Alunbrig 30 mg filmdragerade tabletter
Alunbrig 90 mg filmdragerade tabletter
Alunbrig 180 mg filmdragerade tabletter
Filmdragerad tablett (tablett).
Alunbrig 30 mg filmdragerade tabletter
Runda, vita till benvita filmdragerade tabletter, diameter cirka 7 mm, med ”U3” inpräglat på ena sidan och släta på andra sidan.
Alunbrig 90 mg filmdragerade tabletter
Ovala, vita till benvita filmdragerade tabletter, längd cirka 15 mm, med ”U7” inpräglat på ena sidan och släta på andra sidan.
Alunbrig 180 mg filmdragerade tabletter
Ovala, vita till benvita filmdragerade tabletter, längd cirka 19 mm, med ”U13” inpräglat på ena sidan och släta på andra sidan.
Takeda Pharma A/S
Delta Park 45
2665 Vallensbaek Strand
Danmark
Första godkännandet: 22 november 2018
Förnyat godkännande: 24 juli 2023
07/2023
Ytterligare information om detta läkemedel finns på Europeiska läkemedelsmyndighetens webbplats http://www.ema.europa.eu.
Produktresumén är företagets information om läkemedlet riktat till förskrivare och personal inom sjukvård och apotek. Dokumentet är godkända av Läkemedelsverket eller den europeiska läkemedelsmyndigheten EMA i samband med att läkemedlet godkänns för marknadsföring.
Hjälpämne med känd effekt
Varje filmdragerad tablett innehåller 336 mg laktosmonohydrat.
För fullständig förteckning över hjälpämnen, se avsnitt 6.1.
Alunbrig 30 mg filmdragerade tabletter
Varje filmdragerad tablett innehåller 30 mg brigatinib.
Hjälpämne med känd effekt
Varje filmdragerad tablett innehåller 56 mg laktosmonohydrat.
Alunbrig 90 mg filmdragerade tabletter
Varje filmdragerad tablett innehåller 90 mg brigatinib.
Hjälpämne med känd effekt
Varje filmdragerad tablett innehåller 168 mg laktosmonohydrat.
Alunbrig 180 mg filmdragerade tabletter
Varje filmdragerad tablett innehåller 180 mg brigatinib.
Hjälpämne med känd effekt
Varje filmdragerad tablett innehåller 336 mg laktosmonohydrat.
För fullständig förteckning över hjälpämnen, se avsnitt 6.1.
Om patienten missar en dos eller kräks efter att ha tagit en dos ska inga extra doser administreras och nästa dos ska tas vid nästa schemalagda tidpunkt.
Behandlingen ska pågå så länge klinisk nytta kan observeras.
Dosjusteringar
Behandlingsavbrott och/eller dosminskning kan bli nödvändigt på basis av individuell säkerhet och tolerabilitet.
Dosminskning av Alunbrig sammanfattas i tabell 1.
Tabell 1: Rekommenderad dosminskning av Alunbrig
Alunbrig ska sättas ut permanent om patienten inte tolererar dosen 60 mg en gång dagligen.
Rekommenderade dosjusteringar av Alunbrig på grund av biverkningar sammanfattas i tabell 2.
Tabell 2: Rekommenderad dosjustering av Alunbrig vid biverkningar
*Gradering enligt National Cancer Institute Common Terminology Criteria for Adverse Events. Version 4.0 (NCI CTCAE v4).
Särskilda populationer
Äldre
De begränsade data som finns om Alunbrigs säkerhet och effekt vid behandling av patienter 65 år och äldre tyder på att det inte behövs någon dosjustering för äldre patienter (se avsnitt 4.8). Inga data finns tillgängliga för patienter som är över 85 år.
Nedsatt leverfunktion
Ingen dosjustering av Alunbrig krävs för patienter med lätt (Child‑Pugh klass A) eller måttligt (Child‑Pugh klass B) nedsatt leverfunktion. Vid kraftigt nedsatt leverfunktion (Child‑Pugh klass C) rekommenderas en reducerad startdos på 60 mg en gång dagligen de första 7 dagarna och därefter 120 mg en gång dagligen (se avsnitt 5.2).
Nedsatt njurfunktion
Ingen dosjustering av Alunbrig krävs för patienter med lätt eller måttligt nedsatt njurfunktion (beräknad glomerulär filtrationshastighet (eGFR) ≥ 30 ml/min). Vid kraftigt nedsatt njurfunktion (eGFR < 30 ml/min) rekommenderas en reducerad startdos på 60 mg en gång dagligen de första 7 dagarna och därefter 90 mg en gång dagligen (se avsnitt 5.2). Patienter med kraftigt nedsatt njurfunktion ska övervakas noga avseende nya eller förvärrade symtom från andningsvägarna som kan indikera ILD/pneumonit (t.ex. dyspné, hosta osv.) särskilt under den första veckan (se avsnitt 4.4).
Pediatrisk population
Säkerhet och effekt för Alunbrig för barn under 18 år har inte fastställts. Inga data finns tillgängliga.
Administreringssätt
Alunbrig är avsett för oral användning. Tabletterna ska sväljas hela med vatten. Alunbrig kan tas med eller utan föda.
Grapefrukt eller grapefruktjuice kan öka plasmakoncentrationen av brigatinib och ska undvikas (se avsnitt 4.5).
Överkänslighet mot den aktiva substansen eller mot något hjälpämne som anges i avsnitt 6.1.
Pulmonella biverkningar
Allvarliga, livshotande och fatala pulmonella biverkningar, bland annat biverkningar med karaktäristika som stämmer överens med ILD/pneumonit, kan uppkomma hos patienter som behandlas med Alunbrig (se avsnitt 4.8).
De flesta pulmonella biverkningarna uppkom under de första 7 behandlingsdagarna. Pulmonella biverkningar av grad 1‑2 gick tillbaka när behandlingen avbröts eller dosen minskades. Högre ålder och kortare intervall (mindre än 7 dagar) mellan den sista dosen krizotinib och den första dosen Alunbrig var enskilda faktorer som kunde sättas i samband med ökad frekvens pulmonella biverkningar. Dessa faktorer ska beaktas vid insättning av behandling med Alunbrig. Patienter med ILD eller läkemedelsinducerad pneumonit i anamnesen var exkluderade från de pivotala studierna.
En del patienter utvecklade pneumonit senare under behandlingen med Alunbrig.
Patienterna ska övervakas avseende nya eller förvärrade symtom från andningsvägarna (t.ex. dyspné, hosta etc.) särskilt under den första behandlingsveckan. Tecken på pneumonit hos en patient med förvärrade andningssymtom ska utredas omgående. Vid misstänkt pneumonit ska Alunbrig avbrytas tillfälligt och patienten utredas för andra orsaker till symtomen (t.ex. lungemboli, tumörprogression och infektiös pneumoni). Dosen ska justeras i enlighet därmed (se avsnitt 4.2).
Hypertoni
Hypertoni har förekommit hos patienter som behandlas med Alunbrig (se avsnitt 4.8).
Blodtrycket ska mätas regelbundet under behandling med Alunbrig. Hypertoni ska behandlas i enlighet med standardriktlinjer för blodtryckskontroll. Hjärtfrekvensen ska kontrolleras oftare hos patienterna om samtidig användning av ett läkemedel som man vet kan orsaka bradykardi inte kan undvikas. Vid allvarlig hypertoni (≥ grad 3) ska Alunbrig avbrytas tillfälligt tills hypertonin återgått till grad 1 eller till utgångsläget. Dosen ska justeras i enlighet därmed (se avsnitt 4.2).
Bradykardi
Bradykardi har förekommit hos patienter som behandlas med Alunbrig (se avsnitt 4.8). Försiktighet ska iakttas vid administrering av Alunbrig i kombination med andra läkemedel som man vet kan orsaka bradykardi. Hjärtfrekvens och blodtryck ska mätas med jämna mellanrum.
Vid symtomatisk bradykardi ska behandlingen med Alunbrig avbrytas tillfälligt och samtidiga läkemedel som är kända för att orsaka bradykardi ska utvärderas. Efter återhämtning ska dosen justeras i enlighet med därmed (se avsnitt 4.2). Om patienten har livshotande bradykardi och inget bidragande samtidigt läkemedel kan identifieras eller om patienten får ett återfall i bradykardi, ska Alunbrig sättas ut (se avsnitt 4.2).
Synstörningar
Synstörningar har förekommit hos patienter som behandlas med Alunbrig (se avsnitt 4.8). Patienterna ska uppmanas att rapportera alla symtom som rör synen. Vid nytillkommande eller vid försämring av allvarliga synsymtom ska en oftalmologisk utvärdering samt dosminskning övervägas (se avsnitt 4.2).
Förhöjt kreatinfosfokinas (CPK)
Förhöjt CPK har förekommit hos patienter som behandlas med Alunbrig (se avsnitt 4.8). Patienterna ska uppmanas att rapportera alla oförklarliga smärtor, ömhet eller svaghet i musklerna. CPK‑nivåerna ska kontrolleras med jämna mellanrum under behandlingen med Alunbrig. Beroende på hur allvarlig CPK‑förhöjningen är och om den är förknippad med muskelsmärta eller ‑svaghet ska behandlingen med Alunbrig avbrytas tillfälligt och dosen justeras i enlighet därmed (se avsnitt 4.2).
Förhöjda pankreasenzymer
Förhöjt amylas och lipas har förekommit hos patienter som behandlas med Alunbrig (se avsnitt 4.8). Lipas och amylas ska kontrolleras regelbundet under behandlingen med Alunbrig. Beroende på hur allvarliga de avvikande laboratorievärdena är ska behandlingen med Alunbrig avbrytas tillfälligt och dosen justeras i enlighet därmed (se avsnitt 4.2).
Hepatotoxicitet
Förhöjda leverenzymer (aspartataminotransferas, alaninaminotransferas) och bilirubin har förekommit hos patienter som behandlats med Alunbrig (se avsnitt 4.8). Leverfunktion, med ASAT, ALAT och totalt bilirubin, ska analyseras innan Alunbrig sätts in och därefter varannan vecka under de första 3 behandlingsmånaderna. Därefter ska kontroller göras med jämna mellanrum. Beroende på hur allvarliga de avvikande laboratorievärdena är ska behandlingen avbrytas tillfälligt och dosen justeras i enlighet därmed (se avsnitt 4.2).
Hyperglykemi
Förhöjt serumglukos har förekommit hos patienter som behandlats med Alunbrig. Fasteserumglukos ska analyseras innan Alunbrig sätts in och därefter kontrolleras med jämna mellanrum. Antihyperglykemisk behandling ska sättas in eller optimeras efter behov. Om adekvat hyperglykemisk kontroll inte kan uppnås trots optimal läkemedelsbehandling ska Alunbrig avbrytas tillfälligt tills adekvat hyperglykemisk kontroll uppnåtts. Efter återhämtning kan dosminskning enligt beskrivning i tabell 1 övervägas, alternativt kan Alunbrig sättas ut permanent.
Läkemedelsinteraktioner
Samtidig användning av Alunbrig och starka CYP3A‑hämmare ska undvikas. Om samtidig användning av starka CYP3A‑hämmare inte kan undvikas ska Alunbrig‑dosen minskas från 180 mg till 90 mg, eller från 90 mg till 60 mg. Efter utsättning av en stark CYP3A‑hämmare ska Alunbrig återupptas med den dos som tolererades innan den starka CYP3A‑hämmaren sattes in.
Samtidig användning av Alunbrig och starka eller måttliga CYP3A‑inducerare ska undvikas (se avsnitt 4.5). Om samtidig användning av måttliga CYP3A‑inducerare inte kan undvikas, kan Alunbrig‑dosen ökas i steg om 30 mg efter 7 dagars behandling med aktuell tolererad Alunbrig‑dos, upp till högst en dubblering av den Alunbrig‑dos som tolererades innan behandling med den måttliga CYP3A‑induceraren sattes in. Efter utsättning av en måttlig CYP3A‑inducerare, ska Alunbrig återupptas med den dos som tolererades innan den starka CYP3A‑hämmaren sattes in.
Ljusöverkänslighet och fotodermatit
Ljusöverkänslighet mot solljus har förekommit hos patienter som behandlas med Alunbrig (se avsnitt 4.8). Patienterna ska rekommenderas att undvika långvarig exponering för solljus medan de tar Alunbrig och i minst 5 dagar efter att behandlingen avbrutits. Patienterna ska rekommenderas att använda hatt och skyddande kläder, solkräm med brett skydd mot ultraviolett A‑ och B‑strålning (UVA och UVB) samt läppbalsam (SPF ≥ 30) som skydd mot solbrännskador vid vistelse utomhus. Vid allvarliga ljusöverkänslighetsreaktioner (≥ grad 3) ska uppehåll i Alunbrig‑behandlingen ske tills reaktionen avklingat till utgångsläget. Dosen ska justeras på lämpligt sätt (se avsnitt 4.2).
Fertilitet
Fertila kvinnor ska uppmanas att använda ett effektivt icke‑hormonellt preventivmedel under behandlingen med Alunbrig och i minst 4 månader efter den sista dosen. Män med fertila kvinnliga partners ska uppmanas att använda ett effektivt preventivmedel under behandlingen och i minst 3 månader efter den sista dosen Alunbrig (se avsnitt 4.6).
Laktos
Alunbrig innehåller laktosmonohydrat. Patienter med något av följande sällsynta ärftliga tillstånd bör inte använda detta läkemedel: galaktosintolerans, total laktasbrist eller glukos‑galaktosmalabsorption.
Natrium
Detta läkemedel innehåller mindre än 1 mmol (23 mg) natrium per tablett, dvs. är näst intill ”natriumfritt”.
Medel som kan öka plasmakoncentrationen av brigatinib
CYP3A‑hämmare
In vitro‑studier har visat att brigatinib är ett substrat för CYP3A4/5. Hos friska försökspersoner ledde samtidig administrering av flera doser av den starka CYP3A4‑hämmaren itrakonazol 200 mg två gånger dagligen samtidigt med en engångsdos brigatinib 90 mg, till en ökning av Cmax för brigatinib med 21 %, AUC0‑INF med 101 % (fördubbling), och AUC0‑120 med 82 % (mindre än fördubbling), jämfört med en dos av enbart brigatinib 90 mg. Samtidig användning av starka CYP3A‑hämmare och Alunbrig, bland annat vissa antivirala medel (t.ex. indinavir, nelfinavir, ritonavir, sakvinavir), makrolidantibiotika (t.ex. klaritromycin, telitromycin, troleandomycin), antimykotika (t.ex. ketokonazol, vorikonazol) och nefazodon ska undvikas. Om samtidig användning av starka CYP3A‑hämmare inte kan undvikas ska dosen Alunbrig minskas med cirka 50 % (dvs. från 180 mg till 90 mg eller från 90 mg till 60 mg). Efter utsättning av en stark CYP3A‑hämmare ska Alunbrig återupptas med den dos som tolererades innan den starka CYP3A‑hämmaren sattes in.
Måttliga CYP3A‑hämmare (t.ex. diltiazem och verapamil) kan öka AUC för brigatinib med cirka 40 %, baserat på simuleringar i en fysiologibaserad farmakokinetisk modell. Ingen dosjustering krävs när Alunbrig ges i kombination med måttliga CYP3A‑hämmare. Patienterna ska övervakas noga när Alunbrig administreras tillsammans med måttliga CYP3A‑hämmare.
Grapefrukt eller grapefruktjuice kan öka plasmakoncentrationen av brigatinib och ska undvikas (se avsnitt 4.2).
CYP2C8‑hämmare
In vitro‑studier har visat att brigatinib är ett substrat för CYP2C8. Hos friska försökspersoner ledde samtidig administrering av flera doser av den starka CYP2C8‑hämmaren gemfibrozil 600 mg två gånger dagligen samtidigt med en engångsdos brigatinib 90 mg till en minskning av Cmax för brigatinib med 41 %, AUC0‑INF med 12 %, och AUC0‑120 med 15 %, jämfört med om enbart en 90 mg‑brigatinibdos administrerades. Gemfibrozils effekt på brigatinibs farmakokinetik har ingen klinisk betydelse och den underliggande mekanismen för den minskade exponeringen för brigatinib är inte känd. Ingen dosjustering krävs vid administrering samtidigt med starka CYP2C8‑hämmare.
P‑gp‑ och BCRP‑hämmare
Brigatinib är ett substrat för P‑glykoprotein (P‑gp) och bröstcancerresistensprotein (BCRP) in vitro. Med tanke på att brigatinib uppvisar hög löslighet och hög permeabilitet förväntas inte hämning av P‑gp och BCRP leda till någon klinisk betydelsefull förändring av den systemiska exponeringen för brigatinib. Ingen dosjustering krävs när Alunbrig administreras samtidigt med P‑gp‑ och BCRP‑hämmare.
Medel som kan minska plasmakoncentrationen av brigatinib
CYP3A‑inducerare
Hos friska försökspersoner ledde samtidig administrering av flera dagliga 600 mg‑doser rifampicin, en stark CYP3A‑inducerare, tillsammans med en engångsdos om 180 mg brigatinib, till en minskning av Cmax för brigatinib med 60 %, AUC0‑INF med 80 % (5‑faldigt) och AUC0‑120 med 80 % (5‑faldigt), jämfört med en dos av enbart brigatinib 180 mg. Samtidig användning av Alunbrig och starka CYP3A‑inducerare, bland andra rifampicin, karbamazepin, fenytoin, rifabutin, fenobarbital och johannesört, ska undvikas.
Måttliga CYP3A‑inducerare kan minska AUC för brigatinib med cirka 50 %, baserat på simuleringar i en fysiologibaserad farmakokinetisk modell. Samtidig användning av Alunbrig och måttliga CYP3A‑inducerare, bland andra efavirenz, modafamil, bosentan, etravirin och nafcillin, ska undvikas. Om samtidig användning av måttliga CYP3A‑inducerare inte kan undvikas, kan Alunbrig‑dosen ökas i steg om 30 mg efter 7 dagars behandling med aktuell tolererad Alunbrig‑dos, upp till högst en dubblering av den Alunbrig‑dos som tolererades innan behandling med den måttliga CYP3A‑induceraren sattes in. Efter utsättning av en måttlig CYP3A‑inducerare, ska Alunbrig återupptas med den dos som tolererades innan den starka CYP3A‑hämmaren sattes in.
Medel vars plasmakoncentration kan förändras av brigatinib
CYP3A‑substrat
In vitro‑studier av hepatocyter har visat att brigatinib inducerar CYP3A4. Hos cancerpatienter ledde samtidig administrering av flera dagliga doser med 180 mg Alunbrig tillsammans med en peroral engångsdos om 3 mg midazolam, ett känsligt CYP3A‑substrat, till en minskning av Cmax för midazolam med 16 %, AUC0‑INF med 26 % och AUC0‑last med 30 %, jämfört med en peroral dos om enbart 3 mg midazolam. Brigatinib minskar plasmakoncentrationen av samtidiga läkemedel som främst metaboliseras av CYP3A. Därför ska samtidig administrering av Alunbrig och CYP3A‑substrat med snävt terapeutiskt index (t.ex. alfentanil, fentanil, kinidin, ciklosporin, sirolimus, takrolimus) undvikas eftersom effekten av dessa kan reduceras.
Alunbrig kan även inducera andra enzymer och transportproteiner (t.ex. CYP2C, P‑gp) genom samma mekanismer som svarar för induktion av CYP3A (t.ex. aktivering av pregnan‑X‑receptorn).
Substrat för transportproteiner
Samtidig administrering av brigatinib och substrat för P‑gp (t.ex. digoxin, dabigatran, kolkicin, pravastatin), BCRP (t.ex. metotrexat, rosuvastatin, sulfasalazin), organisk katjontransportör1 (OCT1), multidrug and toxin extrusion protein 1 (MATE1) och 2K (MATE2K) kan öka plasmakoncentrationerna av dessa. Patienterna ska övervakas noga när Alunbrig administreras tillsammans med substrat för dessa transportproteiner som har snävt terapeutiskt index (t.ex. digoxin, dabigatran, metotrexat).
Fertila kvinnor/preventivmedel för män och kvinnor
Fertila kvinnor som behandlas med Alunbrig ska uppmanas att inte bli gravida och män som behandlas med Alunbrig att inte skaffa barn under behandlingstiden. Fertila kvinnor ska uppmanas att använda ett effektivt icke‑hormonellt preventivmedel under behandlingen med Alunbrig och i minst 4 månader efter den sista dosen. Män med fertila kvinnliga partners ska uppmanas att använda ett effektivt preventivmedel under behandlingen och i minst 3 månader efter den sista dosen Alunbrig.
Graviditet
Alunbrig kan orsaka fosterskador om det administreras till en gravid kvinna. Djurstudier har visat reproduktionstoxikologiska effekter (se avsnitt 5.3). Det finns inga kliniska data från användning av Alunbrig till gravida kvinnor. Alunbrig ska användas under graviditet endast då tillståndet kräver att det är absolut nödvändigt att kvinnan behandlas. Om Alunbrig används under graviditet, eller om patienten blir gravid under behandling med detta läkemedel, ska patienten informeras om risken för fosterskador.
Amning
Det är okänt om Alunbrig utsöndras i bröstmjölk. Tillgängliga data kan inte utesluta utsöndring i bröstmjölk. Amning ska avbrytas under behandling med Alunbrig.
Fertilitet
Det finns inga data om Alunbrigs effekter på fertiliteten hos människa. Baserat på toxicitetsstudier vid upprepad dosering till handjur, kan Alunbrig minska fertiliteten hos handjur (se avsnitt 5.3). Den kliniska betydelsen av dessa resultat för människans fertilitet är inte känd.
Alunbrig har mindre effekt på förmågan att framföra fordon och använda maskiner. Försiktighet ska dock iakttas vid framförande av fordon eller användning av maskiner eftersom synstörningar, yrsel eller trötthet kan förekomma under behandling med Alunbrig.
Sammanfattning av säkerhetsprofilen
De vanligaste biverkningarna som rapporterades (≥ 25 %) med Alunbrig i den rekommenderade dosregimen var förhöjt ASAT, förhöjt CPK, hyperglykemi, förhöjt lipas, hyperinsulinemi, diarré, förhöjt ALAT, förhöjt amylas, anemi, illamående, trötthet, hypofosfatemi, minskat antal lymfocyter, hosta, förhöjt alkaliskt fosfatas, hudutslag, förhöjt APTT, myalgi, huvudvärk, hypertoni, minskat antal vita blodkroppar, dyspné och kräkningar.
De vanligaste allvarliga biverkningar som rapporterades (≥ 2 %) med Alunbrig i den rekommenderade dosregimen, förutom biverkningar relaterade till tumörprogression, var pneumoni, pneumonit, dyspné och pyrexi.
Biverkningstabell
Uppgifterna som beskrivs nedan återspeglar exponering för Alunbrig i den rekommenderade dosregimen i tre kliniska studier: en fas III‑studie (ALTA 1L) på patienter med avancerad ALK‑positiv NSCLC som inte tidigare behandlats med en ALK‑hämmare (n = 136), en fas II‑studie (ALTA) på patienter som behandlas med Alunbrig med ALK‑positiv NSCLC som tidigare hade progredierat på krizotinib (n = 110) och en fas I/II‑studie med doseskalering/‑expansion på patienter med avancerade maligniteter (n = 28). I dessa studier var mediantiden för exponering hos patienter som fick Alunbrig i den rekommenderade dosregimen 21,8 månader.
Biverkningar som rapporterades presenteras i tabell 3 indelade efter organsystem, rekommenderad term och frekvens. Frekvenskategorierna är mycket vanliga (≥ 1/10), vanliga (≥ 1/100, < 1/10), samt mindre vanliga (≥ 1/1 000, < 1/100). Inom varje frekvensgrupp presenteras biverkningar i frekvensordning.
Tabell 3: Biverkningar rapporterade hos patienter behandlade med Alunbrig (enligt Common Terminology Criteria for Adverse Events (CTCAE) version 4.03) i 180 mg‑regimen (n = 274)
Beskrivning av valda biverkningar
Pulmonella biverkningar
I ALTA 1L‑studien fick 2,9 % av patienterna någon grad av ILD/pneumonit tidigt under behandlingen (inom 8 dagar), med ILD/pneumonit av grad 3-4 hos 2,2 % av patienterna. Ingen fatal ILD/pneumonit förekom. Dessutom fick 3,7 % av patienterna pneumonit senare under behandlingen.
I ALTA‑studien fick 6,4 % av patienterna pulmonella biverkningar av någon grad, såsom ILD/pneumonit, pneumoni och dyspné, tidigt under behandlingen (inom 9 dagar, mediantid till debut: 2 dagar); 2,7 % av patienterna fick pulmonella biverkningar av grad 3‑4 och en patient (0,5 %) fick fatal pneumoni. Efter pulmonella biverkningar av grad 1‑2 gjordes ett tillfälligt avbrott i Alunbrig‑behandlingen alternativt minskades dosen. Tidiga pulmonella biverkningar förekom också i en doseskalerande studie på patienter (n = 137) (studie 101) med tre fatala fall (hypoxi, akut respiratoriskt distressyndrom respektive pneumoni). Dessutom fick 2,3 % av patienterna i ALTA pneumonit senare under behandlingen, då 2 patienter fick grad 3‑pneumonit (se avsnitt 4.2 och 4.4).
Äldre
Tidig pulmonell biverkning rapporterades hos 10,1 % av patienterna som var ≥ 65 år jämfört med 3,1 % av patienterna som var < 65 år.
Hypertoni
Hypertoni rapporterades hos 30 % av patienterna som behandlades med Alunbrig i 180 mg‑regimen. Grad 3‑hypertoni förekom hos 11 %. Dosminskning på grund av hypertoni krävdes hos 1,5 % av patienterna som fick 180 mg. Genomsnittligt systoliskt och diastoliskt blodtryck ökade över tid hos samtliga patienter (se avsnitt 4.2 och 4.4).
Bradykardi
Bradykardi rapporterades hos 8,4 % av patienterna som behandlades med Alunbrig i 180 mg‑regimen.
Hjärtfrekvens under 50 slag per minut (bpm) rapporterades hos 8,4 % av patienterna i 180 mg‑regimen (se avsnitt 4.2 och 4.4).
Synstörningar
Synstörningar rapporterades hos 14 % av patienterna som behandlades med Alunbrig i 180 mg‑regimen. Av dessa var tre stycken (1,1 %) grad 3‑biverkningar i form av makulaödem och katarakt.
Dosen sänktes på grund av synstörningar hos två patienter (0,7 %) som behandlades med 180 mg‑regimen (se avsnitt 4.2 och 4.4).
Perifer neuropati
Perifer neuropati rapporterades hos 20 % av patienterna som behandlades med 180 mg‑regimen. Biverkningen gick tillbaka helt hos 33 % av patienterna med perifer neuropati. Perifer neuropati kvarstod i median i 6,6 månader, med en maximal duration på 28,9 månader.
Förhöjt kreatinfosfokinas (CPK)
Förhöjt CPK rapporterades hos 64 % av patienterna som behandlades med Alunbrig i 180 mg‑regimen. Incidensen av grad 3‑4‑ökningar av CPK var 18 %. Mediantiden till CPK‑förhöjning var 28 dagar.
Dosen sänktes på grund av förhöjt CPK hos 10 % av patienterna som behandlades med 180 mg‑regimen (se avsnitt 4.2 och 4.4).
Förhöjda pankreasenzymer
Förhöjt amylas rapporterades hos 47 % och förhöjt lipas hos 54 % av patienterna som behandlades med Alunbrig i 180 mg‑regimen. För ökningar till grad 3 och grad 4 var incidensen för förhöjt amylas och lipas 7,7 % respektive 15 %. Mediantiden till amylas‑ och lipasökning var 16 respektive 29 dagar.
Dosen sänktes på grund av förhöjt lipas och amylas hos 4,7 % respektive 2,9 % av patienterna som behandlades med 180 mg‑regimen (se avsnitt 4.2 och 4.4).
Förhöjda leverenzymer
Förhöjt ALAT rapporterades hos 49 % och förhöjt ASAT hos 68 % av patienterna som behandlades med Alunbrig i 180 mg‑regimen. För ökningar till grad 3 och grad 4 var incidensen för förhöjt ALAT och ASAT 4,7 % respektive 3,6 %.
Dosen sänktes på grund av förhöjt ALAT och ASAT hos 0,7 % respektive 1,1 % av patienterna som behandlades med 180 mg‑regimen (se avsnitt 4.2 och 4.4).
Hyperglykemi
61 % av patienterna fick hyperglykemi. Grad 3‑hyperglykemi inträffade hos 6,6 % av patienterna.
Dosen behövde inte minskas på grund av hyperglykemi hos någon patient.
Ljusöverkänslighet och fotodermatit
En sammanslagen analys av sju kliniska prövningar med data från 804 patienter, som behandlats med Alunbrig i olika dosregimer, visade att ljusöverkänslighet och fotodermatit rapporterades hos 5,8 % av patienterna varav grad 3‑4 inträffade hos 0,7 % av patienterna. Dosen minskades hos 0,4 % av patienterna (se avsnitt 4.2 och 4.4).
Det finns ingen specifik antidot mot överdosering av Alunbrig. I händelse av en överdosering ska patienten övervakas avseende biverkningar (se avsnitt 4.8) och lämplig understödjande vård ges.
Alunbrig är avsett som monoterapi för behandling av vuxna patienter med anaplastiskt lymfomkinaspositiv (ALK‑positiv) avancerad icke‑småcellig lungcancer (NSCLC) som inte tidigare behandlats med en ALK‑hämmare.
Alunbrig är avsett som monoterapi för behandling av vuxna patienter med ALK‑positiv avancerad NSCLC som tidigare behandlats med krizotinib.
Behandling med Alunbrig ska inledas och övervakas av läkare med erfarenhet av användning av cancerläkemedel.
ALK‑positiv NSCLC‑status ska ha konstaterats innan Alunbrig sätts in. En validerad ALK‑analys är nödvändig för att selektera ut ALK‑positiva NSCLC‑patienter (se avsnitt 5.1). Analysen av ALK‑positiv NSCLC ska utföras av laboratorier med dokumenterade kvalifikationer inom den specifika teknik som används.
Dosering
Rekommenderad startdos av Alunbrig är 90 mg en gång dagligen de första 7 dagarna, därefter 180 mg en gång dagligen.
Om Alunbrig avbryts i 14 dagar eller mer av andra skäl än biverkningar ska behandlingen återupptas med 90 mg en gång dagligen i 7 dagar innan man återgår till den tidigare tolererade dosen.
Om patienten missar en dos eller kräks efter att ha tagit en dos ska inga extra doser administreras och nästa dos ska tas vid nästa schemalagda tidpunkt.
Behandlingen ska pågå så länge klinisk nytta kan observeras.
Dosjusteringar
Behandlingsavbrott och/eller dosminskning kan bli nödvändigt på basis av individuell säkerhet och tolerabilitet.
Dosminskning av Alunbrig sammanfattas i tabell 1.
Tabell 1: Rekommenderad dosminskning av Alunbrig
Alunbrig ska sättas ut permanent om patienten inte tolererar dosen 60 mg en gång dagligen.
Rekommenderade dosjusteringar av Alunbrig på grund av biverkningar sammanfattas i tabell 2.
Tabell 2: Rekommenderad dosjustering av Alunbrig vid biverkningar
*Gradering enligt National Cancer Institute Common Terminology Criteria for Adverse Events. Version 4.0 (NCI CTCAE v4).
Särskilda populationer
Äldre
De begränsade data som finns om Alunbrigs säkerhet och effekt vid behandling av patienter 65 år och äldre tyder på att det inte behövs någon dosjustering för äldre patienter (se avsnitt 4.8). Inga data finns tillgängliga för patienter som är över 85 år.
Nedsatt leverfunktion
Ingen dosjustering av Alunbrig krävs för patienter med lätt (Child‑Pugh klass A) eller måttligt (Child‑Pugh klass B) nedsatt leverfunktion. Vid kraftigt nedsatt leverfunktion (Child‑Pugh klass C) rekommenderas en reducerad startdos på 60 mg en gång dagligen de första 7 dagarna och därefter 120 mg en gång dagligen (se avsnitt 5.2).
Nedsatt njurfunktion
Ingen dosjustering av Alunbrig krävs för patienter med lätt eller måttligt nedsatt njurfunktion (beräknad glomerulär filtrationshastighet (eGFR) ≥ 30 ml/min). Vid kraftigt nedsatt njurfunktion (eGFR < 30 ml/min) rekommenderas en reducerad startdos på 60 mg en gång dagligen de första 7 dagarna och därefter 90 mg en gång dagligen (se avsnitt 5.2). Patienter med kraftigt nedsatt njurfunktion ska övervakas noga avseende nya eller förvärrade symtom från andningsvägarna som kan indikera ILD/pneumonit (t.ex. dyspné, hosta osv.) särskilt under den första veckan (se avsnitt 4.4).
Pediatrisk population
Säkerhet och effekt för Alunbrig för barn under 18 år har inte fastställts. Inga data finns tillgängliga.
Administreringssätt
Alunbrig är avsett för oral användning. Tabletterna ska sväljas hela med vatten. Alunbrig kan tas med eller utan föda.
Grapefrukt eller grapefruktjuice kan öka plasmakoncentrationen av brigatinib och ska undvikas (se avsnitt 4.5).
Överkänslighet mot den aktiva substansen eller mot något hjälpämne som anges i avsnitt 6.1.
Pulmonella biverkningar
Allvarliga, livshotande och fatala pulmonella biverkningar, bland annat biverkningar med karaktäristika som stämmer överens med ILD/pneumonit, kan uppkomma hos patienter som behandlas med Alunbrig (se avsnitt 4.8).
De flesta pulmonella biverkningarna uppkom under de första 7 behandlingsdagarna. Pulmonella biverkningar av grad 1‑2 gick tillbaka när behandlingen avbröts eller dosen minskades. Högre ålder och kortare intervall (mindre än 7 dagar) mellan den sista dosen krizotinib och den första dosen Alunbrig var enskilda faktorer som kunde sättas i samband med ökad frekvens pulmonella biverkningar. Dessa faktorer ska beaktas vid insättning av behandling med Alunbrig. Patienter med ILD eller läkemedelsinducerad pneumonit i anamnesen var exkluderade från de pivotala studierna.
En del patienter utvecklade pneumonit senare under behandlingen med Alunbrig.
Patienterna ska övervakas avseende nya eller förvärrade symtom från andningsvägarna (t.ex. dyspné, hosta etc.) särskilt under den första behandlingsveckan. Tecken på pneumonit hos en patient med förvärrade andningssymtom ska utredas omgående. Vid misstänkt pneumonit ska Alunbrig avbrytas tillfälligt och patienten utredas för andra orsaker till symtomen (t.ex. lungemboli, tumörprogression och infektiös pneumoni). Dosen ska justeras i enlighet därmed (se avsnitt 4.2).
Hypertoni
Hypertoni har förekommit hos patienter som behandlas med Alunbrig (se avsnitt 4.8).
Blodtrycket ska mätas regelbundet under behandling med Alunbrig. Hypertoni ska behandlas i enlighet med standardriktlinjer för blodtryckskontroll. Hjärtfrekvensen ska kontrolleras oftare hos patienterna om samtidig användning av ett läkemedel som man vet kan orsaka bradykardi inte kan undvikas. Vid allvarlig hypertoni (≥ grad 3) ska Alunbrig avbrytas tillfälligt tills hypertonin återgått till grad 1 eller till utgångsläget. Dosen ska justeras i enlighet därmed (se avsnitt 4.2).
Bradykardi
Bradykardi har förekommit hos patienter som behandlas med Alunbrig (se avsnitt 4.8). Försiktighet ska iakttas vid administrering av Alunbrig i kombination med andra läkemedel som man vet kan orsaka bradykardi. Hjärtfrekvens och blodtryck ska mätas med jämna mellanrum.
Vid symtomatisk bradykardi ska behandlingen med Alunbrig avbrytas tillfälligt och samtidiga läkemedel som är kända för att orsaka bradykardi ska utvärderas. Efter återhämtning ska dosen justeras i enlighet med därmed (se avsnitt 4.2). Om patienten har livshotande bradykardi och inget bidragande samtidigt läkemedel kan identifieras eller om patienten får ett återfall i bradykardi, ska Alunbrig sättas ut (se avsnitt 4.2).
Synstörningar
Synstörningar har förekommit hos patienter som behandlas med Alunbrig (se avsnitt 4.8). Patienterna ska uppmanas att rapportera alla symtom som rör synen. Vid nytillkommande eller vid försämring av allvarliga synsymtom ska en oftalmologisk utvärdering samt dosminskning övervägas (se avsnitt 4.2).
Förhöjt kreatinfosfokinas (CPK)
Förhöjt CPK har förekommit hos patienter som behandlas med Alunbrig (se avsnitt 4.8). Patienterna ska uppmanas att rapportera alla oförklarliga smärtor, ömhet eller svaghet i musklerna. CPK‑nivåerna ska kontrolleras med jämna mellanrum under behandlingen med Alunbrig. Beroende på hur allvarlig CPK‑förhöjningen är och om den är förknippad med muskelsmärta eller ‑svaghet ska behandlingen med Alunbrig avbrytas tillfälligt och dosen justeras i enlighet därmed (se avsnitt 4.2).
Förhöjda pankreasenzymer
Förhöjt amylas och lipas har förekommit hos patienter som behandlas med Alunbrig (se avsnitt 4.8). Lipas och amylas ska kontrolleras regelbundet under behandlingen med Alunbrig. Beroende på hur allvarliga de avvikande laboratorievärdena är ska behandlingen med Alunbrig avbrytas tillfälligt och dosen justeras i enlighet därmed (se avsnitt 4.2).
Hepatotoxicitet
Förhöjda leverenzymer (aspartataminotransferas, alaninaminotransferas) och bilirubin har förekommit hos patienter som behandlats med Alunbrig (se avsnitt 4.8). Leverfunktion, med ASAT, ALAT och totalt bilirubin, ska analyseras innan Alunbrig sätts in och därefter varannan vecka under de första 3 behandlingsmånaderna. Därefter ska kontroller göras med jämna mellanrum. Beroende på hur allvarliga de avvikande laboratorievärdena är ska behandlingen avbrytas tillfälligt och dosen justeras i enlighet därmed (se avsnitt 4.2).
Hyperglykemi
Förhöjt serumglukos har förekommit hos patienter som behandlats med Alunbrig. Fasteserumglukos ska analyseras innan Alunbrig sätts in och därefter kontrolleras med jämna mellanrum. Antihyperglykemisk behandling ska sättas in eller optimeras efter behov. Om adekvat hyperglykemisk kontroll inte kan uppnås trots optimal läkemedelsbehandling ska Alunbrig avbrytas tillfälligt tills adekvat hyperglykemisk kontroll uppnåtts. Efter återhämtning kan dosminskning enligt beskrivning i tabell 1 övervägas, alternativt kan Alunbrig sättas ut permanent.
Läkemedelsinteraktioner
Samtidig användning av Alunbrig och starka CYP3A‑hämmare ska undvikas. Om samtidig användning av starka CYP3A‑hämmare inte kan undvikas ska Alunbrig‑dosen minskas från 180 mg till 90 mg, eller från 90 mg till 60 mg. Efter utsättning av en stark CYP3A‑hämmare ska Alunbrig återupptas med den dos som tolererades innan den starka CYP3A‑hämmaren sattes in.
Samtidig användning av Alunbrig och starka eller måttliga CYP3A‑inducerare ska undvikas (se avsnitt 4.5). Om samtidig användning av måttliga CYP3A‑inducerare inte kan undvikas, kan Alunbrig‑dosen ökas i steg om 30 mg efter 7 dagars behandling med aktuell tolererad Alunbrig‑dos, upp till högst en dubblering av den Alunbrig‑dos som tolererades innan behandling med den måttliga CYP3A‑induceraren sattes in. Efter utsättning av en måttlig CYP3A‑inducerare, ska Alunbrig återupptas med den dos som tolererades innan den starka CYP3A‑hämmaren sattes in.
Ljusöverkänslighet och fotodermatit
Ljusöverkänslighet mot solljus har förekommit hos patienter som behandlas med Alunbrig (se avsnitt 4.8). Patienterna ska rekommenderas att undvika långvarig exponering för solljus medan de tar Alunbrig och i minst 5 dagar efter att behandlingen avbrutits. Patienterna ska rekommenderas att använda hatt och skyddande kläder, solkräm med brett skydd mot ultraviolett A‑ och B‑strålning (UVA och UVB) samt läppbalsam (SPF ≥ 30) som skydd mot solbrännskador vid vistelse utomhus. Vid allvarliga ljusöverkänslighetsreaktioner (≥ grad 3) ska uppehåll i Alunbrig‑behandlingen ske tills reaktionen avklingat till utgångsläget. Dosen ska justeras på lämpligt sätt (se avsnitt 4.2).
Fertilitet
Fertila kvinnor ska uppmanas att använda ett effektivt icke‑hormonellt preventivmedel under behandlingen med Alunbrig och i minst 4 månader efter den sista dosen. Män med fertila kvinnliga partners ska uppmanas att använda ett effektivt preventivmedel under behandlingen och i minst 3 månader efter den sista dosen Alunbrig (se avsnitt 4.6).
Laktos
Alunbrig innehåller laktosmonohydrat. Patienter med något av följande sällsynta ärftliga tillstånd bör inte använda detta läkemedel: galaktosintolerans, total laktasbrist eller glukos‑galaktosmalabsorption.
Natrium
Detta läkemedel innehåller mindre än 1 mmol (23 mg) natrium per tablett, dvs. är näst intill ”natriumfritt”.
Medel som kan öka plasmakoncentrationen av brigatinib
CYP3A‑hämmare
In vitro‑studier har visat att brigatinib är ett substrat för CYP3A4/5. Hos friska försökspersoner ledde samtidig administrering av flera doser av den starka CYP3A4‑hämmaren itrakonazol 200 mg två gånger dagligen samtidigt med en engångsdos brigatinib 90 mg, till en ökning av Cmax för brigatinib med 21 %, AUC0‑INF med 101 % (fördubbling), och AUC0‑120 med 82 % (mindre än fördubbling), jämfört med en dos av enbart brigatinib 90 mg. Samtidig användning av starka CYP3A‑hämmare och Alunbrig, bland annat vissa antivirala medel (t.ex. indinavir, nelfinavir, ritonavir, sakvinavir), makrolidantibiotika (t.ex. klaritromycin, telitromycin, troleandomycin), antimykotika (t.ex. ketokonazol, vorikonazol) och nefazodon ska undvikas. Om samtidig användning av starka CYP3A‑hämmare inte kan undvikas ska dosen Alunbrig minskas med cirka 50 % (dvs. från 180 mg till 90 mg eller från 90 mg till 60 mg). Efter utsättning av en stark CYP3A‑hämmare ska Alunbrig återupptas med den dos som tolererades innan den starka CYP3A‑hämmaren sattes in.
Måttliga CYP3A‑hämmare (t.ex. diltiazem och verapamil) kan öka AUC för brigatinib med cirka 40 %, baserat på simuleringar i en fysiologibaserad farmakokinetisk modell. Ingen dosjustering krävs när Alunbrig ges i kombination med måttliga CYP3A‑hämmare. Patienterna ska övervakas noga när Alunbrig administreras tillsammans med måttliga CYP3A‑hämmare.
Grapefrukt eller grapefruktjuice kan öka plasmakoncentrationen av brigatinib och ska undvikas (se avsnitt 4.2).
CYP2C8‑hämmare
In vitro‑studier har visat att brigatinib är ett substrat för CYP2C8. Hos friska försökspersoner ledde samtidig administrering av flera doser av den starka CYP2C8‑hämmaren gemfibrozil 600 mg två gånger dagligen samtidigt med en engångsdos brigatinib 90 mg till en minskning av Cmax för brigatinib med 41 %, AUC0‑INF med 12 %, och AUC0‑120 med 15 %, jämfört med om enbart en 90 mg‑brigatinibdos administrerades. Gemfibrozils effekt på brigatinibs farmakokinetik har ingen klinisk betydelse och den underliggande mekanismen för den minskade exponeringen för brigatinib är inte känd. Ingen dosjustering krävs vid administrering samtidigt med starka CYP2C8‑hämmare.
P‑gp‑ och BCRP‑hämmare
Brigatinib är ett substrat för P‑glykoprotein (P‑gp) och bröstcancerresistensprotein (BCRP) in vitro. Med tanke på att brigatinib uppvisar hög löslighet och hög permeabilitet förväntas inte hämning av P‑gp och BCRP leda till någon klinisk betydelsefull förändring av den systemiska exponeringen för brigatinib. Ingen dosjustering krävs när Alunbrig administreras samtidigt med P‑gp‑ och BCRP‑hämmare.
Medel som kan minska plasmakoncentrationen av brigatinib
CYP3A‑inducerare
Hos friska försökspersoner ledde samtidig administrering av flera dagliga 600 mg‑doser rifampicin, en stark CYP3A‑inducerare, tillsammans med en engångsdos om 180 mg brigatinib, till en minskning av Cmax för brigatinib med 60 %, AUC0‑INF med 80 % (5‑faldigt) och AUC0‑120 med 80 % (5‑faldigt), jämfört med en dos av enbart brigatinib 180 mg. Samtidig användning av Alunbrig och starka CYP3A‑inducerare, bland andra rifampicin, karbamazepin, fenytoin, rifabutin, fenobarbital och johannesört, ska undvikas.
Måttliga CYP3A‑inducerare kan minska AUC för brigatinib med cirka 50 %, baserat på simuleringar i en fysiologibaserad farmakokinetisk modell. Samtidig användning av Alunbrig och måttliga CYP3A‑inducerare, bland andra efavirenz, modafamil, bosentan, etravirin och nafcillin, ska undvikas. Om samtidig användning av måttliga CYP3A‑inducerare inte kan undvikas, kan Alunbrig‑dosen ökas i steg om 30 mg efter 7 dagars behandling med aktuell tolererad Alunbrig‑dos, upp till högst en dubblering av den Alunbrig‑dos som tolererades innan behandling med den måttliga CYP3A‑induceraren sattes in. Efter utsättning av en måttlig CYP3A‑inducerare, ska Alunbrig återupptas med den dos som tolererades innan den starka CYP3A‑hämmaren sattes in.
Medel vars plasmakoncentration kan förändras av brigatinib
CYP3A‑substrat
In vitro‑studier av hepatocyter har visat att brigatinib inducerar CYP3A4. Hos cancerpatienter ledde samtidig administrering av flera dagliga doser med 180 mg Alunbrig tillsammans med en peroral engångsdos om 3 mg midazolam, ett känsligt CYP3A‑substrat, till en minskning av Cmax för midazolam med 16 %, AUC0‑INF med 26 % och AUC0‑last med 30 %, jämfört med en peroral dos om enbart 3 mg midazolam. Brigatinib minskar plasmakoncentrationen av samtidiga läkemedel som främst metaboliseras av CYP3A. Därför ska samtidig administrering av Alunbrig och CYP3A‑substrat med snävt terapeutiskt index (t.ex. alfentanil, fentanil, kinidin, ciklosporin, sirolimus, takrolimus) undvikas eftersom effekten av dessa kan reduceras.
Alunbrig kan även inducera andra enzymer och transportproteiner (t.ex. CYP2C, P‑gp) genom samma mekanismer som svarar för induktion av CYP3A (t.ex. aktivering av pregnan‑X‑receptorn).
Substrat för transportproteiner
Samtidig administrering av brigatinib och substrat för P‑gp (t.ex. digoxin, dabigatran, kolkicin, pravastatin), BCRP (t.ex. metotrexat, rosuvastatin, sulfasalazin), organisk katjontransportör1 (OCT1), multidrug and toxin extrusion protein 1 (MATE1) och 2K (MATE2K) kan öka plasmakoncentrationerna av dessa. Patienterna ska övervakas noga när Alunbrig administreras tillsammans med substrat för dessa transportproteiner som har snävt terapeutiskt index (t.ex. digoxin, dabigatran, metotrexat).
Fertila kvinnor/preventivmedel för män och kvinnor
Fertila kvinnor som behandlas med Alunbrig ska uppmanas att inte bli gravida och män som behandlas med Alunbrig att inte skaffa barn under behandlingstiden. Fertila kvinnor ska uppmanas att använda ett effektivt icke‑hormonellt preventivmedel under behandlingen med Alunbrig och i minst 4 månader efter den sista dosen. Män med fertila kvinnliga partners ska uppmanas att använda ett effektivt preventivmedel under behandlingen och i minst 3 månader efter den sista dosen Alunbrig.
Graviditet
Alunbrig kan orsaka fosterskador om det administreras till en gravid kvinna. Djurstudier har visat reproduktionstoxikologiska effekter (se avsnitt 5.3). Det finns inga kliniska data från användning av Alunbrig till gravida kvinnor. Alunbrig ska användas under graviditet endast då tillståndet kräver att det är absolut nödvändigt att kvinnan behandlas. Om Alunbrig används under graviditet, eller om patienten blir gravid under behandling med detta läkemedel, ska patienten informeras om risken för fosterskador.
Amning
Det är okänt om Alunbrig utsöndras i bröstmjölk. Tillgängliga data kan inte utesluta utsöndring i bröstmjölk. Amning ska avbrytas under behandling med Alunbrig.
Fertilitet
Det finns inga data om Alunbrigs effekter på fertiliteten hos människa. Baserat på toxicitetsstudier vid upprepad dosering till handjur, kan Alunbrig minska fertiliteten hos handjur (se avsnitt 5.3). Den kliniska betydelsen av dessa resultat för människans fertilitet är inte känd.
Alunbrig har mindre effekt på förmågan att framföra fordon och använda maskiner. Försiktighet ska dock iakttas vid framförande av fordon eller användning av maskiner eftersom synstörningar, yrsel eller trötthet kan förekomma under behandling med Alunbrig.
Sammanfattning av säkerhetsprofilen
De vanligaste biverkningarna som rapporterades (≥ 25 %) med Alunbrig i den rekommenderade dosregimen var förhöjt ASAT, förhöjt CPK, hyperglykemi, förhöjt lipas, hyperinsulinemi, diarré, förhöjt ALAT, förhöjt amylas, anemi, illamående, trötthet, hypofosfatemi, minskat antal lymfocyter, hosta, förhöjt alkaliskt fosfatas, hudutslag, förhöjt APTT, myalgi, huvudvärk, hypertoni, minskat antal vita blodkroppar, dyspné och kräkningar.
De vanligaste allvarliga biverkningar som rapporterades (≥ 2 %) med Alunbrig i den rekommenderade dosregimen, förutom biverkningar relaterade till tumörprogression, var pneumoni, pneumonit, dyspné och pyrexi.
Biverkningstabell
Uppgifterna som beskrivs nedan återspeglar exponering för Alunbrig i den rekommenderade dosregimen i tre kliniska studier: en fas III‑studie (ALTA 1L) på patienter med avancerad ALK‑positiv NSCLC som inte tidigare behandlats med en ALK‑hämmare (n = 136), en fas II‑studie (ALTA) på patienter som behandlas med Alunbrig med ALK‑positiv NSCLC som tidigare hade progredierat på krizotinib (n = 110) och en fas I/II‑studie med doseskalering/‑expansion på patienter med avancerade maligniteter (n = 28). I dessa studier var mediantiden för exponering hos patienter som fick Alunbrig i den rekommenderade dosregimen 21,8 månader.
Biverkningar som rapporterades presenteras i tabell 3 indelade efter organsystem, rekommenderad term och frekvens. Frekvenskategorierna är mycket vanliga (≥ 1/10), vanliga (≥ 1/100, < 1/10), samt mindre vanliga (≥ 1/1 000, < 1/100). Inom varje frekvensgrupp presenteras biverkningar i frekvensordning.
Tabell 3: Biverkningar rapporterade hos patienter behandlade med Alunbrig (enligt Common Terminology Criteria for Adverse Events (CTCAE) version 4.03) i 180 mg‑regimen (n = 274)
Beskrivning av valda biverkningar
Pulmonella biverkningar
I ALTA 1L‑studien fick 2,9 % av patienterna någon grad av ILD/pneumonit tidigt under behandlingen (inom 8 dagar), med ILD/pneumonit av grad 3-4 hos 2,2 % av patienterna. Ingen fatal ILD/pneumonit förekom. Dessutom fick 3,7 % av patienterna pneumonit senare under behandlingen.
I ALTA‑studien fick 6,4 % av patienterna pulmonella biverkningar av någon grad, såsom ILD/pneumonit, pneumoni och dyspné, tidigt under behandlingen (inom 9 dagar, mediantid till debut: 2 dagar); 2,7 % av patienterna fick pulmonella biverkningar av grad 3‑4 och en patient (0,5 %) fick fatal pneumoni. Efter pulmonella biverkningar av grad 1‑2 gjordes ett tillfälligt avbrott i Alunbrig‑behandlingen alternativt minskades dosen. Tidiga pulmonella biverkningar förekom också i en doseskalerande studie på patienter (n = 137) (studie 101) med tre fatala fall (hypoxi, akut respiratoriskt distressyndrom respektive pneumoni). Dessutom fick 2,3 % av patienterna i ALTA pneumonit senare under behandlingen, då 2 patienter fick grad 3‑pneumonit (se avsnitt 4.2 och 4.4).
Äldre
Tidig pulmonell biverkning rapporterades hos 10,1 % av patienterna som var ≥ 65 år jämfört med 3,1 % av patienterna som var < 65 år.
Hypertoni
Hypertoni rapporterades hos 30 % av patienterna som behandlades med Alunbrig i 180 mg‑regimen. Grad 3‑hypertoni förekom hos 11 %. Dosminskning på grund av hypertoni krävdes hos 1,5 % av patienterna som fick 180 mg. Genomsnittligt systoliskt och diastoliskt blodtryck ökade över tid hos samtliga patienter (se avsnitt 4.2 och 4.4).
Bradykardi
Bradykardi rapporterades hos 8,4 % av patienterna som behandlades med Alunbrig i 180 mg‑regimen.
Hjärtfrekvens under 50 slag per minut (bpm) rapporterades hos 8,4 % av patienterna i 180 mg‑regimen (se avsnitt 4.2 och 4.4).
Synstörningar
Synstörningar rapporterades hos 14 % av patienterna som behandlades med Alunbrig i 180 mg‑regimen. Av dessa var tre stycken (1,1 %) grad 3‑biverkningar i form av makulaödem och katarakt.
Dosen sänktes på grund av synstörningar hos två patienter (0,7 %) som behandlades med 180 mg‑regimen (se avsnitt 4.2 och 4.4).
Perifer neuropati
Perifer neuropati rapporterades hos 20 % av patienterna som behandlades med 180 mg‑regimen. Biverkningen gick tillbaka helt hos 33 % av patienterna med perifer neuropati. Perifer neuropati kvarstod i median i 6,6 månader, med en maximal duration på 28,9 månader.
Förhöjt kreatinfosfokinas (CPK)
Förhöjt CPK rapporterades hos 64 % av patienterna som behandlades med Alunbrig i 180 mg‑regimen. Incidensen av grad 3‑4‑ökningar av CPK var 18 %. Mediantiden till CPK‑förhöjning var 28 dagar.
Dosen sänktes på grund av förhöjt CPK hos 10 % av patienterna som behandlades med 180 mg‑regimen (se avsnitt 4.2 och 4.4).
Förhöjda pankreasenzymer
Förhöjt amylas rapporterades hos 47 % och förhöjt lipas hos 54 % av patienterna som behandlades med Alunbrig i 180 mg‑regimen. För ökningar till grad 3 och grad 4 var incidensen för förhöjt amylas och lipas 7,7 % respektive 15 %. Mediantiden till amylas‑ och lipasökning var 16 respektive 29 dagar.
Dosen sänktes på grund av förhöjt lipas och amylas hos 4,7 % respektive 2,9 % av patienterna som behandlades med 180 mg‑regimen (se avsnitt 4.2 och 4.4).
Förhöjda leverenzymer
Förhöjt ALAT rapporterades hos 49 % och förhöjt ASAT hos 68 % av patienterna som behandlades med Alunbrig i 180 mg‑regimen. För ökningar till grad 3 och grad 4 var incidensen för förhöjt ALAT och ASAT 4,7 % respektive 3,6 %.
Dosen sänktes på grund av förhöjt ALAT och ASAT hos 0,7 % respektive 1,1 % av patienterna som behandlades med 180 mg‑regimen (se avsnitt 4.2 och 4.4).
Hyperglykemi
61 % av patienterna fick hyperglykemi. Grad 3‑hyperglykemi inträffade hos 6,6 % av patienterna.
Dosen behövde inte minskas på grund av hyperglykemi hos någon patient.
Ljusöverkänslighet och fotodermatit
En sammanslagen analys av sju kliniska prövningar med data från 804 patienter, som behandlats med Alunbrig i olika dosregimer, visade att ljusöverkänslighet och fotodermatit rapporterades hos 5,8 % av patienterna varav grad 3‑4 inträffade hos 0,7 % av patienterna. Dosen minskades hos 0,4 % av patienterna (se avsnitt 4.2 och 4.4).
Rapportering av misstänkta biverkningar
Det finns ingen specifik antidot mot överdosering av Alunbrig. I händelse av en överdosering ska patienten övervakas avseende biverkningar (se avsnitt 4.8) och lämplig understödjande vård ges.
Klinisk effekt och säkerhet
ALTA 1L
Säkerhet och effekt av Alunbrig undersöktes i en randomiserad (1:1), öppen multicenterstudie (ALTA 1L) på 275 vuxna patienter med avancerad ALK‑positiv NSCLC som inte tidigare hade fått någon ALK‑inriktad behandling. Lämplighetskriterierna tillät rekrytering av patienter med dokumenterad ALK‑mutation baserat på ett lokalt standardmässigt test och ECOG‑funktionsstatus 0‑2. Patienterna fick ha upp till en tidigare behandlingsregim med kemoterapi för den lokalt avancerade eller metastaserade sjukdomen. Neurologiskt stabila patienter med behandlade eller obehandlade metastaser i centrala nervsystemet (CNS), bland annat leptomeningeala metastaser, var lämpliga. Patienter med pulmonell interstitiell lungsjukdom, läkemedelsrelaterad pneumonit eller strålningspneumonit i anamnesen exkluderades.
Patienterna randomiserades i förhållandet 1:1 till att få Alunbrig i dosen 180 mg en gång dagligen med en inledande 7‑dagarsperiod med 90 mg en gång dagligen (n = 137) eller krizotinib 250 mg peroralt två gånger dagligen (n = 138). Randomiseringen stratifierades efter hjärnmetastaser (närvarande, inte närvarande) och tidigare användning av kemoterapi för lokalt avancerad eller metastaserad sjukdom (ja, nej).
De patienter i krizotinibgruppen vars sjukdom progredierade erbjöds att gå över till behandling med Alunbrig. Av de 121 patienter som randomiserats till krizotinib och som avbrutit studien vid tidpunkten för den slutliga analysen, hade 99 patienter (82 %) därefter fått behandling med en ALK‑tyrosinkinashämmare (TKI) och 80 patienter (66 %) med Alunbrig, vilket inkluderar 65 patienter (54 %) som gick över inom ramen för studien.
Det viktigaste resultatmåttet var progressionsfri överlevnad (PFS) enligt Response Evaluation Criteria in Solid Tumours (RECIST v1.1) enligt bedömning av en blindad oberoende granskningskommitté (BIRC). Andra resultatmått enligt BIRC:s bedömning inkluderar bekräftad objektiv responsfrekvens (ORR), responsens varaktighet (DOR), tid till respons, frekvens för sjukdomskontroll (DCR), intrakraniell ORR, intrakraniell PFS och intrakraniell DOR. Resultat som bedömts av prövaren inkluderar PFS och total överlevnad.
Baslinjedemografi och sjukdomskaraktäristika i ALTA 1L var: medianålder 59 år (27 till 89 år; 32 % 65 år eller äldre), 59 % kaukasier och 39 % asiater, 55 % kvinnor, 39 % med ECOG‑poäng 0 och 56 % med ECOG‑poäng 1, 58 % hade aldrig rökt, 93 % i stadium IV av sjukdomen, 96 % adenokarcinomhistologi, 30 % med metastaser i CNS vid utgångsläget, 14 % med tidigare strålbehandling av hjärnan och 27 % med tidigare kemoterapi. Ställen för extratorakala metastaser är bland annat hjärnan (30 % av patienterna), skelettet (31 % av patienterna) och levern (20 % av patienterna). Medianen av relativ dosintensitet var 97 % för Alunbrig och 99 % för krizotinib.
Vid den primära analysen, som utfördes vid en medianuppföljningstid på 11 månader i Alunbrig‑gruppen,uppnådde ALTA 1L‑studien det primära effektmåttet och uppvisade enligt BIRC en statistiskt signifikant förbättring av PFS.
En interimanalys som specificerats i protokollet med brytdatum 28 juni 2019 utfördes vid en medianuppföljningstid på 24,9 månader i Alunbrig‑ gruppen. Median-PFS i ITT-populationen enligt BIRC var 24 månader för Alunbrig och 11 månader för krizotinib (HR = 0,49 [95 % KI (0,35; 0,68)], p < 0,0001).
Resultaten av den i protokollet specificerade analysen efter den sista kontakten med den sista patienten den 29 januari 2021, utförd vid en uppföljningstid på i median 40,4 månader i Alunbrig-gruppen, presenteras nedan.
Tabell 4: Effektresultat i ALTA IL (ITT‑population)
BIRC = blindad oberoende granskningskommitté; EU = ej uppskattningsbar; KI = konfidensintervall
Resultaten i tabellen baseras på slutlig effektanalys efter den sista kontakten med den sista patienten den 29 januari 2021
a uppföljningens varaktighet för hela studien
b inkluderar 3 patienter med palliativ strålbehandling av hjärnan
c inkluderar 9 patienter med palliativ strålbehandling av hjärnan
d Stratifierat efter förekomst av metastaser i CNS vid utgångsläget och tidigare kemoterapi för lokalt avancerad eller metastaserad sjukdom för log‑rank‑test respektive Cochran Mantel‑Haenszel‑test
e Från ett Cochran Mantel‑Haenszel‑test
f Patienter i krizotinibgruppen vars sjukdom progredierat erbjöds att gå över till behandling med Alunbrig.
Bild 1: Kaplan‑Meier‑kurva för progressionsfri överlevnad enligt BIRC i ALTA 1L
Resultaten i diagrammet baseras på slutlig effektanalys efter den sista kontakten med den sista patienten den 29 januari 2021
BIRC:s bedömning av intrakraniell effekt enligt RECIST v1.1 hos patienter med hjärnmetastaser och patienter med mätbara hjärnmetastaser (≥ 10 mm i längsta diameter) vid utgångsläget sammanfattas i tabell 5.
Tabell 5: Intrakraniell effekt hos patienter i ALTA 1L, utvärderad av BIRC
KI = konfidensintervall; EU = ej uppskattningsbar
Resultaten i tabellen baseras på slutlig effektanalys efter den sista kontakten med den sista patienten den 29 januari 2021
a Stratifierat efter förekomst av tidigare kemoterapi för lokalt avancerad eller metastaserad sjukdom för log‑rank‑test respektive Cochran Mantel‑Haenszel‑test
b Från ett Cochran Mantel‑Haenszel‑test
c Mätt från det datum då intrakraniell respons först bekräftades fram till datumet för intrakraniell sjukdomsprogression (nya intrakraniella lesioner, ökad diameter på intrakraniell mållesion med ≥ 20 % från nadir eller otvetydig progression av annan intrakraniell lesion än mållesionen) eller död eller censurering
d Mätt från randomiseringsdatumet fram till datumet för intrakraniell sjukdomsprogression (nya intrakraniella lesioner, ökad diameter på intrakraniell mållesion med ≥ 20 % från nadir eller otvetydig progression av annan intrakraniell lesion än mållesionen) eller död eller censurering.
e Inkluderar 1 patient med palliativ strålbehandling av hjärnan
f Inkluderar 3 patienter med palliativ strålbehandling av hjärnan
ALTA
Alunbrigs säkerhet och effekt undersöktes i en randomiserad (1:1), öppen multicenterstudie (ALTA) på 222 vuxna patienter med lokalt avancerad eller metastaserad ALK‑positiv NSCLC som hade progredierat på krizotinib. Lämplighetskriterierna tillät rekrytering av patienter med dokumenterad ALK‑mutation baserat på ett validerat test, ECOG‑funktionsstatus 0‑2, samt tidigare kemoterapi. Dessutom inkluderades patienter med metastaser i centrala nervsystemet (CSN) under förutsättning att de var neurologiskt stabila och inte behövde högre dos kortikosteroider. Patienter med pulmonell interstitiell lungsjukdom eller läkemedelsrelaterad pneumonit i anamnesen exkluderades.
Patienterna randomiserades i förhållandet 1:1 till att få Alunbrig antingen som 90 mg en gång dagligen (90 mg‑regimen, n = 112), eller 180 mg en gång dagligen med en inledande 7‑dagarsperiod på 90 mg en gång dagligen (180 mg‑regimen, n = 110). Medianuppföljningstiden var 22,9 månader. Randomiseringen stratifierades efter hjärnmetastaser (fanns, fanns inte) och bästa tidigare respons på krizotinibbehandling (komplett eller partiell respons, all övrig respons/okänd).
Det viktigaste resultatmåttet var bekräftad objektiv responsfrekvens (ORR) enligt Response Evaluation Criteria in Solid Tumours (RECIST v1.1) enligt prövarens bedömning. Andra resultatmått var bekräftad ORR bedömt av en oberoende granskningskommitté (IRC); tid till respons; progressionsfri överlevnad (PFS); responsens varaktighet (DOR); total överlevnad; samt intrakraniell ORR och intrakraniell DOR bedömt av en IRC.
Baslinjedemografi och sjukdomskaraktäristika i ALTA var: medianålder 54 år (18 till 82; 23 % 65 år eller äldre), 27 % kaukasier och 31 % asiater, 57 % kvinnor, 36 % med ECOG‑poäng 0 och 57 % med ECOG‑poäng 1, 7 % med ECOG‑poäng 2, 60 % hade aldrig rökt, 35 % var f.d. rökare, 98 % i stadium IV, 97 % adenokarcinom och 74 % tidigare kemoterapi. De vanligaste ställena för extratorakala metastaser var hjärnan med 69 % (av vilka 62 % tidigare fått strålbehandling mot hjärnan), skelettet med 39 % och levern med 26 %.
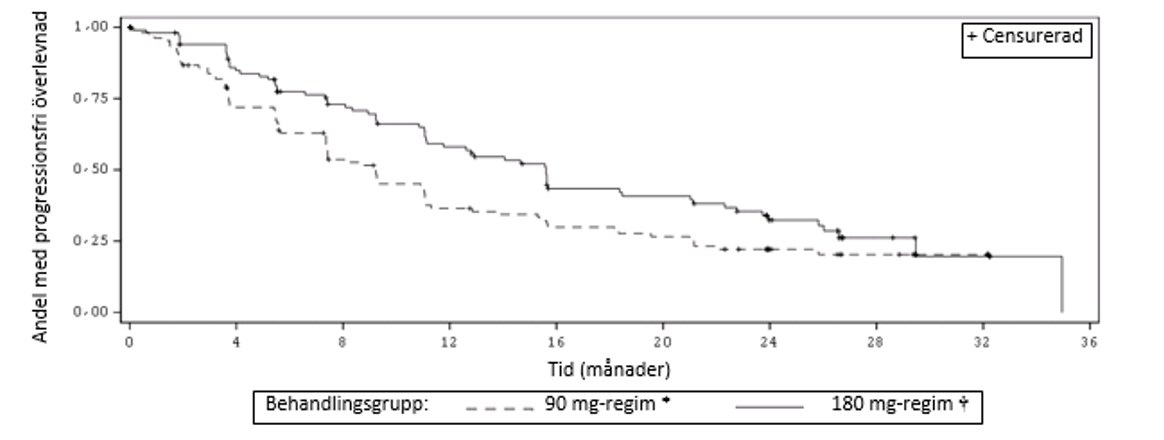
Effektresultaten från ALTA‑analysen sammanfattas i tabell 6. Kaplan‑Meier‑kurvan för prövarbedömd PFS visas i bild 2.
Tabell 6: Effektresultat i ALTA (ITT‑population)
KI = konfidensintervall; EU = ej uppskattningsbar; NA = Ej relevant
*vid 90 mg en gång dagligen
†180 mg en gång dagligen med inledande 7 dagars‑period på 90 mg en gång daglige
‡Konfidensintervall för prövarbedömd ORR är 97,5 % och för ORR bedömd av ICR 95 %
Bild 2: Av prövaren bedömd överlevnad utan systemisk progression: ITT‑population per behandlingsarm (ALTA)
Förkortningar: ITT = Intention‑to‑treat
Anm: Progressionsfri överlevnad definierades som tid från behandlingsinsättning till det datum då sjukdomsprogression först visade sig, alternativt dödsfall, beroende på vilket som inträffade först.
*90 mg en gång dagligen
†180 mg en gång dagligen med inledande 7 dagars‑period på 90 mg en gång dagligen
Den oberoende granskningskommitténs bedömning av intrakraniell ORR och den intrakraniella responsens varaktighet hos patienter i ALTA som hade mätbara hjärnmetastaser vid utgångsläget (största diameter ≥ 10 mm) sammanfattas i tabell 7.
Tabell 7: Intrakraniell effekt i ALTA hos patienter med mätbara hjärnmetastaser vid utgångsläget
% KI = konfidensintervall; EU = ej uppskattningsbar
*90 mg en gång dagligen
†180 mg en gång dagligen med inledande 7 dagars‑period på 90 mg en gång dagligen
‡Inträffade händelser omfattade intrakraniell sjukdomsprogression (nya lesioner, ökad diameter på intrakraniell mållesion med ≥ 20 % från nadir, eller otvetydig progression av annan intrakraniell lesion än mållesionen) eller död.
Hos patienter som hade hjärnmetastaser vid utgångsläget var frekvensen för intrakraniell sjukdomskontroll 77,8 % (95 % KI 67,2‑86,3) i 90 mg‑armen (n = 81) och 85,1 % (95 % KI 75‑92,3) i 180 mg‑armen (n = 74).
Studie 101
I en separat dosfinnande studie fick 25 patienter med ALK‑positiv NSCLC som progredierat på krizotinib Alunbrig i dosen 180 mg en gång dagligen med 7‑dagars inledning på 90 mg en gång dagligen. Av dessa fick 19 patienter en av prövaren bedömd bekräftad objektiv respons (76 %; 95 % KI: 55, 91) och KM‑estimatet för responsens medianduration var bland dessa 19 patienter 26,1 månader (95 % KI: 7,9; 26,1). Median‑PFS enligt KM var 16,3 månader (95 % KI: 9,2; EU) och sannolikheten för 12 månaders överlevnad var 84,0 % (95 % KI: 62,8; 93,7).
Pediatrisk population
Europeiska läkemedelsmyndigheten har beviljat undantag från kravet att skicka in studieresultat för Alunbrig för alla grupper av den pediatriska populationen för lungcancer (småcellig och icke‑småcellig lungcancer) (information om pediatrisk användning finns i avsnitt 4.2).
Absorption
Efter administrering av en peroral engångsdos brigatinib (30‑240 mg) i studie 101 var mediantiden till högsta koncentration (Tmax) 1‑4 timmar efter dosen. Efter en engångsdos och vid steady state var den systemiska exponeringen dosproportionell inom dosintervallet 60‑240 mg en gång dagligen. En viss ackumulering observerades vid upprepad dosering (geometriskt medelvärde för ackumuleringskvot: 1,9 till 2,4). Geometriskt medelvärde för Cmax vid steady state för brigatinib i doser om 90 mg och 180 mg en gång dagligen var 552 respektive 1 452 ng/ml, och motsvarande AUC0‑τ var 8 165 respektive 20 276 h x ng/ml. Brigatinib är substrat för transportproteinerna P‑gp och BCRP.
Hos friska försökspersoner gav en fettrik måltid en minskning av Cmax för brigatinib med 13 % utan någon effekt på AUC, jämfört med hos deltagare som fastat under natten. Brigatinib kan administreras med eller utan föda.
Distribution
Brigatinib uppvisade måttlig bindning (91 %) till humana plasmaproteiner. Bindningen var inte koncentrationsberoende. Kvoten för blod‑plasma‑koncentrationen var 0,69. Hos patienter som fick brigatinib 180 mg en gång dagligen var det geometriska medelvärdet för skenbar distributionsvolym (Vz/F) för brigatinib vid steady state 307 l, vilket visar på en måttlig distribution ut i vävnaderna.
Metabolism
In vitro‑studier har visat att brigatinib främst metaboliseras av CYP2C8 och CYP3A4, och i betydligt mindre utsträckning av CYP3A5.
Efter peroral administrering av en engångsdos om 180 mg [14C]brigatinib till friska försökspersoner var N‑demetylering och cysteinkonjugering de två viktigaste metabola elimineringsvägarna. I urin och feces sammantaget utsöndrades 48 % av den radioaktiva dosen som oförändrat brigatinib. 27 % som N‑desmetylbrigatinib (AP26123) och 9,1 % som brigatinibcysteinkonjugat. Oförändrat brigatinib utgjorde den största cirkulerande radioaktiva komponenten (92 %) tillsammans med AP26123 (3,5 %), den primära metabolit som också observerades in vitro. Vid steady state var plasma‑AUC för AP26123 hos patienterna < 10 % av brigatinibexponeringen. I kinas‑ och cellanalyser in vitro hämmade metaboliten, AP26123, ALK med en ungefär 3 gånger lägre potens än brigatinib.
Eliminering
Hos patienterna som fick brigatinib 180 mg en gång dagligen var det geometriska medelvärdet för skenbar oral clearance (CL/F) för brigatinib vid steady state 8,9 l/h och median halveringstid i plasma var 24 h.
Den viktigaste utsöndringsvägen för brigatinib är via feces. Hos sex friska manliga försöksdeltagare som fick en peroral dos på 180 mg [14C]brigatinib återfanns 65 % av den administrerade dosen i feces och 25 % i urinen. Oförändrat brigatinib utgjorde 41 % respektive 86 % av den totala radioaktiviteten i feces och urin. Återstoden utgjordes av metaboliter.
Specifika populationer
Nedsatt leverfunktion
Brigatinibs farmakokinetik beskrevs hos friska försökspersoner med normal leverfunktion (Child‑Pugh klass A, n = 6), måttligt nedsatt leverfunktion (Child‑Pugh klass B, n = 6), eller kraftigt nedsatt leverfunktion (Child‑Pugh klass C, n = 6). Brigatinibs farmakokinetik var likartad mellan friska försökspersoner med normal leverfunktion och patienter med lätt (Child‑Pugh klass A) eller måttligt (Child‑Pugh klass B) nedsatt leverfunktion. Obundet AUC0‑INF var 37 % högre hos patienter med kraftigt nedsatt leverfunktion (Child‑Pugh klass C) jämfört med hos friska försökspersoner med normal leverfunktion (se avsnitt 4.2).
Nedsatt njurfunktion
Farmakokinetiken för brigatinib är likartad mellan patienter med normal njurfunktion och patienter med lätt eller måttligt nedsatt njurfunktion (eGFR ≥ 30 ml/min) baserat på resultaten från populationsfarmakokinetiska analyser. I en farmakokinetisk studie var obundet AUC0‑INF 94 % högre hos patienter med kraftigt nedsatt njurfunktion (eGFR < 30 ml/min, n = 6) än hos patienter med normal njurfunktion (eGFR ≥ 90 ml/min, n = 8) (se avsnitt 4.2).
Etnicitet och kön
Populationsfarmakokinetiska analyser visade att etnicitet och kön inte inverkade på brigatinibs farmakokinetik.
Ålder, kroppsvikt och albuminkoncentration
De populationsfarmakokinetiska analyserna visade att kroppsvikt, ålder och albuminkoncentration inte hade någon kliniskt relevant inverkan på brigatinibs farmakokinetik.
Vid säkerhetsfarmakologiska studier av brigatinib sågs en risk för pulmonella effekter (förändrad andningsfrekvens; 1‑2 gånger Cmax hos människa), kardiovaskulära effekter (förändrad hjärtfrekvens och blodtryck; vid 0,5 gånger Cmax hos människa), samt renala effekter (minskad njurfunktion; vid 1‑2,5 gånger Cmax hos människa), men visade inte på någon risk för QT‑förlängning eller neurofunktionella effekter.
Biverkningar hos djur vid exponeringsnivåer som motsvarar den kliniska exponeringen och kan vara relevanta för klinisk användning var följande: gastrointestinala organ, benmärg, ögon, testiklar, lever, njurar, skelett och hjärta. Dessa effekter gick i allmänhet tillbaka under återhämtningsperioden utan behandling; dock var effekterna på ögon och testiklar noterbara undantag med bristande återhämtning.
Vid studier av upprepad dosering noterades lungförändringar (alveolära foam‑makrofager) hos apa vid ≥ 0,2 gånger x AUC hos människa. Förändringarna var dock minimala och motsvarade dem som rapporterades som bakgrundsfynd hos apor som inte tidigare behandlats. Man såg inga kliniska tecken på respiratorisk distress hos dessa apor.
Inga karcinogenitetsstudier har utförts med brigatinib.
Brigatinib var inte mutagent in vitro i Ames‑test (bakteriell omvänd mutation) eller analyser av kromosomavvikelser i däggdjursceller, men ökade antalet mikronuklei något i ett mikronukleustest på benmärg från råtta. Mekanismen bakom induktion av mikronukleus var onormal kromosomsegregation (aneugenicitet) och inte en klastogen effekt på kromosomerna. Denna effekt observerades vid ungefär fem gånger exponeringen hos människa vid dosen 180 mg en gång dagligen.
Brigatinib kan försämra fertiliteten hos handjur. Testikelbiverkningar observerades i djurstudier av upprepad dosering. Hos råtta sågs lägre vikt hos testiklar, sädesblåsor och prostata, samt degeneration av tubuli. Dessa effekter gick inte tillbaka under återhämtningsperioden. Hos apor sågs mindre testiklar samtidigt med mikroskopisk evidens på hypospermatogenes. Dessa effekter gick tillbaka under återhämtningsperioden. Totalt sett uppstod dessa effekter på handjurens könsorgan hos råttor och apor vid exponeringar på ≥ 0,2 gånger den AUC som observeras hos patienter vid dosen 180 mg en gång dagligen. Inga uppenbara biverkningar på hondjurens könsorgan observerades i studier av allmäntoxicitet hos råtta och apa.
I en studio av embryofetal utveckling där dräktiga råttor fick dagliga doser brigatinib under organogenesen, sågs dosrelaterade skelettmissbildningar vid så låga doser som ungefär 0,7 gånger exponeringen hos människa mätt som AUC vid dosen 180 mg en gång dagligen. Bland annat observerades embryodöd, lägre fostervikt och skelettförändringar.
Farmakoterapeutisk grupp: antineoplastiska medel, proteinkinashämmare, ATC‑kod: L01ED04
Verkningsmekanism
Brigatinib är en tyrosinkinashämmare riktad mot ALK, c‑ros onkogen 1 (ROS1) och insulinliknande tillväxtfaktor 1‑receptorn (IGF‑1R). Brigatinib hämmade autofosfylering av ALK samt ALK‑medierad fosforylering av nedströms‑signalproteinet STAT3 i in vitro‑ och in vivo‑analyser.
Brigatinib hämmade in vitro‑proliferation av cellinjer som uttryckte fusionsproteinerna EML4‑ALK och NPM‑ALK och uppvisade en dosberoende hämning av tillväxten av EML4‑ALK‑positivt NSCLC‑xenograft hos möss. Brigatinib hämmade viabiliteten in vitro och in vivo hos celler som uttryckte muterade former av EML4‑ALK som var associerade med resistens mot ALK‑hämmare, såsom G1202R och L1196M.
Hjärtats elektrofysiologi
I studie 101 undersöktes Alunbrigs potential att orsaka förlängt QT‑intervall hos 123 patienter med avancerade maligniteter, efter brigatinibdoser om 30 mg till 240 mg en gång dagligen. Maximal genomsnittlig QTcF‑förändring (korrigerad med Fredericia‑metoden) från utgångsläget var under 10 msek. En analys av exponering‑QT tyder inte på någon koncentrationsberoende förlängning av QTc‑intervallet.
Klinisk effekt och säkerhet
ALTA 1L
Säkerhet och effekt av Alunbrig undersöktes i en randomiserad (1:1), öppen multicenterstudie (ALTA 1L) på 275 vuxna patienter med avancerad ALK‑positiv NSCLC som inte tidigare hade fått någon ALK‑inriktad behandling. Lämplighetskriterierna tillät rekrytering av patienter med dokumenterad ALK‑mutation baserat på ett lokalt standardmässigt test och ECOG‑funktionsstatus 0‑2. Patienterna fick ha upp till en tidigare behandlingsregim med kemoterapi för den lokalt avancerade eller metastaserade sjukdomen. Neurologiskt stabila patienter med behandlade eller obehandlade metastaser i centrala nervsystemet (CNS), bland annat leptomeningeala metastaser, var lämpliga. Patienter med pulmonell interstitiell lungsjukdom, läkemedelsrelaterad pneumonit eller strålningspneumonit i anamnesen exkluderades.
Patienterna randomiserades i förhållandet 1:1 till att få Alunbrig i dosen 180 mg en gång dagligen med en inledande 7‑dagarsperiod med 90 mg en gång dagligen (n = 137) eller krizotinib 250 mg peroralt två gånger dagligen (n = 138). Randomiseringen stratifierades efter hjärnmetastaser (närvarande, inte närvarande) och tidigare användning av kemoterapi för lokalt avancerad eller metastaserad sjukdom (ja, nej).
De patienter i krizotinibgruppen vars sjukdom progredierade erbjöds att gå över till behandling med Alunbrig. Av de 121 patienter som randomiserats till krizotinib och som avbrutit studien vid tidpunkten för den slutliga analysen, hade 99 patienter (82 %) därefter fått behandling med en ALK‑tyrosinkinashämmare (TKI) och 80 patienter (66 %) med Alunbrig, vilket inkluderar 65 patienter (54 %) som gick över inom ramen för studien.
Det viktigaste resultatmåttet var progressionsfri överlevnad (PFS) enligt Response Evaluation Criteria in Solid Tumours (RECIST v1.1) enligt bedömning av en blindad oberoende granskningskommitté (BIRC). Andra resultatmått enligt BIRC:s bedömning inkluderar bekräftad objektiv responsfrekvens (ORR), responsens varaktighet (DOR), tid till respons, frekvens för sjukdomskontroll (DCR), intrakraniell ORR, intrakraniell PFS och intrakraniell DOR. Resultat som bedömts av prövaren inkluderar PFS och total överlevnad.
Baslinjedemografi och sjukdomskaraktäristika i ALTA 1L var: medianålder 59 år (27 till 89 år; 32 % 65 år eller äldre), 59 % kaukasier och 39 % asiater, 55 % kvinnor, 39 % med ECOG‑poäng 0 och 56 % med ECOG‑poäng 1, 58 % hade aldrig rökt, 93 % i stadium IV av sjukdomen, 96 % adenokarcinomhistologi, 30 % med metastaser i CNS vid utgångsläget, 14 % med tidigare strålbehandling av hjärnan och 27 % med tidigare kemoterapi. Ställen för extratorakala metastaser är bland annat hjärnan (30 % av patienterna), skelettet (31 % av patienterna) och levern (20 % av patienterna). Medianen av relativ dosintensitet var 97 % för Alunbrig och 99 % för krizotinib.
Vid den primära analysen, som utfördes vid en medianuppföljningstid på 11 månader i Alunbrig‑gruppen,uppnådde ALTA 1L‑studien det primära effektmåttet och uppvisade enligt BIRC en statistiskt signifikant förbättring av PFS.
En interimanalys som specificerats i protokollet med brytdatum 28 juni 2019 utfördes vid en medianuppföljningstid på 24,9 månader i Alunbrig‑ gruppen. Median-PFS i ITT-populationen enligt BIRC var 24 månader för Alunbrig och 11 månader för krizotinib (HR = 0,49 [95 % KI (0,35; 0,68)], p < 0,0001).
Resultaten av den i protokollet specificerade analysen efter den sista kontakten med den sista patienten den 29 januari 2021, utförd vid en uppföljningstid på i median 40,4 månader i Alunbrig-gruppen, presenteras nedan.
Tabell 4: Effektresultat i ALTA IL (ITT‑population)
BIRC = blindad oberoende granskningskommitté; EU = ej uppskattningsbar; KI = konfidensintervall
Resultaten i tabellen baseras på slutlig effektanalys efter den sista kontakten med den sista patienten den 29 januari 2021
a uppföljningens varaktighet för hela studien
b inkluderar 3 patienter med palliativ strålbehandling av hjärnan
c inkluderar 9 patienter med palliativ strålbehandling av hjärnan
d Stratifierat efter förekomst av metastaser i CNS vid utgångsläget och tidigare kemoterapi för lokalt avancerad eller metastaserad sjukdom för log‑rank‑test respektive Cochran Mantel‑Haenszel‑test
e Från ett Cochran Mantel‑Haenszel‑test
f Patienter i krizotinibgruppen vars sjukdom progredierat erbjöds att gå över till behandling med Alunbrig.
Bild 1: Kaplan‑Meier‑kurva för progressionsfri överlevnad enligt BIRC i ALTA 1L
Resultaten i diagrammet baseras på slutlig effektanalys efter den sista kontakten med den sista patienten den 29 januari 2021
BIRC:s bedömning av intrakraniell effekt enligt RECIST v1.1 hos patienter med hjärnmetastaser och patienter med mätbara hjärnmetastaser (≥ 10 mm i längsta diameter) vid utgångsläget sammanfattas i tabell 5.
Tabell 5: Intrakraniell effekt hos patienter i ALTA 1L, utvärderad av BIRC
KI = konfidensintervall; EU = ej uppskattningsbar
Resultaten i tabellen baseras på slutlig effektanalys efter den sista kontakten med den sista patienten den 29 januari 2021
a Stratifierat efter förekomst av tidigare kemoterapi för lokalt avancerad eller metastaserad sjukdom för log‑rank‑test respektive Cochran Mantel‑Haenszel‑test
b Från ett Cochran Mantel‑Haenszel‑test
c Mätt från det datum då intrakraniell respons först bekräftades fram till datumet för intrakraniell sjukdomsprogression (nya intrakraniella lesioner, ökad diameter på intrakraniell mållesion med ≥ 20 % från nadir eller otvetydig progression av annan intrakraniell lesion än mållesionen) eller död eller censurering
d Mätt från randomiseringsdatumet fram till datumet för intrakraniell sjukdomsprogression (nya intrakraniella lesioner, ökad diameter på intrakraniell mållesion med ≥ 20 % från nadir eller otvetydig progression av annan intrakraniell lesion än mållesionen) eller död eller censurering.
e Inkluderar 1 patient med palliativ strålbehandling av hjärnan
f Inkluderar 3 patienter med palliativ strålbehandling av hjärnan
ALTA
Alunbrigs säkerhet och effekt undersöktes i en randomiserad (1:1), öppen multicenterstudie (ALTA) på 222 vuxna patienter med lokalt avancerad eller metastaserad ALK‑positiv NSCLC som hade progredierat på krizotinib. Lämplighetskriterierna tillät rekrytering av patienter med dokumenterad ALK‑mutation baserat på ett validerat test, ECOG‑funktionsstatus 0‑2, samt tidigare kemoterapi. Dessutom inkluderades patienter med metastaser i centrala nervsystemet (CSN) under förutsättning att de var neurologiskt stabila och inte behövde högre dos kortikosteroider. Patienter med pulmonell interstitiell lungsjukdom eller läkemedelsrelaterad pneumonit i anamnesen exkluderades.
Patienterna randomiserades i förhållandet 1:1 till att få Alunbrig antingen som 90 mg en gång dagligen (90 mg‑regimen, n = 112), eller 180 mg en gång dagligen med en inledande 7‑dagarsperiod på 90 mg en gång dagligen (180 mg‑regimen, n = 110). Medianuppföljningstiden var 22,9 månader. Randomiseringen stratifierades efter hjärnmetastaser (fanns, fanns inte) och bästa tidigare respons på krizotinibbehandling (komplett eller partiell respons, all övrig respons/okänd).
Det viktigaste resultatmåttet var bekräftad objektiv responsfrekvens (ORR) enligt Response Evaluation Criteria in Solid Tumours (RECIST v1.1) enligt prövarens bedömning. Andra resultatmått var bekräftad ORR bedömt av en oberoende granskningskommitté (IRC); tid till respons; progressionsfri överlevnad (PFS); responsens varaktighet (DOR); total överlevnad; samt intrakraniell ORR och intrakraniell DOR bedömt av en IRC.
Baslinjedemografi och sjukdomskaraktäristika i ALTA var: medianålder 54 år (18 till 82; 23 % 65 år eller äldre), 27 % kaukasier och 31 % asiater, 57 % kvinnor, 36 % med ECOG‑poäng 0 och 57 % med ECOG‑poäng 1, 7 % med ECOG‑poäng 2, 60 % hade aldrig rökt, 35 % var f.d. rökare, 98 % i stadium IV, 97 % adenokarcinom och 74 % tidigare kemoterapi. De vanligaste ställena för extratorakala metastaser var hjärnan med 69 % (av vilka 62 % tidigare fått strålbehandling mot hjärnan), skelettet med 39 % och levern med 26 %.
Effektresultaten från ALTA‑analysen sammanfattas i tabell 6. Kaplan‑Meier‑kurvan för prövarbedömd PFS visas i bild 2.
Tabell 6: Effektresultat i ALTA (ITT‑population)
KI = konfidensintervall; EU = ej uppskattningsbar; NA = Ej relevant
*vid 90 mg en gång dagligen
†180 mg en gång dagligen med inledande 7 dagars‑period på 90 mg en gång daglige
‡Konfidensintervall för prövarbedömd ORR är 97,5 % och för ORR bedömd av ICR 95 %
Bild 2: Av prövaren bedömd överlevnad utan systemisk progression: ITT‑population per behandlingsarm (ALTA)
Förkortningar: ITT = Intention‑to‑treat
Anm: Progressionsfri överlevnad definierades som tid från behandlingsinsättning till det datum då sjukdomsprogression först visade sig, alternativt dödsfall, beroende på vilket som inträffade först.
*90 mg en gång dagligen
†180 mg en gång dagligen med inledande 7 dagars‑period på 90 mg en gång dagligen
Den oberoende granskningskommitténs bedömning av intrakraniell ORR och den intrakraniella responsens varaktighet hos patienter i ALTA som hade mätbara hjärnmetastaser vid utgångsläget (största diameter ≥ 10 mm) sammanfattas i tabell 7.
Tabell 7: Intrakraniell effekt i ALTA hos patienter med mätbara hjärnmetastaser vid utgångsläget
% KI = konfidensintervall; EU = ej uppskattningsbar
*90 mg en gång dagligen
†180 mg en gång dagligen med inledande 7 dagars‑period på 90 mg en gång dagligen
‡Inträffade händelser omfattade intrakraniell sjukdomsprogression (nya lesioner, ökad diameter på intrakraniell mållesion med ≥ 20 % från nadir, eller otvetydig progression av annan intrakraniell lesion än mållesionen) eller död.
Hos patienter som hade hjärnmetastaser vid utgångsläget var frekvensen för intrakraniell sjukdomskontroll 77,8 % (95 % KI 67,2‑86,3) i 90 mg‑armen (n = 81) och 85,1 % (95 % KI 75‑92,3) i 180 mg‑armen (n = 74).
Studie 101
I en separat dosfinnande studie fick 25 patienter med ALK‑positiv NSCLC som progredierat på krizotinib Alunbrig i dosen 180 mg en gång dagligen med 7‑dagars inledning på 90 mg en gång dagligen. Av dessa fick 19 patienter en av prövaren bedömd bekräftad objektiv respons (76 %; 95 % KI: 55, 91) och KM‑estimatet för responsens medianduration var bland dessa 19 patienter 26,1 månader (95 % KI: 7,9; 26,1). Median‑PFS enligt KM var 16,3 månader (95 % KI: 9,2; EU) och sannolikheten för 12 månaders överlevnad var 84,0 % (95 % KI: 62,8; 93,7).
Pediatrisk population
Europeiska läkemedelsmyndigheten har beviljat undantag från kravet att skicka in studieresultat för Alunbrig för alla grupper av den pediatriska populationen för lungcancer (småcellig och icke‑småcellig lungcancer) (information om pediatrisk användning finns i avsnitt 4.2).
Absorption
Efter administrering av en peroral engångsdos brigatinib (30‑240 mg) i studie 101 var mediantiden till högsta koncentration (Tmax) 1‑4 timmar efter dosen. Efter en engångsdos och vid steady state var den systemiska exponeringen dosproportionell inom dosintervallet 60‑240 mg en gång dagligen. En viss ackumulering observerades vid upprepad dosering (geometriskt medelvärde för ackumuleringskvot: 1,9 till 2,4). Geometriskt medelvärde för Cmax vid steady state för brigatinib i doser om 90 mg och 180 mg en gång dagligen var 552 respektive 1 452 ng/ml, och motsvarande AUC0‑τ var 8 165 respektive 20 276 h x ng/ml. Brigatinib är substrat för transportproteinerna P‑gp och BCRP.
Hos friska försökspersoner gav en fettrik måltid en minskning av Cmax för brigatinib med 13 % utan någon effekt på AUC, jämfört med hos deltagare som fastat under natten. Brigatinib kan administreras med eller utan föda.
Distribution
Brigatinib uppvisade måttlig bindning (91 %) till humana plasmaproteiner. Bindningen var inte koncentrationsberoende. Kvoten för blod‑plasma‑koncentrationen var 0,69. Hos patienter som fick brigatinib 180 mg en gång dagligen var det geometriska medelvärdet för skenbar distributionsvolym (Vz/F) för brigatinib vid steady state 307 l, vilket visar på en måttlig distribution ut i vävnaderna.
Metabolism
In vitro‑studier har visat att brigatinib främst metaboliseras av CYP2C8 och CYP3A4, och i betydligt mindre utsträckning av CYP3A5.
Efter peroral administrering av en engångsdos om 180 mg [14C]brigatinib till friska försökspersoner var N‑demetylering och cysteinkonjugering de två viktigaste metabola elimineringsvägarna. I urin och feces sammantaget utsöndrades 48 % av den radioaktiva dosen som oförändrat brigatinib. 27 % som N‑desmetylbrigatinib (AP26123) och 9,1 % som brigatinibcysteinkonjugat. Oförändrat brigatinib utgjorde den största cirkulerande radioaktiva komponenten (92 %) tillsammans med AP26123 (3,5 %), den primära metabolit som också observerades in vitro. Vid steady state var plasma‑AUC för AP26123 hos patienterna < 10 % av brigatinibexponeringen. I kinas‑ och cellanalyser in vitro hämmade metaboliten, AP26123, ALK med en ungefär 3 gånger lägre potens än brigatinib.
Eliminering
Hos patienterna som fick brigatinib 180 mg en gång dagligen var det geometriska medelvärdet för skenbar oral clearance (CL/F) för brigatinib vid steady state 8,9 l/h och median halveringstid i plasma var 24 h.
Den viktigaste utsöndringsvägen för brigatinib är via feces. Hos sex friska manliga försöksdeltagare som fick en peroral dos på 180 mg [14C]brigatinib återfanns 65 % av den administrerade dosen i feces och 25 % i urinen. Oförändrat brigatinib utgjorde 41 % respektive 86 % av den totala radioaktiviteten i feces och urin. Återstoden utgjordes av metaboliter.
Specifika populationer
Nedsatt leverfunktion
Brigatinibs farmakokinetik beskrevs hos friska försökspersoner med normal leverfunktion (Child‑Pugh klass A, n = 6), måttligt nedsatt leverfunktion (Child‑Pugh klass B, n = 6), eller kraftigt nedsatt leverfunktion (Child‑Pugh klass C, n = 6). Brigatinibs farmakokinetik var likartad mellan friska försökspersoner med normal leverfunktion och patienter med lätt (Child‑Pugh klass A) eller måttligt (Child‑Pugh klass B) nedsatt leverfunktion. Obundet AUC0‑INF var 37 % högre hos patienter med kraftigt nedsatt leverfunktion (Child‑Pugh klass C) jämfört med hos friska försökspersoner med normal leverfunktion (se avsnitt 4.2).
Nedsatt njurfunktion
Farmakokinetiken för brigatinib är likartad mellan patienter med normal njurfunktion och patienter med lätt eller måttligt nedsatt njurfunktion (eGFR ≥ 30 ml/min) baserat på resultaten från populationsfarmakokinetiska analyser. I en farmakokinetisk studie var obundet AUC0‑INF 94 % högre hos patienter med kraftigt nedsatt njurfunktion (eGFR < 30 ml/min, n = 6) än hos patienter med normal njurfunktion (eGFR ≥ 90 ml/min, n = 8) (se avsnitt 4.2).
Etnicitet och kön
Populationsfarmakokinetiska analyser visade att etnicitet och kön inte inverkade på brigatinibs farmakokinetik.
Ålder, kroppsvikt och albuminkoncentration
De populationsfarmakokinetiska analyserna visade att kroppsvikt, ålder och albuminkoncentration inte hade någon kliniskt relevant inverkan på brigatinibs farmakokinetik.
Vid säkerhetsfarmakologiska studier av brigatinib sågs en risk för pulmonella effekter (förändrad andningsfrekvens; 1‑2 gånger Cmax hos människa), kardiovaskulära effekter (förändrad hjärtfrekvens och blodtryck; vid 0,5 gånger Cmax hos människa), samt renala effekter (minskad njurfunktion; vid 1‑2,5 gånger Cmax hos människa), men visade inte på någon risk för QT‑förlängning eller neurofunktionella effekter.
Biverkningar hos djur vid exponeringsnivåer som motsvarar den kliniska exponeringen och kan vara relevanta för klinisk användning var följande: gastrointestinala organ, benmärg, ögon, testiklar, lever, njurar, skelett och hjärta. Dessa effekter gick i allmänhet tillbaka under återhämtningsperioden utan behandling; dock var effekterna på ögon och testiklar noterbara undantag med bristande återhämtning.
Vid studier av upprepad dosering noterades lungförändringar (alveolära foam‑makrofager) hos apa vid ≥ 0,2 gånger x AUC hos människa. Förändringarna var dock minimala och motsvarade dem som rapporterades som bakgrundsfynd hos apor som inte tidigare behandlats. Man såg inga kliniska tecken på respiratorisk distress hos dessa apor.
Inga karcinogenitetsstudier har utförts med brigatinib.
Brigatinib var inte mutagent in vitro i Ames‑test (bakteriell omvänd mutation) eller analyser av kromosomavvikelser i däggdjursceller, men ökade antalet mikronuklei något i ett mikronukleustest på benmärg från råtta. Mekanismen bakom induktion av mikronukleus var onormal kromosomsegregation (aneugenicitet) och inte en klastogen effekt på kromosomerna. Denna effekt observerades vid ungefär fem gånger exponeringen hos människa vid dosen 180 mg en gång dagligen.
Brigatinib kan försämra fertiliteten hos handjur. Testikelbiverkningar observerades i djurstudier av upprepad dosering. Hos råtta sågs lägre vikt hos testiklar, sädesblåsor och prostata, samt degeneration av tubuli. Dessa effekter gick inte tillbaka under återhämtningsperioden. Hos apor sågs mindre testiklar samtidigt med mikroskopisk evidens på hypospermatogenes. Dessa effekter gick tillbaka under återhämtningsperioden. Totalt sett uppstod dessa effekter på handjurens könsorgan hos råttor och apor vid exponeringar på ≥ 0,2 gånger den AUC som observeras hos patienter vid dosen 180 mg en gång dagligen. Inga uppenbara biverkningar på hondjurens könsorgan observerades i studier av allmäntoxicitet hos råtta och apa.
I en studio av embryofetal utveckling där dräktiga råttor fick dagliga doser brigatinib under organogenesen, sågs dosrelaterade skelettmissbildningar vid så låga doser som ungefär 0,7 gånger exponeringen hos människa mätt som AUC vid dosen 180 mg en gång dagligen. Bland annat observerades embryodöd, lägre fostervikt och skelettförändringar.
3 år
Inga särskilda förvaringsanvisningar.
Alunbrig 30 mg filmdragerade tabletter
Burk av högdensitetspolyeten (HDPE) med stor, rund öppning och barnskyddande tvådelat skruvlock av polypropen med induktionsförseglad folieförslutning innehållande antingen 60 eller 120 filmdragerade tabletter, samt en HDPE‑behållare innehållande torkmedel av molekylsikt.
Genomskinligt termoformbart blister av polyklortrifluoretylen (PCTFE) med värmeförseglad papperslaminerad folieförslutning, förpackade i en kartong, innehållande antingen 28, 56 eller 112 filmdragerade tabletter.
Alunbrig 90 mg filmdragerade tabletter
Burk av högdensitetspolyeten (HDPE) med stor, rund öppning och barnskyddande tvådelat skruvlock av polypropen med induktionsförseglad folieförslutning innehållande antingen 7 eller 30 filmdragerade tabletter, samt en HDPE‑behållare innehållande torkmedel av molekylsikt.
Genomskinligt termoformbart blister av polyklortrifluoretylen (PCTFE) med värmeförseglad papperslaminerad folieförslutning, förpackade i en kartong, innehållande antingen 7 eller 28 filmdragerade tabletter.
Alunbrig 180 mg filmdragerade tabletter
Burk av högdensitetspolyeten (HDPE) med stor, rund öppning och barnskyddande tvådelat skruvlock av polypropen med induktionsförseglad folieförslutning innehållande 30 filmdragerade tabletter, samt en HDPE‑behållare innehållande torkmedel av molekylsikt.
Genomskinligt termoformbart blister av polyklortrifluoretylen (PCTFE) med värmeförseglad papperslaminerad folieförslutning, förpackade i en kartong, innehållande 28 filmdragerade tabletter.
Startförpackning: Alunbrig 90 mg och 180 mg filmdragerade tabletter
Varje förpackning består av en ytterkartong med två innerkartonger som innehåller:
Alunbrig 90 mg filmdragerade tabletter1 genomskinligt termoformbart blister av polyklortrifluoretylen (PCTFE) med värmeförseglad papperslaminerad folieförslutning, förpackade i en kartong, innehållande 7 filmdragerade tabletter.
Alunbrig 180 mg filmdragerade tabletter3 genomskinligt termoformbart blister av polyklortrifluoretylen (PCTFE) med värmeförseglad papperslaminerad folieförslutning, förpackade i en kartong, innehållande 21 filmdragerade tabletter.
Eventuellt kommer inte alla förpackningsstorlekar att marknadsföras.
Patienterna ska instrueras att förvara behållaren med torkmedel i burken och inte svälja den.
Ej använt läkemedel och avfall ska kasseras enligt gällande anvisningar
Tablettkärna
Laktosmonohydrat
Mikrokristallin cellulosa
Natriumstärkelseglykolat (typ A)
Kolloidal vattenfri kiseldioxid
Magnesiumstearat
Tablettdragering
Talk
Makrogol
Polyvinylalkohol
Titandioxid
Ej relevant.
3 år
Inga särskilda förvaringsanvisningar.
Alunbrig 30 mg filmdragerade tabletter
Burk av högdensitetspolyeten (HDPE) med stor, rund öppning och barnskyddande tvådelat skruvlock av polypropen med induktionsförseglad folieförslutning innehållande antingen 60 eller 120 filmdragerade tabletter, samt en HDPE‑behållare innehållande torkmedel av molekylsikt.
Genomskinligt termoformbart blister av polyklortrifluoretylen (PCTFE) med värmeförseglad papperslaminerad folieförslutning, förpackade i en kartong, innehållande antingen 28, 56 eller 112 filmdragerade tabletter.
Alunbrig 90 mg filmdragerade tabletter
Burk av högdensitetspolyeten (HDPE) med stor, rund öppning och barnskyddande tvådelat skruvlock av polypropen med induktionsförseglad folieförslutning innehållande antingen 7 eller 30 filmdragerade tabletter, samt en HDPE‑behållare innehållande torkmedel av molekylsikt.
Genomskinligt termoformbart blister av polyklortrifluoretylen (PCTFE) med värmeförseglad papperslaminerad folieförslutning, förpackade i en kartong, innehållande antingen 7 eller 28 filmdragerade tabletter.
Alunbrig 180 mg filmdragerade tabletter
Burk av högdensitetspolyeten (HDPE) med stor, rund öppning och barnskyddande tvådelat skruvlock av polypropen med induktionsförseglad folieförslutning innehållande 30 filmdragerade tabletter, samt en HDPE‑behållare innehållande torkmedel av molekylsikt.
Genomskinligt termoformbart blister av polyklortrifluoretylen (PCTFE) med värmeförseglad papperslaminerad folieförslutning, förpackade i en kartong, innehållande 28 filmdragerade tabletter.
Startförpackning: Alunbrig 90 mg och 180 mg filmdragerade tabletter
Varje förpackning består av en ytterkartong med två innerkartonger som innehåller:
Alunbrig 90 mg filmdragerade tabletter1 genomskinligt termoformbart blister av polyklortrifluoretylen (PCTFE) med värmeförseglad papperslaminerad folieförslutning, förpackade i en kartong, innehållande 7 filmdragerade tabletter.
Alunbrig 180 mg filmdragerade tabletter3 genomskinligt termoformbart blister av polyklortrifluoretylen (PCTFE) med värmeförseglad papperslaminerad folieförslutning, förpackade i en kartong, innehållande 21 filmdragerade tabletter.
Eventuellt kommer inte alla förpackningsstorlekar att marknadsföras.
Patienterna ska instrueras att förvara behållaren med torkmedel i burken och inte svälja den.
Ej använt läkemedel och avfall ska kasseras enligt gällande anvisningar
Alunbrig 180 mg filmdragerade tabletter
EU/1/18/1264/009 30 tabletter i burk
EU/1/18/1264/010 28 tabletter i kartong
Alunbrig startförpackning
EU/1/18/1264/012 7 x 90 mg + 21 x 180 mg tabletter i kartong
Alunbrig 30 mg filmdragerade tabletter
EU/1/18/1264/001 60 tabletter i burk
EU/1/18/1264/002 120 tabletter i burk
EU/1/18/1264/011 28 tabletter i kartong
EU/1/18/1264/003 56 tabletter i kartong
EU/1/18/1264/004 112 tabletter i kartong
Alunbrig 90 mg filmdragerade tabletter
EU/1/18/1264/005 7 tabletter i burk
EU/1/18/1264/006 30 tabletter i burk
EU/1/18/1264/007 7 tabletter i kartong
EU/1/18/1264/008 28 tabletter i kartong
Alunbrig 180 mg filmdragerade tabletter
EU/1/18/1264/009 30 tabletter i burk
EU/1/18/1264/010 28 tabletter i kartong
Alunbrig startförpackning
EU/1/18/1264/012 7 x 90 mg + 21 x 180 mg tabletter i kartong