienter med måttlig till svår CD, var den öppna induktionsdosen av adalimumab 160/80 mg respektive 80/40 mg vid vecka 0 och 2, beroende på en kroppsviktsgräns över/under 40 kg. Vid vecka 4 randomiserades patienterna 1:1 baserat på kroppsvikt till underhållsbehandlingsgrupper med antingen standarddos (40/20 mg varannan vecka) eller lågdos (20/10 mg varannan vecka). Medelvärdet (±SD) för dalkoncentrationen av adalimumab i serum som uppnåddes vid vecka 4 var 15,7±6,6 μg/ml för patienter ≥40 kg (160/80 mg) och 10,6±6,1 μg/ml för patienter <40 kg (80/40 mg).
För patienter som stod kvar på sin randomiseringsbehandling var dal-medelvärdet (±SD) för adalimumab vid vecka 52 9,5±5,6 μg/ml för standarddosgruppen och 3,5±2,2 μg/ml för lågdosgruppen. Dalkoncentrationernas medelvärde bibehölls hos patienter som fortsatte med adalimumab-behandling varannan vecka under 52 veckor. För patienter som hade doseskalerat från varannan vecka till varje vecka, var medel serumkoncentrationer (±SD) av adalimumab vid vecka 52; 15,3±11,4 μg/ml (40/20 mg, varje vecka) och 6,7±3,5 μg/ml (20/10 mg, varje vecka).
Adalimumabexponeringen hos pediatriska patienter med uveit predikterades med hjälp av populationsbaserad farmakokinetisk modellering och simulering, baserad på farmakokinetik hos andra pediatriska patienter över flera indikationer (pediatrisk psoriasis, juvenil idiopatisk artrit, pediatrisk Crohns sjukdom och entesitrelaterad artrit). Inga kliniska exponeringsdata finns tillgängliga för användning av en laddningsdos hos barn < 6 år. Den predikterade exponeringen tyder på att utan metotrexat kan en laddningsdos leda till initialt förhöjd systemisk exponering.
Exponerings-responsförhållande hos pediatriska patienter
Baserat på data från kliniska studier hos patienter med JIA (pJIA och ERA), faställdes ett exponerings-responssamband mellan plasmakoncentrationer och PedACR 50 respons. Plasmakoncentrationen av adalimumab som ger halva den maximala sannolikheten för PedACR 50 respons (EC50) var 3 μg/ml (95% CI: 1‑6 μg/ml).
Exponerings-responsförhållanden mellan koncentrationen av adalimumab och effekt hos pediatriska patienter med svår kronisk plackpsoriasis fastställdes för PASI 75 respektive PGA ”utläkt” eller ”minimal”. PASI 75 och PGA ”utläkt” eller ”minimal” ökade med ökande koncentrationer av adalimumab, båda med en liknande EC50 på cirka 4,5 μg/ml (95% CI 0,4-47,6 respektive 1,9-10,5).
Vuxna
Efter subkutan administrering av en singeldos på 40 mg var absorptionen och distributionen av adalimumab långsam och högsta serumkoncentrationen nåddes cirka 5 dagar efter administrering. Den genomsnittliga absoluta biotillgängligheten beräknat från tre studier efter administrering av 40 mg adalimumab av en subkutan singeldos var 64 %. Efter administrering av intravenösa singeldoser i intervallet 0,25 till 10 mg/kg var koncentrationerna dosproportionella. Efter doser på 0,5 mg/kg (~ 40 mg) varierade clearence från 11 till 15 ml/timme, distributionsvolymen (Vss) varierade mellan 5 till 6 liter och medelvärdet för terminal halveringstid var cirka 2 veckor. Koncentrationen av adalimumab i synovialvätska från ett flertal patienter med reumatoid artrit varierade mellan 31-96 % av koncentrationen i serum.
Efter subkutan administrering av 40 mg adalimumab varannan vecka hos vuxna reumatoid artrit (RA) patienter var medelvärdet för de lägsta steady-state medelkoncentrationerna ca 5 μg/ml (utan samtidig metotrexat) och 8 till 9 μg/ml (med samtidig metotrexat). Dalvärdena för adalimumab i serum vid steady-state ökade grovt räknat proportionellt med dosen efter subkutan tillförsel av 20, 40 och 80 mg varannan vecka och varje vecka.
Hos vuxna patienter med psoriasis var medelvärdet för dalkoncentrationen vid steady state 5 µg/ml vid behandling med adalimumab 40 mg varannan vecka som monoterapi.
Hos patienter med Crohns sjukdom ger laddningsdosen 80 mg Humira vecka 0 följt av 40 mg Humira vecka 2 en lägsta serumkoncentration av adalimumab på ca 5,5 μg/ml under induktionsperioden. En laddningsdos på 160 mg Humira vecka 0 följt av 80 mg Humira vecka 2 ger en lägsta serumkoncentration av adalimumab på ca 12 μg/ml under induktionsperioden. Medelvärdet för de lägsta steady-state nivåerna på ca 7 μg/ml observerades hos patienter med Crohns sjukdom som fick en underhållsdos på 40 mg Humira varannan vecka.
Hos vuxna patienter med uveit resulterade en laddningsdos på 80 mg adalimumab vecka 0 följt av 40 mg adalimumab varannan vecka från vecka 1 i ett medelvärde av steady-state-koncentrationer på ca 8 till 10 μg/ml.
Populationsbaserad farmakokinetisk och farmakokinetisk/farmakodynamisk modellering och simulering predikterade jämförbar exponering och effekt av adalimumab hos patienter som behandlades med 80 mg varannan vecka jämfört med 40 mg varje vecka (inklusive vuxna patienter med RA, HS, UC, CD eller Ps, ungdomar med HS och pediatriska patienter ≥ 40 kg med CD.
Eliminering
Populationsbaserade farmakokinetiska analyser med data från mer än 1300 RA patienter visade en tendens till högre synbar clearence med ökande kroppsvikt. Efter justering för viktskillnader, verkade skillnader i kön och ålder ha minimal effekt på adalimumabs clearence. Serumnivåerna av fritt adalimumab (inte bundet till anti-adalimumab antikroppar, AAA) observerades vara lägre hos patienter med mätbara AAA.
Nedsatt njur- eller leverfunktion
Humira har inte studerats hos denna patientpopulation.
Gängse studier avseende toxicitet efter en singeldos och efter upprepad dosering, samt gentoxicitet visade inte några särskilda risker för människa.
En embryo-fetal utvecklingstoxicitets-/perinatal utvecklingsstudie har utförts på cynomolgusapor med doser på 0, 30 och 100 mg/kg (9-17 apor/grupp) och inga tecken på fosterskador beroende av adalimumab, kunde påvisas. Varken carcinogenicitetsstudier eller standardbedömning av fertilitet och postnatal toxicitet har genomförts med adalimumab, på grund av att lämpliga modeller saknas för en antikropp med begränsad korsreaktivitet med gnagar-TNF och bildandet av neutraliserande antikroppar i gnagare.
Förpackningar;
2 förfyllda sprutor (0,2 ml steril lösning) enskilt förpackade med 1 spritsudd vardera i ett blister.
Ej använt läkemedel och avfall ska kasseras enligt gällande anvisningar.
Mannitol
Polysorbat 80
Vatten för injektionsvätskor
Då blandbarhetsstudier saknas, ska detta läkemedel inte blandas med andra läkemedel.
2 år
Förvaras i kylskåp (2oC – 8oC). Får ej frysas. Förvara den förfyllda sprutan i ytterförpackningen. Ljuskänsligt.
En Humira förfylld spruta kan förvaras vid rumstemperatur upp till högst 25°C under en period upp till 14 dagar. Sprutan måste skyddas från ljus och kasseras om den ej används inom 14-dagarsperioden.
Humira 20 mg injektionsvätska i förfylld spruta (typ I glas) med en kolv (bromobutyl gummi) och en nål med nålskydd (termoplastisk elastomer) för engångsbruk.
Förpackningar;
2 förfyllda sprutor (0,2 ml steril lösning) enskilt förpackade med 1 spritsudd vardera i ett blister.
Ej använt läkemedel och avfall ska kasseras enligt gällande anvisningar.
Produktresumén är företagets information om läkemedlet riktat till förskrivare och personal inom sjukvård och apotek. Dokumentet är godkända av Läkemedelsverket eller den europeiska läkemedelsmyndigheten EMA i samband med att läkemedlet godkänns för marknadsföring.