CRYSVITA 10 mg injektionsvätska, lösningCRYSVITA 20 mg injektionsvätska, lösningCRYSVITA 30 mg injektionsvätska, lösningCRYSVITA 10 mg injektionsvätska, lösning i förfylld sprutaCRYSVITA 20 mg injektionsvätska, lösning i förfylld spruta CRYSVITA 30 mg injektionsvätska, lösning i förfylld spruta
Injektionsvätska, lösning (injektion).
Klar till lätt opalskimrande, färglös till svagt brunaktig/gulaktig lösning.
Kyowa Kirin Holdings B.V.
Bloemlaan 2
2132NP Hoofddorp
Nederländerna
+31 (0) 237200822
medinfo@kyowakirin.com
EU/1/17/1262/001
EU/1/17/1262/002
EU/1/17/1262/003
EU/1/17/1262/004
EU/1/17/1262/005
EU/1/17/1262/006
Första godkännandet: 19 februari 2018
Förnyat godkännande: 21 februari 2022
21 november 2025 Ytterligare information om detta läkemedel finns på Europeiska läkemedelsmyndighetens webbplats https://www.ema.europa.eu.
CRYSVITA 30 mg injektionsvätska, lösning i förfylld spruta
Varje förfylld spruta innehåller 30 mg burosumab i 1 ml lösning.
Burosumab är en rekombinant human monoklonal IgG1-antikropp för FGF23 och tillverkas med rekombinant DNA-teknik av mammal cellkultur från ovarieceller från kinesisk hamster (CHO, Chinese hamster ovary).
Hjälpämne med känd effekt
Varje injektionsflaska innehåller 45,91 mg sorbitol.
Varje 10 mg förfylld spruta innehåller 15,30 mg sorbitol.
Varje 20 mg förfylld spruta innehåller 30,61 mg sorbitol.
Varje 30 mg förfylld spruta innehåller 45,91 mg sorbitol.
För fullständig förteckning över hjälpämnen, se avsnitt 6.1.
CRYSVITA 10 mg injektionsvätska, lösning
Varje injektionsflaska innehåller 10 mg burosumab i 1 ml lösning.
CRYSVITA 20 mg injektionsvätska, lösning
Varje injektionsflaska innehåller 20 mg burosumab i 1 ml lösning.
CRYSVITA 30 mg injektionsvätska, lösning
Varje injektionsflaska innehåller 30 mg burosumab i 1 ml lösning.
CRYSVITA 10 mg injektionsvätska, lösning i förfylld spruta
Varje förfylld spruta innehåller 10 mg burosumab i 0,33 ml lösning.
CRYSVITA 20 mg injektionsvätska, lösning i förfylld spruta
Varje förfylld spruta innehåller 20 mg burosumab i 0,67 ml lösning.
CRYSVITA 30 mg injektionsvätska, lösning i förfylld spruta
Varje förfylld spruta innehåller 30 mg burosumab i 1 ml lösning.
Burosumab är en rekombinant human monoklonal IgG1-antikropp för FGF23 och tillverkas med rekombinant DNA-teknik av mammal cellkultur från ovarieceller från kinesisk hamster (CHO, Chinese hamster ovary).
Hjälpämne med känd effekt
Varje injektionsflaska innehåller 45,91 mg sorbitol.
Varje 10 mg förfylld spruta innehåller 15,30 mg sorbitol.
Varje 20 mg förfylld spruta innehåller 30,61 mg sorbitol.
Varje 30 mg förfylld spruta innehåller 45,91 mg sorbitol.
För fullständig förteckning över hjälpämnen, se avsnitt 6.1.
X-kromosombunden hypofosfatemi (XLH)
Dosering för barn och ungdomar med XLH i åldern 1 till 17 år
Den rekommenderade startdosen hos barn och ungdomar i åldern 1 till 17 år är 0,8 mg/kg kroppsvikt som ges varannan vecka. Dosen ska avrundas till närmaste 10 mg. Den maximala dosen är 90 mg.
Fastande serumfosfat ska övervakas på lämpligt sätt under behandling med burosumab, inklusive efter eventuell dosjustering, för att säkerställa att det ligger inom referensintervallet för åldern. Blodprov för mätning av serumfosfat måste alltid tas cirka 2 veckor efter dos.
Efter insättning av burosumab ska fastande serumfosfat mätas varannan vecka under den första behandlingsmånaden, var 4:e vecka under de följande 2 månaderna och därefter vid behov. Samma dos ska behållas om fastande serumfosfat ligger inom referensintervallet för åldern.
Om fastande serumfosfat inte ligger inom referensintervallet kan dosjustering (dosökning/dosminskning) krävas (se nedan). Fastande serumfosfat ska mätas på nytt 4 veckor efter varje dosjustering. Om fastande serumfosfat ligger inom referensintervallet vid den nya mätningen ska den nya dosen bibehållas, annars ska ytterligare dosjustering övervägas.
Dosökning
Om fastande serumfosfat ligger under referensintervallet för åldern kan dosen ökas stegvis med 0,4 mg/kg upp till en maximumdos på 2,0 mg/kg (maximal dos på 90 mg). Fastande serumfosfat ska mätas 4 veckor efter dosjustering. Burosumab ska inte justeras oftare än var 4:e vecka.
Dossänkning
Om fastande serumfosfat ligger över referensintervallet för åldern ska nästa dos hoppas över och fastande serumfosfat kontrolleras på nytt inom 2 veckor. Patienten måste ha ett fastande serumfosfat under referensintervallet för åldern innan behandlingen med burosumab återupptas med halva den tidigare dosen, avrundad på det sätt som beskrivs ovan. Om nivån ligger kvar under referensintervallet efter den första återinsättningsdosen kan dosen ökas på det sätt som beskrivs under ”Dosökning” (ovan).
Dosövergång vid 18 års ålder
Barn och ungdomar i åldern 1 till 17 år ska behandlas enligt doseringsriktlinjerna ovan. Vid 18 års ålder ska patienten övergå till dosen för vuxna och doseringsregimen enligt beskrivningen nedan.
Dosering för vuxna med XLH
Den rekommenderade startdosen hos vuxna är 1,0 mg/kg kroppsvikt, som avrundas till närmaste 10 mg upp till en maximal dos på 90 mg som ges var 4:e vecka.
Efter insättning av burosumab ska fastande serumfosfat mätas varannan vecka under den första behandlingsmånaden, var 4:e vecka under de följande 2 månaderna och därefter vid behov. Fastande serumfosfat ska mätas 2 veckor efter den tidigare dosen av burosumab. Samma dos ska behållas om fastande serumfosfat ligger inom referensintervallet.
Dossänkning
Om serumfosfat ligger över den övre normalgränsen ska nästa dos hoppas över och serumfosfat kontrolleras på nytt inom 2 veckor. Patienten måste ha ett serumfosfat under normalintervallet innan behandlingen med burosumab återupptas. När serumfosfat ligger under normalintervallet kan behandlingen återupptas med halva startdosen upp till en maximal dos på 40 mg var 4:e vecka. Serumfosfat ska kontrolleras på nytt 2 veckor efter varje dosjustering.
Om nivån ligger kvar under referensintervallet efter den första återinsättningsdosen kan dosen ökas enligt läkarens bedömning i steg om upp till 1,0 mg/kg, avrundat till närmaste 10 mg (till en maximal (total) administreringsdos på 90 mg), administrerat var 4:e vecka. Serumfosfatnivåerna ska utvärderas på nytt 2 veckor efter dosjustering.
Onkogen osteomalaci (OOM)
Doseringen för barn och ungdomar med OOM i åldern 1 till 17 år har fastställts genom farmakokinetisk modellering och simulering (se avsnitt 5.2).
Dosering för barn med OOM i åldern 1 till 12 år
Den rekommenderade startdosen för barn i åldern 1 till 12 år är 0,4 mg/kg kroppsvikt som ges varannan vecka. Dosen ska avrundas till närmaste 10 mg. Den maximala dosen är 90 mg.
Dosökning
Om serumfosfat ligger under referensintervallet för åldern kan dosen ökas stegvis. Doserna ska ökas med ett initialt steg på 0,6 mg/kg. Beroende på patientens behandlingssvar ökas därefter dosen i steg om 0,5 mg/kg (upp till en maximal dos på 2,0 mg/kg), avrundad på det sätt som beskrivs ovan, upp till en maximal dos på 90 mg, som ges varannan vecka. Fastande serumfosfat ska mätas 4 veckor efter dosjustering. Burosumab ska inte justeras oftare än var 4:e vecka.
Dosering för ungdomar med OOM i åldern 13 till 17 år
Den rekommenderade startdosen för ungdomar i åldern 13 till 17 år är 0,3 mg/kg kroppsvikt som ges varannan vecka. Dosen ska avrundas till närmaste 10 mg. Den maximala dosen är 180 mg.
Dosökning
Om serumfosfat ligger under referensintervallet för åldern kan dosen ökas stegvis. Doserna ska ökas med ett initialt steg på 0,3 mg/kg och därefter i steg om 0,2–0,5 mg/kg (dossteget beror på hur patientens serumfosfatvärde svarar på behandlingen), avrundade på det sätt som beskrivs ovan, upp till en maximal dos på 2,0 mg/kg (maximal dos 180 mg), som ges varannan vecka. Fastande serumfosfat ska mätas 4 veckor efter dosjustering. Burosumab ska inte justeras oftare än var 4:e vecka.
Dosering för barn och ungdomar med OOM i åldern 1 till 17 år
Fastande serumfosfat ska övervakas på lämpligt sätt under behandling med burosumab, inklusive efter eventuell dosjustering, för att säkerställa att det ligger inom referensintervallet för åldern. Blodprov för mätning av serumfosfat måste alltid tas cirka 2 veckor efter dos.
Efter insättning av burosumab ska fastande serumfosfat mätas varannan vecka under den första behandlingsmånaden, var 4:e vecka under de följande 2 månaderna och därefter vid behov. Om fastande serumfosfat ligger inom referensintervallet för åldern ska samma dos bibehållas. Om fastande serumfosfat inte ligger inom referensintervallet kan dosjustering (dosökning/dosminskning) krävas (se nedan). Fastande serumfosfat ska mätas på nytt 4 veckor efter varje dosjustering. Om fastande serumfosfat ligger inom referensintervallet vid den nya mätningen ska den nya dosen bibehållas, annars ska ytterligare dosjustering övervägas.
Dossänkning
Om serumfosfat ligger över referensintervallet för åldern ska nästa dos hoppas över och fastande serumfosfatnivån kontrolleras på nytt efter 2 veckor. När serumfosfat ligger under referensintervallet för åldern kan behandlingen med burosumab återupptas med halva den tidigare dosen, avrundad på det sätt som beskrivs ovan. Fastande serumfosfatnivån ska bedömas 4 veckor efter dosjusteringen. Om nivån ligger kvar under referensintervallet för åldern efter den återupptagna dosen, kan dosen justeras ytterligare.
Dosövergång vid 18 års ålder
Vid 18 års ålder ska patienten övergå till dosen för vuxna och doseringsregimen enligt beskrivningen nedan.
Dosering för vuxna med OOM
Den rekommenderade startdosen för vuxna är 0,3 mg/kg kroppsvikt, avrundat till närmaste 10 mg, som ges var 4:e vecka.
Efter insättning av burosumab ska fastande serumfosfat mätas var 4:e vecka, 2 veckor efter varje dos under de tre första behandlingsmånaderna och därefter vid behov. Samma dos ska bibehållas om fastande serumfosfat ligger inom referensintervallet.
Dosökning
Om serumfosfat ligger under referensintervallet kan dosen ökas stegvis. Doserna ska ökas med ett initialt steg på 0,3 mg/kg och därefter i steg om 0,2–0,5 mg/kg (dosen beror på patientens behandlingssvar), upp till en maximal dos på 2,0 mg/kg (maximal dos 180 mg), som ges var 4:e vecka. Fastande serumfosfat ska mätas 2 veckor efter dosjustering.
För patienter vars serumfosfatvärde ligger kvar under referensintervallet, trots att maximal dos ges var 4:e vecka, kan den tidigare dosen delas upp och ges varannan vecka, vid behov med stegvisa ökningar enligt ovan, upp till en maximal dos på 2,0 mg/kg varannan vecka (maximal dos 180 mg).
Dossänkning
Om serumfosfat ligger över referensintervallet ska nästa dos hoppas över och serumfosfatnivån kontrolleras på nytt efter 2 veckor. Patienten måste ha serumfosfat under referensintervallet innan behandlingen med burosumab återupptas. När serumfosfat ligger under referensintervallet kan behandlingen med burosumab återupptas med cirka halva den tidigare dosen, administrerat
var 4:e vecka (för patienter som doseras var 4:e vecka före dosavbrott)
varannan vecka (för patienter som doseras varannan vecka före dosavbrott)
Serumfosfat ska kontrolleras på nytt 2 veckor efter varje dosjustering.
Om nivån ligger kvar under referensintervallet efter den återupptagna dosen kan dosen justeras ytterligare.
Dosavbrott hos pediatriska och vuxna patienter med OOM
Om patienten genomgår behandling av den underliggande tumören (dvs. kirurgisk excision eller strålbehandling) ska behandlingen med burosumab avbrytas.
Efter avslutad behandling av den underliggande tumören ska serumfosfat kontrolleras på nytt innan behandlingen med burosumab återupptas. Behandlingen med burosumab ska återupptas med patientens ursprungliga startdos om serumfosfatnivån ligger kvar under den nedre gränsen för det normala referensintervallet. Följ den rekommenderade dosjusteringen som beskrivs ovan för att bibehålla serumfosfatnivån inom det normala referensintervallet.
För alla patienter med OOM ska behandlingen sättas ut om behandlande läkare anser att ingen väsentlig förbättring av biokemiska svar eller svar avseende kliniska markörer ses, trots att maximal dos ges.
Alla patienter
För att minska risken för ektopisk mineralisering rekommenderas att fastande serumfosfat i den lägre änden av det normala referensintervallet eftersträvas (se avsnitt 4.4).
Missad dos
Behandlingen kan administreras 3 dagar före eller efter den schemalagda behandlingsdagen om det behövs av praktiska skäl. Om patienten missar en dos ska burosumab återupptas så snart som möjligt med den ordinerade dosen.
Särskilda patientgrupper
Nedsatt njurfunktion
Det finns inga eller begränsad mängd data för patienter med nedsatt njurfunktion. Burosumab får inte ges till patienter med gravt nedsatt njurfunktion eller njursjukdom i slutstadium (se avsnitt 4.3).
Pediatrisk population
X-kromosombunden hypofosfatemi (XLH)
Säkerhet och effekt för burosumab för pediatriska patienter med XLH under ett års ålder har inte fastställts i kliniska studier.
Onkogen osteomalaci (OOM)
Säkerhet och effekt för burosumab för pediatriska patienter med OOM har inte fastställts i kliniska studier.
Äldre
Det finns begränsad mängd data för patienter över 65 års ålder.
Administreringssätt
För subkutan användning.
Burosumab ska injiceras i buken, överarmen, skinkan eller låret. Den maximala volymen läkemedel per injektionsställe är 1,5 ml. Om mer än 1,5 ml krävs vid samma doseringstillfälle måste den totala läkemedelsmängden delas upp och administreras på två eller fler olika injektionsställen. Injektionsställena ska varieras och övervakas noga med avseende på eventuella reaktioner (se avsnitt 4.4).
För hantering av burosumab före administrering, se avsnitt 6.6.
En del patienter kan själva administrera läkemedlet
med antingen injektionsflaskan och/eller den förfyllda sprutan
eller låta en annan person, t.ex. en förälder eller vårdare, göra det. När inga omedelbara dosförändringar förväntas kan en person som fått lämplig träning i injektionstekniken administrera läkemedlet. Den första självadministrerade dosen efter insättning av läkemedel eller dosändring ska göras under överinseende av hälso- och sjukvårdspersonal. Den kliniska övervakningen av patienten, inklusive kontroll av fosfatvärden, måste fortsätta som rekommenderat enligt beskrivningen nedan. En detaljerad bruksanvisning avsedd för patienten finns i slutet av bipacksedeln.
Överkänslighet mot den aktiva substansen eller mot något hjälpämne som anges i avsnitt 6.1.
Samtidig administrering med orala fosfat- och aktiva D-vitaminanaloger (se avsnitt 4.5).
Fastande serumfosfat över det normala intervallet för åldern på grund av risken för hyperfosfatemi (se avsnitt 4.4).
Patienter med gravt nedsatt njurfunktion eller njursjukdom i slutstadium.
Spårbarhet
För att underlätta spårbarhet av biologiska läkemedel ska läkemedlets namn och tillverkningssatsnummer registreras tydligt i patientens journal.
Ektopisk mineralisering
Ektopisk mineralisering, som manifesteras genom nefrokalcinos, har observerats hos patienter med XLH (x-kromosombunden hypofosfatemi) som behandlas med orala fosfat- och aktiva D-vitaminanaloger. Dessa läkemedel ska sättas ut minst 1 vecka innan behandlingen med burosumab påbörjas (se avsnitt 4.2).
Övervakning för tecken och symtom på nefrokalcinos, t.ex. med ultraljudsundersökning av njurarna, rekommenderas vid behandlingsstart och var 6:e månad under behandlingens första 12 månader och därefter årligen. Övervakning av alkaliskt fosfatas, kalcium, bisköldkörtelhormon (PTH) och kreatinin i plasma rekommenderas var 6:e månad (var 3:e månad för barn i åldern 1-2 år) eller vid behov.
Övervakning av kalcium och fosfat i urin föreslås var 3:e månad.
Hyperfosfatemi
Fastande serumfosfatnivå ska övervakas till följd av risken för hyperfosfatemi. För att minska risken för ektopisk mineralisering rekommenderas att fastande serumfosfat i den lägre änden av det normala referensintervallet för åldern eftersträvas. Dosavbrott och/eller dosreduktion kan krävas (se avsnitt 4.2). Regelbunden mätning av serumfosfat efter måltid föreslås.
För att förebygga hyperfosfatemi ska behandlingen med burosumab avbrytas hos patienter med onkogen osteomalaci som genomgår behandling av den underliggande tumören. Behandlingen med burosumab ska endast återinsättas om patientens serumfosfatnivå ligger kvar under den nedre gränsen för det normala referensintervallet (se avsnitt 4.2).
Hyperkalcemi och hyperparatyreoidism
Förhöjt kalcium eller bisköldkörtelhormon i serum har rapporterats hos vissa patienter under behandling med burosumab. Faktorer som hyperparatyreoidism, långvarig immobilisering, dehydrering, hypervitaminos D eller nedsatt njurfunktion kan öka risken för hyperkalcemi. I synnerhet har allvarlig hyperkalcemi rapporterats hos personer med tertiär hyperparatyreoidism. Nivåerna av serumkalcium och bisköldkörtelhormon ska övervakas före och under behandling med burosumab (se avsnitt 4.2). Hos patienter med måttlig till svår hyperkalcemi (> 3 mmol/l) ska burosumab inte administreras förrän hyperkalcemin behandlats på ett adekvat sätt.
Reaktioner på injektionsstället
Administrering av burosumab kan resultera i lokala reaktioner på injektionsstället. Administreringen ska avbrytas hos alla patienter som får svåra reaktioner på injektionsstället (se avsnitt 4.8) och lämplig läkemedelsbehandling ska ges.
Överkänslighet
Terapeutiska proteiner, såsom burosumab, kan förknippas med överkänslighetsreaktioner. I kliniska studier observerades milda eller måttliga överkänslighetsreaktioner (t.ex. utslag eller utslag på injektionsstället) (se avsnitt 4.8). Burosumabbehandlingen måste avbrytas om svåra överkänslighetsreaktioner uppstår och lämplig läkemedelsbehandling sättas in.
Hjälpämne med känd effekt
CRYSVITA injektionsvätska, lösning i injektionsflaskor
Detta läkemedel innehåller 45,91 mg sorbitol i varje injektionsflaska, vilket motsvarar 45,91 mg/ml. Patienter med ärftlig fruktosintolerans (HFI) ska inte ta detta läkemedel.
Detta läkemedel innehåller 0,5 mg polysorbat 80 i varje injektionsflaska, vilket motsvarar 0,5 mg/ml. Polysorbater kan orsaka allergiska reaktioner.
CRYSVITA 10 mg injektionsvätska, lösning i förfylld spruta
Detta läkemedel innehåller 15,30 mg sorbitol i varje förfylld spruta, vilket motsvarar 45,91 mg/ml. Patienter med ärftlig fruktosintolerans (HFI) ska inte ta detta läkemedel.
Detta läkemedel innehåller 0,165 mg polysorbat 80 i varje förfylld spruta, vilket motsvarar 0,5 mg/ml. Polysorbater kan orsaka allergiska reaktioner.
CRYSVITA 20 mg injektionsvätska, lösning i förfylld spruta
Detta läkemedel innehåller 30,61 mg sorbitol i varje förfylld spruta, vilket motsvarar 45,91 mg/ml. Patienter med ärftlig fruktosintolerans (HFI) ska inte ta detta läkemedel.
Detta läkemedel innehåller 0,335 mg polysorbat 80 i varje förfylld spruta, vilket motsvarar 0,5 mg/ml. Polysorbater kan orsaka allergiska reaktioner.
CRYSVITA 30 mg injektionsvätska, lösning i förfylld spruta
Detta läkemedel innehåller 45,91 mg sorbitol i varje förfylld spruta, vilket motsvarar 45,91 mg/ml. Patienter med ärftlig fruktosintolerans (HFI) ska inte ta detta läkemedel.
Detta läkemedel innehåller 0,5 mg polysorbat 80 i varje förfylld spruta, vilket motsvarar 0,5 mg/ml. Polysorbater kan orsaka allergiska reaktioner.
Samtidig administrering av burosumab och orala fosfat- och aktiva D-vitaminanaloger är kontraindicerad eftersom det kan medföra ökad risk för hyperfosfatemi och hyperkalcemi (se avsnitt 4.3).
Försiktighet ska iakttas vid kombination av burosumab med kalcimimetika (dvs. medel som imiterar effekten av kalcium på vävnader genom att aktivera kalciumreceptorn). Samtidig administrering av dessa läkemedel har inte studerats i kliniska prövningar och därför rekommenderas noggrann övervakning av kalciumnivåerna i serum (se avsnitt 4.4).
Fertila kvinnor
Fertila kvinnor skall använda effektiv preventivmetod under behandling med burosumab och under minst 14 veckor efter att behandlingen har stoppats.
Graviditet
Det finns inga eller begränsad mängd data från användningen av burosumab hos gravida kvinnor.
Djurstudier har visat reproduktionstoxikologiska effekter (se avsnitt 5.3).
Burosumab rekommenderas inte under graviditet och till fertila kvinnor som inte använder preventivmedel.
Amning
Det är okänt om burosumab utsöndras i bröstmjölk. Det är känt att humana IgG utsöndras i bröstmjölk under de första dagarna efter födseln, vilket minskar till låga koncentrationer strax därefter. Därför kan en risk för det ammade nyfödda barnet inte uteslutas under denna korta period. Därefter kan användning av burosumab under amning övervägas endast om det är kliniskt nödvändigt.
Fertilitet
Djurstudier har visat effekter på manliga könsorgan (se avsnitt 5.3). Det finns inga tillgängliga kliniska data om effekten av burosumab på fertilitet hos människa. Inga särskilda fertilitetsstudier har utförts med burosumab på djur.
Burosumab har mindre effekt på förmågan att framföra fordon och använda maskiner. Yrsel kan förekomma efter administrering av burosumab.
Sammanfattning av säkerhetsprofilen
De vanligaste biverkningarna (> 10 %) som rapporterades hos pediatriska patienter med XLH i kliniska prövningar, baserat på fullföljda långtidsstudier med en maximal exponeringsperiod för burosumab på 214 veckor (med varierande perioder av exponering i säkerhetspopulationen), var: hosta (55 %), reaktioner på injektionsstället (54 %), feber (50 %), huvudvärk (48 %), kräkningar (46 %), smärta i extremitet (42 %), tandabscess (40 %), sänkt halt av D‑vitamin (28 %), diarré (27 %), illamående (21 %), hudutslag (20 %), förstoppning (12 %) och karies (11 %).
De vanligaste biverkningarna (> 10 %) som rapporterades i kliniska prövningar hos vuxna patienter med XLH eller vuxna patienter med OOM, baserat på fullföljda långtidsstudier upp till en maximal exponering för burosumab på 300 veckor (med varierande exponeringsperiod för säkerhetspopulationen) var: ryggsmärta (30 %), reaktion på injektionsstället (29 %), huvudvärk (28 %), tandinfektion (28 %), sänkt halt av D-vitamin (28 %), muskelspasmer (18 %), restless legs-syndrom (16 %), yrsel (16 %) och förstoppning (13 %) (se avsnitt 4.4 och ”Beskrivning av utvalda biverkningar” nedan).
Listor över biverkningar i tabellform
Biverkningsfrekvenserna anges i tabell 1 (pediatriska patienter med XLH) och tabell 2 (vuxna med XLH och OOM).
Biverkningarna presenteras enligt klassificering av organsystem och frekvenskategorier. Frekvenskategorierna definieras enligt följande konvention: mycket vanliga (≥ 1/10), vanliga (≥ 1/100, <1/10), mindre vanliga (≥ 1/1 000,
< 1/100), sällsynta (≥ 1/10 000, < 1/1 000), mycket sällsynta (< 1/10 000), ingen känd frekvens (kan inte beräknas från tillgängliga data). Inom varje frekvensgruppering presenteras oönskade effekter efter minskad svårighetsgrad.
Tabell 1: Rapporterade biverkningar hos pediatriska patienter i åldern 1 till 17 år med XLH, som setts vid kliniska prövningar (N=120) och efter godkännandet för försäljning
1Tandabscess omfattar: tandabscess, tandinfektion och tandvärk
2Hyperparatyreoidism omfattar: hyperparatyreoidism, sekundär hyperparatyreoidism och tertiär hyperparatyreoidism
3Hyperkalcemi omfattar: hyperkalcemi och förhöjd halt av kalcium i blodet
4Sett i kliniska prövningar, bekräftat av erfarenhet efter godkännandet för försäljning
5Hyperkalciuri omfattar: hyperkalciuri och förhöjd halt av kalcium i urinen
6Hosta omfattar: hosta och produktiv hosta
7Yrsel omfattar: yrsel och ansträngningsutlöst yrsel
8Hudutslag omfattar: utslag, erytematöst utslag, generaliserat utslag, kliande utslag, makulopapulöst utslag och pustulärt utslag
9Reaktion på injektionsstället omfattar: reaktion på injektionsstället, erytem på injektionsstället, klåda på injektionsstället, svullnad på injektionsstället, smärta på injektionsstället, utslag på injektionsstället, blåmärke på injektionsstället, missfärgning på injektionsstället, obehag på injektionsstället, hematom på injektionsstället, blödning på injektionsstället, induration på injektionsstället, makula på injektionsstället och urtikaria på injektionsstället
10Sänkt halt av D-vitamin omfattar: vitamin D-brist, sänkt halt av 25-hydroxikolekalciferol i blodet och sänkt halt av D-vitamin
11Förhöjd fosfathalt i blodet omfattar: förhöjd fosfathalt i blodet och hyperfosfatemi
Tabell 2: Biverkningar som setts vid kliniska prövningar hos vuxna (N = 203) med XLH (N=176) och OOM (N = 27) och efter godkännandet för försäljning
1 Tandinfektion omfattar: tandabscess, tandinfektion och tandvärk
2Hyperparatyreoidism omfattar: hyperparatyreoidism, sekundär hyperparatyreoidism och tertiär hyperparatyreoidism
3Hyperkalcemi omfattar: hyperkalcemi och förhöjd halt av kalcium i blodet
4Sett i kliniska prövningar med OOM, bekräftat av erfarenhet efter godkännandet för försäljning
5Sett i kliniska prövningar med XLH, bekräftat av erfarenhet efter godkännandet för försäljning
6Hyperkalciuri omfattar: hyperkalciuri och förhöjd halt av kalcium i urinen
7 Huvudvärk omfattar: huvudvärk och obehag i huvudet
8Hudutslag omfattar: hudutslag, papulösa utslag och erytematösa utslag
9Reaktion på injektionsstället omfattar: reaktion på injektionsstället, erytem på injektionsstället, klåda på injektionsstället, svullnad på injektionsstället, smärta på injektionsstället, utslag på injektionsstället, blåmärke på injektionsstället, missfärgning på injektionsstället, obehag på injektionsstället, hematom på injektionsstället, blödning på injektionsstället, induration på injektionsstället, makula på injektionsstället, urtikaria på injektionsstället, överkänslighet på injektionsstället och inflammation på injektionsstället
10Sänkt halt av D-vitamin omfattar: vitamin D-brist, sänkt halt av 25-hydroxikolekalciferol i blodet och sänkt halt av D-vitamin
11Förhöjd halt av fosfor i blodet omfattar: förhöjd halt av fosfor i blodet och hyperfosfatemi
12Sett i kliniska prövningar med XLH och OOM, bekräftat av erfarenhet efter godkännandet för försäljning
Beskrivning av utvalda biverkningar
Reaktioner på injektionsstället
Pediatriska patienter med XLH:
Lokala reaktioner (t.ex. urtikaria på injektionsstället, erytem, hudutslag, svullnad, blåmärke, smärta, klåda och hematom) har förekommit på injektionsstället. Hos pediatriska patienter hade cirka 54 % av patienterna en reaktion på injektionsstället, baserat på data från kliniska studier. Reaktionerna på injektionsstället var i allmänhet lindriga och uppkom inom 1 dag efter administrering av läkemedlet, varade oftast 1–3 dagar, krävde ingen behandling och försvann i nästan alla fall.
Vuxna patienter med XLH eller OOM:
Reaktioner på injektionsstället var i allmänhet lindriga, krävde ingen behandling och försvann i nästan alla fall.
Hos patienter med XLH under den placebokontrollerade behandlingsperioden i studie UX023-CL303 var frekvensen av reaktioner på injektionsstället 12 % i både burosumab- och placebogrupperna (reaktion på injektionsstället, erytem, hudutslag, blåmärke, smärta, klåda och hematom).
Hos patienter med OOM var frekvensen av reaktioner på injektionsstället baserade på data från fullföljda kliniska långtidsstudier 22 % (reaktion på injektionsstället, smärta på injektionsstället och svullnad på injektionsstället).
Överkänslighet
Pediatriska patienter med XLH:
Överkänslighetsreaktioner (t ex: reaktioner på injektionsstället, hudutslag, urtikaria, ansiktssvullnad, dermatit etc.) rapporterades hos 39 % av de pediatriska patienterna, baserat på data från kliniska studier. Samtliga reaktioner var av lindrig eller måttlig svårighetsgrad.
Vuxna patienter med XLH eller OOM:
Överkänslighetsreaktionerna var av lindrig eller måttlig svårighetsgrad.
Hos patienter med XLH under den placebokontrollerade behandlingsperioden i studie UX023-CL303
var incidensen av potentiella överkänslighetsreaktioner likartad (6 %) hos burosumab- och placebobehandlade vuxna.
Hos patienter med OOM var frekvensen överkänslighetsreaktioner (hudutslag, läkemedelsutslag och överkänslighet) 30 % baserat på data från fullföljda kliniska långtidsstudier.
Sänkt halt av D-vitamin
Pediatriska patienter med XLH:
Sänkt halt av 25-hydroxivitamin D i serum har observerats hos cirka 8 % av de pediatriska patienterna efter insättning av burosumab, möjligen beroende på omvandling till aktiverat 1,25-dihydroxivitamin D. Tillskott av inaktivt vitamin D återställde plasmanivåerna till normala värden.
Hyperfosfatemi
Vuxna patienter med XLH eller OOM:
Hos patienter med XLH under den placebokontrollerade behandlingsperioden i studie UX023-CL303 fick 9 patienter (13,2 %) i burosumabgruppen högt serumfosfat minst en gång. 5 av dessa 9 patienter krävde protokollspecificerad(e) dosminskning(ar). Efter insättning av burosumab under den öppna perioden med fortsatt behandling fick 8 patienter (12,1 %) i placebo-→ burosumabgruppen höga nivåer av serumfosfat. 4 av dessa 8 patienter krävde protokollspecificerad(e) dosminskning(ar). Dosen för alla patienter som uppfyllde de protokollspecificerade kriterierna minskades med 50 %. En enda patient (1 %) krävde en andra dosminskning på grund av fortsatt hyperfosfatemi.
Hos patienter med OOM fick 11 % biverkningar med hyperfosfatemi baserat på data från fullföljda kliniska långtidsstudier. Dessa episoder behandlades med dosreduktion.
Restless legs-syndrom
Vuxna patienter med XLH eller OOM:
Hos patienter med XLH under den placebokontrollerade behandlingsperioden i studie UX023-CL303 hade cirka 12 % i burosumabgruppen och 8 % i placebogruppen en försämring från baslinjen av restless legs-syndrom, eller hade debut av lindrigt till måttligt restless legs-syndrom.
Hos patienter med OOM fick 11 % biverkningar med restless legs-syndrom av mild till måttlig svårighetsgrad, baserat på data från fullföljda kliniska långtidsstudier.
Immunogenicitet
Pediatriska patienter med XLH:
Totalt sett var incidensen av antikroppar mot läkemedlet vid behandling med burosumab 10 % hos pediatriska patienter som fick burosumab, baserat på data från kliniska studier. Incidensen av neutraliserande anti-läkemedelsantikroppar hos pediatriska patienter var 3 %. Inga biverkningar, ingen effektförlust och inga förändringar i den farmakokinetiska profilen för burosumab förknippades med dessa fynd.
Vuxna patienter med XLH och OOM:
Incidensen av patienter som testade positivt för anti-läkemedelsantikroppar mot burosumab i kliniska studier på vuxna med XLH eller OOM var 15 %, baserat på data från fullföljda kliniska långtidsstudier. Ingen av dessa utvecklade neutraliserande anti-läkemedelsantikroppar. Inga biverkningar, ingen effektförlust och inga förändringar i den farmakokinetiska profilen för burosumab förknippades med dessa fynd.
Biverkningar hos pediatriska patienter med OOM
Det finns inga data på pediatriska patienter med OOM (se avsnitt 5.1).
Det finns ingen erfarenhet av överdos med burosumab. Burosumab har administrerats i pediatriska kliniska prövningar på XLH utan dosbegränsande toxicitet med användning av doser upp till 2,0 mg/kg kroppsvikt med en maximal dos på 90 mg varannan vecka. I kliniska prövningar på vuxna med XLH har ingen dosbegränsande toxicitet observerats vid doser på upp till 1,0 mg/kg eller en maximal dos på 128 mg var 4:e vecka. I kliniska prövningar på vuxna med OOM har ingen dosbegränsande toxicitet observerats vid doser på upp till 2,0 mg/kg eller en maximal dos på 184 mg var 4:e vecka.
Behandling
Vid en överdos rekommenderas behandlingsstopp med burosumab och övervakning av biokemiskt svar.
CRYSVITA är avsett för behandling av x-kromosombunden hypofosfatemi (XLH) hos barn och ungdomar i åldern 1 till 17 år med radiologiskt påvisad skelettsjukdom, samt hos vuxna.
CRYSVITA är avsett för behandling av FGF23-relaterad hypofosfatemi vid onkogen osteomalaci (OOM) till följd av fosfaturiska mesenkymala tumörer som inte kan resekteras kurativt eller lokaliseras hos barn och ungdomar i åldern 1 till 17 år samt hos vuxna.
Behandlingen ska sättas in av en läkare med erfarenhet av behandling av patienter med metabola skelettsjukdomar.
Dosering
Orala fosfatpreparat och aktiva D-vitaminanaloger (t.ex. kalcitriol) måste sättas ut 1 vecka innan behandling med burosumab inleds. Eftersom burosumab emellertid ökar syntesen av aktivt D-vitamin (se avsnitt 5.1), ska patienternas behov av ersättning eller tillskott med inaktivt D-vitamin bedömas. Vitamin D-ersättning eller -tillskott med inaktiva former kan påbörjas eller fortsätta i enlighet med lokala riktlinjer och under övervakning av serumkalcium och serumfosfat. Vid insättningen ska den fastande serumfosfatnivån vara under referensintervallet för åldern (se avsnitt 4.3).
Kalciumkoncentrationen i serum ska övervakas innan behandlingen påbörjas och 1–2 veckor efter påbörjad behandling samt vid dosjusteringar utöver den regelbundna övervakningen under behandlingen (se avsnitt 4.4).
X-kromosombunden hypofosfatemi (XLH)
Dosering för barn och ungdomar med XLH i åldern 1 till 17 år
Den rekommenderade startdosen hos barn och ungdomar i åldern 1 till 17 år är 0,8 mg/kg kroppsvikt som ges varannan vecka. Dosen ska avrundas till närmaste 10 mg. Den maximala dosen är 90 mg.
Fastande serumfosfat ska övervakas på lämpligt sätt under behandling med burosumab, inklusive efter eventuell dosjustering, för att säkerställa att det ligger inom referensintervallet för åldern. Blodprov för mätning av serumfosfat måste alltid tas cirka 2 veckor efter dos.
Efter insättning av burosumab ska fastande serumfosfat mätas varannan vecka under den första behandlingsmånaden, var 4:e vecka under de följande 2 månaderna och därefter vid behov. Samma dos ska behållas om fastande serumfosfat ligger inom referensintervallet för åldern.
Om fastande serumfosfat inte ligger inom referensintervallet kan dosjustering (dosökning/dosminskning) krävas (se nedan). Fastande serumfosfat ska mätas på nytt 4 veckor efter varje dosjustering. Om fastande serumfosfat ligger inom referensintervallet vid den nya mätningen ska den nya dosen bibehållas, annars ska ytterligare dosjustering övervägas.
Dosökning
Om fastande serumfosfat ligger under referensintervallet för åldern kan dosen ökas stegvis med 0,4 mg/kg upp till en maximumdos på 2,0 mg/kg (maximal dos på 90 mg). Fastande serumfosfat ska mätas 4 veckor efter dosjustering. Burosumab ska inte justeras oftare än var 4:e vecka.
Dossänkning
Om fastande serumfosfat ligger över referensintervallet för åldern ska nästa dos hoppas över och fastande serumfosfat kontrolleras på nytt inom 2 veckor. Patienten måste ha ett fastande serumfosfat under referensintervallet för åldern innan behandlingen med burosumab återupptas med halva den tidigare dosen, avrundad på det sätt som beskrivs ovan. Om nivån ligger kvar under referensintervallet efter den första återinsättningsdosen kan dosen ökas på det sätt som beskrivs under ”Dosökning” (ovan).
Dosövergång vid 18 års ålder
Barn och ungdomar i åldern 1 till 17 år ska behandlas enligt doseringsriktlinjerna ovan. Vid 18 års ålder ska patienten övergå till dosen för vuxna och doseringsregimen enligt beskrivningen nedan.
Dosering för vuxna med XLH
Den rekommenderade startdosen hos vuxna är 1,0 mg/kg kroppsvikt, som avrundas till närmaste 10 mg upp till en maximal dos på 90 mg som ges var 4:e vecka.
Efter insättning av burosumab ska fastande serumfosfat mätas varannan vecka under den första behandlingsmånaden, var 4:e vecka under de följande 2 månaderna och därefter vid behov. Fastande serumfosfat ska mätas 2 veckor efter den tidigare dosen av burosumab. Samma dos ska behållas om fastande serumfosfat ligger inom referensintervallet.
Dossänkning
Om serumfosfat ligger över den övre normalgränsen ska nästa dos hoppas över och serumfosfat kontrolleras på nytt inom 2 veckor. Patienten måste ha ett serumfosfat under normalintervallet innan behandlingen med burosumab återupptas. När serumfosfat ligger under normalintervallet kan behandlingen återupptas med halva startdosen upp till en maximal dos på 40 mg var 4:e vecka. Serumfosfat ska kontrolleras på nytt 2 veckor efter varje dosjustering.
Om nivån ligger kvar under referensintervallet efter den första återinsättningsdosen kan dosen ökas enligt läkarens bedömning i steg om upp till 1,0 mg/kg, avrundat till närmaste 10 mg (till en maximal (total) administreringsdos på 90 mg), administrerat var 4:e vecka. Serumfosfatnivåerna ska utvärderas på nytt 2 veckor efter dosjustering.
Onkogen osteomalaci (OOM)
Doseringen för barn och ungdomar med OOM i åldern 1 till 17 år har fastställts genom farmakokinetisk modellering och simulering (se avsnitt 5.2).
Dosering för barn med OOM i åldern 1 till 12 år
Den rekommenderade startdosen för barn i åldern 1 till 12 år är 0,4 mg/kg kroppsvikt som ges varannan vecka. Dosen ska avrundas till närmaste 10 mg. Den maximala dosen är 90 mg.
Dosökning
Om serumfosfat ligger under referensintervallet för åldern kan dosen ökas stegvis. Doserna ska ökas med ett initialt steg på 0,6 mg/kg. Beroende på patientens behandlingssvar ökas därefter dosen i steg om 0,5 mg/kg (upp till en maximal dos på 2,0 mg/kg), avrundad på det sätt som beskrivs ovan, upp till en maximal dos på 90 mg, som ges varannan vecka. Fastande serumfosfat ska mätas 4 veckor efter dosjustering. Burosumab ska inte justeras oftare än var 4:e vecka.
Dosering för ungdomar med OOM i åldern 13 till 17 år
Den rekommenderade startdosen för ungdomar i åldern 13 till 17 år är 0,3 mg/kg kroppsvikt som ges varannan vecka. Dosen ska avrundas till närmaste 10 mg. Den maximala dosen är 180 mg.
Dosökning
Om serumfosfat ligger under referensintervallet för åldern kan dosen ökas stegvis. Doserna ska ökas med ett initialt steg på 0,3 mg/kg och därefter i steg om 0,2–0,5 mg/kg (dossteget beror på hur patientens serumfosfatvärde svarar på behandlingen), avrundade på det sätt som beskrivs ovan, upp till en maximal dos på 2,0 mg/kg (maximal dos 180 mg), som ges varannan vecka. Fastande serumfosfat ska mätas 4 veckor efter dosjustering. Burosumab ska inte justeras oftare än var 4:e vecka.
Dosering för barn och ungdomar med OOM i åldern 1 till 17 år
Fastande serumfosfat ska övervakas på lämpligt sätt under behandling med burosumab, inklusive efter eventuell dosjustering, för att säkerställa att det ligger inom referensintervallet för åldern. Blodprov för mätning av serumfosfat måste alltid tas cirka 2 veckor efter dos.
Efter insättning av burosumab ska fastande serumfosfat mätas varannan vecka under den första behandlingsmånaden, var 4:e vecka under de följande 2 månaderna och därefter vid behov. Om fastande serumfosfat ligger inom referensintervallet för åldern ska samma dos bibehållas. Om fastande serumfosfat inte ligger inom referensintervallet kan dosjustering (dosökning/dosminskning) krävas (se nedan). Fastande serumfosfat ska mätas på nytt 4 veckor efter varje dosjustering. Om fastande serumfosfat ligger inom referensintervallet vid den nya mätningen ska den nya dosen bibehållas, annars ska ytterligare dosjustering övervägas.
Dossänkning
Om serumfosfat ligger över referensintervallet för åldern ska nästa dos hoppas över och fastande serumfosfatnivån kontrolleras på nytt efter 2 veckor. När serumfosfat ligger under referensintervallet för åldern kan behandlingen med burosumab återupptas med halva den tidigare dosen, avrundad på det sätt som beskrivs ovan. Fastande serumfosfatnivån ska bedömas 4 veckor efter dosjusteringen. Om nivån ligger kvar under referensintervallet för åldern efter den återupptagna dosen, kan dosen justeras ytterligare.
Dosövergång vid 18 års ålder
Vid 18 års ålder ska patienten övergå till dosen för vuxna och doseringsregimen enligt beskrivningen nedan.
Dosering för vuxna med OOM
Den rekommenderade startdosen för vuxna är 0,3 mg/kg kroppsvikt, avrundat till närmaste 10 mg, som ges var 4:e vecka.
Efter insättning av burosumab ska fastande serumfosfat mätas var 4:e vecka, 2 veckor efter varje dos under de tre första behandlingsmånaderna och därefter vid behov. Samma dos ska bibehållas om fastande serumfosfat ligger inom referensintervallet.
Dosökning
Om serumfosfat ligger under referensintervallet kan dosen ökas stegvis. Doserna ska ökas med ett initialt steg på 0,3 mg/kg och därefter i steg om 0,2–0,5 mg/kg (dosen beror på patientens behandlingssvar), upp till en maximal dos på 2,0 mg/kg (maximal dos 180 mg), som ges var 4:e vecka. Fastande serumfosfat ska mätas 2 veckor efter dosjustering.
För patienter vars serumfosfatvärde ligger kvar under referensintervallet, trots att maximal dos ges var 4:e vecka, kan den tidigare dosen delas upp och ges varannan vecka, vid behov med stegvisa ökningar enligt ovan, upp till en maximal dos på 2,0 mg/kg varannan vecka (maximal dos 180 mg).
Dossänkning
Om serumfosfat ligger över referensintervallet ska nästa dos hoppas över och serumfosfatnivån kontrolleras på nytt efter 2 veckor. Patienten måste ha serumfosfat under referensintervallet innan behandlingen med burosumab återupptas. När serumfosfat ligger under referensintervallet kan behandlingen med burosumab återupptas med cirka halva den tidigare dosen, administrerat
var 4:e vecka (för patienter som doseras var 4:e vecka före dosavbrott)
varannan vecka (för patienter som doseras varannan vecka före dosavbrott)
Serumfosfat ska kontrolleras på nytt 2 veckor efter varje dosjustering.
Om nivån ligger kvar under referensintervallet efter den återupptagna dosen kan dosen justeras ytterligare.
Dosavbrott hos pediatriska och vuxna patienter med OOM
Om patienten genomgår behandling av den underliggande tumören (dvs. kirurgisk excision eller strålbehandling) ska behandlingen med burosumab avbrytas.
Efter avslutad behandling av den underliggande tumören ska serumfosfat kontrolleras på nytt innan behandlingen med burosumab återupptas. Behandlingen med burosumab ska återupptas med patientens ursprungliga startdos om serumfosfatnivån ligger kvar under den nedre gränsen för det normala referensintervallet. Följ den rekommenderade dosjusteringen som beskrivs ovan för att bibehålla serumfosfatnivån inom det normala referensintervallet.
För alla patienter med OOM ska behandlingen sättas ut om behandlande läkare anser att ingen väsentlig förbättring av biokemiska svar eller svar avseende kliniska markörer ses, trots att maximal dos ges.
Alla patienter
För att minska risken för ektopisk mineralisering rekommenderas att fastande serumfosfat i den lägre änden av det normala referensintervallet eftersträvas (se avsnitt 4.4).
Missad dos
Behandlingen kan administreras 3 dagar före eller efter den schemalagda behandlingsdagen om det behövs av praktiska skäl. Om patienten missar en dos ska burosumab återupptas så snart som möjligt med den ordinerade dosen.
Särskilda patientgrupper
Nedsatt njurfunktion
Det finns inga eller begränsad mängd data för patienter med nedsatt njurfunktion. Burosumab får inte ges till patienter med gravt nedsatt njurfunktion eller njursjukdom i slutstadium (se avsnitt 4.3).
Pediatrisk population
X-kromosombunden hypofosfatemi (XLH)
Säkerhet och effekt för burosumab för pediatriska patienter med XLH under ett års ålder har inte fastställts i kliniska studier.
Onkogen osteomalaci (OOM)
Säkerhet och effekt för burosumab för pediatriska patienter med OOM har inte fastställts i kliniska studier.
Äldre
Det finns begränsad mängd data för patienter över 65 års ålder.
Administreringssätt
För subkutan användning.
Burosumab ska injiceras i buken, överarmen, skinkan eller låret. Den maximala volymen läkemedel per injektionsställe är 1,5 ml. Om mer än 1,5 ml krävs vid samma doseringstillfälle måste den totala läkemedelsmängden delas upp och administreras på två eller fler olika injektionsställen. Injektionsställena ska varieras och övervakas noga med avseende på eventuella reaktioner (se avsnitt 4.4).
För hantering av burosumab före administrering, se avsnitt 6.6.
En del patienter kan själva administrera läkemedlet
med antingen injektionsflaskan och/eller den förfyllda sprutan
eller låta en annan person, t.ex. en förälder eller vårdare, göra det. När inga omedelbara dosförändringar förväntas kan en person som fått lämplig träning i injektionstekniken administrera läkemedlet. Den första självadministrerade dosen efter insättning av läkemedel eller dosändring ska göras under överinseende av hälso- och sjukvårdspersonal. Den kliniska övervakningen av patienten, inklusive kontroll av fosfatvärden, måste fortsätta som rekommenderat enligt beskrivningen nedan. En detaljerad bruksanvisning avsedd för patienten finns i slutet av bipacksedeln.
Överkänslighet mot den aktiva substansen eller mot något hjälpämne som anges i avsnitt 6.1.
Samtidig administrering med orala fosfat- och aktiva D-vitaminanaloger (se avsnitt 4.5).
Fastande serumfosfat över det normala intervallet för åldern på grund av risken för hyperfosfatemi (se avsnitt 4.4).
Patienter med gravt nedsatt njurfunktion eller njursjukdom i slutstadium.
Spårbarhet
För att underlätta spårbarhet av biologiska läkemedel ska läkemedlets namn och tillverkningssatsnummer registreras tydligt i patientens journal.
Ektopisk mineralisering
Ektopisk mineralisering, som manifesteras genom nefrokalcinos, har observerats hos patienter med XLH (x-kromosombunden hypofosfatemi) som behandlas med orala fosfat- och aktiva D-vitaminanaloger. Dessa läkemedel ska sättas ut minst 1 vecka innan behandlingen med burosumab påbörjas (se avsnitt 4.2).
Övervakning för tecken och symtom på nefrokalcinos, t.ex. med ultraljudsundersökning av njurarna, rekommenderas vid behandlingsstart och var 6:e månad under behandlingens första 12 månader och därefter årligen. Övervakning av alkaliskt fosfatas, kalcium, bisköldkörtelhormon (PTH) och kreatinin i plasma rekommenderas var 6:e månad (var 3:e månad för barn i åldern 1-2 år) eller vid behov.
Övervakning av kalcium och fosfat i urin föreslås var 3:e månad.
Hyperfosfatemi
Fastande serumfosfatnivå ska övervakas till följd av risken för hyperfosfatemi. För att minska risken för ektopisk mineralisering rekommenderas att fastande serumfosfat i den lägre änden av det normala referensintervallet för åldern eftersträvas. Dosavbrott och/eller dosreduktion kan krävas (se avsnitt 4.2). Regelbunden mätning av serumfosfat efter måltid föreslås.
För att förebygga hyperfosfatemi ska behandlingen med burosumab avbrytas hos patienter med onkogen osteomalaci som genomgår behandling av den underliggande tumören. Behandlingen med burosumab ska endast återinsättas om patientens serumfosfatnivå ligger kvar under den nedre gränsen för det normala referensintervallet (se avsnitt 4.2).
Hyperkalcemi och hyperparatyreoidism
Förhöjt kalcium eller bisköldkörtelhormon i serum har rapporterats hos vissa patienter under behandling med burosumab. Faktorer som hyperparatyreoidism, långvarig immobilisering, dehydrering, hypervitaminos D eller nedsatt njurfunktion kan öka risken för hyperkalcemi. I synnerhet har allvarlig hyperkalcemi rapporterats hos personer med tertiär hyperparatyreoidism. Nivåerna av serumkalcium och bisköldkörtelhormon ska övervakas före och under behandling med burosumab (se avsnitt 4.2). Hos patienter med måttlig till svår hyperkalcemi (> 3 mmol/l) ska burosumab inte administreras förrän hyperkalcemin behandlats på ett adekvat sätt.
Reaktioner på injektionsstället
Administrering av burosumab kan resultera i lokala reaktioner på injektionsstället. Administreringen ska avbrytas hos alla patienter som får svåra reaktioner på injektionsstället (se avsnitt 4.8) och lämplig läkemedelsbehandling ska ges.
Överkänslighet
Terapeutiska proteiner, såsom burosumab, kan förknippas med överkänslighetsreaktioner. I kliniska studier observerades milda eller måttliga överkänslighetsreaktioner (t.ex. utslag eller utslag på injektionsstället) (se avsnitt 4.8). Burosumabbehandlingen måste avbrytas om svåra överkänslighetsreaktioner uppstår och lämplig läkemedelsbehandling sättas in.
Hjälpämne med känd effekt
CRYSVITA injektionsvätska, lösning i injektionsflaskor
Detta läkemedel innehåller 45,91 mg sorbitol i varje injektionsflaska, vilket motsvarar 45,91 mg/ml. Patienter med ärftlig fruktosintolerans (HFI) ska inte ta detta läkemedel.
Detta läkemedel innehåller 0,5 mg polysorbat 80 i varje injektionsflaska, vilket motsvarar 0,5 mg/ml. Polysorbater kan orsaka allergiska reaktioner.
CRYSVITA 10 mg injektionsvätska, lösning i förfylld spruta
Detta läkemedel innehåller 15,30 mg sorbitol i varje förfylld spruta, vilket motsvarar 45,91 mg/ml. Patienter med ärftlig fruktosintolerans (HFI) ska inte ta detta läkemedel.
Detta läkemedel innehåller 0,165 mg polysorbat 80 i varje förfylld spruta, vilket motsvarar 0,5 mg/ml. Polysorbater kan orsaka allergiska reaktioner.
CRYSVITA 20 mg injektionsvätska, lösning i förfylld spruta
Detta läkemedel innehåller 30,61 mg sorbitol i varje förfylld spruta, vilket motsvarar 45,91 mg/ml. Patienter med ärftlig fruktosintolerans (HFI) ska inte ta detta läkemedel.
Detta läkemedel innehåller 0,335 mg polysorbat 80 i varje förfylld spruta, vilket motsvarar 0,5 mg/ml. Polysorbater kan orsaka allergiska reaktioner.
CRYSVITA 30 mg injektionsvätska, lösning i förfylld spruta
Detta läkemedel innehåller 45,91 mg sorbitol i varje förfylld spruta, vilket motsvarar 45,91 mg/ml. Patienter med ärftlig fruktosintolerans (HFI) ska inte ta detta läkemedel.
Detta läkemedel innehåller 0,5 mg polysorbat 80 i varje förfylld spruta, vilket motsvarar 0,5 mg/ml. Polysorbater kan orsaka allergiska reaktioner.
Samtidig administrering av burosumab och orala fosfat- och aktiva D-vitaminanaloger är kontraindicerad eftersom det kan medföra ökad risk för hyperfosfatemi och hyperkalcemi (se avsnitt 4.3).
Försiktighet ska iakttas vid kombination av burosumab med kalcimimetika (dvs. medel som imiterar effekten av kalcium på vävnader genom att aktivera kalciumreceptorn). Samtidig administrering av dessa läkemedel har inte studerats i kliniska prövningar och därför rekommenderas noggrann övervakning av kalciumnivåerna i serum (se avsnitt 4.4).
Fertila kvinnor
Fertila kvinnor skall använda effektiv preventivmetod under behandling med burosumab och under minst 14 veckor efter att behandlingen har stoppats.
Graviditet
Det finns inga eller begränsad mängd data från användningen av burosumab hos gravida kvinnor.
Djurstudier har visat reproduktionstoxikologiska effekter (se avsnitt 5.3).
Burosumab rekommenderas inte under graviditet och till fertila kvinnor som inte använder preventivmedel.
Amning
Det är okänt om burosumab utsöndras i bröstmjölk. Det är känt att humana IgG utsöndras i bröstmjölk under de första dagarna efter födseln, vilket minskar till låga koncentrationer strax därefter. Därför kan en risk för det ammade nyfödda barnet inte uteslutas under denna korta period. Därefter kan användning av burosumab under amning övervägas endast om det är kliniskt nödvändigt.
Fertilitet
Djurstudier har visat effekter på manliga könsorgan (se avsnitt 5.3). Det finns inga tillgängliga kliniska data om effekten av burosumab på fertilitet hos människa. Inga särskilda fertilitetsstudier har utförts med burosumab på djur.
Burosumab har mindre effekt på förmågan att framföra fordon och använda maskiner. Yrsel kan förekomma efter administrering av burosumab.
Sammanfattning av säkerhetsprofilen
De vanligaste biverkningarna (> 10 %) som rapporterades hos pediatriska patienter med XLH i kliniska prövningar, baserat på fullföljda långtidsstudier med en maximal exponeringsperiod för burosumab på 214 veckor (med varierande perioder av exponering i säkerhetspopulationen), var: hosta (55 %), reaktioner på injektionsstället (54 %), feber (50 %), huvudvärk (48 %), kräkningar (46 %), smärta i extremitet (42 %), tandabscess (40 %), sänkt halt av D‑vitamin (28 %), diarré (27 %), illamående (21 %), hudutslag (20 %), förstoppning (12 %) och karies (11 %).
De vanligaste biverkningarna (> 10 %) som rapporterades i kliniska prövningar hos vuxna patienter med XLH eller vuxna patienter med OOM, baserat på fullföljda långtidsstudier upp till en maximal exponering för burosumab på 300 veckor (med varierande exponeringsperiod för säkerhetspopulationen) var: ryggsmärta (30 %), reaktion på injektionsstället (29 %), huvudvärk (28 %), tandinfektion (28 %), sänkt halt av D-vitamin (28 %), muskelspasmer (18 %), restless legs-syndrom (16 %), yrsel (16 %) och förstoppning (13 %) (se avsnitt 4.4 och ”Beskrivning av utvalda biverkningar” nedan).
Listor över biverkningar i tabellform
Biverkningsfrekvenserna anges i tabell 1 (pediatriska patienter med XLH) och tabell 2 (vuxna med XLH och OOM).
Biverkningarna presenteras enligt klassificering av organsystem och frekvenskategorier. Frekvenskategorierna definieras enligt följande konvention: mycket vanliga (≥ 1/10), vanliga (≥ 1/100, <1/10), mindre vanliga (≥ 1/1 000,
< 1/100), sällsynta (≥ 1/10 000, < 1/1 000), mycket sällsynta (< 1/10 000), ingen känd frekvens (kan inte beräknas från tillgängliga data). Inom varje frekvensgruppering presenteras oönskade effekter efter minskad svårighetsgrad.
Tabell 1: Rapporterade biverkningar hos pediatriska patienter i åldern 1 till 17 år med XLH, som setts vid kliniska prövningar (N=120) och efter godkännandet för försäljning
1Tandabscess omfattar: tandabscess, tandinfektion och tandvärk
2Hyperparatyreoidism omfattar: hyperparatyreoidism, sekundär hyperparatyreoidism och tertiär hyperparatyreoidism
3Hyperkalcemi omfattar: hyperkalcemi och förhöjd halt av kalcium i blodet
4Sett i kliniska prövningar, bekräftat av erfarenhet efter godkännandet för försäljning
5Hyperkalciuri omfattar: hyperkalciuri och förhöjd halt av kalcium i urinen
6Hosta omfattar: hosta och produktiv hosta
7Yrsel omfattar: yrsel och ansträngningsutlöst yrsel
8Hudutslag omfattar: utslag, erytematöst utslag, generaliserat utslag, kliande utslag, makulopapulöst utslag och pustulärt utslag
9Reaktion på injektionsstället omfattar: reaktion på injektionsstället, erytem på injektionsstället, klåda på injektionsstället, svullnad på injektionsstället, smärta på injektionsstället, utslag på injektionsstället, blåmärke på injektionsstället, missfärgning på injektionsstället, obehag på injektionsstället, hematom på injektionsstället, blödning på injektionsstället, induration på injektionsstället, makula på injektionsstället och urtikaria på injektionsstället
10Sänkt halt av D-vitamin omfattar: vitamin D-brist, sänkt halt av 25-hydroxikolekalciferol i blodet och sänkt halt av D-vitamin
11Förhöjd fosfathalt i blodet omfattar: förhöjd fosfathalt i blodet och hyperfosfatemi
Tabell 2: Biverkningar som setts vid kliniska prövningar hos vuxna (N = 203) med XLH (N=176) och OOM (N = 27) och efter godkännandet för försäljning
1 Tandinfektion omfattar: tandabscess, tandinfektion och tandvärk
2Hyperparatyreoidism omfattar: hyperparatyreoidism, sekundär hyperparatyreoidism och tertiär hyperparatyreoidism
3Hyperkalcemi omfattar: hyperkalcemi och förhöjd halt av kalcium i blodet
4Sett i kliniska prövningar med OOM, bekräftat av erfarenhet efter godkännandet för försäljning
5Sett i kliniska prövningar med XLH, bekräftat av erfarenhet efter godkännandet för försäljning
6Hyperkalciuri omfattar: hyperkalciuri och förhöjd halt av kalcium i urinen
7 Huvudvärk omfattar: huvudvärk och obehag i huvudet
8Hudutslag omfattar: hudutslag, papulösa utslag och erytematösa utslag
9Reaktion på injektionsstället omfattar: reaktion på injektionsstället, erytem på injektionsstället, klåda på injektionsstället, svullnad på injektionsstället, smärta på injektionsstället, utslag på injektionsstället, blåmärke på injektionsstället, missfärgning på injektionsstället, obehag på injektionsstället, hematom på injektionsstället, blödning på injektionsstället, induration på injektionsstället, makula på injektionsstället, urtikaria på injektionsstället, överkänslighet på injektionsstället och inflammation på injektionsstället
10Sänkt halt av D-vitamin omfattar: vitamin D-brist, sänkt halt av 25-hydroxikolekalciferol i blodet och sänkt halt av D-vitamin
11Förhöjd halt av fosfor i blodet omfattar: förhöjd halt av fosfor i blodet och hyperfosfatemi
12Sett i kliniska prövningar med XLH och OOM, bekräftat av erfarenhet efter godkännandet för försäljning
Beskrivning av utvalda biverkningar
Reaktioner på injektionsstället
Pediatriska patienter med XLH:
Lokala reaktioner (t.ex. urtikaria på injektionsstället, erytem, hudutslag, svullnad, blåmärke, smärta, klåda och hematom) har förekommit på injektionsstället. Hos pediatriska patienter hade cirka 54 % av patienterna en reaktion på injektionsstället, baserat på data från kliniska studier. Reaktionerna på injektionsstället var i allmänhet lindriga och uppkom inom 1 dag efter administrering av läkemedlet, varade oftast 1–3 dagar, krävde ingen behandling och försvann i nästan alla fall.
Vuxna patienter med XLH eller OOM:
Reaktioner på injektionsstället var i allmänhet lindriga, krävde ingen behandling och försvann i nästan alla fall.
Hos patienter med XLH under den placebokontrollerade behandlingsperioden i studie UX023-CL303 var frekvensen av reaktioner på injektionsstället 12 % i både burosumab- och placebogrupperna (reaktion på injektionsstället, erytem, hudutslag, blåmärke, smärta, klåda och hematom).
Hos patienter med OOM var frekvensen av reaktioner på injektionsstället baserade på data från fullföljda kliniska långtidsstudier 22 % (reaktion på injektionsstället, smärta på injektionsstället och svullnad på injektionsstället).
Överkänslighet
Pediatriska patienter med XLH:
Överkänslighetsreaktioner (t ex: reaktioner på injektionsstället, hudutslag, urtikaria, ansiktssvullnad, dermatit etc.) rapporterades hos 39 % av de pediatriska patienterna, baserat på data från kliniska studier. Samtliga reaktioner var av lindrig eller måttlig svårighetsgrad.
Vuxna patienter med XLH eller OOM:
Överkänslighetsreaktionerna var av lindrig eller måttlig svårighetsgrad.
Hos patienter med XLH under den placebokontrollerade behandlingsperioden i studie UX023-CL303
var incidensen av potentiella överkänslighetsreaktioner likartad (6 %) hos burosumab- och placebobehandlade vuxna.
Hos patienter med OOM var frekvensen överkänslighetsreaktioner (hudutslag, läkemedelsutslag och överkänslighet) 30 % baserat på data från fullföljda kliniska långtidsstudier.
Sänkt halt av D-vitamin
Pediatriska patienter med XLH:
Sänkt halt av 25-hydroxivitamin D i serum har observerats hos cirka 8 % av de pediatriska patienterna efter insättning av burosumab, möjligen beroende på omvandling till aktiverat 1,25-dihydroxivitamin D. Tillskott av inaktivt vitamin D återställde plasmanivåerna till normala värden.
Hyperfosfatemi
Vuxna patienter med XLH eller OOM:
Hos patienter med XLH under den placebokontrollerade behandlingsperioden i studie UX023-CL303 fick 9 patienter (13,2 %) i burosumabgruppen högt serumfosfat minst en gång. 5 av dessa 9 patienter krävde protokollspecificerad(e) dosminskning(ar). Efter insättning av burosumab under den öppna perioden med fortsatt behandling fick 8 patienter (12,1 %) i placebo-→ burosumabgruppen höga nivåer av serumfosfat. 4 av dessa 8 patienter krävde protokollspecificerad(e) dosminskning(ar). Dosen för alla patienter som uppfyllde de protokollspecificerade kriterierna minskades med 50 %. En enda patient (1 %) krävde en andra dosminskning på grund av fortsatt hyperfosfatemi.
Hos patienter med OOM fick 11 % biverkningar med hyperfosfatemi baserat på data från fullföljda kliniska långtidsstudier. Dessa episoder behandlades med dosreduktion.
Restless legs-syndrom
Vuxna patienter med XLH eller OOM:
Hos patienter med XLH under den placebokontrollerade behandlingsperioden i studie UX023-CL303 hade cirka 12 % i burosumabgruppen och 8 % i placebogruppen en försämring från baslinjen av restless legs-syndrom, eller hade debut av lindrigt till måttligt restless legs-syndrom.
Hos patienter med OOM fick 11 % biverkningar med restless legs-syndrom av mild till måttlig svårighetsgrad, baserat på data från fullföljda kliniska långtidsstudier.
Immunogenicitet
Pediatriska patienter med XLH:
Totalt sett var incidensen av antikroppar mot läkemedlet vid behandling med burosumab 10 % hos pediatriska patienter som fick burosumab, baserat på data från kliniska studier. Incidensen av neutraliserande anti-läkemedelsantikroppar hos pediatriska patienter var 3 %. Inga biverkningar, ingen effektförlust och inga förändringar i den farmakokinetiska profilen för burosumab förknippades med dessa fynd.
Vuxna patienter med XLH och OOM:
Incidensen av patienter som testade positivt för anti-läkemedelsantikroppar mot burosumab i kliniska studier på vuxna med XLH eller OOM var 15 %, baserat på data från fullföljda kliniska långtidsstudier. Ingen av dessa utvecklade neutraliserande anti-läkemedelsantikroppar. Inga biverkningar, ingen effektförlust och inga förändringar i den farmakokinetiska profilen för burosumab förknippades med dessa fynd.
Biverkningar hos pediatriska patienter med OOM
Det finns inga data på pediatriska patienter med OOM (se avsnitt 5.1).
Rapportering av misstänkta biverkningar
Det finns ingen erfarenhet av överdos med burosumab. Burosumab har administrerats i pediatriska kliniska prövningar på XLH utan dosbegränsande toxicitet med användning av doser upp till 2,0 mg/kg kroppsvikt med en maximal dos på 90 mg varannan vecka. I kliniska prövningar på vuxna med XLH har ingen dosbegränsande toxicitet observerats vid doser på upp till 1,0 mg/kg eller en maximal dos på 128 mg var 4:e vecka. I kliniska prövningar på vuxna med OOM har ingen dosbegränsande toxicitet observerats vid doser på upp till 2,0 mg/kg eller en maximal dos på 184 mg var 4:e vecka.
Behandling
Vid en överdos rekommenderas behandlingsstopp med burosumab och övervakning av biokemiskt svar.
Primärt effektmått var förändring av rakitens svårighetsgrad vid vecka 40, bedömt med hjälp av jämförelse av poäng på RGI-C-skalan (Radiographic Global Impression of Change) för burosumabgruppen och gruppen som fick aktiv kontroll.
RGI-C är en relativ bedömningsskala som jämför en patients rakit före och efter behandling med användning av en ordinalskala med 7 punkter där man bedömer förändringen av samma abnormiteter som i RSS (som beskrivs nedan). Poängen sträcker sig från ‑3 (kraftig försämring av rakit) till +3 (fullständig utläkning av rakit).
Svårighetsgraden av pediatrisk rakit mättes med hjälp av RSS, en radiologisk poängsättningsmetod baserad på graden av metafyseal nötning (”fraying”) och konkavitet och på hur stor del av tillväxtplattan som är involverad. I studie UX023-CL301 poängsattes RSS med hjälp av en fördefinierad skala för specifika abnormiteter i handleder och knän.
Alla patienter (n=61) fullföljde den 64 veckor långa randomiserade behandlingsperioden. Ingen patient behövde dosminskning och för 8 (28 %) av patienterna som behandlades med burosumab kunde dosen höjas till 1,2 mg/kg. Totalt 51 patienter deltog i den förlängda behandlingsperioden, 26 patienter i aktiv kontroll→burosumabgruppen och 25 patienter i burosumab→burosumabgruppen, och behandlades med burosumab i upp till 124 veckor.
Primära effektresultat
Bättre läkning av rakit vid vecka 40 sågs vid burosumabbehandling jämfört med aktiv kontroll. Effekten kvarstod vecka 64, se figur 1. Dessa resultat bibehölls till vecka 88 (n=21).
Figur 1: Global RGE-C-poäng (medel ± SE) – primärt effektmått vecka 40 och 64 (hela analysgruppen)
Sekundära effektresultat
Sekundära huvudeffektmått för veckorna 40 och 64 redovisas i tabell 3. Dessa resultat kvarstod till vecka 88 (n=21).
Tabell 3: Resultat för sekundära effektmått
a: förändring från baslinjen till vecka 40 enligt ANCOVA-modell.
b: förändring från baslinjen till vecka 64 enligt GEE-modell.
Serumfosfat
Vid alla studiebesök där serumfosfat mättes i båda grupperna var förändringen av serumfosfat från baslinjen större i burosumabgruppen än i gruppen med aktiv kontroll (p <0,0001; GEE-modell) (figur 2).
Figur 2: Serumfosfatkoncentration och förändring från baslinjen (mg/dl) (medel ± SE) per behandlingsgrupp (PD analysgrupp)
Obs: Den streckade linjen i figuren visar det nedre gränsvärdet för normalt serumfosfat, 3,2 mg/dl (1,03 mmol/l)
Under den förlängda behandlingsperioden (vecka 66 till vecka 140) med förlängd burosumabbehandling i båda grupperna (burosumab→burosumab (n=25) och aktiv kontroll→burosumab (n=26)) kvarstod resultaten.
Studie UX023-CL201
I den pediatriska studien UX023-CL201 behandlades 52 pediatriska patienter i åldern 5–12 år (medelålder 8,5 år; SD 1,87) med XLH under en inledande period på 64 veckor och doserades antingen varannan vecka (Q2W) eller var fjärde vecka (Q4W). Denna följdes av två förlängda perioder med dosering Q2W för alla patienter: den första perioden upp till 96 veckor (totalt 160 veckor) och en ytterligare period på upp till 56 veckor för säkerhetsanalys.
Nästan alla patienter hade radiologiskt påvisad rakit vid baslinjen och hade tidigare fått orala fosfatpreparat och D-vitaminanaloger under en genomsnittlig tid på 7 år (standardavvikelse [SD] 2,4 år). Denna konventionella behandling avbröts 2–4 veckor före insättande av burosumab. Burosumabdosen justerades för att uppnå fastande serumfosfatkoncentration på 3,50 till 5,02 mg/dl (1,13 till 1,62 mmol/l). Under de första 64 veckorna fick 26 av 52 patienter burosumab Q4W. 26 av 52 patienter fick burosumab Q2W med en genomsnittlig dos (min, max) på 0,73 (0,3; 1,5), 0,98 (0,4; 2,0) och 1,04 (0,4; 2,0) mg/kg i vecka 16, 40 och 64 och upp till en maximal dos på 2,0 mg/kg.
Burosumab ökade koncentrationen av serumfosfat och höjde TmP/GFR (maximal tubulär reabsorption av fosfat/glomerulär filtrationshastighet). I Q2W-gruppen höjdes den genomsnittliga (SD) fosfatkoncentrationen i serum från 2,38 (0,405) mg/dl (0,77 (0,131) mmol/l) vid baslinjen till 3,3 (0,396) mg/dl (1,07 (0,128) mmol/l) vecka 40 och låg kvar på 3,35 (0,445) mg/dl (1,08 (0,144) mmol/l) vecka 64. De förhöjda nivåerna av serumfosfat kvarstod till vecka 160 (n=52).
Alkalisk fosfatasaktivitet
Genomsnittlig (SD) total alkalisk fosfatasaktivitet (ALP) i serum var 459 (105) E/l vid baslinjen och minskade till 369 (76) E/l i vecka 64 (‑19,6 %, p < 0,0001). Minskningen var likartad i de två doseringsgrupperna. Generellt kvarstod sänkta nivåer av ALP i serum till vecka 160.
Benspecifikt alkaliskt fosfatas i serum (BALP) var 165 (52) μg/l (medelvärde [SD]) vid baslinjen och 115 (31) μg/l i vecka 64 (medelförändring: ‑28,5 %). Minskningen var likartad i de två doseringsgrupperna. Generellt kvarstod sänkta nivåer av benspecifikt BALP i serum till vecka 160.
I studie UX023-CL201 mättes svårighetsgraden av pediatrisk rakit med hjälp av RSS som beskrivits ovan, vilken poängsattes med hjälp av en tidigare fastställd skala som undersöker specifika abnormiteter i handleder och knän. Förändring i globalt radiologiskt intryck (Radiographic Global Impression of Change, RGI‑C)Som ett komplement till RSS användes RGI-C-skalan. Resultaten sammanfattas i tabell 4.
Tabell 4: Rakitsvar hos barn i åldern 5–12 år som får burosumab i studie UX023-CL201
a: De uppskattade LS-medelvärdena och p-värdena baseras på den allmänna beräkningsekvationsmodellen som motsvarar RSS vid baslinjen, besök och regim och dess interaktion.
Studie UX023-CL205
I den pediatriska studien UX023-CL205 utvärderades burosumab hos 13 patienter med XLH i åldern 1–4 år (i genomsnitt 2,9 år, SD 1,1) under en behandlingsperiod på 64 veckor. 12 patienter fick burosumab i ytterligare 96 veckor under den förlängda perioden, med en maximal duration på 160 veckor. Alla patienter hade radiologiskt påvisad rakit vid baslinjen och 12 patienter fick orala fosfatpreparat och D-vitaminanaloger under i genomsnitt (SD) 16,7 (14,4) månader. Denna konventionella behandling avbröts 2–6 veckor före insättande av burosumab. Patienter fick burosumab i dosen 0,8 mg/kg varannan vecka.
Genomsnittligt (SD) fastande serumfosfat ökade från 2,51 (0,284) mg/dl (0,81 (0,092) mmol/l) vid baslinjen till 3,47 (0,485) mg/dl (1,12 (0,158) mmol/l) vecka 40 och de förhöjda nivåerna kvarstod till vecka 160.
Alkalisk fosfatasaktivitet i serum
Genomsnittlig (SD) total alkalisk fosfatasaktivitet i serum var 549 (193,8) E/l vid baslinjen och minskade till 335 (87,6) E/l vid vecka 40 (medelförändring: −36,3 %). Minskad total alkalisk fosfatasaktivitet i serum kvarstod med långtidsbehandling till vecka 160.
Poäng för svårighetsgrad av rakit (RSS)
Den genomsnittliga (SD) totala RSS-poängen förbättrades från 2,92 (1,367) vid baslinjen till 1,19 (0,522), vecka 40, motsvarande en förändring från LS-medelvärdet (SE) från baslinjen på −1,73 (0,132) (p <0,0001). RSS kvarstod till veckorna 64, 112 och 160.
Förändring i globalt radiologiskt intryck (RGI-C)
Efter 40 veckors behandling med burosumab var LS-medelvärdet (SE) för RGI-C Global score +2,21 (0,071) hos alla 13 patienter (p < 0,0001) förenligt med läkning av rakit. Alla 13 patienter ansågs svara på RGI-C, definierat som RGI-C global poäng på ≥ +2,0. RGI-C Global score kvarstod till veckorna 64, 112 och 160.
Europeiska läkemedelsmyndigheten har senarelagt kravet att skicka in studieresultat för burosumab för en eller flera grupper av den pediatriska populationen för x-bunden hypofosfatemi. Information om pediatrisk användning finns i avsnitt 4.2.
Klinisk effekt hos vuxna med XLH
Studie UX023-CL303
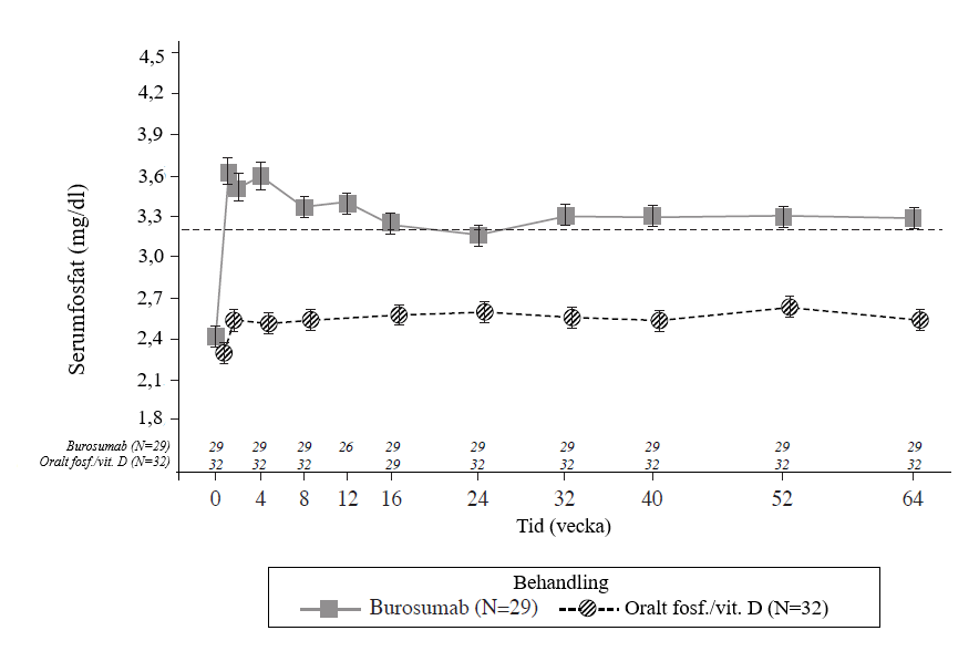
Studie UX023-CL303 är en randomiserad, dubbelblind, placebokontrollerad studie med 134 vuxna XLH-patienter. Studien bestod av en 24 veckor lång placebokontrollerad behandlingsfas som följdes av en öppen 24-veckorsperiod då alla patienter fick burosumab. Orala fosfatpreparat och aktiva D-vitaminanaloger var inte tillåtna under studien. Burosumab administrerades vid dosen 1 mg/kg var 4:e vecka. Primärt effektmått för denna studie var normalisering av serumfosfat under den 24 veckor långa dubbelblinda perioden. Sekundära huvudeffektmått omfattade värsta tänkbara smärta enligt BPI-skalan (Brief Pain Inventory) samt stelhet och fysisk funktion enligt mätning med WOMAC-index (Western Ontario and McMaster Universities Osteoarthritis). De exploratoriska effektmåtten inkluderade läkning av frakturer och pseudofrakturer, entesopati, 6 minuters gångtest, smärtinterferens enligt BPI, värsta tänkbara trötthet enligt BFI-skalan (Brief Fatigue Inventory) och total BFI-poäng för trötthet.
Vid studieinträde var patienternas genomsnittsålder 40 år (från 19 till 66 år) och 35 % var män. 66 patienter randomiserades till placebobehandling och 68 till burosumabbehandling. Vid baslinjen var medelvärdet (SD) för serumfosfat 0,62 (0,10) mmol/l [1,92 (0,32) mg/dl] i placebogruppen och 0,66 (0,1 mmol/l) [2,03 (0,30) mg/dl] i burosumabgruppen.
För det primära effektmåttet uppnådde en större andel patienter som behandlades med burosumab en genomsnittlig serumfosfatnivå över den nedre normalgränsen (LLN) jämfört med placebogruppen fram till vecka 24 (tabell 5 och figur 3).
Tabell 5: Andel vuxna patienter som uppnådde genomsnittliga serumfosfatnivåer över LLN i mitten av dosintervallet i studien UX023-CL303 (dubbelblind period)
95 % KI beräknas med Wilson-poängmetoden.
a P-värdet baseras på testning enligt Cochran-Mantel-Haenszel (CMH) för samband mellan det primära effektmåttet och behandlingsgruppen, justerat för stratifierade randomiseringar.
Figur 3: Genomsnittliga (± SE) toppkoncentrationer för serumfosfat (mg/dl [mmol/l])
Patientrapporterad smärta, fysisk funktion och stelhet
Förändringen från baslinjen till vecka 24 visade en större skillnad för burosumab jämfört med placebo i patientrapporterad smärta (BPI), fysisk funktion (WOMAC-index) och stelhet (WOMAC-index). Den genomsnittliga (SE) skillnaden mellan behandlingsgrupperna (burosumab-placebo) nådde statistisk signifikans för WOMAC-stelhet vecka 24. Se tabell 6 för detaljer.
Tabell 6: Poängförändringar av patientrapporterad smärta, fysisk funktion och stelhet från baslinjen till vecka 24 och analys av skillnaden vecka 24
6 minuters gångtest
Alla patienter genomförde detta ansträngningstest vid baslinjen, vecka 12, 24, 36 och 48 (skillnad i LS-medel vad gäller förändring från baslinjen, burosumab → placebo: tabell 7). Förbättringarna fortsatte fram till vecka 48, då gångdistansen ökade från 357 m vid baslinjen till 393 m i vecka 48. Patienter som övergick från placebo till burosumab uppnådde liknande förbättringar efter 24 veckors behandling.
Tabell 7: 6 minuters gångdistans (SD) vid baslinjen och vecka 24, genomsnittlig skillnad enligt minsta kvadratmetoden (SE)
Radiologisk bedömning av frakturer och pseudofrakturer
I studie UX023-CL303 gjordes en undersökning av skelettet vid baslinjen för att identifiera osteomalaci-relaterade frakturer och pseudofrakturer. 52 % (70/134) av patienterna hade antingen aktiva frakturer (12 %, 16/134) eller aktiva pseudofrakturer (47 %, 63/134) vid baslinjen. Efter behandling med burosumab hade fler patienter läkta frakturer och pseudofrakturer jämfört med placebogruppen (figur 4). Under den placebokontrollerade behandlingsperioden fram till vecka 24 uppkom totalt 6 nya frakturer eller pseudofrakturer hos 68 patienter som fick burosumab, jämfört med 8 nya abnormiteter hos 66 patienter som fick placebo. Av antalet nya frakturer som utvecklades före vecka 48, hade huvuddelen (10/18) läkt eller delvis läkt vid studiens slut.
Figur 4: Procentandel läkta aktiva frakturer och pseudofrakturer i studie UX023-CL303
Vid baslinjen var genomsnittlig (SD) total kalkaneusentesopati (summan av superiora och inferiora kalkaneussporrar) 5,64 (3,12) cm i burosumabgruppen och 5,54 (3,1) cm i placebogruppen. I vecka 24 var genomsnittlig (SD) total kalkaneusentesopati 5,90 (3,56) cm i burosumab→burosumabgruppen och 4,07 (2,38) cm i placebo→burosumabgruppen.
För de exploratoriska effektmåtten smärtinterferens enligt BPI, värsta tänkbara trötthet enligt BFI och total BFI-poäng för trötthet, observerades inga betydelsefulla skillnader mellan behandlingsgrupperna.
Benhistomorfometri hos vuxna
Studie UX023-CL304
Studie UX023-CL304 var en 48 veckor lång, öppen studie med en behandlingsgrupp vuxna XLH-patienter för att bedöma burosumabs effekt på att förbättra osteomalaci. Effekten fastställdes genom en histologisk och histomorfometrisk bedömning av biopsier på höftbenskammen. Patienterna fick 1,0 mg/kg burosumab var 4:e vecka. Orala fosfatpreparat och aktiva D-vitaminanaloger var inte tillåtna under studien.
14 patienter inkluderades och vid studieinträde var patienternas genomsnittsålder 40 år (från 25 till 52 år) och 43 % var män. Efter 48 veckors behandling i studie UX023-CL304 var parade biopsier tillgängliga från 11 patienter. Läkning av osteomalaci observerades hos alla 10 bedömningsbara patienter, vilket påvisades genom minskad osteoidvolym/benvolym (OV/BV) från ett genomsnittspoäng (SD) på 26,1 % (12,4) vid baslinjen till 11,9 % (6,6). Osteoidtjockleken (O.Th) minskade hos 11 bedömningsbara patienter från ett genomsnitt (SD) på 17,2 (4,1) mikrometer till 11,6 (3,1) mikrometer.
Klinisk effekt hos vuxna patienter med onkogen osteomalaci
Burosumab har utvärderats i två öppna enarmade studier som inkluderade totalt 27 vuxna patienter med OOM. Orala fosfatpreparat och aktiva D-vitaminanaloger sattes ut 2–10 veckor innan behandlingen med burosumab påbörjades. Patienterna fick burosumab var 4:e vecka med en viktbaserad startdos på 0,3 mg/kg för att uppnå en fastande serumfosfatnivå på 2,5–4,0 mg/dl (0,81–1,29 mmol/l).
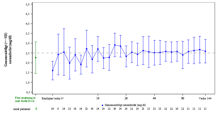
Studie UX023T-CL201 inkluderade 14 vuxna patienter med en bekräftad diagnos på FGF23-relaterad hypofosfatemi som inducerats av en underliggande tumör som inte gått att resektera eller lokalisera. Åtta patienter var män. Åldersintervallet för samtliga patienter var 33–68 år (medianålder 59,5 år). Den genomsnittliga (SD) dosen burosumab var 0,83 (0,41) mg/kg vecka 20; 0,87 (0,49) mg/kg vecka 48; 0,77 (0,52) mg/kg vecka 96 och 0,67 (0,54) mg/kg vecka 144.
Studie KRN23-002 inkluderade 13 vuxna patienter från Japan och Sydkorea med en bekräftad OOM-diagnos. Sex patienter var män. Åldersintervallet för samtliga patienter var 41–73 år (medianålder 58,0 år). Den genomsnittliga (SD) dosen burosumab var 0,91 (0,59) mg/kg vecka 48 och 0,96 (0,70) mg/kg vecka 88.
Serumfosfat
I båda studierna ökade burosumab de genomsnittliga fosfatnivåerna i serum och dessa låg stabilt under hela studieperioden, se figur 5 och 6.
Figur 5: Serumfosfatkoncentration (mg/dl) (medelvärde ± SD) i studie UX023T-CL201
Observera: Den streckade linjen i figuren visar det nedre gränsvärdet för serumfosfat, 2,5 mg/dl (0,81 mmol/l)
*Före utsättning av oralt fosfatpreparat/D-vitamin; dessa värden togs innan patienten inkluderades i studien.
Figur 6: Serumfosfatkoncentration (mg/dl) (medelvärde ± SD) i studie KRN23-002
Observera: Den streckade linjen i figuren visar det nedre gränsvärdet för serumfosfat, 2,5 mg/dl (0,81 mmol/l)
*Före utsättning av oralt fosfatpreparat/D-vitamin; dessa värden togs innan patienten inkluderades i studien.
I studie UX023T-CL201 ökade förhållandet TmP/GFR hos dessa patienter från ett genomsnitt (SD) på 1,12 (0,54) mg/dl (0,36 [0,17] mmol/l) vid baslinjen till 2,12 (0,64) mg/dl (0,68 [0,21] mmol/l) vecka 48 och låg sedan stabilt till och med vecka 144. I studie KRN23-002 ökade förhållandet TmP/GFR från ett genomsnitt (SD) på 1,15 (0,43) mg/dl (0,46 [0,17] mmol/l) vid baslinjen till 2,30 (0,48) mg/dl (0,92 [0,19] mmol/l) vecka 48.
Benhistomorfometri
I studie UX023T-CL201 togs parade skelettbiopsier på 11 patienter. Förändringarna bedömdes efter 48 veckors behandling. De histomorfologiska parametrarna presenteras nedan i tabell 8 som gruppmedelvärden vid baslinjen och vecka 48, följt av medelvärdet för de relativa förändringarna av individuella mätvärden.
Tabell 8: Förändringar i de histomorfologiska parametrarna i studie UX023T-CL201
Radiografisk utvärdering
99mteknetium-märkt skelettskintigrafi (helkropp) och röntgenundersökningar av skelettet utfördes vid baslinjen och efter behandlingen fram till vecka 144 för bedömning av antal frakturer och pseudofrakturer. En minskning av antalet frakturer och pseudofrakturer sågs vid både skelettskintigrafierna och röntgenundersökningarna.
Pediatriska patienter med OOM
Det finns inga kliniska prövningar med burosumab på pediatriska patienter i någon ålder med OOM. Doseringen av burosumab för pediatriska patienter med OOM har fastställts genom farmakokinetisk modellering och simulering (se avsnitt 5.2).
Europeiska läkemedelsmyndigheten har beviljat undantag från kravet att skicka in studieresultat för burosumab för alla grupper av den pediatriska populationen vid behandling av onkogen osteomalaci. Information om pediatrisk användning finns i avsnitt 4.2.
Absorption
Absorptionen av burosumab från subkutana injektionsställen till blodcirkulationen är nästan fullständig. Efter subkutan administrering är mediantiden för att uppnå maximala serumkoncentrationer (Tmax) av burosumab ungefär 7–13 dagar. Den maximala serumkoncentrationen (Cmax) och området under koncentration-tid-kurvan (AUC) för burosumab i serum är dosproportionell över dosintervallet på 0,1-2,0 mg/kg.
Distribution
Hos patienter med XLH motsvarar den observerade fördelningsvolymen av burosumab på ett ungefär plasmavolymen, vilket tyder på begränsad extravaskulär fördelning.
Metabolism
Burosumab består enbart av aminosyror och kolhydrater som naturligt immunglobulin och elimineras sannolikt inte via metabola mekanismer i levern. Dess metabolism och eliminering förväntas följa elimineringsvägarna för immunglobulin, vilket leder till nedbrytning till små peptider och individuella aminosyror.
Eliminering
Till följd av dess molekylstorlek förväntas inte burosumab utsöndras direkt. Clearance för burosumab beror på kroppsvikt och uppskattas vara 0,290 l/dag respektive 0,136 l/dag hos en typisk vuxen (70 kg) och pediatrisk (30 kg) patient med XLH, med motsvarande halveringstid (t1/2) i serum från cirka 16–19 dagar. Med tanke på uppskattningen av t1/2, är den uppskattade tiden för att nå platån av steady-state-exponeringar cirka 67 dagar. Efter multipla doser till pediatriska patienter når dalkoncentrationerna i serum en platå 8 veckor efter behandlingsstarten.
Linjäritet/icke-linjäritet
Burosumab uppvisar tidskonstant farmakokinetik som är linjär till dosen över det subkutana dosintervallet på 0,1–2,0 mg/kg.
Farmakokinetiskt (Farmakokinetiska)/farmakodynamiskt (farmakodynamiska) förhållande(n)
Med den subkutana administreringsvägen hos patienter med XLH och OOM observeras ett direkt PK-PD-förhållande (farmakokinetiskt-farmakodynamiskt förhållande) mellan serumkoncentrationen av burosumab och höjning i fosfatkoncentrationen i serum och beskrivs väl genom en Emax/EC50-modell. Serumkoncentrationerna av burosumab och fosfat, samt TmP/GFR, ökade och minskade parallellt och uppnådde maximumnivåer vid ungefär samma tidpunkt efter varje dos, vilket stöder ett direkt PK-PD- förhållande. AUC för förändringen från baslinjen för serumfosfat, TmP/GFR och 1,25(OH)2D ökade linjärt med ökande AUC för burosumab.
Pediatrisk PK/PD
Ingen signifikant skillnad har observerats i farmakokinetiken eller farmakodynamiken för pediatriska patienter jämfört med PK/PD hos den vuxna populationen. Clearance för burosumab och distribueringsvolym är kroppsviktsberoende.
Pediatriska patienter med OOM
Startdosen burosumab för pediatriska patienter med OOM baseras på populations-PK/PD-modellering och -simuleringar. Dessa tyder på att en startdos på 0,4 mg/kg varannan vecka för barn i åldern 1–12 år och 0,3 mg/kg varannan vecka för ungdomar i åldern 13–17 år förväntas leda till att en andel pediatriska patienter med OOM uppnår normala serumfosfatnivåer. Dessa doser kan titreras upp till maximalt 2,0 mg/kg varannan vecka (den högsta simulerade dosen).
Särskilda populationer
PK-analyser av populationer, där data användes från pediatriska och vuxna XLH-patienter och vuxna OOM-patienter indikerade att ålder, kön, etnicitet, serumalbumin vid baslinjen, alkaliskt fosfat i serum vid baslinjen, alaninaminotransferas vid baslinjen samt kreatininclearance vid baslinjen ≥ 49,9 ml/min, inte var signifikanta prediktorer för PK hos burosumab. Baserat på den populationsfarmakokinetiska analysen var burosumabs farmakokinetiska karakteristika likartade hos patienter med XLH och OOM.
Effekt på serumfosfat och kalcium efter måltid
Effekten av burosumab på nivåerna av serumfosfat och kalcium efter matintag undersöktes i två substudier (studie UX023-CL301 och UX023-CL303). 13 pediatriska patienter (i åldern > 3 år) och 26 vuxna patienter (i åldern 24–65 år). Serumfosfat och kalcium mättes i slutet av behandlingsintervallet hos pediatriska patienter och i mitten av intervallet hos vuxna. Blodprover togs efter en periods fasta och återigen 1–2 timmar efter en standardmåltid.
Burosumabbehandling uppvisade inte några postprandiala förändringar över de åldersjusterade övre normalgränserna för serumfosfat och serumkalcium hos pediatriska eller vuxna patienter i substudier.
Biverkningar i icke-kliniska studier med normala djur observerades vid exponeringar som resulterade i högre fosfatkoncentration i serum än normala gränsvärden. Dessa effekter stämde överens med överdrivet svar på hämningen av normala FGF23-nivåer som resulterar i en suprafysiologisk höjning av serumfosfat över den övre normalgränsen.
Studier på kaniner och vuxna och juvenila cynomolgusapor uppvisade dosberoende förhöjningar av serumfosfat och 1,25 (OH)2D som bekräftade burosumabs farmakologiska verkan hos dessa arter. Ektopisk mineralisering av flera vävnader och organ (t.ex. njure, hjärta, lunga och aorta) och förenade sekundära konsekvenser (t.ex. nefrokalcinos) i vissa fall, till följd av hyperfosfatemi, observerades hos normala djur vid burosumabdoser som resulterade i fosfatkoncentrationer i serum högre än ungefär 8 mg/dl (2,6 mmol/l). I en murin modell på XLH observerades en signifikant minskad incidens av ektopisk mineralisering vid motsvarande fosfatnivåer i serum, som tyder på lägre risk för mineralisering vid mycket höga FGF23-nivåer.
Skeletteffekter som sågs hos vuxna och juvenila apor inkluderade förändringar i skelettmetabola markörer, ökad tjocklek och densitet av kortikalt ben, ökad densitet av totalt skelett och tjocklek av långt skelettben. Dessa förändringar var en konsekvens av högre än normala serumfosfatnivåer, vilka påskyndade benomsättningen och även ledde till periosteal hyperostos och minskad skelettstyrka hos vuxna djur, men inte hos juvenila djur vid de doser som testades. Burosumab främjade inte onormal benutveckling då inga förändringar i femurlängd eller skelettstyrka noterades hos juvenila djur. Skelettförändringarna stämde överens med farmakologin för burosumab och rollen för fosfat i skelettmineralisering, ‑metabolism och ‑omsättning.
I toxikologiska studier med upprepad dosering under upp till 40 veckor på cynomolgusapor observerades mineralisering av rete testis/sädeskanaler hos handjur. Inga förändringar observerades emellertid vid analys av sädesvätska. Inga biverkningar på kvinnliga könsorgan observerades i dessa studier.
I den toxikologiska studien på reproduktion och utveckling som utfördes på dräktiga cynomolgusapor sågs måttlig mineralisering av placenta hos dräktiga djur som gavs 30 mg/kg burosumab och förekom hos djur med högre maximal fosfatkoncentration i serum än ungefär 8 mg/dl (2,6 mmol/l). Förkortad gestationstid och förenad ökad incidens av prematura födslar observerades hos dräktiga djur vid doser på ≥ 0,3 mg/kg, som motsvarade burosumabexponeringar som är ≥0,875- till 1,39-faldiga förväntade kliniska nivåer. Burosumab påvisades i serum från foster, vilket indikerade att burosumab transporterades från placenta till fostret. Bevis på teratogena effekter saknades. Ektopisk mineralisering observerades inte hos foster eller avkomma och burosumab påverkade inte pre- och postnatal tillväxt inklusive överlevnad för avkomma.
I prekliniska studier har ektopisk mineralisering observerats hos normala djur, oftast i njuren, vid givna doser som resulterade i fosfatkoncentrationer i serum högre än 8 mg/dl (2,6 mmol/l). Varken ny eller kliniskt betydelsefull försämring av nefrokalcinos eller ektopisk mineralisering har observerats i kliniska prövningar på patienter med XLH som behandlats med burosumab för att uppnå normala serumfosfatnivåer.
Farmakoterapeutisk grupp: Läkemedel för behandling av skelettsjukdomar, andra läkemedel som påverkar skelettstrukturen och mineralisering, ATC-kod: M05BX05.
Verkningsmekanism
Burosumab är en rekombinant human monoklonal antikropp (IgG1) som binder till och hämmar aktiviteten av fibroblasttillväxtfaktor 23 (FGF23). Genom att hämma FGF23 ökar burosumab den tubulära reabsorptionen av fosfat i njuren och höjer serumkoncentrationen av 1,25 dihydroxi-D- vitamin.
Klinisk effekt hos pediatriska patienter med XLH
Studie UX023-CL301
I den pediatriska studien UX023-CL301 randomiserades 61 patienter i åldern 1 till 12 år (56 % flickor, 44 % pojkar, ålder vid första dosen: medel (SD): 6,3 (3,31) år) till burosumab (n=29) eller aktiv kontroll (n=32; oralt fosfat och aktivt vitamin D). Samtliga patienter måste vid studiestarten ha behandlats med oralt fosfat och aktivt vitamin D i minst 6 månader. Samtliga patienter hade radiologiskt påvisad skelettsjukdom orsakad av XLH (≥ 2 poäng på rakit-skalan). Burosumab inleddes med dosen 0,8 mg/kg varannan vecka och höjdes till 1,2 mg/kg vid otillräcklig respons, mätt som serumfosfat i fastande. De patienter som randomiserades till en aktiv kontrollgrupp fick oralt fosfat och aktivt vitamin D i flera doser dagligen.
Primärt effektmått var förändring av rakitens svårighetsgrad vid vecka 40, bedömt med hjälp av jämförelse av poäng på RGI-C-skalan (Radiographic Global Impression of Change) för burosumabgruppen och gruppen som fick aktiv kontroll.
RGI-C är en relativ bedömningsskala som jämför en patients rakit före och efter behandling med användning av en ordinalskala med 7 punkter där man bedömer förändringen av samma abnormiteter som i RSS (som beskrivs nedan). Poängen sträcker sig från ‑3 (kraftig försämring av rakit) till +3 (fullständig utläkning av rakit).
Svårighetsgraden av pediatrisk rakit mättes med hjälp av RSS, en radiologisk poängsättningsmetod baserad på graden av metafyseal nötning (”fraying”) och konkavitet och på hur stor del av tillväxtplattan som är involverad. I studie UX023-CL301 poängsattes RSS med hjälp av en fördefinierad skala för specifika abnormiteter i handleder och knän.
Alla patienter (n=61) fullföljde den 64 veckor långa randomiserade behandlingsperioden. Ingen patient behövde dosminskning och för 8 (28 %) av patienterna som behandlades med burosumab kunde dosen höjas till 1,2 mg/kg. Totalt 51 patienter deltog i den förlängda behandlingsperioden, 26 patienter i aktiv kontroll→burosumabgruppen och 25 patienter i burosumab→burosumabgruppen, och behandlades med burosumab i upp till 124 veckor.
Primära effektresultat
Bättre läkning av rakit vid vecka 40 sågs vid burosumabbehandling jämfört med aktiv kontroll. Effekten kvarstod vecka 64, se figur 1. Dessa resultat bibehölls till vecka 88 (n=21).
Figur 1: Global RGE-C-poäng (medel ± SE) – primärt effektmått vecka 40 och 64 (hela analysgruppen)
Sekundära effektresultat
Sekundära huvudeffektmått för veckorna 40 och 64 redovisas i tabell 3. Dessa resultat kvarstod till vecka 88 (n=21).
Tabell 3: Resultat för sekundära effektmått
a: förändring från baslinjen till vecka 40 enligt ANCOVA-modell.
b: förändring från baslinjen till vecka 64 enligt GEE-modell.
Serumfosfat
Vid alla studiebesök där serumfosfat mättes i båda grupperna var förändringen av serumfosfat från baslinjen större i burosumabgruppen än i gruppen med aktiv kontroll (p <0,0001; GEE-modell) (figur 2).
Figur 2: Serumfosfatkoncentration och förändring från baslinjen (mg/dl) (medel ± SE) per behandlingsgrupp (PD analysgrupp)
Obs: Den streckade linjen i figuren visar det nedre gränsvärdet för normalt serumfosfat, 3,2 mg/dl (1,03 mmol/l)
Under den förlängda behandlingsperioden (vecka 66 till vecka 140) med förlängd burosumabbehandling i båda grupperna (burosumab→burosumab (n=25) och aktiv kontroll→burosumab (n=26)) kvarstod resultaten.
Studie UX023-CL201
I den pediatriska studien UX023-CL201 behandlades 52 pediatriska patienter i åldern 5–12 år (medelålder 8,5 år; SD 1,87) med XLH under en inledande period på 64 veckor och doserades antingen varannan vecka (Q2W) eller var fjärde vecka (Q4W). Denna följdes av två förlängda perioder med dosering Q2W för alla patienter: den första perioden upp till 96 veckor (totalt 160 veckor) och en ytterligare period på upp till 56 veckor för säkerhetsanalys.
Nästan alla patienter hade radiologiskt påvisad rakit vid baslinjen och hade tidigare fått orala fosfatpreparat och D-vitaminanaloger under en genomsnittlig tid på 7 år (standardavvikelse [SD] 2,4 år). Denna konventionella behandling avbröts 2–4 veckor före insättande av burosumab. Burosumabdosen justerades för att uppnå fastande serumfosfatkoncentration på 3,50 till 5,02 mg/dl (1,13 till 1,62 mmol/l). Under de första 64 veckorna fick 26 av 52 patienter burosumab Q4W. 26 av 52 patienter fick burosumab Q2W med en genomsnittlig dos (min, max) på 0,73 (0,3; 1,5), 0,98 (0,4; 2,0) och 1,04 (0,4; 2,0) mg/kg i vecka 16, 40 och 64 och upp till en maximal dos på 2,0 mg/kg.
Burosumab ökade koncentrationen av serumfosfat och höjde TmP/GFR (maximal tubulär reabsorption av fosfat/glomerulär filtrationshastighet). I Q2W-gruppen höjdes den genomsnittliga (SD) fosfatkoncentrationen i serum från 2,38 (0,405) mg/dl (0,77 (0,131) mmol/l) vid baslinjen till 3,3 (0,396) mg/dl (1,07 (0,128) mmol/l) vecka 40 och låg kvar på 3,35 (0,445) mg/dl (1,08 (0,144) mmol/l) vecka 64. De förhöjda nivåerna av serumfosfat kvarstod till vecka 160 (n=52).
Alkalisk fosfatasaktivitet
Genomsnittlig (SD) total alkalisk fosfatasaktivitet (ALP) i serum var 459 (105) E/l vid baslinjen och minskade till 369 (76) E/l i vecka 64 (‑19,6 %, p < 0,0001). Minskningen var likartad i de två doseringsgrupperna. Generellt kvarstod sänkta nivåer av ALP i serum till vecka 160.
Benspecifikt alkaliskt fosfatas i serum (BALP) var 165 (52) μg/l (medelvärde [SD]) vid baslinjen och 115 (31) μg/l i vecka 64 (medelförändring: ‑28,5 %). Minskningen var likartad i de två doseringsgrupperna. Generellt kvarstod sänkta nivåer av benspecifikt BALP i serum till vecka 160.
I studie UX023-CL201 mättes svårighetsgraden av pediatrisk rakit med hjälp av RSS som beskrivits ovan, vilken poängsattes med hjälp av en tidigare fastställd skala som undersöker specifika abnormiteter i handleder och knän. Förändring i globalt radiologiskt intryck (Radiographic Global Impression of Change, RGI‑C)Som ett komplement till RSS användes RGI-C-skalan. Resultaten sammanfattas i tabell 4.
Tabell 4: Rakitsvar hos barn i åldern 5–12 år som får burosumab i studie UX023-CL201
a: De uppskattade LS-medelvärdena och p-värdena baseras på den allmänna beräkningsekvationsmodellen som motsvarar RSS vid baslinjen, besök och regim och dess interaktion.
Studie UX023-CL205
I den pediatriska studien UX023-CL205 utvärderades burosumab hos 13 patienter med XLH i åldern 1–4 år (i genomsnitt 2,9 år, SD 1,1) under en behandlingsperiod på 64 veckor. 12 patienter fick burosumab i ytterligare 96 veckor under den förlängda perioden, med en maximal duration på 160 veckor. Alla patienter hade radiologiskt påvisad rakit vid baslinjen och 12 patienter fick orala fosfatpreparat och D-vitaminanaloger under i genomsnitt (SD) 16,7 (14,4) månader. Denna konventionella behandling avbröts 2–6 veckor före insättande av burosumab. Patienter fick burosumab i dosen 0,8 mg/kg varannan vecka.
Genomsnittligt (SD) fastande serumfosfat ökade från 2,51 (0,284) mg/dl (0,81 (0,092) mmol/l) vid baslinjen till 3,47 (0,485) mg/dl (1,12 (0,158) mmol/l) vecka 40 och de förhöjda nivåerna kvarstod till vecka 160.
Alkalisk fosfatasaktivitet i serum
Genomsnittlig (SD) total alkalisk fosfatasaktivitet i serum var 549 (193,8) E/l vid baslinjen och minskade till 335 (87,6) E/l vid vecka 40 (medelförändring: −36,3 %). Minskad total alkalisk fosfatasaktivitet i serum kvarstod med långtidsbehandling till vecka 160.
Poäng för svårighetsgrad av rakit (RSS)
Den genomsnittliga (SD) totala RSS-poängen förbättrades från 2,92 (1,367) vid baslinjen till 1,19 (0,522), vecka 40, motsvarande en förändring från LS-medelvärdet (SE) från baslinjen på −1,73 (0,132) (p <0,0001). RSS kvarstod till veckorna 64, 112 och 160.
Förändring i globalt radiologiskt intryck (RGI-C)
Efter 40 veckors behandling med burosumab var LS-medelvärdet (SE) för RGI-C Global score +2,21 (0,071) hos alla 13 patienter (p < 0,0001) förenligt med läkning av rakit. Alla 13 patienter ansågs svara på RGI-C, definierat som RGI-C global poäng på ≥ +2,0. RGI-C Global score kvarstod till veckorna 64, 112 och 160.
Europeiska läkemedelsmyndigheten har senarelagt kravet att skicka in studieresultat för burosumab för en eller flera grupper av den pediatriska populationen för x-bunden hypofosfatemi. Information om pediatrisk användning finns i avsnitt 4.2.
Klinisk effekt hos vuxna med XLH
Studie UX023-CL303
Studie UX023-CL303 är en randomiserad, dubbelblind, placebokontrollerad studie med 134 vuxna XLH-patienter. Studien bestod av en 24 veckor lång placebokontrollerad behandlingsfas som följdes av en öppen 24-veckorsperiod då alla patienter fick burosumab. Orala fosfatpreparat och aktiva D-vitaminanaloger var inte tillåtna under studien. Burosumab administrerades vid dosen 1 mg/kg var 4:e vecka. Primärt effektmått för denna studie var normalisering av serumfosfat under den 24 veckor långa dubbelblinda perioden. Sekundära huvudeffektmått omfattade värsta tänkbara smärta enligt BPI-skalan (Brief Pain Inventory) samt stelhet och fysisk funktion enligt mätning med WOMAC-index (Western Ontario and McMaster Universities Osteoarthritis). De exploratoriska effektmåtten inkluderade läkning av frakturer och pseudofrakturer, entesopati, 6 minuters gångtest, smärtinterferens enligt BPI, värsta tänkbara trötthet enligt BFI-skalan (Brief Fatigue Inventory) och total BFI-poäng för trötthet.
Vid studieinträde var patienternas genomsnittsålder 40 år (från 19 till 66 år) och 35 % var män. 66 patienter randomiserades till placebobehandling och 68 till burosumabbehandling. Vid baslinjen var medelvärdet (SD) för serumfosfat 0,62 (0,10) mmol/l [1,92 (0,32) mg/dl] i placebogruppen och 0,66 (0,1 mmol/l) [2,03 (0,30) mg/dl] i burosumabgruppen.
För det primära effektmåttet uppnådde en större andel patienter som behandlades med burosumab en genomsnittlig serumfosfatnivå över den nedre normalgränsen (LLN) jämfört med placebogruppen fram till vecka 24 (tabell 5 och figur 3).
Tabell 5: Andel vuxna patienter som uppnådde genomsnittliga serumfosfatnivåer över LLN i mitten av dosintervallet i studien UX023-CL303 (dubbelblind period)
95 % KI beräknas med Wilson-poängmetoden.
a P-värdet baseras på testning enligt Cochran-Mantel-Haenszel (CMH) för samband mellan det primära effektmåttet och behandlingsgruppen, justerat för stratifierade randomiseringar.
Figur 3: Genomsnittliga (± SE) toppkoncentrationer för serumfosfat (mg/dl [mmol/l])
Patientrapporterad smärta, fysisk funktion och stelhet
Förändringen från baslinjen till vecka 24 visade en större skillnad för burosumab jämfört med placebo i patientrapporterad smärta (BPI), fysisk funktion (WOMAC-index) och stelhet (WOMAC-index). Den genomsnittliga (SE) skillnaden mellan behandlingsgrupperna (burosumab-placebo) nådde statistisk signifikans för WOMAC-stelhet vecka 24. Se tabell 6 för detaljer.
Tabell 6: Poängförändringar av patientrapporterad smärta, fysisk funktion och stelhet från baslinjen till vecka 24 och analys av skillnaden vecka 24
6 minuters gångtest
Alla patienter genomförde detta ansträngningstest vid baslinjen, vecka 12, 24, 36 och 48 (skillnad i LS-medel vad gäller förändring från baslinjen, burosumab → placebo: tabell 7). Förbättringarna fortsatte fram till vecka 48, då gångdistansen ökade från 357 m vid baslinjen till 393 m i vecka 48. Patienter som övergick från placebo till burosumab uppnådde liknande förbättringar efter 24 veckors behandling.
Tabell 7: 6 minuters gångdistans (SD) vid baslinjen och vecka 24, genomsnittlig skillnad enligt minsta kvadratmetoden (SE)
Radiologisk bedömning av frakturer och pseudofrakturer
I studie UX023-CL303 gjordes en undersökning av skelettet vid baslinjen för att identifiera osteomalaci-relaterade frakturer och pseudofrakturer. 52 % (70/134) av patienterna hade antingen aktiva frakturer (12 %, 16/134) eller aktiva pseudofrakturer (47 %, 63/134) vid baslinjen. Efter behandling med burosumab hade fler patienter läkta frakturer och pseudofrakturer jämfört med placebogruppen (figur 4). Under den placebokontrollerade behandlingsperioden fram till vecka 24 uppkom totalt 6 nya frakturer eller pseudofrakturer hos 68 patienter som fick burosumab, jämfört med 8 nya abnormiteter hos 66 patienter som fick placebo. Av antalet nya frakturer som utvecklades före vecka 48, hade huvuddelen (10/18) läkt eller delvis läkt vid studiens slut.
Figur 4: Procentandel läkta aktiva frakturer och pseudofrakturer i studie UX023-CL303
Vid baslinjen var genomsnittlig (SD) total kalkaneusentesopati (summan av superiora och inferiora kalkaneussporrar) 5,64 (3,12) cm i burosumabgruppen och 5,54 (3,1) cm i placebogruppen. I vecka 24 var genomsnittlig (SD) total kalkaneusentesopati 5,90 (3,56) cm i burosumab→burosumabgruppen och 4,07 (2,38) cm i placebo→burosumabgruppen.
För de exploratoriska effektmåtten smärtinterferens enligt BPI, värsta tänkbara trötthet enligt BFI och total BFI-poäng för trötthet, observerades inga betydelsefulla skillnader mellan behandlingsgrupperna.
Benhistomorfometri hos vuxna
Studie UX023-CL304
Studie UX023-CL304 var en 48 veckor lång, öppen studie med en behandlingsgrupp vuxna XLH-patienter för att bedöma burosumabs effekt på att förbättra osteomalaci. Effekten fastställdes genom en histologisk och histomorfometrisk bedömning av biopsier på höftbenskammen. Patienterna fick 1,0 mg/kg burosumab var 4:e vecka. Orala fosfatpreparat och aktiva D-vitaminanaloger var inte tillåtna under studien.
14 patienter inkluderades och vid studieinträde var patienternas genomsnittsålder 40 år (från 25 till 52 år) och 43 % var män. Efter 48 veckors behandling i studie UX023-CL304 var parade biopsier tillgängliga från 11 patienter. Läkning av osteomalaci observerades hos alla 10 bedömningsbara patienter, vilket påvisades genom minskad osteoidvolym/benvolym (OV/BV) från ett genomsnittspoäng (SD) på 26,1 % (12,4) vid baslinjen till 11,9 % (6,6). Osteoidtjockleken (O.Th) minskade hos 11 bedömningsbara patienter från ett genomsnitt (SD) på 17,2 (4,1) mikrometer till 11,6 (3,1) mikrometer.
Klinisk effekt hos vuxna patienter med onkogen osteomalaci
Burosumab har utvärderats i två öppna enarmade studier som inkluderade totalt 27 vuxna patienter med OOM. Orala fosfatpreparat och aktiva D-vitaminanaloger sattes ut 2–10 veckor innan behandlingen med burosumab påbörjades. Patienterna fick burosumab var 4:e vecka med en viktbaserad startdos på 0,3 mg/kg för att uppnå en fastande serumfosfatnivå på 2,5–4,0 mg/dl (0,81–1,29 mmol/l).
Studie UX023T-CL201 inkluderade 14 vuxna patienter med en bekräftad diagnos på FGF23-relaterad hypofosfatemi som inducerats av en underliggande tumör som inte gått att resektera eller lokalisera. Åtta patienter var män. Åldersintervallet för samtliga patienter var 33–68 år (medianålder 59,5 år). Den genomsnittliga (SD) dosen burosumab var 0,83 (0,41) mg/kg vecka 20; 0,87 (0,49) mg/kg vecka 48; 0,77 (0,52) mg/kg vecka 96 och 0,67 (0,54) mg/kg vecka 144.
Studie KRN23-002 inkluderade 13 vuxna patienter från Japan och Sydkorea med en bekräftad OOM-diagnos. Sex patienter var män. Åldersintervallet för samtliga patienter var 41–73 år (medianålder 58,0 år). Den genomsnittliga (SD) dosen burosumab var 0,91 (0,59) mg/kg vecka 48 och 0,96 (0,70) mg/kg vecka 88.
Serumfosfat
I båda studierna ökade burosumab de genomsnittliga fosfatnivåerna i serum och dessa låg stabilt under hela studieperioden, se figur 5 och 6.
Figur 5: Serumfosfatkoncentration (mg/dl) (medelvärde ± SD) i studie UX023T-CL201
Observera: Den streckade linjen i figuren visar det nedre gränsvärdet för serumfosfat, 2,5 mg/dl (0,81 mmol/l)
*Före utsättning av oralt fosfatpreparat/D-vitamin; dessa värden togs innan patienten inkluderades i studien.
Figur 6: Serumfosfatkoncentration (mg/dl) (medelvärde ± SD) i studie KRN23-002
Observera: Den streckade linjen i figuren visar det nedre gränsvärdet för serumfosfat, 2,5 mg/dl (0,81 mmol/l)
*Före utsättning av oralt fosfatpreparat/D-vitamin; dessa värden togs innan patienten inkluderades i studien.
I studie UX023T-CL201 ökade förhållandet TmP/GFR hos dessa patienter från ett genomsnitt (SD) på 1,12 (0,54) mg/dl (0,36 [0,17] mmol/l) vid baslinjen till 2,12 (0,64) mg/dl (0,68 [0,21] mmol/l) vecka 48 och låg sedan stabilt till och med vecka 144. I studie KRN23-002 ökade förhållandet TmP/GFR från ett genomsnitt (SD) på 1,15 (0,43) mg/dl (0,46 [0,17] mmol/l) vid baslinjen till 2,30 (0,48) mg/dl (0,92 [0,19] mmol/l) vecka 48.
Benhistomorfometri
I studie UX023T-CL201 togs parade skelettbiopsier på 11 patienter. Förändringarna bedömdes efter 48 veckors behandling. De histomorfologiska parametrarna presenteras nedan i tabell 8 som gruppmedelvärden vid baslinjen och vecka 48, följt av medelvärdet för de relativa förändringarna av individuella mätvärden.
Tabell 8: Förändringar i de histomorfologiska parametrarna i studie UX023T-CL201
Radiografisk utvärdering
99mteknetium-märkt skelettskintigrafi (helkropp) och röntgenundersökningar av skelettet utfördes vid baslinjen och efter behandlingen fram till vecka 144 för bedömning av antal frakturer och pseudofrakturer. En minskning av antalet frakturer och pseudofrakturer sågs vid både skelettskintigrafierna och röntgenundersökningarna.
Pediatriska patienter med OOM
Det finns inga kliniska prövningar med burosumab på pediatriska patienter i någon ålder med OOM. Doseringen av burosumab för pediatriska patienter med OOM har fastställts genom farmakokinetisk modellering och simulering (se avsnitt 5.2).
Europeiska läkemedelsmyndigheten har beviljat undantag från kravet att skicka in studieresultat för burosumab för alla grupper av den pediatriska populationen vid behandling av onkogen osteomalaci. Information om pediatrisk användning finns i avsnitt 4.2.
Absorption
Absorptionen av burosumab från subkutana injektionsställen till blodcirkulationen är nästan fullständig. Efter subkutan administrering är mediantiden för att uppnå maximala serumkoncentrationer (Tmax) av burosumab ungefär 7–13 dagar. Den maximala serumkoncentrationen (Cmax) och området under koncentration-tid-kurvan (AUC) för burosumab i serum är dosproportionell över dosintervallet på 0,1-2,0 mg/kg.
Distribution
Hos patienter med XLH motsvarar den observerade fördelningsvolymen av burosumab på ett ungefär plasmavolymen, vilket tyder på begränsad extravaskulär fördelning.
Metabolism
Burosumab består enbart av aminosyror och kolhydrater som naturligt immunglobulin och elimineras sannolikt inte via metabola mekanismer i levern. Dess metabolism och eliminering förväntas följa elimineringsvägarna för immunglobulin, vilket leder till nedbrytning till små peptider och individuella aminosyror.
Eliminering
Till följd av dess molekylstorlek förväntas inte burosumab utsöndras direkt. Clearance för burosumab beror på kroppsvikt och uppskattas vara 0,290 l/dag respektive 0,136 l/dag hos en typisk vuxen (70 kg) och pediatrisk (30 kg) patient med XLH, med motsvarande halveringstid (t1/2) i serum från cirka 16–19 dagar. Med tanke på uppskattningen av t1/2, är den uppskattade tiden för att nå platån av steady-state-exponeringar cirka 67 dagar. Efter multipla doser till pediatriska patienter når dalkoncentrationerna i serum en platå 8 veckor efter behandlingsstarten.
Linjäritet/icke-linjäritet
Burosumab uppvisar tidskonstant farmakokinetik som är linjär till dosen över det subkutana dosintervallet på 0,1–2,0 mg/kg.
Farmakokinetiskt (Farmakokinetiska)/farmakodynamiskt (farmakodynamiska) förhållande(n)
Med den subkutana administreringsvägen hos patienter med XLH och OOM observeras ett direkt PK-PD-förhållande (farmakokinetiskt-farmakodynamiskt förhållande) mellan serumkoncentrationen av burosumab och höjning i fosfatkoncentrationen i serum och beskrivs väl genom en Emax/EC50-modell. Serumkoncentrationerna av burosumab och fosfat, samt TmP/GFR, ökade och minskade parallellt och uppnådde maximumnivåer vid ungefär samma tidpunkt efter varje dos, vilket stöder ett direkt PK-PD- förhållande. AUC för förändringen från baslinjen för serumfosfat, TmP/GFR och 1,25(OH)2D ökade linjärt med ökande AUC för burosumab.
Pediatrisk PK/PD
Ingen signifikant skillnad har observerats i farmakokinetiken eller farmakodynamiken för pediatriska patienter jämfört med PK/PD hos den vuxna populationen. Clearance för burosumab och distribueringsvolym är kroppsviktsberoende.
Pediatriska patienter med OOM
Startdosen burosumab för pediatriska patienter med OOM baseras på populations-PK/PD-modellering och -simuleringar. Dessa tyder på att en startdos på 0,4 mg/kg varannan vecka för barn i åldern 1–12 år och 0,3 mg/kg varannan vecka för ungdomar i åldern 13–17 år förväntas leda till att en andel pediatriska patienter med OOM uppnår normala serumfosfatnivåer. Dessa doser kan titreras upp till maximalt 2,0 mg/kg varannan vecka (den högsta simulerade dosen).
Särskilda populationer
PK-analyser av populationer, där data användes från pediatriska och vuxna XLH-patienter och vuxna OOM-patienter indikerade att ålder, kön, etnicitet, serumalbumin vid baslinjen, alkaliskt fosfat i serum vid baslinjen, alaninaminotransferas vid baslinjen samt kreatininclearance vid baslinjen ≥ 49,9 ml/min, inte var signifikanta prediktorer för PK hos burosumab. Baserat på den populationsfarmakokinetiska analysen var burosumabs farmakokinetiska karakteristika likartade hos patienter med XLH och OOM.
Effekt på serumfosfat och kalcium efter måltid
Effekten av burosumab på nivåerna av serumfosfat och kalcium efter matintag undersöktes i två substudier (studie UX023-CL301 och UX023-CL303). 13 pediatriska patienter (i åldern > 3 år) och 26 vuxna patienter (i åldern 24–65 år). Serumfosfat och kalcium mättes i slutet av behandlingsintervallet hos pediatriska patienter och i mitten av intervallet hos vuxna. Blodprover togs efter en periods fasta och återigen 1–2 timmar efter en standardmåltid.
Burosumabbehandling uppvisade inte några postprandiala förändringar över de åldersjusterade övre normalgränserna för serumfosfat och serumkalcium hos pediatriska eller vuxna patienter i substudier.
Biverkningar i icke-kliniska studier med normala djur observerades vid exponeringar som resulterade i högre fosfatkoncentration i serum än normala gränsvärden. Dessa effekter stämde överens med överdrivet svar på hämningen av normala FGF23-nivåer som resulterar i en suprafysiologisk höjning av serumfosfat över den övre normalgränsen.
Studier på kaniner och vuxna och juvenila cynomolgusapor uppvisade dosberoende förhöjningar av serumfosfat och 1,25 (OH)2D som bekräftade burosumabs farmakologiska verkan hos dessa arter. Ektopisk mineralisering av flera vävnader och organ (t.ex. njure, hjärta, lunga och aorta) och förenade sekundära konsekvenser (t.ex. nefrokalcinos) i vissa fall, till följd av hyperfosfatemi, observerades hos normala djur vid burosumabdoser som resulterade i fosfatkoncentrationer i serum högre än ungefär 8 mg/dl (2,6 mmol/l). I en murin modell på XLH observerades en signifikant minskad incidens av ektopisk mineralisering vid motsvarande fosfatnivåer i serum, som tyder på lägre risk för mineralisering vid mycket höga FGF23-nivåer.
Skeletteffekter som sågs hos vuxna och juvenila apor inkluderade förändringar i skelettmetabola markörer, ökad tjocklek och densitet av kortikalt ben, ökad densitet av totalt skelett och tjocklek av långt skelettben. Dessa förändringar var en konsekvens av högre än normala serumfosfatnivåer, vilka påskyndade benomsättningen och även ledde till periosteal hyperostos och minskad skelettstyrka hos vuxna djur, men inte hos juvenila djur vid de doser som testades. Burosumab främjade inte onormal benutveckling då inga förändringar i femurlängd eller skelettstyrka noterades hos juvenila djur. Skelettförändringarna stämde överens med farmakologin för burosumab och rollen för fosfat i skelettmineralisering, ‑metabolism och ‑omsättning.
I toxikologiska studier med upprepad dosering under upp till 40 veckor på cynomolgusapor observerades mineralisering av rete testis/sädeskanaler hos handjur. Inga förändringar observerades emellertid vid analys av sädesvätska. Inga biverkningar på kvinnliga könsorgan observerades i dessa studier.
I den toxikologiska studien på reproduktion och utveckling som utfördes på dräktiga cynomolgusapor sågs måttlig mineralisering av placenta hos dräktiga djur som gavs 30 mg/kg burosumab och förekom hos djur med högre maximal fosfatkoncentration i serum än ungefär 8 mg/dl (2,6 mmol/l). Förkortad gestationstid och förenad ökad incidens av prematura födslar observerades hos dräktiga djur vid doser på ≥ 0,3 mg/kg, som motsvarade burosumabexponeringar som är ≥0,875- till 1,39-faldiga förväntade kliniska nivåer. Burosumab påvisades i serum från foster, vilket indikerade att burosumab transporterades från placenta till fostret. Bevis på teratogena effekter saknades. Ektopisk mineralisering observerades inte hos foster eller avkomma och burosumab påverkade inte pre- och postnatal tillväxt inklusive överlevnad för avkomma.
I prekliniska studier har ektopisk mineralisering observerats hos normala djur, oftast i njuren, vid givna doser som resulterade i fosfatkoncentrationer i serum högre än 8 mg/dl (2,6 mmol/l). Varken ny eller kliniskt betydelsefull försämring av nefrokalcinos eller ektopisk mineralisering har observerats i kliniska prövningar på patienter med XLH som behandlats med burosumab för att uppnå normala serumfosfatnivåer.
Förvaras i kylskåp (2 °C–8 °C). Får ej frysas.
Förvaras i originalförpackningen. Ljuskänsligt.
CRYSVITA injektionsvätska, lösning i injektionsflaskor
Injektionsflaska av klart glas med gummipropp av butyl och försegling av aluminium.
Förpackningsstorlek om 1 injektionsflaska.
CRYSVITA injektionsvätska, lösning i förfylld spruta
Spruta av klart typ I-glas med en fastsatt nål av rostfritt stål. Sprutan förseglas med ett styvt nålskydd av polypropylen och elastomer och ett kolvstopp av fluoropolymer-laminerat bromobutylgummi.
Läkemedlets olika styrkor kan identifieras genom att kolven har olika färg:
10 mg (blå), 20 mg (röd) och 30 mg (grön).
Förpackningsstorlek om 1 förfylld spruta.
CRYSVITA injektionsvätska, lösning i injektionsflaskor
Varje flaska är endast avsedd för engångsbruk.
Injektionsflaskan får inte skakas före användning.
Före administrering ska lösningen inspekteras visuellt. Vätskan ska vara klar till lätt opalskimrande, färglös till svagt brungul. Om lösningen är grumlig, missfärgad eller innehåller partiklar ska den inte användas.
När injektionsflaskan har tagits ut ur kylskåpet ska man låta den nå rumstemperatur i 30 minuter innan burosumab injiceras.
Burosumab ska administreras med aseptisk teknik och sterila sprutor och injektionsnålar för engångsbruk.
CRYSVITA injektionsvätska, lösning i förfylld spruta
Före administrering ska lösningen inspekteras visuellt. Vätskan ska vara klar till lätt opalskimrande, färglös till svagt brungul. Om lösningen är grumlig, missfärgad eller innehåller partiklar ska den inte användas.
När den förfyllda sprutan har tagits ut ur kylskåpet ska man låta den nå rumstemperatur i 45 minuter innan burosumab injiceras.
I slutet av bipacksedeln finns omfattande anvisningar för subkutan administrering av burosumab i förfylld spruta.
Ej använt läkemedel och avfall ska kasseras enligt gällande anvisningar.
L-histidin
D-sorbitol (E 420)
Polysorbat 80 (E 433)
L-metionin
Saltsyra, 10 % (för pH-justering)
Vatten för injektionsvätska
Då blandbarhetsstudier saknas får detta läkemedel inte blandas med andra läkemedel.
3 år.
CRYSVITA injektionsvätska, lösning i förfylld spruta
Kemisk och fysikalisk stabilitet vid användning har påvisats för 48 timmar vid 25 °C när läkemedlet skyddas mot ljus.
Ur ett mikrobiologiskt perspektiv ska läkemedlet användas omedelbart. Om det inte används omedelbart är förvaringstider och förvaringsförhållanden vid användning användarens ansvar.
Förvaras i kylskåp (2 °C–8 °C). Får ej frysas.
Förvaras i originalförpackningen. Ljuskänsligt.
CRYSVITA injektionsvätska, lösning i injektionsflaskor
Injektionsflaska av klart glas med gummipropp av butyl och försegling av aluminium.
Förpackningsstorlek om 1 injektionsflaska.
CRYSVITA injektionsvätska, lösning i förfylld spruta
Spruta av klart typ I-glas med en fastsatt nål av rostfritt stål. Sprutan förseglas med ett styvt nålskydd av polypropylen och elastomer och ett kolvstopp av fluoropolymer-laminerat bromobutylgummi.
Läkemedlets olika styrkor kan identifieras genom att kolven har olika färg:
10 mg (blå), 20 mg (röd) och 30 mg (grön).
Förpackningsstorlek om 1 förfylld spruta.
CRYSVITA injektionsvätska, lösning i injektionsflaskor
Varje flaska är endast avsedd för engångsbruk.
Injektionsflaskan får inte skakas före användning.
Före administrering ska lösningen inspekteras visuellt. Vätskan ska vara klar till lätt opalskimrande, färglös till svagt brungul. Om lösningen är grumlig, missfärgad eller innehåller partiklar ska den inte användas.
När injektionsflaskan har tagits ut ur kylskåpet ska man låta den nå rumstemperatur i 30 minuter innan burosumab injiceras.
Burosumab ska administreras med aseptisk teknik och sterila sprutor och injektionsnålar för engångsbruk.
CRYSVITA injektionsvätska, lösning i förfylld spruta
Före administrering ska lösningen inspekteras visuellt. Vätskan ska vara klar till lätt opalskimrande, färglös till svagt brungul. Om lösningen är grumlig, missfärgad eller innehåller partiklar ska den inte användas.
När den förfyllda sprutan har tagits ut ur kylskåpet ska man låta den nå rumstemperatur i 45 minuter innan burosumab injiceras.
I slutet av bipacksedeln finns omfattande anvisningar för subkutan administrering av burosumab i förfylld spruta.
Ej använt läkemedel och avfall ska kasseras enligt gällande anvisningar.
Produktresumén är företagets information om läkemedlet riktat till förskrivare och personal inom sjukvård och apotek. Dokumentet är godkänt av Läkemedelsverket eller den europeiska läkemedelsmyndigheten EMA i samband med att läkemedlet godkänns för marknadsföring.