Fass-texten är läkemedelsinformation som är särskilt framtagen för förskrivare och vårdpersonal. Texten är baserad på produktresumén som är godkänd av Läkemedelsverket eller motsvarande myndighet på EU-nivå.
Texten är baserad på produktresumé: 2022-12-20.
Texten är baserad på produktresumé: 2022-12-20.
Malignt pleuramesoteliom
Pemetrexed Mylan används i kombination med cisplatin för behandling av kemoterapinaiva patienter med icke-resektabelt, malignt pleuramesoteliom.
Icke-småcellig lungcancer
Pemetrexed Mylan används i kombination med cisplatin som initial behandling av kemoterapinaiva patienter med lokalt avancerad eller metastaserad icke-småcellig lungcancer av annan histologi än den dominerande skivepitelcellstypen(se avsnitt Farmakodynamik).
Pemetrexed Mylan används som monoterapi vid underhållsbehandling av lokalt avancerad eller metastaserad icke-småcellig lungcancer av annan histologi än dominerande skivepitelcellstyp hos patienter vars sjukdom inte progredierat. Behandlingen ska påbörjas omedelbart efter platinabaserad kemoterapi (se avsnitt Farmakodynamik).
Pemetrexed Mylan används som monoterapi efter tidigare kemoterapi för behandling av patienter med lokalt avancerad eller metastaserad icke-småcellig lungcancer av annan histologi än den dominerande skivepitelcellstypen(se avsnitt Farmakodynamik).
Överkänslighet mot den aktiva substansen eller mot något hjälpämne som anges i avsnitt Innehåll. Amning (se avsnitt Graviditet).
Samtidig vaccination mot gula febern (se avsnitt Interaktioner).
Dosering
Administrering av Pemetrexed Mylan får endast ske under överinseende av läkare med erfarenhet av cytostatikabehandling.
Pemetrexed Mylan i kombination med cisplatin
Den rekommenderade dosen av Pemetrexed Mylan är 500 mg/m2 kroppsyta administrerad som en intravenös infusion (IV) under 10 minuter den första dagen i varje 21-dagarscykel.Den rekommenderade dosen av cisplatin är 75 mg/m2 kroppsyta, som infunderas under två timmar cirka 30 minuter efter pemetrexedinfusionens slut den första dagen i varje 21-dagarscykel.Patienterna skall behandlas med antiemetika och ges adekvat hydrering före och/eller efter cisplatin-infusionen. (För specifika doseringsrekommendationer, se även cisplatins produktresumé).
Pemetrexed Mylan som monoterapi
För patienter som behandlas för icke-småcellig lungcancer efter tidigare kemoterapi är den rekommenderade dosen 500 mg/m2 kroppsyta administrerad som en intravenös infusion under 10 minuter den första dagen i varje 21-dagarscykel.
Premedicinering
För att minska incidensen och allvarlighetsgraden av hudreaktioner skall en kortikosteroid ges dagen före, samma dag och dagen efter pemetrexedadministreringen. Kortikosteroiden bör motsvara 4 mg dexametason givet oralt två gånger dagligen (se avsnitt Varningar och försiktighet).
Pemetrexed kan hämma benmärgens funktion, vilket visar sig i neutropeni, trombocytopeni och anemi (eller pancytopeni) (se avsnitt Biverkningar). Den dosbegränsande toxiciteten utgörs vanligtvis av myelosuppression. Patienterna skall kontrolleras med avseende på myelosuppression under behandlingen, och pemetrexed skall inte ges till patienter förrän totalantalet neutrofila granulocyter återgår till ≥ 1 500/mm3 och antalet trombocyter återgår till ≥ 100 000/mm3. Dosreduktion för efterföljande cykler baseras på lägsta värdet för totalantalet neutrofila leukocyter, trombocytvärdet och maximal icke-hematologisk toxicitet som observerats vid föregående cykels slut (se avsnitt Dosering).
Lägre toxicitet och en reducerad hematologisk och icke-hematologisk toxicitet grad 3/4, som neutropeni, neutropeni med feber och infektion med neutropeni grad 3/4 rapporterades då förbehandling med folsyra och vitamin B12 hade skett. Därför måste alla patienter som behandlas med pemetrexed informeras om att ta folsyra och vitamin B12 profylaktiskt för att reducera behandlingsrelaterad toxicitet (se avsnitt Dosering).
Hudreaktioner har rapporterats hos patienter som inte förbehandlats med en kortikosteroid. Förbehandling med dexametason (eller motsvarande) kan reducera incidensen och svårighetsgraden av hudreaktioner (se avsnitt Dosering).
Tillräckligt antal patienter med kreatininclearance under 45 ml/min har inte studerats.Därför rekommenderas inte användning av pemetrexed till patienter med kreatininclearance < 45 ml/min (se avsnitt Dosering).
Patienter med lätt till måttlig njurinsufficiens (kreatininclearance från 45 till 79 ml/min) skall undvika att ta icke-steroida antiinflammatoriska läkemedel (NSAIDs), såsom ibuprofen och acetylsalicylsyra (> 1,3 g per dag), från 2 dagar före till 2 dagar efter pemetrexedadministreringen(se avsnitt Interaktioner).
Pemetrexed elimineras huvudsakligen oförändrad via njurarna genom tubulär sekretion och i mindre grad genom glomerulär filtration. Samtidig administrering av nefrotoxiska läkemedel (t ex aminoglykosider, loop-diuretika,platinaföreningar, ciklosporin) kan potentiellt leda till fördröjd clearance av pemetrexed. Sådana kombinationer skall användas med försiktighet. Om nödvändigt skall kreatininclearance följas noggrant.
Samtidig administrering av substanser som också utsöndras tubulärt (t ex probenecid, penicillin) kan potentiellt leda till fördröjd clearance av pemetrexed. Kombination av pemetrexed och dessa läkemedel skall ske med försiktighet.Om nödvändigt skall kreatininclearance följas noggrant.
Hos patienter med normal njurfunktion (kreatininclearance ≥ 80 ml/min) kan höga doser av icke- steroida antiinflammatoriska läkemedel (NSAIDs, som ibuprofen > 1600 mg per dag) och acetylsalicylsyra (≥ 1,3 g per dag) reducera eliminationen av pemetrexed och som följd därav öka förekomsten av biverkningar av pemetrexed. Därför skall försiktighet iakttas då högre doser av NSAIDs eller acetylsalicylsyra ges samtidigt med pemetrexed till patienter med normal njurfunktion (kreatininclearance ≥ 80 ml/min).
Hos patienter med lätt till måttlig njurinsufficiens (kreatininclearance från 45 till 79 ml/min) skall samtidig administrering av pemetrexed och NSAIDs (t ex ibuprofen) eller acetylsalicylsyra i högre doser undvikas,från 2 dagar före till 2 dagar efter pemetrexedadministreringen (se avsnitt Varningar och försiktighet).
Då data saknas avseende potentiell interaktion med NSAIDs med längre halveringstider, såsom piroxikam eller rofecoxib, skall samtidig administrering med pemetrexed till patienter med lätt till måttlig njurinsufficiens avbrytas från minst 5 dagar före till minst 2 dagar efter pemetrexed- administreringen (se avsnitt Varningar och försiktighet). Om samtidig administrering av NSAIDs bedöms vara nödvändig, bör patienten noga övervakas med avseende på toxicitet, särskilt myelosuppression och gastrointestinal toxicitet.
Kvinnor i fertil ålder / Födelsekontroll hos män och kvinnor
Pemetrexed kan ge genetiska skador. Kvinnor i fertil ålder skall använda effektiv preventivmetod under behandling med pemetrexed och 6 månader efter avslutad behandling. Könsmogna män råds att använda effektiv preventiva åtgärder och avråds från att avla barn under behandlingen och upp till 3 månader efter behandlingen.
Graviditet
Data från behandling av gravida kvinnor med pemetrexed saknas, men liksom andra antimetaboliter misstänks pemetrexed orsaka allvarliga missbildningar om det ges under graviditet. Djurstudier har visat reproduktionstoxikologiska effekter (se avsnitt Prekliniska uppgifter). Pemetrexed skall användas under graviditet endast då det är absolut nödvändigt,efter ett noggrant övervägande av moderns behov i förhållande till riskerna för fostret (se avsnitt Varningar och försiktighet).
Det är inte känt om pemetrexed utsöndras i modersmjölk, och biverkningar hos det ammade barnet kan inte uteslutas.Amning skall avbrytas under behandling med pemetrexed (se avsnitt Kontraindikationer).
På grund av risken för irreversibel sterilitet av pemetrexedbehandlingen rekommenderas män att söka råd angående konservering av sperma före behandlingen.
Effekterna på förmågan att framföra fordon och använda maskiner har inte studerats.Det har dock rapporterats att pemetrexed kan orsaka trötthet. Patienterna skall därför varnas för att köra bil eller använda maskiner om detta inträffar.
Summering av säkerhetsprofilen
De mycket vanliga biverkningar som rapporterats med pemetrexed, oavsett om det använts som monoterapi eller i kombination, är benmärgssuppression manifesterad som anemi, neutropeni, leukopeni, trombocytopeni; och gastrointestinala toxiciteter,manifesterade som anorexi, illamående, kräkningar,diarré, förstoppning, faryngit, mukosit och stomatit.Andra biverkningar är njurtoxiciteter, förhöjda aminotransferaser, alopeci, trötthet,dehydrering, hudutslag, infektion/sepsis och neuropati. Sällsynta biverkningar är Stevens-Johnson syndrom och toxisk epidermal nekrolys.
Lista över biverkningar i tabellformat
Tabell 4 listar biverkningar oavsett kausalitet med pemetrexed när det använts antingen som monoterapi, eller i kombination med cisplatin från pivotala registreringsstudier (JMCH, JMEI, JMBD, JMEN och PARAMOUNT), och ifrån klinisk användning.
Biverkningar listas grupperat efter MedDRA organsystem. Följande frekvensangivelser används:
Mycket vanliga (≥1/10), vanliga (≥1/100 till <1/10), mindre vanliga (≥1/1 000 till <1/100), sällsynta (≥1/10 000 till<1/1000), mycket sällsynta (<1/10 000) och har rapporterats (förekommer hos ett okänt antal användare).
Tabell 4. Frekvens av samtliga biverkningar oavsett kausalitet med pemetrexed från pivotala registreringsstudier JMEI (pemetrexed vs docetaxel), JMDB (pemetrexed och cisplatin jämfört med Gemzar och cisplatin), JMCH (pemetrexed plus cisplatin jämfört med cisplatin), JMEN och PARAMOUNT (pemetrexed plus bästa understödjande vård (BSC) jämfört med placebo plus bästa understödjande vård), och ifrån klinisk användning.
Symtom som rapporteras efter överdosering inkluderar neutropeni, anemi, trombocytopeni, mukosit, sensorisk polyneuropati och hudutslag. De förväntade komplikationerna av överdosering innefattar benmärgssuppression, yttrande sig som neutropeni, trombocytopeni och anemi. Dessutom kan infektion med eller utan feber, diarré och/eller mukosit förekomma. I händelse av misstänkt överdos skall patienten följas med blodkroppsräkning och vid behov erhålla understödjande behandling.
Användning av kalciumfolinat/folinsyra för behandling av överdosering med pemetrexed bör övervägas.
Pemetrexed är en folsyreantagonist med flera angreppspunkter, som används mot cancer. Effekten utövas genom att kritiska, folatberoende, metaboliska processer, nödvändiga för cellreplikationen, avbryts.
In vitro studier har visat att pemetrexed fungerar som en folsyreantagonist med flera angreppspunkter. Det hämmar tymidylatsyntas (TS), dihydrofolatreduktas (DHFR) och glycinamidribonukleotidformyltransferas (GARFT), som är kritiska folatberoende enzymer involverade i de novo biosyntes av tymidin och purinnukleotider. Pemetrexed transporteras in i cellerna av både bäraren av reducerat folat och cellmembranets proteinbindningssystem för folat. I cellen omvandlas pemetrexed snabbt och effektivt till polyglutamatformer av enzymet folylglutamatsyntetas. Polyglutamatformerna kvarhålls i cellerna och är till och med mera potenta hämmare av TS och GARFT. Polyglutamation är en tids- och koncentrationsberoende process som försiggår i tumörceller och i mindre grad i normal vävnad. Polyglutamaterade metaboliter har en ökad intracellulär halveringstid vilket ger en förlängd läkemedelseffekt i maligna celler.
Europeiska läkemedelsmyndigheten har tagit bort kravet att skicka in studieresultat för pemetrexed för alla grupper av den pediatriska populationen för godkända indikationer (se avsnitt Dosering).
Klinisk effekt
Mesoteliom
EMPHACIS, en enkelblind, randomiserad, fas 3-multicenterstudie i vilken pemetrexed plus cisplatin jämfördes med cisplatin, på kemoterapinaiva patienter med malignt pleuramesoteliom, har visat att patienter som behandlats med Pemetrexed Mylan och cisplatin hade en kliniskt betydelsefull överlevnadsfördel på 2,8 månader (median) jämfört med patienter som fick enbart cisplatin.
Pemetrexeds farmakokinetiska egenskaper efter infusion som enda läkemedel, i doser från 0,2 till 838 mg/m2 under 10 minuter, har utretts på 426 cancerpatienter med olika solida tumörer. Pemetrexed har en distributionsvolym vid steady-state på 9 l/m2. Studier in vitro visar att pemetrexed binds till cirka 81 % av plasmaproteiner. Bindningsgraden påverkades inte märkbart av nedsatt njurfunktion av olika grad. Pemetrexed metaboliseras i begränsad grad i levern. Pemetrexed elimineras huvudsakligen genom urinen där 70-90 % av den givna dosen återfinns oförändrad inom de första 24 timmarna efter administrering. In vitro-studier indikerar att pemetrexed utsöndras aktivt av OAT3 (organic anion transporter 3).Pemetrexeds totala systemiska clearance är 91,8 ml/min, och halveringstiden för eliminationen från plasma är 3,5 timmar hos patienter med normal njurfunktion (kreatininclearance på 90 ml/min). Variabiliteten på clearance mellan patienter är måttlig, 19,3 %.
Pemetrexeds totala systemiska exponering (AUC) och maximal plasmakoncentration ökar proportionellt med dosen. Pemetrexeds farmakokinetik är densamma även efter flera behandlingscykler.
Pemetrexeds farmakokinetiska egenskaper påverkas ej av samtidigt administrerat cisplatin. Tillägg av oralt administrerad folsyra och intramuskulärt administrerat vitamin B12 påverkar inte pemetrexeds farmakokinetik.
Administrering av pemetrexed till dräktiga möss resulterade i nedsatt fetal livsduglighet,minskad fostervikt, ofullständig förbening av vissa skelettdelar och kluven gom.
Administrering av pemetrexed till hanmöss resulterade i reproduktionstoxiska effekter som reducerat fertilitetstal och testikelatrofi. I en studie på beaglehund observerades efter intravenös bolusinjektion i 9 månader effekter på testiklarna (degeneration/nekros av sädesepitelet).Detta tyder på att pemetrexed kan försämra fertiliteten hos män.Fertiliteten hos honor har inte undersökts.
Pemetrexed var inte mutagent,varken i in vitro kromosomavvikelsetest på ovarieceller från kinesisk hamster eller i Ames test. Pemetrexed har visat sig vara klastogent i in vivo mikrokärntest på mus.
Studier för att bedöma den karcinogena potentialen av pemetrexed har inte utförts.
Kvalitativ och kvantitativ sammansättning
En ml koncentrat innehåller 25 mg pemetrexed (som pemetrexed diarginin)
En injektionsflaska med 4 ml koncentrat innehåller 100 mg pemetrexed (som pemetrexed diarginin).
En injektionsflaska med 20 ml koncentrat innehåller 500 mg pemetrexed (som pemetrexed diarginin).
En injektionsflaska med 40 ml koncentrat innehåller 1000 mg pemetrexed (som pemetrexed diarginin).
Hjälpämnen med känd effekt:
Detta läkemedel innehåller 140 mg propylenglykol per 4 ml injektionsflaska motsvarande 35 mg/ml.
Detta läkemedel innehåller 700 mg propylenglykol per 20 ml injektionsflaska motsvarande 35 mg/ml.
Detta läkemedel innehåller 1400 mg propylenglykol per 40 ml injektionsflaska motsvarande 35 mg/ml.
Förteckning över hjälpämnen
L-arginin
Pemetrexed är fysikaliskt inkompatibelt med spädningsvätskor innehållande kalcium, inkluderande infusionsvätskorna Ringer-laktat och Ringers lösning. Då andra blandbarhetsstudier saknas får detta läkemedel inte blandas med andra läkemedel.
Pemetrexed Mylan innehåller L-Arginin som hjälpämne. L-arginin är inkompatibel med cisplatin vilket resulterar i nedbrytning av cisplatin. Detta läkemedel får inte blandas med andra läkemedel.
Infusionsslangen ska spolas efter administrering av Pemetrexed Mylan.
Hållbarhet
Oöppnad injektionsflaska 2 år (100 mg/4ml)
3 år (500 mg/20ml)
3 år (1000 mg/40 ml)
Utspädd lösning
Kemisk och fysikalisk hållbarhet i 24 timmar (2 ºC till 8 ºC) i kylskåp har visats för upplöst koncentrat och färdiga infusionslösningar av pemetrexed. Ur ett mikrobiologiskt perspektiv, skall produkten användas direkt efter öppnandet.Om den inte används omedelbart ligger ansvaret för hållbarhetstider och förvaring, före och under användning, på användaren. Denna förvaring skall inte vara längre än 24 timmar vid 2 ºC – 8 ºC.
Förvara skyddad mot ljus.
Särskilda förvaringsanvisningar
Oöppnad injektionsflaska
Inga särskilda förvaringsanvisningar.
Får ej frysas.
Koncentrat till infusionsvätska, lösning.
Klar, färglös till gul, brungul eller gröngul lösning.
Koncentratets pH är mellan 8,3 och 9,0.
För att minska toxiciteten skall patienter som behandlas med pemetrexed även erhålla tillägg av vitaminer (se avsnitt Varningar och försiktighet).Patienterna skall inta folsyra oralt eller någon multivitaminberedning innehållande folsyra (350 till 1000 mikrogram) varje dag. Minst fem doser folsyra skall intas under de sju dagar som föregår den första pemetrexeddosen och intaget av folsyra skall sedan fortsätta under hela behandlingsperioden och i 21 dagar efter den sista pemetrexeddosen.Patienterna skall också erhålla en intramuskulär injektion av vitamin B12 (1000 mikrogram) under den vecka som föregår den första pemetrexeddosen och därefter en gång var tredje cykel. Efterföljande vitamin B12 -injektioner kan ges på samma dag som pemetrexed.
Behandlingskontroll
Komplett blodkroppsräkning, inkluderande differential- och trombocyträkning, skall utföras före varje dos på patienter som får pemetrexed.Före varje kemoterapibehandling skall blodkemiprov tas för att utvärdera lever- och njurfunktionen. Vid initiering av en kemoterapicykel krävs att totalantalet neutrofila granulocyter är ≥ 1 500/mm3 och trombocyter ≥ 100 000/mm3.
Kreatininclearance skall vara ≥ 45 ml/min.
Totalbilirubin skall vara ≤ 1,5 gånger övre normalgräns. Alkalisk fosfatas, aspartataminotransferas (ASAT) och alaninaminotransferas(ALAT) skall vara ≤ 3 gånger övre normalgräns. Värden på alkalisk fosfatas, ASAT och ALAT som är ≤ 5 gånger övre normalgräns är acceptabla vid tumörengagemang i levern.
Dosanpassning
Dosanpassningen skall vid start av efterföljande cykel, grunda sig på de lägsta blodvärdena och maximivärdet för icke-hematologisk toxicitet från föregående behandlingscykel. Behandlingen kan uppskjutas för att ge tillräcklig tid för återhämtning. Efter återhämtningen skall behandlingen återupptas enligt de riktlinjer som ges i tabell 1, 2 och 3. Tabellerna är tillämpbara både för monoterapi av Pemetrexed Mylan och för kombinationsbehandling med cisplatin.
a I överensstämmelse med definitionen på ≥CTC grad 2 med blödning enligt National Cancer Institute Common Toxicity Criteria (CTC v2.0; NCI 1998).
Om patienten utvecklar icke-hematologisk toxicitet ≥ grad 3 (undantaget neurotoxicitet) skall Pemetrexed Mylan inte ges förrän värdet blivit mindre eller lika med patientens värde före behandling. Behandlingen skall återupptas enligt de riktlinjer som ges i tabell 2.
a National Cancer Institute Common Toxicity Criteria (CTC; v2.0; NCI 1998)
b Exklusive neurotoxicitet
Vid neurotoxicitet rekommenderas att dosen för Pemetrexed Mylan och cisplatin anpassas enligt tabell 3. Om neurotoxicitet av grad 3 eller 4 observeras skall patienten avbryta behandlingen.
a National Cancer Institute Common Toxicity Criteria (CTC; v2.0; NCI 1998)
Behandling med Pemetrexed Mylan skall avbrytas om hematologisk eller icke-hematologisk toxicitet grad 3 eller 4 uppkommit efter 2 dosreduceringar. Behandlingen skall avbrytas omedelbart om neurotoxicitet grad 3 eller 4 observeras.
Särskilda patientgrupper
Äldre
I de kliniska studierna finns inget som tyder på att patienter som är 65 år eller äldre löper större risk att få biverkningar jämfört med patienter som är yngre än 65 år. Ingen dosreduktion, annat än den som rekommenderas för övriga patienter, är nödvändig.
Pediatrisk population
Det finns ingen relevant användning av Pemetrexed Mylan för en pediatrisk population för indikationerna malignt pleuramesoteliom och icke-småcellig lungcancer.
Patienter med försämrad njurfunktion (standard cockcroft and gault formula eller glomerulär filtrationshastighet mätt med Tc99m-DPTA serumclearance-metod)
Pemetrexed utsöndras huvudsakligen oförändrad via njurarna. Patienter med kreatininclearance ≥ 45 ml/min behövde i de kliniska studierna ingen dosjustering, annat än den som rekommenderas för alla patienter. Data för användning av pemetrexed till patienter med kreatininclearance under 45 ml/min är otillräckliga. Därför skall dessa patienter inte erhålla pemetrexed (se avsnitt Varningar och försiktighet).
Patienter med försämrad leverfunktion
Något samband mellan ASAT, ALAT eller totalbilirubin och farmakokinetiken av pemetrexed har inte fastställts. Patienter med försämrad leverfunktion, t ex bilirubinvärde > 1,5 gånger övre normalvärdet och/eller aminotransferasvärde > 3,0 gånger övre normalvärdet (i frånvaro av levermetastaser) eller > 5,0 gånger övre normalvärdet (vid levermetastaser), har dock inte specifikt studerats.
Administreringssätt
För försiktighetsåtgärder före hantering eller administrering av Pemetrexed Mylan, se avsnitt Hållbarhet, förvaring och hantering.
Pemetrexed Mylan är för intravenöst bruk. Pemetrexed Mylan bör administreras som en intravenös infusion under 10 minuter den första dagen i varje 21-dagarscykel. För anvisningar om spädning av Pemetrexed Mylan före administrering, se avsnitt Hållbarhet, förvaring och hantering.
Patienter med lätt till måttlig njurinsufficiens, för vilka behandling med pemetrexed planeras, bör avbryta behandling med NSAIDs med lång halveringstid för eliminationen, från minst 5 dagar före till minst 2 dagar efter pemetrexedadministreringen(se avsnitt Interaktioner).
Allvarliga njurbiverkningar, inkluderande akut njursvikt, har rapporterats för pemetrexed enbart eller i kombination med andra kemoterapeutika.Många av de patienter hos vilka dessa biverkningar rapporterades hade bakomliggande riskfaktorer för utveckling av renala effekter som t ex uttorkning eller redan befintlig hypertoni eller diabetes. Nefrogen diabetes insipidus och renal tubulär nekros rapporterades också efter försäljningsgodkännandet för pemetrexed, i monoterapi eller tillsammans med andra kemoterapeutika. De flesta av dessa biverkningar försvann efter att pemetrexed satts ut. Patienter bör regelbundet övervakas för akut tubulär nekros, nedsatt njurfunktion samt tecken och symtom på nefrogen diabetes insipidus (t.ex.hypernatremi).
Effekten på pemetrexed av vätskeansamling som pleurautgjutning eller ascites är inte helt utredd.En fas 2-studie med pemetrexed på 31 patienter med solida tumörer och stabil vätskeansamling visade ingen skillnad i normaliserade plasmakoncentrationer för pemetrexeddosen eller clearance jämfört med patienter utan vätskeansamlingar. Dränering av vätskeansamling bör övervägas före pemetrexedbehandlingen, men är inte nödvändig.
På grund av gastrointestinal toxicitet av pemetrexed i kombination med cisplatin har allvarlig dehydrering observerats.Därför skall patienterna ges adekvat behandling med antiemetika och hydrering före och/eller efter behandlingen.
Allvarliga kardiovaskulära händelser, inkluderande hjärtinfarkt, och cerebrovaskulära händelser har rapporterats mindre vanligt i kliniska studier med pemetrexed, vanligtvis då det administrerats i kombination med andra cytotoxiska läkemedel. De flesta patienter, hos vilka dessa händelser observerats, hade sedan tidigare riskfaktorer för kardiovaskulär sjukdom (se avsnitt Biverkningar).
Det är vanligt att cancerpatienter är immunsupprimerade. Följaktligen rekommenderas inte användning av levande, försvagade vacciner (se avsnitt Kontraindikationer och Interaktioner).
Pemetrexed kan ge genetiska skador. Könsmogna män avråds från att avla barn under behandlingen och upp till 3 månader efter behandlingen. Preventiva åtgärder eller avhållsamhet rekommenderas.På grund av risken för irreversibel sterilitet av pemetrexedbehandlingen rekommenderas män att söka råd angående konservering av sperma före behandlingen.
Kvinnor i fertil ålder skall använda effektiv preventivmetod under behandling med pemetrexed och 6 månader efter avslutad behandling (se avsnitt Graviditet).
Fall av strålningspneumonit har rapporterats hos patienter som behandlats med strålning före,under eller efter pemetrexedbehandlingen. Dessa patienter bör ges särskild uppmärksamhet och användning av andra strålningssensibiliserande läkemedel bör ske med försiktighet.
Fall av strålningsinducerad hudreaktion (radiation recall) har rapporterats hos patienter som fått strålbehandling flera veckor eller år tillbaka.
Pemetrexed metaboliseras i begränsad omfattning i levern. Resultat som erhållits i in vitro studier med humana levermikrosomer visar att pemetrexed inte kan förväntas ge en kliniskt betydelsefull hämning av metabolisk clearance av läkemedel som metaboliseras via CYP3A, CYP2D6,CYP2C9 och CYP1A2.
Interaktioner som är gemensamma för alla cytostatika
På grund av den ökade trombosrisken hos patienter med cancer är behandling med antikoagulantia vanlig. Den höga intraindividuella variabiliteten av koagulationsstatus under sjukdom och en eventuell interaktion mellan orala antikoagulantia och kemoterapeutika kräver frekventare bestämning av INR (International Normalised Ratio), om beslut fattats att behandla patienten med orala antikoagulantia.
Samtidig användning kontraindicerad: Vaccin mot gula febern: risk för fatal, generaliserad, vaccinal sjukdom (se avsnitt Kontraindikationer).
Samtidig användning rekommenderas ej: Levande, försvagade vacciner (utom mot gula febern, där samtidig användning är kontraindicerad): risk för systemisk, potentiellt livshotande sjukdom. Risken ökar hos personer som redan är immunsupprimerade av den bakomliggande sjukdomen. Användning av inaktiverat vaccin (polio) rekommenderas då sådant finns(se avsnitt Varningar och försiktighet).
a med eller utan neutropeni
b i vissa fall fatal
c som i vissa fall lett till nekros i extremiteter
d med andningsinsufficiens
e endast setts i kombination med cisplatin
f primärt i nedre kroppsdelar
Rapportering av misstänkta biverkningar
Tillägg av folsyra i låg dos och vitamin B12 infördes under studien för att reducera de toxiska effekterna av behandlingen. Den primära analysen av denna studie utfördes på en population som omfattade alla patienter som randomiserats till en behandlingsarm som erhöll studieläkemedel (randomiserade och behandlade). Analys av en undergrupp av patienter som fick tillägg av folsyra och vitamin B12 under hela behandlingstiden för studien (komplett vitaminsubstitution) utfördes även.
Resultatet av dessa analyser sammanfattas i tabellen nedan:
Tabell 5. Effekt av pemetrexed plus cisplatin jämfört med cisplatin för malignt pleuramesoteliom
Förkortning: KI = Konfidensintervall
a p-värde hänför sig till jämförelse mellan behandlingsarmar
b I pemetrexed /cisplatin-armen, randomiserade och behandlade (n=225) och patienter med komplett tillägg (n=167)
Statistiskt signifikant förbättring av de kliniskt relevanta symtomen (smärta och dyspné) som sätts i samband med malignt pleuramesoteliom visades för pemetrexed /cisplatin-armen (212 patienter) i jämförelse med cisplatin-armen (218 patienter) mätt med Lung Cancer Symptom Scale. Statistiskt signifikanta skillnader i lungfunktionsprov observerades även. Separationen mellan behandlingsarmarna uppnåddes genom förbättring av lungfunktionen i pemetrexed /cisplatin-armen och försämring av lungfunktionen med tiden i kontrollarmen.
Data för behandling av malignt pleuramesoteliom med enbart pemetrexed är begränsade. Pemetrexed givet som monoterapi i en dos av 500 mg/m2 har studerats på 64 kemoterapinaiva patienter med malignt pleuramesoteliom. Total responsfrekvens var 14,1 %.
Icke-småcellig lungcancer efter tidigare kemoterapi
En randomiserad, öppen fas 3-multicenterstudie där Pemetrexed Mylan jämfördes med docetaxel på patienter med lokalt avancerad eller metastaserad icke-småcellig lungcancer efter tidigare kemoterapi har visat en överlevnadstid på 8,3 månader (median) för patienter som behandlats med Pemetrexed Mylan (Intent To Treat population n=283) och 7,9 månader för patienter som behandlats med docetaxel (ITT n=288). Tidigare kemoterapi inkluderade inte Pemetrexed Mylan.
En analys av den inverkan histologin av icke-småcellig lungcancer har på behandlingseffekten med avseende på total överlevnad visade att Pemetrexed Mylan var att föredra framför docetaxel vad beträffar annan histologi än den dominerande av skivepitelcellstypen (n=399, 9,3 mot 8,0 månader, justerat HR (Hazard Ratio; riskförhållande)=0,78; 95 % KI=0,61-1,00, p=0,047) och docetaxel var att föredra då histologin var av skivepitelcellstyp (n=172, 6,2 mot 7,4 månader, justerat HR=1,56; 95 % KI=1,08-2,26, p=0,018). Inga kliniskt relevanta skillnader beträffande säkerhetsprofilen av pemetrexed observerades inom de histologiska undergrupperna.
Begränsade kliniska data från en enskild, randomiserad, kontrollerad fas 3-studie tyder på att effektdata total överlevnadstid, progressionsfri överlevnadstid för pemetrexed är lika för patienter som tidigare förbehandlats med docetaxel (n=41) och patienter som inte förbehandlats med docetaxel (n=540).
Tabell 6 Effekt av pemetrexed jämfört med docetaxel för icke-småcellig lungcancer – ITT population
Förkortningar: KI = konfidensintervall; HR = riskförhållande; ITT = intent to treat; n = total populationsstorlek
Icke-småcellig lungcancer, initial behandling
En multicenter, randomiserad, öppen, fas 3-studie som jämförde pemetrexed plus cisplatin med gemcitabin plus cisplatin på kemoterapinaiva patienter med lokalt avancerad eller metastaserad (Stage IIIb eller IV) icke-småcellig lungcancer visade att ITT-populationen (Intent-To-Treat n=862) som fick pemetrexed plus cisplatin uppnådde primär endpoint och visade liknande klinisk effekt som gemcitabin plus cisplatin (ITT n=863) med avseende på total överlevnad (justerat riskförhållande 0,94; 95 % KI 0,84-1,05). Alla patienter som inkluderats i denna studie hade ECOG performance status 0 eller 1.
Den primära effektanalysen baserades på ITT-populationen. Känslighetsanalyser av de viktigaste effektparametrarna utfördes även på Protocol Qualified (PQ)-populationen. Effektanalyserna baserade på PQ-populationen överensstämmer med analyserna av ITT-populationen och ger stöd för att Pemetrexed Mylan plus cisplatin (PC) inte är sämre än gemcitabin plus cisplatin (GC).
Progressionsfri överlevnadstid (PFS) och total responsfrekvens var lika mellan behandlingsarmarna: median PFS var 4,8 månader för Pemetrexed Mylan plus cisplatin mot 5,1 månader för gemcitabin plus cisplatin (justerat riskförhållande 1,04; 95 % KI 0,94-1,15) och total responsfrekvens var 30,6 % (95 % KI 27,3-33,9) för pemetrexed plus cisplatin mot 28,2 % (95 % KI 25,0-31,4) för gemcitabin plus cisplatin. PFS-data bekräftades delvis av en oberoende granskning (400/1725 patienter utvaldes slumpvis till granskning).
Analysen av den inverkan histologin av icke-småcellig lungcancer har på total överlevnad visade kliniskt relevanta skillnader beträffande överlevnad beroende på histologi, se tabellen nedan.
Tabell 7 Jämförelse av effekt mellan pemetrexed + cisplatin och gemcitabin + cisplatin som initial behandling vid icke-småcellig lungcancer – ITT-population och histologisk undergrupp
Förkortningar: KI = konfidensintervall; ITT = intent-to-treat; n = total populationsstorlek
a Statistiskt signifikant för non-inferiority, med hela konfidensintervallet för HR långt under 1.17645 non-inferiority marginal (p <0,001).
Kaplan Meier diagram av total överlevnadstid i förhållande till histologi
PC: Pemetrexed + Cisplatin
GC: Gemcitabin + Cisplatin
Det observerades inga kliniskt relevanta skillnader med avseende på säkerhetsprofilen för pemetrexed plus cisplatin inom de histologiska undergrupperna.
Patienter som behandlades med pemetrexed och cisplatin behövde färre transfusioner (16,4 % mot 28,9 %, p<0,001), transfusioner av röda blodkroppar (16,1 % mot 27,3 %, p<0,001 och trombocyttransfusioner (1,8 % mot 4,5 %, p=0,002). Patienterna krävde även mindre erytropoietin/darbopoietin (10,4 % mot 18,1 %, p<0,001), G-CSF/GM-CSF (3,1 % mot 6,1 %, p=0,004) och järnpreparat (4,3 % mot 7,0 %, p=0,021).
Icke-småcellig lungcancer, underhållsbehandling
JMEN
I en multicenter, randomiserad, dubbelblind, placebokontrollerad fas 3-studie (JMEN) jämfördes effekt och säkerhet av underhållsbehandling med pemetrexed i tillägg till bästa understödjande vård (BSC) (n=441) med placebo plus BSC (n=222) hos patienter med lokalt avancerad (Stage IIIb) eller metastaserad (Stage IV) icke-småcellig lungcancer (NSCLC) som inte progredierat efter 4 cykler initialt med en kombinationsbehandling av cisplatin eller karboplatin och endera gemcitabin, paklitaxel eller docetaxel. Pemetrexed fanns inte som alternativ vid den initiala kombinationsbehandlingen. Alla patienter som inkluderats i denna studie hade ECOG performance status 0 eller 1. Patienterna erhöll underhållsbehandling tills sjukdomen progredierade. Effekt och säkerhet mättes från randomiseringstidpunkten efter den initiala behandlingens (induktionsbehandlingen) slut. Medianvärdet på antal cykler underhållsbehandling som patienterna erhöll var 5 för pemetrexed och 3,5 för placebo. Totalt fullföljde 213 patienter (48,3 %) 6 eller fler cykler och totalt 103 patienter (23,4 %) fullföljde 10 eller fler cykler med pemetrexed.
Studien uppfyllde primärt effektmått och visade en statistiskt signifikant förbättring i progressionsfri överlevnadstid (PFS) i pemetrexed -armen jämfört med placebo-armen (n=581, oberoende granskning av populationen, medianvärde 4 respektive 2 månader) (riskförhållande=0,60, 95 % KI: 0,49-0,73, p < 0,00001). Den oberoende undersökningen av patientbilderna bekräftade resultatet av prövarens bedömning av PFS. Medianvärdet för total överlevnadstid i hela populationen (n=663) var 13,4 månader med pemetrexed och 10,6 månader med placebo, riskförhållande = 0,79 (95 % KI: 0,65-0,95, p=0,01192).
I överensstämmelse med andra pemetrexed -studier observerades i JMEN en skillnad i effekt beroende på histologin av den icke-småcelliga cancern. För patienter med icke-småcellig lungcancer av annan histologi än dominerande skivepitelcellstyp (n=430, oberoende granskning av populationen) var medianvärdet av PFS 4,4 månader i pemetrexed -armen och 1,8 månader i placebo-armen, riskförhållande = 0,47 (95 % KI: 0,37-0,60, p=0,00001). Medianvärdet i total överlevnad för patienter med icke-småcellig lungcancer av annan histologi än dominerande skivepitelcellstyp (n=481) var 15,5 månader i pemetrexed -armen och 10,3 månader i placebo-armen, riskförhållande = 0,70 (95 % KI: 0,56-0,88, p=0,002). Inkluderat induktionsfasen var medianvärdet för total överlevnad för patienter med icke-småcellig lungcancer av annan histologi än dominerande skivepitelcellstyp 18,6 månader i Pemetrexed Mylan-armen och 13,6 månader i placebo-armen, riskförhållande = 0,71 (95 % KI: 0,56-0,88, p=0,002).
Resultaten med avseende på progressionsfri överlevnadstid (PFS) och total överlevnadstid (OS) hos patienter med skivepitelcellshistologi visade ingen fördel för pemetrexed i jämförelse med placebo.
Inga kliniskt relevanta skillnader observerades i säkerhetsprofilen för pemetrexed inom de histologiska undergrupperna.
JMEN: Kaplan Meier diagram av progressionsfri överlevnadstid (PFS) och total överlevnadstid (OS) av pemetrexed i jämförelse med placebo hos patienter med icke-småcellig lungcancer av annan histologi än dominerande skivepitelstyp:
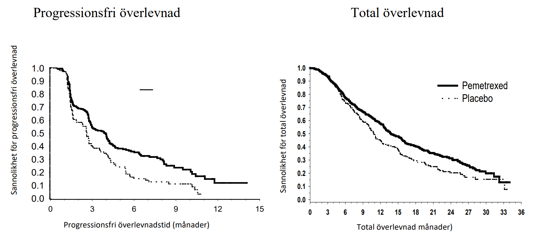
PARAMOUNT
I en multicenter, randomiserad, dubbelblind, placebokontrollerad fas 3-studie (PARAMOUNT), jämfördes effekt och säkerhet av fortsatt underhållsbehandling med pemetrexed i tillägg till BSC (n=359) med placebo plus BSC (n=180) hos patienter med lokalt avancerad (Stage IIIb) eller metastaserad (Stage IV) NSCLC av annan histologi än den dominerande skivepitelcellstypen, som inte progredierat efter 4 cykler initialt med en kombinationsbehandling av pemetrexed och cisplatin. Av de 939 patienter som fick pemetrexed och cisplatin som induktionsbehandling randomiserades 539 patienter till underhållsbehandling med pemetrexed eller placebo. Av de randomiserade patienterna svarade 44,9% helt eller delvis på pemetrexed och cisplatin som induktionsbehandling och för 51,9% stabiliserades sjukdomen. De patienter som randomiserades till underhållsbehandling måste ha ECOG performance status 0 eller 1. Mediantiden från start av Pemetrexed Mylan och cisplatin induktionsbehandling till start av underhållsbehandling var 2,96 månader för både pemetrexed-armen och placebo-armen. Randomiserade patienter erhöll underhållsbehandling tills sjukdomen progredierade. Effekt och säkerhet mättes från randomiseringstidpunkten efter den initiala behandlingens (induktionsbehandlingen) slut. Medianvärdet på antal cykler underhållsbehandling som patienterna erhöll var 4 för Pemetrexed Mylan och 4 för placebo. Totalt fullföljde 169 patienter (47,1%) 6 eller fler cykler av underhållsbehandling med pemetrexed, vilket motsvarar åtminstone 10 cykler totalt med pemetrexed.
Studien uppfyllde primärt effektmått och visade en statistiskt signifikant förbättring i progressionsfri överlevnadstid (PFS) i pemetrexed -armen jämfört med placebo-armen (n=472, oberoende granskning av populationen, medianvärde 3,9 respektive 2,6 månader) (riskförhållande=0,64, 95 % KI: 0,51-0,81, p = 0,0002). Den oberoende undersökningen av patientbilderna bekräftade resultatet av prövarens bedömning av PFS. För randomiserade patienter, var medianvärdet av prövarens bedömning av PFS, mätt från starten av pemetrexed och cisplatin induktionsbehandling, 6,9 månader i pemetrexed -armen och 5,6 månader i placebo-armen, riskförhållande = 0,59 (95 % KI: 0,47-0,74).
Efter induktion med pemetrexed och cisplatin (4 cykler), var behandling med pemetrexed statistiskt överlägsen placebo när det gäller total överlevnadstid (median 13,9 månader mot 11,0 månader, riskförhållande = 0,78, 95% KI = 0,64-0,96, p=0,0195). När denna finala överlevnadsanalys gjordes var 28,7% av patienterna i pemetrexed-armen fortfarande i livet eller otillgängliga för uppföljning mot 21,7% av patienterna i placeboarmen. Den relativa behandlingseffekten av pemetrexed var konsekvent tvärs över subgrupperna (inkluderande sjukdomsstadium, induktionssvar, ECOG performance status, rökning, kön, histologi och ålder) och liknade den som setts i de ojusterade analyserna av total överlevnadstid och progressionsfri överlevnadstid. Ett- och tvåårs överlevnadstid för patienter med pemetrexed var 58% respektive 32%, jämfört med 45% och 21% för patienter som fick placebo.
Medianen för total överlevnad från start av pemetrexed och cisplatin initial induktionsbehandling var 16,9 månader för pemetrexed-armen och 14,0 månader för placeboarmen (riskförhållande = 0,78, 95% KI = 0,64-0,96). Andelen patienter som fick poststudiebehandling var 64,3% för pemetrexed och 71,7% för placebo.
PARAMOUNT: Kaplan Meier diagram av progressionsfri överlevnadstid (PFS) och total överlevnadstid (OS) för fortsatt pemetrexed underhållsbehandling i jämförelse med placebo hos patienter med icke-småcellig lungcancer av annan histologi än dominerande skivepitelstyp (mätt från randomisering)
Säkerhetsprofilen för pemetrexed underhållsbehandling för de två studierna JMEN och PARAMOUNT var lika.
Propylenglykol
Citronsyra
Vatten för injektionsvätskor
Särskilda anvisningar för destruktion
Använd aseptisk teknik under utspädning av pemetrexed för intravenös infusion.
Beräkna den dos och det antal injektionsflaskor av Pemetrexed som krävs. Varje injektionsflaska innehåller ett överskott av pemetrexed för att underlätta uttag av den mängd som angetts på etiketten.
Den valda volymen pemetrexedkoncentrat skall spädas ytterligare till 100 ml med 5 % dextroslösning eller med 0,9% natriumkloridlösning för injektion, utan konserveringsmedel och administreras som en intravenös infusion under 10 minuter.
Infusionslösningar av pemetrexed, som beretts enligt ovan, är kompatibla med administreringsset och infusionspåsar invändigt belagda med polyvinylklorid och polyolefin.
Läkemedel som ges parenteralt skall inspekteras visuellt med avseende på partiklar och missfärgning före administrering. Om partiklar observeras skall lösningen ej administreras.
Pemetrexedlösningar är endast för engångsbruk. Ej använt läkemedel och avfall ska kasseras enligt gällande anvisningar för cytotoxiska medel.
Försiktighetsåtgärder vid beredning och administrering: Liksom för andra potentiellt toxiska läkemedel mot cancer skall försiktighet iakttas vid hantering och beredning av infusionslösningar innehållande pemetrexed. Användning av handskar rekommenderas. Om pemetrexedlösning kommer i kontakt med huden, tvätta huden omedelbart och grundligt med tvål och vatten. Om pemetrexedlösning kommer i kontakt med slemhinnor, spola grundligt med vatten. Pemetrexed ger inte upphov till blåsor.Det finns ingen specifik antidot att använda vid extravasation av pemetrexed. Några enstaka fall av pemetrexedextravasation har rapporterats men de bedömdes inte som allvarliga av prövaren. Extravasation bör behandlas enligt lokal praxis som andra icke-blåsbildande medel.