Segluromet 2,5 mg/850 mg filmdragerade tabletter
Segluromet 2,5 mg/1 000 mg filmdragerade tabletter
Segluromet 7,5 mg/850 mg filmdragerade tabletter
Segluromet 7,5 mg/1 000 mg filmdragerade tabletter
Merck Sharp & Dohme B.V. Waarderweg 39 2031 BN Haarlem Nederländerna
Första godkännandet: 23 mars 2018
Förnyat godkännande: 09 november 2022
11/2025
Ytterligare information om detta läkemedel finns på Europeiska läkemedelsmyndighetens webbplats https://www.ema.europa.eu.
Segluromet 2,5 mg/850 mg filmdragerade tabletter
Varje tablett innehåller ertugliflozin‑L‑pyroglutaminsyra motsvarande 2,5 mg ertugliflozin och 850 mg metforminhydroklorid.
Segluromet 2,5 mg/1 000 mg filmdragerade tabletter
Varje tablett innehåller ertugliflozin‑L‑pyroglutaminsyra motsvarande 2,5 mg ertugliflozin och 1 000 mg metforminhydroklorid.
Segluromet 7,5 mg/850 mg filmdragerade tabletter
Varje tablett innehåller ertugliflozin‑L‑pyroglutaminsyra motsvarande 7,5 mg ertugliflozin och 850 mg metforminhydroklorid.
Segluromet 7,5 mg/1 000 mg filmdragerade tabletter
Varje tablett innehåller ertugliflozin‑L‑pyroglutaminsyra motsvarande 7,5 mg ertugliflozin och 1 000 mg metforminhydroklorid.
För fullständig förteckning över hjälpämnen, se avsnitt 6.1.
Filmdragerad tablett (tablett)
Segluromet 2,5 mg/850 mg filmdragerade tabletter
Beige, 18 x 10 mm, oval, filmdragerad tablett präglad med ”2.5/850” på ena sidan och slät på andra sidan.
Segluromet 2,5 mg/1 000 mg filmdragerade tabletter
Rosa, 19,1 x 10,6 mm, oval, filmdragerad tablett präglad med ”2.5/1000” på ena sidan och slät på andra sidan.
Segluromet 7,5 mg/850 mg filmdragerade tabletter
Mörkbrun, 18 x 10 mm, oval, filmdragerad tablett präglad med ”7.5/850” på ena sidan och slät på andra sidan.
Segluromet 7,5 mg/1 000 mg filmdragerade tabletter
Röd, 19,1 x 10,6 mm, oval, filmdragerad tablett präglad med ”7.5/1000” på ena sidan och slät på andra sidan.
Hos patienter med volymförlust rekommenderas korrigering av detta tillstånd innan behandling med Segluromet påbörjas (se avsnitt 4.4).
För patienter med otillräcklig kontroll med metformin (ensamt eller i kombination med andra diabetesläkemedel)
Rekommenderad startdos av Segluromet ska ge en ertugliflozindos motsvarande 2,5 mg två gånger dagligen (5 mg daglig dos) och dosen metformin ska motsvara den dos som redan tas. Hos patienter som tolererar en total daglig dos av ertugliflozin 5 mg kan dosen ökas till en total daglig dos av ertugliflozin på 15 mg om ytterligare glykemisk kontroll behövs.
För patienter som byter från separata tabletter med ertugliflozin och metformin
Patienter som byter från separata tabletter med ertugliflozin (total daglig dos på 5 mg eller 15 mg) och metformin till Segluromet ska få samma dagliga dos ertugliflozin och metformin som redan tas eller den närmaste dos av metformin som är terapeutiskt lämplig.
När Segluromet används i kombination med insulin eller en insulinsekretagog, kan dosen insulin eller insulinsekretagogen behöva sänkas för att minska risken för hypoglykemi (se avsnitt 4.4, 4.5 och 4.8).
Missad dos
Vid missad dos ska dosen tas så snart patienten kommer ihåg. Patienten ska inte ta två doser av Segluromet samtidigt.
Särskilda populationer
Nedsatt njurfunktion
GFR ska bedömas innan behandling med metformininnehållande läkemedel inleds och minst en gång årligen därefter. Hos patienter med ökad risk för ytterligare försämring av njurfunktionen och hos äldre ska njurfunktionen bedömas oftare, t.ex. var 3:e‑6:e månad (se avsnitt 4.4).
Initiering av detta läkemedel rekommenderas inte till patienter med GFR som understiger 45
ml/min (se avsnitt 4.4).
Eftersom den glykemiska sänkningseffekten av ertugliflozin är nedsatt hos patienter med måttligt nedsatt njurfunktion och sannolikt saknas hos patienter med kraftigt nedsatt njurfunktion ska tillägg av andra antihyperglykemiska läkemedel övervägas om ytterligare glykemisk kontroll behövs (se avsnitt 4.4).
Den maximala dygnsdosen av metformin ska helst delas upp i 2‑3 dagliga doser. Faktorer som kan öka risken för laktatacidos (se avsnitt 4.4) ska bedömas innan behandlingsstart med metformin övervägs hos patienter med GFR < 60 ml/min.
Om ingen lämplig styrka av Segluromet finns tillgänglig ska enskilda monokomponenter användas istället för den fasta doskombinationen.
Nedsatt leverfunktion
Segluromet är kontraindicerat hos patienter med nedsatt leverfunktion (se avsnitt 4.3 och 4.4).
Äldre
Nedsatt njurfunktion är vanligare bland äldre patienter. Segluromet ska användas med försiktighet till äldre eftersom avvikelser i njurfunktionen kan uppstå efter insättning av ertugliflozin och det är känt att metformin i hög grad utsöndras via njurarna. Regelbunden bedömning av njurfunktionen är nödvändigt för att förhindra metformin-associerad laktatacidos, särskilt hos äldre patienter (se avsnitt 4.4). Hänsyn ska tas till njurfunktionen och risken för volymförlust (se avsnitt 4.4 och 4.8).
Pediatrisk population
Säkerhet och effekt för Segluromet för barn under 18 år har inte fastställts. Inga data finns tillgängliga.
Administreringssätt
Segluromet ska tas peroralt två gånger dagligen i samband med måltid för att minska de gastrointestinala biverkningar som förknippas med metformin. Vid sväljsvårigheter kan tabletten delas eller krossas eftersom det är en beredningsform med omedelbar frisättning.
Överkänslighet mot de aktiva substanserna eller mot något hjälpämne som anges i avsnitt 6.1
alla typer av akut metabolisk acidos (såsom laktatacidos, diabetesketoacidos [DKA])
diabetisk prekoma
kraftigt nedsatt njurfunktion (GFR under 30 ml/min), terminal njursvikt (ESRD, end-stage renal disease) och patienter som står på dialys (se avsnitt 4.4)
akuta tillstånd som eventuellt kan påverka njurfunktionen, såsom:
dehydrering
svår infektion
chock
akut eller kronisk sjukdom som kan orsaka vävnadshypoxi, såsom:
hjärt- eller andningssvikt
nyligen genomgången hjärtinfarkt
chock
nedsatt leverfunktion
akut alkoholförgiftning, alkoholism.
Allmänt
Segluromet ska inte användas till patienter med typ 1‑diabetes mellitus.
Det kan öka risken för diabetesketoacidos (DKA) hos dessa patienter.
Laktatacidos
Laktatacidos, en mycket sällsynt men allvarlig metabolisk komplikation, uppträder ofta vid akut försämring av njurfunktionen, hjärt-lungsjukdom eller sepsis. Metformin ackumuleras vid akut försämring av njurfunktionen, vilket ökar risken för laktatacidos.
Vid dehydrering (kraftig kräkning, diarré, feber eller minskat vätskeintag) ska metforminbehandlingen tillfälligt avbrytas och kontakt med sjukvården rekommenderas.
Läkemedel som kan ge akut nedsättning av njurfunktionen (t.ex. blodtryckssänkande läkemedel, diuretika och icke-steroida antiinflammatoriska läkemedel [NSAID]) ska sättas in med försiktighet hos patienter som behandlas med metformin. Andra riskfaktorer för laktatacidos är högt alkoholintag, nedsatt leverfunktion, diabetes som inte är under kontroll, ketos, långvarig fasta och alla tillstånd som är förknippade med hypoxi, liksom samtidig användning av läkemedel som kan orsaka laktatacidos (se avsnitt 4.3 och 4.5).
Patienter och/eller vårdgivare ska informeras om risken för laktatacidos. Laktatacidos kännetecknas av acidotisk dyspné, buksmärta, muskelkramper, asteni och hypotermi följt av koma. Vid misstänkta symtom ska patienten sluta ta metformin och omedelbart söka vård. Diagnostiska laboratoriefynd är sänkt pH i blodet (< 7,35), förhöjd laktathalt i plasma (> 5 mmol/l), ett ökat anjongap och en ökad laktat/pyruvatkvot.
Patienter med kända eller misstänkta mitokondriella sjukdomar:
Metformin rekommenderas inte till patienter med kända mitokondriella sjukdomar, såsom mitokondriell encefalopati med laktacidos och strokeliknande episoder (MELAS‑syndrom) och maternellt nedärvd diabetes och dövhet (MIDD), på grund av risken för exacerbation av laktacidos och neurologiska komplikationer som kan förvärra sjukdomen.
Vid tecken och symtom som tyder på MELAS‑syndrom eller MIDD efter intag av metformin ska behandlingen med metformin sättas ut omedelbart och patienten utvärderas diagnostiskt utan dröjsmål.
Administrering av joderade kontrastmedel
Intravaskulär administrering av joderade kontrastmedel kan orsaka kontrastinducerad nefropati som leder till ackumulering av metformin och ökad risk för laktatacidos. Segluromet ska sättas ut före eller vid tidpunkten för bilddiagnostiken och ska inte återinsättas förrän minst 48 timmar efteråt, förutsatt att njurfunktionen har utvärderats och visats vara stabil (se avsnitt 4.2 och 4.5).
Nedsatt njurfunktion
Effekten av ertugliflozin på glykemisk kontroll är beroende av njurfunktionen och den glykemiska effekten är reducerad hos patienter som har måttligt nedsatt njurfunktion och saknas sannolikt helt hos patienter med kraftigt nedsatt njurfunktion (se avsnitt 4.2).
Behandling med Segluromet ska inte påbörjas hos patienter med GFR under 45 ml/min. Segluromet ska sättas ut när GFR konstant understiger 45 ml/min.
GFR ska bedömas innan behandling inleds och regelbundet därefter (se avsnitt 4.2). Tätare kontroll av njurfunktionen rekommenderas hos patienter med GFR under 60 ml/min. Metformin är kontraindicerat hos patienter med GFR < 30 ml/min och ska avbrytas tillfälligt vid tillstånd som förändrar njurfunktionen (se avsnitt 4.3).
Kirurgi
Segluromet måste sättas ut vid kirurgiska ingrepp under narkos, spinalanestesi eller epiduralanestesi. Behandlingen får inte återinsättas förrän tidigast 48 timmar efter ett kirurgiskt ingrepp eller efter återupptagen oral nutrition, förutsatt att njurfunktionen har utvärderats och visats vara stabil.
Hypotoni/volymförlust
Ertugliflozin orsakar osmotisk diures, som kan leda till minskad intravaskulär volym. Därför kan symtomatisk hypotoni förekomma efter påbörjad behandling med Segluromet (se avsnitt 4.8), särskilt hos patienter med nedsatt njurfunktion (eGFR understiger 60 ml/min/1,73 m2 eller kreatininclearence (CrCl) under 60 ml/min), äldre patienter (≥ 65 år), patienter som står på diuretika eller patienter som står på blodtryckssänkande behandling med hypotoni i anamnesen. Innan behandling med Segluromet påbörjas ska volymstatus utvärderas och korrigeras vid behov. Patienten ska kontrolleras för tecken och symtom efter behandlingsstart.
På grund av sin verkningsmekanism inducerar ertugliflozin osmotisk diures, ökar serumkreatinin och sänker eGFR. Ökningarna av serumkreatinin och sänkningarna av eGFR var större hos patienter med måttligt nedsatt njurfunktion (se avsnitt 4.8).
Vid tillstånd som kan leda till vätskeförlust (t.ex. magtarmsjukdom) rekommenderas noggrann övervakning av volymstatus (t.ex. kroppslig undersökning, blodtrycksmätning, laboratorietester inklusive hematokrit) och elektrolyter för patienter som får ertugliflozin. Tillfälligt avbrott av behandlingen bör övervägas till dess att vätskeförlusten har korrigerats.
Diabetesketoacidos
Sällsynta fall av DKA, inklusive livshotande och dödliga fall, har rapporterats i kliniska studier och efter godkännandet för försäljning hos patienter som behandlats med natrium-glukos-kotransportör‑2-(SGLT2)-hämmare, inklusive ertugliflozin. I ett antal fall var tillståndet atypiskt med endast måttligt förhöjda blodglukosvärden, under 14 mmol/l (250 mg/dl). Det är inte känt om det är större sannolikhet att DKA uppträder vid högre doser av ertugliflozin.
Risken för DKA måste beaktas i händelse av icke-specifika symtom såsom illamående, kräkningar, anorexi, buksmärtor, överdriven törst, andningsbesvär, förvirring, ovanlig trötthet eller sömnighet. Patienten ska utvärderas för ketoacidos omedelbart om dessa symtom uppträder, oavsett blodglukosnivå.
Hos patienter där DKA misstänkts eller är diagnosticerat ska behandlingen med Segluromet avbrytas omedelbart.
Behandlingen bör avbrytas hos patienter som lagts in på sjukhus för större kirurgiska ingrepp eller akuta allvarliga sjukdomar. Provtagning av ketoner rekommenderas för dessa patienter. Mätning av ketonnivåer i blodet istället för urinen är att föredra. Behandling med Segluromet kan återupptas när ketonvärdena är normala och patientens tillstånd har stabiliserats.
Innan behandling med Segluromet påbörjas ska faktorer i patientens anamnes som kan predisponera för ketoacidos beaktas.
Patienter som kan ha förhöjd risk för DKA innefattar patienter med en låg reserv av funktionella betaceller (t.ex. patienter med typ 2-diabetes med lågt C‑peptidvärde eller latent autoimmun diabetes hos vuxna (LADA) eller patienter med pankreatit i anamnesen), patienter med tillstånd som medför begränsat födointag eller allvarlig dehydrering, patienter där insulindosen minskas samt patienter med ökat insulinbehov till följd av akut sjukdom, kirurgiskt ingrepp eller alkoholmissbruk. SGLT2‑hämmare bör användas med försiktighet hos dessa patienter.
Återinsättning av SGLT2‑hämmare rekommenderas inte hos patienter som tidigare har drabbats av DKA under behandling med SGLT2‑hämmare, om inte en annan tydlig utlösande faktor har identifierats och åtgärdats.
Säkerhet och effekt för Segluromet för patienter med typ 1‑diabetes har inte fastställts och Segluromet ska inte användas för behandling av patienter med typ 1‑diabetes. Begränsade data från kliniska studier tyder på att DKA förekommer med frekvensen ”vanlig” när patienter med typ 1‑diabetes behandlas med SGLT2‑hämmare.
Amputation av nedre extremiteter
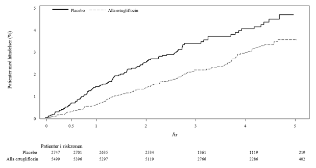
I en långtidsstudie av kardiovaskulära utfall, VERTIS CV (eValuation of ERTugliflozin effIcacy and Safety, CardioVascular), på patienter med typ 2‑diabetes mellitus och etablerad aterosklerotisk hjärt-kärlsjukdom, rapporterades icke-traumatiska amputationer av nedre extremiteter (främst tår) med en incidens på 2 % (0,57 patienter med händelser per 100 patientår), 2,1 % (0,60 patienter med händelser per 100 patientår) och 1,6 % (0,47 patienter med händelser per 100 patientår) för ertugliflozin 5 mg, ertugliflozin 15 mg respektive placebo. Frekvensen av händelser med amputation av nedre extremiteter var 0,75 och 0,96 jämfört med 0,74 händelser per 100 patientår för ertugliflozin 5 mg och ertugliflozin 15 mg jämfört med placebo. En ökning av antalet fall av amputationer av de nedre extremiteterna (främst tår) har observerats i kliniska långtidsstudier av typ 2 diabetes mellitus med SGLT2‑hämmare. Det är inte känt om detta utgör en klasseffekt. Det är viktigt att informera patienter med diabetes om rutiner för förebyggande fotvård.
Hypoglykemi vid samtidig användning av insulin och insulinsekretagoger
Ertugliflozin kan öka risken för hypoglykemi när det används i kombination med insulin och/eller en insulinsekretagog, som är kända för att orsaka hypoglykemi (se avsnitt 4.8). Vid användning i kombination med Segluromet kan därför insulin- eller insulinsekretagogdosen behöva sänkas för att minimera risken för hypoglykemi (se avsnitt 4.2 och 4.5).
Genitala svampinfektioner
Ertugliflozin ökar risken för genitala svampinfektioner. I studier med SGLT2‑hämmare ökade sannolikheten att utveckla genitala svampinfektioner hos patienter som tidigare haft genitala svampinfektioner samt hos män som inte är omskurna (se avsnitt 4.8). Patienterna ska monitoreras och behandlas efter behov.
Urinvägsinfektioner
Utsöndring av glukos via urin kan vara associerat med en ökad risk för urinvägsinfektioner (se avsnitt 4.8). Tillfällig utsättning av ertugliflozin ska övervägas vid behandling av pylonefrit eller urosepsis.
Nekrotiserande fasciit i perineum (Fourniers gangrän)
Fall av nekrotiserande fasciit i perineum (s.k. Fourniers gangrän) har rapporterats hos kvinnliga och manliga patienter som tagit SGLT2-hämmare efter att läkemedlet godkänts för försäljning. Detta är en sällsynt men allvarlig och potentiellt livshotande biverkning som kräver ett kirurgiskt akutingrepp och antibiotikabehandling.
Patienter ska rådas att söka läkarhjälp om de upplever en kombination av symtom som smärta, ömhet, erytem eller svullnad i genital- eller perinealområdet, tillsammans med feber eller sjukdomskänsla. Observera att urogenital infektion eller perineal abscess kan föregå nekrotiserande fasciit. Vid misstanke om Fourniers gangrän ska Segluromet sättas ut och omedelbar behandling (såsom antibiotika och kirurgisk debridering) sättas in.
Äldre patienter
Äldre patienter kan löpa ökad risk för volymförlust och njursvikt. Patienter som var 65 år eller äldre och som behandlades med ertugliflozin hade en högre incidens av biverkningar relaterade till volymförlust än yngre patienter. Risken för metforminassocierad laktatacidos ökar med patientens ålder eftersom nedsatt lever-, njur- och hjärtfunktion är vanligare hos äldre än hos yngre patienter. I en långtidsstudie av kardiovaskulära utfall, VERTIS CV, var säkerhet och effekt likartade för patienter i åldern 65 år eller äldre jämfört med patienter under 65 år (se avsnitt 4.2 och 4.8). Njurfunktionen ska utvärderas med tätare mellanrum hos äldre patienter.
Hjärtsvikt
Det finns ingen erfarenhet från kliniska studier med ertugliflozin i New York Heart Association (NYHA) klass IV.
Laboratorieanalyser av urin
På grund av ertugliflozins verkningsmekanism kommer urinen från patienter som tar Segluromet att vara positiv för glukos. Alternativa metoder att övervaka den glykemiska kontrollen ska användas.
Interferens med analys av 1,5-anhydroglucitol (1,5 AG)-analys
Övervakning av den glykemiska kontrollen med 1,5 AG-analys rekommenderas inte eftersom mätningar av 1,5 AG inte är tillförlitliga för bedömning av den glykemiska kontrollen hos patienter som tar läkemedel som innehåller en SGLT2‑hämmare. Alternativa metoder att övervaka den glykemiska kontrollen ska användas.
Vitamin B12-brist
Metformin kan minska serumnivåerna av vitamin-B12. Risken för låga vitamin B12-nivåer ökar med ökande metformindos, behandlingslängd och/eller hos patienter med riskfaktorer som är kända för att orsaka vitamin B12-brist. Vid misstanke om vitamin B12-brist (såsom anemi eller neuropati) ska serumnivåer av vitamin B12 övervakas. Regelbunden övervakning av vitamin B12-nivåer kan vara nödvändig hos patienter med riskfaktorer för vitamin B12-brist. Behandling med metformin ska fortsätta så länge det tolereras och inte är kontraindicerat och lämplig korrigerande behandling för vitamin B12-brist tillhandahålls i enlighet med gällande kliniska riktlinjer.
Natrium
Detta läkemedel innehåller mindre än 1 mmol (23 mg) natrium per tablett, dvs är näst intill ”natriumfritt”.
Farmakokinetiska interaktionsstudier med Segluromet har inte utförts. Sådana studier har däremot utförts med ertugliflozin och metformin, de enskilda aktiva substanserna i Segluromet.
Ertugliflozin
Farmakodynamiska interaktioner
Diuretika
Ertugliflozin kan förstärka den vätskedrivande effekten hos diuretika och kan öka risken för dehydrering och hypotoni (se avsnitt 4.4).
Insulin och insulinsekretagoger
Insulin och insulinsekretagoger, som sulfonylurea, kan orsaka hypoglykemi. Ertugliflozin kan öka risken för hypoglykemi när det används i kombination med insulin och/eller en insulinsekretagog. Vid användning i kombination med Segluromet kan därför insulin- eller insulinsekretagogdosen behöva sänkas för att minska risken för hypoglykemi (se avsnitt 4.2, 4.4 och 4.8).
Farmakokinetiska interaktioner
Andra läkemedels effekter på ertugliflozins farmakokinetik
Metabolism via UGT1A9 och UGT2B7 är den primära clearancemekanismen för ertugliflozin.
Interaktionsstudier utförda på friska personer, där engångsdoser använts, tyder på att farmakokinetiken för ertugliflozin inte förändras av sitagliptin, metformin, glimepirid eller simvastatin.
Upprepade doser av rifampicin (en inducerare av uridin-5’-difosfo-glukuronosyltransferas [UGT] och cytokrom P450 [CYP]) minskar arean under koncentration-tid-kurvan (AUC) och maximal plasmakoncentration (Cmax) för ertugliflozin med 39 % respektive 15 %. Denna minskning av exponeringen anses inte vara kliniskt relevant och därför rekommenderas ingen dosjustering. En kliniskt relevant effekt av andra inducerare (t.ex. karbamazepin, fenytoin, fenobarbital) förväntas inte.
Effekten av UGT-hämmare på farmakokinetiken hos ertugliflozin har inte studerats kliniskt, men en potentiell ökning i exponering av ertugliflozin på grund av UGT-hämmare anses inte vara kliniskt relevant.
Ertugliflozins effekter på andra läkemedels farmakokinetik
Interaktionsstudier utförda på friska frivilliga tyder på att ertugliflozin inte har någon kliniskt relevant effekt på farmakokinetiken för sitagliptin, metformin och glimepirid.
Samtidig administrering av simvastatin och ertugliflozin resulterade i en ökning av AUC och Cmax för simvastatin med 24 % respektive 19 % och en ökning av AUC och Cmax för simvastatinsyra med 30 % respektive 16 %. Mekanismen bakom de små ökningarna av simvastatin och simvastatinsyra är okänd och medieras inte genom att ertugliflozin hämmar organisk anjontransporterande polypeptid (OATP). Dessa ökningar anses inte vara kliniskt betydelsefulla.
Metformin
Samtidig användning rekommenderas inte.
Alkohol
Alkoholintoxikation är förknippad med en ökad risk för laktatacidos, särskilt vid fasta, undernäring och nedsatt leverfunktion.
Joderade kontrastmedel
Segluromet måste sättas ut före eller vid tidpunkten för bilddiagnostisken och inte återinsättas förrän minst 48 timmar efteråt, förutsatt att njurfunktionen har utvärderats och visats vara stabil (se avsnitt 4.2 och 4.4).
Kombinationer som kräver försiktighet vid användning
Vissa läkemedel kan försämra njurfunktionen, vilket kan öka risken för laktatacidos, t.ex. NSAID-preparat, inklusive selektiva cyklooxygenas-2-hämmare (COX-2-hämmare), ACE-hämmare, angiotensin II-receptorantagonister och diuretika, i synnerhet loopdiuretika. När sådana läkemedel sätts in eller används i kombination med metformin krävs noggrann övervakning av njurfunktionen.
Organiska katjonstransportörer (OCT)
Metformin är ett substrat för både transportör OCT1 och OCT2.
Samtidig administrering av metformin med:
OCT1-hämmare (såsom verapamil) kan minska effekten av metformin.
OCT1-inducerare (såsom rifampicin) kan öka gastrointestinal absorption och effekten av metformin.
OCT2-hämmare (såsom cimetidin, dolutegravir, ranolazin, trimetoprim, vandetanib, isavukonazol) kan minska den renala utsöndringen av metformin och därmed leda till ökade plasmakoncentrationer av metformin.
Hämmare av både OCT1 and OCT2 (såsom crizotinib, olaparib) kan förändra effekten och den renala utsöndringen av metformin.
Försiktighet rekommenderas därför, speciellt hos patienter med nedsatt njurfunktion, när dessa läkemedel ges samtidigt med metformin, eftersom plasmakoncentrationen av metformin kan öka. Vid behov kan dosjustering av metformin övervägas eftersom OCT-hämmare/inducerare kan förändra effekten av metformin.
Glukokortikoider (givet systemiskt eller som lokal administrering), beta-2-agonister och diuretika har inneboende hypoglykemisk aktivitet. Patienten ska informeras och blodglukosvärdet kontrolleras oftare, särskilt i början av behandlingen med denna typ av läkemedel. Om nödvändigt ska dosen av det antihyperglykemiska läkemedlet justeras under behandling med det andra läkemedlet och vid utsättande.
Graviditet
Det finns inga data från användningen av Segluromet i gravida kvinnor.
En begränsad mängd data tyder på att användning av metformin hos gravida kvinnor inte är förenad med en ökad risk för kongenitala malformationer. Djurstudier med metformin har inte visat några skadliga effekter med avseende på graviditet, embryo- eller fosterutveckling, födande eller postnatal utveckling (se avsnitt 5.3).
Det finns begränsad data från användning av ertugliflozin i gravida kvinnor. Baserat på resultat från djurstudier kan ertugliflozin påverka njurarnas utveckling och mognad (se avsnitt 5.3). Därför ska Segluromet inte användas under graviditet.
Amning
Det finns ingen information om förekomsten av ertugliflozin i bröstmjölk, effekter på ammade spädbarn eller effekter på mjölkproduktionen. Metformin utsöndras i bröstmjölk. Ertugliflozin och metformin förekommer i mjölken hos digivande råttor. Ertugliflozin orsakade effekter hos avkomman från digivande råttor.
Farmakologiskt medierade effekter observerades hos unga råttor behandlade med ertugliflozin (se avsnitt 5.3). Eftersom människans njurar mognar in utero och under de två första levnadsåren, då exponering via amning kan förekomma, kan en risk för nyfödda/spädbarn inte uteslutas. Segluromet ska inte användas under amning.
Fertilitet
Effekten av Segluromet på fertiliteten hos människa har inte studerats. Inga effekter av ertugliflozin eller metformin observerades i djurstudier (se avsnitt 5.3).
Segluromet har ingen eller försumbar effekt på förmågan att framföra fordon och använda maskiner. Patienterna ska informeras om risken för hypoglykemi när Segluromet används i kombination med insulin eller en insulinsekretagog och om den förhöjda risken för biverkningar relaterade till volymförlust, t.ex. postural yrsel (se avsnitt 4.2, 4.4 och 4.8).
Sammanfattning av säkerhetsprofilen
Ertugliflozin och metformin
Säkerheten vid samtidig administrering av ertugliflozin och metformin har utvärderats med hjälp av sammanslagna data från 1 083 patienter med typ 2-diabetes mellitus som behandlats i 26 veckor i två placebokontrollerade studier: ertugliflozin som tilläggsbehandling till metformin och ertugliflozin som tilläggsbehandling till sitagliptin och metformin (se avsnitt 5.1). Incidensen och typen av biverkningar i dessa två studier motsvarade de biverkningar som ses med individuella monoterapier med ertugliflozin och metformin som beskrivs nedan i tabell 1.
Ertugliflozin
Säkerhet och tolerabilitet för ertugliflozin bedömdes i 7 placebokontrollerade eller aktivt kontrollerade jämförande studier på sammanlagt 3 409 patienter med typ 2‑diabetes mellitus som behandlades med ertugliflozin 5 mg eller 15 mg. Dessutom bedömdes säkerhet och tolerabilitet för ertugliflozin hos patienter med typ 2‑diabetes och etablerad aterosklerotisk hjärt-kärlsjukdom i VERTIS CV (se avsnitt 5.1) i vilken totalt 5 493 patienter behandlades med ertugliflozin 5 mg eller 15 mg med en genomsnittlig exponeringstid på 2,9 år.
Sammanslagna data från placebokontrollerade studier
Den primära utvärderingen av säkerheten utfördes på sammanslagna data från tre 26-veckors placebokontrollerade studier. Ertugliflozin användes som monoterapi i en studie och som tilläggsbehandling i två studier (se avsnitt 5.1). Dessa data speglar exponering av ertugliflozin under i genomsnitt 25 veckor hos 1 029 patienter. Patienterna fick ertugliflozin 5 mg (N=519), ertugliflozin 15 mg (N=510) eller placebo (N=515) en gång dagligen.
De vanligast rapporterade biverkningarna över hela det kliniska programmet var urinvägsinfektioner, vulvovaginal svampinfektion samt andra genitala svampinfektioner hos kvinnor. Allvarlig DKA förekom sällan. (se avsnitt 4.4).
Tabell över biverkningar
Nedan listade biverkningarna klassificeras efter frekvens och organsystem (SOC). Inom varje frekvensgrupp listas biverkningar i fallande allvarlighetsgrad. Frekvenskategorierna definieras enligt följande konvention: mycket vanliga (≥ 1/10), vanliga (≥ 1/100, < 1/10), mindre vanliga (≥ 1/1 000, < 1/100), sällsynta (≥ 1/10 000, < 1/1 000), mycket sällsynta (< 1/10 000), ingen känd frekvens (kan inte beräknas från tillgängliga data).
Tabell 1: Biverkningar från placebokontrollerade studier eller studier med aktivt jämförelseläkemedel och erfarenhet efter godkännande för försäljning
1 Biverkningar med ertugliflozin
2 Biverkningar med metformin
* Se avsnitt 4.4.
† Se nedanstående delavsnitt för mer information.
§ Gastrointestinala symtom som illamående, kräkning, diarré, buksmärta och aptitförlust är vanligt förekommande i början av behandlingen och är i de flesta fall spontant övergående.
¶ Inkluderar: pollakiuri, miktionsträngningar, polyuri, ökad urinproduktion och nokturi.
# Inkluderar: törst och polydipsi.
Þ Genomsnittliga procentuella förändringar från utgångsvärdet för ertugliflozin 5 mg respektive ertugliflozin 15 mg var för lipoproteinkolesterol med låg densitet (LDL-C) 5,8 % och 8,4 % jämfört med placebo 3,2 %, för totaltkolesterol 2,8 % och 5,7 % jämfört med placebo 1,1 %, dock var lipoproteinkolesterol med hög densitet (HDL‑C) 6,2 % och 7,6 % jämfört med placebo 1,9 %. Median förändring i procent från utgångsvärdet var för ertugliflozin 5 mg respektive 15 mg för triglycerider ‑3,9 % och ‑1,7 % jämfört med placebo 4,5 %.
ß Andelen personer som hade minst 1 ökning i hemoglobin > 2,0 g/dl var högre i ertugliflozin 5 mg och 15 mg grupperna (4,7 % respektive 4,1 %) jämfört med placebogruppen (0,6 %).
a Andelen personer som uppvisade ökning av blod-urea (BUN) värden ≥ 50 % och värde > ULN (upper limit of normal) var numeriskt högre i ertugliflozin 5 mg gruppen och högre i 15 mg gruppen (7,9 % respektive 9,8 %) i förhållande till placebogruppen (5,1 %).
b Biverkningar identifierades genom övervakning efter godkännandet för försäljning.
Beskrivning av utvalda biverkningar
Ertugliflozin
Volymförlust
Ertugliflozin orsakar osmotisk diures, som kan leda till minskad intravaskulär volym och biverkningar relaterade till volymförlust. I sammanslagna data från placebokontrollerade studier var incidensen av biverkningar relaterade till volymförlust (dehydrering, postural yrsel, presynkope, synkope, hypotoni och ortostatisk hypotoni) låg (< 2 %) utan påtagliga skillnader mellan ertugliflozin- och placebogrupperna. I subgruppsanalyser av en större mängd sammanslagna data från fas 3-studier hade patienter med eGFR < 60 ml/min/1,73 m2, patienter ≥ 65 år och patienter på diuretika en högre incidens av volymförlust i ertugliflozingrupperna än i gruppen som fick jämförelseläkemedel (se avsnitt 4.2 och 4.4). Hos patienter med eGFR < 60 ml/min/1,73 m2 var incidensen 5,1 %, 2,6 % och 0,5 % för ertugliflozin 5 mg, ertugliflozin 15 mg respektive jämförelsegruppen och för patienter med eGFR 45‑< 60 ml/min/1,73 m2 var incidensen 6,4 %, 3,7 % respektive 0 %.
Hypoglykemi
I sammanslagna data från placebokontrollerade studier var incidensen av dokumenterad hypoglykemi högre för ertugliflozin 5 mg och 15 mg (5 % och 4,5 %) jämfört med placebo (2,9 %). I denna population var incidensen av svår hypoglykemi 0,4 % i vardera gruppen. När ertugliflozin användes som monoterapi var incidensen av hypoglykemiska händelser 2,6 % i bägge grupperna som behandlades med ertugliflozin och 0,7 % i placebogruppen. När ertugliflozin används som tillägg till metformin var incidensen av hypoglykemiska händelser 7,2 % i gruppen som fick ertugliflozin 5 mg, 7,8 % i gruppen som fick ertugliflozin 15 mg samt 4,3 % i placebogruppen.
När ertugliflozin lades till metformin och jämfördes med sulfonylurea var incidensen av hypoglykemi högre för sulfonylurea (27 %) än för ertugliflozin (5,6 % och 8,2 % för ertugliflozin 5 mg respektive 15 mg).
När ertugliflozin användes som tillägg till insulin med eller utan metformin i delstudier i VERTIS CV var incidensen av dokumenterad hypoglykemi 39,4 %, 38,9 % och 37,5 % för ertugliflozin 5 mg, ertugliflozin 15 mg respektive placebo. När ertugliflozin användes som tillägg till en sulfonylurea var incidensen av hypoglykemi 7,3 %, 9,3 % och 4,2 % för ertugliflozin 5 mg, ertugliflozin 15 mg respektive placebo. När ertugliflozin användes som tillägg till metformin och en sulfonylurea var incidensen av hypoglykemi 20 %, 26,5 % och 14,5 % för ertugliflozin 5 mg, ertugliflozin 15 mg respektive placebo.
Hos patienter med måttligt nedsatt njurfunktion som tog insulin, sulfonylurea eller meglitinider som bakgrundsläkemedel var den dokumenterade incidensen av hypoglykemi 36 %, 27 % och 36 % för ertugliflozin 5 mg, ertugliflozin 15 mg respektive placebo (se avsnitt 4.2, 4.4 och 4.5).
Diabetesketoacidos
I VERTIS CV identifierades ketoacidos hos 19 (0,3 %) patienter behandlade med ertugliflozin och hos 2 (0,1 %) patienter som fick placebo. I de 7 andra kliniska fas 3‑studierna i utvecklingsprogrammet för ertugliflozin identifierades ketoacidos hos 3 (0,1 %) patienter behandlade med ertugliflozin och hos 0 (0 %) av de patienter som behandlades med jämförelseläkemedel (se avsnitt 4.4).
Förhöjt blodkreatinin/sänkt glomerulär filtrationshastighet och njurrelaterade händelser
Initiala ökningar av genomsnittligt kreatinin och sänkningar av genomsnittligt eGFR hos patienter som behandlades med ertugliflozin var generellt övergående under fortsatt behandling. Patienter med måttligt nedsatt njurfunktion vid studiestart hade större genomsnittliga förändringar, vilka inte hade återgått till utgångsvärdet vid vecka 26. Dessa förändringar gick tillbaka efter att behandlingen sattes ut.
I VERTIS CV var behandling med ertugliflozin associerad med en initial minskning av genomsnittlig eGFR (vid vecka 6, ‑2,7; ‑3,8 och ‑0,4 ml/min/1,73 m2 i grupperna som fick ertugliflozin 5 mg, ertugliflozin 15 mg respektive placebo) vilken följdes av en återgång mot utgångsvärdet. Långtidsbehandling med ertugliflozin var associerad med en långsammare minskning av eGFR jämfört med placebo (fram till vecka 260).
I VERTIS CV var incidensen av njurrelaterade biverkningar (t.ex. akut njurskada, nedsatt njurfunktion, akut prerenal svikt) 4,2 %, 4,3 % och 4,7 % hos patienter behandlade med ertugliflozin 5 mg, ertugliflozin 15 mg respektive placebo i den totala populationen och var 9,7 %, 10 % och 10,2 % hos patienter med eGFR från 30 till under 60 ml/min/1,73 m2 behandlade med ertugliflozin 5 mg, ertugliflozin 15 mg respektive placebo.
Genitala svampinfektioner
I sammanslagna data från tre placebokontrollerade kliniska studier förekom kvinnlig genital svampinfektion (t.ex. genital candidiasis, genital svampinfektion, vaginal infektion, vulvit, vulvovaginal candidiasis, vulvovaginal svampinfektion, vulvovaginit) hos 9,1 %, 12 %, och 3 % av de kvinnor som behandlades med ertugliflozin 5 mg, ertugliflozin 15 mg respektive placebo. Behandlingen sattes ut på grund av genitala svampinfektioner hos 0,6 % och 0 % av de kvinnliga patienter som behandlades med ertugliflozin respektive placebo (se avsnitt 4.4).
I samma sammanslagna data förekom manliga genitala svampinfektioner (t.ex. candida balanit, balanopostit, genital infektion, genital svampinfektion) hos 3,7 %, 4,2 % och 0,4 % av de män som behandlades med ertugliflozin 5 mg, ertugliflozin 15 mg respektive placebo. Manliga genitala svampinfektioner var vanligare bland icke-omskurna män. Behandlingen sattes ut på grund av svampinfektioner hos 0,2 % och 0 % av de manliga patienter som behandlades med ertugliflozin respektive placebo. I sällsynta fall rapporterades fimos och i vissa fall utfördes omskärelse (se avsnitt 4.4).
Urinvägsinfektioner
I VERTIS CV förekom urinvägsinfektioner hos 12,2 %, 12 % och 10,2 % av patienterna som behandlades med ertugliflozin 5 mg, ertugliflozin 15 mg respektive placebo. Incidensen av allvarliga urinvägsinfektioner var 0,9 %, 0,4 % och 0,8 % med ertugliflozin 5 mg, ertugliflozin 15 mg respektive placebo.
I de 7 andra kliniska fas 3‑studierna i utvecklingsprogrammet för ertugliflozin var incidensen av urinvägsinfektioner 4 % och 4,1 % för grupperna som fick ertugliflozin 5 mg och 15 mg och 3,9 % för placebo. De flesta händelser var lindriga till måttliga och inga allvarliga fall rapporterades.
I händelse av överdosering av Segluromet ska sedvanliga understödjande åtgärder vidtas (t.ex. avlägsnande av ej absorberat material från magtarmkanalen, klinisk monitorering och understödjande behandling) beroende på patientens kliniska status.
Ertugliflozin
Ertugliflozin visade ingen toxicitet hos friska personer vid perorala engångsdoser på upp till 300 mg eller vid upprepade doser på upp till 100 mg dagligen i 2 veckor. Inga potentiella akuta symtom eller tecken på överdosering identifierades. Eliminering av ertugliflozin med hemodialys har inte studerats.
Metformin
Överdosering av metforminhydroklorid har förekommit, inklusive intag av mer än 50 g. Hypoglykemi rapporterades i cirka 10 % av fallen men inget orsakssamband med metforminhydroklorid har fastställts. Laktatacidos har rapporterats i cirka 32 % i fallen med överdosering av metformin (se avsnitt 4.4). Laktatacidos är ett akut medicinskt tillstånd som måste behandlas på sjukhus. Metformin är dialyserbart med ett clearance på upp till 170 ml/min under goda hemodynamiska förhållanden. Hemodialys kan därför bidra till att avlägsna ackumulerat metformin från patienter hos vilka överdosering av metformin misstänks.
Segluromet är avsett för behandling av vuxna med typ 2-diabetes mellitus som ett tillägg till kost och motion:
hos patienter med otillräcklig kontroll på sin högsta tolererade dos av enbart metformin
i kombination med andra läkemedel för behandling av diabetes hos patienter med otillräcklig kontroll med metformin och dessa läkemedel
hos patienter som redan behandlas med kombinationen ertugliflozin och metformin som separata tabletter.
För studiedata avseende kombinationsbehandlingar, effekter på glykemisk kontroll, hjärt-kärlhändelser och studerade populationer, se avsnitt 4.4, 4.5 och 5.1.
Dosering
Vuxna med normal njurfunktion (glomerulär filtrationshastighet [GFR] ≥ 90 ml/min)
Rekommenderad dos är en tablett två gånger dagligen. Doseringen ska individanpassas utifrån patientens aktuella behandlingsregim, effekt och tolerabilitet vid användning av den rekommenderade dagliga dosen 5 mg eller 15 mg ertugliflozin, samtidigt som den högsta rekommenderade dosen av metformin inte överskrids.
Hos patienter med volymförlust rekommenderas korrigering av detta tillstånd innan behandling med Segluromet påbörjas (se avsnitt 4.4).
För patienter med otillräcklig kontroll med metformin (ensamt eller i kombination med andra diabetesläkemedel)
Rekommenderad startdos av Segluromet ska ge en ertugliflozindos motsvarande 2,5 mg två gånger dagligen (5 mg daglig dos) och dosen metformin ska motsvara den dos som redan tas. Hos patienter som tolererar en total daglig dos av ertugliflozin 5 mg kan dosen ökas till en total daglig dos av ertugliflozin på 15 mg om ytterligare glykemisk kontroll behövs.
För patienter som byter från separata tabletter med ertugliflozin och metformin
Patienter som byter från separata tabletter med ertugliflozin (total daglig dos på 5 mg eller 15 mg) och metformin till Segluromet ska få samma dagliga dos ertugliflozin och metformin som redan tas eller den närmaste dos av metformin som är terapeutiskt lämplig.
När Segluromet används i kombination med insulin eller en insulinsekretagog, kan dosen insulin eller insulinsekretagogen behöva sänkas för att minska risken för hypoglykemi (se avsnitt 4.4, 4.5 och 4.8).
Missad dos
Vid missad dos ska dosen tas så snart patienten kommer ihåg. Patienten ska inte ta två doser av Segluromet samtidigt.
Särskilda populationer
Nedsatt njurfunktion
GFR ska bedömas innan behandling med metformininnehållande läkemedel inleds och minst en gång årligen därefter. Hos patienter med ökad risk för ytterligare försämring av njurfunktionen och hos äldre ska njurfunktionen bedömas oftare, t.ex. var 3:e‑6:e månad (se avsnitt 4.4).
Initiering av detta läkemedel rekommenderas inte till patienter med GFR som understiger 45
ml/min (se avsnitt 4.4).
Eftersom den glykemiska sänkningseffekten av ertugliflozin är nedsatt hos patienter med måttligt nedsatt njurfunktion och sannolikt saknas hos patienter med kraftigt nedsatt njurfunktion ska tillägg av andra antihyperglykemiska läkemedel övervägas om ytterligare glykemisk kontroll behövs (se avsnitt 4.4).
Den maximala dygnsdosen av metformin ska helst delas upp i 2‑3 dagliga doser. Faktorer som kan öka risken för laktatacidos (se avsnitt 4.4) ska bedömas innan behandlingsstart med metformin övervägs hos patienter med GFR < 60 ml/min.
Om ingen lämplig styrka av Segluromet finns tillgänglig ska enskilda monokomponenter användas istället för den fasta doskombinationen.
Nedsatt leverfunktion
Segluromet är kontraindicerat hos patienter med nedsatt leverfunktion (se avsnitt 4.3 och 4.4).
Äldre
Nedsatt njurfunktion är vanligare bland äldre patienter. Segluromet ska användas med försiktighet till äldre eftersom avvikelser i njurfunktionen kan uppstå efter insättning av ertugliflozin och det är känt att metformin i hög grad utsöndras via njurarna. Regelbunden bedömning av njurfunktionen är nödvändigt för att förhindra metformin-associerad laktatacidos, särskilt hos äldre patienter (se avsnitt 4.4). Hänsyn ska tas till njurfunktionen och risken för volymförlust (se avsnitt 4.4 och 4.8).
Pediatrisk population
Säkerhet och effekt för Segluromet för barn under 18 år har inte fastställts. Inga data finns tillgängliga.
Administreringssätt
Segluromet ska tas peroralt två gånger dagligen i samband med måltid för att minska de gastrointestinala biverkningar som förknippas med metformin. Vid sväljsvårigheter kan tabletten delas eller krossas eftersom det är en beredningsform med omedelbar frisättning.
Överkänslighet mot de aktiva substanserna eller mot något hjälpämne som anges i avsnitt 6.1
alla typer av akut metabolisk acidos (såsom laktatacidos, diabetesketoacidos [DKA])
diabetisk prekoma
kraftigt nedsatt njurfunktion (GFR under 30 ml/min), terminal njursvikt (ESRD, end-stage renal disease) och patienter som står på dialys (se avsnitt 4.4)
akuta tillstånd som eventuellt kan påverka njurfunktionen, såsom:
dehydrering
svår infektion
chock
akut eller kronisk sjukdom som kan orsaka vävnadshypoxi, såsom:
hjärt- eller andningssvikt
nyligen genomgången hjärtinfarkt
chock
nedsatt leverfunktion
akut alkoholförgiftning, alkoholism.
Allmänt
Segluromet ska inte användas till patienter med typ 1‑diabetes mellitus.
Det kan öka risken för diabetesketoacidos (DKA) hos dessa patienter.
Laktatacidos
Laktatacidos, en mycket sällsynt men allvarlig metabolisk komplikation, uppträder ofta vid akut försämring av njurfunktionen, hjärt-lungsjukdom eller sepsis. Metformin ackumuleras vid akut försämring av njurfunktionen, vilket ökar risken för laktatacidos.
Vid dehydrering (kraftig kräkning, diarré, feber eller minskat vätskeintag) ska metforminbehandlingen tillfälligt avbrytas och kontakt med sjukvården rekommenderas.
Läkemedel som kan ge akut nedsättning av njurfunktionen (t.ex. blodtryckssänkande läkemedel, diuretika och icke-steroida antiinflammatoriska läkemedel [NSAID]) ska sättas in med försiktighet hos patienter som behandlas med metformin. Andra riskfaktorer för laktatacidos är högt alkoholintag, nedsatt leverfunktion, diabetes som inte är under kontroll, ketos, långvarig fasta och alla tillstånd som är förknippade med hypoxi, liksom samtidig användning av läkemedel som kan orsaka laktatacidos (se avsnitt 4.3 och 4.5).
Patienter och/eller vårdgivare ska informeras om risken för laktatacidos. Laktatacidos kännetecknas av acidotisk dyspné, buksmärta, muskelkramper, asteni och hypotermi följt av koma. Vid misstänkta symtom ska patienten sluta ta metformin och omedelbart söka vård. Diagnostiska laboratoriefynd är sänkt pH i blodet (< 7,35), förhöjd laktathalt i plasma (> 5 mmol/l), ett ökat anjongap och en ökad laktat/pyruvatkvot.
Patienter med kända eller misstänkta mitokondriella sjukdomar:
Metformin rekommenderas inte till patienter med kända mitokondriella sjukdomar, såsom mitokondriell encefalopati med laktacidos och strokeliknande episoder (MELAS‑syndrom) och maternellt nedärvd diabetes och dövhet (MIDD), på grund av risken för exacerbation av laktacidos och neurologiska komplikationer som kan förvärra sjukdomen.
Vid tecken och symtom som tyder på MELAS‑syndrom eller MIDD efter intag av metformin ska behandlingen med metformin sättas ut omedelbart och patienten utvärderas diagnostiskt utan dröjsmål.
Administrering av joderade kontrastmedel
Intravaskulär administrering av joderade kontrastmedel kan orsaka kontrastinducerad nefropati som leder till ackumulering av metformin och ökad risk för laktatacidos. Segluromet ska sättas ut före eller vid tidpunkten för bilddiagnostiken och ska inte återinsättas förrän minst 48 timmar efteråt, förutsatt att njurfunktionen har utvärderats och visats vara stabil (se avsnitt 4.2 och 4.5).
Nedsatt njurfunktion
Effekten av ertugliflozin på glykemisk kontroll är beroende av njurfunktionen och den glykemiska effekten är reducerad hos patienter som har måttligt nedsatt njurfunktion och saknas sannolikt helt hos patienter med kraftigt nedsatt njurfunktion (se avsnitt 4.2).
Behandling med Segluromet ska inte påbörjas hos patienter med GFR under 45 ml/min. Segluromet ska sättas ut när GFR konstant understiger 45 ml/min.
GFR ska bedömas innan behandling inleds och regelbundet därefter (se avsnitt 4.2). Tätare kontroll av njurfunktionen rekommenderas hos patienter med GFR under 60 ml/min. Metformin är kontraindicerat hos patienter med GFR < 30 ml/min och ska avbrytas tillfälligt vid tillstånd som förändrar njurfunktionen (se avsnitt 4.3).
Kirurgi
Segluromet måste sättas ut vid kirurgiska ingrepp under narkos, spinalanestesi eller epiduralanestesi. Behandlingen får inte återinsättas förrän tidigast 48 timmar efter ett kirurgiskt ingrepp eller efter återupptagen oral nutrition, förutsatt att njurfunktionen har utvärderats och visats vara stabil.
Hypotoni/volymförlust
Ertugliflozin orsakar osmotisk diures, som kan leda till minskad intravaskulär volym. Därför kan symtomatisk hypotoni förekomma efter påbörjad behandling med Segluromet (se avsnitt 4.8), särskilt hos patienter med nedsatt njurfunktion (eGFR understiger 60 ml/min/1,73 m2 eller kreatininclearence (CrCl) under 60 ml/min), äldre patienter (≥ 65 år), patienter som står på diuretika eller patienter som står på blodtryckssänkande behandling med hypotoni i anamnesen. Innan behandling med Segluromet påbörjas ska volymstatus utvärderas och korrigeras vid behov. Patienten ska kontrolleras för tecken och symtom efter behandlingsstart.
På grund av sin verkningsmekanism inducerar ertugliflozin osmotisk diures, ökar serumkreatinin och sänker eGFR. Ökningarna av serumkreatinin och sänkningarna av eGFR var större hos patienter med måttligt nedsatt njurfunktion (se avsnitt 4.8).
Vid tillstånd som kan leda till vätskeförlust (t.ex. magtarmsjukdom) rekommenderas noggrann övervakning av volymstatus (t.ex. kroppslig undersökning, blodtrycksmätning, laboratorietester inklusive hematokrit) och elektrolyter för patienter som får ertugliflozin. Tillfälligt avbrott av behandlingen bör övervägas till dess att vätskeförlusten har korrigerats.
Diabetesketoacidos
Sällsynta fall av DKA, inklusive livshotande och dödliga fall, har rapporterats i kliniska studier och efter godkännandet för försäljning hos patienter som behandlats med natrium-glukos-kotransportör‑2-(SGLT2)-hämmare, inklusive ertugliflozin. I ett antal fall var tillståndet atypiskt med endast måttligt förhöjda blodglukosvärden, under 14 mmol/l (250 mg/dl). Det är inte känt om det är större sannolikhet att DKA uppträder vid högre doser av ertugliflozin.
Risken för DKA måste beaktas i händelse av icke-specifika symtom såsom illamående, kräkningar, anorexi, buksmärtor, överdriven törst, andningsbesvär, förvirring, ovanlig trötthet eller sömnighet. Patienten ska utvärderas för ketoacidos omedelbart om dessa symtom uppträder, oavsett blodglukosnivå.
Hos patienter där DKA misstänkts eller är diagnosticerat ska behandlingen med Segluromet avbrytas omedelbart.
Behandlingen bör avbrytas hos patienter som lagts in på sjukhus för större kirurgiska ingrepp eller akuta allvarliga sjukdomar. Provtagning av ketoner rekommenderas för dessa patienter. Mätning av ketonnivåer i blodet istället för urinen är att föredra. Behandling med Segluromet kan återupptas när ketonvärdena är normala och patientens tillstånd har stabiliserats.
Innan behandling med Segluromet påbörjas ska faktorer i patientens anamnes som kan predisponera för ketoacidos beaktas.
Patienter som kan ha förhöjd risk för DKA innefattar patienter med en låg reserv av funktionella betaceller (t.ex. patienter med typ 2-diabetes med lågt C‑peptidvärde eller latent autoimmun diabetes hos vuxna (LADA) eller patienter med pankreatit i anamnesen), patienter med tillstånd som medför begränsat födointag eller allvarlig dehydrering, patienter där insulindosen minskas samt patienter med ökat insulinbehov till följd av akut sjukdom, kirurgiskt ingrepp eller alkoholmissbruk. SGLT2‑hämmare bör användas med försiktighet hos dessa patienter.
Återinsättning av SGLT2‑hämmare rekommenderas inte hos patienter som tidigare har drabbats av DKA under behandling med SGLT2‑hämmare, om inte en annan tydlig utlösande faktor har identifierats och åtgärdats.
Säkerhet och effekt för Segluromet för patienter med typ 1‑diabetes har inte fastställts och Segluromet ska inte användas för behandling av patienter med typ 1‑diabetes. Begränsade data från kliniska studier tyder på att DKA förekommer med frekvensen ”vanlig” när patienter med typ 1‑diabetes behandlas med SGLT2‑hämmare.
Amputation av nedre extremiteter
I en långtidsstudie av kardiovaskulära utfall, VERTIS CV (eValuation of ERTugliflozin effIcacy and Safety, CardioVascular), på patienter med typ 2‑diabetes mellitus och etablerad aterosklerotisk hjärt-kärlsjukdom, rapporterades icke-traumatiska amputationer av nedre extremiteter (främst tår) med en incidens på 2 % (0,57 patienter med händelser per 100 patientår), 2,1 % (0,60 patienter med händelser per 100 patientår) och 1,6 % (0,47 patienter med händelser per 100 patientår) för ertugliflozin 5 mg, ertugliflozin 15 mg respektive placebo. Frekvensen av händelser med amputation av nedre extremiteter var 0,75 och 0,96 jämfört med 0,74 händelser per 100 patientår för ertugliflozin 5 mg och ertugliflozin 15 mg jämfört med placebo. En ökning av antalet fall av amputationer av de nedre extremiteterna (främst tår) har observerats i kliniska långtidsstudier av typ 2 diabetes mellitus med SGLT2‑hämmare. Det är inte känt om detta utgör en klasseffekt. Det är viktigt att informera patienter med diabetes om rutiner för förebyggande fotvård.
Hypoglykemi vid samtidig användning av insulin och insulinsekretagoger
Ertugliflozin kan öka risken för hypoglykemi när det används i kombination med insulin och/eller en insulinsekretagog, som är kända för att orsaka hypoglykemi (se avsnitt 4.8). Vid användning i kombination med Segluromet kan därför insulin- eller insulinsekretagogdosen behöva sänkas för att minimera risken för hypoglykemi (se avsnitt 4.2 och 4.5).
Genitala svampinfektioner
Ertugliflozin ökar risken för genitala svampinfektioner. I studier med SGLT2‑hämmare ökade sannolikheten att utveckla genitala svampinfektioner hos patienter som tidigare haft genitala svampinfektioner samt hos män som inte är omskurna (se avsnitt 4.8). Patienterna ska monitoreras och behandlas efter behov.
Urinvägsinfektioner
Utsöndring av glukos via urin kan vara associerat med en ökad risk för urinvägsinfektioner (se avsnitt 4.8). Tillfällig utsättning av ertugliflozin ska övervägas vid behandling av pylonefrit eller urosepsis.
Nekrotiserande fasciit i perineum (Fourniers gangrän)
Fall av nekrotiserande fasciit i perineum (s.k. Fourniers gangrän) har rapporterats hos kvinnliga och manliga patienter som tagit SGLT2-hämmare efter att läkemedlet godkänts för försäljning. Detta är en sällsynt men allvarlig och potentiellt livshotande biverkning som kräver ett kirurgiskt akutingrepp och antibiotikabehandling.
Patienter ska rådas att söka läkarhjälp om de upplever en kombination av symtom som smärta, ömhet, erytem eller svullnad i genital- eller perinealområdet, tillsammans med feber eller sjukdomskänsla. Observera att urogenital infektion eller perineal abscess kan föregå nekrotiserande fasciit. Vid misstanke om Fourniers gangrän ska Segluromet sättas ut och omedelbar behandling (såsom antibiotika och kirurgisk debridering) sättas in.
Äldre patienter
Äldre patienter kan löpa ökad risk för volymförlust och njursvikt. Patienter som var 65 år eller äldre och som behandlades med ertugliflozin hade en högre incidens av biverkningar relaterade till volymförlust än yngre patienter. Risken för metforminassocierad laktatacidos ökar med patientens ålder eftersom nedsatt lever-, njur- och hjärtfunktion är vanligare hos äldre än hos yngre patienter. I en långtidsstudie av kardiovaskulära utfall, VERTIS CV, var säkerhet och effekt likartade för patienter i åldern 65 år eller äldre jämfört med patienter under 65 år (se avsnitt 4.2 och 4.8). Njurfunktionen ska utvärderas med tätare mellanrum hos äldre patienter.
Hjärtsvikt
Det finns ingen erfarenhet från kliniska studier med ertugliflozin i New York Heart Association (NYHA) klass IV.
Laboratorieanalyser av urin
På grund av ertugliflozins verkningsmekanism kommer urinen från patienter som tar Segluromet att vara positiv för glukos. Alternativa metoder att övervaka den glykemiska kontrollen ska användas.
Interferens med analys av 1,5-anhydroglucitol (1,5 AG)-analys
Övervakning av den glykemiska kontrollen med 1,5 AG-analys rekommenderas inte eftersom mätningar av 1,5 AG inte är tillförlitliga för bedömning av den glykemiska kontrollen hos patienter som tar läkemedel som innehåller en SGLT2‑hämmare. Alternativa metoder att övervaka den glykemiska kontrollen ska användas.
Vitamin B12-brist
Metformin kan minska serumnivåerna av vitamin-B12. Risken för låga vitamin B12-nivåer ökar med ökande metformindos, behandlingslängd och/eller hos patienter med riskfaktorer som är kända för att orsaka vitamin B12-brist. Vid misstanke om vitamin B12-brist (såsom anemi eller neuropati) ska serumnivåer av vitamin B12 övervakas. Regelbunden övervakning av vitamin B12-nivåer kan vara nödvändig hos patienter med riskfaktorer för vitamin B12-brist. Behandling med metformin ska fortsätta så länge det tolereras och inte är kontraindicerat och lämplig korrigerande behandling för vitamin B12-brist tillhandahålls i enlighet med gällande kliniska riktlinjer.
Natrium
Detta läkemedel innehåller mindre än 1 mmol (23 mg) natrium per tablett, dvs är näst intill ”natriumfritt”.
Farmakokinetiska interaktionsstudier med Segluromet har inte utförts. Sådana studier har däremot utförts med ertugliflozin och metformin, de enskilda aktiva substanserna i Segluromet.
Ertugliflozin
Farmakodynamiska interaktioner
Diuretika
Ertugliflozin kan förstärka den vätskedrivande effekten hos diuretika och kan öka risken för dehydrering och hypotoni (se avsnitt 4.4).
Insulin och insulinsekretagoger
Insulin och insulinsekretagoger, som sulfonylurea, kan orsaka hypoglykemi. Ertugliflozin kan öka risken för hypoglykemi när det används i kombination med insulin och/eller en insulinsekretagog. Vid användning i kombination med Segluromet kan därför insulin- eller insulinsekretagogdosen behöva sänkas för att minska risken för hypoglykemi (se avsnitt 4.2, 4.4 och 4.8).
Farmakokinetiska interaktioner
Andra läkemedels effekter på ertugliflozins farmakokinetik
Metabolism via UGT1A9 och UGT2B7 är den primära clearancemekanismen för ertugliflozin.
Interaktionsstudier utförda på friska personer, där engångsdoser använts, tyder på att farmakokinetiken för ertugliflozin inte förändras av sitagliptin, metformin, glimepirid eller simvastatin.
Upprepade doser av rifampicin (en inducerare av uridin-5’-difosfo-glukuronosyltransferas [UGT] och cytokrom P450 [CYP]) minskar arean under koncentration-tid-kurvan (AUC) och maximal plasmakoncentration (Cmax) för ertugliflozin med 39 % respektive 15 %. Denna minskning av exponeringen anses inte vara kliniskt relevant och därför rekommenderas ingen dosjustering. En kliniskt relevant effekt av andra inducerare (t.ex. karbamazepin, fenytoin, fenobarbital) förväntas inte.
Effekten av UGT-hämmare på farmakokinetiken hos ertugliflozin har inte studerats kliniskt, men en potentiell ökning i exponering av ertugliflozin på grund av UGT-hämmare anses inte vara kliniskt relevant.
Ertugliflozins effekter på andra läkemedels farmakokinetik
Interaktionsstudier utförda på friska frivilliga tyder på att ertugliflozin inte har någon kliniskt relevant effekt på farmakokinetiken för sitagliptin, metformin och glimepirid.
Samtidig administrering av simvastatin och ertugliflozin resulterade i en ökning av AUC och Cmax för simvastatin med 24 % respektive 19 % och en ökning av AUC och Cmax för simvastatinsyra med 30 % respektive 16 %. Mekanismen bakom de små ökningarna av simvastatin och simvastatinsyra är okänd och medieras inte genom att ertugliflozin hämmar organisk anjontransporterande polypeptid (OATP). Dessa ökningar anses inte vara kliniskt betydelsefulla.
Metformin
Samtidig användning rekommenderas inte.
Alkohol
Alkoholintoxikation är förknippad med en ökad risk för laktatacidos, särskilt vid fasta, undernäring och nedsatt leverfunktion.
Joderade kontrastmedel
Segluromet måste sättas ut före eller vid tidpunkten för bilddiagnostisken och inte återinsättas förrän minst 48 timmar efteråt, förutsatt att njurfunktionen har utvärderats och visats vara stabil (se avsnitt 4.2 och 4.4).
Kombinationer som kräver försiktighet vid användning
Vissa läkemedel kan försämra njurfunktionen, vilket kan öka risken för laktatacidos, t.ex. NSAID-preparat, inklusive selektiva cyklooxygenas-2-hämmare (COX-2-hämmare), ACE-hämmare, angiotensin II-receptorantagonister och diuretika, i synnerhet loopdiuretika. När sådana läkemedel sätts in eller används i kombination med metformin krävs noggrann övervakning av njurfunktionen.
Organiska katjonstransportörer (OCT)
Metformin är ett substrat för både transportör OCT1 och OCT2.
Samtidig administrering av metformin med:
OCT1-hämmare (såsom verapamil) kan minska effekten av metformin.
OCT1-inducerare (såsom rifampicin) kan öka gastrointestinal absorption och effekten av metformin.
OCT2-hämmare (såsom cimetidin, dolutegravir, ranolazin, trimetoprim, vandetanib, isavukonazol) kan minska den renala utsöndringen av metformin och därmed leda till ökade plasmakoncentrationer av metformin.
Hämmare av både OCT1 and OCT2 (såsom crizotinib, olaparib) kan förändra effekten och den renala utsöndringen av metformin.
Försiktighet rekommenderas därför, speciellt hos patienter med nedsatt njurfunktion, när dessa läkemedel ges samtidigt med metformin, eftersom plasmakoncentrationen av metformin kan öka. Vid behov kan dosjustering av metformin övervägas eftersom OCT-hämmare/inducerare kan förändra effekten av metformin.
Glukokortikoider (givet systemiskt eller som lokal administrering), beta-2-agonister och diuretika har inneboende hypoglykemisk aktivitet. Patienten ska informeras och blodglukosvärdet kontrolleras oftare, särskilt i början av behandlingen med denna typ av läkemedel. Om nödvändigt ska dosen av det antihyperglykemiska läkemedlet justeras under behandling med det andra läkemedlet och vid utsättande.
Graviditet
Det finns inga data från användningen av Segluromet i gravida kvinnor.
En begränsad mängd data tyder på att användning av metformin hos gravida kvinnor inte är förenad med en ökad risk för kongenitala malformationer. Djurstudier med metformin har inte visat några skadliga effekter med avseende på graviditet, embryo- eller fosterutveckling, födande eller postnatal utveckling (se avsnitt 5.3).
Det finns begränsad data från användning av ertugliflozin i gravida kvinnor. Baserat på resultat från djurstudier kan ertugliflozin påverka njurarnas utveckling och mognad (se avsnitt 5.3). Därför ska Segluromet inte användas under graviditet.
Amning
Det finns ingen information om förekomsten av ertugliflozin i bröstmjölk, effekter på ammade spädbarn eller effekter på mjölkproduktionen. Metformin utsöndras i bröstmjölk. Ertugliflozin och metformin förekommer i mjölken hos digivande råttor. Ertugliflozin orsakade effekter hos avkomman från digivande råttor.
Farmakologiskt medierade effekter observerades hos unga råttor behandlade med ertugliflozin (se avsnitt 5.3). Eftersom människans njurar mognar in utero och under de två första levnadsåren, då exponering via amning kan förekomma, kan en risk för nyfödda/spädbarn inte uteslutas. Segluromet ska inte användas under amning.
Fertilitet
Effekten av Segluromet på fertiliteten hos människa har inte studerats. Inga effekter av ertugliflozin eller metformin observerades i djurstudier (se avsnitt 5.3).
Segluromet har ingen eller försumbar effekt på förmågan att framföra fordon och använda maskiner. Patienterna ska informeras om risken för hypoglykemi när Segluromet används i kombination med insulin eller en insulinsekretagog och om den förhöjda risken för biverkningar relaterade till volymförlust, t.ex. postural yrsel (se avsnitt 4.2, 4.4 och 4.8).
Sammanfattning av säkerhetsprofilen
Ertugliflozin och metformin
Säkerheten vid samtidig administrering av ertugliflozin och metformin har utvärderats med hjälp av sammanslagna data från 1 083 patienter med typ 2-diabetes mellitus som behandlats i 26 veckor i två placebokontrollerade studier: ertugliflozin som tilläggsbehandling till metformin och ertugliflozin som tilläggsbehandling till sitagliptin och metformin (se avsnitt 5.1). Incidensen och typen av biverkningar i dessa två studier motsvarade de biverkningar som ses med individuella monoterapier med ertugliflozin och metformin som beskrivs nedan i tabell 1.
Ertugliflozin
Säkerhet och tolerabilitet för ertugliflozin bedömdes i 7 placebokontrollerade eller aktivt kontrollerade jämförande studier på sammanlagt 3 409 patienter med typ 2‑diabetes mellitus som behandlades med ertugliflozin 5 mg eller 15 mg. Dessutom bedömdes säkerhet och tolerabilitet för ertugliflozin hos patienter med typ 2‑diabetes och etablerad aterosklerotisk hjärt-kärlsjukdom i VERTIS CV (se avsnitt 5.1) i vilken totalt 5 493 patienter behandlades med ertugliflozin 5 mg eller 15 mg med en genomsnittlig exponeringstid på 2,9 år.
Sammanslagna data från placebokontrollerade studier
Den primära utvärderingen av säkerheten utfördes på sammanslagna data från tre 26-veckors placebokontrollerade studier. Ertugliflozin användes som monoterapi i en studie och som tilläggsbehandling i två studier (se avsnitt 5.1). Dessa data speglar exponering av ertugliflozin under i genomsnitt 25 veckor hos 1 029 patienter. Patienterna fick ertugliflozin 5 mg (N=519), ertugliflozin 15 mg (N=510) eller placebo (N=515) en gång dagligen.
De vanligast rapporterade biverkningarna över hela det kliniska programmet var urinvägsinfektioner, vulvovaginal svampinfektion samt andra genitala svampinfektioner hos kvinnor. Allvarlig DKA förekom sällan. (se avsnitt 4.4).
Tabell över biverkningar
Nedan listade biverkningarna klassificeras efter frekvens och organsystem (SOC). Inom varje frekvensgrupp listas biverkningar i fallande allvarlighetsgrad. Frekvenskategorierna definieras enligt följande konvention: mycket vanliga (≥ 1/10), vanliga (≥ 1/100, < 1/10), mindre vanliga (≥ 1/1 000, < 1/100), sällsynta (≥ 1/10 000, < 1/1 000), mycket sällsynta (< 1/10 000), ingen känd frekvens (kan inte beräknas från tillgängliga data).
Tabell 1: Biverkningar från placebokontrollerade studier eller studier med aktivt jämförelseläkemedel och erfarenhet efter godkännande för försäljning
1 Biverkningar med ertugliflozin
2 Biverkningar med metformin
* Se avsnitt 4.4.
† Se nedanstående delavsnitt för mer information.
§ Gastrointestinala symtom som illamående, kräkning, diarré, buksmärta och aptitförlust är vanligt förekommande i början av behandlingen och är i de flesta fall spontant övergående.
¶ Inkluderar: pollakiuri, miktionsträngningar, polyuri, ökad urinproduktion och nokturi.
# Inkluderar: törst och polydipsi.
Þ Genomsnittliga procentuella förändringar från utgångsvärdet för ertugliflozin 5 mg respektive ertugliflozin 15 mg var för lipoproteinkolesterol med låg densitet (LDL-C) 5,8 % och 8,4 % jämfört med placebo 3,2 %, för totaltkolesterol 2,8 % och 5,7 % jämfört med placebo 1,1 %, dock var lipoproteinkolesterol med hög densitet (HDL‑C) 6,2 % och 7,6 % jämfört med placebo 1,9 %. Median förändring i procent från utgångsvärdet var för ertugliflozin 5 mg respektive 15 mg för triglycerider ‑3,9 % och ‑1,7 % jämfört med placebo 4,5 %.
ß Andelen personer som hade minst 1 ökning i hemoglobin > 2,0 g/dl var högre i ertugliflozin 5 mg och 15 mg grupperna (4,7 % respektive 4,1 %) jämfört med placebogruppen (0,6 %).
a Andelen personer som uppvisade ökning av blod-urea (BUN) värden ≥ 50 % och värde > ULN (upper limit of normal) var numeriskt högre i ertugliflozin 5 mg gruppen och högre i 15 mg gruppen (7,9 % respektive 9,8 %) i förhållande till placebogruppen (5,1 %).
b Biverkningar identifierades genom övervakning efter godkännandet för försäljning.
Beskrivning av utvalda biverkningar
Ertugliflozin
Volymförlust
Ertugliflozin orsakar osmotisk diures, som kan leda till minskad intravaskulär volym och biverkningar relaterade till volymförlust. I sammanslagna data från placebokontrollerade studier var incidensen av biverkningar relaterade till volymförlust (dehydrering, postural yrsel, presynkope, synkope, hypotoni och ortostatisk hypotoni) låg (< 2 %) utan påtagliga skillnader mellan ertugliflozin- och placebogrupperna. I subgruppsanalyser av en större mängd sammanslagna data från fas 3-studier hade patienter med eGFR < 60 ml/min/1,73 m2, patienter ≥ 65 år och patienter på diuretika en högre incidens av volymförlust i ertugliflozingrupperna än i gruppen som fick jämförelseläkemedel (se avsnitt 4.2 och 4.4). Hos patienter med eGFR < 60 ml/min/1,73 m2 var incidensen 5,1 %, 2,6 % och 0,5 % för ertugliflozin 5 mg, ertugliflozin 15 mg respektive jämförelsegruppen och för patienter med eGFR 45‑< 60 ml/min/1,73 m2 var incidensen 6,4 %, 3,7 % respektive 0 %.
Hypoglykemi
I sammanslagna data från placebokontrollerade studier var incidensen av dokumenterad hypoglykemi högre för ertugliflozin 5 mg och 15 mg (5 % och 4,5 %) jämfört med placebo (2,9 %). I denna population var incidensen av svår hypoglykemi 0,4 % i vardera gruppen. När ertugliflozin användes som monoterapi var incidensen av hypoglykemiska händelser 2,6 % i bägge grupperna som behandlades med ertugliflozin och 0,7 % i placebogruppen. När ertugliflozin används som tillägg till metformin var incidensen av hypoglykemiska händelser 7,2 % i gruppen som fick ertugliflozin 5 mg, 7,8 % i gruppen som fick ertugliflozin 15 mg samt 4,3 % i placebogruppen.
När ertugliflozin lades till metformin och jämfördes med sulfonylurea var incidensen av hypoglykemi högre för sulfonylurea (27 %) än för ertugliflozin (5,6 % och 8,2 % för ertugliflozin 5 mg respektive 15 mg).
När ertugliflozin användes som tillägg till insulin med eller utan metformin i delstudier i VERTIS CV var incidensen av dokumenterad hypoglykemi 39,4 %, 38,9 % och 37,5 % för ertugliflozin 5 mg, ertugliflozin 15 mg respektive placebo. När ertugliflozin användes som tillägg till en sulfonylurea var incidensen av hypoglykemi 7,3 %, 9,3 % och 4,2 % för ertugliflozin 5 mg, ertugliflozin 15 mg respektive placebo. När ertugliflozin användes som tillägg till metformin och en sulfonylurea var incidensen av hypoglykemi 20 %, 26,5 % och 14,5 % för ertugliflozin 5 mg, ertugliflozin 15 mg respektive placebo.
Hos patienter med måttligt nedsatt njurfunktion som tog insulin, sulfonylurea eller meglitinider som bakgrundsläkemedel var den dokumenterade incidensen av hypoglykemi 36 %, 27 % och 36 % för ertugliflozin 5 mg, ertugliflozin 15 mg respektive placebo (se avsnitt 4.2, 4.4 och 4.5).
Diabetesketoacidos
I VERTIS CV identifierades ketoacidos hos 19 (0,3 %) patienter behandlade med ertugliflozin och hos 2 (0,1 %) patienter som fick placebo. I de 7 andra kliniska fas 3‑studierna i utvecklingsprogrammet för ertugliflozin identifierades ketoacidos hos 3 (0,1 %) patienter behandlade med ertugliflozin och hos 0 (0 %) av de patienter som behandlades med jämförelseläkemedel (se avsnitt 4.4).
Förhöjt blodkreatinin/sänkt glomerulär filtrationshastighet och njurrelaterade händelser
Initiala ökningar av genomsnittligt kreatinin och sänkningar av genomsnittligt eGFR hos patienter som behandlades med ertugliflozin var generellt övergående under fortsatt behandling. Patienter med måttligt nedsatt njurfunktion vid studiestart hade större genomsnittliga förändringar, vilka inte hade återgått till utgångsvärdet vid vecka 26. Dessa förändringar gick tillbaka efter att behandlingen sattes ut.
I VERTIS CV var behandling med ertugliflozin associerad med en initial minskning av genomsnittlig eGFR (vid vecka 6, ‑2,7; ‑3,8 och ‑0,4 ml/min/1,73 m2 i grupperna som fick ertugliflozin 5 mg, ertugliflozin 15 mg respektive placebo) vilken följdes av en återgång mot utgångsvärdet. Långtidsbehandling med ertugliflozin var associerad med en långsammare minskning av eGFR jämfört med placebo (fram till vecka 260).
I VERTIS CV var incidensen av njurrelaterade biverkningar (t.ex. akut njurskada, nedsatt njurfunktion, akut prerenal svikt) 4,2 %, 4,3 % och 4,7 % hos patienter behandlade med ertugliflozin 5 mg, ertugliflozin 15 mg respektive placebo i den totala populationen och var 9,7 %, 10 % och 10,2 % hos patienter med eGFR från 30 till under 60 ml/min/1,73 m2 behandlade med ertugliflozin 5 mg, ertugliflozin 15 mg respektive placebo.
Genitala svampinfektioner
I sammanslagna data från tre placebokontrollerade kliniska studier förekom kvinnlig genital svampinfektion (t.ex. genital candidiasis, genital svampinfektion, vaginal infektion, vulvit, vulvovaginal candidiasis, vulvovaginal svampinfektion, vulvovaginit) hos 9,1 %, 12 %, och 3 % av de kvinnor som behandlades med ertugliflozin 5 mg, ertugliflozin 15 mg respektive placebo. Behandlingen sattes ut på grund av genitala svampinfektioner hos 0,6 % och 0 % av de kvinnliga patienter som behandlades med ertugliflozin respektive placebo (se avsnitt 4.4).
I samma sammanslagna data förekom manliga genitala svampinfektioner (t.ex. candida balanit, balanopostit, genital infektion, genital svampinfektion) hos 3,7 %, 4,2 % och 0,4 % av de män som behandlades med ertugliflozin 5 mg, ertugliflozin 15 mg respektive placebo. Manliga genitala svampinfektioner var vanligare bland icke-omskurna män. Behandlingen sattes ut på grund av svampinfektioner hos 0,2 % och 0 % av de manliga patienter som behandlades med ertugliflozin respektive placebo. I sällsynta fall rapporterades fimos och i vissa fall utfördes omskärelse (se avsnitt 4.4).
Urinvägsinfektioner
I VERTIS CV förekom urinvägsinfektioner hos 12,2 %, 12 % och 10,2 % av patienterna som behandlades med ertugliflozin 5 mg, ertugliflozin 15 mg respektive placebo. Incidensen av allvarliga urinvägsinfektioner var 0,9 %, 0,4 % och 0,8 % med ertugliflozin 5 mg, ertugliflozin 15 mg respektive placebo.
I de 7 andra kliniska fas 3‑studierna i utvecklingsprogrammet för ertugliflozin var incidensen av urinvägsinfektioner 4 % och 4,1 % för grupperna som fick ertugliflozin 5 mg och 15 mg och 3,9 % för placebo. De flesta händelser var lindriga till måttliga och inga allvarliga fall rapporterades.
Rapportering av misstänkta biverkningar
I händelse av överdosering av Segluromet ska sedvanliga understödjande åtgärder vidtas (t.ex. avlägsnande av ej absorberat material från magtarmkanalen, klinisk monitorering och understödjande behandling) beroende på patientens kliniska status.
Ertugliflozin
Ertugliflozin visade ingen toxicitet hos friska personer vid perorala engångsdoser på upp till 300 mg eller vid upprepade doser på upp till 100 mg dagligen i 2 veckor. Inga potentiella akuta symtom eller tecken på överdosering identifierades. Eliminering av ertugliflozin med hemodialys har inte studerats.
Metformin
Överdosering av metforminhydroklorid har förekommit, inklusive intag av mer än 50 g. Hypoglykemi rapporterades i cirka 10 % av fallen men inget orsakssamband med metforminhydroklorid har fastställts. Laktatacidos har rapporterats i cirka 32 % i fallen med överdosering av metformin (se avsnitt 4.4). Laktatacidos är ett akut medicinskt tillstånd som måste behandlas på sjukhus. Metformin är dialyserbart med ett clearance på upp till 170 ml/min under goda hemodynamiska förhållanden. Hemodialys kan därför bidra till att avlägsna ackumulerat metformin från patienter hos vilka överdosering av metformin misstänks.
Farmakodynamisk effekt
Ertugliflozin
Glukosutsöndring i urin och urinvolym
Dosberoende ökningar av mängden glukos som utsöndrades i urinen observerades hos friska personer och hos patienter med typ 2-diabetes mellitus efter engångsdoser och upprepad administrering av ertugliflozin. Dos-responsmodellering tyder på att ertugliflozin 5 mg och 15 mg resulterar i nära maximal glukosutsöndring i urinen (UGE) hos patienter med typ 2-diabetes mellitus och ger 87 % respektive 96 % av maximal hämning.
Klinisk effekt och säkerhet
Både förbättring av glykemisk kontroll och minskning av kardiovaskulär morbiditet och mortalitet är viktiga delar i behandlingen av typ 2‑diabetes mellitus.
Glykemisk kontroll
Den glykemiska effekten och säkerheten för ertugliflozin i kombination med metformin har studerats i fyra randomiserade, dubbelblinda, placebokontrollerade och aktivt kontrollerade jämförande kliniska multicenterstudier i fas 3 på 3 643 patienter med typ 2-diabetes. I de fyra studierna var andelen vita 66,2‑80,3 %, 10,6‑20,3 % var asiater, 1,9‑10,3 % var svarta och 4,5‑7,4 % var av annan etnicitet. Latinamerikaner utgjorde 15,6‑34,5 % av populationen. Den genomsnittliga åldern hos patienterna i dessa fyra studier låg på 55,1‑59,1 år (intervall 21 år till 86 år); 15,6‑29,9 % av patienterna var ≥65 år och 0,6‑3,8 % var ≥ 75 år.
Ertugliflozin som tilläggsbehandling till metformin
Totalt 621 patienter med typ 2-diabetes som inte kontrollerades adekvat med metformin i monoterapi (≥ 1 500 mg/dag) deltog i en randomiserad, dubbelblind, 26‑veckors, placebokontrollerad multicenterstudie för att utvärdera effekt och säkerhet för ertugliflozin i kombination med metformin. Patienterna randomiserades till ertugliflozin 5 mg, ertugliflozin 15 mg eller placebo givet en gång dagligen som tillägg till fortsatt bakgrundsbehandling med metformin (se tabell 2).
Tabell 2: Resultat vecka 26 från en placebokontrollerad studie av ertugliflozin använt i kombination med metformin*
* N inkluderar alla randomiserade, behandlade patienter som hade minst en mätning av utfallsvariabeln.
† Minsta kvadratmedelvärden justerade för tid, tidigare antihyperglykemiska läkemedel, utgångsvärde för eGFR, randomiseringsstratum avseende menopausal status och tidsinteraktion per behandling.
‡ p≤ 0,001 jämfört med placebo.
§ p< 0,001 jämfört med placebo (baserat på justerade oddskvotjämförelser från en logistisk regressionsmodell med multipel imputation för saknade datavärden).
Faktoriell studie med ertugliflozin och sitagliptin som tilläggsbehandling till metformin
Totalt 1 233 patienter med typ 2-diabetes deltog i en randomiserad, dubbelblind, 26‑veckors, aktivt kontrollerad multicenterstudie för att utvärdera effekt och säkerhet för ertugliflozin 5 mg eller 15 mg i kombination med sitagliptin 100 mg jämfört med de enskilda komponenterna. Patienter med typ 2-diabetes som inte kontrollerades adekvat med metformin i monoterapi (≥ 1 500 mg/dag) randomiserades till en av fem aktiva behandlingsarmar: ertugliflozin 5 mg eller 15 mg, sitagliptin 100 mg, eller sitagliptin 100 mg i kombination med 5 mg eller 15 mg ertugliflozin givet en gång dagligen som tillägg till fortsatt bakgrundsbehandling med metformin (se tabell 3).
Tabell 3: Resultat vecka 26 från en faktoriell studie med ertugliflozin och sitagliptin som tilläggsbehandling till metformin jämfört med enbart de enskilda komponenterna*
* N inkluderar alla randomiserade, behandlade patienter som hade minst en mätning av utfallsvariabeln.
† Minsta kvadratmedelvärde justerat för tid, utgångsvärde för eGFR och tidsinteraktion per behandling.
‡ p< 0,001 jämfört med kontrollgruppen.
§ p< 0,001 jämfört med motsvarande dos av ertugliflozin eller sitagliptin (baserat på justerade oddskvotjämförelser från en logistisk regressionsmodell med multipel imputation för saknade datavärden).
Ertugliflozin som tilläggsbehandling till metformin och sitagliptin
Totalt 463 patienter med typ 2-diabetes som inte kontrollerades adekvat med metformin (≥ 1 500 mg/dag) och sitagliptin 100 mg en gång dagligen deltog i en randomiserad, dubbelblind, 26 veckors, placebokontrollerad multicenterstudie för att utvärdera effekt och säkerhet för ertugliflozin. Patienterna randomiserades till ertugliflozin 5 mg, ertugliflozin 15 mg eller placebo givet en gång dagligen som tillägg till fortsatt bakgrundsbehandling med metformin och sitagliptin (se tabell 4).
Tabell 4: Resultat vecka 26 från en studie av ertugliflozin som tillägg till kombinationsbehandling med metformin och sitagliptin*
* N inkluderar alla randomiserade, behandlade patienter som hade minst en mätning av utfallsvariabeln.
† Minsta kvadratmedelvärden justerade för tid, tidigare antihyperglykemiska läkemedel, utgångsvärde för eGFR och tidsinteraktion per behandling.
‡ p≤ 0,001 jämfört med placebo.
§ p< 0,001 jämfört med placebo (baserat på justerade oddskvotjämförelser från en logistisk regressionsmodell med multipel imputation för saknade datavärden).
Aktivt kontrollerad studie av ertugliflozin jämfört med glimepirid som tilläggsbehandling till metformin
Totalt 1 326 patienter med typ 2-diabetes som inte kontrollerades adekvat med metformin i monoterapi deltog i en randomiserad, dubbelblind, 52‑veckors, aktivt kontrollerad jämförande multicenterstudie för att utvärdera effekt och säkerhet för ertugliflozin i kombination med metformin. Dessa patienter, som fick metformin i monoterapi (≥ 1 500 mg/dag), randomiserades till ertugliflozin 5 mg, ertugliflozin 15 mg eller glimepirid givet en gång dagligen som tillägg till fortsatt bakgrundsbehandling med metformin. Glimepirid sattes in med 1 mg/dag och titrerades upp till en högsta dos på 6 eller 8 mg/dag (beroende på högsta godkända dos i de enskilda länderna) eller en högsta tolererad dos eller titrerades ned för att undvika eller hantera hypoglykemi. Den genomsnittliga dagliga dosen av glimepirid var 3 mg (se tabell 5).
Tabell 5: Resultat vecka 52 från en aktivt kontrollerad studie som jämförde ertugliflozin med glimepirid som tilläggsbehandling hos patienter som inte kontrollerades adekvat på metformin*
* N inkluderar alla randomiserade, behandlade patienter som hade minst en mätning av utfallsvariabeln.
† Minsta kvadratmedelvärde justerat för tid, tidigare antihyperglykemiska läkemedel, utgångsvärde för eGFR och tidsinteraktion per behandling.
‡ Non-inferiority konstateras när den övre gränsen för det tvåsidiga 95 % konfidensintervallet (KI) för den genomsnittliga skillnaden är mindre än 0,3 %.
§ p< 0,001 jämfört med glimepirid.
Ertugliflozin som tilläggsbehandling till insulin (med eller utan metformin)
I en 18 veckor lång, randomiserad, dubbelblind, placebokontrollerad, multicenter, glykemisk delstudie i VERTIS CV randomiserades totalt 1 065 patienter med typ 2‑diabetes mellitus och etablerad aterosklerotisk hjärt-kärlsjukdom med otillräcklig glykemisk kontroll (hemoglobin A1c [HbA1c] mellan 7 % och 10,5 %) med bakgrundsbehandling i form av insulin ≥20 enheter/dag (59 % av patienterna stod också på metformin ≥1 500 mg/dag) till ertugliflozin 5 mg, ertugliflozin 15 mg eller placebo en gång dagligen (se tabell 6).
Tabell 6: Resultat vecka 18 från en studie av ertugliflozin som tillägg till insulin (med eller utan metformin) hos patienter med typ 2-diabetes mellitus*
* N inkluderar alla randomiserade, behandlade patienter som hade minst en mätning av utfallsvariabeln.
† Minsta kvadratmedelvärden justerade för tid, insulinstratum, utgångsvärde för eGFR och tidsinteraktion per behandling.
‡ p< 0,001 jämfört med placebo.
§ p< 0,001 jämfört med placebo (baserat på justerade oddskvotjämförelser från en logistisk regressionsmodell med multipel imputation för saknade datavärden).
Ertugliflozin som tilläggsbehandling till metformin och sulfonylurea
I en 18 veckor lång, randomiserad, dubbelblind, placebokontrollerad, multicenter, glykemisk delstudie i VERTIS CV randomiserades totalt 330 patienter med typ 2‑diabetes mellitus och etablerad aterosklerotisk hjärt-kärlsjukdom med otillräcklig glykemisk kontroll (HbA1c mellan 7 % och 10,5 %) med bakgrundsbehandling i form av metformin ≥1 500 mg/dag och en sulfonylurea till ertugliflozin 5 mg, ertugliflozin 15 mg eller placebo en gång dagligen (se tabell 7).
Tabell 7: Resultat vecka 18 från en studie av ertugliflozin i kombination med metformin och en sulfonylurea hos patienter med typ 2-diabetes mellitus*
* N inkluderar alla randomiserade, behandlade patienter som hade minst en mätning av utfallsvariabeln.
† Minsta kvadratmedelvärden justerade för tid, utgångsvärde för eGFR och tidsinteraktion per behandling.
‡ p< 0,001 jämfört med placebo.
§ p< 0,001 jämfört med placebo (baserat på justerade oddskvotjämförelser från en logistisk regressionsmodell med multipel imputation för saknade datavärden).
Fasteplasmaglukos
I tre placebokontrollerade studier resulterade ertugliflozin i statistiskt signifikanta sänkningar av fasteplasmaglukos (FPG). För ertugliflozin 5 mg respektive 15 mg var de placebokorrigerade sänkningarna av FPG 1,92 och 2,44 mmol/l som monoterapi, 1,48 och 2,12 mmol/l som tillägg till metformin, och 1,40 och 1,74 mmol/l som tillägg till metformin och sitagliptin.
Kombinationen av ertugliflozin och sitagliptin med metformingrundbehandling resulterade i signifikant större sänkningar av FPG än enbart sitagliptin eller ertugliflozin. Kombinationen av ertugliflozin 5 mg eller 15 mg och sitagliptin resulterade i inkrementella FPG-sänkningar på 0,46 och 0,65 mmol/l jämfört med enbart ertugliflozin eller 1,02 och 1,28 mmol/l jämfört med enbart sitagliptin.
Effekt hos patienter med HbA1c ≥ 9 % vid studiestart
I studien av ertugliflozin i kombination med metformin på patienter med utgångsvärden för HbA1c på 7‑10,5 % var de placebokorrigerade sänkningarna av HbA1c i subgruppen av patienterna i studien med ett utgångsvärde för HbA1c ≥ 9 % 1,31 % och 1,43 % med ertugliflozin 5 mg respektive 15 mg.
I studien på patienter som inte kontrollerades adekvat med metformin och som hade ett utgångsvärde för HbA1c på 7,5‑11 % gav kombinationen ertugliflozin 5 mg eller 15 mg och sitagliptin sänkningar av HbA1c på 2,35 % respektive 2,66 % i subgruppen av patienter med ett utgångsvärde för HbA1c ≥ 10 % jämfört med 2,10 %, 1,30 % och 1,82 % för enbart ertugliflozin 5 mg, ertugliflozin 15 mg respektive sitagliptin.
Blodtryck
Använt som tillägg till metformin resulterade ertugliflozin 5 mg och 15 mg i statistiskt signifikanta placebokorrigerade sänkningar i det systoliska blodtrycket (SBP) på 3,7 mmHg respektive 4,5 mmHg. Använt som tillägg till metformin och sitagliptin resulterade ertugliflozin 5 mg eller 15 mg i statistiskt signifikanta placebokorrigerade sänkningar i SBP på 2,9 mmHg respektive 3,9 mmHg.
I en 52-veckors, aktivt kontrollerad studie vs glimepirid var sänkningarna i det systoliska blodtryckets (SBP) utgångsvärde 2,2 mmHg och 3,8 mmHg för ertugliflozin 5 mg respektive 15 mg, medan personer behandlade med glimepirid hade en ökning av SBP utgångsvärdet på 1,0 mmHg.
Subgruppsanalys
Hos patienter med typ 2-diabetes behandlade med ertugliflozin i kombination med metformin observerades kliniskt betydelsefulla sänkningar av HbA1c i subgrupper indelade efter ålder, kön, ras, etnicitet, geografisk region, utgångsvärdet för kroppsmasseindex (BMI), utgångsvärdet för HbA1c och duration av typ 2 diabetes mellitus.
Kardiovaskulära utfall
Effekten av ertugliflozin på kardiovaskulär risk hos vuxna patienter med typ 2-diabetes mellitus och etablerad aterosklerotisk hjärt-kärlsjukdom utvärderades i studien VERTIS CV, en multinationell, randomiserad, dubbelblind, placebokontrollerad, händelsedriven multicenterstudie. Studien jämförde risken att drabbas av en allvarligare negativ hjärt-kärlhändelse (MACE) mellan ertugliflozin och placebo när dessa användes som tilläggsbehandling och användes samtidigt med standardbehandlingar för diabetes och aterosklerotisk hjärt-kärlsjukdom.
Totalt 8 246 patienter randomiserades (placebo N=2 747, ertugliflozin 5 mg N=2 752, ertugliflozin 15 mg N=2 747) och följdes under en mediantid av 3 år. Genomsnittlig ålder var 64 år och cirka 70 % var män.
Samtliga patienter i studien hade otillräckligt kontrollerad typ 2‑diabetes mellitus vid studiestart (HbA1c högre än eller lika med 7 %). Genomsnittlig duration av typ 2‑diabetes mellitus var 13 år, genomsnittligt HbA1c vid studiestart var 8,2 % och genomsnittlig eGFR var 76 ml/min/1,73 m2. Vid studiestart behandlades patienterna med ett (32 %) eller flera (67 %) diabetesläkemedel, däribland metformin (76 %), insulin (47 %), sulfonylurea (41 %), dipeptidylpeptidas-4 (DPP‑4)‑hämmare (11 %) och glukagonliknande peptid-1 (GLP‑1)‑receptoragonister (3 %).
Nästan alla patienter (99 %) hade etablerad aterosklerotisk hjärt-kärlsjukdom vid studiestart. Cirka 24 % av patienterna hade anamnes på hjärtsvikt. Primärt effektmått i VERTIS CV var tiden till första förekomst av MACE (hjärt-kärldöd, icke-dödlig hjärtinfarkt eller icke-dödlig stroke).
Ertugliflozin var inte sämre än placebo vad gäller MACE (se tabell 8). Resultaten för de enskilda doserna 5 mg och 15 mg överensstämde med resultaten för de sammanslagna dosgrupperna.
Hos patienter behandlade med ertugliflozin var frekvensen av sjukhusinläggning för hjärtsvikt lägre än hos patienter behandlade med placebo (se tabell 8 och figur 1).
Tabell 8: Analys av MACE och dess komponenter samt sjukhusinläggning för hjärtsvikt från studien VERTIS CV*
N=Antal patienter, KI=konfidensintervall.
* Intent-to-treat analysset.
† MACE utvärderades hos patienter som tog minst en dos studieläkemedel och för patienter som avbröt behandlingen med studieläkemedel före studiens slut. Händelser som inträffade mer än 365 dagar efter den sista dosen studieläkemedel censurerades. Övriga effektmått utvärderades för alla randomiserade patienter och händelser som inträffade någon gång efter den första dosen studieläkemedel till den sista dagen för kontakt. Det totala antalet första händelser analyserades för varje effektmått.
‡ För MACE redovisas 95,6 % KI, för övriga effektmått redovisas 95 % KI.
#Ej utvärderat för statistisk signifikans eftersom det inte ingick i den förspecificerade sekventiella testproceduren.
Figur 1: Tid till första förekomst av sjukhusinläggning för hjärtsvikt
Pediatrisk population
Europeiska läkemedelsmyndigheten har beviljat undantag från kravet att skicka in studieresultat för Segluromet för alla grupper av den pediatriska populationen för behandling av typ 2-diabetes (information om pediatrisk användning finns i avsnitt 4.2).
Segluromet
Segluromet har visats vara bioekvivalent med samtidig administrering av motsvarande doser av ertugliflozin och metformin i separata tabletter.
Ertugliflozin
Allmän introduktion
Farmakokinetiken för ertugliflozin är likartad hos friska personer och patienter med typ 2-diabetes. Genomsnittlig AUC och Cmax i plasma vid steady state var 398 ng.h/ml respektive 81 ng/ml vid behandling med 5 mg ertugliflozin en gång dagligen och 1 193 ng.h/ml respektive 268 ng/ml vid behandling med 15 mg ertugliflozin en gång dagligen. Steady state uppnås efter 4 till 6 dagars dosering av ertugliflozin en gång dagligen. Ertugliflozin uppvisar inte tidsberoende farmakokinetik och ackumuleras i plasma upp till 10‑40 % efter upprepad dosering.
Absorption
Efter en peroral engångsdos på 5 mg och 15 mg ertugliflozin uppnås maximala plasmakoncentrationer (mediantid till maximal plasmakoncentration [Tmax]) av ertugliflozin 1 timme efter dosering i fasta. Cmax och AUC i plasma för ertugliflozin ökar dosproportionellt efter engångsdoser från 0,5 mg till 300 mg och efter upprepade doser från 1 mg till 100 mg. Den absoluta perorala biotillgängligheten för ertugliflozin efter administrering av en 15 mg‑dos är ungefär 100 %.
Administrering av ertugliflozin med en fett- och kaloririk måltid sänker Cmax för ertugliflozin med 29 % och förlänger Tmax med 1 timme men påverkar inte AUC jämfört med dosering i fasta. Den observerade effekten av föda på farmakokinetiken för ertugliflozin anses inte vara kliniskt betydelsefull och ertugliflozin kan administreras med eller utan föda. I kliniska studier i fas 3 gavs ertugliflozin utan hänsyn till måltider.
Effekterna av en fettrik måltid på farmakokinetiken för ertugliflozin och metformin givet som Segluromettabletter är jämförbara med de som rapporteras för de separata tabletterna. Föda hade ingen betydelsefull effekt på AUCinf för ertugliflozin eller metformin, men sänkte genomsnittligt Cmax för ertugliflozin med cirka 41 % och Cmax för metformin med cirka 29 % jämfört med dosering i fasta.
Ertugliflozin är substrat för transportörerna P‑glykoprotein (P‑gp) och bröstcancerresistent protein (BCRP).
Distribution
Genomsnittlig distributionsvolym för ertugliflozin i steady state efter en intravenös dos är 86 l. Ertugliflozin binds till plasmaproteiner till 93,6 % oberoende av plasmakoncentrationen av ertugliflozin. Bindningen till plasmaproteiner förändras inte i någon betydelsefull grad hos patienter med nedsatt njur- eller leverfunktion. Kvoten mellan ertugliflozinkoncentrationen i blod och plasma är 0,66.
Ertugliflozin är inte ett substrat för organiska anjonstransportörer (OAT1, OAT3), organiska katjonstransportörer (OCT1, OCT2) eller för organiska anjontransporterande polypeptider (OATP1B1, OATP1B3) in vitro.
Metabolism
Metabolism är den primära clearancemekanismen för ertugliflozin. Den huvudsakliga metabola vägen för ertugliflozin är UGT1A9‑ och UGT2B7‑medierad O‑glukuronidering till två glukuronider som är farmakologiskt inaktiva vid kliniskt relevanta koncentrationer. CYP‑medierad (oxidativ) metabolism av ertugliflozin är minimal (12 %).
Eliminering
Genomsnittligt systemiskt plasmaclearance efter en intravenös dos på 100 µg var 11 l/h. Genomsnittlig halveringstid i eliminationsfasen hos patienter med typ 2-diabetes och normal njurfunktion beräknades vara 17 timmar baserat på den populationsfarmakokinetiska analysen. Efter administrering av en peroral [14C]‑ertugliflozinlösning till friska personer eliminerades cirka 41 % och 50 % av den läkemedelsrelaterade radioaktiviteten i feces respektive urin. Endast 1,5 % av den administrerade dosen utsöndrades som oförändrat ertugliflozin i urin och 34 % utsöndrades som oförändrat ertugliflozin i feces, vilket troligen beror på biliär utsöndring av glukuronidmetaboliter och efterföljande hydrolys till modersubstansen.
Särskilda populationer
Nedsatt njurfunktion
I en klinisk farmakologistudie i fas 1 på patienter med typ 2-diabetes och lätt, måttligt eller kraftigt nedsatt njurfunktion (fastställd med eGFR) var de genomsnittliga ökningarna av ertugliflozins AUC efter en engångsdos på 15 mg ertugliflozin ≤ 1,7‑faldiga jämfört med personer med normal njurfunktion. Dessa ökningar av AUC för ertugliflozin anses inte vara kliniskt relevanta. Det fanns inga kliniskt betydelsefulla skillnader i Cmax-värdena för ertugliflozin i grupperna med olika njurfunktion. Dygnsutsöndringen av glukos via urinen minskade med ökande grad av njurfunktionsnedsättning (se avsnitt 4.4). Plasmaproteinbindningen av ertugliflozin påverkades inte hos patienter med nedsatt njurfunktion.
Nedsatt leverfunktion
Måttligt nedsatt leverfunktion (baserat på klassificering enligt Child-Pugh) resulterade inte i någon ökad exponering av ertugliflozin. AUC för ertugliflozin minskade med cirka 13 % och Cmax minskade med cirka 21 % jämfört med personer med normal leverfunktion. Denna minskning av exponeringen av ertugliflozin anses inte vara kliniskt betydelsefull. Det finns ingen klinisk erfarenhet från patienter med Child-Pugh klass C (grav) leverfunktionsnedsättning. Plasmaproteinbindningen av ertugliflozin påverkades inte hos patienter med måttligt nedsatt leverfunktion.
Pediatrisk population
Inga studier av ertugliflozin har utförts på pediatriska patienter.
Effekter av ålder, kroppsvikt, kön och etnicitet
Baserat på en populationsfarmakokinetisk analys har ålder, kroppsvikt, kön och etnicitet inte någon kliniskt betydelsefull effekt på farmakokinetiken för ertugliflozin.
Läkemedelsinteraktioner
Utvärdering av ertugliflozin in vitro
I in vitro‑studier hämmade eller inaktiverade inte ertugliflozin eller ertugliflozinglukuronider CYP 1A2, 2C9, 2C19, 2C8, 2B6, 2D6 eller 3A4 och inducerade inte CYP 1A2, 2B6 eller 3A4. Ertugliflozin och ertugliflozinglukuronider hämmade inte aktiviteten hos UGT 1A6, 1A9 eller 2B7 in vitro. Ertugliflozin var en svag hämmare av UGT 1A1 och 1A4 in vitro vid högre koncentrationer som inte är kliniskt relevanta. Ertugliflozinglukuroniderna hade ingen effekt på dessa isoformer. Generellt är det osannolikt att ertugliflozin påverkar farmakokinetiken för samtidigt administrerade läkemedel som elimineras av dessa enzymer.
Ertugliflozin eller ertugliflozinglukuronider uppvisar ingen betydelsefull hämning av transportörerna P‑gp, OCT2, OAT1, OAT3 eller av transporterande polypeptiderna OATP1B1 och OATP1B3 vid kliniskt relevanta koncentrationer in vitro. Generellt är det osannolikt att ertugliflozin påverkar farmakokinetiken för samtidigt administrerade läkemedel som är substrat för dessa transportörer.
Metformin
Absorption
Den absoluta biotillgängligheten för en tablett med 500 mg metforminhydroklorid given i fasta är cirka 50‑60 %. Studier med perorala engångsdoser av metforminhydrokloridtabletter på 500 mg till 1 500 mg och 850 mg till 2 550 mg tyder på att dosproportionalitet inte föreligger med ökande doser, vilket beror på minskad absorption snarare än förändrad eliminering. Vid vanliga kliniska doser och doseringsscheman för metforminhydrokloridtabletter uppnås steady state för plasmakoncentrationen inom 24‑48 timmar och är vanligen mindre än 1 µg/ml. Under kontrollerade kliniska studier av metformin översteg inte de maximala plasmanivåerna av metformin 5 µg/ml, inte ens vid maximala doser.
Födointag minskar omfattningen av, och försenar något, absorptionen av metformin, vilket framgår av att Cmax minskar med cirka 40 %, att AUC minskar med 25 % och Tmax förlängs med 35 minuter när en engångsdos på 850 mg metformin administreras tillsammans med föda, jämfört med när samma tablettstyrka ges i fasta. Den kliniska relevansen för denna nedgång är okänd.
Distribution
Den synbara distributionsvolymen (V/F) för metformin efter en peroral engångsdos av metforminhydrokloridtabletter 850 mg var i genomsnitt 654 ± 358 L. Plasmaproteinbindningen av metformin är försumbar. Metformin tränger in i erytrocyter.
Metabolism
Metformin utsöndras oförändrat i urinen. Inga metaboliter har identifierats hos människan.
Eliminering
Renalt clearance är cirka 3,5 gånger högre än kreatininclearance, vilket tyder på att tubulär sekretion är den huvudsakliga eliminationsvägen. Efter en peroral dos elimineras cirka 90 % av det absorberade metforminet via njurarna inom de första 24 timmarna, med en halveringstid i eliminationsfasen i plasma på cirka 6,2 timmar.
Särskilda populationer
Nedsatt njurfunktion
Hos patienter med nedsatt njurfunktion är halveringstiden för metformin i plasma och blod förlängd och renalt clearance sjunker i proportion till sänkningen av eGFR (se avsnitt 4.3 och 4.4).
Nedsatt leverfunktion
Inga farmakokinetiska studier av metformin har utförts på patienter med leverinsufficiens.
Effekter av ålder, kroppsvikt, kön och etnicitet
Begränsade data från kontrollerade farmakokinetiska studier av metformin hos friska äldre personer tyder på att totalt plasmaclearance av metformin är lägre, att halveringstiden är längre och att Cmax är högre än hos friska unga personer. Baserat på dessa data förefaller det som att den förändring av metformins farmakokinetik som sker med stigande ålder främst beror på förändrad njurfunktion.
Vid analys efter kön fanns det inga signifikanta skillnader i farmakokinetiska parametrar för metformin mellan friska personer och patienter med typ 2-diabetes. Likaledes var metformins antihyperglykemiska effekt jämförbar hos män och hos kvinnor i kontrollerade kliniska studier på patienter med typ 2-diabetes.
Inga studier av metformins farmakokinetik efter etnicitet har utförts. I kontrollerade kliniska studier av metformin på patienter med typ 2-diabetes var den antihyperglykemiska effekten jämförbar hos vita (n=249), svarta (n=51) och latinamerikaner (n=24).
Gängse studier avseende säkerhetsfarmakologi, akut toxicitet, allmäntoxicitet, gentoxicitet och karcinogenicitet visade inte några särskilda risker för människa.
Allmäntoxicitet
Ertugliflozin
Studier av allmäntoxicitet med repeterade perorala doser utfördes på mus, råtta och hund i upp till 13, 26 respektive 39 veckor. Tecken på toxicitet som ansågs vara negativ observerades generellt vid exponeringar som var större än eller motsvarade 77 gånger den obundna exponeringen (AUC) hos människa vid den maximala rekommenderade humana dosen (MRHD) på 15 mg/dag. Merparten av toxiciteten överensstämde med farmakologi relaterad till uringlukosförlust och inkluderade viktnedgång och minskat kroppsfett, ökad matkonsumtion, diarré, dehydrering, sänkt serumglukos och ökning av andra serumparametrar som återspeglar ökad proteinmetabolism, glukoneogenes och rubbad elektrolytbalans, samt urinförändringar såsom polyuri, glukosuri och kalciuri. Mikroskopiska förändringar relaterade till glukosuri och/eller kalciuri som endast observerades hos gnagare inkluderade dilatation av njurtubuli, hypertrofi av zona glomerulosa i binjurarna (råtta) och ökat trabekulärt ben (råtta). Bortsett från emesis, påvisades ingen skadlig toxicitet hos hund vid 379 gånger den obundna exponeringen (AUC) hos människa vid MRHD på 15 mg/dag.
Karcinogenes
Ertugliflozin
I den tvååriga karcinogenicitetsstudien på mus administrerades ertugliflozin med oral sond i doser på 5, 15 och 40 mg/kg/dag. Inga ertugliflozinrelaterade neoplastiska fynd gjordes vid doser på upp till 40 mg/kg/dag (cirka 41 gånger den obundna exponeringen hos människa vid MRHD på 15 mg/dag baserat på AUC). I den tvååriga karcinogenicitetsstudien på råtta administrerades ertugliflozin med oral sond i doser på 1,5, 5 och 15 mg/kg/dag. Ertugliflozinrelaterade neoplastiska fynd inkluderade en ökad incidens av benigna feokromocytomer i binjuremärgen hos hanråtta vid 15 mg/kg/dag. Detta fynd tillskrevs kolhydratmalabsorption som ledde till förändrad kalciumhomeostas och ansågs inte vara relevant för människan. Nivån utan observerad effekt (NOEL) för neoplasi var 5 mg/kg/dag (cirka 16 gånger den obundna exponeringen hos människa vid MRHD på 15 mg/dag).
Metformin
Långvariga karcinogenicitetsstudier har utförts på råtta (doseringsduration på 104 veckor) och mus (doseringsduration på 91 veckor) vid doser till och med 900 mg/kg/dag respektive 1 500 mg/kg/dag. Båda dessa doser är cirka fyra gånger högre än den högsta rekommenderade dagliga dosen på 2 000 mg till människa baserat på kroppsyta. Inga tecken på att metformin är karcinogent påvisades hos varken han- eller honmöss. Inte heller observerades någon tumorigen potential hos metformin i hanråtta. Emellertid observerades en ökad incidens av benigna stromala polyper i livmodern hos honråttor behandlade med 900 mg/kg/dag.
Mutagenes
Ertugliflozin
Ertugliflozin var inte mutagent eller klastogent med eller utan metabol aktivering i mikrobiell omvänd mutationsanalys, cytogenetisk analys (humana lymfocyter) in vitro och råttmikrokärntest in vivo.
Metformin
Det fanns inga tecken på en mutagen potential hos metformin i följande in vitro-tester: Ames test (S. typhimurium), genmutationstest (muslymfomceller) eller kromosomavvikelsetest (humana lymfocyter). Resultaten i musmikrokärntestet in vivo var också negativt.
Reproduktionstoxikologi
Ertugliflozin
I studien av fertilitet och embryonal utveckling på råtta gavs han- och honråttor ertugliflozin vid 5, 25 och 250 mg/kg/dag. Inga effekter på fertiliteten observerades vid 250 mg/kg/dag (cirka 386 gånger den obundna exponeringen hos människa vid MRHD på 15 mg/dag baserat på jämförelser av AUC). Ertugliflozin hade ingen negativ påverkan på utvecklingen hos råtta och kanin vid maternella exponeringar som var 239 respektive 1 069 gånger exponeringen hos människa vid den högsta kliniska dosen på 15 mg/dag, baserat på AUC. Vid en maternellt toxisk dos till råtta (250 mg/kg/dag) observerades lägre fosterviabilitet, och en högre incidens av en visceral missbildning sågs vid en maternell exponering som var 510 gånger den högsta kliniska dosen på 15 mg/dag.
I den pre- och postnatala utvecklingsstudien observerades minskad postnatal tillväxt och utveckling hos råttor som givits ertugliflozin på gestationsdag 6 till laktationsdag 21 i doser på ≥100 mg/kg/dag (cirka 239 gånger exponeringen hos människa vid den högsta kliniska dosen på 15 mg/dag, baserat på AUC). Könsmognaden försenades hos båda könen vid 250 mg/kg/dag (cirka 620 gånger MRHD på 15 mg/dag, baserat på AUC).
När ertugliflozin administrerades till unga råttor från den 21:a postnatala dagen (PND) till den 90:e PND, en period i den renala utvecklingen som motsvarar den senare delen av andra trimestern och tredje trimestern av human graviditet, sågs ökad njurvikt, dilatation av njurbäcken och njurtubuli och mineralisering av njurtubuli vid en exponering som var 13 gånger högre än den högsta kliniska dosen på 15 mg/dag, baserat på AUC. Effekter på skelett (kortare femurlängd, ökat trabekulärt ben i femur) liksom effekter i form av försenad pubertet observerades vid exponeringar på 817 gånger MHRD på 15 mg/dag baserat på AUC. Effekterna på njurar och skelett hade inte reverserats fullt ut efter 1 månads återhämtningstid.
Metformin
Fertiliteten hos han- och honråttor påverkades inte av metformin givet i så höga doser som 600 mg/kg/dag, vilket är cirka tre gånger den högsta rekommenderade dagliga dosen till människa baserat på kroppsyta. Metformin hade ingen negativ effekt på utvecklingen när det gavs till råtta och kanin i doser på upp till 600 mg/kg/dag. Detta motsvarar en exponering på cirka 2 och 6 gånger exponeringen vid den högsta rekommenderade dosen på 2 000 mg till människa baserat på kroppsyta för råtta respektive kanin. Bestämningen av koncentrationer i foster visade en partiell placentabarriär mot metformin.
Farmakoterapeutisk grupp: Perorala diabetesmedel, kombinationer, ATC-kod: A10BD23
Verkningsmekanism
Segluromet kombinerar två antihyperglykemiska substanser med kompletterande verkningsmekanismer för att förbättra glykemisk kontroll hos patienter med typ 2-diabetes: ertugliflozin, en SGLT2-hämmare, och metforminhydroklorid, som tillhör läkemedelsklassen biguanider.
Ertugliflozin
SGLT2 är den viktigaste transportören som ansvarar för återabsorption av glukos från glomerulusfiltratet tillbaka till blodet. Ertugliflozin är en potent, selektiv och reversibel hämmare av SGLT2. Genom att hämma SGLT2 minskar ertugliflozin den renala återabsorptionen av filtrerat glukos och sänker den renala tröskeln för glukos, och ökar därigenom utsöndringen av glukos via urinen.
Metformin
Metformin är ett antihyperglykemiskt medel som förbättrar glukostoleransen hos patienter med typ 2-diabetes och sänker både basalt och postprandiellt plasmaglukos. Dess farmakologiska verkningsmekanism skiljer sig från andra klasser av perorala antihyperglykemiska medel. Metformin minskar glukosproduktionen i levern, minskar glukosabsorptionen i tarmen och förbättrar insulinkänsligheten genom att öka det perifera upptaget och användningen av glukos. Till skillnad från sulfonylurea orsakar metformin inte hypoglykemi varken hos patienter med typ 2-diabetes eller hos friska personer, utom under särskilda omständigheter (se avsnitt 4.5), och orsakar inte hyperinsulinemi. Vid metforminbehandling förblir insulinutsöndringen oförändrad medan nivåerna av fasteinsulin och det dagslånga insulinsvaret i plasma kan minska.
Farmakodynamisk effekt
Ertugliflozin
Glukosutsöndring i urin och urinvolym
Dosberoende ökningar av mängden glukos som utsöndrades i urinen observerades hos friska personer och hos patienter med typ 2-diabetes mellitus efter engångsdoser och upprepad administrering av ertugliflozin. Dos-responsmodellering tyder på att ertugliflozin 5 mg och 15 mg resulterar i nära maximal glukosutsöndring i urinen (UGE) hos patienter med typ 2-diabetes mellitus och ger 87 % respektive 96 % av maximal hämning.
Klinisk effekt och säkerhet
Både förbättring av glykemisk kontroll och minskning av kardiovaskulär morbiditet och mortalitet är viktiga delar i behandlingen av typ 2‑diabetes mellitus.
Glykemisk kontroll
Den glykemiska effekten och säkerheten för ertugliflozin i kombination med metformin har studerats i fyra randomiserade, dubbelblinda, placebokontrollerade och aktivt kontrollerade jämförande kliniska multicenterstudier i fas 3 på 3 643 patienter med typ 2-diabetes. I de fyra studierna var andelen vita 66,2‑80,3 %, 10,6‑20,3 % var asiater, 1,9‑10,3 % var svarta och 4,5‑7,4 % var av annan etnicitet. Latinamerikaner utgjorde 15,6‑34,5 % av populationen. Den genomsnittliga åldern hos patienterna i dessa fyra studier låg på 55,1‑59,1 år (intervall 21 år till 86 år); 15,6‑29,9 % av patienterna var ≥65 år och 0,6‑3,8 % var ≥ 75 år.
Ertugliflozin som tilläggsbehandling till metformin
Totalt 621 patienter med typ 2-diabetes som inte kontrollerades adekvat med metformin i monoterapi (≥ 1 500 mg/dag) deltog i en randomiserad, dubbelblind, 26‑veckors, placebokontrollerad multicenterstudie för att utvärdera effekt och säkerhet för ertugliflozin i kombination med metformin. Patienterna randomiserades till ertugliflozin 5 mg, ertugliflozin 15 mg eller placebo givet en gång dagligen som tillägg till fortsatt bakgrundsbehandling med metformin (se tabell 2).
Tabell 2: Resultat vecka 26 från en placebokontrollerad studie av ertugliflozin använt i kombination med metformin*
* N inkluderar alla randomiserade, behandlade patienter som hade minst en mätning av utfallsvariabeln.
† Minsta kvadratmedelvärden justerade för tid, tidigare antihyperglykemiska läkemedel, utgångsvärde för eGFR, randomiseringsstratum avseende menopausal status och tidsinteraktion per behandling.
‡ p≤ 0,001 jämfört med placebo.
§ p< 0,001 jämfört med placebo (baserat på justerade oddskvotjämförelser från en logistisk regressionsmodell med multipel imputation för saknade datavärden).
Faktoriell studie med ertugliflozin och sitagliptin som tilläggsbehandling till metformin
Totalt 1 233 patienter med typ 2-diabetes deltog i en randomiserad, dubbelblind, 26‑veckors, aktivt kontrollerad multicenterstudie för att utvärdera effekt och säkerhet för ertugliflozin 5 mg eller 15 mg i kombination med sitagliptin 100 mg jämfört med de enskilda komponenterna. Patienter med typ 2-diabetes som inte kontrollerades adekvat med metformin i monoterapi (≥ 1 500 mg/dag) randomiserades till en av fem aktiva behandlingsarmar: ertugliflozin 5 mg eller 15 mg, sitagliptin 100 mg, eller sitagliptin 100 mg i kombination med 5 mg eller 15 mg ertugliflozin givet en gång dagligen som tillägg till fortsatt bakgrundsbehandling med metformin (se tabell 3).
Tabell 3: Resultat vecka 26 från en faktoriell studie med ertugliflozin och sitagliptin som tilläggsbehandling till metformin jämfört med enbart de enskilda komponenterna*
* N inkluderar alla randomiserade, behandlade patienter som hade minst en mätning av utfallsvariabeln.
† Minsta kvadratmedelvärde justerat för tid, utgångsvärde för eGFR och tidsinteraktion per behandling.
‡ p< 0,001 jämfört med kontrollgruppen.
§ p< 0,001 jämfört med motsvarande dos av ertugliflozin eller sitagliptin (baserat på justerade oddskvotjämförelser från en logistisk regressionsmodell med multipel imputation för saknade datavärden).
Ertugliflozin som tilläggsbehandling till metformin och sitagliptin
Totalt 463 patienter med typ 2-diabetes som inte kontrollerades adekvat med metformin (≥ 1 500 mg/dag) och sitagliptin 100 mg en gång dagligen deltog i en randomiserad, dubbelblind, 26 veckors, placebokontrollerad multicenterstudie för att utvärdera effekt och säkerhet för ertugliflozin. Patienterna randomiserades till ertugliflozin 5 mg, ertugliflozin 15 mg eller placebo givet en gång dagligen som tillägg till fortsatt bakgrundsbehandling med metformin och sitagliptin (se tabell 4).
Tabell 4: Resultat vecka 26 från en studie av ertugliflozin som tillägg till kombinationsbehandling med metformin och sitagliptin*
* N inkluderar alla randomiserade, behandlade patienter som hade minst en mätning av utfallsvariabeln.
† Minsta kvadratmedelvärden justerade för tid, tidigare antihyperglykemiska läkemedel, utgångsvärde för eGFR och tidsinteraktion per behandling.
‡ p≤ 0,001 jämfört med placebo.
§ p< 0,001 jämfört med placebo (baserat på justerade oddskvotjämförelser från en logistisk regressionsmodell med multipel imputation för saknade datavärden).
Aktivt kontrollerad studie av ertugliflozin jämfört med glimepirid som tilläggsbehandling till metformin
Totalt 1 326 patienter med typ 2-diabetes som inte kontrollerades adekvat med metformin i monoterapi deltog i en randomiserad, dubbelblind, 52‑veckors, aktivt kontrollerad jämförande multicenterstudie för att utvärdera effekt och säkerhet för ertugliflozin i kombination med metformin. Dessa patienter, som fick metformin i monoterapi (≥ 1 500 mg/dag), randomiserades till ertugliflozin 5 mg, ertugliflozin 15 mg eller glimepirid givet en gång dagligen som tillägg till fortsatt bakgrundsbehandling med metformin. Glimepirid sattes in med 1 mg/dag och titrerades upp till en högsta dos på 6 eller 8 mg/dag (beroende på högsta godkända dos i de enskilda länderna) eller en högsta tolererad dos eller titrerades ned för att undvika eller hantera hypoglykemi. Den genomsnittliga dagliga dosen av glimepirid var 3 mg (se tabell 5).
Tabell 5: Resultat vecka 52 från en aktivt kontrollerad studie som jämförde ertugliflozin med glimepirid som tilläggsbehandling hos patienter som inte kontrollerades adekvat på metformin*
* N inkluderar alla randomiserade, behandlade patienter som hade minst en mätning av utfallsvariabeln.
† Minsta kvadratmedelvärde justerat för tid, tidigare antihyperglykemiska läkemedel, utgångsvärde för eGFR och tidsinteraktion per behandling.
‡ Non-inferiority konstateras när den övre gränsen för det tvåsidiga 95 % konfidensintervallet (KI) för den genomsnittliga skillnaden är mindre än 0,3 %.
§ p< 0,001 jämfört med glimepirid.
Ertugliflozin som tilläggsbehandling till insulin (med eller utan metformin)
I en 18 veckor lång, randomiserad, dubbelblind, placebokontrollerad, multicenter, glykemisk delstudie i VERTIS CV randomiserades totalt 1 065 patienter med typ 2‑diabetes mellitus och etablerad aterosklerotisk hjärt-kärlsjukdom med otillräcklig glykemisk kontroll (hemoglobin A1c [HbA1c] mellan 7 % och 10,5 %) med bakgrundsbehandling i form av insulin ≥20 enheter/dag (59 % av patienterna stod också på metformin ≥1 500 mg/dag) till ertugliflozin 5 mg, ertugliflozin 15 mg eller placebo en gång dagligen (se tabell 6).
Tabell 6: Resultat vecka 18 från en studie av ertugliflozin som tillägg till insulin (med eller utan metformin) hos patienter med typ 2-diabetes mellitus*
* N inkluderar alla randomiserade, behandlade patienter som hade minst en mätning av utfallsvariabeln.
† Minsta kvadratmedelvärden justerade för tid, insulinstratum, utgångsvärde för eGFR och tidsinteraktion per behandling.
‡ p< 0,001 jämfört med placebo.
§ p< 0,001 jämfört med placebo (baserat på justerade oddskvotjämförelser från en logistisk regressionsmodell med multipel imputation för saknade datavärden).
Ertugliflozin som tilläggsbehandling till metformin och sulfonylurea
I en 18 veckor lång, randomiserad, dubbelblind, placebokontrollerad, multicenter, glykemisk delstudie i VERTIS CV randomiserades totalt 330 patienter med typ 2‑diabetes mellitus och etablerad aterosklerotisk hjärt-kärlsjukdom med otillräcklig glykemisk kontroll (HbA1c mellan 7 % och 10,5 %) med bakgrundsbehandling i form av metformin ≥1 500 mg/dag och en sulfonylurea till ertugliflozin 5 mg, ertugliflozin 15 mg eller placebo en gång dagligen (se tabell 7).
Tabell 7: Resultat vecka 18 från en studie av ertugliflozin i kombination med metformin och en sulfonylurea hos patienter med typ 2-diabetes mellitus*
* N inkluderar alla randomiserade, behandlade patienter som hade minst en mätning av utfallsvariabeln.
† Minsta kvadratmedelvärden justerade för tid, utgångsvärde för eGFR och tidsinteraktion per behandling.
‡ p< 0,001 jämfört med placebo.
§ p< 0,001 jämfört med placebo (baserat på justerade oddskvotjämförelser från en logistisk regressionsmodell med multipel imputation för saknade datavärden).
Fasteplasmaglukos
I tre placebokontrollerade studier resulterade ertugliflozin i statistiskt signifikanta sänkningar av fasteplasmaglukos (FPG). För ertugliflozin 5 mg respektive 15 mg var de placebokorrigerade sänkningarna av FPG 1,92 och 2,44 mmol/l som monoterapi, 1,48 och 2,12 mmol/l som tillägg till metformin, och 1,40 och 1,74 mmol/l som tillägg till metformin och sitagliptin.
Kombinationen av ertugliflozin och sitagliptin med metformingrundbehandling resulterade i signifikant större sänkningar av FPG än enbart sitagliptin eller ertugliflozin. Kombinationen av ertugliflozin 5 mg eller 15 mg och sitagliptin resulterade i inkrementella FPG-sänkningar på 0,46 och 0,65 mmol/l jämfört med enbart ertugliflozin eller 1,02 och 1,28 mmol/l jämfört med enbart sitagliptin.
Effekt hos patienter med HbA1c ≥ 9 % vid studiestart
I studien av ertugliflozin i kombination med metformin på patienter med utgångsvärden för HbA1c på 7‑10,5 % var de placebokorrigerade sänkningarna av HbA1c i subgruppen av patienterna i studien med ett utgångsvärde för HbA1c ≥ 9 % 1,31 % och 1,43 % med ertugliflozin 5 mg respektive 15 mg.
I studien på patienter som inte kontrollerades adekvat med metformin och som hade ett utgångsvärde för HbA1c på 7,5‑11 % gav kombinationen ertugliflozin 5 mg eller 15 mg och sitagliptin sänkningar av HbA1c på 2,35 % respektive 2,66 % i subgruppen av patienter med ett utgångsvärde för HbA1c ≥ 10 % jämfört med 2,10 %, 1,30 % och 1,82 % för enbart ertugliflozin 5 mg, ertugliflozin 15 mg respektive sitagliptin.
Blodtryck
Använt som tillägg till metformin resulterade ertugliflozin 5 mg och 15 mg i statistiskt signifikanta placebokorrigerade sänkningar i det systoliska blodtrycket (SBP) på 3,7 mmHg respektive 4,5 mmHg. Använt som tillägg till metformin och sitagliptin resulterade ertugliflozin 5 mg eller 15 mg i statistiskt signifikanta placebokorrigerade sänkningar i SBP på 2,9 mmHg respektive 3,9 mmHg.
I en 52-veckors, aktivt kontrollerad studie vs glimepirid var sänkningarna i det systoliska blodtryckets (SBP) utgångsvärde 2,2 mmHg och 3,8 mmHg för ertugliflozin 5 mg respektive 15 mg, medan personer behandlade med glimepirid hade en ökning av SBP utgångsvärdet på 1,0 mmHg.
Subgruppsanalys
Hos patienter med typ 2-diabetes behandlade med ertugliflozin i kombination med metformin observerades kliniskt betydelsefulla sänkningar av HbA1c i subgrupper indelade efter ålder, kön, ras, etnicitet, geografisk region, utgångsvärdet för kroppsmasseindex (BMI), utgångsvärdet för HbA1c och duration av typ 2 diabetes mellitus.
Kardiovaskulära utfall
Effekten av ertugliflozin på kardiovaskulär risk hos vuxna patienter med typ 2-diabetes mellitus och etablerad aterosklerotisk hjärt-kärlsjukdom utvärderades i studien VERTIS CV, en multinationell, randomiserad, dubbelblind, placebokontrollerad, händelsedriven multicenterstudie. Studien jämförde risken att drabbas av en allvarligare negativ hjärt-kärlhändelse (MACE) mellan ertugliflozin och placebo när dessa användes som tilläggsbehandling och användes samtidigt med standardbehandlingar för diabetes och aterosklerotisk hjärt-kärlsjukdom.
Totalt 8 246 patienter randomiserades (placebo N=2 747, ertugliflozin 5 mg N=2 752, ertugliflozin 15 mg N=2 747) och följdes under en mediantid av 3 år. Genomsnittlig ålder var 64 år och cirka 70 % var män.
Samtliga patienter i studien hade otillräckligt kontrollerad typ 2‑diabetes mellitus vid studiestart (HbA1c högre än eller lika med 7 %). Genomsnittlig duration av typ 2‑diabetes mellitus var 13 år, genomsnittligt HbA1c vid studiestart var 8,2 % och genomsnittlig eGFR var 76 ml/min/1,73 m2. Vid studiestart behandlades patienterna med ett (32 %) eller flera (67 %) diabetesläkemedel, däribland metformin (76 %), insulin (47 %), sulfonylurea (41 %), dipeptidylpeptidas-4 (DPP‑4)‑hämmare (11 %) och glukagonliknande peptid-1 (GLP‑1)‑receptoragonister (3 %).
Nästan alla patienter (99 %) hade etablerad aterosklerotisk hjärt-kärlsjukdom vid studiestart. Cirka 24 % av patienterna hade anamnes på hjärtsvikt. Primärt effektmått i VERTIS CV var tiden till första förekomst av MACE (hjärt-kärldöd, icke-dödlig hjärtinfarkt eller icke-dödlig stroke).
Ertugliflozin var inte sämre än placebo vad gäller MACE (se tabell 8). Resultaten för de enskilda doserna 5 mg och 15 mg överensstämde med resultaten för de sammanslagna dosgrupperna.
Hos patienter behandlade med ertugliflozin var frekvensen av sjukhusinläggning för hjärtsvikt lägre än hos patienter behandlade med placebo (se tabell 8 och figur 1).
Tabell 8: Analys av MACE och dess komponenter samt sjukhusinläggning för hjärtsvikt från studien VERTIS CV*
N=Antal patienter, KI=konfidensintervall.
* Intent-to-treat analysset.
† MACE utvärderades hos patienter som tog minst en dos studieläkemedel och för patienter som avbröt behandlingen med studieläkemedel före studiens slut. Händelser som inträffade mer än 365 dagar efter den sista dosen studieläkemedel censurerades. Övriga effektmått utvärderades för alla randomiserade patienter och händelser som inträffade någon gång efter den första dosen studieläkemedel till den sista dagen för kontakt. Det totala antalet första händelser analyserades för varje effektmått.
‡ För MACE redovisas 95,6 % KI, för övriga effektmått redovisas 95 % KI.
#Ej utvärderat för statistisk signifikans eftersom det inte ingick i den förspecificerade sekventiella testproceduren.
Figur 1: Tid till första förekomst av sjukhusinläggning för hjärtsvikt
Pediatrisk population
Europeiska läkemedelsmyndigheten har beviljat undantag från kravet att skicka in studieresultat för Segluromet för alla grupper av den pediatriska populationen för behandling av typ 2-diabetes (information om pediatrisk användning finns i avsnitt 4.2).
Segluromet
Segluromet har visats vara bioekvivalent med samtidig administrering av motsvarande doser av ertugliflozin och metformin i separata tabletter.
Ertugliflozin
Allmän introduktion
Farmakokinetiken för ertugliflozin är likartad hos friska personer och patienter med typ 2-diabetes. Genomsnittlig AUC och Cmax i plasma vid steady state var 398 ng.h/ml respektive 81 ng/ml vid behandling med 5 mg ertugliflozin en gång dagligen och 1 193 ng.h/ml respektive 268 ng/ml vid behandling med 15 mg ertugliflozin en gång dagligen. Steady state uppnås efter 4 till 6 dagars dosering av ertugliflozin en gång dagligen. Ertugliflozin uppvisar inte tidsberoende farmakokinetik och ackumuleras i plasma upp till 10‑40 % efter upprepad dosering.
Absorption
Efter en peroral engångsdos på 5 mg och 15 mg ertugliflozin uppnås maximala plasmakoncentrationer (mediantid till maximal plasmakoncentration [Tmax]) av ertugliflozin 1 timme efter dosering i fasta. Cmax och AUC i plasma för ertugliflozin ökar dosproportionellt efter engångsdoser från 0,5 mg till 300 mg och efter upprepade doser från 1 mg till 100 mg. Den absoluta perorala biotillgängligheten för ertugliflozin efter administrering av en 15 mg‑dos är ungefär 100 %.
Administrering av ertugliflozin med en fett- och kaloririk måltid sänker Cmax för ertugliflozin med 29 % och förlänger Tmax med 1 timme men påverkar inte AUC jämfört med dosering i fasta. Den observerade effekten av föda på farmakokinetiken för ertugliflozin anses inte vara kliniskt betydelsefull och ertugliflozin kan administreras med eller utan föda. I kliniska studier i fas 3 gavs ertugliflozin utan hänsyn till måltider.
Effekterna av en fettrik måltid på farmakokinetiken för ertugliflozin och metformin givet som Segluromettabletter är jämförbara med de som rapporteras för de separata tabletterna. Föda hade ingen betydelsefull effekt på AUCinf för ertugliflozin eller metformin, men sänkte genomsnittligt Cmax för ertugliflozin med cirka 41 % och Cmax för metformin med cirka 29 % jämfört med dosering i fasta.
Ertugliflozin är substrat för transportörerna P‑glykoprotein (P‑gp) och bröstcancerresistent protein (BCRP).
Distribution
Genomsnittlig distributionsvolym för ertugliflozin i steady state efter en intravenös dos är 86 l. Ertugliflozin binds till plasmaproteiner till 93,6 % oberoende av plasmakoncentrationen av ertugliflozin. Bindningen till plasmaproteiner förändras inte i någon betydelsefull grad hos patienter med nedsatt njur- eller leverfunktion. Kvoten mellan ertugliflozinkoncentrationen i blod och plasma är 0,66.
Ertugliflozin är inte ett substrat för organiska anjonstransportörer (OAT1, OAT3), organiska katjonstransportörer (OCT1, OCT2) eller för organiska anjontransporterande polypeptider (OATP1B1, OATP1B3) in vitro.
Metabolism
Metabolism är den primära clearancemekanismen för ertugliflozin. Den huvudsakliga metabola vägen för ertugliflozin är UGT1A9‑ och UGT2B7‑medierad O‑glukuronidering till två glukuronider som är farmakologiskt inaktiva vid kliniskt relevanta koncentrationer. CYP‑medierad (oxidativ) metabolism av ertugliflozin är minimal (12 %).
Eliminering
Genomsnittligt systemiskt plasmaclearance efter en intravenös dos på 100 µg var 11 l/h. Genomsnittlig halveringstid i eliminationsfasen hos patienter med typ 2-diabetes och normal njurfunktion beräknades vara 17 timmar baserat på den populationsfarmakokinetiska analysen. Efter administrering av en peroral [14C]‑ertugliflozinlösning till friska personer eliminerades cirka 41 % och 50 % av den läkemedelsrelaterade radioaktiviteten i feces respektive urin. Endast 1,5 % av den administrerade dosen utsöndrades som oförändrat ertugliflozin i urin och 34 % utsöndrades som oförändrat ertugliflozin i feces, vilket troligen beror på biliär utsöndring av glukuronidmetaboliter och efterföljande hydrolys till modersubstansen.
Särskilda populationer
Nedsatt njurfunktion
I en klinisk farmakologistudie i fas 1 på patienter med typ 2-diabetes och lätt, måttligt eller kraftigt nedsatt njurfunktion (fastställd med eGFR) var de genomsnittliga ökningarna av ertugliflozins AUC efter en engångsdos på 15 mg ertugliflozin ≤ 1,7‑faldiga jämfört med personer med normal njurfunktion. Dessa ökningar av AUC för ertugliflozin anses inte vara kliniskt relevanta. Det fanns inga kliniskt betydelsefulla skillnader i Cmax-värdena för ertugliflozin i grupperna med olika njurfunktion. Dygnsutsöndringen av glukos via urinen minskade med ökande grad av njurfunktionsnedsättning (se avsnitt 4.4). Plasmaproteinbindningen av ertugliflozin påverkades inte hos patienter med nedsatt njurfunktion.
Nedsatt leverfunktion
Måttligt nedsatt leverfunktion (baserat på klassificering enligt Child-Pugh) resulterade inte i någon ökad exponering av ertugliflozin. AUC för ertugliflozin minskade med cirka 13 % och Cmax minskade med cirka 21 % jämfört med personer med normal leverfunktion. Denna minskning av exponeringen av ertugliflozin anses inte vara kliniskt betydelsefull. Det finns ingen klinisk erfarenhet från patienter med Child-Pugh klass C (grav) leverfunktionsnedsättning. Plasmaproteinbindningen av ertugliflozin påverkades inte hos patienter med måttligt nedsatt leverfunktion.
Pediatrisk population
Inga studier av ertugliflozin har utförts på pediatriska patienter.
Effekter av ålder, kroppsvikt, kön och etnicitet
Baserat på en populationsfarmakokinetisk analys har ålder, kroppsvikt, kön och etnicitet inte någon kliniskt betydelsefull effekt på farmakokinetiken för ertugliflozin.
Läkemedelsinteraktioner
Utvärdering av ertugliflozin in vitro
I in vitro‑studier hämmade eller inaktiverade inte ertugliflozin eller ertugliflozinglukuronider CYP 1A2, 2C9, 2C19, 2C8, 2B6, 2D6 eller 3A4 och inducerade inte CYP 1A2, 2B6 eller 3A4. Ertugliflozin och ertugliflozinglukuronider hämmade inte aktiviteten hos UGT 1A6, 1A9 eller 2B7 in vitro. Ertugliflozin var en svag hämmare av UGT 1A1 och 1A4 in vitro vid högre koncentrationer som inte är kliniskt relevanta. Ertugliflozinglukuroniderna hade ingen effekt på dessa isoformer. Generellt är det osannolikt att ertugliflozin påverkar farmakokinetiken för samtidigt administrerade läkemedel som elimineras av dessa enzymer.
Ertugliflozin eller ertugliflozinglukuronider uppvisar ingen betydelsefull hämning av transportörerna P‑gp, OCT2, OAT1, OAT3 eller av transporterande polypeptiderna OATP1B1 och OATP1B3 vid kliniskt relevanta koncentrationer in vitro. Generellt är det osannolikt att ertugliflozin påverkar farmakokinetiken för samtidigt administrerade läkemedel som är substrat för dessa transportörer.
Metformin
Absorption
Den absoluta biotillgängligheten för en tablett med 500 mg metforminhydroklorid given i fasta är cirka 50‑60 %. Studier med perorala engångsdoser av metforminhydrokloridtabletter på 500 mg till 1 500 mg och 850 mg till 2 550 mg tyder på att dosproportionalitet inte föreligger med ökande doser, vilket beror på minskad absorption snarare än förändrad eliminering. Vid vanliga kliniska doser och doseringsscheman för metforminhydrokloridtabletter uppnås steady state för plasmakoncentrationen inom 24‑48 timmar och är vanligen mindre än 1 µg/ml. Under kontrollerade kliniska studier av metformin översteg inte de maximala plasmanivåerna av metformin 5 µg/ml, inte ens vid maximala doser.
Födointag minskar omfattningen av, och försenar något, absorptionen av metformin, vilket framgår av att Cmax minskar med cirka 40 %, att AUC minskar med 25 % och Tmax förlängs med 35 minuter när en engångsdos på 850 mg metformin administreras tillsammans med föda, jämfört med när samma tablettstyrka ges i fasta. Den kliniska relevansen för denna nedgång är okänd.
Distribution
Den synbara distributionsvolymen (V/F) för metformin efter en peroral engångsdos av metforminhydrokloridtabletter 850 mg var i genomsnitt 654 ± 358 L. Plasmaproteinbindningen av metformin är försumbar. Metformin tränger in i erytrocyter.
Metabolism
Metformin utsöndras oförändrat i urinen. Inga metaboliter har identifierats hos människan.
Eliminering
Renalt clearance är cirka 3,5 gånger högre än kreatininclearance, vilket tyder på att tubulär sekretion är den huvudsakliga eliminationsvägen. Efter en peroral dos elimineras cirka 90 % av det absorberade metforminet via njurarna inom de första 24 timmarna, med en halveringstid i eliminationsfasen i plasma på cirka 6,2 timmar.
Särskilda populationer
Nedsatt njurfunktion
Hos patienter med nedsatt njurfunktion är halveringstiden för metformin i plasma och blod förlängd och renalt clearance sjunker i proportion till sänkningen av eGFR (se avsnitt 4.3 och 4.4).
Nedsatt leverfunktion
Inga farmakokinetiska studier av metformin har utförts på patienter med leverinsufficiens.
Effekter av ålder, kroppsvikt, kön och etnicitet
Begränsade data från kontrollerade farmakokinetiska studier av metformin hos friska äldre personer tyder på att totalt plasmaclearance av metformin är lägre, att halveringstiden är längre och att Cmax är högre än hos friska unga personer. Baserat på dessa data förefaller det som att den förändring av metformins farmakokinetik som sker med stigande ålder främst beror på förändrad njurfunktion.
Vid analys efter kön fanns det inga signifikanta skillnader i farmakokinetiska parametrar för metformin mellan friska personer och patienter med typ 2-diabetes. Likaledes var metformins antihyperglykemiska effekt jämförbar hos män och hos kvinnor i kontrollerade kliniska studier på patienter med typ 2-diabetes.
Inga studier av metformins farmakokinetik efter etnicitet har utförts. I kontrollerade kliniska studier av metformin på patienter med typ 2-diabetes var den antihyperglykemiska effekten jämförbar hos vita (n=249), svarta (n=51) och latinamerikaner (n=24).
Gängse studier avseende säkerhetsfarmakologi, akut toxicitet, allmäntoxicitet, gentoxicitet och karcinogenicitet visade inte några särskilda risker för människa.
Allmäntoxicitet
Ertugliflozin
Studier av allmäntoxicitet med repeterade perorala doser utfördes på mus, råtta och hund i upp till 13, 26 respektive 39 veckor. Tecken på toxicitet som ansågs vara negativ observerades generellt vid exponeringar som var större än eller motsvarade 77 gånger den obundna exponeringen (AUC) hos människa vid den maximala rekommenderade humana dosen (MRHD) på 15 mg/dag. Merparten av toxiciteten överensstämde med farmakologi relaterad till uringlukosförlust och inkluderade viktnedgång och minskat kroppsfett, ökad matkonsumtion, diarré, dehydrering, sänkt serumglukos och ökning av andra serumparametrar som återspeglar ökad proteinmetabolism, glukoneogenes och rubbad elektrolytbalans, samt urinförändringar såsom polyuri, glukosuri och kalciuri. Mikroskopiska förändringar relaterade till glukosuri och/eller kalciuri som endast observerades hos gnagare inkluderade dilatation av njurtubuli, hypertrofi av zona glomerulosa i binjurarna (råtta) och ökat trabekulärt ben (råtta). Bortsett från emesis, påvisades ingen skadlig toxicitet hos hund vid 379 gånger den obundna exponeringen (AUC) hos människa vid MRHD på 15 mg/dag.
Karcinogenes
Ertugliflozin
I den tvååriga karcinogenicitetsstudien på mus administrerades ertugliflozin med oral sond i doser på 5, 15 och 40 mg/kg/dag. Inga ertugliflozinrelaterade neoplastiska fynd gjordes vid doser på upp till 40 mg/kg/dag (cirka 41 gånger den obundna exponeringen hos människa vid MRHD på 15 mg/dag baserat på AUC). I den tvååriga karcinogenicitetsstudien på råtta administrerades ertugliflozin med oral sond i doser på 1,5, 5 och 15 mg/kg/dag. Ertugliflozinrelaterade neoplastiska fynd inkluderade en ökad incidens av benigna feokromocytomer i binjuremärgen hos hanråtta vid 15 mg/kg/dag. Detta fynd tillskrevs kolhydratmalabsorption som ledde till förändrad kalciumhomeostas och ansågs inte vara relevant för människan. Nivån utan observerad effekt (NOEL) för neoplasi var 5 mg/kg/dag (cirka 16 gånger den obundna exponeringen hos människa vid MRHD på 15 mg/dag).
Metformin
Långvariga karcinogenicitetsstudier har utförts på råtta (doseringsduration på 104 veckor) och mus (doseringsduration på 91 veckor) vid doser till och med 900 mg/kg/dag respektive 1 500 mg/kg/dag. Båda dessa doser är cirka fyra gånger högre än den högsta rekommenderade dagliga dosen på 2 000 mg till människa baserat på kroppsyta. Inga tecken på att metformin är karcinogent påvisades hos varken han- eller honmöss. Inte heller observerades någon tumorigen potential hos metformin i hanråtta. Emellertid observerades en ökad incidens av benigna stromala polyper i livmodern hos honråttor behandlade med 900 mg/kg/dag.
Mutagenes
Ertugliflozin
Ertugliflozin var inte mutagent eller klastogent med eller utan metabol aktivering i mikrobiell omvänd mutationsanalys, cytogenetisk analys (humana lymfocyter) in vitro och råttmikrokärntest in vivo.
Metformin
Det fanns inga tecken på en mutagen potential hos metformin i följande in vitro-tester: Ames test (S. typhimurium), genmutationstest (muslymfomceller) eller kromosomavvikelsetest (humana lymfocyter). Resultaten i musmikrokärntestet in vivo var också negativt.
Reproduktionstoxikologi
Ertugliflozin
I studien av fertilitet och embryonal utveckling på råtta gavs han- och honråttor ertugliflozin vid 5, 25 och 250 mg/kg/dag. Inga effekter på fertiliteten observerades vid 250 mg/kg/dag (cirka 386 gånger den obundna exponeringen hos människa vid MRHD på 15 mg/dag baserat på jämförelser av AUC). Ertugliflozin hade ingen negativ påverkan på utvecklingen hos råtta och kanin vid maternella exponeringar som var 239 respektive 1 069 gånger exponeringen hos människa vid den högsta kliniska dosen på 15 mg/dag, baserat på AUC. Vid en maternellt toxisk dos till råtta (250 mg/kg/dag) observerades lägre fosterviabilitet, och en högre incidens av en visceral missbildning sågs vid en maternell exponering som var 510 gånger den högsta kliniska dosen på 15 mg/dag.
I den pre- och postnatala utvecklingsstudien observerades minskad postnatal tillväxt och utveckling hos råttor som givits ertugliflozin på gestationsdag 6 till laktationsdag 21 i doser på ≥100 mg/kg/dag (cirka 239 gånger exponeringen hos människa vid den högsta kliniska dosen på 15 mg/dag, baserat på AUC). Könsmognaden försenades hos båda könen vid 250 mg/kg/dag (cirka 620 gånger MRHD på 15 mg/dag, baserat på AUC).
När ertugliflozin administrerades till unga råttor från den 21:a postnatala dagen (PND) till den 90:e PND, en period i den renala utvecklingen som motsvarar den senare delen av andra trimestern och tredje trimestern av human graviditet, sågs ökad njurvikt, dilatation av njurbäcken och njurtubuli och mineralisering av njurtubuli vid en exponering som var 13 gånger högre än den högsta kliniska dosen på 15 mg/dag, baserat på AUC. Effekter på skelett (kortare femurlängd, ökat trabekulärt ben i femur) liksom effekter i form av försenad pubertet observerades vid exponeringar på 817 gånger MHRD på 15 mg/dag baserat på AUC. Effekterna på njurar och skelett hade inte reverserats fullt ut efter 1 månads återhämtningstid.
Metformin
Fertiliteten hos han- och honråttor påverkades inte av metformin givet i så höga doser som 600 mg/kg/dag, vilket är cirka tre gånger den högsta rekommenderade dagliga dosen till människa baserat på kroppsyta. Metformin hade ingen negativ effekt på utvecklingen när det gavs till råtta och kanin i doser på upp till 600 mg/kg/dag. Detta motsvarar en exponering på cirka 2 och 6 gånger exponeringen vid den högsta rekommenderade dosen på 2 000 mg till människa baserat på kroppsyta för råtta respektive kanin. Bestämningen av koncentrationer i foster visade en partiell placentabarriär mot metformin.
Röd järnoxid (E172)
Gul järnoxid (E172)
Svart järnoxid (E172)
Karnaubavax (E903)
Segluromet 2,5 mg/1000 mg filmdragerade tabletter och Segluromet 7,5 mg/1000 mg filmdragerade tabletter
Hypromellos (E464)
Hydroxipropylcellulosa (E463)
Titandioxid (E171)
Röd järnoxid (E172)
Karnaubavax (E903)
Ej relevant.
2 år.
Inga särskilda förvaringsanvisningar.
Alu/PVC/PA/Alu-blister.
Förpackningar med 14, 28, 56, 60, 168, 180 och 196 filmdragerade tabletter i icke-perforerade blister.
Förpackningar med 30x1 filmdragerade tabletter i perforerade endosblister.
Eventuellt kommer inte alla förpackningsstorlekar att marknadsföras.
Ej använt läkemedel och avfall ska kasseras enligt gällande anvisningar.
Tablettkärna
Povidon K29-32 (E1201)
Mikrokristallin cellulosa (E460)
Krospovidon (E1202)
Natriumlaurylsulfat (E487)
Magnesiumstearat (E470b)
Filmdragering
Segluromet 2,5 mg/850 mg filmdragerade tabletter och Segluromet 7,5 mg/850 mg filmdragerade tabletter
Hypromellos (E464)
Hydroxipropylcellulosa (E463)
Titandioxid (E171)
Röd järnoxid (E172)
Gul järnoxid (E172)
Svart järnoxid (E172)
Karnaubavax (E903)
Segluromet 2,5 mg/1000 mg filmdragerade tabletter och Segluromet 7,5 mg/1000 mg filmdragerade tabletter
Hypromellos (E464)
Hydroxipropylcellulosa (E463)
Titandioxid (E171)
Röd järnoxid (E172)
Karnaubavax (E903)
Ej relevant.
2 år.
Inga särskilda förvaringsanvisningar.
Alu/PVC/PA/Alu-blister.
Förpackningar med 14, 28, 56, 60, 168, 180 och 196 filmdragerade tabletter i icke-perforerade blister.
Förpackningar med 30x1 filmdragerade tabletter i perforerade endosblister.
Eventuellt kommer inte alla förpackningsstorlekar att marknadsföras.
Ej använt läkemedel och avfall ska kasseras enligt gällande anvisningar.
EU/1/18/1265/011
EU/1/18/1265/012
EU/1/18/1265/013
EU/1/18/1265/014
EU/1/18/1265/030
Segluromet 7,5 mg/850 mg filmdragerade tabletter
EU/1/18/1265/015
EU/1/18/1265/016
EU/1/18/1265/017
EU/1/18/1265/018
EU/1/18/1265/019
EU/1/18/1265/020
EU/1/18/1265/021
EU/1/18/1265/031
Segluromet 7,5 mg/1000 mg filmdragerade tabletter
EU/1/18/1265/022
EU/1/18/1265/023
EU/1/18/1265/024
EU/1/18/1265/025
EU/1/18/1265/026
EU/1/18/1265/027
EU/1/18/1265/028
EU/1/18/1265/032
Segluromet 2,5 mg/850 mg filmdragerade tabletter
EU/1/18/1265/001
EU/1/18/1265/002
EU/1/18/1265/003
EU/1/18/1265/004
EU/1/18/1265/005
EU/1/18/1265/006
EU/1/18/1265/007
EU/1/18/1265/029
Segluromet 2,5 mg/1000 mg filmdragerade tabletter
EU/1/18/1265/008
EU/1/18/1265/009
EU/1/18/1265/010
EU/1/18/1265/011
EU/1/18/1265/012
EU/1/18/1265/013
EU/1/18/1265/014
EU/1/18/1265/030
Segluromet 7,5 mg/850 mg filmdragerade tabletter
EU/1/18/1265/015
EU/1/18/1265/016
EU/1/18/1265/017
EU/1/18/1265/018
EU/1/18/1265/019
EU/1/18/1265/020
EU/1/18/1265/021
EU/1/18/1265/031
Segluromet 7,5 mg/1000 mg filmdragerade tabletter
EU/1/18/1265/022
EU/1/18/1265/023
EU/1/18/1265/024
EU/1/18/1265/025
EU/1/18/1265/026
EU/1/18/1265/027
EU/1/18/1265/028
EU/1/18/1265/032
Produktresumén är företagets information om läkemedlet riktat till förskrivare och personal inom sjukvård och apotek. Dokumentet är godkänt av Läkemedelsverket eller den europeiska läkemedelsmyndigheten EMA i samband med att läkemedlet godkänns för marknadsföring.