Steglujan 5 mg/100 mg filmdragerade tabletter
Steglujan 15 mg/100 mg filmdragerade tabletter
Steglujan 5 mg/100 mg filmdragerade tabletter
Varje tablett innehåller ertugliflozin-L‑pyroglutaminsyra, motsvarande 5 mg ertugliflozin, och sitagliptinfosfatmonohydrat, motsvarande 100 mg sitagliptin.
Steglujan 15 mg/100 mg filmdragerade tabletter
Varje tablett innehåller ertugliflozin-L‑pyroglutaminsyra, motsvarande 15 mg ertugliflozin, och sitagliptinfosfatmonohydrat, motsvarande 100 mg sitagliptin.
För fullständig förteckning över hjälpämnen, se avsnitt 6.1.
Filmdragerad tablett (tablett)
Steglujan 5 mg/100 mg filmdragerade tabletter
Beige, 12 x 7,4 mm, mandelformade, filmdragerade tabletter präglade med ”554” på ena sidan och släta på andra sidan.
Steglujan 15 mg/100 mg filmdragerade tabletter
Bruna, 12 x 7,4 mm, mandelformade, filmdragerade tabletter präglade med ”555” på ena sidan och släta på andra sidan.
Merck Sharp & Dohme B.V. Waarderweg 39 2031 BN Haarlem Nederländerna
Första godkännandet: 23 mars 2018
Förnyat godkännande: 05 december 2022
11/2025
Ytterligare information om detta läkemedel finns på Europeiska läkemedelsmyndighetens webbplats https://www.ema.europa.eu.
När Steglujan används i kombination med insulin eller en insulinsekretagog, kan dosen insulin eller insulinsekretagogen behöva sänkas för att minska risken för hypoglykemi (se avsnitt 4.4, 4.5 och 4.8).
Hos patienter med volymförlust rekommenderas korrigering av detta tillstånd innan behandling med Steglujan påbörjas (se avsnitt 4.4).
Missad dos
Vid missad dos ska dosen tas så snart patienten kommer ihåg. Patienten ska inte ta två doser av Steglujan på samma dag.
Särskilda populationer
Nedsatt njurfunktion
Utvärdering av njurfunktionen rekommenderas innan behandling med Steglujan påbörjas och regelbundet därefter (se avsnitt 4.4).
Initiering av behandling med detta läkemedel rekommenderas inte till patienter med en estimerad glomerulär filtrationshastighet (eGFR) som understiger 45 ml/min/1,73 m2 eller ett kreatininclearence (CrCl) som understiger 45 ml/min (se avsnitt 4.4).
Hos patienter med en eGFR ≥ 45 till < 60 ml/min/1,73 m2 ska Steglujan initieras med 5 mg/100 mg och vid behov titreras upp till 15 mg/100 mg för glykemisk kontroll.
Eftersom den glykemiska sänkningseffekten av ertugliflozin är nedsatt hos patienter med måttligt nedsatt njurfunktion och sannolikt saknas hos patienter med kraftigt nedsatt njurfunktion ska tillägg av andra antihyperglykemiska läkemedel övervägas om ytterligare glykemisk kontroll behövs (se avsnitt 4.4).
Steglujan ska sättas ut när eGFR konstant understiger 45 ml/min/1,73 m2 eller när CrCl konstant understiger 45 ml/min.
Den fasta doskombinationen av ertugliflozin och sitagliptin ska inte användas av patienter med kraftigt nedsatt njurfunktion, terminal njursvikt (ESRD, end-stage renal disease) eller som står på dialysbehandling, eftersom det inte finns några kliniska data som stöder effektivitet hos dessa patienter.
Nedsatt leverfunktion
Dosen av Steglujan behöver inte justeras för patienter med lätt till måttligt nedsatt leverfunktion. Steglujan har inte studerats hos patienter med gravt nedsatt leverfunktion och rekommenderas inte till dessa patienter (se avsnitt 5.2).
Äldre
Ingen dosjustering av Steglujan rekommenderas baserat på ålder. Nedsatt njurfunktion är vanligare bland äldre patienter. Njurfunktionen ska bedömmas mer frekvent hos äldre patienter, eftersom avvikelser i njurfunktionen kan uppstå efter insättning av ertugliflozin och det är känt att sitagliptin i hög grad utsöndras via njurarna. Hänsyn ska tas till njurfunktionen och risken för volymförlust (se avsnitt 4.4 och 4.8).
Pediatrisk population
Säkerhet och effekt för Steglujan för barn under 18 år har inte fastställts. Inga data finns tillgängliga.
Administreringssätt
Steglujan ska tas peroralt en gång dagligen på morgonen, med eller utan mat. Vid sväljsvårigheter kan tabletten delas eller krossas eftersom det är en beredningsform med omedelbar frisättning.
Överkänslighet mot de aktiva substanserna eller mot något hjälpämne som anges i avsnitt 6.1.
Allmänt
Steglujan ska inte användas till patienter med typ 1-diabetes mellitus. Det kan öka risken för diabetesketoacidos (DKA) hos dessa patienter.
Akut pankreatit
Användning av dipeptidylpeptidas 4-(DPP‑4)-hämmare har förknippats med en risk att utveckla akut pankreatit. Patienten bör informeras om de karakteristiska symtomen på akut pankreatit: ihållande, svår buksmärta. Resolution av pankreatit har observerats efter utsättande av sitagliptin (med eller utan understödjande behandling), men mycket sällsynta fall av nekrotiserande eller hemorragisk pankreatit och/eller dödsfall har rapporterats. Om man misstänker pankreatit ska behandling med Steglujan och andra potentiellt misstänkta läkemedel sättas ut. Om akut pankreatit bekräftas bör Steglujan inte återinsättas. Försiktighet bör iakttas hos patienter med anamnes på pankreatit.
Hypotoni/volymförlust
Ertugliflozin orsakar osmotisk diures, som kan leda till minskad intravaskulär volym. Därför kan symtomatisk hypotoni förekomma efter påbörjad behandling med Steglujan (se avsnitt 4.8), särskilt hos patienter med nedsatt njurfunktion (eGFR som understiger 60 ml/min/1,73 m2 eller CrCl under 60 ml/min), äldre patienter (≥ 65 år), patienter som står på diuretika eller patienter som står på blodtryckssänkande behandling med hypotoni i anamnesen. Innan behandling med Steglujan påbörjas ska volymstatus utvärderas och korrigeras vid behov. Patienten ska kontrolleras för tecken och symtom efter behandlingsstart.
På grund av sin verkningsmekanism inducerar ertugliflozin osmotisk diures, ökar serumkreatinin och sänker eGFR. Ökningarna av serumkreatinin och sänkningarna av eGFR var större hos patienter med måttligt nedsatt njurfunktion (se avsnitt 4.8).
Vid tillstånd som kan leda till vätskeförlust (t.ex. magtarmsjukdom) rekommenderas noggrann övervakning av volymstatus (t.ex. kroppslig undersökning, blodtrycksmätning, laboratorietester inklusive hematokrit) och elektrolyter för patienter som får Steglujan. Tillfälligt avbrott av behandlingen med Steglujan bör övervägas till dess att vätskeförlusten har korrigerats.
Diabetesketoacidos
Sällsynta fall av DKA, inklusive livshotande och dödliga fall, har rapporterats i kliniska studier och efter godkännandet för försäljning hos patienter som behandlats med natrium-glukos-kotransportör‑2-(SGLT2)-hämmare, inklusive ertugliflozin. I ett antal fall var tillståndet atypiskt med endast måttligt förhöjda blodglukosvärden, under 14 mmol/l (250 mg/dl). Det är inte känt om det är större sannolikhet att DKA uppträder vid högre doser av ertugliflozin.
Risken för DKA måste beaktas i händelse av icke-specifika symtom såsom illamående, kräkningar, anorexi, buksmärtor, överdriven törst, andningsbesvär, förvirring, ovanlig trötthet eller sömnighet. Patienten ska utvärderas för ketoacidos omedelbart om dessa symtom uppträder, oavsett blodglukosnivå.
Hos patienter där DKA misstänkts eller är diagnosticerat ska behandlingen med Steglujan avbrytas omedelbart.
Behandlingen bör avbrytas hos patienter som lagts in på sjukhus för större kirurgiska ingrepp eller akuta allvarliga sjukdomar. Provtagning av ketoner rekommenderas för dessa patienter. Mätning av ketonnivåer i blodet istället för urinen är att föredra. Behandling med Steglujan kan återupptas när ketonvärdena är normala och patientens tillstånd har stabiliserats.
Innan behandlingen med Steglujan påbörjas ska faktorer i patientens anamnes som kan predisponera för ketoacidos beaktas.
Patienter som kan ha förhöjd risk för DKA innefattar patienter med en låg reserv av funktionella betaceller (t.ex. patienter med typ 2-diabetes med lågt C‑peptidvärde eller latent autoimmun diabetes hos vuxna (LADA) eller patienter med pankreatit i anamnesen), patienter med tillstånd som medför begränsat födointag eller allvarlig dehydrering, patienter där insulindosen minskas samt patienter med ökat insulinbehov till följd av akut sjukdom, kirurgiskt ingrepp eller alkoholmissbruk. SGLT2-hämmare bör användas med försiktighet hos dessa patienter.
Återinsättning av SGLT2-hämmare rekommenderas inte hos patienter som tidigare har drabbats av DKA under behandling med SGLT2-hämmare, om inte en annan tydlig utlösande faktor har identifierats och åtgärdats.
Säkerhet och effekt för Steglujan för patienter med typ 1-diabetes har inte fastställts och Steglujan ska inte användas för behandling av patienter med typ 1-diabetes. Begränsade data från kliniska studier tyder på att DKA förekommer med frekvensen ”vanlig” när patienter med typ 1-diabetes behandlas med SGLT2-hämmare.
Amputation av nedre extremiteter
I en långtidsstudie av kardiovaskulära utfall, VERTIS CV (eValuation of ERTugliflozin effIcacy and Safety, CardioVascular), på patienter med typ 2-diabetes mellitus och etablerad aterosklerotisk hjärt-kärlsjukdom, rapporterades icke-traumatiska amputationer av nedre extremiteter (främst tår) med en incidens på 2 % (0,57 patienter med händelser per 100 patientår), 2,1 % (0,60 patienter med händelser per 100 patientår) och 1,6 % (0,47 patienter med händelser per 100 patientår) för ertugliflozin 5 mg, ertugliflozin 15 mg respektive placebo. Frekvensen av händelser med amputation av nedre extremiteter var 0,75 och 0,96 jämfört med 0,74 händelser per 100 patientår för ertugliflozin 5 mg och ertugliflozin 15 mg jämfört med placebo. En ökning av antalet fall av amputationer av de nedre extremiteterna (främst tår) har observerats i kliniska långtidsstudier på typ 2-diabetes mellitus med SGLT2-hämmare. Det är inte känt om detta utgör en klasseffekt. Det är viktigt att informera patienter med diabetes om rutiner för förebyggande fotvård.
Nedsatt njurfunktion
Effekten av ertugliflozin för glykemisk kontroll är beroende av njurfunktionen och den glykemiska effekten är minskad hos patienter som har måttligt nedsatt njurfunktion och saknas sannolikt helt hos patienter med kraftigt nedsatt njurfunktion (se avsnitt 4.2).
Behandling med Steglujan ska inte påbörjas hos patienter med eGFR under 45 ml/min/1,73 m2 eller CrCl under 45 ml/min. På grund av minskad effekt ska Steglujan sättas ut när eGFR konstant understiger 45 ml/min/1,73 m2 eller när CrCl konstant understiger 45 ml/min.
Kontroll av njurfunktionen rekommenderas enligt följande:
Innan behandling med Steglujan påbörjas och regelbundet under behandling (se avsnitt 4.2).
Oftare hos patienter med eGFR under 60 ml/min/1,73 m2 eller CrCl under 60 ml/min.
Hypoglykemi vid samtidig användning av insulin och insulinsekretagoger
Ertugliflozin kan öka risken för hypoglykemi när det används i kombination med insulin och/eller en insulinsekretagog, som är kända för att orsaka hypoglykemi (se avsnitt 4.8). Hypoglykemi har observerats när sitagliptin har använts i kombination med insulin eller en sulfonylurea. Vid användning i kombination med Steglujan kan därför insulin- eller insulinsekretagogdosen behöva sänkas för att minimera risken för hypoglykemi (se avsnitt 4.2 och 4.5).
Genitala svampinfektioner
Ertugliflozin ökar risken för genitala svampinfektioner. I studier med SGLT2-hämmare ökade sannolikheten att utveckla genitala svampinfektioner hos patienter som tidigare haft genitala svampinfektioner samt hos män som inte är omskurna (se avsnitt 4.8). Patienterna ska monitoreras och behandlas efter behov.
Urinvägsinfektioner
Utsöndring av glukos via urin kan vara associerat med en ökad risk för urinvägsinfektioner (se avsnitt 4.8). Tillfällig utsättning av ertugliflozin ska övervägas vid behandling av pylonefrit eller urosepsis.
Nekrotiserande fasciit i perineum (Fourniers gangrän)
Fall av nekrotiserande fasciit i perineum (s.k. Fourniers gangrän) har rapporterats hos kvinnliga och manliga patienter som tagit SGLT2‑hämmare efter att läkemedlet godkänts för försäljning. Detta är en sällsynt men allvarlig och potentiellt livshotande biverkning som kräver ett kirurgiskt akutingrepp och antibiotikabehandling.
Patienter ska rådas att söka läkarhjälp om de upplever en kombination av symtom som smärta, ömhet, erytem eller svullnad i genital- eller perinealområdet, tillsammans med feber eller sjukdomskänsla. Observera att urogenital infektion eller perineal abscess kan föregå nekrotiserande fasciit. Vid misstanke om Fourniers gangrän ska Steglujan sättas ut och omedelbar behandling (såsom antibiotika och kirurgisk debridering) sättas in.
Överkänslighetsreaktioner
Efter godkännandet för försäljning har allvarliga överkänslighetsreaktioner rapporterats hos patienter som behandlats med sitagliptin (se avsnitt 4.8). Dessa reaktioner inkluderar anafylaxi, angioödem och exfoliativa hudtillstånd inkluderande Stevens‑Johnsons syndrom. Dessa reaktioner debuterade inom de 3 första månaderna efter påbörjad behandling, varav vissa fall efter den första dosen. Om en överkänslighetsreaktion misstänks, ska behandlingen med Steglujan avslutas. Andra potentiella orsaker till händelsen bör fastställas och alternativ diabetesbehandling inledas.
Bullös pemfigoid
Det har rapporterats om bullös pemfigoid hos patienter som tar DPP‑4-hämmare, inklusive sitagliptin, efter läkemedlets godkännande för försäljning. Om det finns misstanke om bullös pemfigoid ska behandling med Steglujan avbrytas.
Äldre patienter
Äldre patienter kan löpa ökad risk för volymförlust och nedsatt njurfunktion. Patienter som var 65 år eller äldre och som behandlades med ertugliflozin hade en högre incidens av biverkningar relaterade till volymförlust än yngre patienter. I en långtidsstudie av kardiovaskulära utfall, VERTIS CV, var säkerhet och effekt likartade för patienter i åldern 65 år eller äldre jämfört med patienter under 65 år (se avsnitt 4.2 och 4.8).
Hjärtsvikt
Det finns ingen erfarenhet från kliniska studier med Steglujan i New York Heart Association (NYHA) klass IV.
Laboratorieanalyser av urin
På grund av ertugliflozins verkningsmekanism kommer urinen från patienter som tar Steglujan att vara positiv för glukos. Alternativa metoder att övervaka den glykemiska kontrollen ska användas.
Interferens med analys av 1,5-anhydroglucitol (1,5 AG)-analys
Övervakning av den glykemiska kontrollen med 1,5 AG-analys rekommenderas inte eftersom mätningar av 1,5 AG inte är tillförlitliga för bedömning av den glykemiska kontrollen hos patienter som tar SGLT2-hämmare. Alternativa metoder att övervaka den glykemiska kontrollen ska användas.
Natrium
Detta läkemedel innehåller mindre än 1 mmol (23 mg) natrium per tablett, dvs är näst intill ”natriumfritt”.
Inga studier av farmakokinetiska läkemedelsinteraktioner med Steglujan har utförts. Sådana studier har däremot utförts med ertugliflozin och sitagliptin, de enskilda aktiva substanserna i Steglujan.
Ertugliflozin
Farmakodynamiska interaktioner
Diuretika
Ertugliflozin kan förstärka den vätskedrivande effekten hos diuretika och kan öka risken för dehydrering och hypotoni (se avsnitt 4.4).
Insulin och insulinsekretagoger
Insulin och insulinsekretagoger, som sulfonylurea, kan orsaka hypoglykemi. Ertugliflozin kan öka risken för hypoglykemi när det används i kombination med insulin och/eller en insulinsekretagog. Vid användning i kombination med Steglujan kan därför insulin- eller insulinsekretagogdosen behöva sänkas för att minska risken för hypoglykemi (se avsnitt 4.2, 4.4 och 4.8).
Farmakokinetiska interaktioner
Andra läkemedelseffekter på ertugliflozins farmakokinetik
Metabolism via UGT1A9 och UGT2B7 är den primära clearancemekanismen för ertugliflozin.
Interaktionsstudier utförda på friska frivilliga, där engångsdoser använts, tyder på att farmakokinetiken för ertugliflozin inte förändras av sitagliptin, metformin, glimepirid eller simvastatin.
Upprepade doser av rifampicin (en inducerare av uridin 5’-difosfo-glukuronosyltransferas [UGT] och cytokrom P450 [CYP]) minskar arean under koncentration-tid kurvan (AUC) och maximala plasmakoncentrationen (Cmax) för ertugliflozin med 39% respektive 15 %. Denna minskning av exponeringen anses inte vara kliniskt relevant och därför rekommenderas ingen dosjustering. En kliniskt relevant effekt av andra inducerare (t.ex. karbamazepin, fenytoin, fenobarbital) förväntas inte.
Effekten av UGT‑hämmare på farmakokinetiken hos ertugliflozin har inte studerats kliniskt, men en potentiell ökning i exponering av ertugliflozin på grund av UGT‑hämmare anses inte vara kliniskt relevant.
Ertugliflozins effekter på andra läkemedels farmakokinetik
Interaktionsstudier utförda på friska frivilliga tyder på att ertugliflozin inte hade någon kliniskt relevant effekt på farmakokinetiken för sitagliptin, metformin och glimepirid.
Samtidig administrering av simvastatin och ertugliflozin resulterade i en ökning av AUC och Cmax för simvastatin med 24 % respektive 19 % och en ökning av AUC och Cmax för simvastatinsyra med 30 % respektive 16 %. Mekanismen bakom de små ökningarna av simvastatin och simvastatinsyra är okänd och medieras inte genom att ertugliflozin hämmar organisk anjontransporterande polypeptid (OATP). Dessa ökningar anses inte vara kliniskt betydelsefulla.
Sitagliptin
Farmakokinetiska interaktioner
Andra läkemedels effekter på sitagliptin
Sitagliptin elimineras huvudsakligen oförändrat i urinen och metaboliseras i liten utsträckning. In vitro-studier indikerade att det enzym som huvudsakligen svarar för sitagliptins begränsade metabolism är CYP3A4, med hjälp av CYP2C8.
Metabolism kan ha en mer väsentlig roll för elimineringen av sitagliptin vid kraftigt nedsatt njurfunktion eller terminal njursvikt (ESRD). Av denna anledning är det möjligt att potenta CYP3A4‑hämmare (som ketokonazol, itrakonazol, ritonavir, klaritromycin) kan påverka farmakokinetiken för sitagliptin hos patienter med kraftigt nedsatt njurfunktion eller ESRD.
Interaktionsstudier utförda på patienter med typ 2-diabetes eller friska frivilliga tyder på att metformin och ciklosporin inte hade någon kliniskt relevant effekt på farmakokinetiken för sitagliptin.
Sitagliptins effekter på andra läkemedel
I läkemedelsintrationsstudier hade sitagliptin inte någon klinisk betydelsefull effekt på farmakokinetiken på följande: metformin, rosiglitazon, glyburid, simvastatin, warfarin och perorala antikonceptionsmedel.
Digoxin:
Sitagliptin hade en liten effekt på plasmakoncentrationerna av digoxin. Efter administrering av 0,25 mg digoxin tillsammans med 100 mg sitagliptin dagligen under 10 dagar, ökade AUC i plasma för digoxin med i genomsnitt 11 % och Cmax i plasma med i genomsnitt 18 %. Ingen dosjustering rekommenderas för digoxin. Patienter med risk för digoxin-toxicitet bör dock monitoreras noga när sitagliptin och digoxin ges samtidigt.
Graviditet
Det finns inga data gällande användning av Steglujan i gravida kvinnor. Det finns begränsad data från användningen av ertugliflozin till gravida kvinnor. Baserat på resultat från djurstudier kan ertugliflozin påverka njurarnas utveckling och mognad (se avsnitt 5.3). Därför ska Steglujan inte användas under graviditet.
Amning
Det finns ingen information om förekomsten av Steglujan eller dess enskilda komponenter i bröstmjölk, effekter på ammade spädbarn eller effekter på mjölkproduktionen. Inga studier av de kombinerade komponenterna i Steglujan har utförts på lakterande djur. Ertugliflozin och sitagliptin förekommer i mjölken från lakterande råttor. Ertugliflozin orsakade effekter hos avkomman från digivande råttor.
Farmakologiskt medierade effekter observerades hos unga råttor behandlade med ertugliflozin (se avsnitt 5.3). Eftersom människans njurar mognar in utero och under de två första levnadsåren, då exponering via amning kan förekomma, kan en risk för nyfödda/spädbarn inte uteslutas. Steglujan ska inte användas under amning.
Fertilitet
Effekten av Steglujan på fertiliteten hos människa har inte studerats. Inga effekter på fertiliteten av ertugliflozin eller sitagliptin observerades i djurstudier (se avsnitt 5.3).
Steglujan har ingen eller försumbar effekt på förmågan att framföra fordon och använda maskiner. Vid framförande av fordon eller användning av maskiner ska emellertid hänsyn tas till att yrsel och somnolens har rapporterats för sitagliptin. Patienterna ska dessutom informeras om risken för hypoglykemi när Steglujan används i kombination med insulin eller en insulinsekretagog och om den förhöjda risken för biverkningar relaterade till volymförlust, t.ex. postural yrsel (se avsnitt 4.2, 4.4 och 4.8).
Sammanfattning av säkerhetsprofilen
Ertugliflozin och sitagliptin
Säkerheten vid samtidig administrering av ertugliflozin och sitagliptin har utvärderats hos 990 patienter med typ 2-diabetes mellitus som behandlades i 26 veckor i tre studier: en faktoriell studie av ertugliflozin 5 mg eller 15 mg i kombination med sitagliptin 100 mg en gång dagligen jämfört med de enskilda komponenterna, en placebokontrollerad studie av ertugliflozin 5 mg eller 15 mg som tilläggsbehandling till sitagliptin 100 mg och metformin en gång dagligen, samt en placebokontrollerad studie av initial behandling med ertugliflozin 5 mg eller 15 mg en gång dagligen i kombination med sitagliptin 100 mg en gång dagligen (se avsnitt 5.1). Incidensen och typen av biverkningar i dessa tre studier motsvarade de biverkningar som ses med individuella monoterapier med ertugliflozin och sitagliptin som beskrivs nedan i tabell 1.
Ertugliflozin
Säkerhet och tolerabilitet för ertugliflozin bedömdes i 7 placebokontrollerade eller aktivt kontrollerade jämförande studier på sammanlagt 3 409 patienter med typ 2‑diabetes mellitus som behandlades med ertugliflozin 5 mg eller 15 mg. Dessutom bedömdes säkerhet och tolerabilitet för ertugliflozin hos patienter med typ 2‑diabetes och etablerad aterosklerotisk hjärt-kärlsjukdom i VERTIS CV (se avsnitt 5.1) i vilken totalt 5 493 patienter behandlades med ertugliflozin 5 mg eller 15 mg med en genomsnittlig exponeringstid på 2,9 år.
Sammanslagna data från placebokontrollerade studier
Den primära utvärderingen av säkerheten utfördes på sammanslagna data från tre 26-veckors placebokontrollerade studier. Ertugliflozin användes som monoterapi i en studie och som tilläggsbehandling i två studier (se avsnitt 5.1). Dessa data speglar exponering av ertugliflozin under i genomsnitt 25 veckor hos 1 029 patienter. Patienterna fick ertugliflozin 5 mg (N=519), ertugliflozin 15 mg (N=510) eller placebo (N=515) en gång dagligen.
De vanligast rapporterade biverkningarna över hela det kliniska programmet var urinvägsinfektioner, vulvovaginal svampinfektion samt andra genitala svampinfektioner hos kvinnor. Allvarlig DKA förekom sällan (se avsnitt 4.4).
Sitagliptin
Allvarliga biverkningar inkluderande pankreatit och överkänslighetsreaktioner har rapporterats. Hypoglykemi har rapporterats i kombination med sulfonylurea (4,7 %‑13,8 %) och insulin (9,6 %) (se avsnitt 4.4).
Tabell över biverkningar
Nedan listade biverkningarna klassificeras efter frekvens och organsystem (SOC). Inom varje frekvensgrupp listas biverkningar i fallande allvarlighetsgrad. Frekvenskategorierna definieras enligt följande konvention: mycket vanliga (≥ 1/10), vanliga (≥ 1/100, < 1/10), mindre vanliga (≥ 1/1 000, < 1/100), sällsynta (≥ 1/10 000, < 1/1 000), mycket sällsynta (< 1/10 000), ingen känd frekvens (kan inte beräknas från tillgängliga data).
Tabell 1: Biverkningar från placebokontrollerade studier eller studier med aktivt jämförelseläkemedel och erfarenhet efter godkännande för försäljning
1 Biverkning med ertugliflozin.
2 Biverkning med sitagliptin.
* Se avsnitt 4.4.
† Se nedanstående delavsnitt för mer information.
‡ Inkluderar: pollakiuri, miktionsträngningar, polyuri, ökad urinproduktion och nokturi.
§ Inkluderar: törst och polydipsi.
¶ Genomsnittliga procentuella förändringar från utgångsvärdet för ertugliflozin 5 mg respektive 15 mg var för lipoproteinkolesterol med låg densitet (LDL‑C) 5,8 % och 8,4 % jämfört med placebo 3,2 %, för totalkolesterol 2,8 % och 5,7 %, jämfört med placebo 1,1 %, dock var lipoproteinkolesterol med hög densitet (HDL-C) 6,2 % och 7,6 % jämfört med placebo 1,9 %. Median förändring i procent från utgångsvärdet för ertugliflozin 5 mg respektive 15 mg var för triglycerider ‑3,9 % och ‑1,7 % jämfört med placebo 4,5 %.
** Andelen personer som hade minst 1 ökning i hemoglobin > 2,0 g/dl var högre i ertugliflozin 5 mg och 15 mg grupperna (4,7 % respektive 4,1 %) jämfört med placebogruppen (0,6 %).
¶¶ Andelen personer som uppvisade ökning av blodurea (BUN) värden ≥ 50 % och värde > ULN (upper limit of normal) var numeriskt högre i ertugliflozin 5 mg gruppen och högre i 15 mg gruppen (7,9 % respektive 9,8 %) i förhållande till placebogruppen (5,1 %).
a Biverkningar identifierades genom övervakning efter godkännandet för försäljning.
b Se Kardiovaskulär utfallsstudie med sitagliptin (TECOS) nedan.
Beskrivning av utvalda biverkningar
Ertugliflozin
Volymförlust
Ertugliflozin orsakar osmotisk diures, som kan leda till minskad intravaskulär volym och biverkningar relaterade till volymförlust. I sammanslagna data från placebokontrollerade studier var incidensen av biverkningar relaterade till volymförlust (dehydrering, postural yrsel, presynkope, synkope, hypotoni och ortostatisk hypotoni) låg (< 2 %) utan påtagliga skillnader mellan ertugliflozin- och placebogrupperna. I subgruppsanalyser av en större mängd sammanslagna data från fas 3-studier hade patienter med eGFR < 60 ml/min/1,73 m2, patienter ≥ 65 år och patienter på diuretika en högre incidens av volymförlust i ertugliflozingrupperna än i gruppen som fick jämförelseläkemedel (se avsnitt 4.2 och 4.4). Hos patienter med eGFR < 60 ml/min/1,73 m2 var incidensen 5,1 %, 2,6 % och 0,5 % för ertugliflozin 5 mg, ertugliflozin 15 mg respektive jämförelsegruppen och för patienter med eGFR 45‑< 60 ml/min/1,73 m2 var incidensen 6,4 %, 3,7 % respektive 0 %.
Hypoglykemi
I sammanslagna data från placebokontrollerade studier var incidensen av dokumenterad hypoglykemi högre för ertugliflozin 5 mg och 15 mg (5 % och 4,5 %) jämfört med placebo (2,9 %). I denna population var incidensen av svår hypoglykemi 0,4 % i vardera gruppen. När ertugliflozin användes som monoterapi var incidensen av hypoglykemiska händelser 2,6 % i bägge grupperna som behandlades med ertugliflozin och 0,7 % i placebogruppen. När ertugliflozin används som tillägg till metformin var incidensen av hypoglykemiska händelser 7,2 % i gruppen som fick ertugliflozin 5 mg, 7,8 % i gruppen som fick ertugliflozin 15 mg samt 4,3 % i placebogruppen.
När ertugliflozin lades till metformin och jämfördes med sulfonylurea var incidensen av hypoglykemi högre för sulfonylurea (27 %) än för ertugliflozin (5,6 % och 8,2 % för ertugliflozin 5 mg respektive 15 mg).
När ertugliflozin användes som tillägg till insulin med eller utan metformin i delstudier i VERTIS CV var incidensen av dokumenterad hypoglykemi 39,4 %, 38,9 % och 37,5 % för ertugliflozin 5 mg, ertugliflozin 15 mg respektive placebo. När ertugliflozin användes som tillägg till en sulfonylurea var incidensen av hypoglykemi 7,3 %, 9,3 % och 4,2 % för ertugliflozin 5 mg, ertugliflozin 15 mg respektive placebo. När ertugliflozin användes som tillägg till metformin och en sulfonylurea var incidensen av hypoglykemi 20 %, 26,5 % och 14,5 % för ertugliflozin 5 mg, ertugliflozin 15 mg respektive placebo.
Hos patienter med måttligt nedsatt njurfunktion som tog insulin, sulfonylurea eller meglitinider som bakgrundsläkemedel var den dokumenterade incidensen av hypoglykemi 36 %, 27 % och 36 % för ertugliflozin 5 mg, ertugliflozin 15 mg respektive placebo (se avsnitt 4.2, 4.4 och 4.5).
Diabetesketoacidos
I VERTIS CV identifierades ketoacidos hos 19 (0,3 %) patienter behandlade med ertugliflozin och hos 2 (0,1 %) patienter som fick placebo. I de 7 andra kliniska fas 3‑studierna i utvecklingsprogrammet för ertugliflozin identifierades ketoacidos hos 3 (0,1 %) patienter behandlade med ertugliflozin och hos 0 (0 %) av de patienter som behandlades med jämförelseläkemedel (se avsnitt 4.4).
Förhöjt blodkreatinin/sänkt glomerulär filtrationshastighet och njurrelaterade händelser
Initiala ökningar av genomsnittligt kreatinin och sänkningar av genomsnittligt eGFR hos patienter som behandlades med ertugliflozin var generellt övergående under fortsatt behandling. Patienter med måttligt nedsatt njurfunktion vid studiestart hade större genomsnittliga förändringar, vilka inte hade återgått till utgångsvärdet vid vecka 26. Dessa förändringar gick tillbaka efter att behandlingen sattes ut.
I VERTIS CV var behandling med ertugliflozin associerad med en initial minskning av genomsnittlig eGFR (vid vecka 6, -2,7; -3,8 och -0,4 ml/min/1,73 m2 i grupperna som fick ertugliflozin 5 mg, ertugliflozin 15 mg respektive placebo) vilken följdes av en återgång mot utgångsvärdet. Långtidsbehandling med ertugliflozin var associerad med en långsammare minskning av eGFR jämfört med placebo (fram till vecka 260).
I VERTIS CV var incidensen av njurrelaterade biverkningar (t.ex. akut njurskada, nedsatt njurfunktion, akut prerenal svikt) 4,2 %, 4,3 % och 4,7 % hos patienter behandlade med ertugliflozin 5 mg, ertugliflozin 15 mg respektive placebo i den totala populationen och var 9,7 %, 10 % och 10,2 % hos patienter med eGFR från 30 till under 60 ml/min/1,73 m2 behandlade med ertugliflozin 5 mg, ertugliflozin 15 mg respektive placebo.
Genitala svampinfektioner
I sammanslagna data från tre placebokontrollerade kliniska studier förekom kvinnlig genital svampinfektion (t.ex. genital candidiasis, genital svampinfektion, vaginal infektion, vulvit, vulvovaginal candidiasis, vulvovaginal svampinfektion, vulvovaginit) hos 9,1 %, 12 %, och 3 % av de kvinnor som behandlades med ertugliflozin 5 mg, ertugliflozin 15 mg respektive placebo. Behandlingen sattes ut på grund av genitala svampinfektioner hos 0,6 % och 0 % av de kvinnliga patienter som behandlades med ertugliflozin respektive placebo (se avsnitt 4.4).
I samma sammanslagna data förekom manliga genitala svampinfektioner (t.ex. candida balanit, balanopostit, genital infektion, genital svampinfektion) hos 3,7 %, 4,2 % och 0,4 % av de män som behandlades med ertugliflozin 5 mg, ertugliflozin 15 mg respektive placebo. Manliga genitala svampinfektioner var vanligare bland icke-omskurna män. Behandlingen sattes ut på grund av svampinfektioner hos 0,2 % och 0 % av de manliga patienter som behandlades med ertugliflozin respektive placebo. I sällsynta fall rapporterades fimos och i vissa fall utfördes omskärelse (se avsnitt 4.4).
Urinvägsinfektioner
I VERTIS CV förekom urinvägsinfektioner hos 12,2 %, 12 % och 10,2 % av patienterna som behandlades med ertugliflozin 5 mg, ertugliflozin 15 mg respektive placebo. Incidensen av allvarliga urinvägsinfektioner var 0,9 %, 0,4 % och 0,8 % med ertugliflozin 5 mg, ertugliflozin 15 mg respektive placebo.
I de 7 andra kliniska fas 3-studierna i utvecklingsprogrammet för ertugliflozin var incidensen av urinvägsinfektioner 4 % och 4,1 % för grupperna som fick ertugliflozin 5 mg och 15 mg och 3,9 % för placebo. De flesta händelser var lindriga till måttliga och inga allvarliga fall rapporterades.
Sitagliptin
Utöver de biverkningar som nämns i tabellen ovan innefattade övre luftvägsinfektion och nasofaryngit biverkningar som rapporterades oavsett ett orsakssamband med läkemedelsbehandling, och förekom hos minst 5 % och oftare hos patienter som behandlades med sitagliptin. Ytterligare biverkningar som har rapporterats, oavsett ett orsakssamband med läkemedelsbehandling och som förekom mer frekvent hos patienter som behandlades med sitagliptin (som inte nådde 5 %, men som förekom med en incidens på > 0,5 % högre med sitagliptin än den i kontrollgruppen) innefattade artros och smärta i extremitet.
Vissa biverkningar observerades oftare i studier med kombinationsbehandling med sitagliptin och andra antidiabetesläkemedel än i studier med sitagliptin som monoterapi. Dessa innefattade hypoglykemi (rapporterad frekvens: mycket vanliga, med kombinationen sulfonylurea och metformin), influensa (vanliga, med insulin (med eller utan metformin)), illamående och kräkningar (vanliga, med metformin), flatulens (vanliga, med metformin eller pioglitazon), förstoppning (vanliga, med kombinationen sulfonylurea och metformin), perifert ödem (vanliga, med pioglitazon eller kombinationen pioglitazon och metformin), sömnighet och diarré (mindre vanliga, med metformin) och muntorrhet (mindre vanliga, med insulin (med eller utan metformin)).
TECOS (studie som utvärderat kardiovaskulära utfall med sitagliptin)
Den kardiovaskulära säkerhetsstudien ”Trial Evaluating Cardiovascular Outcomes with Sitagliptin” (TECOS) inkluderade 7 332 patienter behandlade med sitagliptin 100 mg dagligen (eller 50 mg dagligen om utgångsvärdet för eGFR var ≥ 30 och < 50 ml/min/1,73 m2) samt 7 339 patienter behandlade med placebo i intention- to-treat-populationen. Båda behandlingarna var tillagda till sedvanlig behandling för att uppnå regionala målnivåerför hemoglobin A1c (HbA1c) och kardiovaskulära riskfaktorer. Den totala incidensen av allvarliga biverkningar hos patienter som fick sitagliptin var densamma som för patienter som fick placebo.
Bland de patienter som använde insulin och/eller ett sulfonylurealäkemedel vid studiestart i intention-to-treat-populationen, var incidensen av allvarlig hypoglykemi 2,7 % hos patienter behandlade med sitagliptin och 2,5 % hos patienter som fått placebo. Bland patienter som inte använde insulin och/eller ett sulfonylurealäkemedel vid studiestart, var incidensen av allvarlig hypoglykemi 1 % hos patienter behandlade med sitagliptin och 0,7 % hos patienter som fått placebo. Incidensen av pankreatit (verifierade av studiekommittén) var 0,3 % hos patienter behandlade med sitagliptin och 0,2 % hos patienter som fått placebo.
I händelse av överdosering av Steglujan ska sedvanliga understödjande åtgärder vidtas (t.ex. avlägsnande av ej absorberat material från magtarmkanalen, klinisk monitorering, inklusive ett elektrokardiogram, och understödjande behandling) beroende på patientens kliniska status.
Ertugliflozin
Ertugliflozin visade ingen toxicitet hos friska personer vid perorala engångsdoser på upp till 300 mg eller vid upprepade doser på upp till 100 mg dagligen i 2 veckor. Inga potentiella akuta symtom eller tecken på överdosering identifierades. Eliminering av ertugliflozin via hemodialys har inte studerats.
Sitagliptin
I kontrollerade kliniska studier med friska personer administrerades engångsdoser om 800 mg sitagliptin. Minimala ökningar av QTc, vilka inte ansågs kliniskt betydelsefulla, observerades i en studie med 800 mg sitagliptin. Det finns ingen erfarenhet av högre doser än 800 mg i kliniska studier. I fas I‑studier med upprepade doser, observerades inga kliniska dosrelaterade biverkningar med sitagliptin med doser upp till 600 mg per dag under perioder om upp till 10 dagar respektive 400 mg per dag under perioder om upp till 28 dagar.
Sitagliptin är i mindre utsträckning dialyserbart. I kliniska studier avlägsnades ca 13,5 % av given dos under 3‑4 timmars hemodialys. Om det är kliniskt lämpligt, kan längre hemodialys övervägas. Det är inte känt om sitagliptin kan dialyseras genom peritonealdialys.
Steglujan är avsett för vuxna från 18 års ålder med typ 2-diabetes mellitus som ett tillägg till kost och motion:
för att förbättra glykemisk kontroll när metformin och/eller sulfonylurea (SU) och en av komponenterna i Steglujan inte ger adekvat glykemisk kontroll
hos patienter som redan behandlas med kombinationen ertugliflozin och sitagliptin som separata tabletter
(För studiedata avseende kombinationsbehandlingar och effekter på glykemisk kontroll, se avsnitt 4.4, 4.5 och 5.1).
Dosering
Rekommenderad startdos är 5 mg ertugliflozin/100 mg sitagliptin en gång dagligen. Hos patienter som tolererar startdosen kan dosen ökas till 15 mg ertugliflozin/100 mg sitagliptin en gång dagligen om ytterligare glykemisk kontroll behövs.
För patienter som behandlas med ertugliflozin och som sätts över till Steglujan kan samma dos av ertugliflozin användas.
När Steglujan används i kombination med insulin eller en insulinsekretagog, kan dosen insulin eller insulinsekretagogen behöva sänkas för att minska risken för hypoglykemi (se avsnitt 4.4, 4.5 och 4.8).
Hos patienter med volymförlust rekommenderas korrigering av detta tillstånd innan behandling med Steglujan påbörjas (se avsnitt 4.4).
Missad dos
Vid missad dos ska dosen tas så snart patienten kommer ihåg. Patienten ska inte ta två doser av Steglujan på samma dag.
Särskilda populationer
Nedsatt njurfunktion
Utvärdering av njurfunktionen rekommenderas innan behandling med Steglujan påbörjas och regelbundet därefter (se avsnitt 4.4).
Initiering av behandling med detta läkemedel rekommenderas inte till patienter med en estimerad glomerulär filtrationshastighet (eGFR) som understiger 45 ml/min/1,73 m2 eller ett kreatininclearence (CrCl) som understiger 45 ml/min (se avsnitt 4.4).
Hos patienter med en eGFR ≥ 45 till < 60 ml/min/1,73 m2 ska Steglujan initieras med 5 mg/100 mg och vid behov titreras upp till 15 mg/100 mg för glykemisk kontroll.
Eftersom den glykemiska sänkningseffekten av ertugliflozin är nedsatt hos patienter med måttligt nedsatt njurfunktion och sannolikt saknas hos patienter med kraftigt nedsatt njurfunktion ska tillägg av andra antihyperglykemiska läkemedel övervägas om ytterligare glykemisk kontroll behövs (se avsnitt 4.4).
Steglujan ska sättas ut när eGFR konstant understiger 45 ml/min/1,73 m2 eller när CrCl konstant understiger 45 ml/min.
Den fasta doskombinationen av ertugliflozin och sitagliptin ska inte användas av patienter med kraftigt nedsatt njurfunktion, terminal njursvikt (ESRD, end-stage renal disease) eller som står på dialysbehandling, eftersom det inte finns några kliniska data som stöder effektivitet hos dessa patienter.
Nedsatt leverfunktion
Dosen av Steglujan behöver inte justeras för patienter med lätt till måttligt nedsatt leverfunktion. Steglujan har inte studerats hos patienter med gravt nedsatt leverfunktion och rekommenderas inte till dessa patienter (se avsnitt 5.2).
Äldre
Ingen dosjustering av Steglujan rekommenderas baserat på ålder. Nedsatt njurfunktion är vanligare bland äldre patienter. Njurfunktionen ska bedömmas mer frekvent hos äldre patienter, eftersom avvikelser i njurfunktionen kan uppstå efter insättning av ertugliflozin och det är känt att sitagliptin i hög grad utsöndras via njurarna. Hänsyn ska tas till njurfunktionen och risken för volymförlust (se avsnitt 4.4 och 4.8).
Pediatrisk population
Säkerhet och effekt för Steglujan för barn under 18 år har inte fastställts. Inga data finns tillgängliga.
Administreringssätt
Steglujan ska tas peroralt en gång dagligen på morgonen, med eller utan mat. Vid sväljsvårigheter kan tabletten delas eller krossas eftersom det är en beredningsform med omedelbar frisättning.
Överkänslighet mot de aktiva substanserna eller mot något hjälpämne som anges i avsnitt 6.1.
Allmänt
Steglujan ska inte användas till patienter med typ 1-diabetes mellitus. Det kan öka risken för diabetesketoacidos (DKA) hos dessa patienter.
Akut pankreatit
Användning av dipeptidylpeptidas 4-(DPP‑4)-hämmare har förknippats med en risk att utveckla akut pankreatit. Patienten bör informeras om de karakteristiska symtomen på akut pankreatit: ihållande, svår buksmärta. Resolution av pankreatit har observerats efter utsättande av sitagliptin (med eller utan understödjande behandling), men mycket sällsynta fall av nekrotiserande eller hemorragisk pankreatit och/eller dödsfall har rapporterats. Om man misstänker pankreatit ska behandling med Steglujan och andra potentiellt misstänkta läkemedel sättas ut. Om akut pankreatit bekräftas bör Steglujan inte återinsättas. Försiktighet bör iakttas hos patienter med anamnes på pankreatit.
Hypotoni/volymförlust
Ertugliflozin orsakar osmotisk diures, som kan leda till minskad intravaskulär volym. Därför kan symtomatisk hypotoni förekomma efter påbörjad behandling med Steglujan (se avsnitt 4.8), särskilt hos patienter med nedsatt njurfunktion (eGFR som understiger 60 ml/min/1,73 m2 eller CrCl under 60 ml/min), äldre patienter (≥ 65 år), patienter som står på diuretika eller patienter som står på blodtryckssänkande behandling med hypotoni i anamnesen. Innan behandling med Steglujan påbörjas ska volymstatus utvärderas och korrigeras vid behov. Patienten ska kontrolleras för tecken och symtom efter behandlingsstart.
På grund av sin verkningsmekanism inducerar ertugliflozin osmotisk diures, ökar serumkreatinin och sänker eGFR. Ökningarna av serumkreatinin och sänkningarna av eGFR var större hos patienter med måttligt nedsatt njurfunktion (se avsnitt 4.8).
Vid tillstånd som kan leda till vätskeförlust (t.ex. magtarmsjukdom) rekommenderas noggrann övervakning av volymstatus (t.ex. kroppslig undersökning, blodtrycksmätning, laboratorietester inklusive hematokrit) och elektrolyter för patienter som får Steglujan. Tillfälligt avbrott av behandlingen med Steglujan bör övervägas till dess att vätskeförlusten har korrigerats.
Diabetesketoacidos
Sällsynta fall av DKA, inklusive livshotande och dödliga fall, har rapporterats i kliniska studier och efter godkännandet för försäljning hos patienter som behandlats med natrium-glukos-kotransportör‑2-(SGLT2)-hämmare, inklusive ertugliflozin. I ett antal fall var tillståndet atypiskt med endast måttligt förhöjda blodglukosvärden, under 14 mmol/l (250 mg/dl). Det är inte känt om det är större sannolikhet att DKA uppträder vid högre doser av ertugliflozin.
Risken för DKA måste beaktas i händelse av icke-specifika symtom såsom illamående, kräkningar, anorexi, buksmärtor, överdriven törst, andningsbesvär, förvirring, ovanlig trötthet eller sömnighet. Patienten ska utvärderas för ketoacidos omedelbart om dessa symtom uppträder, oavsett blodglukosnivå.
Hos patienter där DKA misstänkts eller är diagnosticerat ska behandlingen med Steglujan avbrytas omedelbart.
Behandlingen bör avbrytas hos patienter som lagts in på sjukhus för större kirurgiska ingrepp eller akuta allvarliga sjukdomar. Provtagning av ketoner rekommenderas för dessa patienter. Mätning av ketonnivåer i blodet istället för urinen är att föredra. Behandling med Steglujan kan återupptas när ketonvärdena är normala och patientens tillstånd har stabiliserats.
Innan behandlingen med Steglujan påbörjas ska faktorer i patientens anamnes som kan predisponera för ketoacidos beaktas.
Patienter som kan ha förhöjd risk för DKA innefattar patienter med en låg reserv av funktionella betaceller (t.ex. patienter med typ 2-diabetes med lågt C‑peptidvärde eller latent autoimmun diabetes hos vuxna (LADA) eller patienter med pankreatit i anamnesen), patienter med tillstånd som medför begränsat födointag eller allvarlig dehydrering, patienter där insulindosen minskas samt patienter med ökat insulinbehov till följd av akut sjukdom, kirurgiskt ingrepp eller alkoholmissbruk. SGLT2-hämmare bör användas med försiktighet hos dessa patienter.
Återinsättning av SGLT2-hämmare rekommenderas inte hos patienter som tidigare har drabbats av DKA under behandling med SGLT2-hämmare, om inte en annan tydlig utlösande faktor har identifierats och åtgärdats.
Säkerhet och effekt för Steglujan för patienter med typ 1-diabetes har inte fastställts och Steglujan ska inte användas för behandling av patienter med typ 1-diabetes. Begränsade data från kliniska studier tyder på att DKA förekommer med frekvensen ”vanlig” när patienter med typ 1-diabetes behandlas med SGLT2-hämmare.
Amputation av nedre extremiteter
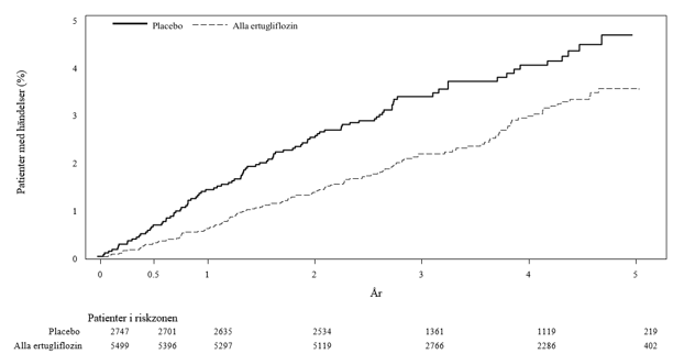
I en långtidsstudie av kardiovaskulära utfall, VERTIS CV (eValuation of ERTugliflozin effIcacy and Safety, CardioVascular), på patienter med typ 2-diabetes mellitus och etablerad aterosklerotisk hjärt-kärlsjukdom, rapporterades icke-traumatiska amputationer av nedre extremiteter (främst tår) med en incidens på 2 % (0,57 patienter med händelser per 100 patientår), 2,1 % (0,60 patienter med händelser per 100 patientår) och 1,6 % (0,47 patienter med händelser per 100 patientår) för ertugliflozin 5 mg, ertugliflozin 15 mg respektive placebo. Frekvensen av händelser med amputation av nedre extremiteter var 0,75 och 0,96 jämfört med 0,74 händelser per 100 patientår för ertugliflozin 5 mg och ertugliflozin 15 mg jämfört med placebo. En ökning av antalet fall av amputationer av de nedre extremiteterna (främst tår) har observerats i kliniska långtidsstudier på typ 2-diabetes mellitus med SGLT2-hämmare. Det är inte känt om detta utgör en klasseffekt. Det är viktigt att informera patienter med diabetes om rutiner för förebyggande fotvård.
Nedsatt njurfunktion
Effekten av ertugliflozin för glykemisk kontroll är beroende av njurfunktionen och den glykemiska effekten är minskad hos patienter som har måttligt nedsatt njurfunktion och saknas sannolikt helt hos patienter med kraftigt nedsatt njurfunktion (se avsnitt 4.2).
Behandling med Steglujan ska inte påbörjas hos patienter med eGFR under 45 ml/min/1,73 m2 eller CrCl under 45 ml/min. På grund av minskad effekt ska Steglujan sättas ut när eGFR konstant understiger 45 ml/min/1,73 m2 eller när CrCl konstant understiger 45 ml/min.
Kontroll av njurfunktionen rekommenderas enligt följande:
Innan behandling med Steglujan påbörjas och regelbundet under behandling (se avsnitt 4.2).
Oftare hos patienter med eGFR under 60 ml/min/1,73 m2 eller CrCl under 60 ml/min.
Hypoglykemi vid samtidig användning av insulin och insulinsekretagoger
Ertugliflozin kan öka risken för hypoglykemi när det används i kombination med insulin och/eller en insulinsekretagog, som är kända för att orsaka hypoglykemi (se avsnitt 4.8). Hypoglykemi har observerats när sitagliptin har använts i kombination med insulin eller en sulfonylurea. Vid användning i kombination med Steglujan kan därför insulin- eller insulinsekretagogdosen behöva sänkas för att minimera risken för hypoglykemi (se avsnitt 4.2 och 4.5).
Genitala svampinfektioner
Ertugliflozin ökar risken för genitala svampinfektioner. I studier med SGLT2-hämmare ökade sannolikheten att utveckla genitala svampinfektioner hos patienter som tidigare haft genitala svampinfektioner samt hos män som inte är omskurna (se avsnitt 4.8). Patienterna ska monitoreras och behandlas efter behov.
Urinvägsinfektioner
Utsöndring av glukos via urin kan vara associerat med en ökad risk för urinvägsinfektioner (se avsnitt 4.8). Tillfällig utsättning av ertugliflozin ska övervägas vid behandling av pylonefrit eller urosepsis.
Nekrotiserande fasciit i perineum (Fourniers gangrän)
Fall av nekrotiserande fasciit i perineum (s.k. Fourniers gangrän) har rapporterats hos kvinnliga och manliga patienter som tagit SGLT2‑hämmare efter att läkemedlet godkänts för försäljning. Detta är en sällsynt men allvarlig och potentiellt livshotande biverkning som kräver ett kirurgiskt akutingrepp och antibiotikabehandling.
Patienter ska rådas att söka läkarhjälp om de upplever en kombination av symtom som smärta, ömhet, erytem eller svullnad i genital- eller perinealområdet, tillsammans med feber eller sjukdomskänsla. Observera att urogenital infektion eller perineal abscess kan föregå nekrotiserande fasciit. Vid misstanke om Fourniers gangrän ska Steglujan sättas ut och omedelbar behandling (såsom antibiotika och kirurgisk debridering) sättas in.
Överkänslighetsreaktioner
Efter godkännandet för försäljning har allvarliga överkänslighetsreaktioner rapporterats hos patienter som behandlats med sitagliptin (se avsnitt 4.8). Dessa reaktioner inkluderar anafylaxi, angioödem och exfoliativa hudtillstånd inkluderande Stevens‑Johnsons syndrom. Dessa reaktioner debuterade inom de 3 första månaderna efter påbörjad behandling, varav vissa fall efter den första dosen. Om en överkänslighetsreaktion misstänks, ska behandlingen med Steglujan avslutas. Andra potentiella orsaker till händelsen bör fastställas och alternativ diabetesbehandling inledas.
Bullös pemfigoid
Det har rapporterats om bullös pemfigoid hos patienter som tar DPP‑4-hämmare, inklusive sitagliptin, efter läkemedlets godkännande för försäljning. Om det finns misstanke om bullös pemfigoid ska behandling med Steglujan avbrytas.
Äldre patienter
Äldre patienter kan löpa ökad risk för volymförlust och nedsatt njurfunktion. Patienter som var 65 år eller äldre och som behandlades med ertugliflozin hade en högre incidens av biverkningar relaterade till volymförlust än yngre patienter. I en långtidsstudie av kardiovaskulära utfall, VERTIS CV, var säkerhet och effekt likartade för patienter i åldern 65 år eller äldre jämfört med patienter under 65 år (se avsnitt 4.2 och 4.8).
Hjärtsvikt
Det finns ingen erfarenhet från kliniska studier med Steglujan i New York Heart Association (NYHA) klass IV.
Laboratorieanalyser av urin
På grund av ertugliflozins verkningsmekanism kommer urinen från patienter som tar Steglujan att vara positiv för glukos. Alternativa metoder att övervaka den glykemiska kontrollen ska användas.
Interferens med analys av 1,5-anhydroglucitol (1,5 AG)-analys
Övervakning av den glykemiska kontrollen med 1,5 AG-analys rekommenderas inte eftersom mätningar av 1,5 AG inte är tillförlitliga för bedömning av den glykemiska kontrollen hos patienter som tar SGLT2-hämmare. Alternativa metoder att övervaka den glykemiska kontrollen ska användas.
Natrium
Detta läkemedel innehåller mindre än 1 mmol (23 mg) natrium per tablett, dvs är näst intill ”natriumfritt”.
Inga studier av farmakokinetiska läkemedelsinteraktioner med Steglujan har utförts. Sådana studier har däremot utförts med ertugliflozin och sitagliptin, de enskilda aktiva substanserna i Steglujan.
Ertugliflozin
Farmakodynamiska interaktioner
Diuretika
Ertugliflozin kan förstärka den vätskedrivande effekten hos diuretika och kan öka risken för dehydrering och hypotoni (se avsnitt 4.4).
Insulin och insulinsekretagoger
Insulin och insulinsekretagoger, som sulfonylurea, kan orsaka hypoglykemi. Ertugliflozin kan öka risken för hypoglykemi när det används i kombination med insulin och/eller en insulinsekretagog. Vid användning i kombination med Steglujan kan därför insulin- eller insulinsekretagogdosen behöva sänkas för att minska risken för hypoglykemi (se avsnitt 4.2, 4.4 och 4.8).
Farmakokinetiska interaktioner
Andra läkemedelseffekter på ertugliflozins farmakokinetik
Metabolism via UGT1A9 och UGT2B7 är den primära clearancemekanismen för ertugliflozin.
Interaktionsstudier utförda på friska frivilliga, där engångsdoser använts, tyder på att farmakokinetiken för ertugliflozin inte förändras av sitagliptin, metformin, glimepirid eller simvastatin.
Upprepade doser av rifampicin (en inducerare av uridin 5’-difosfo-glukuronosyltransferas [UGT] och cytokrom P450 [CYP]) minskar arean under koncentration-tid kurvan (AUC) och maximala plasmakoncentrationen (Cmax) för ertugliflozin med 39% respektive 15 %. Denna minskning av exponeringen anses inte vara kliniskt relevant och därför rekommenderas ingen dosjustering. En kliniskt relevant effekt av andra inducerare (t.ex. karbamazepin, fenytoin, fenobarbital) förväntas inte.
Effekten av UGT‑hämmare på farmakokinetiken hos ertugliflozin har inte studerats kliniskt, men en potentiell ökning i exponering av ertugliflozin på grund av UGT‑hämmare anses inte vara kliniskt relevant.
Ertugliflozins effekter på andra läkemedels farmakokinetik
Interaktionsstudier utförda på friska frivilliga tyder på att ertugliflozin inte hade någon kliniskt relevant effekt på farmakokinetiken för sitagliptin, metformin och glimepirid.
Samtidig administrering av simvastatin och ertugliflozin resulterade i en ökning av AUC och Cmax för simvastatin med 24 % respektive 19 % och en ökning av AUC och Cmax för simvastatinsyra med 30 % respektive 16 %. Mekanismen bakom de små ökningarna av simvastatin och simvastatinsyra är okänd och medieras inte genom att ertugliflozin hämmar organisk anjontransporterande polypeptid (OATP). Dessa ökningar anses inte vara kliniskt betydelsefulla.
Sitagliptin
Farmakokinetiska interaktioner
Andra läkemedels effekter på sitagliptin
Sitagliptin elimineras huvudsakligen oförändrat i urinen och metaboliseras i liten utsträckning. In vitro-studier indikerade att det enzym som huvudsakligen svarar för sitagliptins begränsade metabolism är CYP3A4, med hjälp av CYP2C8.
Metabolism kan ha en mer väsentlig roll för elimineringen av sitagliptin vid kraftigt nedsatt njurfunktion eller terminal njursvikt (ESRD). Av denna anledning är det möjligt att potenta CYP3A4‑hämmare (som ketokonazol, itrakonazol, ritonavir, klaritromycin) kan påverka farmakokinetiken för sitagliptin hos patienter med kraftigt nedsatt njurfunktion eller ESRD.
Interaktionsstudier utförda på patienter med typ 2-diabetes eller friska frivilliga tyder på att metformin och ciklosporin inte hade någon kliniskt relevant effekt på farmakokinetiken för sitagliptin.
Sitagliptins effekter på andra läkemedel
I läkemedelsintrationsstudier hade sitagliptin inte någon klinisk betydelsefull effekt på farmakokinetiken på följande: metformin, rosiglitazon, glyburid, simvastatin, warfarin och perorala antikonceptionsmedel.
Digoxin:
Sitagliptin hade en liten effekt på plasmakoncentrationerna av digoxin. Efter administrering av 0,25 mg digoxin tillsammans med 100 mg sitagliptin dagligen under 10 dagar, ökade AUC i plasma för digoxin med i genomsnitt 11 % och Cmax i plasma med i genomsnitt 18 %. Ingen dosjustering rekommenderas för digoxin. Patienter med risk för digoxin-toxicitet bör dock monitoreras noga när sitagliptin och digoxin ges samtidigt.
Graviditet
Det finns inga data gällande användning av Steglujan i gravida kvinnor. Det finns begränsad data från användningen av ertugliflozin till gravida kvinnor. Baserat på resultat från djurstudier kan ertugliflozin påverka njurarnas utveckling och mognad (se avsnitt 5.3). Därför ska Steglujan inte användas under graviditet.
Amning
Det finns ingen information om förekomsten av Steglujan eller dess enskilda komponenter i bröstmjölk, effekter på ammade spädbarn eller effekter på mjölkproduktionen. Inga studier av de kombinerade komponenterna i Steglujan har utförts på lakterande djur. Ertugliflozin och sitagliptin förekommer i mjölken från lakterande råttor. Ertugliflozin orsakade effekter hos avkomman från digivande råttor.
Farmakologiskt medierade effekter observerades hos unga råttor behandlade med ertugliflozin (se avsnitt 5.3). Eftersom människans njurar mognar in utero och under de två första levnadsåren, då exponering via amning kan förekomma, kan en risk för nyfödda/spädbarn inte uteslutas. Steglujan ska inte användas under amning.
Fertilitet
Effekten av Steglujan på fertiliteten hos människa har inte studerats. Inga effekter på fertiliteten av ertugliflozin eller sitagliptin observerades i djurstudier (se avsnitt 5.3).
Steglujan har ingen eller försumbar effekt på förmågan att framföra fordon och använda maskiner. Vid framförande av fordon eller användning av maskiner ska emellertid hänsyn tas till att yrsel och somnolens har rapporterats för sitagliptin. Patienterna ska dessutom informeras om risken för hypoglykemi när Steglujan används i kombination med insulin eller en insulinsekretagog och om den förhöjda risken för biverkningar relaterade till volymförlust, t.ex. postural yrsel (se avsnitt 4.2, 4.4 och 4.8).
Sammanfattning av säkerhetsprofilen
Ertugliflozin och sitagliptin
Säkerheten vid samtidig administrering av ertugliflozin och sitagliptin har utvärderats hos 990 patienter med typ 2-diabetes mellitus som behandlades i 26 veckor i tre studier: en faktoriell studie av ertugliflozin 5 mg eller 15 mg i kombination med sitagliptin 100 mg en gång dagligen jämfört med de enskilda komponenterna, en placebokontrollerad studie av ertugliflozin 5 mg eller 15 mg som tilläggsbehandling till sitagliptin 100 mg och metformin en gång dagligen, samt en placebokontrollerad studie av initial behandling med ertugliflozin 5 mg eller 15 mg en gång dagligen i kombination med sitagliptin 100 mg en gång dagligen (se avsnitt 5.1). Incidensen och typen av biverkningar i dessa tre studier motsvarade de biverkningar som ses med individuella monoterapier med ertugliflozin och sitagliptin som beskrivs nedan i tabell 1.
Ertugliflozin
Säkerhet och tolerabilitet för ertugliflozin bedömdes i 7 placebokontrollerade eller aktivt kontrollerade jämförande studier på sammanlagt 3 409 patienter med typ 2‑diabetes mellitus som behandlades med ertugliflozin 5 mg eller 15 mg. Dessutom bedömdes säkerhet och tolerabilitet för ertugliflozin hos patienter med typ 2‑diabetes och etablerad aterosklerotisk hjärt-kärlsjukdom i VERTIS CV (se avsnitt 5.1) i vilken totalt 5 493 patienter behandlades med ertugliflozin 5 mg eller 15 mg med en genomsnittlig exponeringstid på 2,9 år.
Sammanslagna data från placebokontrollerade studier
Den primära utvärderingen av säkerheten utfördes på sammanslagna data från tre 26-veckors placebokontrollerade studier. Ertugliflozin användes som monoterapi i en studie och som tilläggsbehandling i två studier (se avsnitt 5.1). Dessa data speglar exponering av ertugliflozin under i genomsnitt 25 veckor hos 1 029 patienter. Patienterna fick ertugliflozin 5 mg (N=519), ertugliflozin 15 mg (N=510) eller placebo (N=515) en gång dagligen.
De vanligast rapporterade biverkningarna över hela det kliniska programmet var urinvägsinfektioner, vulvovaginal svampinfektion samt andra genitala svampinfektioner hos kvinnor. Allvarlig DKA förekom sällan (se avsnitt 4.4).
Sitagliptin
Allvarliga biverkningar inkluderande pankreatit och överkänslighetsreaktioner har rapporterats. Hypoglykemi har rapporterats i kombination med sulfonylurea (4,7 %‑13,8 %) och insulin (9,6 %) (se avsnitt 4.4).
Tabell över biverkningar
Nedan listade biverkningarna klassificeras efter frekvens och organsystem (SOC). Inom varje frekvensgrupp listas biverkningar i fallande allvarlighetsgrad. Frekvenskategorierna definieras enligt följande konvention: mycket vanliga (≥ 1/10), vanliga (≥ 1/100, < 1/10), mindre vanliga (≥ 1/1 000, < 1/100), sällsynta (≥ 1/10 000, < 1/1 000), mycket sällsynta (< 1/10 000), ingen känd frekvens (kan inte beräknas från tillgängliga data).
Tabell 1: Biverkningar från placebokontrollerade studier eller studier med aktivt jämförelseläkemedel och erfarenhet efter godkännande för försäljning
1 Biverkning med ertugliflozin.
2 Biverkning med sitagliptin.
* Se avsnitt 4.4.
† Se nedanstående delavsnitt för mer information.
‡ Inkluderar: pollakiuri, miktionsträngningar, polyuri, ökad urinproduktion och nokturi.
§ Inkluderar: törst och polydipsi.
¶ Genomsnittliga procentuella förändringar från utgångsvärdet för ertugliflozin 5 mg respektive 15 mg var för lipoproteinkolesterol med låg densitet (LDL‑C) 5,8 % och 8,4 % jämfört med placebo 3,2 %, för totalkolesterol 2,8 % och 5,7 %, jämfört med placebo 1,1 %, dock var lipoproteinkolesterol med hög densitet (HDL-C) 6,2 % och 7,6 % jämfört med placebo 1,9 %. Median förändring i procent från utgångsvärdet för ertugliflozin 5 mg respektive 15 mg var för triglycerider ‑3,9 % och ‑1,7 % jämfört med placebo 4,5 %.
** Andelen personer som hade minst 1 ökning i hemoglobin > 2,0 g/dl var högre i ertugliflozin 5 mg och 15 mg grupperna (4,7 % respektive 4,1 %) jämfört med placebogruppen (0,6 %).
¶¶ Andelen personer som uppvisade ökning av blodurea (BUN) värden ≥ 50 % och värde > ULN (upper limit of normal) var numeriskt högre i ertugliflozin 5 mg gruppen och högre i 15 mg gruppen (7,9 % respektive 9,8 %) i förhållande till placebogruppen (5,1 %).
a Biverkningar identifierades genom övervakning efter godkännandet för försäljning.
b Se Kardiovaskulär utfallsstudie med sitagliptin (TECOS) nedan.
Beskrivning av utvalda biverkningar
Ertugliflozin
Volymförlust
Ertugliflozin orsakar osmotisk diures, som kan leda till minskad intravaskulär volym och biverkningar relaterade till volymförlust. I sammanslagna data från placebokontrollerade studier var incidensen av biverkningar relaterade till volymförlust (dehydrering, postural yrsel, presynkope, synkope, hypotoni och ortostatisk hypotoni) låg (< 2 %) utan påtagliga skillnader mellan ertugliflozin- och placebogrupperna. I subgruppsanalyser av en större mängd sammanslagna data från fas 3-studier hade patienter med eGFR < 60 ml/min/1,73 m2, patienter ≥ 65 år och patienter på diuretika en högre incidens av volymförlust i ertugliflozingrupperna än i gruppen som fick jämförelseläkemedel (se avsnitt 4.2 och 4.4). Hos patienter med eGFR < 60 ml/min/1,73 m2 var incidensen 5,1 %, 2,6 % och 0,5 % för ertugliflozin 5 mg, ertugliflozin 15 mg respektive jämförelsegruppen och för patienter med eGFR 45‑< 60 ml/min/1,73 m2 var incidensen 6,4 %, 3,7 % respektive 0 %.
Hypoglykemi
I sammanslagna data från placebokontrollerade studier var incidensen av dokumenterad hypoglykemi högre för ertugliflozin 5 mg och 15 mg (5 % och 4,5 %) jämfört med placebo (2,9 %). I denna population var incidensen av svår hypoglykemi 0,4 % i vardera gruppen. När ertugliflozin användes som monoterapi var incidensen av hypoglykemiska händelser 2,6 % i bägge grupperna som behandlades med ertugliflozin och 0,7 % i placebogruppen. När ertugliflozin används som tillägg till metformin var incidensen av hypoglykemiska händelser 7,2 % i gruppen som fick ertugliflozin 5 mg, 7,8 % i gruppen som fick ertugliflozin 15 mg samt 4,3 % i placebogruppen.
När ertugliflozin lades till metformin och jämfördes med sulfonylurea var incidensen av hypoglykemi högre för sulfonylurea (27 %) än för ertugliflozin (5,6 % och 8,2 % för ertugliflozin 5 mg respektive 15 mg).
När ertugliflozin användes som tillägg till insulin med eller utan metformin i delstudier i VERTIS CV var incidensen av dokumenterad hypoglykemi 39,4 %, 38,9 % och 37,5 % för ertugliflozin 5 mg, ertugliflozin 15 mg respektive placebo. När ertugliflozin användes som tillägg till en sulfonylurea var incidensen av hypoglykemi 7,3 %, 9,3 % och 4,2 % för ertugliflozin 5 mg, ertugliflozin 15 mg respektive placebo. När ertugliflozin användes som tillägg till metformin och en sulfonylurea var incidensen av hypoglykemi 20 %, 26,5 % och 14,5 % för ertugliflozin 5 mg, ertugliflozin 15 mg respektive placebo.
Hos patienter med måttligt nedsatt njurfunktion som tog insulin, sulfonylurea eller meglitinider som bakgrundsläkemedel var den dokumenterade incidensen av hypoglykemi 36 %, 27 % och 36 % för ertugliflozin 5 mg, ertugliflozin 15 mg respektive placebo (se avsnitt 4.2, 4.4 och 4.5).
Diabetesketoacidos
I VERTIS CV identifierades ketoacidos hos 19 (0,3 %) patienter behandlade med ertugliflozin och hos 2 (0,1 %) patienter som fick placebo. I de 7 andra kliniska fas 3‑studierna i utvecklingsprogrammet för ertugliflozin identifierades ketoacidos hos 3 (0,1 %) patienter behandlade med ertugliflozin och hos 0 (0 %) av de patienter som behandlades med jämförelseläkemedel (se avsnitt 4.4).
Förhöjt blodkreatinin/sänkt glomerulär filtrationshastighet och njurrelaterade händelser
Initiala ökningar av genomsnittligt kreatinin och sänkningar av genomsnittligt eGFR hos patienter som behandlades med ertugliflozin var generellt övergående under fortsatt behandling. Patienter med måttligt nedsatt njurfunktion vid studiestart hade större genomsnittliga förändringar, vilka inte hade återgått till utgångsvärdet vid vecka 26. Dessa förändringar gick tillbaka efter att behandlingen sattes ut.
I VERTIS CV var behandling med ertugliflozin associerad med en initial minskning av genomsnittlig eGFR (vid vecka 6, -2,7; -3,8 och -0,4 ml/min/1,73 m2 i grupperna som fick ertugliflozin 5 mg, ertugliflozin 15 mg respektive placebo) vilken följdes av en återgång mot utgångsvärdet. Långtidsbehandling med ertugliflozin var associerad med en långsammare minskning av eGFR jämfört med placebo (fram till vecka 260).
I VERTIS CV var incidensen av njurrelaterade biverkningar (t.ex. akut njurskada, nedsatt njurfunktion, akut prerenal svikt) 4,2 %, 4,3 % och 4,7 % hos patienter behandlade med ertugliflozin 5 mg, ertugliflozin 15 mg respektive placebo i den totala populationen och var 9,7 %, 10 % och 10,2 % hos patienter med eGFR från 30 till under 60 ml/min/1,73 m2 behandlade med ertugliflozin 5 mg, ertugliflozin 15 mg respektive placebo.
Genitala svampinfektioner
I sammanslagna data från tre placebokontrollerade kliniska studier förekom kvinnlig genital svampinfektion (t.ex. genital candidiasis, genital svampinfektion, vaginal infektion, vulvit, vulvovaginal candidiasis, vulvovaginal svampinfektion, vulvovaginit) hos 9,1 %, 12 %, och 3 % av de kvinnor som behandlades med ertugliflozin 5 mg, ertugliflozin 15 mg respektive placebo. Behandlingen sattes ut på grund av genitala svampinfektioner hos 0,6 % och 0 % av de kvinnliga patienter som behandlades med ertugliflozin respektive placebo (se avsnitt 4.4).
I samma sammanslagna data förekom manliga genitala svampinfektioner (t.ex. candida balanit, balanopostit, genital infektion, genital svampinfektion) hos 3,7 %, 4,2 % och 0,4 % av de män som behandlades med ertugliflozin 5 mg, ertugliflozin 15 mg respektive placebo. Manliga genitala svampinfektioner var vanligare bland icke-omskurna män. Behandlingen sattes ut på grund av svampinfektioner hos 0,2 % och 0 % av de manliga patienter som behandlades med ertugliflozin respektive placebo. I sällsynta fall rapporterades fimos och i vissa fall utfördes omskärelse (se avsnitt 4.4).
Urinvägsinfektioner
I VERTIS CV förekom urinvägsinfektioner hos 12,2 %, 12 % och 10,2 % av patienterna som behandlades med ertugliflozin 5 mg, ertugliflozin 15 mg respektive placebo. Incidensen av allvarliga urinvägsinfektioner var 0,9 %, 0,4 % och 0,8 % med ertugliflozin 5 mg, ertugliflozin 15 mg respektive placebo.
I de 7 andra kliniska fas 3-studierna i utvecklingsprogrammet för ertugliflozin var incidensen av urinvägsinfektioner 4 % och 4,1 % för grupperna som fick ertugliflozin 5 mg och 15 mg och 3,9 % för placebo. De flesta händelser var lindriga till måttliga och inga allvarliga fall rapporterades.
Sitagliptin
Utöver de biverkningar som nämns i tabellen ovan innefattade övre luftvägsinfektion och nasofaryngit biverkningar som rapporterades oavsett ett orsakssamband med läkemedelsbehandling, och förekom hos minst 5 % och oftare hos patienter som behandlades med sitagliptin. Ytterligare biverkningar som har rapporterats, oavsett ett orsakssamband med läkemedelsbehandling och som förekom mer frekvent hos patienter som behandlades med sitagliptin (som inte nådde 5 %, men som förekom med en incidens på > 0,5 % högre med sitagliptin än den i kontrollgruppen) innefattade artros och smärta i extremitet.
Vissa biverkningar observerades oftare i studier med kombinationsbehandling med sitagliptin och andra antidiabetesläkemedel än i studier med sitagliptin som monoterapi. Dessa innefattade hypoglykemi (rapporterad frekvens: mycket vanliga, med kombinationen sulfonylurea och metformin), influensa (vanliga, med insulin (med eller utan metformin)), illamående och kräkningar (vanliga, med metformin), flatulens (vanliga, med metformin eller pioglitazon), förstoppning (vanliga, med kombinationen sulfonylurea och metformin), perifert ödem (vanliga, med pioglitazon eller kombinationen pioglitazon och metformin), sömnighet och diarré (mindre vanliga, med metformin) och muntorrhet (mindre vanliga, med insulin (med eller utan metformin)).
TECOS (studie som utvärderat kardiovaskulära utfall med sitagliptin)
Den kardiovaskulära säkerhetsstudien ”Trial Evaluating Cardiovascular Outcomes with Sitagliptin” (TECOS) inkluderade 7 332 patienter behandlade med sitagliptin 100 mg dagligen (eller 50 mg dagligen om utgångsvärdet för eGFR var ≥ 30 och < 50 ml/min/1,73 m2) samt 7 339 patienter behandlade med placebo i intention- to-treat-populationen. Båda behandlingarna var tillagda till sedvanlig behandling för att uppnå regionala målnivåerför hemoglobin A1c (HbA1c) och kardiovaskulära riskfaktorer. Den totala incidensen av allvarliga biverkningar hos patienter som fick sitagliptin var densamma som för patienter som fick placebo.
Bland de patienter som använde insulin och/eller ett sulfonylurealäkemedel vid studiestart i intention-to-treat-populationen, var incidensen av allvarlig hypoglykemi 2,7 % hos patienter behandlade med sitagliptin och 2,5 % hos patienter som fått placebo. Bland patienter som inte använde insulin och/eller ett sulfonylurealäkemedel vid studiestart, var incidensen av allvarlig hypoglykemi 1 % hos patienter behandlade med sitagliptin och 0,7 % hos patienter som fått placebo. Incidensen av pankreatit (verifierade av studiekommittén) var 0,3 % hos patienter behandlade med sitagliptin och 0,2 % hos patienter som fått placebo.
Rapportering av misstänkta biverkningar
I händelse av överdosering av Steglujan ska sedvanliga understödjande åtgärder vidtas (t.ex. avlägsnande av ej absorberat material från magtarmkanalen, klinisk monitorering, inklusive ett elektrokardiogram, och understödjande behandling) beroende på patientens kliniska status.
Ertugliflozin
Ertugliflozin visade ingen toxicitet hos friska personer vid perorala engångsdoser på upp till 300 mg eller vid upprepade doser på upp till 100 mg dagligen i 2 veckor. Inga potentiella akuta symtom eller tecken på överdosering identifierades. Eliminering av ertugliflozin via hemodialys har inte studerats.
Sitagliptin
I kontrollerade kliniska studier med friska personer administrerades engångsdoser om 800 mg sitagliptin. Minimala ökningar av QTc, vilka inte ansågs kliniskt betydelsefulla, observerades i en studie med 800 mg sitagliptin. Det finns ingen erfarenhet av högre doser än 800 mg i kliniska studier. I fas I‑studier med upprepade doser, observerades inga kliniska dosrelaterade biverkningar med sitagliptin med doser upp till 600 mg per dag under perioder om upp till 10 dagar respektive 400 mg per dag under perioder om upp till 28 dagar.
Sitagliptin är i mindre utsträckning dialyserbart. I kliniska studier avlägsnades ca 13,5 % av given dos under 3‑4 timmars hemodialys. Om det är kliniskt lämpligt, kan längre hemodialys övervägas. Det är inte känt om sitagliptin kan dialyseras genom peritonealdialys.
I en 2‑dagars studie med friska personer ökade sitagliptin i monoterapi koncentrationen av aktivt GLP‑1 medan metformin i monoterapi ökade koncentrationen av aktivt GLP‑1 och totalkoncentrationen av GLP‑1 i likvärdig utsträckning. Samtidig behandling med sitagliptin och metformin gav en additiv effekt på koncentrationen av aktivt GLP‑1. Sitagliptin, men inte metformin, ökade koncentrationen av aktivt GIP.
Farmakodynamisk effekt
Ertugliflozin
Glukosutsöndring i urin och urinvolym
Dosberoende ökningar av den mängd glukos som utsöndras i urinen observerades hos friska personer och hos patienter med typ 2-diabetes mellitus efter engångsdoser och upprepad administrering av ertugliflozin. Dos-responsmodellering tyder på att ertugliflozin 5 mg och 15 mg resulterar i nära maximal glukosutsöndring i urinen (UGE) hos patienter med typ 2-diabetes mellitus och ger 87 % respektive 96 % av maximal hämning.
Klinisk effekt och säkerhet
Glykemisk kontroll
Den glykemiska effekten och säkerheten för ertugliflozin i kombination med sitagliptin har studerats i tre randomiserade, dubbelblinda, placebokontrollerade och aktivt kontrollerade jämförande kliniska multicenterstudier i fas 3 på 1 985 patienter med typ 2-diabetes. I de tre studierna var andelen vita 72,9‑90,4 %, 0‑20,3 % var asiater, 1,9‑4,5 % var svarta och 4,8‑5,4 % var av annan etnicitet. Latinamerikaner utgjorde 15,6‑36,1 % av populationen. Genomsnittsåldern för patienterna i dessa tre studier varierade mellan 55,1 och 59,1 år (intervall 21‑85 år). I de tre studierna var 16,2‑29,9 % av patienterna ≥ 65 år och 2,3‑2,8 % var ≥ 75 år.
Faktoriell studie med ertugliflozin och sitagliptin som tilläggsbehandling till metformin
Totalt 1 233 patienter med typ 2-diabetes deltog i en randomiserad, dubbelblind, 26‑veckors, aktivt kontrollerad multicenterstudie för att utvärdera effekt och säkerhet för ertugliflozin 5 mg eller 15 mg i kombination med sitagliptin 100 mg jämfört med de enskilda komponenterna. Patienter med typ 2-diabetes som inte kontrollerades adekvat med metformin i monoterapi (≥ 1 500 mg/dag) randomiserades till en av fem aktiva behandlingsarmar: ertugliflozin 5 mg eller 15 mg, sitagliptin 100 mg, eller sitagliptin 100 mg i kombination med 5 mg eller 15 mg ertugliflozin givet en gång dagligen som tillägg till bakgrundsbehandling med metformin (se tabell 2).
Tabell 2: Resultat vecka 26 från en faktoriell studie med ertugliflozin och sitagliptin som tilläggsbehandling till metformin jämfört med enbart de enskilda komponenterna*
*N inkluderar alla randomiserade, behandlade patienter som hade minst en mätning av utfallsvariabeln.
† Minstakvadratmedelvärden justerade för tid, utgångsvärde för eGFR och tidsinteraktion per behandling.
‡ p< 0,001 jämfört med kontrollgruppen.
§ p< 0,001 jämfört med motsvarande dos av ertugliflozin eller sitagliptin (baserat på justerade oddskvotjämförelser från en logistisk regressionsmodell med multipel imputation för saknade datavärden).
Ertugliflozin som tilläggsbehandling till metformin och sitagliptin
Totalt 463 patienter med typ 2-diabetes som inte kontrollerades adekvat med metformin (≥ 1 500 mg/dag) och sitagliptin 100 mg en gång dagligen deltog i en randomiserad, dubbelblind, 26‑veckors, placebokontrollerad multicenterstudie för att utvärdera effekt och säkerhet för ertugliflozin. Patienterna randomiserades till ertugliflozin 5 mg, ertugliflozin 15 mg eller placebo givet en gång dagligen som tillägg till fortsatt bakgrundsbehandling med metformin och sitagliptin (se tabell 3).
Tabell 3: Resultat vecka 26 från en studie av ertugliflozin som tillägg till kombinationsbehandling med metformin och sitagliptin*
* N inkluderar alla randomiserade, behandlade patienter som hade minst en mätning av utfallsvariabeln.
† Minstakvadratmedelvärden justerade för tid, tidigare antihyperglykemiska läkemedel, utgångsvärde för eGFR och tidsinteraktion per behandling
‡ p< 0,001 jämfört med placebo.
§ p< 0,001 jämfört med placebo (baserat på justerade oddskvotjämförelser från en logistisk regressionsmodell med multipel imputation för saknade datavärden).
Kombinationsbehandling med ertugliflozin och sitagliptin
Totalt 291 patienter med typ 2-diabetes som inte kontrollerades adekvat med kost och motion deltog i en randomiserad, dubbelblind, placebokontrollerad, 26‑veckors multicenterstudie för att utvärdera effekt och säkerhet för ertugliflozin i kombination med sitagliptin. Dessa patienter, som inte fick någon bakgrundsbehandling med antihyperglykemiska läkemedel, randomiserades till ertugliflozin 5 mg eller ertugliflozin 15 mg i kombination med sitagliptin (100 mg) eller till placebo, en gång dagligen (se tabell 4).
Tabell 4: Resultat vecka 26 från en studie av ertugliflozin i kombination med sitagliptin*
* N inkluderar alla patienter som fick minst en dos studieläkemedel och som hade minst en mätning av utfallsvariabeln.
† Minstakvadratmedelvärden justerade för tid och tidsinteraktion per behandling.
‡ p< 0,001 jämfört med placebo.
§ p< 0,001 jämfört med placebo (baserat på justerade oddskvotjämförelser från en logistisk regressionsmodell med multipel imputation för saknade datavärden).
Fasteplasmaglukos
I tre placebokontrollerade studier resulterade ertugliflozin i statistiskt signifikanta sänkningar av fasteplasmaglukos (FPG). För ertugliflozin 5 mg respektive 15 mg var de placebokorrigerade sänkningarna av FPG 1,92 och 2,44 mmol/l som monoterapi, 1,48 och 2,12 mmol/l som tillägg till metformin, och 1,40 och 1,74 mmol/l som tillägg till metformin och sitagliptin.
Kombinationen av ertugliflozin och sitagliptin resulterade i signifikant större sänkningar av FPG än enbart sitagliptin eller ertugliflozin eller placebo. Kombinationen av ertugliflozin 5 mg eller 15 mg och sitagliptin resulterade i inkrementella FPG-sänkningar på 0,46‑0,65 mmol/l jämfört med enbart ertugliflozin och 1,02‑1,28 mmol/l jämfört med enbart sitagliptin. De placebokorrigerade sänkningarna med ertugliflozin 5 mg eller 15 mg i kombination med sitagliptin var 2,16 respektive 2,56 mmol/l.
Effekt hos patienter med HbA1c ≥ 10 % vid studiestart
I studien på patienter som inte kontrollerades adekvat med metformin och som hade ett utgångsvärde för HbA1c på 7,5‑11 %, gav kombinationen ertugliflozin 5 mg eller 15 mg och sitagliptin sänkningar av HbA1c på 2,35 % respektive 2,66 % i subgruppen av patienter med ett utgångsvärde för HbA1c ≥ 10 % jämfört med 2,10 %, 1,30 % och 1,82 % för enbart ertugliflozin 5 mg, ertugliflozin 15 mg respektive sitagliptin.
Postprandiellt glukos
Använt som monoterapi resulterade ertugliflozin 5 mg respektive 15 mg i statistiskt signifikanta placebokorrigerade sänkningar av 2‑timmars postprandiellt glukos (PPG) på 3,83 och 3,74 mmol/l.
Kombinationen av ertugliflozin 5 mg eller 15 mg med sitagliptin resulterade i statistiskt signifikanta placebokorrigerade sänkningar av 2‑timmars PPG på 3,46 respektive 3,87 mmol/l.
Blodtryck
Tjugosex veckor av behandling med kombinationen ertugliflozin 5 mg eller 15 mg och sitagliptin 100 mg resulterade i statistiskt signifikanta sänkningar av det systoliska blodtrycket (SBP) jämfört med endast sitagliptin (-2,8 och -3,0 mmHg för E5/S100 respektive E15/S100) eller placebo (-4,4 och -6,4 mmHg för E5/S100 respektive E15/S100). När ertugliflozin 5 mg eller 15 mg adderades till bakgrundsbehandling med metformin och sitagliptin resulterade det i statistiskt signifikanta, placebo-korrigerade sänkningar i SBP på 2,9 respektive 3,9 mmHg.
Subgruppsanalys
Hos patienter med typ 2‑diabetes behandlade med ertugliflozin i kombination med sitagliptin var förbättringen i HbA1c likvärdig mellan subgrupper indelade efter ålder, kön, ras och duration av typ 2‑diabetes mellitus.
Kardiovaskulära utfall
Kardiovaskulär utfallsstudie med ertugliflozin (VERTIS CV)
Effekten av ertugliflozin på kardiovaskulär risk hos vuxna patienter med typ 2‑diabetes mellitus och etablerad aterosklerotisk hjärt-kärlsjukdom utvärderades i studien VERTIS CV, en multinationell, randomiserad, dubbelblind, placebokontrollerad, händelsedriven multicenterstudie. Studien jämförde risken att drabbas av en allvarligare negativ hjärt-kärlhändelse (MACE) mellan ertugliflozin och placebo när dessa användes som tilläggsbehandling och användes samtidigt med standardbehandlingar för diabetes och aterosklerotisk hjärt-kärlsjukdom.
Totalt 8 246 patienter randomiserades (placebo N=2 747, ertugliflozin 5 mg N=2 752, ertugliflozin 15 mg N=2 747) och följdes under en mediantid av 3 år. Genomsnittlig ålder var 64 år och cirka 70 % var män.
Samtliga patienter i studien hade otillräckligt kontrollerad typ 2‑diabetes mellitus vid studiestart (HbA1c högre än eller lika med 7 %). Genomsnittlig duration av typ 2‑diabetes mellitus var 13 år, genomsnittligt HbA1c vid studiestart var 8,2 % och genomsnittlig eGFR var 76 ml/min/1,73 m2. Vid studiestart behandlades patienterna med ett (32 %) eller flera (67 %) diabetesläkemedel, däribland metformin (76 %), insulin (47 %), sulfonylurea (41 %), DPP‑4-hämmare (11 %) och GLP‑1‑receptoragonister (3 %).
Nästan alla patienter (99 %) hade etablerad aterosklerotisk hjärt-kärlsjukdom vid studiestart. Cirka 24 % av patienterna hade anamnes på hjärtsvikt. Primärt effektmått i VERTIS CV var tiden till första förekomst av MACE (hjärt-kärldöd, icke-dödlig hjärtinfarkt eller icke-dödlig stroke).
Ertugliflozin var inte sämre än placebo vad gäller MACE (se tabell 5). Resultaten för de enskilda doserna 5 mg och 15 mg överensstämde med resultaten för de sammanslagna dosgrupperna.
Hos patienter behandlade med ertugliflozin var frekvensen av sjukhusinläggning för hjärtsvikt lägre än hos patienter behandlade med placebo (se tabell 5 och figur 1).
Tabell 5: Analys av MACE och dess komponenter samt sjukhusinläggning för hjärtsvikt från studien VERTIS CV*
N=Antal patienter, KI=konfidensintervall.
* Intent-to-treat analysset.
† MACE utvärderades hos patienter som tog minst en dos studieläkemedel och för patienter som avbröt behandlingen med studieläkemedel före studiens slut. Händelser som inträffade mer än 365 dagar efter den sista dosen studieläkemedel censurerades. Övriga effektmått utvärderades för alla randomiserade patienter och händelser som inträffade någon gång efter den första dosen studieläkemedel till den sista dagen för kontakt. Det totala antalet första händelser analyserades för varje effektmått.
‡ För MACE redovisas 95,6 % KI, för övriga effektmått redovisas 95 % KI.
#Ej utvärderat för statistisk signifikans eftersom det inte ingick i den förspecificerade sekventiella testproceduren.
Figur 1: Tid till första förekomst av sjukhusinläggning för hjärtsvikt
Kardiovaskulär utfallsstudie med sitagliptin (TECOS)
TECOS var en randomiserad studie med 14 671 patienter i intention-to treat-populationen med HbA1c ≥ 6,5 till 8,0 % och fastställd kardiovaskulär sjukdom som fick sitagliptin (7 332) 100 mg dagligen (eller 50 mg dagligen om utgångsvärdet för eGFR var ≥ 30 och <50 ml/min/1,73 m2) eller placebo (7 339) i tillägg till sedvanlig behandling för att uppnå regionala målnivåer för HbA1c och kardiovaskulära riskfaktorer. Patienter med eGFR <30 ml/min/1,73 m2 fick inte inkluderas i studien. Studiepopulationen omfattade 2 004 patienter ≥ 75 år och 3 324 patienter med nedsatt njurfunktion (eGFR < 60 ml/min/1,73 m2).
Under studiens lopp var den beräknade totala skillnaden i medelvärdet (SD) för HbA1c mellan sitagliptin och placebogrupperna 0,29% (0,01), 95% KI (-0,32, -0,27); p < 0,001.
Det primära kardiovaskulära effektmåttet var sammansatt av den första förekomsten av kardiovaskulär död, icke-fatal hjärtinfarkt, icke-fatal stroke eller sjukhusinläggning för instabil angina. Sekundära kardiovaskulära effektmått omfattade den första förekomsten av kardiovaskulär död, icke-fatal hjärtinfarkt eller icke-fatal stroke; första förekomst av den enskilda komponenten i den primärt sammansatta; mortalitet oavsett orsak samt sjukhusinlägging för kronisk hjärtsvikt.
Efter en genomsnittlig uppföljning på 3 år, ökade inte sitagliptin risken för större kardiovaskulära händelser eller risken för sjukhusinläggning på grund av hjärtsvikt när tillagt till sedvanlig behandling, jämfört med sedvanlig behandling utan sitagliptin, hos patienter med typ 2‑diabetes (tabell 6).
Tabell 6: Frekvens av sammansatta kardiovaskulära utfall och viktiga sekundära utfall
* Incidens per 100 patientår är beräknad som 100 × (totala antalet patienter med ≥ 1 händelse under passande exponeringsperiod per totalt antal patientår med uppföljning).
† Baserat på en Cox-modell stratifierad för region. För sammansatta effektmått svarar p‑värdet mot ett test av non‑inferiority avsedd att visa att riskkvoten är mindre än 1,3. För alla andra effektmått svarar p‑värdet mot ett test av skillnader i riskfrekvenser.
‡ Analysen av sjukhusinläggning för hjärtsvikt justerades för förekomst av hjärtsvikt vid studiestart.
Pediatrisk population
Europeiska läkemedelsmyndigheten har beviljat undantag från kravet att skicka in studieresultat för Steglujan för alla grupper av den pediatriska populationen för behandling av typ 2-diabetes (information om pediatrisk användning finns i avsnitt 4.2).
Steglujan
Steglujan har visats vara bioekvivalent med samtidig administrering av motsvarande doser av ertugliflozin och sitagliptin i separata tabletter.
Effekterna av en fettrik måltid på farmakokinetiken för ertugliflozin och sitagliptin givet som Steglujantabletter är jämförbara med de som rapporteras för de enskilda tabletterna. Administrering av Steglujan med föda minskade Cmax för ertugliflozin med 29 % och hade ingen betydelsefull effekt på AUCinf för ertugliflozin eller på AUCinf och Cmax för sitagliptin.
Ertugliflozin
Allmän introduktion
Farmakokinetiken för ertugliflozin är likartad hos friska personer och patienter med typ 2-diabetes. Genomsnittlig AUC och Cmax i plasma vid steady state var 398 ng.h/ml respektive 81 ng/ml vid behandling med 5 mg ertugliflozin en gång dagligen och 1 193 ng.h/ml respektive 268 ng/ml vid behandling med 15 mg ertugliflozin en gång dagligen. Steady state uppnås efter 4 till 6 dagars dosering av ertugliflozin en gång dagligen. Ertugliflozin uppvisar inte tidsberoende farmakokinetik och ackumuleras i plasma upp till 10‑40 % efter upprepad dosering.
Absorption
Efter en peroral engångsdos på 5 mg och 15 mg ertugliflozin uppnås maximala plasmakoncentrationer (mediantid till maximal plasmakoncentration [Tmax]) av ertugliflozin 1 timme efter dosering i fasta. Cmax och AUC i plasma för ertugliflozin ökar dosproportionellt efter engångsdoser från 0,5 mg till 300 mg och efter upprepade doser från 1 mg till 100 mg. Den absoluta perorala biotillgängligheten för ertugliflozin efter administrering av en 15 mg-dos är ungefär 100 %.
Administrering av ertugliflozin med en fett- och kaloririk måltid sänker Cmax för ertugliflozin med 29 % och förlänger Tmax med 1 timme men påverkar inte AUC jämfört med dosering i fasta. Den observerade effekten av föda på farmakokinetiken för ertugliflozin anses inte vara kliniskt betydelsefull och ertugliflozin kan administreras med eller utan föda. I kliniska studier i fas 3 gavs ertugliflozin utan hänsyn till måltider.
Ertugliflozin är substrat för transportörerna P‑glykoprotein (P‑gp) och bröstcancerresistent protein (BCRP).
Distribution
Genomsnittlig distributionsvolym för ertugliflozin i steady state efter en intravenös dos är 86 liter. Ertugliflozin binds till plasmaproteiner till 93,6 % oberoende av plasmakoncentrationen av ertugliflozin. Bindningen till plasmaproteiner förändras inte i någon betydelsefull grad hos patienter med nedsatt njur- eller leverfunktion. Kvoten mellan ertugliflozinkoncentrationen i blod och plasma är 0,66.
Ertugliflozin är inte ett substrat för organiska anjonstransportörer (OAT1, OAT3), organiska katjonstransportörer (OCT1, OCT2) eller för organiska anjontransporterande polypeptider (OATP1B1, OATP1B3) in vitro.
Metabolism
Metabolism är den primära clearancemekanismen för ertugliflozin. Den huvudsakliga metabola vägen för ertugliflozin är UGT1A9- och UGT2B7-medierad O-glukuronidering till två glukuronider som är farmakologiskt inaktiva vid kliniskt relevanta koncentrationer. CYP‑medierad (oxidativ) metabolism av ertugliflozin är minimal (12 %).
Eliminering
Genomsnittligt systemiskt plasmaclearance efter en intravenös dos på 100 µg var 11 liter/h. Genomsnittlig halveringstid i eliminationsfasen hos patienter med typ 2-diabetes och normal njurfunktion beräknades vara 17 timmar baserat på den populationsfarmakokinetiska analysen. Efter administrering av en peroral [14C]‑ertugliflozinlösning till friska personer eliminerades cirka 41 % och 50 % av den läkemedelsrelaterade radioaktiviteten i feces respektive urin. Endast 1,5 % av den administrerade dosen utsöndrades som oförändrat ertugliflozin i urin och 34 % utsöndrades som oförändrat ertugliflozin i feces, vilket troligen beror på biliär utsöndring av glukuronidmetaboliter och efterföljande hydrolys till modersubstansen.
Särskilda populationer
Nedsatt njurfunktion
I en klinisk farmakologistudie i fas 1 på patienter med typ 2-diabetes och lätt, måttligt eller kraftigt nedsatt njurfunktion (fastställd med eGFR) var de genomsnittliga ökningarna av ertugliflozins AUC efter en engångsdos på 15 mg ertugliflozin ≤ 1,7‑faldiga jämfört med personer med normal njurfunktion. Dessa ökningar av AUC för ertugliflozin anses inte vara kliniskt relevanta. Det fanns inga kliniskt betydelsefulla skillnader i Cmax-värdena för ertugliflozin i grupperna med olika njurfunktion. Dygnsutsöndringen av glukos via urinen minskade med ökande grad av njurfunktionsnedsättning (se avsnitt 4.4). Plasmaproteinbindningen av ertugliflozin påverkades inte hos patienter med nedsatt njurfunktion.
Nedsatt leverfunktion
Måttlig leverfunktionsnedsättning (baserat på klassificering enligt Child-Pugh) resulterade inte i någon ökad exponering av ertugliflozin. AUC för ertugliflozin minskade med cirka 13 % och Cmax minskade med cirka 21 % jämfört med personer med normal leverfunktion. Denna minskning av exponeringen av ertugliflozin anses inte vara kliniskt betydelsefull. Det finns ingen klinisk erfarenhet från patienter med Child-Pugh klass C (grav) leverfunktionsnedsättning. Plasmaproteinbindningen av ertugliflozin påverkades inte hos patienter med måttligt nedsatt leverfunktion.
Pediatrisk population
Inga studier av ertugliflozin har utförts på pediatriska patienter.
Effekter av ålder, kroppsvikt, kön och etnicitet
Baserat på en populationsfarmakokinetisk analys har ålder, kroppsvikt, kön och etnicitet inte någon kliniskt betydelsefull effekt på farmakokinetiken för ertugliflozin.
Sitagliptin
Absorption
Efter peroral administrering av en 100 mg dos till friska personer, absorberades sitagliptin snabbt och medianvärdet för Tmax uppnåddes efter 1‑4 timmar. Genomsnittlig AUC för sitagliptin i plasma var 8,52 μM•h, Cmax var 950 nM. Den absoluta biotillgängligheten för sitagliptin är ca 87 %. Steglujan kan intas med eller utan föda, eftersom samtidigt intag av fettrik måltid och sitagliptin inte har någon effekt på farmakokinetiken.
AUC för sitagliptin i plasma ökade proportionellt mot dosen. Dosproportionalitet kunde inte fastställas för Cmax och C24tim (Cmax ökade mer och C24tim ökade mindre än vad som kan förväntas vid dosproportionalitet).
Distribution
Efter en intravenös engångsdos av 100 mg sitagliptin till friska personer är den genomsnittliga distributionsvolymen vid steady state ca 198 liter. Den andel sitagliptin som är reversibelt bunden till plasmaproteiner är låg (38 %).
Metabolism
Sitagliptin elimineras huvudsakligen oförändrat i urinen och metaboliseras i liten utsträckning. Cirka 79% av sitagliptin utsöndras oförändrad i urinen.
Efter en peroral dos av [14C]-sitagliptin, utsöndrades ca 16 % av radioaktiviteten som metaboliter av sitagliptin. Spårmängder av sex metaboliter detekterades, men dessa förväntas inte bidra till den DPP‑4‑hämmande aktiviteten av sitagliptin i plasma. In vitro studier tyder på att det enzym som huvudsakligen svarar för den begränsade metabolismen av sitagliptin är CYP3A4 med medverkan av CYP2C8.
In vitro data visade att sitagliptin inte är en hämmare av CYP-isoenzymerna CYP3A4, 2C8, 2C9, 2D6, 1A2, 2C19 eller 2B6 och inducerar inte CYP3A4 och CYP1A2.
Eliminering
Efter en peroral dos av [14C]-sitagliptin till friska personer utsöndrades ca 100% av den administrerade radioaktiviteten i faeces (13%) eller i urinen (87%) inom 1 vecka efter intaget. Efter en 100 mg peroral dos av sitagliptin var den apparenta terminala t½ ca 12,4 timmar. Sitagliptin ackumuleras endast i mindre utsträckning vid upprepad dosering. Renalt clearance var ca 350 ml/min.
Elimineringen av sitagliptin sker huvudsakligen via renal utsöndring och med inslag av aktiv tubulär sekretion. Sitagliptin är substrat för human organisk anjontransportör‑3 (hOAT‑3), vilken kan vara involverad i den renala eliminationen av sitagliptin. Den kliniska betydelsen av hOAT‑3 för transporten av sitagliptin har inte fastställts. Sitagliptin är även ett substrat för P‑glykoprotein, som också kan vara inblandat i medieringen av den renala eliminationen av sitagliptin. Ciklosporin, en hämmare av P‑glykoprotein, minskade emellertid inte renalt clearance av sitagliptin. Sitagliptin utgör inget substrat för OCT2- eller OAT1- eller PEPT1/2-transportörer. In vitro hämmade inte sitagliptin transporten medierad av OAT3 (IC50=160 µM) eller P-glykoprotein (upp till 250 µM) vid terapeutiskt relevanta plasmakoncentrationer. I en klinisk studie hade sitagliptin ringa effekt på digoxinplasmakoncentrationer vilket antyder att sitagliptin kan vara en svag hämmare av P‑glykoprotein.
Läkemedelsinteraktioner
Inga interaktionsstudier har utförts med Steglujan och andra läkemedel, däremot har sådana studier genomförts med de enskilda aktiva substanserna.
Utvärdering av ertugliflozin in vitro
I in vitro‑studier hämmade eller inaktiverade inte ertugliflozin eller ertugliflozinglukuronider CYP 1A2, 2C9, 2C19, 2C8, 2B6, 2D6 eller 3A4 och inducerade inte CYP 1A2, 2B6 eller 3A4. Ertugliflozin eller ertugliflozinglukuronider hämmade inte aktiviteten hos UGT 1A6, 1A9 eller 2B7 in vitro. Ertugliflozin var en svag hämmare av UGT 1A1 och 1A4 in vitro vid högre koncentrationer som inte är kliniskt relevanta. Ertugliflozinglukuroniderna hade ingen effekt på dessa isoformer. Generellt är det osannolikt att ertugliflozin påverkar farmakokinetiken för samtidigt administrerade läkemedel som elimineras av dessa enzymer.
Ertugliflozin eller ertugliflozinglukuronider uppvisar ingen betydelsefull hämning av transportörerna P‑gp, OCT2, OAT1, OAT3 eller av transporterande polypeptiderna OATP1B1 och OATP1B3 vid kliniskt relevanta koncentrationer in vitro. Generellt är det osannolikt att ertugliflozin påverkar farmakokinetiken för samtidigt administrerade läkemedel som är substrat för dessa transportörer.
Utvärdering av sitagliptin in vitro
In vitro‑data tyder på att sitagliptin inte hämmar eller inducerar CYP450‑isoenzym. I kliniska studier uppvisade inte sitagliptin någon betydelsefull förändring i farmakokinetiken för metformin, glyburid, simvastatin, rosiglitazon, warfarin eller orala preventivmedel, vilket bidrar med in vivo‑evidens för en låg benägenhet att orsaka interaktioner med substrat till CYP3A4, CYP2C8, CYP2C9 och OCT. Sitagliptin kan vara en lätt hämmare av P‑gp in vivo.
Transportstudier in vitro visar att sitagliptin är ett substrat för P‑gp och OAT3. OAT3‑medierad transport av sitagliptin hämmades in vitro av probenecid, även om risken för kliniskt betydelsefulla interaktioner anses vara låg. Samtidig administrering av OAT3‑hämmare har inte utvärderats in vivo.
Särskilda patientgrupper
Farmakokinitiken för sitagliptin hos patienter med typ 2‑diabetes var i allmänhet jämförbar med den hos friska personer.
Nedsatt njurfunktion
Metabolism, inkluderande den via CYP3A4, spelar endast en liten roll i clearance av sitagliptin hos patienter med normal njurfunktion. Metabolism kan spela en mer signifikant roll vid eliminering av sitagliptin hos patienter med kraftigt nedsatt njurfunktion eller terminal njursvikt (ESRD).
Jämfört med friska kontrollpersoner hade AUC i plasma för sitagliptin ökat måttligt hos patienter med GFR ≥ 45 till < 90 ml/min. Eftersom ökningar av denna storlek inte är kliniskt relevanta är dosjustering inte nödvändigt för dessa patienter.
Nedsatt leverfunktion
Det behövs ingen dosjustering av sitagliptin till patienter med lätt till måttligt nedsatt leverfunktion. (Child-Pugh score ≤ 9). Det finns ingen klinisk erfarenhet från patienter med allvarligt nedsatt leverfunktion (Child-Pugh score > 9). Eftersom sitagliptin huvudsakligen elimineras renalt, förväntas gravt nedsatt leverfunktion inte påverka sitagliptins farmakokinetik.
Äldre
Det behövs ingen dosjustering baserad på ålder. Ålder hade ingen kliniskt betydelsefull inverkan på farmakokinetiken för sitagliptin baserat på farmakokinetisk populationsanalys av data från fas 1‑ och fas 2‑studier. Äldre personer (65‑80 år) hade ca 19% högre plasmakoncentrationer av sitagliptin jämfört med yngre personer.
Pediatrisk population
Det har inte utförts några studier med sitagliptin hos barn.
Andra patientgrupper
Det behövs ingen dosjustering på grund av kön, ras eller kroppsmasseindex (BMI, Body Mass Index). Dessa variabler hade ingen kliniskt betydelsefull påverkan på sitagliptins farmakokinetik enligt en samanalys av data från flera fas 1‑studier och en populationsfarmakokinetisk analys av data från fas 1‑ och fas 2‑studier.
Gängse studier avseende säkerhetsfarmakologi, akut toxicitet, allmäntoxicitet, gentoxicitet och karcinogenicitet visade inte några särskilda risker för människa.
Ertugliflozin
Allmäntoxicitet
Studier av allmäntoxicitet med repeterade perorala doser utfördes på mus, råtta och hund i upp till 13, 26 respektive 39 veckor. Tecken på toxicitet som ansågs vara negativ observerades generellt vid exponeringar som var större än eller motsvarade 77 gånger den obundna exponeringen (AUC) hos människa vid den maximala rekommenderade humana dosen (MRHD) på 15 mg/dag. Merparten av toxiciteten överensstämde med farmakologi relaterad till uringlukosförlust och inkluderade viktnedgång och minskat kroppsfett, ökad matkonsumtion, diarré, dehydrering, sänkt serumglukos och ökning av andra serumparametrar som återspeglar ökad proteinmetabolism, glukoneogenes och rubbad elektrolytbalans, samt urinförändringar såsom polyuri, glukosuri och kalciuri. Mikroskopiska förändringar relaterade till glukosuri och/eller kalciuri som endast observerades hos gnagare inkluderade dilatation av njurtubuli, hypertrofi av zona glomerulosa i binjurarna (råtta) och ökat trabekulärt ben (råtta). Bortsett från emesis, påvisades ingen skadlig toxicitet hos hund vid 379 gånger den obundna exponeringen (AUC) hos människa vid MRHD på 15 mg/dag.
Karcinogenes
I den tvååriga karcinogenicitetsstudien på mus administrerades ertugliflozin med oral sond i doser på 5, 15 och 40 mg/kg/dag. Inga ertugliflozinrelaterade neoplastiska fynd gjordes vid doser upp till 40 mg/kg/dag (cirka 41 gånger den obundna exponeringen hos människa vid MRHD på 15 mg/dag baserat på AUC). I den tvååriga karcinogenicitetsstudien på råtta administrerades ertugliflozin med oral sond i doser på 1,5, 5 och 15 mg/kg/dag. Ertugliflozinrelaterade neoplastiska fynd inkluderade en ökad incidens av benigna feokromocytomer i binjuremärgen hos hanråtta vid 15 mg/kg/dag. Detta fynd tillskrevs kolhydratmalabsorption som ledde till förändrad kalciumhomeostas och ansågs inte vara relevant för människan. Nivån utan observerad effekt (NOEL) för neoplasi var 5 mg/kg/dag (cirka 16 gånger den obundna exponeringen hos människa vid MRHD på 15 mg/dag).
Mutagenes
Ertugliflozin var inte mutagent eller klastogent med eller utan metabol aktivering i mikrobiell omvänd mutationsanalys, cytogenetisk analys (humana lymfocyter) in vitro och råttmikrokärntest in vivo.
Reproduktionstoxikologi
I studien av fertilitet och embryonal utveckling på råtta gavs han- och honråttor ertugliflozin vid 5, 25 och 250 mg/kg/dag. Inga effekter på fertiliteten observerades vid 250 mg/kg/dag (cirka 386 gånger den obundna exponeringen hos människa vid MRHD på 15 mg/dag baserat på jämförelser av AUC). Ertugliflozin hade ingen negativ påverkan på utvecklingen hos råtta och kanin vid maternella exponeringar som var 239 respektive 1 069 gånger den humana exponeringen vid den högsta kliniska dosen på 15 mg/dag, baserat på AUC. Vid en maternellt toxisk dos till råtta (250 mg/kg/dag) observerades lägre fosterviabilitet och en högre incidens av en visceral missbildning sågs vid en maternell exponering som var 510 gånger den maximala kliniska dosen på 15 mg/dag.
I den pre- och postnatala utvecklingsstudien observerades minskad postnatal tillväxt och utveckling hos råttor som givits ertugliflozin på gestationsdag 6 till laktationsdag 21 i doser på ≥ 100 mg/kg/dag (cirka 239 gånger exponeringen hos människan vid den maximala kliniska dosen på 15 mg/dag, baserat på AUC). Könsmognaden försenades hos båda könen vid 250 mg/kg/dag (cirka 620 gånger MRHD på 15 mg/dag, baserat på AUC).
När ertugliflozin administrerades till unga råttor från 21:a postnatala dagen (PND) till den 90:e PND, en period i den renala utvecklingen som motsvarar den senare delen av andra trimestern och tredje trimestern av human graviditet, sågs ökad njurvikt, dilatation av njurbäcken och njurtubuli och mineralisering av njurtubuli vid en exponering som var 13 gånger den maximala kliniska dosen på 15 mg/dag, baserat på AUC. Effekterna på skelett (kortare femurlängd, ökat trabekulärt ben i femur) liksom effekter i form av försenad pubertet observerades vid exponeringar 817 gånger MRHD på 15 mg/dag baserat på AUC. Effekterna på njurar och skelett hade inte reverserats fullt ut efter 1 månads återhämtningstid.
Sitagliptin
Njur- och levertoxicitet observerades hos gnagare vid en systemisk exponeringsnivå som var 58 gånger den humana exponeringen, medan det däremot inte sågs någon toxiskt effekt vid exponering som var 19 gånger högre än den humana nivån. Framtandsabnormaliteter observerades hos råttor vid exponeringsnivåer som var 67 gånger den kliniska exponeringen; exponeringsnivån där ingen effekt sågs för denna abnormalitet är 58 gånger enligt 14‑veckorsstudien på råtta. Dessa fynds betydelse för människa är inte känd. Övergående behandlingsrelaterade fysiska tecken, av vilka en del tyder på neural toxicitet, såsom andning med öppen mun, salivavsöndring, vit skummande emes, ataxi, skakningar, minskad aktivitet och/eller krökt kroppshållning, observerades hos hundar vid exponeringsnivåer som var ca 23 gånger den kliniska nivån. Dessutom observerades histologiskt även mycket lätt till lätt degeneration av skelettmuskulaturen vid doser som resulterade i systemiska exponeringsnivåer som var ca 23 gånger den humana exponeringsnivån. För dessa fynd var exponeringsnivån där ingen sådan effekt sågs 6 gånger den kliniska exponeringsnivån.
Sitagliptin har inte visats vara genotoxiskt i prekliniska studier. Sitagliptin var inte karcinogent hos möss. Hos råttor observerades en ökad förekomst av adenom och karcinom i levern vid systemiska exponeringsnivåer som var 58 gånger den humana exponeringen. Eftersom levertoxicitet har visats korrelera med induktion av hepatisk neoplasi hos råttor, var den ökade förekomsten av levertumörer hos råtta troligtvis sekundär till kronisk levertoxicitet vid denna höga dos. På grund av den höga säkerhetsmarginalen (ingen effekt sågs vid 19 gånger klinisk exponeringsnivå), bedöms inte dessa neoplastiska förändringar vara relevanta för människa.
Det observerades ingen negativ effekt på fertiliteten hos han- och honråttor som fick sitagliptin före och under parningsperioden.
I en pre-/postnatal utvecklingsstudie som utfördes på råttor visade sitagliptin inga negativa effekter.
Reproduktionstoxikologiska studier på råtta visade på en lätt behandlingsrelaterad ökning i förekomst av fetal revbensmissbildning (frånvarande, hypoplastiska och vågformade revben) hos avkomman vid systemiska exponeringsnivåer som var mer än 29 gånger den humana exponeringen. Maternell toxicitet observerades hos kaniner vid mer än 29 gånger den humana exponeringsnivån. På grund av den höga säkerhetsmarginalen, tyder dessa fynd inte på någon relevant risk för human fortplantning. Sitagliptin utsöndras i avsevärda mängder i mjölken hos digivande råttor (mjölk/plasma-förhållande: 4:1).
Farmakoterapeutisk grupp: Perorala diabetesmedel, kombinationer, ATC-kod: A10BD24.
Verkningsmekanism
Steglujan kombinerar två antihyperglykemiska substanser med kompletterande verkningsmekanismer för att förbättra glykemisk kontroll hos patienter med typ 2-diabetes: ertugliflozin, en SGLT2-hämmare, och sitagliptinfosfat, en DPP‑4-hämmare.
Ertugliflozin
SGLT2 är den viktigaste transportören som ansvarar för återabsorption av glukos från glomerulusfiltratet tillbaka till blodet. Ertugliflozin är en potent, selektiv och reversibel hämmare av SGLT2. Genom att hämma SGLT2 minskar ertugliflozin den renala återabsorptionen av filtrerat glukos och sänker den renala tröskeln för glukos, och ökar därigenom utsöndringen av glukos via urinen.
Sitagliptin
Sitagliptin tillhör den klass perorala antihyperglykemiska substanser som kallas DPP‑4‑hämmare. Den förbättring av glykemisk kontroll som observerats med sitagliptin torde medieras av ökade nivåer av aktiva inkretinhormoner. Inkretiner, såsom glukagonlik peptid-1 (GLP‑1) och glukosberoende insulinotropisk polypeptid (GIP), frigörs från tarmen under hela dygnet och nivåerna ökar som svar på måltid. Inkretinerna utgör delar av ett endogent system som deltar i den fysiologiska regleringen av glukoshomeostasen. När blodglukosnivåerna är normala eller förhöjda, ökar GLP‑1 och GIP insulinsyntesen samt insulinfrisättningen från betaceller i bukspottkörteln via intracellulära signalsystem som involverar cykliskt adenosinmonofosfat (AMP). Behandling med GLP-1 eller DPP‑4‑hämmare visade i djurmodeller med typ 2‑diabetes förbättring av betacellernas förmåga att svara på glukos och att stimulera syntes och frisättning av insulin. Vid högre insulinnivåer ökar upptaget av glukos i vävnad. GLP‑1 sänker dessutom glukagonsekretionen från alfaceller i bukspottkörteln. Sänkta glukagonkoncentrationer tillsammans med högre insulinnivåer leder till minskad glukosproduktion i levern, vilket resulterar i minskade blodglukosnivåer. Effekten av GLP‑1 och GIP är glukosberoende dvs GLP‑1 stimulerar inte insulinfrisättning och hämmar inte glukagonutsöndring när blodglukoskoncentrationen är låg. Både GLP‑1 och GIP ökar stimulering av insulinfrisättning när glukosnivåerna stiger över det normala. Det normala glukagonsvaret på hypoglykemi försämras inte av GLP‑1. Aktiviteten av GLP‑1 och GIP begränsas av enzymet DPP‑4, vilket snabbt hydrolyserar inkretiner till inaktiva substanser. Sitagliptin förhindrar att inkretiner hydrolyseras av enzymet DPP‑4 och ökar därigenom plasmakoncentrationen av de aktiva formerna av GLP‑1 och GIP. Genom att höja nivåerna av aktiva inkretiner ger sitagliptin en glukosberoende ökning av insulinfrisättning och minskning av glukagonnivåerna. Hos patienter med typ 2‑diabetes med hyperglykemi, leder dessa förändringar av insulin- och glukagonnivåer till lägre HbA1c samt lägre fasteglukos och postprandiell glukoskoncentration. Den glukosberoende mekanismen för sitagliptin skiljer sig från mekanismen för sulfonylurea, vilken ökar insulinfrisättning även då glukosnivåerna är låga och kan leda till hypoglykemi hos patienter med typ 2‑diabetes och hos friska patienter. Sitagliptin är en potent och mycket selektiv hämmare av DPP-4 och hämmar inte de närbesläktade enzymerna DPP‑8 eller DPP‑9 vid terapeutiska koncentrationer.
I en 2‑dagars studie med friska personer ökade sitagliptin i monoterapi koncentrationen av aktivt GLP‑1 medan metformin i monoterapi ökade koncentrationen av aktivt GLP‑1 och totalkoncentrationen av GLP‑1 i likvärdig utsträckning. Samtidig behandling med sitagliptin och metformin gav en additiv effekt på koncentrationen av aktivt GLP‑1. Sitagliptin, men inte metformin, ökade koncentrationen av aktivt GIP.
Farmakodynamisk effekt
Ertugliflozin
Glukosutsöndring i urin och urinvolym
Dosberoende ökningar av den mängd glukos som utsöndras i urinen observerades hos friska personer och hos patienter med typ 2-diabetes mellitus efter engångsdoser och upprepad administrering av ertugliflozin. Dos-responsmodellering tyder på att ertugliflozin 5 mg och 15 mg resulterar i nära maximal glukosutsöndring i urinen (UGE) hos patienter med typ 2-diabetes mellitus och ger 87 % respektive 96 % av maximal hämning.
Klinisk effekt och säkerhet
Glykemisk kontroll
Den glykemiska effekten och säkerheten för ertugliflozin i kombination med sitagliptin har studerats i tre randomiserade, dubbelblinda, placebokontrollerade och aktivt kontrollerade jämförande kliniska multicenterstudier i fas 3 på 1 985 patienter med typ 2-diabetes. I de tre studierna var andelen vita 72,9‑90,4 %, 0‑20,3 % var asiater, 1,9‑4,5 % var svarta och 4,8‑5,4 % var av annan etnicitet. Latinamerikaner utgjorde 15,6‑36,1 % av populationen. Genomsnittsåldern för patienterna i dessa tre studier varierade mellan 55,1 och 59,1 år (intervall 21‑85 år). I de tre studierna var 16,2‑29,9 % av patienterna ≥ 65 år och 2,3‑2,8 % var ≥ 75 år.
Faktoriell studie med ertugliflozin och sitagliptin som tilläggsbehandling till metformin
Totalt 1 233 patienter med typ 2-diabetes deltog i en randomiserad, dubbelblind, 26‑veckors, aktivt kontrollerad multicenterstudie för att utvärdera effekt och säkerhet för ertugliflozin 5 mg eller 15 mg i kombination med sitagliptin 100 mg jämfört med de enskilda komponenterna. Patienter med typ 2-diabetes som inte kontrollerades adekvat med metformin i monoterapi (≥ 1 500 mg/dag) randomiserades till en av fem aktiva behandlingsarmar: ertugliflozin 5 mg eller 15 mg, sitagliptin 100 mg, eller sitagliptin 100 mg i kombination med 5 mg eller 15 mg ertugliflozin givet en gång dagligen som tillägg till bakgrundsbehandling med metformin (se tabell 2).
Tabell 2: Resultat vecka 26 från en faktoriell studie med ertugliflozin och sitagliptin som tilläggsbehandling till metformin jämfört med enbart de enskilda komponenterna*
*N inkluderar alla randomiserade, behandlade patienter som hade minst en mätning av utfallsvariabeln.
† Minstakvadratmedelvärden justerade för tid, utgångsvärde för eGFR och tidsinteraktion per behandling.
‡ p< 0,001 jämfört med kontrollgruppen.
§ p< 0,001 jämfört med motsvarande dos av ertugliflozin eller sitagliptin (baserat på justerade oddskvotjämförelser från en logistisk regressionsmodell med multipel imputation för saknade datavärden).
Ertugliflozin som tilläggsbehandling till metformin och sitagliptin
Totalt 463 patienter med typ 2-diabetes som inte kontrollerades adekvat med metformin (≥ 1 500 mg/dag) och sitagliptin 100 mg en gång dagligen deltog i en randomiserad, dubbelblind, 26‑veckors, placebokontrollerad multicenterstudie för att utvärdera effekt och säkerhet för ertugliflozin. Patienterna randomiserades till ertugliflozin 5 mg, ertugliflozin 15 mg eller placebo givet en gång dagligen som tillägg till fortsatt bakgrundsbehandling med metformin och sitagliptin (se tabell 3).
Tabell 3: Resultat vecka 26 från en studie av ertugliflozin som tillägg till kombinationsbehandling med metformin och sitagliptin*
* N inkluderar alla randomiserade, behandlade patienter som hade minst en mätning av utfallsvariabeln.
† Minstakvadratmedelvärden justerade för tid, tidigare antihyperglykemiska läkemedel, utgångsvärde för eGFR och tidsinteraktion per behandling
‡ p< 0,001 jämfört med placebo.
§ p< 0,001 jämfört med placebo (baserat på justerade oddskvotjämförelser från en logistisk regressionsmodell med multipel imputation för saknade datavärden).
Kombinationsbehandling med ertugliflozin och sitagliptin
Totalt 291 patienter med typ 2-diabetes som inte kontrollerades adekvat med kost och motion deltog i en randomiserad, dubbelblind, placebokontrollerad, 26‑veckors multicenterstudie för att utvärdera effekt och säkerhet för ertugliflozin i kombination med sitagliptin. Dessa patienter, som inte fick någon bakgrundsbehandling med antihyperglykemiska läkemedel, randomiserades till ertugliflozin 5 mg eller ertugliflozin 15 mg i kombination med sitagliptin (100 mg) eller till placebo, en gång dagligen (se tabell 4).
Tabell 4: Resultat vecka 26 från en studie av ertugliflozin i kombination med sitagliptin*
* N inkluderar alla patienter som fick minst en dos studieläkemedel och som hade minst en mätning av utfallsvariabeln.
† Minstakvadratmedelvärden justerade för tid och tidsinteraktion per behandling.
‡ p< 0,001 jämfört med placebo.
§ p< 0,001 jämfört med placebo (baserat på justerade oddskvotjämförelser från en logistisk regressionsmodell med multipel imputation för saknade datavärden).
Fasteplasmaglukos
I tre placebokontrollerade studier resulterade ertugliflozin i statistiskt signifikanta sänkningar av fasteplasmaglukos (FPG). För ertugliflozin 5 mg respektive 15 mg var de placebokorrigerade sänkningarna av FPG 1,92 och 2,44 mmol/l som monoterapi, 1,48 och 2,12 mmol/l som tillägg till metformin, och 1,40 och 1,74 mmol/l som tillägg till metformin och sitagliptin.
Kombinationen av ertugliflozin och sitagliptin resulterade i signifikant större sänkningar av FPG än enbart sitagliptin eller ertugliflozin eller placebo. Kombinationen av ertugliflozin 5 mg eller 15 mg och sitagliptin resulterade i inkrementella FPG-sänkningar på 0,46‑0,65 mmol/l jämfört med enbart ertugliflozin och 1,02‑1,28 mmol/l jämfört med enbart sitagliptin. De placebokorrigerade sänkningarna med ertugliflozin 5 mg eller 15 mg i kombination med sitagliptin var 2,16 respektive 2,56 mmol/l.
Effekt hos patienter med HbA1c ≥ 10 % vid studiestart
I studien på patienter som inte kontrollerades adekvat med metformin och som hade ett utgångsvärde för HbA1c på 7,5‑11 %, gav kombinationen ertugliflozin 5 mg eller 15 mg och sitagliptin sänkningar av HbA1c på 2,35 % respektive 2,66 % i subgruppen av patienter med ett utgångsvärde för HbA1c ≥ 10 % jämfört med 2,10 %, 1,30 % och 1,82 % för enbart ertugliflozin 5 mg, ertugliflozin 15 mg respektive sitagliptin.
Postprandiellt glukos
Använt som monoterapi resulterade ertugliflozin 5 mg respektive 15 mg i statistiskt signifikanta placebokorrigerade sänkningar av 2‑timmars postprandiellt glukos (PPG) på 3,83 och 3,74 mmol/l.
Kombinationen av ertugliflozin 5 mg eller 15 mg med sitagliptin resulterade i statistiskt signifikanta placebokorrigerade sänkningar av 2‑timmars PPG på 3,46 respektive 3,87 mmol/l.
Blodtryck
Tjugosex veckor av behandling med kombinationen ertugliflozin 5 mg eller 15 mg och sitagliptin 100 mg resulterade i statistiskt signifikanta sänkningar av det systoliska blodtrycket (SBP) jämfört med endast sitagliptin (-2,8 och -3,0 mmHg för E5/S100 respektive E15/S100) eller placebo (-4,4 och -6,4 mmHg för E5/S100 respektive E15/S100). När ertugliflozin 5 mg eller 15 mg adderades till bakgrundsbehandling med metformin och sitagliptin resulterade det i statistiskt signifikanta, placebo-korrigerade sänkningar i SBP på 2,9 respektive 3,9 mmHg.
Subgruppsanalys
Hos patienter med typ 2‑diabetes behandlade med ertugliflozin i kombination med sitagliptin var förbättringen i HbA1c likvärdig mellan subgrupper indelade efter ålder, kön, ras och duration av typ 2‑diabetes mellitus.
Kardiovaskulära utfall
Kardiovaskulär utfallsstudie med ertugliflozin (VERTIS CV)
Effekten av ertugliflozin på kardiovaskulär risk hos vuxna patienter med typ 2‑diabetes mellitus och etablerad aterosklerotisk hjärt-kärlsjukdom utvärderades i studien VERTIS CV, en multinationell, randomiserad, dubbelblind, placebokontrollerad, händelsedriven multicenterstudie. Studien jämförde risken att drabbas av en allvarligare negativ hjärt-kärlhändelse (MACE) mellan ertugliflozin och placebo när dessa användes som tilläggsbehandling och användes samtidigt med standardbehandlingar för diabetes och aterosklerotisk hjärt-kärlsjukdom.
Totalt 8 246 patienter randomiserades (placebo N=2 747, ertugliflozin 5 mg N=2 752, ertugliflozin 15 mg N=2 747) och följdes under en mediantid av 3 år. Genomsnittlig ålder var 64 år och cirka 70 % var män.
Samtliga patienter i studien hade otillräckligt kontrollerad typ 2‑diabetes mellitus vid studiestart (HbA1c högre än eller lika med 7 %). Genomsnittlig duration av typ 2‑diabetes mellitus var 13 år, genomsnittligt HbA1c vid studiestart var 8,2 % och genomsnittlig eGFR var 76 ml/min/1,73 m2. Vid studiestart behandlades patienterna med ett (32 %) eller flera (67 %) diabetesläkemedel, däribland metformin (76 %), insulin (47 %), sulfonylurea (41 %), DPP‑4-hämmare (11 %) och GLP‑1‑receptoragonister (3 %).
Nästan alla patienter (99 %) hade etablerad aterosklerotisk hjärt-kärlsjukdom vid studiestart. Cirka 24 % av patienterna hade anamnes på hjärtsvikt. Primärt effektmått i VERTIS CV var tiden till första förekomst av MACE (hjärt-kärldöd, icke-dödlig hjärtinfarkt eller icke-dödlig stroke).
Ertugliflozin var inte sämre än placebo vad gäller MACE (se tabell 5). Resultaten för de enskilda doserna 5 mg och 15 mg överensstämde med resultaten för de sammanslagna dosgrupperna.
Hos patienter behandlade med ertugliflozin var frekvensen av sjukhusinläggning för hjärtsvikt lägre än hos patienter behandlade med placebo (se tabell 5 och figur 1).
Tabell 5: Analys av MACE och dess komponenter samt sjukhusinläggning för hjärtsvikt från studien VERTIS CV*
N=Antal patienter, KI=konfidensintervall.
* Intent-to-treat analysset.
† MACE utvärderades hos patienter som tog minst en dos studieläkemedel och för patienter som avbröt behandlingen med studieläkemedel före studiens slut. Händelser som inträffade mer än 365 dagar efter den sista dosen studieläkemedel censurerades. Övriga effektmått utvärderades för alla randomiserade patienter och händelser som inträffade någon gång efter den första dosen studieläkemedel till den sista dagen för kontakt. Det totala antalet första händelser analyserades för varje effektmått.
‡ För MACE redovisas 95,6 % KI, för övriga effektmått redovisas 95 % KI.
#Ej utvärderat för statistisk signifikans eftersom det inte ingick i den förspecificerade sekventiella testproceduren.
Figur 1: Tid till första förekomst av sjukhusinläggning för hjärtsvikt
Kardiovaskulär utfallsstudie med sitagliptin (TECOS)
TECOS var en randomiserad studie med 14 671 patienter i intention-to treat-populationen med HbA1c ≥ 6,5 till 8,0 % och fastställd kardiovaskulär sjukdom som fick sitagliptin (7 332) 100 mg dagligen (eller 50 mg dagligen om utgångsvärdet för eGFR var ≥ 30 och <50 ml/min/1,73 m2) eller placebo (7 339) i tillägg till sedvanlig behandling för att uppnå regionala målnivåer för HbA1c och kardiovaskulära riskfaktorer. Patienter med eGFR <30 ml/min/1,73 m2 fick inte inkluderas i studien. Studiepopulationen omfattade 2 004 patienter ≥ 75 år och 3 324 patienter med nedsatt njurfunktion (eGFR < 60 ml/min/1,73 m2).
Under studiens lopp var den beräknade totala skillnaden i medelvärdet (SD) för HbA1c mellan sitagliptin och placebogrupperna 0,29% (0,01), 95% KI (-0,32, -0,27); p < 0,001.
Det primära kardiovaskulära effektmåttet var sammansatt av den första förekomsten av kardiovaskulär död, icke-fatal hjärtinfarkt, icke-fatal stroke eller sjukhusinläggning för instabil angina. Sekundära kardiovaskulära effektmått omfattade den första förekomsten av kardiovaskulär död, icke-fatal hjärtinfarkt eller icke-fatal stroke; första förekomst av den enskilda komponenten i den primärt sammansatta; mortalitet oavsett orsak samt sjukhusinlägging för kronisk hjärtsvikt.
Efter en genomsnittlig uppföljning på 3 år, ökade inte sitagliptin risken för större kardiovaskulära händelser eller risken för sjukhusinläggning på grund av hjärtsvikt när tillagt till sedvanlig behandling, jämfört med sedvanlig behandling utan sitagliptin, hos patienter med typ 2‑diabetes (tabell 6).
Tabell 6: Frekvens av sammansatta kardiovaskulära utfall och viktiga sekundära utfall
* Incidens per 100 patientår är beräknad som 100 × (totala antalet patienter med ≥ 1 händelse under passande exponeringsperiod per totalt antal patientår med uppföljning).
† Baserat på en Cox-modell stratifierad för region. För sammansatta effektmått svarar p‑värdet mot ett test av non‑inferiority avsedd att visa att riskkvoten är mindre än 1,3. För alla andra effektmått svarar p‑värdet mot ett test av skillnader i riskfrekvenser.
‡ Analysen av sjukhusinläggning för hjärtsvikt justerades för förekomst av hjärtsvikt vid studiestart.
Pediatrisk population
Europeiska läkemedelsmyndigheten har beviljat undantag från kravet att skicka in studieresultat för Steglujan för alla grupper av den pediatriska populationen för behandling av typ 2-diabetes (information om pediatrisk användning finns i avsnitt 4.2).
Steglujan
Steglujan har visats vara bioekvivalent med samtidig administrering av motsvarande doser av ertugliflozin och sitagliptin i separata tabletter.
Effekterna av en fettrik måltid på farmakokinetiken för ertugliflozin och sitagliptin givet som Steglujantabletter är jämförbara med de som rapporteras för de enskilda tabletterna. Administrering av Steglujan med föda minskade Cmax för ertugliflozin med 29 % och hade ingen betydelsefull effekt på AUCinf för ertugliflozin eller på AUCinf och Cmax för sitagliptin.
Ertugliflozin
Allmän introduktion
Farmakokinetiken för ertugliflozin är likartad hos friska personer och patienter med typ 2-diabetes. Genomsnittlig AUC och Cmax i plasma vid steady state var 398 ng.h/ml respektive 81 ng/ml vid behandling med 5 mg ertugliflozin en gång dagligen och 1 193 ng.h/ml respektive 268 ng/ml vid behandling med 15 mg ertugliflozin en gång dagligen. Steady state uppnås efter 4 till 6 dagars dosering av ertugliflozin en gång dagligen. Ertugliflozin uppvisar inte tidsberoende farmakokinetik och ackumuleras i plasma upp till 10‑40 % efter upprepad dosering.
Absorption
Efter en peroral engångsdos på 5 mg och 15 mg ertugliflozin uppnås maximala plasmakoncentrationer (mediantid till maximal plasmakoncentration [Tmax]) av ertugliflozin 1 timme efter dosering i fasta. Cmax och AUC i plasma för ertugliflozin ökar dosproportionellt efter engångsdoser från 0,5 mg till 300 mg och efter upprepade doser från 1 mg till 100 mg. Den absoluta perorala biotillgängligheten för ertugliflozin efter administrering av en 15 mg-dos är ungefär 100 %.
Administrering av ertugliflozin med en fett- och kaloririk måltid sänker Cmax för ertugliflozin med 29 % och förlänger Tmax med 1 timme men påverkar inte AUC jämfört med dosering i fasta. Den observerade effekten av föda på farmakokinetiken för ertugliflozin anses inte vara kliniskt betydelsefull och ertugliflozin kan administreras med eller utan föda. I kliniska studier i fas 3 gavs ertugliflozin utan hänsyn till måltider.
Ertugliflozin är substrat för transportörerna P‑glykoprotein (P‑gp) och bröstcancerresistent protein (BCRP).
Distribution
Genomsnittlig distributionsvolym för ertugliflozin i steady state efter en intravenös dos är 86 liter. Ertugliflozin binds till plasmaproteiner till 93,6 % oberoende av plasmakoncentrationen av ertugliflozin. Bindningen till plasmaproteiner förändras inte i någon betydelsefull grad hos patienter med nedsatt njur- eller leverfunktion. Kvoten mellan ertugliflozinkoncentrationen i blod och plasma är 0,66.
Ertugliflozin är inte ett substrat för organiska anjonstransportörer (OAT1, OAT3), organiska katjonstransportörer (OCT1, OCT2) eller för organiska anjontransporterande polypeptider (OATP1B1, OATP1B3) in vitro.
Metabolism
Metabolism är den primära clearancemekanismen för ertugliflozin. Den huvudsakliga metabola vägen för ertugliflozin är UGT1A9- och UGT2B7-medierad O-glukuronidering till två glukuronider som är farmakologiskt inaktiva vid kliniskt relevanta koncentrationer. CYP‑medierad (oxidativ) metabolism av ertugliflozin är minimal (12 %).
Eliminering
Genomsnittligt systemiskt plasmaclearance efter en intravenös dos på 100 µg var 11 liter/h. Genomsnittlig halveringstid i eliminationsfasen hos patienter med typ 2-diabetes och normal njurfunktion beräknades vara 17 timmar baserat på den populationsfarmakokinetiska analysen. Efter administrering av en peroral [14C]‑ertugliflozinlösning till friska personer eliminerades cirka 41 % och 50 % av den läkemedelsrelaterade radioaktiviteten i feces respektive urin. Endast 1,5 % av den administrerade dosen utsöndrades som oförändrat ertugliflozin i urin och 34 % utsöndrades som oförändrat ertugliflozin i feces, vilket troligen beror på biliär utsöndring av glukuronidmetaboliter och efterföljande hydrolys till modersubstansen.
Särskilda populationer
Nedsatt njurfunktion
I en klinisk farmakologistudie i fas 1 på patienter med typ 2-diabetes och lätt, måttligt eller kraftigt nedsatt njurfunktion (fastställd med eGFR) var de genomsnittliga ökningarna av ertugliflozins AUC efter en engångsdos på 15 mg ertugliflozin ≤ 1,7‑faldiga jämfört med personer med normal njurfunktion. Dessa ökningar av AUC för ertugliflozin anses inte vara kliniskt relevanta. Det fanns inga kliniskt betydelsefulla skillnader i Cmax-värdena för ertugliflozin i grupperna med olika njurfunktion. Dygnsutsöndringen av glukos via urinen minskade med ökande grad av njurfunktionsnedsättning (se avsnitt 4.4). Plasmaproteinbindningen av ertugliflozin påverkades inte hos patienter med nedsatt njurfunktion.
Nedsatt leverfunktion
Måttlig leverfunktionsnedsättning (baserat på klassificering enligt Child-Pugh) resulterade inte i någon ökad exponering av ertugliflozin. AUC för ertugliflozin minskade med cirka 13 % och Cmax minskade med cirka 21 % jämfört med personer med normal leverfunktion. Denna minskning av exponeringen av ertugliflozin anses inte vara kliniskt betydelsefull. Det finns ingen klinisk erfarenhet från patienter med Child-Pugh klass C (grav) leverfunktionsnedsättning. Plasmaproteinbindningen av ertugliflozin påverkades inte hos patienter med måttligt nedsatt leverfunktion.
Pediatrisk population
Inga studier av ertugliflozin har utförts på pediatriska patienter.
Effekter av ålder, kroppsvikt, kön och etnicitet
Baserat på en populationsfarmakokinetisk analys har ålder, kroppsvikt, kön och etnicitet inte någon kliniskt betydelsefull effekt på farmakokinetiken för ertugliflozin.
Sitagliptin
Absorption
Efter peroral administrering av en 100 mg dos till friska personer, absorberades sitagliptin snabbt och medianvärdet för Tmax uppnåddes efter 1‑4 timmar. Genomsnittlig AUC för sitagliptin i plasma var 8,52 μM•h, Cmax var 950 nM. Den absoluta biotillgängligheten för sitagliptin är ca 87 %. Steglujan kan intas med eller utan föda, eftersom samtidigt intag av fettrik måltid och sitagliptin inte har någon effekt på farmakokinetiken.
AUC för sitagliptin i plasma ökade proportionellt mot dosen. Dosproportionalitet kunde inte fastställas för Cmax och C24tim (Cmax ökade mer och C24tim ökade mindre än vad som kan förväntas vid dosproportionalitet).
Distribution
Efter en intravenös engångsdos av 100 mg sitagliptin till friska personer är den genomsnittliga distributionsvolymen vid steady state ca 198 liter. Den andel sitagliptin som är reversibelt bunden till plasmaproteiner är låg (38 %).
Metabolism
Sitagliptin elimineras huvudsakligen oförändrat i urinen och metaboliseras i liten utsträckning. Cirka 79% av sitagliptin utsöndras oförändrad i urinen.
Efter en peroral dos av [14C]-sitagliptin, utsöndrades ca 16 % av radioaktiviteten som metaboliter av sitagliptin. Spårmängder av sex metaboliter detekterades, men dessa förväntas inte bidra till den DPP‑4‑hämmande aktiviteten av sitagliptin i plasma. In vitro studier tyder på att det enzym som huvudsakligen svarar för den begränsade metabolismen av sitagliptin är CYP3A4 med medverkan av CYP2C8.
In vitro data visade att sitagliptin inte är en hämmare av CYP-isoenzymerna CYP3A4, 2C8, 2C9, 2D6, 1A2, 2C19 eller 2B6 och inducerar inte CYP3A4 och CYP1A2.
Eliminering
Efter en peroral dos av [14C]-sitagliptin till friska personer utsöndrades ca 100% av den administrerade radioaktiviteten i faeces (13%) eller i urinen (87%) inom 1 vecka efter intaget. Efter en 100 mg peroral dos av sitagliptin var den apparenta terminala t½ ca 12,4 timmar. Sitagliptin ackumuleras endast i mindre utsträckning vid upprepad dosering. Renalt clearance var ca 350 ml/min.
Elimineringen av sitagliptin sker huvudsakligen via renal utsöndring och med inslag av aktiv tubulär sekretion. Sitagliptin är substrat för human organisk anjontransportör‑3 (hOAT‑3), vilken kan vara involverad i den renala eliminationen av sitagliptin. Den kliniska betydelsen av hOAT‑3 för transporten av sitagliptin har inte fastställts. Sitagliptin är även ett substrat för P‑glykoprotein, som också kan vara inblandat i medieringen av den renala eliminationen av sitagliptin. Ciklosporin, en hämmare av P‑glykoprotein, minskade emellertid inte renalt clearance av sitagliptin. Sitagliptin utgör inget substrat för OCT2- eller OAT1- eller PEPT1/2-transportörer. In vitro hämmade inte sitagliptin transporten medierad av OAT3 (IC50=160 µM) eller P-glykoprotein (upp till 250 µM) vid terapeutiskt relevanta plasmakoncentrationer. I en klinisk studie hade sitagliptin ringa effekt på digoxinplasmakoncentrationer vilket antyder att sitagliptin kan vara en svag hämmare av P‑glykoprotein.
Läkemedelsinteraktioner
Inga interaktionsstudier har utförts med Steglujan och andra läkemedel, däremot har sådana studier genomförts med de enskilda aktiva substanserna.
Utvärdering av ertugliflozin in vitro
I in vitro‑studier hämmade eller inaktiverade inte ertugliflozin eller ertugliflozinglukuronider CYP 1A2, 2C9, 2C19, 2C8, 2B6, 2D6 eller 3A4 och inducerade inte CYP 1A2, 2B6 eller 3A4. Ertugliflozin eller ertugliflozinglukuronider hämmade inte aktiviteten hos UGT 1A6, 1A9 eller 2B7 in vitro. Ertugliflozin var en svag hämmare av UGT 1A1 och 1A4 in vitro vid högre koncentrationer som inte är kliniskt relevanta. Ertugliflozinglukuroniderna hade ingen effekt på dessa isoformer. Generellt är det osannolikt att ertugliflozin påverkar farmakokinetiken för samtidigt administrerade läkemedel som elimineras av dessa enzymer.
Ertugliflozin eller ertugliflozinglukuronider uppvisar ingen betydelsefull hämning av transportörerna P‑gp, OCT2, OAT1, OAT3 eller av transporterande polypeptiderna OATP1B1 och OATP1B3 vid kliniskt relevanta koncentrationer in vitro. Generellt är det osannolikt att ertugliflozin påverkar farmakokinetiken för samtidigt administrerade läkemedel som är substrat för dessa transportörer.
Utvärdering av sitagliptin in vitro
In vitro‑data tyder på att sitagliptin inte hämmar eller inducerar CYP450‑isoenzym. I kliniska studier uppvisade inte sitagliptin någon betydelsefull förändring i farmakokinetiken för metformin, glyburid, simvastatin, rosiglitazon, warfarin eller orala preventivmedel, vilket bidrar med in vivo‑evidens för en låg benägenhet att orsaka interaktioner med substrat till CYP3A4, CYP2C8, CYP2C9 och OCT. Sitagliptin kan vara en lätt hämmare av P‑gp in vivo.
Transportstudier in vitro visar att sitagliptin är ett substrat för P‑gp och OAT3. OAT3‑medierad transport av sitagliptin hämmades in vitro av probenecid, även om risken för kliniskt betydelsefulla interaktioner anses vara låg. Samtidig administrering av OAT3‑hämmare har inte utvärderats in vivo.
Särskilda patientgrupper
Farmakokinitiken för sitagliptin hos patienter med typ 2‑diabetes var i allmänhet jämförbar med den hos friska personer.
Nedsatt njurfunktion
Metabolism, inkluderande den via CYP3A4, spelar endast en liten roll i clearance av sitagliptin hos patienter med normal njurfunktion. Metabolism kan spela en mer signifikant roll vid eliminering av sitagliptin hos patienter med kraftigt nedsatt njurfunktion eller terminal njursvikt (ESRD).
Jämfört med friska kontrollpersoner hade AUC i plasma för sitagliptin ökat måttligt hos patienter med GFR ≥ 45 till < 90 ml/min. Eftersom ökningar av denna storlek inte är kliniskt relevanta är dosjustering inte nödvändigt för dessa patienter.
Nedsatt leverfunktion
Det behövs ingen dosjustering av sitagliptin till patienter med lätt till måttligt nedsatt leverfunktion. (Child-Pugh score ≤ 9). Det finns ingen klinisk erfarenhet från patienter med allvarligt nedsatt leverfunktion (Child-Pugh score > 9). Eftersom sitagliptin huvudsakligen elimineras renalt, förväntas gravt nedsatt leverfunktion inte påverka sitagliptins farmakokinetik.
Äldre
Det behövs ingen dosjustering baserad på ålder. Ålder hade ingen kliniskt betydelsefull inverkan på farmakokinetiken för sitagliptin baserat på farmakokinetisk populationsanalys av data från fas 1‑ och fas 2‑studier. Äldre personer (65‑80 år) hade ca 19% högre plasmakoncentrationer av sitagliptin jämfört med yngre personer.
Pediatrisk population
Det har inte utförts några studier med sitagliptin hos barn.
Andra patientgrupper
Det behövs ingen dosjustering på grund av kön, ras eller kroppsmasseindex (BMI, Body Mass Index). Dessa variabler hade ingen kliniskt betydelsefull påverkan på sitagliptins farmakokinetik enligt en samanalys av data från flera fas 1‑studier och en populationsfarmakokinetisk analys av data från fas 1‑ och fas 2‑studier.
Gängse studier avseende säkerhetsfarmakologi, akut toxicitet, allmäntoxicitet, gentoxicitet och karcinogenicitet visade inte några särskilda risker för människa.
Ertugliflozin
Allmäntoxicitet
Studier av allmäntoxicitet med repeterade perorala doser utfördes på mus, råtta och hund i upp till 13, 26 respektive 39 veckor. Tecken på toxicitet som ansågs vara negativ observerades generellt vid exponeringar som var större än eller motsvarade 77 gånger den obundna exponeringen (AUC) hos människa vid den maximala rekommenderade humana dosen (MRHD) på 15 mg/dag. Merparten av toxiciteten överensstämde med farmakologi relaterad till uringlukosförlust och inkluderade viktnedgång och minskat kroppsfett, ökad matkonsumtion, diarré, dehydrering, sänkt serumglukos och ökning av andra serumparametrar som återspeglar ökad proteinmetabolism, glukoneogenes och rubbad elektrolytbalans, samt urinförändringar såsom polyuri, glukosuri och kalciuri. Mikroskopiska förändringar relaterade till glukosuri och/eller kalciuri som endast observerades hos gnagare inkluderade dilatation av njurtubuli, hypertrofi av zona glomerulosa i binjurarna (råtta) och ökat trabekulärt ben (råtta). Bortsett från emesis, påvisades ingen skadlig toxicitet hos hund vid 379 gånger den obundna exponeringen (AUC) hos människa vid MRHD på 15 mg/dag.
Karcinogenes
I den tvååriga karcinogenicitetsstudien på mus administrerades ertugliflozin med oral sond i doser på 5, 15 och 40 mg/kg/dag. Inga ertugliflozinrelaterade neoplastiska fynd gjordes vid doser upp till 40 mg/kg/dag (cirka 41 gånger den obundna exponeringen hos människa vid MRHD på 15 mg/dag baserat på AUC). I den tvååriga karcinogenicitetsstudien på råtta administrerades ertugliflozin med oral sond i doser på 1,5, 5 och 15 mg/kg/dag. Ertugliflozinrelaterade neoplastiska fynd inkluderade en ökad incidens av benigna feokromocytomer i binjuremärgen hos hanråtta vid 15 mg/kg/dag. Detta fynd tillskrevs kolhydratmalabsorption som ledde till förändrad kalciumhomeostas och ansågs inte vara relevant för människan. Nivån utan observerad effekt (NOEL) för neoplasi var 5 mg/kg/dag (cirka 16 gånger den obundna exponeringen hos människa vid MRHD på 15 mg/dag).
Mutagenes
Ertugliflozin var inte mutagent eller klastogent med eller utan metabol aktivering i mikrobiell omvänd mutationsanalys, cytogenetisk analys (humana lymfocyter) in vitro och råttmikrokärntest in vivo.
Reproduktionstoxikologi
I studien av fertilitet och embryonal utveckling på råtta gavs han- och honråttor ertugliflozin vid 5, 25 och 250 mg/kg/dag. Inga effekter på fertiliteten observerades vid 250 mg/kg/dag (cirka 386 gånger den obundna exponeringen hos människa vid MRHD på 15 mg/dag baserat på jämförelser av AUC). Ertugliflozin hade ingen negativ påverkan på utvecklingen hos råtta och kanin vid maternella exponeringar som var 239 respektive 1 069 gånger den humana exponeringen vid den högsta kliniska dosen på 15 mg/dag, baserat på AUC. Vid en maternellt toxisk dos till råtta (250 mg/kg/dag) observerades lägre fosterviabilitet och en högre incidens av en visceral missbildning sågs vid en maternell exponering som var 510 gånger den maximala kliniska dosen på 15 mg/dag.
I den pre- och postnatala utvecklingsstudien observerades minskad postnatal tillväxt och utveckling hos råttor som givits ertugliflozin på gestationsdag 6 till laktationsdag 21 i doser på ≥ 100 mg/kg/dag (cirka 239 gånger exponeringen hos människan vid den maximala kliniska dosen på 15 mg/dag, baserat på AUC). Könsmognaden försenades hos båda könen vid 250 mg/kg/dag (cirka 620 gånger MRHD på 15 mg/dag, baserat på AUC).
När ertugliflozin administrerades till unga råttor från 21:a postnatala dagen (PND) till den 90:e PND, en period i den renala utvecklingen som motsvarar den senare delen av andra trimestern och tredje trimestern av human graviditet, sågs ökad njurvikt, dilatation av njurbäcken och njurtubuli och mineralisering av njurtubuli vid en exponering som var 13 gånger den maximala kliniska dosen på 15 mg/dag, baserat på AUC. Effekterna på skelett (kortare femurlängd, ökat trabekulärt ben i femur) liksom effekter i form av försenad pubertet observerades vid exponeringar 817 gånger MRHD på 15 mg/dag baserat på AUC. Effekterna på njurar och skelett hade inte reverserats fullt ut efter 1 månads återhämtningstid.
Sitagliptin
Njur- och levertoxicitet observerades hos gnagare vid en systemisk exponeringsnivå som var 58 gånger den humana exponeringen, medan det däremot inte sågs någon toxiskt effekt vid exponering som var 19 gånger högre än den humana nivån. Framtandsabnormaliteter observerades hos råttor vid exponeringsnivåer som var 67 gånger den kliniska exponeringen; exponeringsnivån där ingen effekt sågs för denna abnormalitet är 58 gånger enligt 14‑veckorsstudien på råtta. Dessa fynds betydelse för människa är inte känd. Övergående behandlingsrelaterade fysiska tecken, av vilka en del tyder på neural toxicitet, såsom andning med öppen mun, salivavsöndring, vit skummande emes, ataxi, skakningar, minskad aktivitet och/eller krökt kroppshållning, observerades hos hundar vid exponeringsnivåer som var ca 23 gånger den kliniska nivån. Dessutom observerades histologiskt även mycket lätt till lätt degeneration av skelettmuskulaturen vid doser som resulterade i systemiska exponeringsnivåer som var ca 23 gånger den humana exponeringsnivån. För dessa fynd var exponeringsnivån där ingen sådan effekt sågs 6 gånger den kliniska exponeringsnivån.
Sitagliptin har inte visats vara genotoxiskt i prekliniska studier. Sitagliptin var inte karcinogent hos möss. Hos råttor observerades en ökad förekomst av adenom och karcinom i levern vid systemiska exponeringsnivåer som var 58 gånger den humana exponeringen. Eftersom levertoxicitet har visats korrelera med induktion av hepatisk neoplasi hos råttor, var den ökade förekomsten av levertumörer hos råtta troligtvis sekundär till kronisk levertoxicitet vid denna höga dos. På grund av den höga säkerhetsmarginalen (ingen effekt sågs vid 19 gånger klinisk exponeringsnivå), bedöms inte dessa neoplastiska förändringar vara relevanta för människa.
Det observerades ingen negativ effekt på fertiliteten hos han- och honråttor som fick sitagliptin före och under parningsperioden.
I en pre-/postnatal utvecklingsstudie som utfördes på råttor visade sitagliptin inga negativa effekter.
Reproduktionstoxikologiska studier på råtta visade på en lätt behandlingsrelaterad ökning i förekomst av fetal revbensmissbildning (frånvarande, hypoplastiska och vågformade revben) hos avkomman vid systemiska exponeringsnivåer som var mer än 29 gånger den humana exponeringen. Maternell toxicitet observerades hos kaniner vid mer än 29 gånger den humana exponeringsnivån. På grund av den höga säkerhetsmarginalen, tyder dessa fynd inte på någon relevant risk för human fortplantning. Sitagliptin utsöndras i avsevärda mängder i mjölken hos digivande råttor (mjölk/plasma-förhållande: 4:1).
Gul järnoxid (E172)
Svart järnoxid (E172)
Karnaubavax (E903)
Ej relevant.
2 år
Inga särskilda förvaringsanvisningar.
Alu/PVC/PA/Alu-blister
Förpackningar med 14, 28, 30, 84, 90 och 98 filmdragerade tabletter i icke-perforerade blister.
Förpackningar med 30x1 filmdragerade tabletter i perforerade endosblister.
Eventuellt kommer inte alla förpackningsstorlekar att marknadsföras.
Ej använt läkemedel och avfall ska kasseras enligt gällande anvisningar.
Tablettkärna
Mikrokristallin cellulosa (E460)
Kalciumvätefosfat (vattenfritt)
Kroskarmellosnatrium
Natriumstearylfumarat (E487)
Magnesiumstearat (E470b)
Propylgallat
Filmdragering
Hypromellos (E464)
Hydroxipropylcellulosa (E463)
Titandioxid (E171)
Röd järnoxid (E172)
Gul järnoxid (E172)
Svart järnoxid (E172)
Karnaubavax (E903)
Ej relevant.
2 år
Inga särskilda förvaringsanvisningar.
Alu/PVC/PA/Alu-blister
Förpackningar med 14, 28, 30, 84, 90 och 98 filmdragerade tabletter i icke-perforerade blister.
Förpackningar med 30x1 filmdragerade tabletter i perforerade endosblister.
Eventuellt kommer inte alla förpackningsstorlekar att marknadsföras.
Ej använt läkemedel och avfall ska kasseras enligt gällande anvisningar.
EU/1/18/1266/010
EU/1/18/1266/011
EU/1/18/1266/012
EU/1/18/1266/014
Steglujan 5 mg/100 mg filmdragerade tabletter
EU/1/18/1266/001
EU/1/18/1266/002
EU/1/18/1266/003
EU/1/18/1266/004
EU/1/18/1266/005
EU/1/18/1266/006
EU/1/18/1266/013
Steglujan 15 mg/100 mg filmdragerade tabletter
EU/1/18/1266/007
EU/1/18/1266/008
EU/1/18/1266/009
EU/1/18/1266/010
EU/1/18/1266/011
EU/1/18/1266/012
EU/1/18/1266/014
Produktresumén är företagets information om läkemedlet riktat till förskrivare och personal inom sjukvård och apotek. Dokumentet är godkänt av Läkemedelsverket eller den europeiska läkemedelsmyndigheten EMA i samband med att läkemedlet godkänns för marknadsföring.