Fass-texten är särskilt framtagen för förskrivare och vårdpersonal. Texten är baserad på produktresumén.
Texten är baserad på produktresumé: 11/2025.
Texten är baserad på produktresumé: 11/2025.
Steglatro är avsett för behandling av vuxna med otillräckligt kontrollerad typ 2‑diabetes mellitus som ett tillägg till kost och motion:
som monoterapi när metformin anses olämpligt på grund av intolerans eller kontraindikationer.
som tillägg till andra läkemedel för behandling av diabetes.
För studiedata avseende kombinationsbehandlingar, effekter på glykemisk kontroll, hjärt-kärlhändelser och studerade populationer, se avsnitt Varningar och försiktighet, Interaktioner och Farmakodynamik.
Överkänslighet mot den aktiva substansen eller mot något hjälpämne som anges i avsnitt Innehåll.
Dosering
Initiering av behandling med detta läkemedel rekommenderas inte till patienter med en estimerad glomerulär filtrationshastighet (eGFR) som understiger 45 ml/min/1,73 m2 eller ett kreatininclearance (CrCl) som understiger 45 ml/min (se avsnitt Varningar och försiktighet).
Hos patienter med en eGFR ≥ 45 till < 60 ml/min/1,73 m2 ska Steglatro initieras med 5 mg och vid behov titreras upp till 15 mg för glykemisk kontroll.
Eftersom den glykemiska sänkningseffekten av ertugliflozin är nedsatt hos patienter med måttligt nedsatt njurfunktion och sannolikt saknas hos patienter med kraftigt nedsatt njurfunktion ska tillägg av andra antihyperglykemiska läkemedel övervägas om ytterligare glykemisk kontroll behövs (se avsnitt Varningar och försiktighet).
Steglatro ska sättas ut när eGFR konstant understiger 30 ml/min/1,73 m2 eller när CrCl konstant understiger 30 ml/min.
Steglatro ska inte användas av patienter med kraftigt nedsatt njurfunktion, med terminal njursvikt (ESRD, end-stage renal disease) eller som står på dialysbehandling, eftersom det inte finns några kliniska data som stöder effektivitet hos dessa patienter.
Nedsatt leverfunktion
Dosen av ertugliflozin behöver inte justeras för patienter med lätt till måttligt nedsatt leverfunktion. Ertugliflozin har inte studerats hos patienter med gravt nedsatt leverfunktion och rekommenderas inte till dessa patienter (se avsnitt Farmakokinetik).
Äldre
Ingen dosjustering av ertugliflozin rekommenderas baserat på ålder. Hänsyn ska tas till njurfunktionen och risken för volymförlust (se avsnitt Varningar och försiktighet och Biverkningar).
Pediatrisk population
Säkerhet och effekt för ertugliflozin för barn under 18 år har inte fastställts. Inga data finns tillgängliga.
Administreringssätt
Steglatro ska tas peroralt en gång dagligen på morgonen, med eller utan mat. Vid sväljsvårigheter kan tabletten delas eller krossas eftersom det är en beredningsform med omedelbar frisättning.
Diabetesketoacidos
Sällsynta fall av DKA, inklusive livshotande och dödliga fall, har rapporterats i kliniska studier och efter godkännandet för försäljning hos patienter som behandlats med natrium-glukos-kotransportör‑2-(SGLT2)-hämmare, inklusive ertugliflozin. I ett antal fall var tillståndet atypiskt med endast måttligt förhöjda blodglukosvärden, under 14 mmol/l (250 mg/dl). Det är inte känt om det är större sannolikhet att DKA uppträder vid högre doser av ertugliflozin.
Risken för DKA måste beaktas i händelse av icke-specifika symtom såsom illamående, kräkningar, anorexi, buksmärtor, överdriven törst, andningsbesvär, förvirring, ovanlig trötthet eller sömnighet. Patienten ska utvärderas för ketoacidos omedelbart om dessa symtom uppträder, oavsett blodglukosnivå.
Hos patienter där DKA misstänkts eller är diagnosticerat ska behandlingen med ertugliflozin avbrytas omedelbart.
Behandlingen bör avbrytas hos patienter som lagts in på sjukhus för större kirurgiska ingrepp eller akuta allvarliga sjukdomar. Provtagning av ketoner rekommenderas för dessa patienter. Mätning av ketonnivåer i blodet istället för urinen är att föredra. Behandling med ertugliflozin kan återupptas när ketonvärdena är normala och patientens tillstånd har stabiliserats.
Innan behandlingen med ertugliflozin påbörjas ska faktorer i patientens anamnes som kan predisponera för ketoacidos beaktas.
Patienter som kan ha förhöjd risk för DKA innefattar patienter med en låg reserv av funktionella betaceller (t.ex. patienter med typ 2‑diabetes med lågt C‑peptidvärde eller latent autoimmun diabetes hos vuxna (LADA) eller patienter med pankreatit i anamnesen), patienter med tillstånd som medför begränsat födointag eller allvarlig dehydrering, patienter där insulindosen minskas samt patienter med ökat insulinbehov till följd av akut sjukdom, kirurgiskt ingrepp eller alkoholmissbruk. SGLT2‑hämmare bör användas med försiktighet hos dessa patienter.
Återinsättning av SGLT2‑hämmare rekommenderas inte hos patienter som tidigare har drabbats av DKA under behandling med SGLT2‑hämmare, om inte en annan tydlig utlösande faktor har identifierats och åtgärdats.
Säkerhet och effekt för ertugliflozin för patienter med typ 1‑diabetes har inte fastställts och ertugliflozin ska inte användas för behandling av patienter med typ 1‑diabetes. Begränsade data från kliniska studier tyder på att DKA förekommer med frekvensen ”vanlig” när patienter med typ 1‑diabetes behandlas med SGLT2‑hämmare.
Amputation av nedre extremiteter
I en långtidsstudie av kardiovaskulära utfall, VERTIS CV (eValuation of ERTugliflozin effIcacy and Safety, CardioVascular), på patienter med typ 2-diabetes mellitus och etablerad aterosklerotisk hjärt-kärlsjukdom, rapporterades icke-traumatiska amputationer av nedre extremiteter (främst tår) med en incidens på 2 % (0,57 patienter med händelser per 100 patientår), 2,1 % (0,60 patienter med händelser per 100 patientår) och 1,6 % (0,47 patienter med händelser per 100 patientår) för ertugliflozin 5 mg, ertugliflozin 15 mg respektive placebo. Frekvensen av händelser med amputation av nedre extremiteter var 0,75 och 0,96 jämfört med 0,74 händelser per 100 patientår för ertugliflozin 5 mg och ertugliflozin 15 mg jämfört med placebo. En ökning av antalet fall av amputationer av de nedre extremiteterna (främst tår) har observerats i kliniska långtidsstudier på typ 2-diabetes mellitus med SGLT2‑hämmare. Det är inte känt om detta utgör en klasseffekt. Det är viktigt att informera patienter med diabetes om rutiner för förebyggande fotvård.
Nedsatt njurfunktion
Effekten av ertugliflozin för glykemisk kontroll är beroende av njurfunktionen och den glykemiska effekten är minskad hos patienter som har måttligt nedsatt njurfunktion och saknas sannolikt helt hos patienter med kraftigt nedsatt njurfunktion (se avsnitt Dosering).
Behandling med Steglatro ska inte påbörjas hos patienter med eGFR under 45 ml/min/1,73 m2 eller CrCl under 45 ml/min. På grund av minskad effekt ska Steglatro sättas ut när eGFR konstant understiger 30 ml/min/1,73 m2 eller när CrCl konstant understiger 30 ml/min.
Kontroll av njurfunktionen rekommenderas enligt följande:
Innan behandling med ertugliflozin påbörjas och regelbundet under behandling (se avsnitt Dosering).
Oftare hos patienter med eGFR under 60 ml/min/1,73 m2 eller ett CrCl under 60 ml/min.
Hypoglykemi vid samtidig användning av insulin och insulinsekretagoger
Ertugliflozin kan öka risken för hypoglykemi när det används i kombination med insulin och/eller en insulinsekretagog, som är kända för att orsaka hypoglykemi (se avsnitt Biverkningar). Vid användning i kombination med ertugliflozin kan därför insulin- eller insulinsekretagogdosen behöva sänkas för att minimera risken för hypoglykemi (se avsnitt Dosering och Interaktioner).
Genitala svampinfektioner
Ertugliflozin ökar risken för genitala svampinfektioner. I studier med SGLT2‑hämmare ökade sannolikheten att utveckla genitala svampinfektioner hos patienter som tidigare haft genitala svampinfektioner samt hos män som inte är omskurna (se avsnitt Biverkningar). Patienterna ska monitoreras och behandlas efter behov.
Urinvägsinfektioner
Utsöndring av glukos via urin kan vara associerat med en ökad risk för urinvägsinfektioner (se avsnitt Biverkningar). Tillfällig utsättning av ertugliflozin ska övervägas vid behandling av pylonefrit eller urosepsis.
Nekrotiserande fasciit i perineum (Fourniers gangrän)
Fall av nekrotiserande fasciit i perineum (s.k. Fourniers gangrän) har rapporterats hos kvinnliga och manliga patienter som tagit SGLT2-hämmare efter att läkemedlet godkänts för försäljning. Detta är en sällsynt men allvarlig och potentiellt livshotande biverkning som kräver ett kirurgiskt akutingrepp och antibiotikabehandling.
Patienter ska rådas att söka läkarhjälp om de upplever en kombination av symtom som smärta, ömhet, erytem eller svullnad i genital- eller perinealområdet, tillsammans med feber eller sjukdomskänsla. Observera att urogenital infektion eller perineal abscess kan föregå nekrotiserande fasciit. Vid misstanke om Fourniers gangrän ska Steglatro sättas ut och omedelbar behandling (såsom antibiotika och kirurgisk debridering) sättas in.
Äldre patienter
Äldre patienter kan löpa ökad risk för volymförlust och nedsatt njurfunktion. Patienter som var 65 år eller äldre och som behandlades med ertugliflozin hade en högre incidens av biverkningar relaterade till volymförlust än yngre patienter. I en långtidsstudie av kardiovaskulära utfall, VERTIS CV, var säkerhet och effekt likartade för patienter i åldern 65 år eller äldre jämfört med patienter under 65 år (se avsnitt Dosering och Biverkningar).
Hjärtsvikt
Det finns ingen erfarenhet från kliniska studier med ertugliflozin i New York Heart Association (NYHA) klass IV.
Laboratorieanalyser av urin
På grund av verkningsmekanismen kommer urinen från patienter som tar Steglatro att vara positiv för glukos. Alternativa metoder att övervaka den glykemiska kontrollen ska användas.
Interferens med analys av 1,5-anhydroglucitol (1,5 AG)‑analys
Övervakning av den glykemiska kontrollen med 1,5 AG‑analys rekommenderas inte eftersom mätningar av 1,5 AG inte är tillförlitliga för bedömning av den glykemiska kontrollen hos patienter som tar SGLT2‑hämmare. Alternativa metoder att övervaka den glykemiska kontrollen ska användas.
Laktos
Steglatro innehåller laktosmonohydrat. Patienter med något av de sällsynta ärftliga tillstånden galaktosintolerans, total laktasbrist eller glukos-galaktosmalabsorption bör inte använda detta läkemedel.
Natrium
Detta läkemedel innehåller mindre än 1 mmol (23 mg) natrium per tablett, dvs är näst intill ”natriumfritt”.
Upprepade doser av rifampicin (en inducerare av uridin 5’-difosfo-glukuronosyltransferas [UGT] och cytokrom P450 [CYP]) minskar arean under koncentration-tid-kurvan (AUC) och maximal plasmakoncentration (Cmax) för ertugliflozin med 39 % respektive 15 %. Denna minskning av exponeringen anses inte vara kliniskt relevant och därför rekommenderas ingen dosjustering. En kliniskt relevant effekt av andra inducerare (t.ex. karbamazepin, fenytoin, fenobarbital) förväntas inte.
Effekten av UGT‑hämmare på farmakokinetiken hos ertugliflozin har inte studerats kliniskt, men en potentiell ökning i exponering av ertugliflozin på grund av UGT‑hämmare anses inte vara kliniskt relevant.
Ertugliflozins effekter på andra läkemedels farmakokinetik
Interaktionsstudier utförda på friska frivilliga tyder på att ertugliflozin inte har någon kliniskt relevant effekt på farmakokinetiken för sitagliptin, metformin och glimepirid.
Samtidig administrering av simvastatin och ertugliflozin resulterade i en ökning av AUC och Cmax för simvastatin med 24 % respektive 19 % och en ökning av AUC och Cmax för simvastatinsyra med 30 % respektive 16 %. Mekanismen bakom de små ökningarna av simvastatin och simvastatinsyra är okänd och medieras inte genom att ertugliflozin hämmar organiskt anjoniskt transportprotein (OATP). Dessa ökningar anses inte vara kliniskt betydelsefulla.
Tabell 1: Biverkningar från placebokontrollerade studier eller studier med aktivt jämförelseläkemedel och erfarenhet efter godkännande för försäljning
* Se avsnitt Varningar och försiktighet.
†Se nedanstående delavsnitt för mer information.
‡ Inkluderar: pollakiuri, miktionsträngningar, polyuri, ökad urinproduktion och nokturi.
§ Inkluderar: törst och polydipsi.
¶ Genomsnittliga procentuella förändringar från utgångsvärdet för ertugliflozin 5 mg respektive 15 mg var för lipoproteinkolesterol med låg densitet (LDL‑C) 5,8 % och 8,4 % jämfört med placebo 3,2 %, för totalkolesterol 2,8 % och 5,7 %, jämfört med placebo 1,1 %, dock var lipoproteinkolesterol med hög densitet (HDL-C) 6,2 % och 7,6 % jämfört med placebo 1,9 %. Median förändring i procent från utgångsvärdet för ertugliflozin 5 mg respektive 15 mg var för triglycerider ‑3,9 % och ‑1,7 % jämfört med placebo 4,5 %.
**Andelen personer som hade minst 1 ökning i hemoglobin > 2,0 g/dl var högre i ertugliflozin 5 mg och 15 mg grupperna (4,7 % respektive 4,1 %) jämfört med placebogruppen (0,6 %).
¶¶Andelen personer som uppvisade ökning av blod-urea-kväve (BUN) värden ≥ 50 % och värde > upper limit of normal (ULN) var numeriskt högre i ertugliflozin 5 mg gruppen och högre i 15 mg gruppen (7,9 % respektive 9,8 %) i förhållande till placebogruppen (5,1 %).
a Biverkningar identifierades genom övervakning efter godkännandet för försäljning.
Beskrivning av utvalda biverkningar
Volymförlust
Ertugliflozin orsakar osmotisk diures, som kan leda till minskad intravaskulär volym och biverkningar relaterade till volymförlust. I sammanslagna data från placebokontrollerade studier var incidensen av biverkningar relaterade till volymförlust (dehydrering, postural yrsel, presynkope, synkope, hypotoni och ortostatisk hypotoni) låg (<2 %) utan påtagliga skillnader mellan ertugliflozin- och placebogrupperna. I subgruppsanalyser av en större mängd sammanslagna data från fas 3‑studier hade patienter med eGFR <60 ml/min/1,73 m2, patienter ≥ 65 år och patienter på diuretika en högre incidens av volymförlust i ertugliflozingrupperna än i gruppen som fick jämförelseläkemedel (se avsnitt Dosering och Varningar och försiktighet). Hos patienter med eGFR <60 ml/min/1,73 m2 var incidensen 5,1 %, 2,6 % och 0,5 % för ertugliflozin 5 mg, ertugliflozin 15 mg respektive jämförelsegruppen och för patienter med eGFR 45‑<60 ml/min/1,73 m2 var incidensen 6,4 %, 3,7 % respektive 0 %.
Hypoglykemi
I sammanslagna data från placebokontrollerade studier var incidensen av dokumenterad hypoglykemi högre för ertugliflozin 5 mg och 15 mg (5 % och 4,5 %) jämfört med placebo (2,9 %). I denna population var incidensen av svår hypoglykemi 0,4 % i vardera gruppen. När ertugliflozin användes som monoterapi var incidensen av hypoglykemiska händelser 2,6 % i bägge grupperna som behandlades med ertugliflozin och 0,7 % i placebogruppen. När ertugliflozin används som tillägg till metformin var incidensen av hypoglykemiska händelser 7,2 % i gruppen som fick ertugliflozin 5 mg, 7,8 % i gruppen som fick ertugliflozin 15 mg och 4,3 % i placebogruppen.
När ertugliflozin lades till metformin och jämfördes med sulfonylurea var incidensen av hypoglykemi högre för sulfonylurea (27 %) än för ertugliflozin (5,6 % och 8,2 % för ertugliflozin 5 mg respektive 15 mg).
När ertugliflozin användes som tillägg till insulin med eller utan metformin i delstudier i VERTIS CV var incidensen av dokumenterad hypoglykemi 39,4 %, 38,9 % och 37,5 % för ertugliflozin 5 mg, ertugliflozin 15 mg respektive placebo. När ertugliflozin användes som tillägg till en sulfonylurea var incidensen av hypoglykemi 7,3 %, 9,3 % och 4,2 % för ertugliflozin 5 mg, ertugliflozin 15 mg respektive placebo. När ertugliflozin användes som tillägg till metformin och en sulfonylurea var incidensen av hypoglykemi 20 %, 26,5 % och 14,5 % för ertugliflozin 5 mg, ertugliflozin 15 mg respektive placebo.
Hos patienter med måttligt nedsatt njurfunktion som tog insulin, sulfonylurea eller meglitinider som bakgrundsläkemedel var den dokumenterade incidensen av hypoglykemi 36 %, 27 % och 36 % för ertugliflozin 5 mg, ertugliflozin 15 mg respektive placebo (se avsnitt Dosering, Varningar och försiktighet och Interaktioner).
Diabetesketoacidos
I VERTIS CV identifierades ketoacidos hos 19 (0,3 %) patienter behandlade med ertugliflozin och hos 2 (0,1 %) patienter som fick placebo. I de 7 andra kliniska fas 3‑studierna i utvecklingsprogrammet för ertugliflozin identifierades ketoacidos hos 3 (0,1 %) patienter behandlade med ertugliflozin och hos 0 (0 %) av de patienter som behandlades med jämförelseläkemedel (se avsnitt Varningar och försiktighet).
Förhöjt blodkreatinin/sänkt glomerulär filtrationshastighet och njurrelaterade händelser
Initiala ökningar av genomsnittligt kreatinin och sänkningar av eGFR hos patienter som behandlades med ertugliflozin var generellt övergående under fortsatt behandling. Patienter med måttligt nedsatt njurfunktion vid studiestart hade större genomsnittliga förändringar, vilka inte hade återgått till utgångsvärdet vid vecka 26. Dessa förändringar gick tillbaka efter att behandlingen sattes ut.
I VERTIS CV var behandling med ertugliflozin associerad med en initial minskning av genomsnittlig eGFR (vid vecka 6, -2,7; -3,8 och ‑0,4 ml/min/1,73 m2 i grupperna som fick ertugliflozin 5 mg, ertugliflozin 15 mg respektive placebo) vilken följdes av en återgång mot utgångsvärdet. Långtidsbehandling med ertugliflozin var associerad med en långsammare minskning av eGFR jämfört med placebo (fram till vecka 260).
I VERTIS CV var incidensen av njurrelaterade biverkningar (t.ex. akut njurskada, nedsatt njurfunktion, akut prerenal svikt) 4,2 %, 4,3 % och 4,7 % hos patienter behandlade med ertugliflozin 5 mg, ertugliflozin 15 mg respektive placebo i den totala populationen, och var 9,7 %, 10 % och 10,2 % hos patienter med eGFR från 30 till under 60 ml/min/1,73 m2 behandlade med ertugliflozin 5 mg, ertugliflozin 15 mg respektive placebo.
Genitala svampinfektioner
I sammanslagna data från placebokontrollerade kliniska studier förekom kvinnlig genital svampinfektion (t.ex. genital candidiasis, genital svampinfektion, vaginal infektion, vulvit, vulvovaginal candidiasis, vulvovaginal svampinfektion, vulvovaginit) hos 9,1 %, 12 %, och 3 % av de kvinnor som behandlades med ertugliflozin 5 mg, ertugliflozin 15 mg respektive placebo. Behandlingen sattes ut på grund av genitala svampinfektioner hos 0,6 % och 0 % av de kvinnliga patienter som behandlades med ertugliflozin respektive placebo (se avsnitt Varningar och försiktighet).
I samma sammanslagna data förekom manliga genitala svampinfektioner (t.ex. candida balanit, balanopostit, genital infektion, genital svampinfektion) hos 3,7 %, 4,2 % och 0,4 % av de män som behandlades med ertugliflozin 5 mg, ertugliflozin 15 mg respektive placebo. Manliga genitala svampinfektioner var vanligare bland män som inte är omskurna. Behandlingen sattes ut på grund av svampinfektioner hos 0,2 % och 0 % av de manliga patienter som behandlades med ertugliflozin respektive placebo. I sällsynta fall rapporterades fimos och i vissa fall utfördes omskärelse (se avsnitt Varningar och försiktighet).
Urinvägsinfektioner
I VERTIS CV förekom urinvägsinfektioner hos 12,2 %, 12 % och 10,2 % av patienterna som behandlades med ertugliflozin 5 mg, ertugliflozin 15 mg respektive placebo. Incidensen av allvarliga urinvägsinfektioner var 0,9 %, 0,4 % och 0,8 % med ertugliflozin 5 mg, ertugliflozin 15 mg respektive placebo.
I de 7 andra kliniska fas 3‑studierna i utvecklingsprogrammet för ertugliflozin var incidensen av urinvägsinfektioner 4 % och 4,1 % för grupperna som fick ertugliflozin 5 mg och 15 mg och 3,9 % för placebo. De flesta händelser var lindriga till måttliga och inga allvarliga fall rapporterades.
Rapportering av misstänkta biverkningar
Det är viktigt att rapportera misstänkta biverkningar efter att läkemedlet godkänts. Det gör det möjligt att kontinuerligt övervaka läkemedlets nytta-riskförhållande. Hälso- och sjukvårdspersonal uppmanas att rapportera varje misstänkt biverkning till Läkemedelsverket, men alla kan rapportera misstänkta biverkningar till Läkemedelsverket, www.lakemedelsverket.sePostadress: Läkemedelsverket, Box 26, 751 03 Uppsala.
Ertugliflozins glykemiska effekt och säkerhet har studerats i 7 randomiserade, dubbelblinda, placebokontrollerade eller aktivt kontrollerade jämförande, kliniska multicenterstudier i fas 3 på 4 863 patienter med typ 2‑diabetes, inklusive en studie på 468 patienter med måttligt nedsatt njurfunktion. Andelen vita var 76,8 %, 13,3 % var asiater, 5,0 % var svarta och 4,8 % var av annan etnicitet. Latinamerikaner utgjorde 24,2 % av populationen. Patienternas genomsnittliga ålder var 57,8 år (intervall 21 år till 87 år); 25,8 % av patienterna var ≥ 65 år och 4,5 % var ≥ 75 år.
Dessutom utfördes en studie av kardiovaskulära utfall (VERTIS CV). I VERTIS CV deltog 8 246 patienter med typ 2‑diabetes mellitus och etablerad aterosklerotisk hjärt-kärlsjukdom, varav 1 776 patienter hade måttligt nedsatt njurfunktion. VERTIS CV omfattade även delstudier för att utvärdera glykemisk effekt och säkerhet för ertugliflozin som tillägg till andra glykemiska behandlingar.
Glykemisk kontroll
Monoterapi
Totalt 461 patienter med typ 2‑diabetes som inte kontrollerades adekvat med kost och motion deltog i en randomiserad, dubbelblind, placebokontrollerad, 26‑veckors multicenterstudie för att utvärdera effekt och säkerhet för ertugliflozin i monoterapi. Dessa patienter, som inte fick någon bakgrundsbehandling med antihyperglykemiska läkemedel, randomiserades till ertugliflozin 5 mg, ertugliflozin 15 mg eller placebo givet en gång dagligen (se tabell 2).
Tabell 2: Resultat vecka 26 från en placebokontrollerad studie av ertugliflozin som monoterapi*
* N inkluderar alla randomiserade, behandlade patienter som hade minst en mätning av utfallsvariabeln.
† Minsta kvadratmedelvärde justerat för tid, tidigare antihyperglykemiska läkemedel, utgångsvärde för eGFR och tidsinteraktion per behandling.
‡ p< 0,001 jämfört med placebo.
§ p< 0,001 jämfört med placebo (baserat på justerade oddskvotjämförelser från en logistisk regressionsmodell med multipel imputation för saknade datavärden).
Ertugliflozin som tilläggsbehandling till metformin
Totalt 621 patienter med typ 2‑diabetes som inte kontrollerades adekvat med metformin i monoterapi (≥ 1 500 mg/dag) deltog i en randomiserad, dubbelblind, placebokontrollerad, 26‑veckors multicenterstudie för att utvärdera effekten och säkerheten för ertugliflozin i kombination med metformin. Patienterna randomiserades till ertugliflozin 5 mg, ertugliflozin 15 mg eller placebo givet en gång dagligen som tillägg till fortsatt bakgrundsbehandling med metformin (se tabell 3).
Tabell 3: Resultat vecka 26 från en placebokontrollerad‑ studie av ertugliflozin använt i kombination med metformin*
* N inkluderar alla randomiserade, behandlade patienter som hade minst en mätning av utfallsvariabeln.
† Minsta kvadratmedelvärden justerade för tid, tidigare antihyperglykemiska läkemedel, utgångsvärde för eGFR, randomiseringsstratum avseende menopausal status och tidsinteraktion per behandling.
‡ p≤ 0,001 jämfört med placebo.
§ p< 0,001 jämfört med placebo (baserat på justerade oddskvotjämförelser från en logistisk regressionsmodell med multipel imputation för saknade datavärden).
Aktivt kontrollerad studie av ertugliflozin jämfört med glimepirid som tilläggsbehandling till metformin
Totalt 1 326 patienter med typ 2‑diabetes som inte kontrollerades adekvat med metformin i monoterapi deltog i en randomiserad, dubbelblind, 52‑veckors, aktivt kontrollerad multicenterstudie för att utvärdera effekt och säkerhet för ertugliflozin i kombination med metformin. Dessa patienter, som fick metformin i monoterapi (≥ 1 500 mg/dag), randomiserades till ertugliflozin 5 mg, ertugliflozin 15 mg eller glimepirid givet en gång dagligen som tillägg till fortsatt bakgrundsbehandling med metformin. Glimepirid sattes in med 1 mg/dag och titrerades upp till en högsta dos på 6 eller 8 mg/dag (beroende på högsta godkända dos i de enskilda länderna) eller en högsta tolererad dos eller titrerades ned för att undvika eller hantera hypoglykemi. Den genomsnittliga dagliga dosen av glimepirid var 3,0 mg (se tabell 4).
Tabell 4: Resultat vecka 52 från en aktivt kontrollerad studie som jämförde ertugliflozin med glimepirid som tilläggsbehandling hos patienter som inte kontrollerades adekvat på metformin*
* N inkluderar alla randomiserade, behandlade patienter som hade minst en mätning av utfallsvariabeln.
† Minsta kvadratmedelvärde justerat för tid, tidigare antihyperglykemiska läkemedel, utgångsvärde för eGFR och tidsinteraktion per behandling.
‡ Non-inferiority konstateras när den övre gränsen för det tvåsidiga 95 % konfidensintervallet (KI) för den genomsnittliga skillnaden är mindre än 0,3 %.
§ p< 0,001 jämfört med glimepirid.
Faktoriell studie med ertugliflozin och sitagliptin som tilläggsbehandling till metformin
Totalt 1 233 patienter med typ 2‑diabetes deltog i en randomiserad, dubbelblind, 26‑veckors, aktivt kontrollerad multicenterstudie för att utvärdera effekt och säkerhet för ertugliflozin 5 mg eller 15 mg i kombination med sitagliptin 100 mg jämfört med de enskilda komponenterna. Patienter med typ 2‑diabetes som inte kontrollerades adekvat på metformin i monoterapi (≥ 1 500 mg/dag) randomiserades till en av fem armar med aktiv behandling: ertugliflozin 5 mg eller 15 mg, sitagliptin 100 mg, eller sitagliptin 100 mg i kombination med 5 mg eller 15 mg ertugliflozin administrerat en gång dagligen som tillägg till fortsatt bakgrundsbehandling med metformin (se tabell 5).
Tabell 5: Resultat vecka 26 från en faktoriell studie med ertugliflozin och sitagliptin som tilläggsbehandling till metformin jämfört med enbart de enskilda komponenterna*
* N inkluderar alla randomiserade, behandlade patienter som hade minst en mätning av utfallsvariabeln.
† Minsta kvadratmedelvärde justerat för tid, utgångsvärde för eGFR och tidsinteraktion per behandling.
‡ p< 0,001 jämfört med kontrollgruppen.
§ p< 0,001 jämfört med motsvarande dos av ertugliflozin eller sitagliptin (baserat på justerade oddskvotjämförelser från en logistisk regressionsmodell med multipel imputation för saknade datavärden).
Ertugliflozin som tilläggsbehandling till metformin och sitagliptin
Totalt 463 patienter med typ 2‑diabetes som inte kontrollerades adekvat med metformin (≥ 1 500 mg/dag) och sitagliptin 100 mg en gång dagligen deltog i en randomiserad, dubbelblind, 26‑ veckors, placebokontrollerad multicenterstudie för att utvärdera effekt och säkerhet för ertugliflozin. Patienterna randomiserades till ertugliflozin 5 mg, ertugliflozin 15 mg eller placebo givet en gång dagligen som tillägg till fortsatt bakgrundsbehandling med metformin och sitagliptin (se tabell 6).
Tabell 6: Resultat vecka 26 från en studie av ertugliflozin som tillägg till kombinationsbehandling med metformin och sitagliptin*
* N inkluderar alla randomiserade, behandlade patienter som hade minst en mätning av utfallsvariabeln.
† Minsta kvadratmedelvärden justerade för tid, tidigare antihyperglykemiska läkemedel, utgångsvärde för eGFR och tidsinteraktion per behandling.
‡ p< 0,001 jämfört med placebo.
§ p< 0,001 jämfört med placebo (baserat på justerade oddskvotjämförelser från en logistisk regressionsmodell med multipel imputation för saknade datavärden).
Kombinationsbehandling med ertugliflozin och sitagliptin
Totalt 291 patienter med typ 2‑diabetes som inte kontrollerades adekvat med kost och motion deltog i en randomiserad, dubbelblind, placebokontrollerad, 26‑veckors multicenterstudie för att utvärdera effekt och säkerhet för ertugliflozin i kombination med sitagliptin. Dessa patienter, som inte fick någon bakgrundsbehandling med antihyperglykemiska läkemedel, randomiserades till ertugliflozin 5 mg eller ertugliflozin 15 mg i kombination med sitagliptin (100 mg) eller till placebo, en gång dagligen (se tabell 7).
Tabell 7: Resultat vecka 26 från en kombinationsbehandlingsstudie med ertugliflozin och sitagliptin*
* N inkluderar alla patienter som fick minst en dos studieläkemedel och som hade minst en mätning av utfallsvariabeln.
† Minsta kvadratmedelvärden justerade för tid och tidsinteraktion per behandling.
‡ p<0,001 jämfört med placebo.
§ p<0,001 jämfört med placebo (baserat på justerade oddskvotjämförelser från en logistisk regressionsmodell med multipel imputation för saknade datavärden).
Ertugliflozin som tilläggsbehandling till insulin (med eller utan metformin)
I en 18 veckor lång, randomiserad, dubbelblind, placebokontrollerad, multicenter, glykemisk delstudie i VERTIS CV randomiserades totalt 1 065 patienter med typ 2-diabetes mellitus och etablerad aterosklerotisk hjärt-kärlsjukdom med otillräcklig glykemisk kontroll (hemoglobin A1c [HbA1c] mellan 7 % och 10,5 %) med bakgrundsbehandling i form av insulin ≥20 enheter/dag (59 % av patienterna stod också på metformin ≥1 500 mg/dag) till ertugliflozin 5 mg, ertugliflozin 15 mg eller placebo en gång dagligen (se tabell 8).
Tabell 8: Resultat vecka 18 från en studie av ertugliflozin som tillägg till insulin (med eller utan metformin) hos patienter med typ 2-diabetes mellitus*
* N inkluderar alla randomiserade, behandlade patienter som hade minst en mätning av utfallsvariabeln.
† Minsta kvadratmedelvärden justerade för tid, insulinstratum, utgångsvärde för eGFR och tidsinteraktion per behandling.
‡ p< 0,001 jämfört med placebo.
§ p< 0,001 jämfört med placebo (baserat på justerade oddskvotjämförelser från en logistisk regressionsmodell med multipel imputation för saknade datavärden).
Ertugliflozin som tilläggsbehandling till metformin och sulfonylurea
I en 18 veckor lång, randomiserad, dubbelblind, placebokontrollerad, multicenter, glykemisk delstudie i VERTIS CV randomiserades totalt 330 patienter med typ 2‑diabetes mellitus och etablerad aterosklerotisk hjärt-kärlsjukdom med otillräcklig glykemisk kontroll (HbA1c mellan 7 % och 10,5 %) med bakgrundsbehandling i form av metformin ≥1 500 mg/dag och en sulfonylurea till ertugliflozin 5 mg, ertugliflozin 15 mg eller placebo en gång dagligen (se tabell 9).
Tabell 9: Resultat vecka 18 från en studie av ertugliflozin som tillägg till metformin och en sulfonylurea hos patienter med typ 2-diabetes mellitus*
* N inkluderar alla randomiserade, behandlade patienter som hade minst en mätning av utfallsvariabeln.
† Minsta kvadratmedelvärden justerade för tid, utgångsvärde för eGFR och tidsinteraktion per behandling.
‡ p< 0,001 jämfört med placebo.
§ p< 0,001 jämfört med placebo (baserat på justerade oddskvotjämförelser från en logistisk regressionsmodell med multipel imputation för saknade datavärden).
Måttligt nedsatt njurfunktion
Placebokontrollerad 26-veckorsstudie
Effekten av ertugliflozin utvärderades också separat i en särskild studie av patienter med diabetes samt måttligt nedsatt njurfunktion (468 patienter med GFR ≥ 30 till < 60 ml/min/1,73 m2).
Förändringarna i minsta kvadratiska (least square, LS) medelvärde (95 % KI) från utgångsvärdet för HbA1c var ‑0,26 (‑0,42; ‑0,11), ‑0,29 (‑0,44; ‑0,14) och ‑0,41 (‑0,56; ‑0,27) i grupperna som fick placebo respektive ertugliflozin 5 mg och ertugliflozin 15 mg. Sänkningarna av HbA1c hos grupperna som fått ertugliflozin visade ingen signifikant skillnad från placebogruppen. Den fördefinierade analysen av glykemisk effektivitet blev missvisande (confounded) genom bruk av icke tillåtna antihyperglykemiska läkemedel. I en efterföljande analys där patienter som använt icke tillåtna läkemedel exkluderats, kunde ertugliflozin 5 mg och 15 mg associeras med placebokorrigerade sänkningar av HbA1c om ‑0,14 (‑0,36; 0,08) och ‑0,33 (‑0,55; ‑0,11).
Placebokontrollerad 18-veckorsstudie
I studien VERTIS CV hade 1 776 patienter med typ 2‑diabetes mellitus och etablerad aterosklerotisk hjärt-kärlsjukdom måttligt nedsatt njurfunktion (eGFR ≥30 till <60 ml/min/1,73 m2). Av dem hade 1 319 patienter eGFR ≥45 till <60 ml/min/1,73 m2, varav 879 patienter exponerades för ertugliflozin (se tabell 10), och 457 patienter hade eGFR ≥30 till <45 ml/min/1,73 m2, varav 299 patienter exponerades för ertugliflozin.
Tabell 10: Resultat vecka 18 med ertugliflozin hos patienter med typ 2-diabetes mellitus och hjärt-kärlsjukdom med ett utgångsvärde för eGFR på ≥45 till <60 ml/min/1,73 m2*
* N inkluderar alla randomiserade, behandlade patienter som hade minst en mätning av utfallsvariabeln.
† Minsta kvadratmedelvärden justerade för tid, utgångsvärde för eGFR och tidsinteraktion per behandling.
‡ p< 0,001 jämfört med placebo.
Hos patienter med eGFR ≥30 till <45 ml/min/1,73 m2 skiljde sig sänkningen av HbA1c från utgångsvärdet till vecka 18 signifikant mellan placebo och ertugliflozin 5 mg men skiljde sig inte signifikant mellan placebo och ertugliflozin 15 mg.
Fasteplasmaglukos
I tre placebokontrollerade studier resulterade ertugliflozin i statistiskt signifikanta sänkningar av FPG. För ertugliflozin 5 mg respektive 15 mg var de placebokorrigerade sänkningarna av fasteplasmaglukos (FPG) 1,92 och 2,44 mmol/l som monoterapi, 1,48 och 2,12 mmol/l som tillägg till metformin, och 1,40 och 1,74 mmol/l som tillägg till metformin och sitagliptin.
Kombinationen av ertugliflozin och sitagliptin resulterade i signifikant större sänkningar av FPG än enbart sitagliptin eller ertugliflozin eller placebo. Kombinationen av ertugliflozin 5 mg eller 15 mg och sitagliptin resulterade i inkrementella FPG-sänkningar på 0,46–0,65 mmol/l jämfört med enbart ertugliflozin och 1,02–1,28 mmol/l jämfört med enbart sitagliptin. De placebokorrigerade sänkningarna med ertugliflozin 5 mg eller 15 mg i kombination med sitagliptin var 2,16 respektive 2,56 mmol/l.
Effekt hos patienter med HbA1c ≥ 8 % vid studiestart
I studien av monoterapi utförd med bakgrundsbehandling i form av kost och motion hos patienter med ett utgångsvärde för HbA1c på 7‑10,5 %, hade subgruppen av patienter i studien med ett utgångsvärde för HbA1c ≥ 8 % placebokorrigerade sänkningar av HbA1c på 1,11 % och 1,52 % med ertugliflozin 5 mg respektive 15 mg.
I studien av ertugliflozin som tillägg till metformin på patienter som hade utgångsvärden för HbA1c på 7‑10,5 % var de placebokorrigerade sänkningarna av HbA1c för subgruppen av patienterna i studien med ett utgångsvärde för HbA1c ≥ 9 % 1,31 % och 1,43 % med ertugliflozin 5 mg respektive ertugliflozin 15 mg.
I studien av patienter som inte fått tillräcklig effekt under behandling med metformin och som hade utgångsvärden för HbA1c på 7,5-11 % studerades en subgrupp av patienter med utgångsvärden för HbA1c ≥ 10 %. Hos denna subgrupp resulterade kombinationen av ertugliflozin 5 mg eller 15 mg tillsammans med sitagliptin i sänkningar av HbA1c om 2,35 % och 2,66 % jämfört med 2,10 %, 1,30 % och 1,82 % vid behandling med enbart ertugliflozin 5 mg respektive ertugliflozin 15 mg eller sitagliptin.
Postprandiellt glukos
I studien av monoterapi resulterade ertugliflozin 5 mg respektive 15 mg i statistiskt signifikanta placebokorrigerade sänkningar av 2‑timmars postprandiellt glukos (PPG) på 3,83 och 3,74 mmol/l.
Blodtryck
I tre stycken 26‑veckors placebokontrollerade studier sänkte ertugliflozin det systoliska blodtrycket (SBP). För ertugliflozin 5 mg och 15 mg varierade de statistiskt signifikanta sänkningarna i SBP från 2,9 mmHg till 3,7 mmHg respektive från 1,7 mmHg till 4,5 mmHg.
I en 52‑veckors aktivt kontrollerad studie där glimepirid jämfördes, var sänkningarna i SBP från utgångsvärdet 2,2 mmHg och 3,8 mmHg för ertugliflozin 5 mg respektive 15 mg. Patienterna som behandlats med glimepirid hade en ökning i SBP på 1,0 mmHg från utgångsvärdet.
Subgruppsanalys
Hos patienter med typ 2‑diabetes behandlade med ertugliflozin observerades kliniskt meningsfulla sänkningar av HbA1c i subgrupper indelade efter ålder, kön, ras, etnicitet, geografisk region, utgångsvärde för kroppsmasseindex (BMI), utgångsvärde för HbA1c och duration av typ 2‑diabetes mellitus.
Kardiovaskulära utfall
Effekten av ertugliflozin på kardiovaskulär risk hos vuxna patienter med typ 2-diabetes mellitus och etablerad aterosklerotisk hjärt-kärlsjukdom utvärderades i studien VERTIS CV, en multinationell, randomiserad, dubbelblind, placebokontrollerad, händelsedriven multicenterstudie. Studien jämförde risken att drabbas av en allvarligare negativ hjärt-kärlhändelse (MACE) mellan ertugliflozin och placebo när dessa användes som tilläggsbehandling och användes samtidigt med standardbehandlingar för diabetes och aterosklerotisk hjärt-kärlsjukdom.
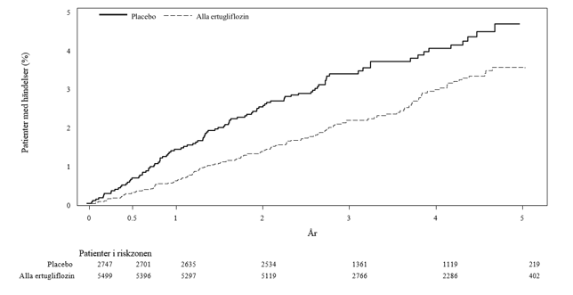
Totalt 8 246 patienter randomiserades (placebo N=2 747, ertugliflozin 5 mg N=2 752, ertugliflozin 15 mg N=2 747) och följdes under en mediantid av 3 år. Genomsnittlig ålder var 64 år och cirka 70 % var män.
Samtliga patienter i studien hade otillräckligt kontrollerad typ 2-diabetes mellitus vid studiestart (HbA1c högre än eller lika med 7 %). Genomsnittlig duration av typ 2-diabetes mellitus var 13 år, genomsnittligt HbA1c vid studiestart var 8,2 % och genomsnittlig eGFR var 76 ml/min/1,73 m2. Vid studiestart behandlades patienterna med ett (32 %) eller flera (67 %) diabetesläkemedel, däribland metformin (76 %), insulin (47 %), sulfonylurea (41 %), dipeptidylpeptidas-4 (DPP-4)-hämmare (11 %) och glukagonliknande peptid-1 (GLP-1)-receptoragonister (3 %).
Nästan alla patienter (99 %) hade etablerad aterosklerotisk hjärt-kärlsjukdom vid studiestart. Cirka 24 % av patienterna hade anamnes på hjärtsvikt. Primärt effektmått i VERTIS CV var tiden till första förekomst av MACE (hjärt-kärldöd, icke-dödlig hjärtinfarkt eller icke-dödlig stroke).
Ertugliflozin var inte sämre än placebo vad gäller MACE (se tabell 11). Resultaten för de enskilda doserna 5 mg och 15 mg överensstämde med resultaten för de sammanslagna dosgrupperna.
Hos patienter behandlade med ertugliflozin var frekvensen av sjukhusinläggning för hjärtsvikt lägre än hos patienter behandlade med placebo (se tabell 11 och figur 1).
Tabell 11: Analys av MACE och dess komponenter samt sjukhusinläggning för hjärtsvikt från studien VERTIS CV*
N=Antal patienter, KI=konfidensintervall.
* Intent-to-treat analysset.
† MACE utvärderades hos patienter som tog minst en dos studieläkemedel och för patienter som avbröt behandlingen med studieläkemedel före studiens slut. Händelser som inträffade mer än 365 dagar efter den sista dosen studieläkemedel censurerades. Övriga effektmått utvärderades för alla randomiserade patienter och händelser som inträffade någon gång efter den första dosen studieläkemedel till den sista dagen för kontakt. Det totala antalet första händelser analyserades för varje effektmått.
‡ För MACE redovisas 95,6 % KI, för övriga effektmått redovisas 95 % KI.
#Ej utvärderat för statistisk signifikans eftersom det inte ingick i den förspecificerade sekventiella testproceduren.
Figur 1: Tid till första förekomst av sjukhusinläggning för hjärtsvikt
Pediatrisk population
Europeiska läkemedelsmyndigheten har senarelagt kravet att skicka in studieresultat för ertugliflozin för en eller flera grupper av den pediatriska populationen vid typ 2‑diabetes mellitus (information om pediatrisk användning finns i avsnitt Dosering).
Ertugliflozin är substrat för transportörerna P‑glykoprotein (P‑gp) och bröstcancerresistent protein (BCRP).
Distribution
Genomsnittlig distributionsvolym för ertugliflozin i steady state efter en intravenös dos är 86 l. Ertugliflozin binds till plasmaproteiner till 93,6 % oberoende av plasmakoncentrationen av ertugliflozin. Bindningen till plasmaproteiner förändras inte i någon betydelsefull grad hos patienter med nedsatt njur- eller leverfunktion. Kvoten mellan koncentrationen ertugliflozin i blod och plasma är 0,66.
Ertugliflozin är inte ett substrat för organiska anjonstransportörer (OAT1, OAT3), organiska katjonstransportörer (OCT1, OCT2) eller för organiska anjontransporterande polypeptider (OATP1B1, OATP1B3) in vitro.
Metabolism
Metabolism är den primära mekanismen för clearance av ertugliflozin. Den huvudsakliga metabola vägen för ertugliflozin är UGT1A9‑ och UGT2B7‑medierad O‑glukuronidering till två glukuronider som är farmakologiskt inaktiva vid kliniskt relevanta koncentrationer. CYP‑medierad (oxidativ) metabolism av ertugliflozin är minimal (12 %).
Eliminering
Genomsnittligt systemiskt plasmaclearance efter en intravenös dos på 100 µg var 11 l/h. Genomsnittlig halveringstid i eliminationsfasen hos patienter med typ 2‑diabetes och normal njurfunktion beräknades vara 17 timmar baserat på den populationsfarmakokinetiska analysen. Efter administrering av en peroral lösning med [14C]‑ertugliflozin till friska personer eliminerades cirka 41 % och 50 % av den läkemedelsrelaterade radioaktiviteten i feces respektive urin. Endast 1,5 % av den administrerade dosen utsöndrades som oförändrat ertugliflozin i urin och 34 % utsöndrades som oförändrat ertugliflozin i feces, vilket troligen beror på biliär utsöndring av glukuronidmetaboliter och efterföljande hydrolys till modersubstansen.
Särskilda populationer
Nedsatt njurfunktion
I en klinisk farmakologistudie i fas 1 på patienter med typ 2‑diabetes och lätt, måttligt eller kraftigt nedsatt njurfunktion (fastställd med eGFR) var de genomsnittliga ökningarna av AUC för ertugliflozin efter en engångsdos på 15 mg ertugliflozin ≤ 1,7‑faldiga jämfört med personer med normal njurfunktion. Dessa ökningar av AUC för ertugliflozin anses inte vara kliniskt relevanta. Det fanns inga kliniskt betydelsefulla skillnader i Cmax-värdena för ertugliflozin i grupperna med olika njurfunktion. Dygnsutsöndringen av glukos via urinen minskade med ökande grad av njurfunktionsnedsättning (se avsnitt Varningar och försiktighet). Plasmaproteinbindningen av ertugliflozin påverkades inte hos patienter med nedsatt njurfunktion.
Nedsatt leverfunktion
Måttligt nedsatt leverfunktion (baserat på klassificering enligt Child-Pugh) resulterade inte i någon ökad exponering av ertugliflozin. AUC för ertugliflozin minskade med cirka 13 % och Cmax minskade med cirka 21 % jämfört med personer med normal leverfunktion. Denna minskning av exponeringen av ertugliflozin anses inte vara kliniskt betydelsefull. Det finns ingen klinisk erfarenhet från patienter med Child-Pugh klass C (grav) leverfunktionsnedsättning. Plasmaproteinbindningen av ertugliflozin påverkades inte hos patienter med måttligt nedsatt leverfunktion.
Pediatrisk population
Inga studier av ertugliflozin har utförts på pediatriska patienter.
Effekter av ålder, kroppsvikt, kön och etnicitet
Baserat på en populationsfarmakokinetisk analys har ålder, kroppsvikt, kön och etnicitet inte någon kliniskt betydelsefull effekt på farmakokinetiken för ertugliflozin.
Läkemedelsinteraktioner
Utvärdering av ertugliflozin in vitro
I in vitro‑studier hämmade eller inaktiverade inte ertugliflozin eller ertugliflozinglukuronider CYP 1A2, 2C9, 2C19, 2C8, 2B6, 2D6 eller 3A4 och inducerade inte CYP 1A2, 2B6 eller 3A4. Ertugliflozin eller ertugliflozinglukuronider hämmade inte aktiviteten hos UGT 1A6, 1A9 eller 2B7 in vitro. Ertugliflozin var en svag hämmare av UGT 1A1 och 1A4 in vitro vid högre koncentrationer som inte är kliniskt relevanta. Ertugliflozinglukuroniderna hade ingen effekt på dessa isoformer. Generellt är det osannolikt att ertugliflozin påverkar farmakokinetiken för samtidigt administrerade läkemedel som elimineras av dessa enzymer.
Ertugliflozin eller ertugliflozinglukuronider uppvisar ingen betydelsefull hämning av transportörerna P‑gp, OCT2, OAT1, OAT3 eller av transporterande polypeptiderna OATP1B1 och OATP1B3 vid kliniskt relevanta koncentrationer in vitro. Generellt är det osannolikt att ertugliflozin påverkar farmakokinetiken för samtidigt administrerade läkemedel som är substrat för dessa transportörer.
Mutagenes
Ertugliflozin var inte mutagent eller klastogent med eller utan metabol aktivering i mikrobiell omvänd mutationsanalys, cytogenetisk analys (humana lymfocyter) in vitro och råttmikrokärntest in vivo.
Reproduktionstoxikologi
I studien av fertilitet och embryonal utveckling på råtta gavs han- och honråttor ertugliflozin vid 5, 25 och 250 mg/kg/dag. Inga effekter på fertiliteten observerades vid 250 mg/kg/dag (cirka 386 gånger den obundna exponeringen hos människa vid MRHD på 15 mg/dag baserat på jämförelser av AUC). Ertugliflozin hade ingen negativ påverkan på utvecklingen hos råtta och kanin vid maternella exponeringar som var 239 respektive 1 069 gånger exponeringen hos människa vid den högsta kliniska dosen på 15 mg/dag, baserat på AUC. Vid en maternellt toxisk dos till råtta (250 mg/kg/dag) observerades lägre fosterviabilitet och en högre incidens av en visceral missbildning sågs vid en maternell exponering som var 510 gånger den maximala kliniska dosen på 15 mg/dag.
I den pre- och postnatala utvecklingsstudien observerades minskad postnatal tillväxt och utveckling hos råttor som givits ertugliflozin på gestationsdag 6 till laktationsdag 21 i doser på ≥ 100 mg/kg/dag (cirka 239 gånger exponeringen hos människa vid den högsta kliniska dosen på 15 mg/dag, baserat på AUC). Könsmognaden försenades hos båda könen vid 250 mg/kg/dag (cirka 620 gånger MRHD på 15 mg/dag, baserat på AUC).
När ertugliflozin administrerades till unga råttor från den 21:a postnatala dagen (PND) till den 90:e PND, en period i den renala utvecklingen som motsvarar den senare delen av andra trimestern och tredje trimestern av human graviditet, sågs ökad njurvikt, dilatation av njurbäcken och njurtubuli och mineralisering av njurtubuli vid en exponering som var 13 gånger den högsta kliniska dosen på 15 mg/dag, baserat på AUC. Effekterna på skelett (kortare femurlängd, ökat trabekulärt ben i femur) liksom effekter i form av försenad pubertet observerades vid exponeringar på 817 gånger MRHD på 15 mg/dag baserat på AUC. Effekterna på njurar och skelett hade inte reverserats fullt ut efter 1 månads återhämtningstid.
Mikrokristallin cellulosa (E460)
Laktosmonohydrat
Natriumstärkelseglykolat (typ A)
Magnesiumstearat (E470b)
Filmdragering
Hypromellos 2910/6 (E464)
Laktosmonohydrat
Makrogol 3350 (E1521)
Triacetin (E1518)
Titandioxid (E171)
Röd järnoxid (E172)
När ertugliflozin används i kombination med insulin eller en insulinsekretagog, kan dosen insulin eller insulinsekretagogen behöva sänkas för att minska risken för hypoglykemi (se avsnitt Varningar och försiktighet, Interaktioner och Biverkningar).
Hos patienter med volymförlust rekommenderas korrigering av detta tillstånd innan behandling med ertugliflozin påbörjas (se avsnitt Varningar och försiktighet).
Missad dos
Vid missad dos ska dosen tas så snart patienten kommer ihåg. Patienten ska inte ta två doser av Steglatro på samma dag.
Särskilda populationer
Nedsatt njurfunktion
Utvärdering av njurfunktionen rekommenderas innan behandling med Steglatro påbörjas och regelbundet därefter (se avsnitt Varningar och försiktighet).
Initiering av behandling med detta läkemedel rekommenderas inte till patienter med en estimerad glomerulär filtrationshastighet (eGFR) som understiger 45 ml/min/1,73 m2 eller ett kreatininclearance (CrCl) som understiger 45 ml/min (se avsnitt Varningar och försiktighet).
Hos patienter med en eGFR ≥ 45 till < 60 ml/min/1,73 m2 ska Steglatro initieras med 5 mg och vid behov titreras upp till 15 mg för glykemisk kontroll.
Eftersom den glykemiska sänkningseffekten av ertugliflozin är nedsatt hos patienter med måttligt nedsatt njurfunktion och sannolikt saknas hos patienter med kraftigt nedsatt njurfunktion ska tillägg av andra antihyperglykemiska läkemedel övervägas om ytterligare glykemisk kontroll behövs (se avsnitt Varningar och försiktighet).
Steglatro ska sättas ut när eGFR konstant understiger 30 ml/min/1,73 m2 eller när CrCl konstant understiger 30 ml/min.
Steglatro ska inte användas av patienter med kraftigt nedsatt njurfunktion, med terminal njursvikt (ESRD, end-stage renal disease) eller som står på dialysbehandling, eftersom det inte finns några kliniska data som stöder effektivitet hos dessa patienter.
Nedsatt leverfunktion
Dosen av ertugliflozin behöver inte justeras för patienter med lätt till måttligt nedsatt leverfunktion. Ertugliflozin har inte studerats hos patienter med gravt nedsatt leverfunktion och rekommenderas inte till dessa patienter (se avsnitt Farmakokinetik).
Äldre
Ingen dosjustering av ertugliflozin rekommenderas baserat på ålder. Hänsyn ska tas till njurfunktionen och risken för volymförlust (se avsnitt Varningar och försiktighet och Biverkningar).
Pediatrisk population
Säkerhet och effekt för ertugliflozin för barn under 18 år har inte fastställts. Inga data finns tillgängliga.
Administreringssätt
Steglatro ska tas peroralt en gång dagligen på morgonen, med eller utan mat. Vid sväljsvårigheter kan tabletten delas eller krossas eftersom det är en beredningsform med omedelbar frisättning.
Allmänt
Steglatro ska inte användas till patienter med typ 1-diabetes mellitus.
Det kan öka risken för diabetesketoacidos (DKA) hos dessa patienter.
Hypotoni/volymförlust
Ertugliflozin orsakar osmotisk diures, som kan leda till minskad intravaskulär volym. Därför kan symtomatisk hypotoni förekomma efter påbörjad behandling med Steglatro (se avsnitt Biverkningar), särskilt hos patienter med nedsatt njurfunktion (eGFR understiger 60 ml/min/1,73 m2 eller CrCl under 60 ml/min), äldre patienter (≥ 65 år), patienter som står på diuretika eller patienter som står på blodtryckssänkande behandling med hypotoni i anamnesen. Innan behandling med Steglatro påbörjas ska volymstatus utvärderas och korrigeras vid behov. Patienten ska kontrolleras för tecken och symtom efter behandlingsstart.
På grund av sin verkningsmekanism inducerar ertugliflozin osmotisk diures, ökar serumkreatinin och sänker eGFR. Ökningarna av serumkreatinin och sänkningarna av eGFR var större hos patienter med måttligt nedsatt njurfunktion (se avsnitt Biverkningar).
Vid tillstånd som kan leda till vätskeförlust (t.ex. magtarmsjukdom) rekommenderas noggrann övervakning av volymstatus (t.ex. kroppslig undersökning, blodtrycksmätning, laboratorietester inklusive hematokrit) och elektrolyter för patienter som får ertugliflozin. Tillfälligt avbrott av behandlingen med ertugliflozin bör övervägas till dess att vätskeförlusten har korrigerats.
Diabetesketoacidos
Sällsynta fall av DKA, inklusive livshotande och dödliga fall, har rapporterats i kliniska studier och efter godkännandet för försäljning hos patienter som behandlats med natrium-glukos-kotransportör‑2-(SGLT2)-hämmare, inklusive ertugliflozin. I ett antal fall var tillståndet atypiskt med endast måttligt förhöjda blodglukosvärden, under 14 mmol/l (250 mg/dl). Det är inte känt om det är större sannolikhet att DKA uppträder vid högre doser av ertugliflozin.
Risken för DKA måste beaktas i händelse av icke-specifika symtom såsom illamående, kräkningar, anorexi, buksmärtor, överdriven törst, andningsbesvär, förvirring, ovanlig trötthet eller sömnighet. Patienten ska utvärderas för ketoacidos omedelbart om dessa symtom uppträder, oavsett blodglukosnivå.
Hos patienter där DKA misstänkts eller är diagnosticerat ska behandlingen med ertugliflozin avbrytas omedelbart.
Behandlingen bör avbrytas hos patienter som lagts in på sjukhus för större kirurgiska ingrepp eller akuta allvarliga sjukdomar. Provtagning av ketoner rekommenderas för dessa patienter. Mätning av ketonnivåer i blodet istället för urinen är att föredra. Behandling med ertugliflozin kan återupptas när ketonvärdena är normala och patientens tillstånd har stabiliserats.
Innan behandlingen med ertugliflozin påbörjas ska faktorer i patientens anamnes som kan predisponera för ketoacidos beaktas.
Patienter som kan ha förhöjd risk för DKA innefattar patienter med en låg reserv av funktionella betaceller (t.ex. patienter med typ 2‑diabetes med lågt C‑peptidvärde eller latent autoimmun diabetes hos vuxna (LADA) eller patienter med pankreatit i anamnesen), patienter med tillstånd som medför begränsat födointag eller allvarlig dehydrering, patienter där insulindosen minskas samt patienter med ökat insulinbehov till följd av akut sjukdom, kirurgiskt ingrepp eller alkoholmissbruk. SGLT2‑hämmare bör användas med försiktighet hos dessa patienter.
Återinsättning av SGLT2‑hämmare rekommenderas inte hos patienter som tidigare har drabbats av DKA under behandling med SGLT2‑hämmare, om inte en annan tydlig utlösande faktor har identifierats och åtgärdats.
Säkerhet och effekt för ertugliflozin för patienter med typ 1‑diabetes har inte fastställts och ertugliflozin ska inte användas för behandling av patienter med typ 1‑diabetes. Begränsade data från kliniska studier tyder på att DKA förekommer med frekvensen ”vanlig” när patienter med typ 1‑diabetes behandlas med SGLT2‑hämmare.
Amputation av nedre extremiteter
I en långtidsstudie av kardiovaskulära utfall, VERTIS CV (eValuation of ERTugliflozin effIcacy and Safety, CardioVascular), på patienter med typ 2-diabetes mellitus och etablerad aterosklerotisk hjärt-kärlsjukdom, rapporterades icke-traumatiska amputationer av nedre extremiteter (främst tår) med en incidens på 2 % (0,57 patienter med händelser per 100 patientår), 2,1 % (0,60 patienter med händelser per 100 patientår) och 1,6 % (0,47 patienter med händelser per 100 patientår) för ertugliflozin 5 mg, ertugliflozin 15 mg respektive placebo. Frekvensen av händelser med amputation av nedre extremiteter var 0,75 och 0,96 jämfört med 0,74 händelser per 100 patientår för ertugliflozin 5 mg och ertugliflozin 15 mg jämfört med placebo. En ökning av antalet fall av amputationer av de nedre extremiteterna (främst tår) har observerats i kliniska långtidsstudier på typ 2-diabetes mellitus med SGLT2‑hämmare. Det är inte känt om detta utgör en klasseffekt. Det är viktigt att informera patienter med diabetes om rutiner för förebyggande fotvård.
Nedsatt njurfunktion
Effekten av ertugliflozin för glykemisk kontroll är beroende av njurfunktionen och den glykemiska effekten är minskad hos patienter som har måttligt nedsatt njurfunktion och saknas sannolikt helt hos patienter med kraftigt nedsatt njurfunktion (se avsnitt Dosering).
Behandling med Steglatro ska inte påbörjas hos patienter med eGFR under 45 ml/min/1,73 m2 eller CrCl under 45 ml/min. På grund av minskad effekt ska Steglatro sättas ut när eGFR konstant understiger 30 ml/min/1,73 m2 eller när CrCl konstant understiger 30 ml/min.
Kontroll av njurfunktionen rekommenderas enligt följande:
Innan behandling med ertugliflozin påbörjas och regelbundet under behandling (se avsnitt Dosering).
Oftare hos patienter med eGFR under 60 ml/min/1,73 m2 eller ett CrCl under 60 ml/min.
Hypoglykemi vid samtidig användning av insulin och insulinsekretagoger
Ertugliflozin kan öka risken för hypoglykemi när det används i kombination med insulin och/eller en insulinsekretagog, som är kända för att orsaka hypoglykemi (se avsnitt Biverkningar). Vid användning i kombination med ertugliflozin kan därför insulin- eller insulinsekretagogdosen behöva sänkas för att minimera risken för hypoglykemi (se avsnitt Dosering och Interaktioner).
Genitala svampinfektioner
Ertugliflozin ökar risken för genitala svampinfektioner. I studier med SGLT2‑hämmare ökade sannolikheten att utveckla genitala svampinfektioner hos patienter som tidigare haft genitala svampinfektioner samt hos män som inte är omskurna (se avsnitt Biverkningar). Patienterna ska monitoreras och behandlas efter behov.
Urinvägsinfektioner
Utsöndring av glukos via urin kan vara associerat med en ökad risk för urinvägsinfektioner (se avsnitt Biverkningar). Tillfällig utsättning av ertugliflozin ska övervägas vid behandling av pylonefrit eller urosepsis.
Nekrotiserande fasciit i perineum (Fourniers gangrän)
Fall av nekrotiserande fasciit i perineum (s.k. Fourniers gangrän) har rapporterats hos kvinnliga och manliga patienter som tagit SGLT2-hämmare efter att läkemedlet godkänts för försäljning. Detta är en sällsynt men allvarlig och potentiellt livshotande biverkning som kräver ett kirurgiskt akutingrepp och antibiotikabehandling.
Patienter ska rådas att söka läkarhjälp om de upplever en kombination av symtom som smärta, ömhet, erytem eller svullnad i genital- eller perinealområdet, tillsammans med feber eller sjukdomskänsla. Observera att urogenital infektion eller perineal abscess kan föregå nekrotiserande fasciit. Vid misstanke om Fourniers gangrän ska Steglatro sättas ut och omedelbar behandling (såsom antibiotika och kirurgisk debridering) sättas in.
Äldre patienter
Äldre patienter kan löpa ökad risk för volymförlust och nedsatt njurfunktion. Patienter som var 65 år eller äldre och som behandlades med ertugliflozin hade en högre incidens av biverkningar relaterade till volymförlust än yngre patienter. I en långtidsstudie av kardiovaskulära utfall, VERTIS CV, var säkerhet och effekt likartade för patienter i åldern 65 år eller äldre jämfört med patienter under 65 år (se avsnitt Dosering och Biverkningar).
Hjärtsvikt
Det finns ingen erfarenhet från kliniska studier med ertugliflozin i New York Heart Association (NYHA) klass IV.
Laboratorieanalyser av urin
På grund av verkningsmekanismen kommer urinen från patienter som tar Steglatro att vara positiv för glukos. Alternativa metoder att övervaka den glykemiska kontrollen ska användas.
Interferens med analys av 1,5-anhydroglucitol (1,5 AG)‑analys
Övervakning av den glykemiska kontrollen med 1,5 AG‑analys rekommenderas inte eftersom mätningar av 1,5 AG inte är tillförlitliga för bedömning av den glykemiska kontrollen hos patienter som tar SGLT2‑hämmare. Alternativa metoder att övervaka den glykemiska kontrollen ska användas.
Laktos
Steglatro innehåller laktosmonohydrat. Patienter med något av de sällsynta ärftliga tillstånden galaktosintolerans, total laktasbrist eller glukos-galaktosmalabsorption bör inte använda detta läkemedel.
Natrium
Detta läkemedel innehåller mindre än 1 mmol (23 mg) natrium per tablett, dvs är näst intill ”natriumfritt”.
Farmakodynamiska interaktioner
Diuretika
Ertugliflozin kan förstärka den vätskedrivande effekten hos diuretika och kan öka risken för dehydrering och hypotoni (se avsnitt Varningar och försiktighet).
Insulin och insulinsekretagoger
Insulin och insulinsekretagoger, som sulfonylurea, kan orsaka hypoglykemi. Ertugliflozin kan öka risken för hypoglykemi när det används i kombination med insulin och/eller en insulinsekretagog. Vid användning i kombination med ertugliflozin kan därför insulin- eller insulinsekretagogdosen behöva sänkas för att minska risken för hypoglykemi (se avsnitt Dosering, Varningar och försiktighet och Biverkningar).
Farmakokinetiska interaktioner
Andra läkemedels effekter på ertugliflozins farmakokinetik
Metabolism via UGT1A9 och UGT2B7 är den primära clearancemekanismen för ertugliflozin.
Interaktionsstudier utförda på friska personer, där engångsdoser använts, tyder på att farmakokinetiken för ertugliflozin inte förändras av sitagliptin, metformin, glimepirid eller simvastatin.
Upprepade doser av rifampicin (en inducerare av uridin 5’-difosfo-glukuronosyltransferas [UGT] och cytokrom P450 [CYP]) minskar arean under koncentration-tid-kurvan (AUC) och maximal plasmakoncentration (Cmax) för ertugliflozin med 39 % respektive 15 %. Denna minskning av exponeringen anses inte vara kliniskt relevant och därför rekommenderas ingen dosjustering. En kliniskt relevant effekt av andra inducerare (t.ex. karbamazepin, fenytoin, fenobarbital) förväntas inte.
Effekten av UGT‑hämmare på farmakokinetiken hos ertugliflozin har inte studerats kliniskt, men en potentiell ökning i exponering av ertugliflozin på grund av UGT‑hämmare anses inte vara kliniskt relevant.
Ertugliflozins effekter på andra läkemedels farmakokinetik
Interaktionsstudier utförda på friska frivilliga tyder på att ertugliflozin inte har någon kliniskt relevant effekt på farmakokinetiken för sitagliptin, metformin och glimepirid.
Samtidig administrering av simvastatin och ertugliflozin resulterade i en ökning av AUC och Cmax för simvastatin med 24 % respektive 19 % och en ökning av AUC och Cmax för simvastatinsyra med 30 % respektive 16 %. Mekanismen bakom de små ökningarna av simvastatin och simvastatinsyra är okänd och medieras inte genom att ertugliflozin hämmar organiskt anjoniskt transportprotein (OATP). Dessa ökningar anses inte vara kliniskt betydelsefulla.
Det finns begränsad mängd data från användningen av ertugliflozin i gravida kvinnor. Baserat på resultat från djurstudier kan ertugliflozin påverka njurarnas utveckling och mognad (se avsnitt Prekliniska uppgifter). Därför ska Steglatro inte användas under graviditet.
Det finns ingen information om förekomsten av ertugliflozin i bröstmjölk, effekter på ammade spädbarn eller effekter på mjölkproduktionen. Ertugliflozin förekommer i mjölk hos digivande råttor och orsakade effekter hos avkomman från digivande råttor. Farmakologiskt medierade effekter observerades hos unga råttor (se avsnitt Prekliniska uppgifter). Eftersom människans njurar mognar in utero och under de två första levnadsåren, då exponering via amning kan förekomma, kan en risk för nyfödda/spädbarn inte uteslutas. Steglatro ska inte användas under amning.
Effekten av ertugliflozin på fertiliteten hos människa har inte studerats. Inga effekter på fertiliteten observerades i djurstudier (se avsnitt Prekliniska uppgifter).
Ertugliflozin har ingen eller försumbar effekt på förmågan att framföra fordon och använda maskiner. Patienterna ska informeras om risken för hypoglykemi när Steglatro används i kombination med insulin eller en insulinsekretagog och om den förhöjda risken för biverkningar relaterade till volymförlust, t.ex. postural yrsel (se avsnitt Dosering, Varningar och försiktighet och Biverkningar)
Sammanfattning av säkerhetsprofilen
Säkerhet och tolerabilitet för ertugliflozin bedömdes i 7 placebokontrollerade eller aktivt kontrollerade jämförande studier på sammanlagt 3 409 patienter med typ 2‑diabetes mellitus som behandlades med ertugliflozin 5 mg eller 15 mg. Dessutom bedömdes säkerhet och tolerabilitet för ertugliflozin hos patienter med typ 2‑diabetes och etablerad aterosklerotisk hjärt-kärlsjukdom i VERTIS CV (se avsnitt Farmakodynamik) i vilken totalt 5 493 patienter behandlades med ertugliflozin 5 mg eller 15 mg med en genomsnittlig exponeringstid på 2,9 år.
Sammanslagna data från placebokontrollerade studier av Steglatro 5 mg och 15 mg
Den primära utvärderingen av säkerheten utfördes på sammanslagna data från tre 26‑veckors placebokontrollerade studier. Ertugliflozin användes som monoterapi i en studie och som tilläggsbehandling i två studier (se avsnitt Farmakodynamik). Dessa data speglar exponering av ertugliflozin under i genomsnitt 25 veckor hos 1 029 patienter. Patienterna fick ertugliflozin 5 mg (N=519), ertugliflozin 15 mg (N=510) eller placebo (N=515) en gång dagligen.
De vanligast rapporterade biverkningarna över hela det kliniska programmet var urinvägsinfektion, vulvovaginal svampinfektion samt andra genitala svampinfektioner hos kvinnor. Allvarlig DKA förekom sällan (se avsnitt Varningar och försiktighet)
Tabell över biverkningar
Nedan listade biverkningar klassificeras efter frekvens och organsystem (SOC). Inom varje frekvensgrupp listas biverkningar i fallande allvarlighetsgrad. Frekvenskategorierna definieras enligt följande konvention: mycket vanliga (≥ 1/10), vanliga (≥ 1/100, < 1/10), mindre vanliga (≥ 1/1 000, < 1/100), sällsynta (≥ 1/10 000, < 1/1 000), mycket sällsynta (< 1/10 000), ingen känd frekvens (kan inte beräknas från tillgängliga data).
Tabell 1: Biverkningar från placebokontrollerade studier eller studier med aktivt jämförelseläkemedel och erfarenhet efter godkännande för försäljning
* Se avsnitt Varningar och försiktighet.
†Se nedanstående delavsnitt för mer information.
‡ Inkluderar: pollakiuri, miktionsträngningar, polyuri, ökad urinproduktion och nokturi.
§ Inkluderar: törst och polydipsi.
¶ Genomsnittliga procentuella förändringar från utgångsvärdet för ertugliflozin 5 mg respektive 15 mg var för lipoproteinkolesterol med låg densitet (LDL‑C) 5,8 % och 8,4 % jämfört med placebo 3,2 %, för totalkolesterol 2,8 % och 5,7 %, jämfört med placebo 1,1 %, dock var lipoproteinkolesterol med hög densitet (HDL-C) 6,2 % och 7,6 % jämfört med placebo 1,9 %. Median förändring i procent från utgångsvärdet för ertugliflozin 5 mg respektive 15 mg var för triglycerider ‑3,9 % och ‑1,7 % jämfört med placebo 4,5 %.
**Andelen personer som hade minst 1 ökning i hemoglobin > 2,0 g/dl var högre i ertugliflozin 5 mg och 15 mg grupperna (4,7 % respektive 4,1 %) jämfört med placebogruppen (0,6 %).
¶¶Andelen personer som uppvisade ökning av blod-urea-kväve (BUN) värden ≥ 50 % och värde > upper limit of normal (ULN) var numeriskt högre i ertugliflozin 5 mg gruppen och högre i 15 mg gruppen (7,9 % respektive 9,8 %) i förhållande till placebogruppen (5,1 %).
a Biverkningar identifierades genom övervakning efter godkännandet för försäljning.
Beskrivning av utvalda biverkningar
Volymförlust
Ertugliflozin orsakar osmotisk diures, som kan leda till minskad intravaskulär volym och biverkningar relaterade till volymförlust. I sammanslagna data från placebokontrollerade studier var incidensen av biverkningar relaterade till volymförlust (dehydrering, postural yrsel, presynkope, synkope, hypotoni och ortostatisk hypotoni) låg (<2 %) utan påtagliga skillnader mellan ertugliflozin- och placebogrupperna. I subgruppsanalyser av en större mängd sammanslagna data från fas 3‑studier hade patienter med eGFR <60 ml/min/1,73 m2, patienter ≥ 65 år och patienter på diuretika en högre incidens av volymförlust i ertugliflozingrupperna än i gruppen som fick jämförelseläkemedel (se avsnitt Dosering och Varningar och försiktighet). Hos patienter med eGFR <60 ml/min/1,73 m2 var incidensen 5,1 %, 2,6 % och 0,5 % för ertugliflozin 5 mg, ertugliflozin 15 mg respektive jämförelsegruppen och för patienter med eGFR 45‑<60 ml/min/1,73 m2 var incidensen 6,4 %, 3,7 % respektive 0 %.
Hypoglykemi
I sammanslagna data från placebokontrollerade studier var incidensen av dokumenterad hypoglykemi högre för ertugliflozin 5 mg och 15 mg (5 % och 4,5 %) jämfört med placebo (2,9 %). I denna population var incidensen av svår hypoglykemi 0,4 % i vardera gruppen. När ertugliflozin användes som monoterapi var incidensen av hypoglykemiska händelser 2,6 % i bägge grupperna som behandlades med ertugliflozin och 0,7 % i placebogruppen. När ertugliflozin används som tillägg till metformin var incidensen av hypoglykemiska händelser 7,2 % i gruppen som fick ertugliflozin 5 mg, 7,8 % i gruppen som fick ertugliflozin 15 mg och 4,3 % i placebogruppen.
När ertugliflozin lades till metformin och jämfördes med sulfonylurea var incidensen av hypoglykemi högre för sulfonylurea (27 %) än för ertugliflozin (5,6 % och 8,2 % för ertugliflozin 5 mg respektive 15 mg).
När ertugliflozin användes som tillägg till insulin med eller utan metformin i delstudier i VERTIS CV var incidensen av dokumenterad hypoglykemi 39,4 %, 38,9 % och 37,5 % för ertugliflozin 5 mg, ertugliflozin 15 mg respektive placebo. När ertugliflozin användes som tillägg till en sulfonylurea var incidensen av hypoglykemi 7,3 %, 9,3 % och 4,2 % för ertugliflozin 5 mg, ertugliflozin 15 mg respektive placebo. När ertugliflozin användes som tillägg till metformin och en sulfonylurea var incidensen av hypoglykemi 20 %, 26,5 % och 14,5 % för ertugliflozin 5 mg, ertugliflozin 15 mg respektive placebo.
Hos patienter med måttligt nedsatt njurfunktion som tog insulin, sulfonylurea eller meglitinider som bakgrundsläkemedel var den dokumenterade incidensen av hypoglykemi 36 %, 27 % och 36 % för ertugliflozin 5 mg, ertugliflozin 15 mg respektive placebo (se avsnitt Dosering, Varningar och försiktighet och Interaktioner).
Diabetesketoacidos
I VERTIS CV identifierades ketoacidos hos 19 (0,3 %) patienter behandlade med ertugliflozin och hos 2 (0,1 %) patienter som fick placebo. I de 7 andra kliniska fas 3‑studierna i utvecklingsprogrammet för ertugliflozin identifierades ketoacidos hos 3 (0,1 %) patienter behandlade med ertugliflozin och hos 0 (0 %) av de patienter som behandlades med jämförelseläkemedel (se avsnitt Varningar och försiktighet).
Förhöjt blodkreatinin/sänkt glomerulär filtrationshastighet och njurrelaterade händelser
Initiala ökningar av genomsnittligt kreatinin och sänkningar av eGFR hos patienter som behandlades med ertugliflozin var generellt övergående under fortsatt behandling. Patienter med måttligt nedsatt njurfunktion vid studiestart hade större genomsnittliga förändringar, vilka inte hade återgått till utgångsvärdet vid vecka 26. Dessa förändringar gick tillbaka efter att behandlingen sattes ut.
I VERTIS CV var behandling med ertugliflozin associerad med en initial minskning av genomsnittlig eGFR (vid vecka 6, -2,7; -3,8 och ‑0,4 ml/min/1,73 m2 i grupperna som fick ertugliflozin 5 mg, ertugliflozin 15 mg respektive placebo) vilken följdes av en återgång mot utgångsvärdet. Långtidsbehandling med ertugliflozin var associerad med en långsammare minskning av eGFR jämfört med placebo (fram till vecka 260).
I VERTIS CV var incidensen av njurrelaterade biverkningar (t.ex. akut njurskada, nedsatt njurfunktion, akut prerenal svikt) 4,2 %, 4,3 % och 4,7 % hos patienter behandlade med ertugliflozin 5 mg, ertugliflozin 15 mg respektive placebo i den totala populationen, och var 9,7 %, 10 % och 10,2 % hos patienter med eGFR från 30 till under 60 ml/min/1,73 m2 behandlade med ertugliflozin 5 mg, ertugliflozin 15 mg respektive placebo.
Genitala svampinfektioner
I sammanslagna data från placebokontrollerade kliniska studier förekom kvinnlig genital svampinfektion (t.ex. genital candidiasis, genital svampinfektion, vaginal infektion, vulvit, vulvovaginal candidiasis, vulvovaginal svampinfektion, vulvovaginit) hos 9,1 %, 12 %, och 3 % av de kvinnor som behandlades med ertugliflozin 5 mg, ertugliflozin 15 mg respektive placebo. Behandlingen sattes ut på grund av genitala svampinfektioner hos 0,6 % och 0 % av de kvinnliga patienter som behandlades med ertugliflozin respektive placebo (se avsnitt Varningar och försiktighet).
I samma sammanslagna data förekom manliga genitala svampinfektioner (t.ex. candida balanit, balanopostit, genital infektion, genital svampinfektion) hos 3,7 %, 4,2 % och 0,4 % av de män som behandlades med ertugliflozin 5 mg, ertugliflozin 15 mg respektive placebo. Manliga genitala svampinfektioner var vanligare bland män som inte är omskurna. Behandlingen sattes ut på grund av svampinfektioner hos 0,2 % och 0 % av de manliga patienter som behandlades med ertugliflozin respektive placebo. I sällsynta fall rapporterades fimos och i vissa fall utfördes omskärelse (se avsnitt Varningar och försiktighet).
Urinvägsinfektioner
I VERTIS CV förekom urinvägsinfektioner hos 12,2 %, 12 % och 10,2 % av patienterna som behandlades med ertugliflozin 5 mg, ertugliflozin 15 mg respektive placebo. Incidensen av allvarliga urinvägsinfektioner var 0,9 %, 0,4 % och 0,8 % med ertugliflozin 5 mg, ertugliflozin 15 mg respektive placebo.
I de 7 andra kliniska fas 3‑studierna i utvecklingsprogrammet för ertugliflozin var incidensen av urinvägsinfektioner 4 % och 4,1 % för grupperna som fick ertugliflozin 5 mg och 15 mg och 3,9 % för placebo. De flesta händelser var lindriga till måttliga och inga allvarliga fall rapporterades.
Rapportering av misstänkta biverkningar
Det är viktigt att rapportera misstänkta biverkningar efter att läkemedlet godkänts. Det gör det möjligt att kontinuerligt övervaka läkemedlets nytta-riskförhållande. Hälso- och sjukvårdspersonal uppmanas att rapportera varje misstänkt biverkning till Läkemedelsverket, men alla kan rapportera misstänkta biverkningar till Läkemedelsverket, www.lakemedelsverket.sePostadress: Läkemedelsverket, Box 26, 751 03 Uppsala.
Ertugliflozin visade ingen toxicitet hos friska personer vid perorala engångsdoser på upp till 300 mg eller vid upprepade doser på upp till 100 mg dagligen i 2 veckor. Inga potentiella akuta symtom eller tecken på överdosering identifierades.
I händelse av överdosering ska sedvanliga understödjande åtgärder vidtas (t.ex. avlägsnande av ej absorberat material från magtarmkanalen, klinisk monitorering och understödjande behandling) beroende på patientens kliniska status. Eliminering av ertugliflozin med hemodialys har inte studerats.
Verkningsmekanism
SGLT2 är den viktigaste transportören som ansvarar för återabsorption av glukos från glomerulusfiltratet tillbaka till blodet. Ertugliflozin är en potent, selektiv och reversibel hämmare av SGLT2. Genom att hämma SGLT2 minskar ertugliflozin den renala återabsorptionen av filtrerat glukos och sänker den renala tröskeln för glukos, och ökar därigenom utsöndringen av glukos via urinen.
Farmakodynamisk effekt
Glukosutsöndring i urin och urinvolym
Dosberoende ökningar av den mängd glukos som utsöndras i urinen observerades hos friska personer och hos patienter med typ 2‑diabetes mellitus efter engångsdoser och upprepad administrering av ertugliflozin. Dos-responsmodellering tyder på att ertugliflozin 5 mg och 15 mg resulterar i nära maximal glukosutsöndring i urinen (UGE) hos patienter med typ 2‑diabetes mellitus och ger 87 % respektive 96 % av maximal hämning.
Klinisk effekt och säkerhet
Både förbättring av glykemisk kontroll och minskning av kardiovaskulär morbiditet och mortalitet är viktiga delar i behandlingen av typ 2‑diabetes mellitus.
Ertugliflozin har studerats som monoterapi och i kombination med metformin, sitagliptin, en sulfonylurea, insulin (med eller utan metformin), metformin plus sitagliptin, metformin plus en sulfonylurea och har jämförts med en sulfonylurea (glimepirid). Ertugliflozin har också studerats hos patienter med typ 2‑diabetes mellitus och måttligt nedsatt njurfunktion.
Ertugliflozins glykemiska effekt och säkerhet har studerats i 7 randomiserade, dubbelblinda, placebokontrollerade eller aktivt kontrollerade jämförande, kliniska multicenterstudier i fas 3 på 4 863 patienter med typ 2‑diabetes, inklusive en studie på 468 patienter med måttligt nedsatt njurfunktion. Andelen vita var 76,8 %, 13,3 % var asiater, 5,0 % var svarta och 4,8 % var av annan etnicitet. Latinamerikaner utgjorde 24,2 % av populationen. Patienternas genomsnittliga ålder var 57,8 år (intervall 21 år till 87 år); 25,8 % av patienterna var ≥ 65 år och 4,5 % var ≥ 75 år.
Dessutom utfördes en studie av kardiovaskulära utfall (VERTIS CV). I VERTIS CV deltog 8 246 patienter med typ 2‑diabetes mellitus och etablerad aterosklerotisk hjärt-kärlsjukdom, varav 1 776 patienter hade måttligt nedsatt njurfunktion. VERTIS CV omfattade även delstudier för att utvärdera glykemisk effekt och säkerhet för ertugliflozin som tillägg till andra glykemiska behandlingar.
Glykemisk kontroll
Monoterapi
Totalt 461 patienter med typ 2‑diabetes som inte kontrollerades adekvat med kost och motion deltog i en randomiserad, dubbelblind, placebokontrollerad, 26‑veckors multicenterstudie för att utvärdera effekt och säkerhet för ertugliflozin i monoterapi. Dessa patienter, som inte fick någon bakgrundsbehandling med antihyperglykemiska läkemedel, randomiserades till ertugliflozin 5 mg, ertugliflozin 15 mg eller placebo givet en gång dagligen (se tabell 2).
Tabell 2: Resultat vecka 26 från en placebokontrollerad studie av ertugliflozin som monoterapi*
* N inkluderar alla randomiserade, behandlade patienter som hade minst en mätning av utfallsvariabeln.
† Minsta kvadratmedelvärde justerat för tid, tidigare antihyperglykemiska läkemedel, utgångsvärde för eGFR och tidsinteraktion per behandling.
‡ p< 0,001 jämfört med placebo.
§ p< 0,001 jämfört med placebo (baserat på justerade oddskvotjämförelser från en logistisk regressionsmodell med multipel imputation för saknade datavärden).
Ertugliflozin som tilläggsbehandling till metformin
Totalt 621 patienter med typ 2‑diabetes som inte kontrollerades adekvat med metformin i monoterapi (≥ 1 500 mg/dag) deltog i en randomiserad, dubbelblind, placebokontrollerad, 26‑veckors multicenterstudie för att utvärdera effekten och säkerheten för ertugliflozin i kombination med metformin. Patienterna randomiserades till ertugliflozin 5 mg, ertugliflozin 15 mg eller placebo givet en gång dagligen som tillägg till fortsatt bakgrundsbehandling med metformin (se tabell 3).
Tabell 3: Resultat vecka 26 från en placebokontrollerad‑ studie av ertugliflozin använt i kombination med metformin*
* N inkluderar alla randomiserade, behandlade patienter som hade minst en mätning av utfallsvariabeln.
† Minsta kvadratmedelvärden justerade för tid, tidigare antihyperglykemiska läkemedel, utgångsvärde för eGFR, randomiseringsstratum avseende menopausal status och tidsinteraktion per behandling.
‡ p≤ 0,001 jämfört med placebo.
§ p< 0,001 jämfört med placebo (baserat på justerade oddskvotjämförelser från en logistisk regressionsmodell med multipel imputation för saknade datavärden).
Aktivt kontrollerad studie av ertugliflozin jämfört med glimepirid som tilläggsbehandling till metformin
Totalt 1 326 patienter med typ 2‑diabetes som inte kontrollerades adekvat med metformin i monoterapi deltog i en randomiserad, dubbelblind, 52‑veckors, aktivt kontrollerad multicenterstudie för att utvärdera effekt och säkerhet för ertugliflozin i kombination med metformin. Dessa patienter, som fick metformin i monoterapi (≥ 1 500 mg/dag), randomiserades till ertugliflozin 5 mg, ertugliflozin 15 mg eller glimepirid givet en gång dagligen som tillägg till fortsatt bakgrundsbehandling med metformin. Glimepirid sattes in med 1 mg/dag och titrerades upp till en högsta dos på 6 eller 8 mg/dag (beroende på högsta godkända dos i de enskilda länderna) eller en högsta tolererad dos eller titrerades ned för att undvika eller hantera hypoglykemi. Den genomsnittliga dagliga dosen av glimepirid var 3,0 mg (se tabell 4).
Tabell 4: Resultat vecka 52 från en aktivt kontrollerad studie som jämförde ertugliflozin med glimepirid som tilläggsbehandling hos patienter som inte kontrollerades adekvat på metformin*
* N inkluderar alla randomiserade, behandlade patienter som hade minst en mätning av utfallsvariabeln.
† Minsta kvadratmedelvärde justerat för tid, tidigare antihyperglykemiska läkemedel, utgångsvärde för eGFR och tidsinteraktion per behandling.
‡ Non-inferiority konstateras när den övre gränsen för det tvåsidiga 95 % konfidensintervallet (KI) för den genomsnittliga skillnaden är mindre än 0,3 %.
§ p< 0,001 jämfört med glimepirid.
Faktoriell studie med ertugliflozin och sitagliptin som tilläggsbehandling till metformin
Totalt 1 233 patienter med typ 2‑diabetes deltog i en randomiserad, dubbelblind, 26‑veckors, aktivt kontrollerad multicenterstudie för att utvärdera effekt och säkerhet för ertugliflozin 5 mg eller 15 mg i kombination med sitagliptin 100 mg jämfört med de enskilda komponenterna. Patienter med typ 2‑diabetes som inte kontrollerades adekvat på metformin i monoterapi (≥ 1 500 mg/dag) randomiserades till en av fem armar med aktiv behandling: ertugliflozin 5 mg eller 15 mg, sitagliptin 100 mg, eller sitagliptin 100 mg i kombination med 5 mg eller 15 mg ertugliflozin administrerat en gång dagligen som tillägg till fortsatt bakgrundsbehandling med metformin (se tabell 5).
Tabell 5: Resultat vecka 26 från en faktoriell studie med ertugliflozin och sitagliptin som tilläggsbehandling till metformin jämfört med enbart de enskilda komponenterna*
* N inkluderar alla randomiserade, behandlade patienter som hade minst en mätning av utfallsvariabeln.
† Minsta kvadratmedelvärde justerat för tid, utgångsvärde för eGFR och tidsinteraktion per behandling.
‡ p< 0,001 jämfört med kontrollgruppen.
§ p< 0,001 jämfört med motsvarande dos av ertugliflozin eller sitagliptin (baserat på justerade oddskvotjämförelser från en logistisk regressionsmodell med multipel imputation för saknade datavärden).
Ertugliflozin som tilläggsbehandling till metformin och sitagliptin
Totalt 463 patienter med typ 2‑diabetes som inte kontrollerades adekvat med metformin (≥ 1 500 mg/dag) och sitagliptin 100 mg en gång dagligen deltog i en randomiserad, dubbelblind, 26‑ veckors, placebokontrollerad multicenterstudie för att utvärdera effekt och säkerhet för ertugliflozin. Patienterna randomiserades till ertugliflozin 5 mg, ertugliflozin 15 mg eller placebo givet en gång dagligen som tillägg till fortsatt bakgrundsbehandling med metformin och sitagliptin (se tabell 6).
Tabell 6: Resultat vecka 26 från en studie av ertugliflozin som tillägg till kombinationsbehandling med metformin och sitagliptin*
* N inkluderar alla randomiserade, behandlade patienter som hade minst en mätning av utfallsvariabeln.
† Minsta kvadratmedelvärden justerade för tid, tidigare antihyperglykemiska läkemedel, utgångsvärde för eGFR och tidsinteraktion per behandling.
‡ p< 0,001 jämfört med placebo.
§ p< 0,001 jämfört med placebo (baserat på justerade oddskvotjämförelser från en logistisk regressionsmodell med multipel imputation för saknade datavärden).
Kombinationsbehandling med ertugliflozin och sitagliptin
Totalt 291 patienter med typ 2‑diabetes som inte kontrollerades adekvat med kost och motion deltog i en randomiserad, dubbelblind, placebokontrollerad, 26‑veckors multicenterstudie för att utvärdera effekt och säkerhet för ertugliflozin i kombination med sitagliptin. Dessa patienter, som inte fick någon bakgrundsbehandling med antihyperglykemiska läkemedel, randomiserades till ertugliflozin 5 mg eller ertugliflozin 15 mg i kombination med sitagliptin (100 mg) eller till placebo, en gång dagligen (se tabell 7).
Tabell 7: Resultat vecka 26 från en kombinationsbehandlingsstudie med ertugliflozin och sitagliptin*
* N inkluderar alla patienter som fick minst en dos studieläkemedel och som hade minst en mätning av utfallsvariabeln.
† Minsta kvadratmedelvärden justerade för tid och tidsinteraktion per behandling.
‡ p<0,001 jämfört med placebo.
§ p<0,001 jämfört med placebo (baserat på justerade oddskvotjämförelser från en logistisk regressionsmodell med multipel imputation för saknade datavärden).
Ertugliflozin som tilläggsbehandling till insulin (med eller utan metformin)
I en 18 veckor lång, randomiserad, dubbelblind, placebokontrollerad, multicenter, glykemisk delstudie i VERTIS CV randomiserades totalt 1 065 patienter med typ 2-diabetes mellitus och etablerad aterosklerotisk hjärt-kärlsjukdom med otillräcklig glykemisk kontroll (hemoglobin A1c [HbA1c] mellan 7 % och 10,5 %) med bakgrundsbehandling i form av insulin ≥20 enheter/dag (59 % av patienterna stod också på metformin ≥1 500 mg/dag) till ertugliflozin 5 mg, ertugliflozin 15 mg eller placebo en gång dagligen (se tabell 8).
Tabell 8: Resultat vecka 18 från en studie av ertugliflozin som tillägg till insulin (med eller utan metformin) hos patienter med typ 2-diabetes mellitus*
* N inkluderar alla randomiserade, behandlade patienter som hade minst en mätning av utfallsvariabeln.
† Minsta kvadratmedelvärden justerade för tid, insulinstratum, utgångsvärde för eGFR och tidsinteraktion per behandling.
‡ p< 0,001 jämfört med placebo.
§ p< 0,001 jämfört med placebo (baserat på justerade oddskvotjämförelser från en logistisk regressionsmodell med multipel imputation för saknade datavärden).
Ertugliflozin som tilläggsbehandling till metformin och sulfonylurea
I en 18 veckor lång, randomiserad, dubbelblind, placebokontrollerad, multicenter, glykemisk delstudie i VERTIS CV randomiserades totalt 330 patienter med typ 2‑diabetes mellitus och etablerad aterosklerotisk hjärt-kärlsjukdom med otillräcklig glykemisk kontroll (HbA1c mellan 7 % och 10,5 %) med bakgrundsbehandling i form av metformin ≥1 500 mg/dag och en sulfonylurea till ertugliflozin 5 mg, ertugliflozin 15 mg eller placebo en gång dagligen (se tabell 9).
Tabell 9: Resultat vecka 18 från en studie av ertugliflozin som tillägg till metformin och en sulfonylurea hos patienter med typ 2-diabetes mellitus*
* N inkluderar alla randomiserade, behandlade patienter som hade minst en mätning av utfallsvariabeln.
† Minsta kvadratmedelvärden justerade för tid, utgångsvärde för eGFR och tidsinteraktion per behandling.
‡ p< 0,001 jämfört med placebo.
§ p< 0,001 jämfört med placebo (baserat på justerade oddskvotjämförelser från en logistisk regressionsmodell med multipel imputation för saknade datavärden).
Måttligt nedsatt njurfunktion
Placebokontrollerad 26-veckorsstudie
Effekten av ertugliflozin utvärderades också separat i en särskild studie av patienter med diabetes samt måttligt nedsatt njurfunktion (468 patienter med GFR ≥ 30 till < 60 ml/min/1,73 m2).
Förändringarna i minsta kvadratiska (least square, LS) medelvärde (95 % KI) från utgångsvärdet för HbA1c var ‑0,26 (‑0,42; ‑0,11), ‑0,29 (‑0,44; ‑0,14) och ‑0,41 (‑0,56; ‑0,27) i grupperna som fick placebo respektive ertugliflozin 5 mg och ertugliflozin 15 mg. Sänkningarna av HbA1c hos grupperna som fått ertugliflozin visade ingen signifikant skillnad från placebogruppen. Den fördefinierade analysen av glykemisk effektivitet blev missvisande (confounded) genom bruk av icke tillåtna antihyperglykemiska läkemedel. I en efterföljande analys där patienter som använt icke tillåtna läkemedel exkluderats, kunde ertugliflozin 5 mg och 15 mg associeras med placebokorrigerade sänkningar av HbA1c om ‑0,14 (‑0,36; 0,08) och ‑0,33 (‑0,55; ‑0,11).
Placebokontrollerad 18-veckorsstudie
I studien VERTIS CV hade 1 776 patienter med typ 2‑diabetes mellitus och etablerad aterosklerotisk hjärt-kärlsjukdom måttligt nedsatt njurfunktion (eGFR ≥30 till <60 ml/min/1,73 m2). Av dem hade 1 319 patienter eGFR ≥45 till <60 ml/min/1,73 m2, varav 879 patienter exponerades för ertugliflozin (se tabell 10), och 457 patienter hade eGFR ≥30 till <45 ml/min/1,73 m2, varav 299 patienter exponerades för ertugliflozin.
Tabell 10: Resultat vecka 18 med ertugliflozin hos patienter med typ 2-diabetes mellitus och hjärt-kärlsjukdom med ett utgångsvärde för eGFR på ≥45 till <60 ml/min/1,73 m2*
* N inkluderar alla randomiserade, behandlade patienter som hade minst en mätning av utfallsvariabeln.
† Minsta kvadratmedelvärden justerade för tid, utgångsvärde för eGFR och tidsinteraktion per behandling.
‡ p< 0,001 jämfört med placebo.
Hos patienter med eGFR ≥30 till <45 ml/min/1,73 m2 skiljde sig sänkningen av HbA1c från utgångsvärdet till vecka 18 signifikant mellan placebo och ertugliflozin 5 mg men skiljde sig inte signifikant mellan placebo och ertugliflozin 15 mg.
Fasteplasmaglukos
I tre placebokontrollerade studier resulterade ertugliflozin i statistiskt signifikanta sänkningar av FPG. För ertugliflozin 5 mg respektive 15 mg var de placebokorrigerade sänkningarna av fasteplasmaglukos (FPG) 1,92 och 2,44 mmol/l som monoterapi, 1,48 och 2,12 mmol/l som tillägg till metformin, och 1,40 och 1,74 mmol/l som tillägg till metformin och sitagliptin.
Kombinationen av ertugliflozin och sitagliptin resulterade i signifikant större sänkningar av FPG än enbart sitagliptin eller ertugliflozin eller placebo. Kombinationen av ertugliflozin 5 mg eller 15 mg och sitagliptin resulterade i inkrementella FPG-sänkningar på 0,46–0,65 mmol/l jämfört med enbart ertugliflozin och 1,02–1,28 mmol/l jämfört med enbart sitagliptin. De placebokorrigerade sänkningarna med ertugliflozin 5 mg eller 15 mg i kombination med sitagliptin var 2,16 respektive 2,56 mmol/l.
Effekt hos patienter med HbA1c ≥ 8 % vid studiestart
I studien av monoterapi utförd med bakgrundsbehandling i form av kost och motion hos patienter med ett utgångsvärde för HbA1c på 7‑10,5 %, hade subgruppen av patienter i studien med ett utgångsvärde för HbA1c ≥ 8 % placebokorrigerade sänkningar av HbA1c på 1,11 % och 1,52 % med ertugliflozin 5 mg respektive 15 mg.
I studien av ertugliflozin som tillägg till metformin på patienter som hade utgångsvärden för HbA1c på 7‑10,5 % var de placebokorrigerade sänkningarna av HbA1c för subgruppen av patienterna i studien med ett utgångsvärde för HbA1c ≥ 9 % 1,31 % och 1,43 % med ertugliflozin 5 mg respektive ertugliflozin 15 mg.
I studien av patienter som inte fått tillräcklig effekt under behandling med metformin och som hade utgångsvärden för HbA1c på 7,5-11 % studerades en subgrupp av patienter med utgångsvärden för HbA1c ≥ 10 %. Hos denna subgrupp resulterade kombinationen av ertugliflozin 5 mg eller 15 mg tillsammans med sitagliptin i sänkningar av HbA1c om 2,35 % och 2,66 % jämfört med 2,10 %, 1,30 % och 1,82 % vid behandling med enbart ertugliflozin 5 mg respektive ertugliflozin 15 mg eller sitagliptin.
Postprandiellt glukos
I studien av monoterapi resulterade ertugliflozin 5 mg respektive 15 mg i statistiskt signifikanta placebokorrigerade sänkningar av 2‑timmars postprandiellt glukos (PPG) på 3,83 och 3,74 mmol/l.
Blodtryck
I tre stycken 26‑veckors placebokontrollerade studier sänkte ertugliflozin det systoliska blodtrycket (SBP). För ertugliflozin 5 mg och 15 mg varierade de statistiskt signifikanta sänkningarna i SBP från 2,9 mmHg till 3,7 mmHg respektive från 1,7 mmHg till 4,5 mmHg.
I en 52‑veckors aktivt kontrollerad studie där glimepirid jämfördes, var sänkningarna i SBP från utgångsvärdet 2,2 mmHg och 3,8 mmHg för ertugliflozin 5 mg respektive 15 mg. Patienterna som behandlats med glimepirid hade en ökning i SBP på 1,0 mmHg från utgångsvärdet.
Subgruppsanalys
Hos patienter med typ 2‑diabetes behandlade med ertugliflozin observerades kliniskt meningsfulla sänkningar av HbA1c i subgrupper indelade efter ålder, kön, ras, etnicitet, geografisk region, utgångsvärde för kroppsmasseindex (BMI), utgångsvärde för HbA1c och duration av typ 2‑diabetes mellitus.
Kardiovaskulära utfall
Effekten av ertugliflozin på kardiovaskulär risk hos vuxna patienter med typ 2-diabetes mellitus och etablerad aterosklerotisk hjärt-kärlsjukdom utvärderades i studien VERTIS CV, en multinationell, randomiserad, dubbelblind, placebokontrollerad, händelsedriven multicenterstudie. Studien jämförde risken att drabbas av en allvarligare negativ hjärt-kärlhändelse (MACE) mellan ertugliflozin och placebo när dessa användes som tilläggsbehandling och användes samtidigt med standardbehandlingar för diabetes och aterosklerotisk hjärt-kärlsjukdom.
Totalt 8 246 patienter randomiserades (placebo N=2 747, ertugliflozin 5 mg N=2 752, ertugliflozin 15 mg N=2 747) och följdes under en mediantid av 3 år. Genomsnittlig ålder var 64 år och cirka 70 % var män.
Samtliga patienter i studien hade otillräckligt kontrollerad typ 2-diabetes mellitus vid studiestart (HbA1c högre än eller lika med 7 %). Genomsnittlig duration av typ 2-diabetes mellitus var 13 år, genomsnittligt HbA1c vid studiestart var 8,2 % och genomsnittlig eGFR var 76 ml/min/1,73 m2. Vid studiestart behandlades patienterna med ett (32 %) eller flera (67 %) diabetesläkemedel, däribland metformin (76 %), insulin (47 %), sulfonylurea (41 %), dipeptidylpeptidas-4 (DPP-4)-hämmare (11 %) och glukagonliknande peptid-1 (GLP-1)-receptoragonister (3 %).
Nästan alla patienter (99 %) hade etablerad aterosklerotisk hjärt-kärlsjukdom vid studiestart. Cirka 24 % av patienterna hade anamnes på hjärtsvikt. Primärt effektmått i VERTIS CV var tiden till första förekomst av MACE (hjärt-kärldöd, icke-dödlig hjärtinfarkt eller icke-dödlig stroke).
Ertugliflozin var inte sämre än placebo vad gäller MACE (se tabell 11). Resultaten för de enskilda doserna 5 mg och 15 mg överensstämde med resultaten för de sammanslagna dosgrupperna.
Hos patienter behandlade med ertugliflozin var frekvensen av sjukhusinläggning för hjärtsvikt lägre än hos patienter behandlade med placebo (se tabell 11 och figur 1).
Tabell 11: Analys av MACE och dess komponenter samt sjukhusinläggning för hjärtsvikt från studien VERTIS CV*
N=Antal patienter, KI=konfidensintervall.
* Intent-to-treat analysset.
† MACE utvärderades hos patienter som tog minst en dos studieläkemedel och för patienter som avbröt behandlingen med studieläkemedel före studiens slut. Händelser som inträffade mer än 365 dagar efter den sista dosen studieläkemedel censurerades. Övriga effektmått utvärderades för alla randomiserade patienter och händelser som inträffade någon gång efter den första dosen studieläkemedel till den sista dagen för kontakt. Det totala antalet första händelser analyserades för varje effektmått.
‡ För MACE redovisas 95,6 % KI, för övriga effektmått redovisas 95 % KI.
#Ej utvärderat för statistisk signifikans eftersom det inte ingick i den förspecificerade sekventiella testproceduren.
Figur 1: Tid till första förekomst av sjukhusinläggning för hjärtsvikt
Pediatrisk population
Europeiska läkemedelsmyndigheten har senarelagt kravet att skicka in studieresultat för ertugliflozin för en eller flera grupper av den pediatriska populationen vid typ 2‑diabetes mellitus (information om pediatrisk användning finns i avsnitt Dosering).
Allmän introduktion
Farmakokinetiken för ertugliflozin är likartad hos friska personer och patienter med typ 2‑diabetes. Genomsnittlig AUC och Cmax i plasma vid steady state var 398 ng×h/ml respektive 81 ng/ml vid behandling med 5 mg ertugliflozin en gång dagligen och 1 193 ng×h/ml respektive 268 ng/ml vid behandling med 15 mg ertugliflozin en gång dagligen. Steady state uppnås efter 4 till 6 dagars dosering av ertugliflozin en gång dagligen. Ertugliflozin uppvisar inte tidsberoende farmakokinetik och ackumuleras i plasma upp till 10‑40 % efter upprepad dosering.
Absorption
Efter en peroral engångsdos på 5 mg och 15 mg ertugliflozin uppnås maximala plasmakoncentrationer (mediantid till maximal plasmakoncentration [Tmax]) av ertugliflozin 1 timme efter dosering i fasta. Cmax och AUC i plasma för ertugliflozin ökar dosproportionellt efter engångsdoser från 0,5 mg till 300 mg och efter upprepade doser från 1 mg till 100 mg. Den absoluta perorala biotillgängligheten för ertugliflozin efter administrering av en 15 mg‑dos är ungefär 100 %.
Administrering av ertugliflozin med en fett- och kaloririk måltid sänker Cmax för ertugliflozin med 29 % och förlänger Tmax med 1 timme men påverkar inte AUC jämfört med dosering i fasta. Den observerade effekten av föda på farmakokinetiken för ertugliflozin anses inte vara kliniskt betydelsefull och ertugliflozin kan administreras med eller utan föda. I kliniska studier i fas 3 gavs ertugliflozin utan hänsyn till måltider.
Ertugliflozin är substrat för transportörerna P‑glykoprotein (P‑gp) och bröstcancerresistent protein (BCRP).
Distribution
Genomsnittlig distributionsvolym för ertugliflozin i steady state efter en intravenös dos är 86 l. Ertugliflozin binds till plasmaproteiner till 93,6 % oberoende av plasmakoncentrationen av ertugliflozin. Bindningen till plasmaproteiner förändras inte i någon betydelsefull grad hos patienter med nedsatt njur- eller leverfunktion. Kvoten mellan koncentrationen ertugliflozin i blod och plasma är 0,66.
Ertugliflozin är inte ett substrat för organiska anjonstransportörer (OAT1, OAT3), organiska katjonstransportörer (OCT1, OCT2) eller för organiska anjontransporterande polypeptider (OATP1B1, OATP1B3) in vitro.
Metabolism
Metabolism är den primära mekanismen för clearance av ertugliflozin. Den huvudsakliga metabola vägen för ertugliflozin är UGT1A9‑ och UGT2B7‑medierad O‑glukuronidering till två glukuronider som är farmakologiskt inaktiva vid kliniskt relevanta koncentrationer. CYP‑medierad (oxidativ) metabolism av ertugliflozin är minimal (12 %).
Eliminering
Genomsnittligt systemiskt plasmaclearance efter en intravenös dos på 100 µg var 11 l/h. Genomsnittlig halveringstid i eliminationsfasen hos patienter med typ 2‑diabetes och normal njurfunktion beräknades vara 17 timmar baserat på den populationsfarmakokinetiska analysen. Efter administrering av en peroral lösning med [14C]‑ertugliflozin till friska personer eliminerades cirka 41 % och 50 % av den läkemedelsrelaterade radioaktiviteten i feces respektive urin. Endast 1,5 % av den administrerade dosen utsöndrades som oförändrat ertugliflozin i urin och 34 % utsöndrades som oförändrat ertugliflozin i feces, vilket troligen beror på biliär utsöndring av glukuronidmetaboliter och efterföljande hydrolys till modersubstansen.
Särskilda populationer
Nedsatt njurfunktion
I en klinisk farmakologistudie i fas 1 på patienter med typ 2‑diabetes och lätt, måttligt eller kraftigt nedsatt njurfunktion (fastställd med eGFR) var de genomsnittliga ökningarna av AUC för ertugliflozin efter en engångsdos på 15 mg ertugliflozin ≤ 1,7‑faldiga jämfört med personer med normal njurfunktion. Dessa ökningar av AUC för ertugliflozin anses inte vara kliniskt relevanta. Det fanns inga kliniskt betydelsefulla skillnader i Cmax-värdena för ertugliflozin i grupperna med olika njurfunktion. Dygnsutsöndringen av glukos via urinen minskade med ökande grad av njurfunktionsnedsättning (se avsnitt Varningar och försiktighet). Plasmaproteinbindningen av ertugliflozin påverkades inte hos patienter med nedsatt njurfunktion.
Nedsatt leverfunktion
Måttligt nedsatt leverfunktion (baserat på klassificering enligt Child-Pugh) resulterade inte i någon ökad exponering av ertugliflozin. AUC för ertugliflozin minskade med cirka 13 % och Cmax minskade med cirka 21 % jämfört med personer med normal leverfunktion. Denna minskning av exponeringen av ertugliflozin anses inte vara kliniskt betydelsefull. Det finns ingen klinisk erfarenhet från patienter med Child-Pugh klass C (grav) leverfunktionsnedsättning. Plasmaproteinbindningen av ertugliflozin påverkades inte hos patienter med måttligt nedsatt leverfunktion.
Pediatrisk population
Inga studier av ertugliflozin har utförts på pediatriska patienter.
Effekter av ålder, kroppsvikt, kön och etnicitet
Baserat på en populationsfarmakokinetisk analys har ålder, kroppsvikt, kön och etnicitet inte någon kliniskt betydelsefull effekt på farmakokinetiken för ertugliflozin.
Läkemedelsinteraktioner
Utvärdering av ertugliflozin in vitro
I in vitro‑studier hämmade eller inaktiverade inte ertugliflozin eller ertugliflozinglukuronider CYP 1A2, 2C9, 2C19, 2C8, 2B6, 2D6 eller 3A4 och inducerade inte CYP 1A2, 2B6 eller 3A4. Ertugliflozin eller ertugliflozinglukuronider hämmade inte aktiviteten hos UGT 1A6, 1A9 eller 2B7 in vitro. Ertugliflozin var en svag hämmare av UGT 1A1 och 1A4 in vitro vid högre koncentrationer som inte är kliniskt relevanta. Ertugliflozinglukuroniderna hade ingen effekt på dessa isoformer. Generellt är det osannolikt att ertugliflozin påverkar farmakokinetiken för samtidigt administrerade läkemedel som elimineras av dessa enzymer.
Ertugliflozin eller ertugliflozinglukuronider uppvisar ingen betydelsefull hämning av transportörerna P‑gp, OCT2, OAT1, OAT3 eller av transporterande polypeptiderna OATP1B1 och OATP1B3 vid kliniskt relevanta koncentrationer in vitro. Generellt är det osannolikt att ertugliflozin påverkar farmakokinetiken för samtidigt administrerade läkemedel som är substrat för dessa transportörer.
Gängse studier avseende säkerhetsfarmakologi, akut toxicitet, allmäntoxicitet, gentoxicitet och karcinogenicitet visade inte några särskilda risker för människa.
Allmäntoxicitet
Studier av allmäntoxicitet med repeterade perorala doser utfördes på mus, råtta och hund i upp till 13, 26 respektive 39 veckor. Tecken på toxicitet som ansågs vara negativ observerades generellt vid exponeringar som var större än eller motsvarade 77 gånger den obundna exponeringen (AUC) hos människa vid den maximala rekommenderade humana dosen (MRHD) på 15 mg/dag. Merparten av toxiciteten överensstämde med farmakologi relaterad till uringlukosförlust och inkluderade viktnedgång och minskat kroppsfett, ökad matkonsumtion, diarré, dehydrering, sänkt serumglukos och ökning av andra serumparametrar som återspeglar ökad proteinmetabolism, glukoneogenes och rubbad elektrolytbalans, samt urinförändringar såsom polyuri, glukosuri och kalciuri. Mikroskopiska förändringar relaterade till glukosuri och/eller kalciuri som endast observerades hos gnagare inkluderade dilatation av njurtubuli, hypertrofi av zona glomerulosa i binjurarna (råtta) och ökat trabekulärt ben (råtta). Bortses från emesis, påvisades ingen skadlig toxicitet hos hund vid 379 gånger den obundna exponeringen (AUC) hos människa vid MRHD på 15 mg/dag.
Karcinogenes
I den tvååriga karcinogenicitetsstudien på mus administrerades ertugliflozin med oral sond i doser på 5, 15 och 40 mg/kg/dag. Inga neoplastiska fynd relaterade till ertugliflozin gjordes vid doser på upp till 40 mg/kg/dag (cirka 41 gånger den obundna exponeringen hos människa vid MRHD på 15 mg/dag baserat på AUC). I den tvååriga‑ karcinogenicitetsstudien på råtta administrerades ertugliflozin med oral sond i doser på 1,5, 5 och 15 mg/kg/dag. Neoplastiska fynd relaterade till ertugliflozin inkluderade en ökad incidens av benigna feokromocytomer i binjuremärgen hos hanråtta vid 15 mg/kg/dag. Detta fynd tillskrevs kolhydratmalabsorption som ledde till förändrad kalciumhomeostas och ansågs inte vara relevant för människan. Nivån utan observerad effekt (NOEL) för neoplasi var 5 mg/kg/dag (cirka 16 gånger den obundna exponeringen hos människa vid MRHD på 15 mg/dag).
Mutagenes
Ertugliflozin var inte mutagent eller klastogent med eller utan metabol aktivering i mikrobiell omvänd mutationsanalys, cytogenetisk analys (humana lymfocyter) in vitro och råttmikrokärntest in vivo.
Reproduktionstoxikologi
I studien av fertilitet och embryonal utveckling på råtta gavs han- och honråttor ertugliflozin vid 5, 25 och 250 mg/kg/dag. Inga effekter på fertiliteten observerades vid 250 mg/kg/dag (cirka 386 gånger den obundna exponeringen hos människa vid MRHD på 15 mg/dag baserat på jämförelser av AUC). Ertugliflozin hade ingen negativ påverkan på utvecklingen hos råtta och kanin vid maternella exponeringar som var 239 respektive 1 069 gånger exponeringen hos människa vid den högsta kliniska dosen på 15 mg/dag, baserat på AUC. Vid en maternellt toxisk dos till råtta (250 mg/kg/dag) observerades lägre fosterviabilitet och en högre incidens av en visceral missbildning sågs vid en maternell exponering som var 510 gånger den maximala kliniska dosen på 15 mg/dag.
I den pre- och postnatala utvecklingsstudien observerades minskad postnatal tillväxt och utveckling hos råttor som givits ertugliflozin på gestationsdag 6 till laktationsdag 21 i doser på ≥ 100 mg/kg/dag (cirka 239 gånger exponeringen hos människa vid den högsta kliniska dosen på 15 mg/dag, baserat på AUC). Könsmognaden försenades hos båda könen vid 250 mg/kg/dag (cirka 620 gånger MRHD på 15 mg/dag, baserat på AUC).
När ertugliflozin administrerades till unga råttor från den 21:a postnatala dagen (PND) till den 90:e PND, en period i den renala utvecklingen som motsvarar den senare delen av andra trimestern och tredje trimestern av human graviditet, sågs ökad njurvikt, dilatation av njurbäcken och njurtubuli och mineralisering av njurtubuli vid en exponering som var 13 gånger den högsta kliniska dosen på 15 mg/dag, baserat på AUC. Effekterna på skelett (kortare femurlängd, ökat trabekulärt ben i femur) liksom effekter i form av försenad pubertet observerades vid exponeringar på 817 gånger MRHD på 15 mg/dag baserat på AUC. Effekterna på njurar och skelett hade inte reverserats fullt ut efter 1 månads återhämtningstid.
Kvalitativ och kvantitativ sammansättning
Steglatro 5 mg filmdragerade tabletter
Varje tablett innehåller ertugliflozin-L‑pyroglutaminsyra motsvarande 5 mg ertugliflozin.
Hjälpämne med känd effekt
Varje tablett innehåller 28 mg laktos (som monohydrat).
Steglatro 15 mg filmdragerade tabletter
Varje tablett innehåller ertugliflozin-L‑pyroglutaminsyra motsvarande 15 mg ertugliflozin.
Hjälpämne med känd effekt
Varje tablett innehåller 85 mg laktos (som monohydrat).
Förteckning över hjälpämnen
Tablettkärna
Mikrokristallin cellulosa (E460)
Laktosmonohydrat
Natriumstärkelseglykolat (typ A)
Magnesiumstearat (E470b)
Filmdragering
Hypromellos 2910/6 (E464)
Laktosmonohydrat
Makrogol 3350 (E1521)
Triacetin (E1518)
Titandioxid (E171)
Röd järnoxid (E172)
Ej relevant.
Hållbarhet
2 år
Särskilda förvaringsanvisningar
Inga särskilda förvaringsanvisningar.
Särskilda anvisningar för destruktion
Ej använt läkemedel och avfall ska kasseras enligt gällande anvisningar.
Filmdragerad tablett (tablett)
Steglatro 5 mg filmdragerade tabletter
Rosa, 6,4 x 6,6 mm, triangelformade, filmdragerade tabletter präglade med ”701” på ena sidan och släta på andra sidan.
Steglatro 15 mg filmdragerade tabletter
Röda, 9,0 x 9,4 mm, triangelformade, filmdragerade tabletter präglade med ”702” på ena sidan och släta på andra sidan.