Dupixent 300 mg injektionsvätska, lösning i förfylld spruta
Dupixent 300 mg injektionsvätska, lösning i förfylld injektionspenna
Injektionsvätska, lösning (injektion)
Klar till svagt opaliserande, färglös till svagt gul steril lösning som saknar synliga partiklar, med ett pH omkring 5,9.
Sanofi Winthrop Industrie
82 avenue Raspail
94250 Gentilly
Frankrike
EU/1/17/1229/005 EU/1/17/1229/006 EU/1/17/1229/008 EU/1/17/1229/017 EU/1/17/1229/018 EU/1/17/1229/020 EU/1/17/1229/026 EU/1/17/1229/027 EU/1/17/1229/028
Första godkännandet: 26 september 2017
Förnyat godkännande: 02 september 2022
2026-04-08. Ytterligare information om detta läkemedel finns på Europeiska läkemedelsmyndighetens webbplats http://www.ema.europa.eu
Dupilumab 300 mg injektionsvätska, lösning i förfylld spruta
Varje förfylld spruta för engångsbruk innehåller 300 mg dupilumab i 2 ml lösning (150 mg/ml).
Dupilumab 300 mg injektionsvätska, lösning i förfylld injektionspenna
Varje förfylld injektionspenna för engångsbruk innehåller 300 mg dupilumab i 2 ml lösning (150 mg/ml).
Dupilumab är en helt human monoklonal antikropp producerad i ovarieceller från kinesisk hamster (Chinese Hamster Ovary, CHO) med hjälp av rekombinant DNA-teknik.
Hjälpämnen med känd effekt
Detta läkemedel innehåller 4 mg polysorbat 80 per dos på 300 mg (2 ml). Polysorbater kan orsaka allergiska reaktioner.
För fullständig förteckning över hjälpämnen, se avsnitt 6.1.
Barn 6 till 11 år
Dupixent är indicerat för barn 6 till 11 år, som tillägg till underhållsbehandling vid svår astma med typ 2 inflammation, som kännetecknas av förhöjda nivåer av blodeosinofiler och/eller förhöjd kväveoxidhalt i utandningsluften (FeNO), se avsnitt 5.1, som är otillräckligt kontrollerad trots medel till hög dos inhalerad kortikosteroid (ICS) i kombination med ett annat läkemedel för underhållsbehandling.
Kronisk rinosinuit med näspolyper
Dupixent är indicerat för vuxna som en tilläggsbehandling till nasala kortikosterioider för behandling av svår kronisk rinosinuit med näspolyper, för vilka behandling med systemiska kortikosterioder och/eller kirurgi inte gett tillräcklig effekt.
Prurigo nodularis
Dupixent är indicerat för behandling av måttlig till svår prurigo nodularis hos vuxna vilka är aktuella för systemisk behandling.
Eosinofil esofagit (EoE)
Dupixent är indicerat för behandling av eosinofil esofagit hos vuxna, ungdomar och barn från 1 års ålder som väger minst 15 kg och som inte fått tillräcklig effekt av, är intoleranta mot eller som inte lämpar sig för behandling med konventionella läkemedel (se avsnitt 5.1).
Kroniskt obstruktiv lungsjukdom (KOL)
Dupixent är indicerat som tillägg till underhållsbehandling vid okontrollerad kroniskt obstruktiv lungsjukdom (KOL) som kännetecknas av förhöjda nivåer av blodeosinofiler hos vuxna som får en kombination av inhalerade kortikosteroider (ICS), en långverkande beta-2-receptoragonist (LABA) och en långverkande muskarinreceptorantagonist (LAMA), eller en kombination av LABA och LAMA om ICS inte är lämpligt (se avsnitt 5.1).
Kronisk spontan urtikaria
Dupixent är indicerat för behandling av måttlig till svår kronisk spontan urtikaria hos vuxna, ungdomar och barn (2 år och äldre) som inte fått tillräckligt svar av H1-antihistaminer och som inte tidigare har behandlats med anti-IgE-läkemedel för kronisk spontan urtikaria.
Behandlingen ska initieras av vårdpersonal med erfarenhet inom diagnostik och behandling av de tillstånd som dupilumab är indicerat för (se avsnitt 4.1).
Dosering
Atopisk dermatit
Vuxna
Rekommenderad dos av dupilumab hos vuxna patienter är en initial dos på 600 mg (två injektioner á 300 mg), följt av 300 mg varannan vecka, administrerat som subkutan injektion.
Ungdomar (12 till 17 år)
Rekommenderad dos av dupilumab för ungdomar (12 till 17 år) anges i Tabell 1.
Tabell 1: Dos av dupilumab för subkutan administrering hos ungdomar (12 till 17 år) med atopisk dermatit
Barn 6 till 11 år
Rekommenderad dos av dupilumab för barn (6 till 11 år) anges i Tabell 2.
Tabell 2: Dos av dupilumab för subkutan administrering till barn (6 till 11 år) med atopisk dermatit
* Dosen kan ökas till 200 mg varannan vecka hos patienter med en kroppsvikt på 15 kg till mindre än 60 kg baserat på läkares bedömning.
Barn 6 månader till 5 år
Rekommenderad dos av dupilumab för barn (6 månader till 5 år) anges i Tabell 3.
Tabell 3: Dos av dupilumab för subkutan administrering till barn (6 månader till 5 år) med atopisk dermatit
Dupilumab kan användas med eller utan topikala kortikosteroider. Topikala kalcineurinhämmare kan användas, men ska reserveras endast för problemområden såsom ansikte, hals, samt intertriginösa och genitala områden.
Man bör överväga att avbryta behandlingen hos patienter där ingen effekt uppvisats efter 16 veckors behandling för atopisk dermatit. Vissa patienter med initial partiell effekt kan senare uppnå förbättring med fortsatt behandling efter längre än 16 veckor. Om behandling med dupilumab måste avbrytas, kan återinsättande av behandlingen fortfarande vara framgångsrik.
Astma
Vuxna och ungdomar
Den rekommenderade dosen av dupilumab för vuxna och ungdomar (12 år och äldre) är:
För patienter med svår astma och som får orala kortikosteroider eller för patienter med svår astma och komorbid måttlig till svår atopisk dermatit eller till vuxna med komorbid svår kronisk sinuit med näspolyper, en initial dos på 600 mg (två 300 mg injektioner), följt av 300 mg varannan vecka administrerad som subkutan injektion.
För alla andra patienter, en initial dos på 400 mg (två 200 mg injektioner), följt av 200 mg varannan vecka administrerad som subkutan injektion.
Barn 6 till 11 år
Den rekommenderade dosen av dupilumab för barn 6 till 11 år anges i tabell 4.
Tabell 4: Dos av dupilumab för subkutan administrering till barn (6 till 11 år) med astma
För barn (6 till 11 år) med astma och komorbid svår atopisk dermatit, enligt godkänd indikation, anges den rekommenderade dosen i tabell 2.
Patienter som får samtidiga orala kortikosteroider kan minska sin steroiddos när klinisk förbättring med dupilumab har inträffat (se avsnitt 5.1). Det rekommenderas att minskningen av steroiddosen sker gradvis (se avsnitt 4.4).
Dupilumab är avsedd för långtidsbehandling. Behovet av fortsatt behandling bör övervägas åtminstone på årsbasis, baserat på läkarens bedömning av patientens grad av astmakontroll.
Kronisk rinosinuit med näspolyper
Den rekommenderade dosen av dupilumab för vuxna är en initial dos på 300 mg, följt av 300 mg varannan vecka.
Dupilumab är avsedd för långtidsbehandling. Man bör överväga att avbryta behandlingen hos patienter där ingen effekt uppvisats efter 24 veckors behandling av kronisk rinosinuit med näspolyper. Vissa patienter med initial partiell effekt kan senare uppnå förbättring vid fortsatt behandling mer än 24 veckor.
Prurigo nodularis
Den rekommenderade dosen av dupilumab för vuxna är en initial dos på 600 mg (två 300 mg injektioner), följt av 300 mg varannan vecka.
Dupilumab kan användas med eller utan topikala kortikosteroider.
Data från kliniska studier avseende prurigo nodularis finns tillgängliga för patienter som behandlats i upp till 24 veckor. Avslutande av behandling ska övervägas hos patienter som inte har visat något svar efter 24 veckors behandling för prurigo nodularis.
Eosinofil esofagit (EoE)
Rekommenderad dos av dupilumab för vuxna, ungdomar och barn (1 år och äldre), som väger minst 15 kg, anges i tabell 5.
Tabell 5: Dos av dupilumab för subkutan administrering hos vuxna, ungdomar och barn (1 år och äldre) med EoE
Dupilumab är avsedd för långtidsbehandling.
Kroniskt obstruktiv lungsjukdom (KOL)
Rekommenderad dos av dupilumab för vuxna patienter är 300 mg varannan vecka.
Dupilumab är avsedd för långtidsbehandling. Behandling längre än 52 veckor har inte studerats. Avslutande av behandling ska övervägas hos patienter som inte har visat något svar efter 52 veckors behandling för KOL.
Kronisk spontan urtikaria
Vuxna
Rekommenderad dos av dupilumab för vuxna är en initial dos på 600 mg (två 300 mg injektioner), följt av 300 mg varannan vecka.
Barn och ungdomar (6 till 17 år)
Rekommenderad dos av dupilumab för barn och ungdomar (6 till 17 år) anges i tabell 6.
Tabell 6: Dos av dupilumab för subkutan administrering hos barn och ungdomar (6 till 17 år) med kronisk spontan urtikaria*
*För patienter som väger 5 kg till mindre än 15 kg är den rekommenderade dosen 200 mg var fjärde vecka.
Barn (2 till 5 år)
Rekommenderad dos av dupilumab för barn (2 till 5 år) anges i tabell 7.
Tabell 7: Dos av dupilumab för subkutan administrering hos barn (2 till 5 år) med kronisk spontan urtikaria
Behandling med dupilumab längre än 24 veckor har inte studerats vid kronisk spontan urtikaria. Efter 24 veckor ska behovet av fortsatt behandling utvärderas periodiskt. Avslutande av behandling ska övervägas hos patienter som inte har visat något svar efter 24 veckors behandling för kronisk spontan urtikaria.
Missad dos
Om en dos som ges varje vecka missas, administrera dosen så snart som möjligt och starta ett nytt schema baserat på detta datum.
Om en dos som ges varannan vecka missas, administrera injektionen inom 7 dagar efter den missade dosen och fortsätt sedan behandlingen enligt patientens ursprungliga schema. Om den missade dosen inte administreras inom 7 dagar, vänta till nästa dos enligt det ursprungliga schemat.
Om en dos som ges var fjärde vecka missas, administrera injektionen inom 7 dagar efter den missade dosen och fortsätt sedan behandlingen enligt patientens ursprungliga schema. Om den missade dosen inte administreras inom 7 dagar, administrera dosen och starta ett nytt schema baserat på detta datum.
Särskilda patientgrupper
Äldre
Ingen dosjustering rekommenderas för äldre (≥65 år) patienter (se avsnitt 5.2).
Nedsatt njurfunktion
Ingen dosjustering krävs hos patienter med milt eller måttligt nedsatt njurfunktion. Mycket begränsade data finns tillgängliga för patienter med svårt nedsatt njurfunktion (se avsnitt 5.2).
Nedsatt leverfunktion
Inga data finns tillgängliga för patienter med nedsatt leverfunktion (se avsnitt 5.2).
Kroppsvikt
Ingen dosjustering rekommenderas utifrån kroppsvikt för patienter med astma
och eosinofil esofagit (12 år och äldre) eller hos vuxna med atopisk dermatit, kronisk rinosinuit med näspolyper, prurigo nodularis, KOL eller kronisk spontan urtikaria (se avsnitt 5.2).
Pediatrisk population
Säkerhet och effekt av dupilumab för barn med atopisk dermatit under 6
månader har inte fastställts. Säkerhet och effekt av dupilumab för barn med en kroppsvikt <5 kg har inte fastställts. Inga data finns tillgängliga.
Säkerheten och effekten av dupilumab hos barn med svår astma under 6 år har inte fastställts. Inga data finns tillgängliga.
Säkerhet och effekt hos barn under 18 år med kronisk rinosinuit med näspolyper har inte fastställts. Inga data finns tillgängliga.
Säkerheten och effekten av dupilumab hos barn med prurigo nodularis under 18 år har inte fastställts. Inga data finns tillgängliga.
Säkerheten och effekten av dupilumab hos barn under 1 år, eller med en kroppsvikt < 15 kg, med eosinofil esofagit har inte fastställts.
Säkerheten och effekten av dupilumab hos barn med KOL under 18 år har inte fastställts. Inga data finns tillgängliga.
Säkerhet och effekt av dupilumab för barn med kronisk spontan urtikaria under 2 år har inte fastställts.
Administreringssätt
Subkutan användning
Den förfyllda injektionspennan med dupilumab är avsedd för användning till vuxna och barn från 2 års ålder. Den förfyllda sprutan med dupilumab är avsedd för användning till vuxna och barn från 6 månaders ålder. Den förfyllda injektionspennan med dupilumab är inte avsedd för användning till barn under 2 år.
Dupilumab administreras genom subkutan injektion i lår eller buk, förutom området 5 cm närmast naveln. Om någon annan ger injektionen kan även överarmen användas.
Varje förfylld spruta eller förfylld injektionspenna är endast för engångsbruk.
För indikationer som kräver en initialdos om 600 mg (se ”Dosering och administreringssätt” i avsnitt 4.2), ge två på varandra följande injektioner à 300 mg på olika injektionsställen.
Det rekommenderas att växla injektionsställe för varje injektion. Undvik att injicera dupilumab i hud som är öm, skadad eller har blåmärken eller ärr.
En patient kan själv injicera dupilumab, alternativt kan injektionen ges av en för patienten ansvarig vuxen om vårdpersonalen bedömer att så är lämpligt. Ge lämplig utbildning till patienten och/eller ansvarig vuxen före användning om hur dupilumab förbereds och administreras i enlighet med avsnittet ”Användaranvisning” i slutet av bipacksedeln. Till barn 12 år och äldre rekommenderas att dupilumab administreras av eller under uppsikt av en vuxen. Till barn från 6 månader till yngre än 12 år rekommenderas det att dupilumab administreras av ansvarig vuxen.
Överkänslighet mot den aktiva substansen eller mot något hjälpämne som anges i avsnitt 6.1.
Spårbarhet
För att underlätta spårbarheten av biologiska läkemedel ska läkemedlets namn och tillverkningssatsnummer dokumenteras.
Akuta exacerbationer av astma eller KOL
Dupilumab får inte användas för att behandla akuta symtom eller akuta exacerbationer av astma eller KOL. Dupilumab får inte användas för att behandla akut bronkospasm eller status asthmaticus.
Kortikosteroider
Det rekommenderas att systemiska, topikala eller inhalerade kortikosteroider inte avbryts plötsligt vid initiering av behandling med dupilumab. Minskning av kortikosteroiddos, om så är lämpligt, bör vara gradvis och utföras under överinseende av läkare. Minskad kortikosteroiddos kan associeras med systemiska abstinenssymtom och/eller synliggöra tillstånd som tidigare undertryckts genom systemisk kortikosteroidbehandling.
Biomarkörer av typ 2-inflammation kan undertryckas genom systemisk kortikosteroidanvändning. Detta bör beaktas för att fastställa typ 2-status hos patienter som får orala kortikosteroider (se avsnitt 5.1).
Överkänslighet
Om en systemisk överkänslighetsreaktion (omedelbar eller fördröjd) uppstår, avbryt administreringen av dupilumab omedelbart och sätt in lämplig behandling. Fall av anafylaktisk reaktion, angioödem och serumsjuka/serumsjukeliknande reaktion har rapporterats. Anafylaktiska reaktioner och angioödem har inträffat från minuter till upp till sju dagar efter injektionen av dupilumab (se avsnitt 4.8).
Eosinofila tillstånd
Fall av eosinofil lunginflammation och fall av vaskulit i samband med eosinofil granulomatos med polyangit (EGPA) har rapporterats för dupilumab hos vuxna patienter som deltog i utvecklingsprogrammet för astma. Fall av vaskulit i samband med EGPA har rapporterats för dupilumab och placebo hos vuxna patienter med komorbid astma i utvecklingsprogrammet för kronisk rinosinuit med näspolyper. Läkare ska vara observanta på vaskulära utslag, förvärrade lungsymtom, hjärtkomplikationer och/eller neuropati som visas hos patienter med eosinofili. Patienter som behandlas för astma kan förekomma med allvarlig systemisk eosinofili som ibland uppvisar kliniska egenskaper för eosinofil lunginflammation eller vaskulit i överensstämmelse med eosinofil granulomatos med polyangit, tillstånd som ofta behandlas med systemisk kortikosteroidbehandling. Dessa händelser brukar, men inte alltid, vara förknippade med minskningen av oral kortikosteroidbehandling.
Helmintinfektion
Patienter med känd helmintinfektion var exkluderade från att delta i kliniska studier. Dupilumab kan påverka immunsvaret mot helmintinfektioner genom hämning av IL-4/IL-13-signalering. Patienter med tidigare kända helmintinfektioner ska behandlas mot dem innan dupilumab sätts in. Om patienter blir infekterade under behandling med dupilumab och inte svarar på anti-helmintbehandling ska dupilumab-behandlingen avbrytas tills infektionen upphör. Fall av enterobiasis har rapporterats hos barn 6-11 år som deltog i utvecklingsprogrammet för pediatrisk astma (se avsnitt 4.8).
Konjunktivit och keratitrelaterade reaktioner
Konjunktivit och keratitrelaterade händelser har rapporterats med dupilumab, främst hos patienter med atopisk dermatit. Vissa patienter rapporterade synstörningar (t.ex. dimsyn) associerade med konjunktivit eller keratit (se avsnitt 4.8).
Uppmana patienter att rapportera nya eller förvärrade ögonsymtom till sin vårdgivare. Patienter som behandlas med dupilumab och utvecklar konjunktivit som inte botas med standardbehandling eller utvecklar tecken och symtom som tyder på keratit kan efter behov genomgå en oftalmologisk undersökning (se avsnitt 4.8).
Patienter med astmakomorbiditet
Uppmana patienter som får dupilumab som också har astmakomorbiditet att inte justera eller avsluta astmabehandlingen utan att först konsultera sin läkare. Följ patienter med astmakomorbiditet noga efter avslutad dupilumab-behandling.
Vaccinationer
Samtidig användning av levande och levande försvagade vacciner med dupilumab ska undvikas, eftersom klinisk säkerhet och effekt inte har fastställts. Det rekommenderas att patienterna vaccineras med levande och levande försvagade formuleringar i överensstämmelse med gällande riktlinjer för immunisering före behandling med dupilumab. Kliniska data finns inte tillgängliga som stöd för mer detaljerade anvisningar för administrering av levande eller levande försvagade vacciner hos patienter som behandlas med dupilumab. Immunsvar mot TdaP-vaccin och meningokock-polysackarid-vaccin har utvärderats (se avsnitt 4.5).
Innehåll av natrium
Detta läkemedel innehåller mindre än 1 mmol (23 mg) natrium per 300 mg dos, d.v.s. är näst intill ”natriumfritt”.
Polysorbat 80 (E433)
Detta läkemedel innehåller 4 mg polysorbat 80 per dos på 300 mg (2 ml). Polysorbater kan orsaka allergiska reaktioner.
Immunsvar vid vaccination utvärderades i en studie där patienter med atopisk dermatit behandlades med 300 mg dupilumab en gång i veckan i 16 veckor. Efter 12 veckor med dupilumab-behandling fick patienterna tetanus-difteri-kikhostevaccin (T-cellsberoende), och ett meningokock-polysackarid-vaccin (T-cellsoberoende) och immunsvaret utvärderades 4 veckor senare. Antikroppssvaret mot både tetanusvaccin och meningokock-polysackarid-vaccin var liknande i dupilumab-gruppen och placebogruppen. I studien sågs inga interaktioner mellan något av de icke-levande vaccinerna och dupilumab.
Patienter som behandlas med dupilumab kan därför samtidigt få inaktiverade eller icke-levande vaccinationer. För information om levande vacciner, se avsnitt 4.4.
I en klinisk studie på patienter med atopisk dermatit utvärderades dupilumabs effekter på CYP-substrats farmakokinetik (PK). Insamlade data indikerade inte några kliniskt relevanta effekter av dupilumab på aktiviteten av CYP1A2, CYP3A, CYP2C19, CYP2D6 eller CYP2C9.
Det förväntas inte att dupilumab har någon effekt på farmakokinetiken för samtidigt administrerade läkemedel. Baserat på populationsanalysen hade vanligen samadministrerade läkemedel inte någon effekt på farmakokinetiken för dupilumab hos patienter med måttlig till svår astma.
Graviditet
Det finns begränsat med data från användning av dupilumab hos gravida kvinnor. Djurstudier indikerar inte några direkta eller indirekta skadliga effekter avseende reproduktiv toxicitet (se avsnitt 5.3).
Dupilumab ska användas under graviditet endast om den potentiella nyttan överväger de potentiella riskerna för fostret.
Amning
Det är okänt om dupilumab utsöndras i bröstmjölk eller absorberas systemiskt efter intag. Ett beslut angående avslutande av amning eller dupilumab-behandling måste tas med hänsyn till nyttan med amning för barnet jämfört med nyttan med behandling för kvinnan.
Fertilitet
Djurstudier visade ingen försämring av fertiliteten (se avsnitt 5.3).
Dupilumab har ingen eller försumbar effekt på förmågan att framföra fordon och använda maskiner.
Sammanfattning av säkerhetsprofilen
De vanligaste biverkningarna vid atopisk dermatit, astma och kronisk rinosinuit med näspolyper var reaktioner vid injektionsstället (inkluderar erytem, ödem, pruritus, smärta och svullnad), konjunktivit, allergisk konjunktivit, artralgi, oral herpes och eosinofili. En ytterligare biverkning i form av blåmärke eller hematom vid injektionsstället rapporterades vid eosinofil esofagit, KOL och kronisk spontan urtikaria. Ytterligare biverkningar i form av förhårdnad vid injektionsstället och dermatit vid injektionsstället rapporterades vid KOL och kronisk spontan urtikaria. Ytterligare biverkningar i form av utslag vid injektionsstället rapporterades vid KOL. Sällsynta fall av serumsjuka, serumsjukeliknande reaktion, anafylaktisk reaktion och ulcerös keratit har rapporterats (se avsnitt 4.4).
Tabell över biverkningar
De säkerhetsdata för dupilumab som presenteras i tabell 8 erhölls huvudsakligen från 12 randomiserade, placebokontrollerade studier hos patienter med atopisk dermatit, astma och kronisk rinosinuit med näspolyper. I dessa studier behandlades 4206 patienter med dupilumab och 2326 patienter med placebo under kontrollperioden, och de representerar den allmänna säkerhetsprofilen för dupilumab.
I tabell 8 listas de biverkningar som observerades i kliniska studier och/eller efter marknadsintroduktion, indelat efter organsystem och frekvens, och delas in enligt följande: mycket vanliga (≥ 1/10); vanliga (≥ 1/100, < 1/10), mindre vanliga (≥ 1/1 000, < 1/100), sällsynta (≥1/10 000, <1/1 000), mycket sällsynta (<1/10 000), ingen känd frekvens (kan inte beräknas från tillgängliga data). Inom varje frekvensgrupp presenteras biverkningarna efter fallande allvarlighetsgrad.
Tabell 8: Lista över biverkningar
*Ögonsjukdomar och oral herpes uppträdde främst i studier på atopisk dermatit.
†Frekvensen för ögonpruritus, blefarit och torra ögon var vanliga och ulcerös keratit mindre vanlig i studier på atopisk dermatit.
#Från rapportering efter marknadsintroduktion.
Beskrivning av utvalda biverkningar
Överkänslighet
Fall av anafylaktisk reaktion, angioödem och serumsjuka/serumsjukeliknande reaktion har rapporterats efter administrering av dupilumab (se avsnitt 4.4).
Konjunktivit och keratitrelaterade reaktioner
I atopisk dermatit-studier uppkom konjunktivit och keratit oftare hos patienter med atopisk dermatit som fick dupilumab jämfört med placebo. De flesta patienter med konjunktivit eller keratit återhämtade sig eller återhämtade sig under behandlingsperioden. I den öppna utvidgade långtidsstudien med patienter med atopisk dermatit (AD-1225) var frekvensen konjunktivit och keratit efter 5 år liknande den i dupilumab-armen i de placebokontrollerade atopisk dermatit-studierna. Bland astmapatienter och KOL-patienter var frekvensen av konjunktivit och keratit låg och i motsvarande nivå för dupilumab och placebo. Hos patienter med kronisk rinosinuit med näspolyper och prurigo nodularis var frekvensen av konjunktivit högre för dupilumab än med placebo, fastän lägre än vad som observerats hos patienter med atopisk dermatit. Bland patienter med eosinofil esofagit och kronisk spontan urtikaria var frekvensen av konjunktivit låg och på jämförbar nivå mellan dupilumab och placebogrupperna. Det rapporterades inga fall av keratit i utvecklingsprogrammet för kronisk rinosinuit med näspolyper, prurigo nodularis, eosinofil esofagit och kronisk spontan urtikaria (se avsnitt 4.4).
Eczema herpeticum
Eczema herpeticum rapporterades hos <1 % i dupilumab-grupperna och hos <1 % i placebogruppen i 16-veckors monoterapi-studierna på vuxna vid atopisk dermatit. I den 52-veckors dupilumab + TCS-studien på vuxna vid atopisk dermatit rapporterades eczema herpeticum hos 0,2 % i gruppen med dupilumab + TCS och hos 1,9 % i gruppen med placebo + TCS. Dessa frekvenser var stabila över 5 år i den öppna utvidgade långtidsstudien (AD-1225).
Eosinofili
Dupilumab-behandlade patienter hade en större genomsnittlig initial ökning från baslinjen i eosinofilantal jämfört med patienter behandlade med placebo i indikationerna atopisk dermatit, astma, kronisk rinosinuit med näspolyper, KOL och kronisk spontan urtikaria. Eosinofilantalet sjönk till nära baslinjenivåerna under studiebehandling och återgick till baslinjen under den öppna förlängda säkerhetsstudien på astma (TRAVERSE). De genomsnittliga nivåerna av eosinofiler i blod minskade till under baslinjen till vecka 20 och bibehölls upp till 5 år i den öppna utvidgade långtidsstudien (AD-1225). Jämfört med placebo sågs ingen ökning i det genomsnittliga antalet eosinofiler i blod vid prurigo nodularis (PRIME och PRIME2). Medel- och mediannivåerna av eosinofiler i blod sjönk till nära baslinjenivåerna eller bibehölls under baslinjenivåerna vid eosinofil esofagit och KOL (BOREAS och NOTUS) under studiebehandling.
Behandlingsframkallad eosinofili (≥ 5000 celler/µl) observerades hos < 3 % för de patienter som behandlades med dupilumab och <0,5 % för placebobehandlade patienter (SOLO1-, SOLO2-, AD-1021-, DRI12544-, QUEST- och VOYAGE-studierna; SINUS-24 och SINUS-52, PRIME- och PRIME2-studierna, TREET del A- och B-studierna: BOREAS och NOTUS; CUPID-studierna A, B och C).
Behandlingsframkallad eosinofili (≥ 5000 celler/µl) observerades hos 8,4 % för de patienter som behandlades med dupilumab och 0 % för placebobehandlade patienter i studien AD-1539, med medianantal eosinofiler som sjönk till under baslinjen i slutet av behandlingsperioden.
Infektioner
I de 16 veckor långa kliniska monoterapistudierna på vuxna med atopisk dermatit rapporterades allvarliga infektioner hos 1,0 % av patienterna som behandlades med placebo och 0,5 % av patienterna som behandlades med dupilumab. I 52-veckors studien CHRONOS på vuxna med atopisk dermatit rapporterades allvarliga infektioner hos 0,6 % av patienterna som behandlades med placebo och 0,2 % av patienterna som behandlades med dupilumab. Frekvensen allvarliga infektioner var stabila efter 5 år i den öppna utvidgade långtidsstudien (AD-1225).
Ingen ökning i total incidens av infektioner observerades för dupilumab jämfört med placebo i säkerhetssammanställningen av kliniska studier på astma. I 24-veckors säkerhetssammanställningen rapporterades allvarliga infektioner hos 1,0 % av patienterna som behandlades med dupilumab och hos 1,1 % av patienterna som behandlades med placebo. I 52-veckors studien QUEST rapporterades allvarliga infektioner hos 1,3 % av patienterna som behandlades med dupilumab och hos 1,4 % av patienterna som behandlades med placebo.
Ingen ökning i total incidens av infektioner observerades för dupilumab jämfört med placebo i säkerhetssammanställningen av kliniska studier av kronisk rinosinuit med näspolyper.
I 52-veckors studien SINUS-52 rapporterades allvarliga infektioner hos 1,3 % av patienterna som behandlades med dupilumab och hos 1,3 % av patienterna som behandlades med placebo.
Ingen ökning i total incidens av infektioner observerades för dupilumab jämfört med placebo i säkerhetssammanställningen av kliniska studier av prurigo nodularis. I säkerhetssammanställningen rapporterades allvarliga infektioner hos 1,3 % av patienterna som behandlades med dupilumab och hos 1,3 % av patienterna som behandlades med placebo.
Den totala incidensen av infektioner var numeriskt högre med dupilumab (32,0 %) jämfört med placebo (24,8 %) i 24-veckors säkerhetssammanställningen för TREET-studierna (del A och B) på eosinofil esofagit. Den totala incidensen av infektioner var numeriskt högre med placebo (41,2 %) jämfört med dupilumab (35,8 %) i studien EoE KIDS (del A) på eosinofil esofagit. I 24-veckors säkerhetssammanställningen för TREET-studierna (del A och B) på eosinofil esofagit rapporterades allvarliga infektioner hos 0,5 % av patienterna som behandlades med dupilumab och hos 0 % av patienterna som behandlades med placebo. Inga allvarliga infektioner rapporterades i studien EoE KIDS (del A). Övre luftvägsinfektioner som omfattade flera termer (inklusive, men inte begränsat till; covid-19, sinuit och övre luftvägsinfektion) var numeriskt högre med dupilumab (17,2 %) jämfört med placebo (10,3 %) i TREET-studierna (del A och B) på eosinofil esofagit och med dupilumab (26,9 %) jämfört med placebo (20,6 %) i studien EoE KIDS (del A).
Ingen ökning i den totala incidensen av infektioner observerades med dupilumab jämfört med placebo i säkerhetssammanställningen för kliniska studier av KOL. Allvarliga infektioner rapporterades hos 4,9 % av patienterna som behandlades med dupilumab och hos 4,8 % av patienterna som behandlades med placebo.
I säkerhetssammanställningen för CUPID-studierna (A, B och C) observerades ingen ökning i den totala incidensen av infektioner med dupilumab jämfört med placebo. I säkerhetssammanställningen observerades allvarliga infektioner hos 0,5 % av patienterna som behandlades med dupilumab och hos 0,5 % av patienterna som behandlades med placebo. Inga allvarliga infektioner observerades hos barn som behandlades med dupilumab i studien PKM16982.
Immunogenicitet
Som för alla terapeutiska proteiner finns risk för immunogenicitet med dupilumab.
ADA (anti-läkemedelsantikropp) svar associerades generellt sett inte med påverkan på dupilumabs exponering, säkerhet eller effekt.
Ungefär 5 % av patienterna med atopisk dermatit, astma eller kronisk rinosinuit med näspolyper som fick dupilumab 300 mg varannan vecka i 52 veckor utvecklade ADA mot dupilumab; ungefär 2 % uppvisade beständigt ADA-svar och ungefär 2 % hade neutraliserande antikroppar. Liknande resultat sågs hos vuxna patienter med prurigo nodularis som fick dupilumab 300 mg varannan vecka i 24 veckor, pediatriska patienter (6 månader till 11 år) med atopisk dermatit som fick antingen dupilumab 200 mg varannan vecka, 200 mg var fjärde vecka, eller 300 mg var fjärde vecka i 16 veckor och för patienter (6 till 11 år) med astma som fick dupilumab 100 mg varannan vecka eller 200 mg varannan vecka i 52 veckor. Liknande ADA-svar sågs hos vuxna patienter med atopisk dermatit som behandlades med dupilumab i upp till 5 år i den öppna utvidgade långtidsstudien (AD-1225).
Ungefär 16 % av ungdomarna med atopisk dermatit som fick dupilumab 300 mg eller 200 mg varannan vecka i 16 veckor utvecklade antikroppar mot dupilumab; ungefär 3 % uppvisade beständigt ADA-svar, och ungefär 5 % hade neutraliserande antikroppar.
Ungefär 9 % av patienterna med astma som fick dupilumab 200 mg varannan vecka i 52 veckor utvecklade antikroppar mot dupilumab; ungefär 4 % uppvisade beständigt ADA-svar och ungefär 4 % hade neutraliserande antikroppar.
Ungefär 1 % av patienterna i åldern 1 år och äldre med eosinofil esofagit som behandlades med dupilumab 300 mg varje vecka (≥ 40 kg), 300 mg varannan vecka (≥ 30 till < 60 kg), 200 mg varannan vecka (≥ 15 till < 30 kg), eller 100 mg varannan vecka (≥ 5 till < 15 kg) i 52 veckor utvecklade antikroppar mot dupilumab; ADA-svaren var varken beständiga eller neutraliserande.
Ungefär 8 % av patienterna med KOL som fick dupilumab 300 mg varannan vecka i 52 veckor utvecklade antikroppar mot dupilumab; ungefär 3 % uppvisade beständigt ADA-svar och ungefär 3 % hade neutraliserande antikroppar.
Ungefär 4,7 % av vuxna patienter med kronisk spontan urtikaria som fick dupilumab 300 mg varannan vecka och unga patienter med kronisk spontan urtikaria som fick dupilumab 300 mg eller 200 mg varannan vecka i 24 veckor utvecklade antikroppar mot dupilumab; ungefär 0,5 % uppvisade beständigt ADA-svar och ungefär 1 % hade neutraliserande antikroppar. Inga pediatriska patienter (2 till 11 år) med kronisk spontan urtikaria som fick dupilumab 200 mg var fjärde vecka, 300 mg var fjärde vecka eller 200 mg varannan vecka i 24 veckor utvecklade positivt ADA-svar på dupilumab.
Oavsett ålder eller population var upp till 7 % av patienterna i placebogrupperna positiva för antikroppar mot dupilumab; upp till 3 % uppvisade beständigt ADA-svar och upp till 2 % hade neutraliserande antikroppar.
Mindre än 1 % av patienterna som fick dupilumab enligt godkända dosscheman uppvisade höga nivåer av ADA-svar associerat med minskad exponering och effekt. Dessutom fick en patient serumsjuka och en serumsjukeliknande reaktion (<0,1 %) som var associerat med höga ADA-nivåer (se avsnitt 4.4).
Pediatrisk population
Atopisk dermatit
Ungdomar (12 till 17 år)
Säkerheten hos dupilumab utvärderades i en studie på 250 patienter i åldern 12 till 17 år med måttlig till svår atopisk dermatit (AD-1526). Säkerhetsprofilen för dupilumab hos dessa patienter följdes upp vecka 16 och var jämförbar med den säkerhetsprofil från studier på vuxna med atopisk dermatit.
Barn 6 till 11 år
Säkerheten hos dupilumab utvärderades i en studie på 367 patienter i åldern 6 till 11 år med svår atopisk dermatit (AD-1652). Säkerhetsprofilen för dupilumab med samtidig TCS hos dessa patienter följdes upp vecka 16 och var jämförbar med säkerhetsprofilen från studier på vuxna och ungdomar med atopisk dermatit.
Barn 6 månader till 5 år
Säkerheten hos dupilumab med samtidig TCS utvärderades i en studie på 161 patienter i åldern 6 månader till 5 år med måttlig till svår atopisk dermatit, inklusive en subgrupp av 124 patienter med svår atopisk dermatit (AD-1539). Säkerhetsprofilen för dupilumab med samtidig TCS hos dessa patienter följdes upp vecka 16 och var jämförbar med säkerhetsprofilen från studier på vuxna och pediatriska patienter i åldern 6 till 17 år med atopisk dermatit.
Atopisk dermatit på händer och fötter
Säkerheten hos dupilumab utvärderades hos 27 pediatriska patienter i åldern 12 till 17 år med måttlig till svår atopisk dermatit på händer och fötter (AD-1924). Säkerhetsprofilen för dupilumab hos dessa patienter följdes upp vecka 16 och överensstämde med säkerhetsprofilen från studier på vuxna och pediatriska patienter i åldern 6 månader och äldre med måttlig till svår atopisk dermatit.
Astma
Ungdomar (12 till 17 år)
Totalt 107 ungdomar i åldern 12 till 17 år med astma inkluderades i den 52-veckor långa studien QUEST. Observerad säkerhetsprofil liknade den hos vuxna.
Den långsiktiga säkerheten för dupilumab bedömdes på 89 ungdomar som inkluderades i en öppen förlängningsstudie på måttlig till svår astma (TRAVERSE). I denna studie följdes patienter i upp till 96 veckor. Säkerhetsprofilen för dupilumab i TRAVERSE överensstämde med den säkerhetsprofil som observerades i pivotala astmaundersökningar med upp till 52 veckors behandling.
Barn 6 till 11 år
Hos barn i åldern 6 till 11 år med måttlig till svår astma (VOYAGE) rapporterades även biverkningen enterobiasis hos 1,8 % (5 patienter) i dupilumabgruppen och ingen i placebogruppen. Alla fall av enterobiasis var lindriga till måttliga och patienter återhämtade sig med antihelmintbehandling utan att behandlingen med dupilumab avbröts.
Hos barn i åldern 6 till 11 år med måttlig till svår astma rapporterades eosinofil (blodeosinofiler ≥ 3000 celler/µl eller som av prövaren bedömd som en biverkning) i 6,6 % av dupilumabgruppen och 0,7 % i placebogruppen. De flesta fall av eosinofili var milda till måttliga och inte associerade med kliniska symtom. Dessa fall var övergående, minskade med tiden och ledde inte till att behandlingen med dupilumab avbröts.
Den långsiktiga säkerheten för dupilumab bedömdes i en öppen förlängningsstudie (EXCURSION) på barn 6 till 11 år med måttlig till svår astma som tidigare hade deltagit i VOYAGE. Av de 365 patienter som inkluderades i EXCURSION fullföljde 350 patienter en 52 veckors behandling och 228 patienter en kumulativ behandling i 104 veckor (VOYAGE och EXCURSION). Den långsiktiga säkerhetsprofilen för dupilumab i EXCURSION överensstämde med den säkerhetsprofil som observerades i den pivotala astmastudien (VOYAGE) vid 52 veckors behandling.
Eosinofil esofagit
Ungdomar (12 till 17 år)
Totalt 99 ungdomar i åldern 12 till 17 år med eosinofil esofagit inkluderades i TREET-studierna (del A och B). Den observerade säkerhetsprofilen var liknande den som setts hos vuxna.
Barn 1 till 11 år
Säkerheten för dupilumab utvärderades i en studie på 101 barn i åldern 1 till 11 år med eosinofil esofagit (EoE KIDS del A). Säkerhetsprofilen för dupilumab hos dessa patienter följdes upp vecka 16 och var liknande den som setts hos vuxna och ungdomar i åldern 12 till 17 år med eosinofil esofagit.
Totalt 98 patienter som fullföljde del A erbjöds möjlighet till att delta i en 36-veckors förlängningsstudie med aktiv behandling (EoE KIDS del B). Säkerhetsprofilen för dupilumab till och med vecka 52 var likartad med säkerhetsprofilen observerad vid vecka 16.
Kronisk spontan urtikaria
Ungdomar (12 till 17 år)
Säkerheten för dupilumab utvärderades hos 12 ungdomar i åldern 12 till 17 år med kronisk spontan urtikaria som deltog i CUPID (studie A, B och C). En biverkning rapporterades hos en ung patient som behandlades med dupilumab.
Barn (2 till 11 år)
Säkerheten för dupilumab utvärderades hos 18 barn i åldern 2 till 11 år med kronisk spontan urtikaria som deltog i PKM16982 och CUPID (studierna A och C). Dessa data stämde generellt sett överens med säkerhetsprofilen som observerades hos patienter med kronisk spontan urtikaria som behandlades med dupilumab.
Långsiktig säkerhet
Atopisk dermatit
Säkerhetsprofilen för dupilumab + TCS (CHRONOS) hos vuxna patienter med atopisk dermatit under vecka 52 överensstämde med säkerhetsprofilen som observerades vecka 16. Den långsiktiga säkerheten hos dupilumab bedömdes i en öppen förlängningsstudie på patienter i åldern 6 månader till 17 år med måttlig till svår atopisk dermatit (AD-1434). Säkerhetsprofilen för dupilumab hos patienter som följdes upp vecka 52 liknade säkerhetsprofilen som observerades vecka 16 i studierna AD-1526, AD-1652 och AD-1539. Den långsiktiga säkerhetsprofilen för dupilumab hos barn och ungdomar överensstämde med det som ses hos vuxna med atopisk dermatit.
I en öppen utvidgad multicenter-fas 3-studie (AD-1225) studerades långtidssäkerhet för upprepad dosering av dupilumab i 2 677 vuxna med måttlig till svår atopisk dermatit, med dosen 300 mg per vecka (99,7 %) varav 179 fullföljde minst 260 studieveckor. Säkerhetsprofilen för långtidsdata på upp till 5 år från denna studie stämde generellt sett överens med säkerhetsdata för dupilumab från kontrollerade studier.
Astma
Säkerhetsprofilen för dupilumab i den 96 veckor långa säkerhetsstudien (TRAVERSE) överensstämde med säkerhetsprofilen som observerades i pivotala astmastudier vid upp till 52-veckors behandling.
Säkerhetsprofilen för dupilumab hos barn 6 till 11 år med astma som deltog i den långsiktiga säkerhetsstudien på 52 veckor (EXCURSION) överensstämde med den säkerhetsprofil som observerades i den pivotala astmastudien (VOYAGE) vid 52 veckors behandling.
Kronisk rinosinuit med näspolyper
Säkerhetsprofilen för dupilumab hos vuxna med kronisk rinosinuit med näspolyper under vecka 52 överensstämde med säkerhetsprofilen observerad vid vecka 24.
Eosinofil esofagit
Säkerhetsprofilen för dupilumab till och med vecka 52 hos vuxna och ungdomar i åldern 12 år och äldre (TREET del C) och hos barn i åldern 1 till 11 år (EoE KIDS del B) överensstämde i allmänhet med säkerhetsprofilen observerad vid vecka 24 i TREET del A och B och vid vecka 16 i EoE KIDS del A.
Det finns ingen specifik behandling mot dupilumab-överdos. I fall av överdos, övervaka patienten noga med avseende på tecken och symtom på biverkningar och sätt in på lämplig symtomatisk behandling omedelbart.
Atopisk dermatit
Vuxna och ungdomar
Dupixent är indicerat för behandling av måttlig till svår atopisk dermatit hos vuxna och ungdomar (12 år och äldre) vilka är aktuella för systemisk behandling.
Barn 6 månader till 11 år
Dupixent är indicerat för behandling av svår atopisk dermatit hos barn 6 månader
till 11 år vilka är aktuella för systemisk behandling.
Astma
Vuxna och ungdomar
Dupixent är indicerat för vuxna och ungdomar (12 år och äldre), som tillägg till underhållsbehandling vid svår astma med typ 2 inflammation, som kännetecknas av förhöjda nivåer av blodeosinofiler och/eller förhöjd kväveoxidhalt i utandningsluften (FeNO), se avsnitt 5.1, som är otillräckligt kontrollerad trots hög dos inhalerad kortikosteroid (ICS) i kombination med ett annat läkemedel för underhållsbehandling.
Barn 6 till 11 år
Dupixent är indicerat för barn 6 till 11 år, som tillägg till underhållsbehandling vid svår astma med typ 2 inflammation, som kännetecknas av förhöjda nivåer av blodeosinofiler och/eller förhöjd kväveoxidhalt i utandningsluften (FeNO), se avsnitt 5.1, som är otillräckligt kontrollerad trots medel till hög dos inhalerad kortikosteroid (ICS) i kombination med ett annat läkemedel för underhållsbehandling.
Kronisk rinosinuit med näspolyper
Dupixent är indicerat för vuxna som en tilläggsbehandling till nasala kortikosterioider för behandling av svår kronisk rinosinuit med näspolyper, för vilka behandling med systemiska kortikosterioder och/eller kirurgi inte gett tillräcklig effekt.
Prurigo nodularis
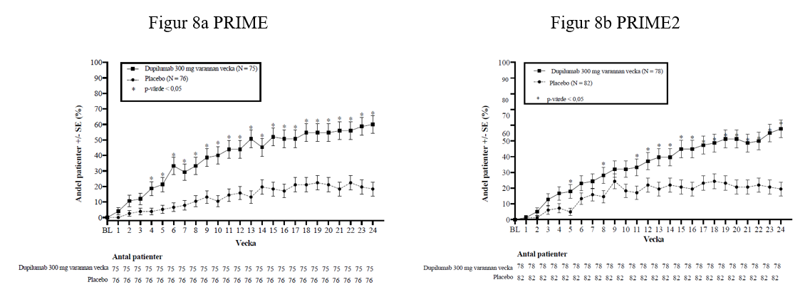
Dupixent är indicerat för behandling av måttlig till svår prurigo nodularis hos vuxna vilka är aktuella för systemisk behandling.
Eosinofil esofagit (EoE)
Dupixent är indicerat för behandling av eosinofil esofagit hos vuxna, ungdomar och barn från 1 års ålder som väger minst 15 kg och som inte fått tillräcklig effekt av, är intoleranta mot eller som inte lämpar sig för behandling med konventionella läkemedel (se avsnitt 5.1).
Kroniskt obstruktiv lungsjukdom (KOL)
Dupixent är indicerat som tillägg till underhållsbehandling vid okontrollerad kroniskt obstruktiv lungsjukdom (KOL) som kännetecknas av förhöjda nivåer av blodeosinofiler hos vuxna som får en kombination av inhalerade kortikosteroider (ICS), en långverkande beta-2-receptoragonist (LABA) och en långverkande muskarinreceptorantagonist (LAMA), eller en kombination av LABA och LAMA om ICS inte är lämpligt (se avsnitt 5.1).
Kronisk spontan urtikaria
Dupixent är indicerat för behandling av måttlig till svår kronisk spontan urtikaria hos vuxna, ungdomar och barn (2 år och äldre) som inte fått tillräckligt svar av H1-antihistaminer och som inte tidigare har behandlats med anti-IgE-läkemedel för kronisk spontan urtikaria.
Behandlingen ska initieras av vårdpersonal med erfarenhet inom diagnostik och behandling av de tillstånd som dupilumab är indicerat för (se avsnitt 4.1).
Dosering
Atopisk dermatit
Vuxna
Rekommenderad dos av dupilumab hos vuxna patienter är en initial dos på 600 mg (två injektioner á 300 mg), följt av 300 mg varannan vecka, administrerat som subkutan injektion.
Ungdomar (12 till 17 år)
Rekommenderad dos av dupilumab för ungdomar (12 till 17 år) anges i Tabell 1.
Tabell 1: Dos av dupilumab för subkutan administrering hos ungdomar (12 till 17 år) med atopisk dermatit
Barn 6 till 11 år
Rekommenderad dos av dupilumab för barn (6 till 11 år) anges i Tabell 2.
Tabell 2: Dos av dupilumab för subkutan administrering till barn (6 till 11 år) med atopisk dermatit
* Dosen kan ökas till 200 mg varannan vecka hos patienter med en kroppsvikt på 15 kg till mindre än 60 kg baserat på läkares bedömning.
Barn 6 månader till 5 år
Rekommenderad dos av dupilumab för barn (6 månader till 5 år) anges i Tabell 3.
Tabell 3: Dos av dupilumab för subkutan administrering till barn (6 månader till 5 år) med atopisk dermatit
Dupilumab kan användas med eller utan topikala kortikosteroider. Topikala kalcineurinhämmare kan användas, men ska reserveras endast för problemområden såsom ansikte, hals, samt intertriginösa och genitala områden.
Man bör överväga att avbryta behandlingen hos patienter där ingen effekt uppvisats efter 16 veckors behandling för atopisk dermatit. Vissa patienter med initial partiell effekt kan senare uppnå förbättring med fortsatt behandling efter längre än 16 veckor. Om behandling med dupilumab måste avbrytas, kan återinsättande av behandlingen fortfarande vara framgångsrik.
Astma
Vuxna och ungdomar
Den rekommenderade dosen av dupilumab för vuxna och ungdomar (12 år och äldre) är:
För patienter med svår astma och som får orala kortikosteroider eller för patienter med svår astma och komorbid måttlig till svår atopisk dermatit eller till vuxna med komorbid svår kronisk sinuit med näspolyper, en initial dos på 600 mg (två 300 mg injektioner), följt av 300 mg varannan vecka administrerad som subkutan injektion.
För alla andra patienter, en initial dos på 400 mg (två 200 mg injektioner), följt av 200 mg varannan vecka administrerad som subkutan injektion.
Barn 6 till 11 år
Den rekommenderade dosen av dupilumab för barn 6 till 11 år anges i tabell 4.
Tabell 4: Dos av dupilumab för subkutan administrering till barn (6 till 11 år) med astma
För barn (6 till 11 år) med astma och komorbid svår atopisk dermatit, enligt godkänd indikation, anges den rekommenderade dosen i tabell 2.
Patienter som får samtidiga orala kortikosteroider kan minska sin steroiddos när klinisk förbättring med dupilumab har inträffat (se avsnitt 5.1). Det rekommenderas att minskningen av steroiddosen sker gradvis (se avsnitt 4.4).
Dupilumab är avsedd för långtidsbehandling. Behovet av fortsatt behandling bör övervägas åtminstone på årsbasis, baserat på läkarens bedömning av patientens grad av astmakontroll.
Kronisk rinosinuit med näspolyper
Den rekommenderade dosen av dupilumab för vuxna är en initial dos på 300 mg, följt av 300 mg varannan vecka.
Dupilumab är avsedd för långtidsbehandling. Man bör överväga att avbryta behandlingen hos patienter där ingen effekt uppvisats efter 24 veckors behandling av kronisk rinosinuit med näspolyper. Vissa patienter med initial partiell effekt kan senare uppnå förbättring vid fortsatt behandling mer än 24 veckor.
Prurigo nodularis
Den rekommenderade dosen av dupilumab för vuxna är en initial dos på 600 mg (två 300 mg injektioner), följt av 300 mg varannan vecka.
Dupilumab kan användas med eller utan topikala kortikosteroider.
Data från kliniska studier avseende prurigo nodularis finns tillgängliga för patienter som behandlats i upp till 24 veckor. Avslutande av behandling ska övervägas hos patienter som inte har visat något svar efter 24 veckors behandling för prurigo nodularis.
Eosinofil esofagit (EoE)
Rekommenderad dos av dupilumab för vuxna, ungdomar och barn (1 år och äldre), som väger minst 15 kg, anges i tabell 5.
Tabell 5: Dos av dupilumab för subkutan administrering hos vuxna, ungdomar och barn (1 år och äldre) med EoE
Dupilumab är avsedd för långtidsbehandling.
Kroniskt obstruktiv lungsjukdom (KOL)
Rekommenderad dos av dupilumab för vuxna patienter är 300 mg varannan vecka.
Dupilumab är avsedd för långtidsbehandling. Behandling längre än 52 veckor har inte studerats. Avslutande av behandling ska övervägas hos patienter som inte har visat något svar efter 52 veckors behandling för KOL.
Kronisk spontan urtikaria
Vuxna
Rekommenderad dos av dupilumab för vuxna är en initial dos på 600 mg (två 300 mg injektioner), följt av 300 mg varannan vecka.
Barn och ungdomar (6 till 17 år)
Rekommenderad dos av dupilumab för barn och ungdomar (6 till 17 år) anges i tabell 6.
Tabell 6: Dos av dupilumab för subkutan administrering hos barn och ungdomar (6 till 17 år) med kronisk spontan urtikaria*
*För patienter som väger 5 kg till mindre än 15 kg är den rekommenderade dosen 200 mg var fjärde vecka.
Barn (2 till 5 år)
Rekommenderad dos av dupilumab för barn (2 till 5 år) anges i tabell 7.
Tabell 7: Dos av dupilumab för subkutan administrering hos barn (2 till 5 år) med kronisk spontan urtikaria
Behandling med dupilumab längre än 24 veckor har inte studerats vid kronisk spontan urtikaria. Efter 24 veckor ska behovet av fortsatt behandling utvärderas periodiskt. Avslutande av behandling ska övervägas hos patienter som inte har visat något svar efter 24 veckors behandling för kronisk spontan urtikaria.
Missad dos
Om en dos som ges varje vecka missas, administrera dosen så snart som möjligt och starta ett nytt schema baserat på detta datum.
Om en dos som ges varannan vecka missas, administrera injektionen inom 7 dagar efter den missade dosen och fortsätt sedan behandlingen enligt patientens ursprungliga schema. Om den missade dosen inte administreras inom 7 dagar, vänta till nästa dos enligt det ursprungliga schemat.
Om en dos som ges var fjärde vecka missas, administrera injektionen inom 7 dagar efter den missade dosen och fortsätt sedan behandlingen enligt patientens ursprungliga schema. Om den missade dosen inte administreras inom 7 dagar, administrera dosen och starta ett nytt schema baserat på detta datum.
Särskilda patientgrupper
Äldre
Ingen dosjustering rekommenderas för äldre (≥65 år) patienter (se avsnitt 5.2).
Nedsatt njurfunktion
Ingen dosjustering krävs hos patienter med milt eller måttligt nedsatt njurfunktion. Mycket begränsade data finns tillgängliga för patienter med svårt nedsatt njurfunktion (se avsnitt 5.2).
Nedsatt leverfunktion
Inga data finns tillgängliga för patienter med nedsatt leverfunktion (se avsnitt 5.2).
Kroppsvikt
Ingen dosjustering rekommenderas utifrån kroppsvikt för patienter med astma
och eosinofil esofagit (12 år och äldre) eller hos vuxna med atopisk dermatit, kronisk rinosinuit med näspolyper, prurigo nodularis, KOL eller kronisk spontan urtikaria (se avsnitt 5.2).
Pediatrisk population
Säkerhet och effekt av dupilumab för barn med atopisk dermatit under 6
månader har inte fastställts. Säkerhet och effekt av dupilumab för barn med en kroppsvikt <5 kg har inte fastställts. Inga data finns tillgängliga.
Säkerheten och effekten av dupilumab hos barn med svår astma under 6 år har inte fastställts. Inga data finns tillgängliga.
Säkerhet och effekt hos barn under 18 år med kronisk rinosinuit med näspolyper har inte fastställts. Inga data finns tillgängliga.
Säkerheten och effekten av dupilumab hos barn med prurigo nodularis under 18 år har inte fastställts. Inga data finns tillgängliga.
Säkerheten och effekten av dupilumab hos barn under 1 år, eller med en kroppsvikt < 15 kg, med eosinofil esofagit har inte fastställts.
Säkerheten och effekten av dupilumab hos barn med KOL under 18 år har inte fastställts. Inga data finns tillgängliga.
Säkerhet och effekt av dupilumab för barn med kronisk spontan urtikaria under 2 år har inte fastställts.
Administreringssätt
Subkutan användning
Den förfyllda injektionspennan med dupilumab är avsedd för användning till vuxna och barn från 2 års ålder. Den förfyllda sprutan med dupilumab är avsedd för användning till vuxna och barn från 6 månaders ålder. Den förfyllda injektionspennan med dupilumab är inte avsedd för användning till barn under 2 år.
Dupilumab administreras genom subkutan injektion i lår eller buk, förutom området 5 cm närmast naveln. Om någon annan ger injektionen kan även överarmen användas.
Varje förfylld spruta eller förfylld injektionspenna är endast för engångsbruk.
För indikationer som kräver en initialdos om 600 mg (se ”Dosering och administreringssätt” i avsnitt 4.2), ge två på varandra följande injektioner à 300 mg på olika injektionsställen.
Det rekommenderas att växla injektionsställe för varje injektion. Undvik att injicera dupilumab i hud som är öm, skadad eller har blåmärken eller ärr.
En patient kan själv injicera dupilumab, alternativt kan injektionen ges av en för patienten ansvarig vuxen om vårdpersonalen bedömer att så är lämpligt. Ge lämplig utbildning till patienten och/eller ansvarig vuxen före användning om hur dupilumab förbereds och administreras i enlighet med avsnittet ”Användaranvisning” i slutet av bipacksedeln. Till barn 12 år och äldre rekommenderas att dupilumab administreras av eller under uppsikt av en vuxen. Till barn från 6 månader till yngre än 12 år rekommenderas det att dupilumab administreras av ansvarig vuxen.
Överkänslighet mot den aktiva substansen eller mot något hjälpämne som anges i avsnitt 6.1.
Spårbarhet
För att underlätta spårbarheten av biologiska läkemedel ska läkemedlets namn och tillverkningssatsnummer dokumenteras.
Akuta exacerbationer av astma eller KOL
Dupilumab får inte användas för att behandla akuta symtom eller akuta exacerbationer av astma eller KOL. Dupilumab får inte användas för att behandla akut bronkospasm eller status asthmaticus.
Kortikosteroider
Det rekommenderas att systemiska, topikala eller inhalerade kortikosteroider inte avbryts plötsligt vid initiering av behandling med dupilumab. Minskning av kortikosteroiddos, om så är lämpligt, bör vara gradvis och utföras under överinseende av läkare. Minskad kortikosteroiddos kan associeras med systemiska abstinenssymtom och/eller synliggöra tillstånd som tidigare undertryckts genom systemisk kortikosteroidbehandling.
Biomarkörer av typ 2-inflammation kan undertryckas genom systemisk kortikosteroidanvändning. Detta bör beaktas för att fastställa typ 2-status hos patienter som får orala kortikosteroider (se avsnitt 5.1).
Överkänslighet
Om en systemisk överkänslighetsreaktion (omedelbar eller fördröjd) uppstår, avbryt administreringen av dupilumab omedelbart och sätt in lämplig behandling. Fall av anafylaktisk reaktion, angioödem och serumsjuka/serumsjukeliknande reaktion har rapporterats. Anafylaktiska reaktioner och angioödem har inträffat från minuter till upp till sju dagar efter injektionen av dupilumab (se avsnitt 4.8).
Eosinofila tillstånd
Fall av eosinofil lunginflammation och fall av vaskulit i samband med eosinofil granulomatos med polyangit (EGPA) har rapporterats för dupilumab hos vuxna patienter som deltog i utvecklingsprogrammet för astma. Fall av vaskulit i samband med EGPA har rapporterats för dupilumab och placebo hos vuxna patienter med komorbid astma i utvecklingsprogrammet för kronisk rinosinuit med näspolyper. Läkare ska vara observanta på vaskulära utslag, förvärrade lungsymtom, hjärtkomplikationer och/eller neuropati som visas hos patienter med eosinofili. Patienter som behandlas för astma kan förekomma med allvarlig systemisk eosinofili som ibland uppvisar kliniska egenskaper för eosinofil lunginflammation eller vaskulit i överensstämmelse med eosinofil granulomatos med polyangit, tillstånd som ofta behandlas med systemisk kortikosteroidbehandling. Dessa händelser brukar, men inte alltid, vara förknippade med minskningen av oral kortikosteroidbehandling.
Helmintinfektion
Patienter med känd helmintinfektion var exkluderade från att delta i kliniska studier. Dupilumab kan påverka immunsvaret mot helmintinfektioner genom hämning av IL-4/IL-13-signalering. Patienter med tidigare kända helmintinfektioner ska behandlas mot dem innan dupilumab sätts in. Om patienter blir infekterade under behandling med dupilumab och inte svarar på anti-helmintbehandling ska dupilumab-behandlingen avbrytas tills infektionen upphör. Fall av enterobiasis har rapporterats hos barn 6-11 år som deltog i utvecklingsprogrammet för pediatrisk astma (se avsnitt 4.8).
Konjunktivit och keratitrelaterade reaktioner
Konjunktivit och keratitrelaterade händelser har rapporterats med dupilumab, främst hos patienter med atopisk dermatit. Vissa patienter rapporterade synstörningar (t.ex. dimsyn) associerade med konjunktivit eller keratit (se avsnitt 4.8).
Uppmana patienter att rapportera nya eller förvärrade ögonsymtom till sin vårdgivare. Patienter som behandlas med dupilumab och utvecklar konjunktivit som inte botas med standardbehandling eller utvecklar tecken och symtom som tyder på keratit kan efter behov genomgå en oftalmologisk undersökning (se avsnitt 4.8).
Patienter med astmakomorbiditet
Uppmana patienter som får dupilumab som också har astmakomorbiditet att inte justera eller avsluta astmabehandlingen utan att först konsultera sin läkare. Följ patienter med astmakomorbiditet noga efter avslutad dupilumab-behandling.
Vaccinationer
Samtidig användning av levande och levande försvagade vacciner med dupilumab ska undvikas, eftersom klinisk säkerhet och effekt inte har fastställts. Det rekommenderas att patienterna vaccineras med levande och levande försvagade formuleringar i överensstämmelse med gällande riktlinjer för immunisering före behandling med dupilumab. Kliniska data finns inte tillgängliga som stöd för mer detaljerade anvisningar för administrering av levande eller levande försvagade vacciner hos patienter som behandlas med dupilumab. Immunsvar mot TdaP-vaccin och meningokock-polysackarid-vaccin har utvärderats (se avsnitt 4.5).
Innehåll av natrium
Detta läkemedel innehåller mindre än 1 mmol (23 mg) natrium per 300 mg dos, d.v.s. är näst intill ”natriumfritt”.
Polysorbat 80 (E433)
Detta läkemedel innehåller 4 mg polysorbat 80 per dos på 300 mg (2 ml). Polysorbater kan orsaka allergiska reaktioner.
Immunsvar vid vaccination utvärderades i en studie där patienter med atopisk dermatit behandlades med 300 mg dupilumab en gång i veckan i 16 veckor. Efter 12 veckor med dupilumab-behandling fick patienterna tetanus-difteri-kikhostevaccin (T-cellsberoende), och ett meningokock-polysackarid-vaccin (T-cellsoberoende) och immunsvaret utvärderades 4 veckor senare. Antikroppssvaret mot både tetanusvaccin och meningokock-polysackarid-vaccin var liknande i dupilumab-gruppen och placebogruppen. I studien sågs inga interaktioner mellan något av de icke-levande vaccinerna och dupilumab.
Patienter som behandlas med dupilumab kan därför samtidigt få inaktiverade eller icke-levande vaccinationer. För information om levande vacciner, se avsnitt 4.4.
I en klinisk studie på patienter med atopisk dermatit utvärderades dupilumabs effekter på CYP-substrats farmakokinetik (PK). Insamlade data indikerade inte några kliniskt relevanta effekter av dupilumab på aktiviteten av CYP1A2, CYP3A, CYP2C19, CYP2D6 eller CYP2C9.
Det förväntas inte att dupilumab har någon effekt på farmakokinetiken för samtidigt administrerade läkemedel. Baserat på populationsanalysen hade vanligen samadministrerade läkemedel inte någon effekt på farmakokinetiken för dupilumab hos patienter med måttlig till svår astma.
Graviditet
Det finns begränsat med data från användning av dupilumab hos gravida kvinnor. Djurstudier indikerar inte några direkta eller indirekta skadliga effekter avseende reproduktiv toxicitet (se avsnitt 5.3).
Dupilumab ska användas under graviditet endast om den potentiella nyttan överväger de potentiella riskerna för fostret.
Amning
Det är okänt om dupilumab utsöndras i bröstmjölk eller absorberas systemiskt efter intag. Ett beslut angående avslutande av amning eller dupilumab-behandling måste tas med hänsyn till nyttan med amning för barnet jämfört med nyttan med behandling för kvinnan.
Fertilitet
Djurstudier visade ingen försämring av fertiliteten (se avsnitt 5.3).
Dupilumab har ingen eller försumbar effekt på förmågan att framföra fordon och använda maskiner.
Sammanfattning av säkerhetsprofilen
De vanligaste biverkningarna vid atopisk dermatit, astma och kronisk rinosinuit med näspolyper var reaktioner vid injektionsstället (inkluderar erytem, ödem, pruritus, smärta och svullnad), konjunktivit, allergisk konjunktivit, artralgi, oral herpes och eosinofili. En ytterligare biverkning i form av blåmärke eller hematom vid injektionsstället rapporterades vid eosinofil esofagit, KOL och kronisk spontan urtikaria. Ytterligare biverkningar i form av förhårdnad vid injektionsstället och dermatit vid injektionsstället rapporterades vid KOL och kronisk spontan urtikaria. Ytterligare biverkningar i form av utslag vid injektionsstället rapporterades vid KOL. Sällsynta fall av serumsjuka, serumsjukeliknande reaktion, anafylaktisk reaktion och ulcerös keratit har rapporterats (se avsnitt 4.4).
Tabell över biverkningar
De säkerhetsdata för dupilumab som presenteras i tabell 8 erhölls huvudsakligen från 12 randomiserade, placebokontrollerade studier hos patienter med atopisk dermatit, astma och kronisk rinosinuit med näspolyper. I dessa studier behandlades 4206 patienter med dupilumab och 2326 patienter med placebo under kontrollperioden, och de representerar den allmänna säkerhetsprofilen för dupilumab.
I tabell 8 listas de biverkningar som observerades i kliniska studier och/eller efter marknadsintroduktion, indelat efter organsystem och frekvens, och delas in enligt följande: mycket vanliga (≥ 1/10); vanliga (≥ 1/100, < 1/10), mindre vanliga (≥ 1/1 000, < 1/100), sällsynta (≥1/10 000, <1/1 000), mycket sällsynta (<1/10 000), ingen känd frekvens (kan inte beräknas från tillgängliga data). Inom varje frekvensgrupp presenteras biverkningarna efter fallande allvarlighetsgrad.
Tabell 8: Lista över biverkningar
*Ögonsjukdomar och oral herpes uppträdde främst i studier på atopisk dermatit.
†Frekvensen för ögonpruritus, blefarit och torra ögon var vanliga och ulcerös keratit mindre vanlig i studier på atopisk dermatit.
#Från rapportering efter marknadsintroduktion.
Beskrivning av utvalda biverkningar
Överkänslighet
Fall av anafylaktisk reaktion, angioödem och serumsjuka/serumsjukeliknande reaktion har rapporterats efter administrering av dupilumab (se avsnitt 4.4).
Konjunktivit och keratitrelaterade reaktioner
I atopisk dermatit-studier uppkom konjunktivit och keratit oftare hos patienter med atopisk dermatit som fick dupilumab jämfört med placebo. De flesta patienter med konjunktivit eller keratit återhämtade sig eller återhämtade sig under behandlingsperioden. I den öppna utvidgade långtidsstudien med patienter med atopisk dermatit (AD-1225) var frekvensen konjunktivit och keratit efter 5 år liknande den i dupilumab-armen i de placebokontrollerade atopisk dermatit-studierna. Bland astmapatienter och KOL-patienter var frekvensen av konjunktivit och keratit låg och i motsvarande nivå för dupilumab och placebo. Hos patienter med kronisk rinosinuit med näspolyper och prurigo nodularis var frekvensen av konjunktivit högre för dupilumab än med placebo, fastän lägre än vad som observerats hos patienter med atopisk dermatit. Bland patienter med eosinofil esofagit och kronisk spontan urtikaria var frekvensen av konjunktivit låg och på jämförbar nivå mellan dupilumab och placebogrupperna. Det rapporterades inga fall av keratit i utvecklingsprogrammet för kronisk rinosinuit med näspolyper, prurigo nodularis, eosinofil esofagit och kronisk spontan urtikaria (se avsnitt 4.4).
Eczema herpeticum
Eczema herpeticum rapporterades hos <1 % i dupilumab-grupperna och hos <1 % i placebogruppen i 16-veckors monoterapi-studierna på vuxna vid atopisk dermatit. I den 52-veckors dupilumab + TCS-studien på vuxna vid atopisk dermatit rapporterades eczema herpeticum hos 0,2 % i gruppen med dupilumab + TCS och hos 1,9 % i gruppen med placebo + TCS. Dessa frekvenser var stabila över 5 år i den öppna utvidgade långtidsstudien (AD-1225).
Eosinofili
Dupilumab-behandlade patienter hade en större genomsnittlig initial ökning från baslinjen i eosinofilantal jämfört med patienter behandlade med placebo i indikationerna atopisk dermatit, astma, kronisk rinosinuit med näspolyper, KOL och kronisk spontan urtikaria. Eosinofilantalet sjönk till nära baslinjenivåerna under studiebehandling och återgick till baslinjen under den öppna förlängda säkerhetsstudien på astma (TRAVERSE). De genomsnittliga nivåerna av eosinofiler i blod minskade till under baslinjen till vecka 20 och bibehölls upp till 5 år i den öppna utvidgade långtidsstudien (AD-1225). Jämfört med placebo sågs ingen ökning i det genomsnittliga antalet eosinofiler i blod vid prurigo nodularis (PRIME och PRIME2). Medel- och mediannivåerna av eosinofiler i blod sjönk till nära baslinjenivåerna eller bibehölls under baslinjenivåerna vid eosinofil esofagit och KOL (BOREAS och NOTUS) under studiebehandling.
Behandlingsframkallad eosinofili (≥ 5000 celler/µl) observerades hos < 3 % för de patienter som behandlades med dupilumab och <0,5 % för placebobehandlade patienter (SOLO1-, SOLO2-, AD-1021-, DRI12544-, QUEST- och VOYAGE-studierna; SINUS-24 och SINUS-52, PRIME- och PRIME2-studierna, TREET del A- och B-studierna: BOREAS och NOTUS; CUPID-studierna A, B och C).
Behandlingsframkallad eosinofili (≥ 5000 celler/µl) observerades hos 8,4 % för de patienter som behandlades med dupilumab och 0 % för placebobehandlade patienter i studien AD-1539, med medianantal eosinofiler som sjönk till under baslinjen i slutet av behandlingsperioden.
Infektioner
I de 16 veckor långa kliniska monoterapistudierna på vuxna med atopisk dermatit rapporterades allvarliga infektioner hos 1,0 % av patienterna som behandlades med placebo och 0,5 % av patienterna som behandlades med dupilumab. I 52-veckors studien CHRONOS på vuxna med atopisk dermatit rapporterades allvarliga infektioner hos 0,6 % av patienterna som behandlades med placebo och 0,2 % av patienterna som behandlades med dupilumab. Frekvensen allvarliga infektioner var stabila efter 5 år i den öppna utvidgade långtidsstudien (AD-1225).
Ingen ökning i total incidens av infektioner observerades för dupilumab jämfört med placebo i säkerhetssammanställningen av kliniska studier på astma. I 24-veckors säkerhetssammanställningen rapporterades allvarliga infektioner hos 1,0 % av patienterna som behandlades med dupilumab och hos 1,1 % av patienterna som behandlades med placebo. I 52-veckors studien QUEST rapporterades allvarliga infektioner hos 1,3 % av patienterna som behandlades med dupilumab och hos 1,4 % av patienterna som behandlades med placebo.
Ingen ökning i total incidens av infektioner observerades för dupilumab jämfört med placebo i säkerhetssammanställningen av kliniska studier av kronisk rinosinuit med näspolyper.
I 52-veckors studien SINUS-52 rapporterades allvarliga infektioner hos 1,3 % av patienterna som behandlades med dupilumab och hos 1,3 % av patienterna som behandlades med placebo.
Ingen ökning i total incidens av infektioner observerades för dupilumab jämfört med placebo i säkerhetssammanställningen av kliniska studier av prurigo nodularis. I säkerhetssammanställningen rapporterades allvarliga infektioner hos 1,3 % av patienterna som behandlades med dupilumab och hos 1,3 % av patienterna som behandlades med placebo.
Den totala incidensen av infektioner var numeriskt högre med dupilumab (32,0 %) jämfört med placebo (24,8 %) i 24-veckors säkerhetssammanställningen för TREET-studierna (del A och B) på eosinofil esofagit. Den totala incidensen av infektioner var numeriskt högre med placebo (41,2 %) jämfört med dupilumab (35,8 %) i studien EoE KIDS (del A) på eosinofil esofagit. I 24-veckors säkerhetssammanställningen för TREET-studierna (del A och B) på eosinofil esofagit rapporterades allvarliga infektioner hos 0,5 % av patienterna som behandlades med dupilumab och hos 0 % av patienterna som behandlades med placebo. Inga allvarliga infektioner rapporterades i studien EoE KIDS (del A). Övre luftvägsinfektioner som omfattade flera termer (inklusive, men inte begränsat till; covid-19, sinuit och övre luftvägsinfektion) var numeriskt högre med dupilumab (17,2 %) jämfört med placebo (10,3 %) i TREET-studierna (del A och B) på eosinofil esofagit och med dupilumab (26,9 %) jämfört med placebo (20,6 %) i studien EoE KIDS (del A).
Ingen ökning i den totala incidensen av infektioner observerades med dupilumab jämfört med placebo i säkerhetssammanställningen för kliniska studier av KOL. Allvarliga infektioner rapporterades hos 4,9 % av patienterna som behandlades med dupilumab och hos 4,8 % av patienterna som behandlades med placebo.
I säkerhetssammanställningen för CUPID-studierna (A, B och C) observerades ingen ökning i den totala incidensen av infektioner med dupilumab jämfört med placebo. I säkerhetssammanställningen observerades allvarliga infektioner hos 0,5 % av patienterna som behandlades med dupilumab och hos 0,5 % av patienterna som behandlades med placebo. Inga allvarliga infektioner observerades hos barn som behandlades med dupilumab i studien PKM16982.
Immunogenicitet
Som för alla terapeutiska proteiner finns risk för immunogenicitet med dupilumab.
ADA (anti-läkemedelsantikropp) svar associerades generellt sett inte med påverkan på dupilumabs exponering, säkerhet eller effekt.
Ungefär 5 % av patienterna med atopisk dermatit, astma eller kronisk rinosinuit med näspolyper som fick dupilumab 300 mg varannan vecka i 52 veckor utvecklade ADA mot dupilumab; ungefär 2 % uppvisade beständigt ADA-svar och ungefär 2 % hade neutraliserande antikroppar. Liknande resultat sågs hos vuxna patienter med prurigo nodularis som fick dupilumab 300 mg varannan vecka i 24 veckor, pediatriska patienter (6 månader till 11 år) med atopisk dermatit som fick antingen dupilumab 200 mg varannan vecka, 200 mg var fjärde vecka, eller 300 mg var fjärde vecka i 16 veckor och för patienter (6 till 11 år) med astma som fick dupilumab 100 mg varannan vecka eller 200 mg varannan vecka i 52 veckor. Liknande ADA-svar sågs hos vuxna patienter med atopisk dermatit som behandlades med dupilumab i upp till 5 år i den öppna utvidgade långtidsstudien (AD-1225).
Ungefär 16 % av ungdomarna med atopisk dermatit som fick dupilumab 300 mg eller 200 mg varannan vecka i 16 veckor utvecklade antikroppar mot dupilumab; ungefär 3 % uppvisade beständigt ADA-svar, och ungefär 5 % hade neutraliserande antikroppar.
Ungefär 9 % av patienterna med astma som fick dupilumab 200 mg varannan vecka i 52 veckor utvecklade antikroppar mot dupilumab; ungefär 4 % uppvisade beständigt ADA-svar och ungefär 4 % hade neutraliserande antikroppar.
Ungefär 1 % av patienterna i åldern 1 år och äldre med eosinofil esofagit som behandlades med dupilumab 300 mg varje vecka (≥ 40 kg), 300 mg varannan vecka (≥ 30 till < 60 kg), 200 mg varannan vecka (≥ 15 till < 30 kg), eller 100 mg varannan vecka (≥ 5 till < 15 kg) i 52 veckor utvecklade antikroppar mot dupilumab; ADA-svaren var varken beständiga eller neutraliserande.
Ungefär 8 % av patienterna med KOL som fick dupilumab 300 mg varannan vecka i 52 veckor utvecklade antikroppar mot dupilumab; ungefär 3 % uppvisade beständigt ADA-svar och ungefär 3 % hade neutraliserande antikroppar.
Ungefär 4,7 % av vuxna patienter med kronisk spontan urtikaria som fick dupilumab 300 mg varannan vecka och unga patienter med kronisk spontan urtikaria som fick dupilumab 300 mg eller 200 mg varannan vecka i 24 veckor utvecklade antikroppar mot dupilumab; ungefär 0,5 % uppvisade beständigt ADA-svar och ungefär 1 % hade neutraliserande antikroppar. Inga pediatriska patienter (2 till 11 år) med kronisk spontan urtikaria som fick dupilumab 200 mg var fjärde vecka, 300 mg var fjärde vecka eller 200 mg varannan vecka i 24 veckor utvecklade positivt ADA-svar på dupilumab.
Oavsett ålder eller population var upp till 7 % av patienterna i placebogrupperna positiva för antikroppar mot dupilumab; upp till 3 % uppvisade beständigt ADA-svar och upp till 2 % hade neutraliserande antikroppar.
Mindre än 1 % av patienterna som fick dupilumab enligt godkända dosscheman uppvisade höga nivåer av ADA-svar associerat med minskad exponering och effekt. Dessutom fick en patient serumsjuka och en serumsjukeliknande reaktion (<0,1 %) som var associerat med höga ADA-nivåer (se avsnitt 4.4).
Pediatrisk population
Atopisk dermatit
Ungdomar (12 till 17 år)
Säkerheten hos dupilumab utvärderades i en studie på 250 patienter i åldern 12 till 17 år med måttlig till svår atopisk dermatit (AD-1526). Säkerhetsprofilen för dupilumab hos dessa patienter följdes upp vecka 16 och var jämförbar med den säkerhetsprofil från studier på vuxna med atopisk dermatit.
Barn 6 till 11 år
Säkerheten hos dupilumab utvärderades i en studie på 367 patienter i åldern 6 till 11 år med svår atopisk dermatit (AD-1652). Säkerhetsprofilen för dupilumab med samtidig TCS hos dessa patienter följdes upp vecka 16 och var jämförbar med säkerhetsprofilen från studier på vuxna och ungdomar med atopisk dermatit.
Barn 6 månader till 5 år
Säkerheten hos dupilumab med samtidig TCS utvärderades i en studie på 161 patienter i åldern 6 månader till 5 år med måttlig till svår atopisk dermatit, inklusive en subgrupp av 124 patienter med svår atopisk dermatit (AD-1539). Säkerhetsprofilen för dupilumab med samtidig TCS hos dessa patienter följdes upp vecka 16 och var jämförbar med säkerhetsprofilen från studier på vuxna och pediatriska patienter i åldern 6 till 17 år med atopisk dermatit.
Atopisk dermatit på händer och fötter
Säkerheten hos dupilumab utvärderades hos 27 pediatriska patienter i åldern 12 till 17 år med måttlig till svår atopisk dermatit på händer och fötter (AD-1924). Säkerhetsprofilen för dupilumab hos dessa patienter följdes upp vecka 16 och överensstämde med säkerhetsprofilen från studier på vuxna och pediatriska patienter i åldern 6 månader och äldre med måttlig till svår atopisk dermatit.
Astma
Ungdomar (12 till 17 år)
Totalt 107 ungdomar i åldern 12 till 17 år med astma inkluderades i den 52-veckor långa studien QUEST. Observerad säkerhetsprofil liknade den hos vuxna.
Den långsiktiga säkerheten för dupilumab bedömdes på 89 ungdomar som inkluderades i en öppen förlängningsstudie på måttlig till svår astma (TRAVERSE). I denna studie följdes patienter i upp till 96 veckor. Säkerhetsprofilen för dupilumab i TRAVERSE överensstämde med den säkerhetsprofil som observerades i pivotala astmaundersökningar med upp till 52 veckors behandling.
Barn 6 till 11 år
Hos barn i åldern 6 till 11 år med måttlig till svår astma (VOYAGE) rapporterades även biverkningen enterobiasis hos 1,8 % (5 patienter) i dupilumabgruppen och ingen i placebogruppen. Alla fall av enterobiasis var lindriga till måttliga och patienter återhämtade sig med antihelmintbehandling utan att behandlingen med dupilumab avbröts.
Hos barn i åldern 6 till 11 år med måttlig till svår astma rapporterades eosinofil (blodeosinofiler ≥ 3000 celler/µl eller som av prövaren bedömd som en biverkning) i 6,6 % av dupilumabgruppen och 0,7 % i placebogruppen. De flesta fall av eosinofili var milda till måttliga och inte associerade med kliniska symtom. Dessa fall var övergående, minskade med tiden och ledde inte till att behandlingen med dupilumab avbröts.
Den långsiktiga säkerheten för dupilumab bedömdes i en öppen förlängningsstudie (EXCURSION) på barn 6 till 11 år med måttlig till svår astma som tidigare hade deltagit i VOYAGE. Av de 365 patienter som inkluderades i EXCURSION fullföljde 350 patienter en 52 veckors behandling och 228 patienter en kumulativ behandling i 104 veckor (VOYAGE och EXCURSION). Den långsiktiga säkerhetsprofilen för dupilumab i EXCURSION överensstämde med den säkerhetsprofil som observerades i den pivotala astmastudien (VOYAGE) vid 52 veckors behandling.
Eosinofil esofagit
Ungdomar (12 till 17 år)
Totalt 99 ungdomar i åldern 12 till 17 år med eosinofil esofagit inkluderades i TREET-studierna (del A och B). Den observerade säkerhetsprofilen var liknande den som setts hos vuxna.
Barn 1 till 11 år
Säkerheten för dupilumab utvärderades i en studie på 101 barn i åldern 1 till 11 år med eosinofil esofagit (EoE KIDS del A). Säkerhetsprofilen för dupilumab hos dessa patienter följdes upp vecka 16 och var liknande den som setts hos vuxna och ungdomar i åldern 12 till 17 år med eosinofil esofagit.
Totalt 98 patienter som fullföljde del A erbjöds möjlighet till att delta i en 36-veckors förlängningsstudie med aktiv behandling (EoE KIDS del B). Säkerhetsprofilen för dupilumab till och med vecka 52 var likartad med säkerhetsprofilen observerad vid vecka 16.
Kronisk spontan urtikaria
Ungdomar (12 till 17 år)
Säkerheten för dupilumab utvärderades hos 12 ungdomar i åldern 12 till 17 år med kronisk spontan urtikaria som deltog i CUPID (studie A, B och C). En biverkning rapporterades hos en ung patient som behandlades med dupilumab.
Barn (2 till 11 år)
Säkerheten för dupilumab utvärderades hos 18 barn i åldern 2 till 11 år med kronisk spontan urtikaria som deltog i PKM16982 och CUPID (studierna A och C). Dessa data stämde generellt sett överens med säkerhetsprofilen som observerades hos patienter med kronisk spontan urtikaria som behandlades med dupilumab.
Långsiktig säkerhet
Atopisk dermatit
Säkerhetsprofilen för dupilumab + TCS (CHRONOS) hos vuxna patienter med atopisk dermatit under vecka 52 överensstämde med säkerhetsprofilen som observerades vecka 16. Den långsiktiga säkerheten hos dupilumab bedömdes i en öppen förlängningsstudie på patienter i åldern 6 månader till 17 år med måttlig till svår atopisk dermatit (AD-1434). Säkerhetsprofilen för dupilumab hos patienter som följdes upp vecka 52 liknade säkerhetsprofilen som observerades vecka 16 i studierna AD-1526, AD-1652 och AD-1539. Den långsiktiga säkerhetsprofilen för dupilumab hos barn och ungdomar överensstämde med det som ses hos vuxna med atopisk dermatit.
I en öppen utvidgad multicenter-fas 3-studie (AD-1225) studerades långtidssäkerhet för upprepad dosering av dupilumab i 2 677 vuxna med måttlig till svår atopisk dermatit, med dosen 300 mg per vecka (99,7 %) varav 179 fullföljde minst 260 studieveckor. Säkerhetsprofilen för långtidsdata på upp till 5 år från denna studie stämde generellt sett överens med säkerhetsdata för dupilumab från kontrollerade studier.
Astma
Säkerhetsprofilen för dupilumab i den 96 veckor långa säkerhetsstudien (TRAVERSE) överensstämde med säkerhetsprofilen som observerades i pivotala astmastudier vid upp till 52-veckors behandling.
Säkerhetsprofilen för dupilumab hos barn 6 till 11 år med astma som deltog i den långsiktiga säkerhetsstudien på 52 veckor (EXCURSION) överensstämde med den säkerhetsprofil som observerades i den pivotala astmastudien (VOYAGE) vid 52 veckors behandling.
Kronisk rinosinuit med näspolyper
Säkerhetsprofilen för dupilumab hos vuxna med kronisk rinosinuit med näspolyper under vecka 52 överensstämde med säkerhetsprofilen observerad vid vecka 24.
Eosinofil esofagit
Säkerhetsprofilen för dupilumab till och med vecka 52 hos vuxna och ungdomar i åldern 12 år och äldre (TREET del C) och hos barn i åldern 1 till 11 år (EoE KIDS del B) överensstämde i allmänhet med säkerhetsprofilen observerad vid vecka 24 i TREET del A och B och vid vecka 16 i EoE KIDS del A.
Rapportering av misstänkta biverkningar
Det finns ingen specifik behandling mot dupilumab-överdos. I fall av överdos, övervaka patienten noga med avseende på tecken och symtom på biverkningar och sätt in på lämplig symtomatisk behandling omedelbart.
Hos vuxna och ungdomar med astma minskade FeNO markant och i cirkulationen minskade koncentrationer av de typ 2-biomarkörer som utvärderades i kliniska prövningar, eotaxin-3, total IgE, allergenspecifik IgE, TARC och periostin, signifikant vid behandling med dupilumab jämfört med placebo. Dessa reduktioner av typ 2-inflammatoriska biomarkörer var likvärdiga för regimerna 200 mg varannan vecka och 300 mg varannan vecka. Hos barn (6 till 11 år) med astma minskade FeNO markant och i cirkulationen minskade koncentrationer av de typ 2-biomarkörer som utvärderades i kliniska prövningar, total IgE, allergenspecifik IgE och TARC, signifikant vid behandling med dupilumab jämfört med placebo. Dessa markörer uppnådde nästan maximal reduktion efter 2 veckors behandling, förutom IgE som avtog långsammare. Dessa effekter kvarstod under hela behandlingen.
Hos patienter med KOL minskade typ 2-biomarkörer, inklusive FeNO och total IgE, vid behandling med dupilumab jämfört med placebo. Minskningarna av FeNO observerades senast vecka 4. Dessa effekter på typ 2-biomarkörer bibehölls under hela behandlingen med dupilumab.
Klinisk effekt och säkerhet vid atopisk dermatit
Vuxna med atopisk dermatit
Effekt och säkerhet av dupilumab som monoterapi och med samtidig behandling med topikala kortikosteroider utvärderades i tre pivotala randomiserade, dubbelblinda, placebokontrollerade studier (SOLO 1, SOLO 2 och CHRONOS) hos 2119 patienter över 18 års ålder med måttlig till svår atopisk dermatit (AD) definierat som Investigator’s Global Assessment (IGA)-poäng ≥3, Eczema Area and Severity Index (EASI)-poäng ≥16, och en minsta påverkad hudyta (BSA) på ≥10 %. Patienter som inkluderades i de tre studierna hade tidigare svarat otillräckligt på topikal behandling.
I alla tre studierna fick patienterna subkutana (s.c.) injektioner av dupilumab administrerat som antingen 1) en initial dos på 600 mg dupilumab (två 300 mg-injektioner) dag 1 följt av 300 mg en gång varannan vecka, eller 2) en initial dos på 600 mg dupilumab dag 1 följt av 300 mg en gång per vecka, eller 3) motsvarande placebo. Vid behov av kontroll av intolerabla symtom av atopisk dermatit tilläts patienterna undsättningsbehandling (som inkluderade mer potenta topikala steroider eller systemiska immunsuppressiva produkter) efter bedömning av prövaren. De patienter som behövde undsättningsbehandling ansågs inte svara på behandling med dupilumab.
Effektmått
I alla de tre pivotala studierna var de primära deleffektmåtten andelen patienter med IGA 0 eller 1 (”symtomfri” eller ”nästan symtomfri”) med en minskning på ≥2 poäng på en IGA-skala 0-4, och andelen patienter med en förbättring på minst 75 % i EASI (EASI-75). De huvudsakliga sekundära och andra kliniskt relevanta sekundära effektmått visas i tabell 9.
Karaktäristika vid studiestart
I monoterapistudierna (SOLO 1 och SOLO 2) var för alla behandlingsgrupper genomsnittlig ålder 38,3 år, genomsnittlig vikt 76,9 kg, 42,1 % var kvinnor, 68,1 % var vita, 21,8 % var asiater och 6,8 % var svarta. I dessa studier hade 51,6 % av patienterna IGA-poäng 3 vid baslinjen (måttlig AD), 48,3 % hade IGA-poäng 4 vid baslinjen (svår AD) och 32,4 % av patienterna hade tidigare fått systemisk immunsuppressiv behandling. Medelvärde vid baslinjen för EASI var 33,0, medelvärde per vecka för pruritus-NRS (Numerical Rating Scale) var 7,4, medelpoäng vid baslinjen för POEM var 20,5, medelvärde vid baslinjen för DLQI var 15,0 och medelvärde vid baslinjen för HADS totalpoäng var 13,3.
I studien med samtidig medicinering med TCS (CHRONOS) var för alla behandlingsgrupper genomsnittlig ålder 37,1 år, genomsnittlig vikt 74,5 kg, 39,7 % var kvinnor, 66,2 % var vita, 27,2 % var asiater och 4,6 % var svarta. I denna studie hade 53,1 % av patienterna IGA-poäng 3 vid baslinjen, 46,9 % av patienterna hade IGA-poäng 4 och 33,6 % av patienterna hade tidigare fått systemisk immunsuppressiv behandling. Medelvärde vid baslinjen för EASI var 32,5, medelvärde per vecka för pruritus-NRS var 7,3, medelpoäng vid baslinjen för POEM var 20,1, medelpoäng vid baslinjen för DLQI var 14,5 och medelvärde vid baslinjen för HADS totalpoäng var 12,7.
Kliniskt svar
16-veckors monoterapistudier (SOLO 1 och SOLO 2) och en 52-veckorsstudie med samtidig TCS-behandling (CHRONOS)
I SOLO 1, SOLO 2 och CHRONOS, från baslinjen till vecka 16, fick en signifikant större andel av de patienter som randomiserats till dupilumab IGA-poäng på 0 eller 1, EASI-75 och/eller en förbättring med ≥4 poäng i pruritus-NRS (huvudsakligt sekundärt effektmått) jämfört med placebo (se tabell 9).
En signifikant större andel av de patienter som randomiserats till dupilumab ensamt eller tillsammans med TCS fick en snabb förbättring i pruritus-NRS jämfört med placebo eller placebo + TCS (definierat som ≥4 poängs förbättring så tidigt som vecka 2, p < 0,01 respektive p < 0,05).
En bestående behandlingseffekt av dupilumab observerades i CHRONOS-studien upp till vecka 52 (se tabell 9).
Effektresultaten för primära deleffektmått, huvudsakliga sekundära effektmått och andra kliniskt relevanta sekundära effektmått för alla tre studier visas i tabell 9.
Tabell 9: Effektresultat för dupilumab monoterapi vid vecka 16 (FAS) och med samtidig TCSa vid vecka 16 och vecka 52
LS = minsta kvadrat; SE= standardfel
aAlla patienter fick topikala kortikosteroider som bakgrundsbehandling och patienterna tilläts använda topikala kalcineurinhämmare.
bFullt analysset (FAS) inkluderar alla randomiserade patienter.
cSvarande definierades som en patient med IGA 0 eller 1 (”symtomfri” eller ”nästan symtomfri”) med minskning på ≥ 2 poäng på en IGA-skala 0–4.
dPatienter som fick undsättningsbehandling eller saknade data ansågs som ej svarande.
eAntal patienter med pruritus-NRS-poäng ≥ 4 vid baslinjen som nämnare.
fEn signifikant större andel patienter behandlade med dupilumab fick förbättring i pruritus-NRS-poäng på ≥ 4 jämfört med placebo vid vecka 2 (p < 0,01).
gp-värde < 0,0001, statistiskt signifikant jämfört med placebo efter justering för multiplicitet.
hFullt analysset (FAS), inkluderar alla randomiserade patienter. FAS vecka 52 inkluderar alla patienter som randomiserats minst ett år innan datum för primäranalys.
inominellt p-värde = 0,0005
jnominellt p-värde < 0,0001
I SOLO1, SOLO2 och CHRONOS observerades liknande resultat hos patienter som fick dupilumab 300 mg en gång per vecka.
Figur 1a och Figur 1b visar medelförändringen i procent från baslinjen i EASI respektive medelförändringen i procent från baslinjen i NRS fram till vecka 16 i SOLO1 och SOLO2.
Figur 2a och Figur 2b visar medelförändringen i procent från baslinjen i EASI respektive medelförändringen i procent från baslinjen i NRS fram till vecka 52 i CHRONOS.
LS = minsta kvadrat
a I primäranalysen av effektmåtten ansågs de patienter som fick undsättningsbehandling eller som saknade data som ej svarande.
b Fullt analysset (FAS), inkluderar alla randomiserade patienter.
Figur 2: Medelprocentändring från baslinjen i EASI och pruritus-NRS i CHRONOSa (FAS vecka 52)b
LS = minsta kvadrat
a I primäranalysen av effektmåtten ansågs de patienter som fick undsättningsbehandling eller som saknade data som ej svarande.
b FAS vecka 52 inkluderar alla patienter som randomiserats minst ett år innan datum för primäranalys.
Behandlingseffekter i subgrupper (vikt, ålder, kön, etnicitet, bakgrundsbehandling inklusive immunsuppressiv behandling) i SOLO 1, SOLO 2 och CHRONOS var i enlighet med resultaten i hela studiepopulationen inom alla dessa studier.
Kliniskt svar hos patienter som inte är tillräckligt välkontrollerade med, inte tål eller inte bör använda ciklosporin (CAFE-studien)
CAFE-studien utvärderade effekten av dupilumab jämfört med placebo under en 16-veckors behandlingsperiod, administrerat med samtidig TCS i vuxna patienter med AD som inte är tillräckligt välkontrollerade med eller inte tål oralt ciklosporin, eller när denna behandling för närvarande är kontraindicerad eller inte medicinsk lämplig.
Totalt 325 patienter inkluderades, där 210 patienter som tidigare exponerats för ciklosporin och 115 patienter som aldrig exponerats för ciklosporin på grund av att ciklosporinbehandling inte var medicinskt lämpligt. Medelåldern var 38,4 år, 38,8 % var kvinnor, medelpoäng för EASI vid baslinjen var 33,1, medel-BSA var 55,7, veckogenomsnittet för pruritus-NRS var 6,4 vid baslinjen, och medel-DLQI var vid baslinjen 13,8.
Det primära effektmåttet (andelen patienter med EASI-75) och de sekundära effektmåtten i 16-veckors CAFE-studien summeras i tabell 10.
Tabell 10: Resultat för primära och sekundära effektmått i CAFE-studien
(alla p-värden < 0,0001, statistiskt signifikant jämfört med placebo efter justering för multiplicitet.)
I subgruppen av patienter i 52 veckors CHRONOS studien som liknade CAFE studiepopulationen uppnådde 69,6 % av patienterna med 300 mg dupilumab varannan vecka EASI-75 jämfört med 18,0 hos placebogruppen vecka 16, och 52,4 % av gruppen med 300 mg dupilumab varannan vecka jämfört med 18,6 % hos placebogruppen vecka 52. I denna subgrupp, var procentändringen för pruritus-NRS från baslinjen -51,4 % vs -30,2 % vecka 16 och -54,8 % vs -30,9 % vecka 52 för gruppen med 300 mg dupilumab varannan vecka respektive placebogruppen.
Vidhållande och varaktighet av behandlingssvar (SOLO CONTINUE studien)
För att utvärdera vidhållande och varaktighet av behandlingssvar, randomiserades de försökspersoner som behandlats med dupilumab i 16 veckor i studierna SOLO 1 och SOLO 2 och som uppnådde IGA 0 eller 1 och EASI-75 till studien SOLO CONTINUE med ytterligare 36 veckors behandling med dupilumab eller placebo, till en kumulativ 52-veckorsbehandling. Effektmåtten utvärderades vecka 51 eller 52.
De primära deleffektmåtten var procentuell förändring i EASI mellan baslinjen (vecka 0) och vecka 36 från SOLO 1 och SOLO 2 studiernas baslinje samt procentandel patienter med EASI-75 vecka 36 som hade EASI-75 vid baslinje.
Patienter som fortsatte med samma doseringsregim som i SOLO 1 och SOLO 2 studierna (300 mg en gång varannan vecka eller 300 mg en gång per vecka) uppvisade optimalt vidhållande av klinisk effekt, medan effekten av andra doseringsregimer uppvisade en dosrelaterad minskning.
Resultat av primära och sekundära effektmått i 52-veckors SOLO CONTINUE studien summeras i tabell 11.
Tabell 11: Resultat av primära och sekundära effektmått i SOLO CONTINUE studien
†p-värde < 0,05, *p-värde < 0,01, **p-värde < 0,001, ***p-värde ≤ 0,0001 (alla statistiskt signifikanta jämfört med placebo efter justering för multiplicitet.)
I SOLO CONTINUE observerades en trend för ökad behandlingsutlöst ADA-positivitet med ökat doseringsintervall. Behandlingsutlöst ADA: behandling en gång per vecka: 1,2%; varannan vecka: 4,3 %; var 4:e vecka: 6,0 %; var 8:e vecka: 11,7 %. ADA respons som varade i över 12 veckor: behandling en gång per vecka: 0,0 %; varannan vecka: 1,4 %; var 4:e vecka: 0,0 %; var 8:e vecka: 2,6 %.
Livskvalitet/patientrapportering av utfall vid atopisk dermatit
I båda monoterapistudierna (SOLO 1 och SOLO 2) förbättrades patientrapporterade symtom och påverkan av AD på sömn, ångest- och depressionssymtom mätt med HADS, och hälsorelaterad livskvalitet för båda dosgrupperna (300 mg dupilumab varannan vecka och varje vecka), mätt vecka 16 som totalpoäng av POEM och DLQ1 jämfört med placebo (se tabell 12).
I studien med samtidig medicinering med TCS (CHRONOS) förbättrades patientrapporterade symtom och påverkan av AD på sömn och hälsorelaterad livskvalitet på liknande sätt för båda dosgrupperna (300 mg dupilumab varannan vecka + TCS och 300 mg dupilumab varje vecka + TCS), mätt vecka 52 som totalpoäng av POEM och DLQ1 jämfört med placebo + TCS (se tabell 12).
Tabell 12: Ytterligare resultat av sekundära effektmått för dupilumab monoterapi vecka 16 och med samtidig användning av TCS vecka 16 och vecka 52
LS = minsta kvadrat; SE = standardfel
ap-värde < 0,0001, bp-värde < 0,001, cp-värde < 0,05 (alla statistiskt signifikanta jämfört med placebo efter justering för multiplicitet)
dAntalet patienter med pruritus mätt enligt DLQI, POEM och HADS vid baslinjen som nämnare.
enominellt p-värde < 0,05, fnominellt p-värde < 0,0001, gnominellt p-värde < 0,001
I SOLO1, SOLO2 och CHRONOS observerades liknande resultat hos patienter som fick Dupilumab 300 mg en gång per vecka.
Ungdomar med atopisk dermatit (12 till 17 år)
Effekten och säkerheten för monoterapi av dupilumab hos ungdomar utvärderades i en multicenter, randomiserad, dubbelblind, placebokontrollerad studie (AD-1526) hos 251 ungdomar i åldern 12 till 17 år med måttlig till svår atopisk dermatit (AD), definierad av Investigator’s Global Assessment (IGA) poäng ≥ 3 i den övergripande bedömningen av AD-skador i svårighetsgraden 0 till 4, ett Eczema Area and Severity Index (EASI) poäng ≥16 på en skala från 0 till 72, och ett minimum av kroppsytor (BSA) med ≥10 %. Patienter som inkluderades i denna studie hade tidigare otillräckligt svar på topikal medicinering.
Patienterna fick subkutana (s.c.) injektioner av dupilumab administrerat som antingen: 1) en initial dos på 400 mg dupilumab (två 200 mg injektioner) på dag 1 följt av 200 mg varannan vecka för patienter med en baslinjevikt på <60 kg eller en initial dos på 600 mg dupilumab (två 300 mg injektioner) på dag 1 följt av 300 mg varannan vecka för patienter med baslinjevikt ≥ 60 kg; eller 2) En initial dos på 600 mg dupilumab (två 300 mg injektioner) på dag 1 följt av 300 mg var 4:e vecka oavsett kroppsvikten vid baslinjen; eller 3) matchande placebo. Om det behövdes för att kontrollera oacceptabla symtom, fick patienterna akutbehandling efter undersökarens bedömning. Patienter som fick akutbehandling betraktades som icke-svarande.
I denna studie var medelåldern 14,5 år, medianvikten var 59,4 kg, 41,0 % var kvinnor, 62,5 % var vita, 15,1 % var asiater och 12,0 % var svarta. Vid baslinjen hade 46,2% av patienterna en baslinje-IGA-poäng på 3 (måttlig AD), 53,8 % av patienterna hade en baslinje-IGA på 4 (svår AD), det genomsnittliga BSA-värdet var 56,5 %, och 42,4 % av patienterna hade tidigare fått systemiska immunsuppressiva medel. Även vid baslinjen var medelvärdet för Eczema Area and Severity Index (EASI) 35,5, basvärdet per vecka i genomsnitt för pruritus Numerical Rating Scale (NRS) var 7,6, medelvärdet vid baslinjen för Patient Oriented Eczema Measure (POEM) var 21,0 och medelvärdet vid baslinjen för Children Dermatology Life Quality Index (CDLQI) var 13,6. Totalt hade 92,0 % av patienterna minst ett samtidigt allergiskt tillstånd. 65,6 % hade allergisk rinit, 53,6 % hade astma och 60,8 % hade matallergier.
Det co-primära effektmåttet var andelen patienter med IGA 0 eller 1 ("symtomfri" eller "nästan symtomfri") minst en 2-poängsförbättring och andelen patienter med EASI-75 (förbättring av minst 75 % i EASI), från baslinjen till vecka 16.
Kliniskt svar
Effektresultaten vid vecka 16 i atopisk dermatitstudien hos ungdomar presenteras i tabell 13.
Tabell 13: Effektresultat av dupilumab i atopisk dermatitstudien hos ungdomar vid vecka 16 (FAS)
aFullt analysset (FAS) inkluderar alla randomiserade patienter.
bSvarande definierades som en patient med IGA 0 eller 1 (”symtomfri” eller ”nästan symtomfri”) med en minskning av ≥2 poäng i en 0-4 IGA-skala.
cPatienter som fick akutbehandling eller saknade data betraktades som icke-svarande (58,8 % och 20,7 % i placebo respektive dupilumab-armen).
dp–värde < 0,0001 (statistiskt signifikant jämfört med placebo efter justering för multiplicitet)
enominellt p-värde < 0,0001
En större andel patienter randomiserade till placebo behövde akutbehandling (topikala kortikosteroider, systemiska kortikosteroider eller systemiska icke-steroida immunsuppressiva medel) jämfört med gruppen dupilumab (58,8 % respektive 20,7 %).
En signifikant större andel patienter randomiserade till dupilumab uppnådde en snabb förbättring av pruritus NRS jämfört med placebo (definierad som ≥ 4-poängsförbättring så tidigt som vecka 4, nominell p <0,001) och andelen patienter som svarade på klåda NRS fortsatte att öka genom behandlingsperioden.
Dupilumab-gruppen förbättrade signifikant patientrapporterade symtom, påverkan av AD på sömn och hälsorelaterad livskvalitet, mätt med POEM och CDLQI-poäng vid 16 veckor jämfört med placebo.
Den långsiktiga effekten av dupilumab hos ungdomar med måttlig till svår AD som deltagit i tidigare kliniska prövningar av dupilumab bedömdes i en öppen förlängningsstudie (AD-1434). Effektdata från denna studie tyder på att den kliniska nyttan som sågs vid vecka 16 fortsatte genom vecka 52.
Pediatrisk population (6 till 11 år)
Effekt och säkerhet av dupilumab hos pediatriska patienter vid samadministrering med TCS utvärderades i en randomiserad, dubbelblind, placebokontrollerad multicenter-studie (AD-1652) med 367 personer i åldrarna 6 till 11 år, med svår AD definierat genom ett IGA-tal på 4 (skala från 0 till 4), ett EASI-tal ≥21 (skala från 0 till 72), och ett minsta påverkat BSA på ≥15 %. Deltagande patienter som uppfyllde kriterierna hade tidigare otillräckligt svar på topikal medicinering. Inkludering stratifierades genom vikt vid baslinjen (< 30 kg; ≥ 30 kg).
Patienter i gruppen med dupilumab varannan vecka + TCS med baslinje-vikt på <30 kg fick en initial dos om 200 mg dag 1, följt av 100 mg varannan vecka från vecka 2 till vecka 14, och patienter med baslinje-vikt ≥ 30kg fick en initial dos om 400 mg dag 1, följt av 200 mg varannan vecka från vecka 2 till vecka 14. Patienter i gruppen med dupilumab var fjärde vecka + TCS fick en initial dos om 600 mg dag 1, följt av 300 mg var fjärde vecka från vecka 4 till vecka 12, oavsett vikt.
I den här studien var genomsnittsåldern 8,5 år, medianvikt var 29,8 kg, 50,1 % av patienterna var flickor, 69,2 % var vita, 16,9 % var svarta och 7,6 % var asiatiska. Vid baslinjen var genomsnittligt påverkat BSA 57,6 % och 16,9 % hade tidigare fått systemisk icke-steroidal immunosuppresiv behandling. Vid baslinjen var genomsnittligt EASI-tal 37,9 och vecko-genomsnitt av daglig värst klåd-skala var 7,8, på en skala från 0-10, baslinjens genomsnittliga SCORAD-värde var 73,6, POEM-värde vid baslinjen var 20,9 och genomsnittligt CDLQI vid baslinjen var 15,1. Totalt hade 91,7 % av patienterna minst ett samtidigt allergiskt tillstånd; 64,4 % hade födoämnesallergi, 62,7 % hade andra allergier, 60,2 % hade allergisk rinit och 46,7 % hade astma.
Primärt co-effektmått var andelen patienter med IGA 0 eller 1 (”symtomfri” eller ”nästan symtomfri”) åtminstone en 2-punkters förbättring samt andelen patienter med EASI-75 (förbättring på minst 75 % i EASI) från baslinjen till vecka 16.
Kliniskt svar
Tabell 14 representerar resultatet vid baslinjens viktstrata för godkända dosscheman.
Tabell 14: Effektresultat av dupilumab med samtidig TCS i AD-1652 vid vecka 16 (FAS)a
aFullt analysset (FAS) inkluderar alla randomiserade patienter
bSvarande definierades som en patient med IGA 0 eller 1 (”symtomfri” eller ”nästan symtomfri”).
cPatienter som fick akutbehandling eller där data saknas ansågs som icke-svarande.
dVid dag 1 fick patienterna 600 mg dupilumab (se avsnitt 5.2).
eVid dag 1 fick patienterna 400 mg (baslinjevikt ≥30 kg) dupilumab.
fp-värde < 0,0001 (statistiskt signifikant jämfört med placebo efter justering för multiplicitet)
gnominella p-värden < 0,0001
hnominellt p-värde = 0,0002
En större andel av patienterna som randomiserats till dupilumab + TCS fick en förbättring av högsta pruritus-NRS jämfört med placebo + TCS (definierat som ≥4-punkters förbättring vid vecka 4).
Dupilumab-gruppen förbättrade signifikant patient-rapporterade symtom, påverkan av AD på sömn och hälsorelaterad livskvalitet mätt genom POEM och CDLQI-värden vid 16 veckor jämfört med placebo.
Långtidseffekten och säkerhetseffekten av dupilumab + TCS hos pediatriska patienter med måttlig till svår atopisk dermatit som deltagit i de tidigare kliniska studierna med dupilumab och TCS utvärderades i en öppen förlängningsstudie (AD-1434). Effektdata från denna studie tyder på att klinisk nytta vid vecka 16 kvarstår genom vecka 52. Vissa patienter som fick dupilumab 300 mg var fjärde vecka + TCS visade ytterligare klinisk nytta när de eskalerades till dupilumab 200 mg varannan vecka + TCS. Säkerhetsprofilen för dupilumab hos patienter följdes genom vecka 52 och liknade den säkerhetsprofil som observerades vid vecka 16 i AD-1526 och AD-1652 studierna.
Pediatrisk population (6 månader till 5 år)
Effekt och säkerhet av dupilumab + TCS hos pediatriska patienter utvärderades i en randomiserad, dubbelblind, placebokontrollerad multicenterstudie (AD-1539) med 162 patienter i åldrarna 6 månader till 5 år, med måttlig till svår AD (ITT-population) definierat genom ett IGA-tal på ≥ 3 (skala från 0 till 4), ett EASI-tal ≥ 16 (skala från 0 till 72), och ett minsta påverkat BSA på ≥ 10 %. Av de 162 patienterna hade 125 patienter svår AD definierat genom ett IGA-tal på 4. Deltagande patienter som uppfyllde kriterierna hade tidigare otillräckligt svar på topikal medicinering. Inkludering stratifierades genom vikt vid baslinjen (≥ 5 till < 15 kg och ≥ 15 till < 30 kg).
Patienter i gruppen med dupilumab var fjärde vecka + TCS med baslinjevikt på ≥ 5 till < 15 kg fick en initial dos om 200 mg dag 1, följt av 200 mg var fjärde vecka från vecka 4 till vecka 12, och patienter med baslinjevikt på ≥ 15 till < 30 kg fick en initial dos om 300 mg dag 1, följt av 300 mg var fjärde vecka från vecka 4 till vecka 12. Patienterna fick akutbehandling efter prövarens bedömning. Patienter som fick akutbehandling betraktades som icke-svarande.
I AD-1539 var genomsnittsåldern 3,8 år, medianvikt var 16,5 kg, 38,9 % av patienterna var flickor, 68,5 % var vita, 18,5 % var svarta och 6,2 % var asiatiska. Vid baslinjen var genomsnittligt påverkat BSA 58,4 % och 15,5 % hade tidigare fått systemisk icke-steroidal immunosuppressiv behandling. Vid baslinjen var genomsnittligt EASI-tal 34,1 och medelvärdet per vecka för poängen på skalan för daglig högsta pruritus var 7,6 på en skala från 0–10. Totalt hade 81,4 % av patienterna minst ett samtidigt allergiskt tillstånd; 68,3 % hade födoämnesallergi, 52,8 % hade andra allergier, 44,1 % hade allergisk rinit och 25,5 % hade astma.
Dessa sjukdomskarakteristika vid baslinjen var jämförbara mellan populationerna med måttlig till svår AD och svår AD.
Primärt co-effektmått var andelen patienter med IGA 0 eller 1 (”symtomfri” eller ”nästan symtomfri”, åtminstone en 2-punkters förbättring) samt andelen patienter med EASI-75 (förbättring på minst 75 % i EASI) från baslinjen till vecka 16. Primärt effektmått var andelen patienter med IGA 0 (symtomfri) eller 1 (nästan symtomfri) vid vecka 16.
Kliniskt svar
Tabell 15 visar effektresultat vid vecka 16 för AD-1539.
Tabell 15: Effektresultat av dupilumab med samtidig TCS i AD-1539 vid vecka 16 (FAS)a
aFullt analysset (FAS) inkluderar alla randomiserade patienter
bSvarande definierades som en patient med IGA 0 eller 1 (”symtomfri” eller ”nästan symtomfri”).
cPatienter som fick akutbehandling (62 % och 19 % i placeboarmen respektive dupilumabarmen) eller där data saknas ansågs som icke-svarande.
dVid dag 1 fick patienterna 200 mg (5 till < 15 kg) eller 300 mg (15 till < 30 kg) dupilumab.
ep–värden < 0,0001, fnominellt p-värde < 0,05, gnominellt p-värde < 0,0001, hnominellt p-värde < 0,005, inominellt p-värde < 0,001
*Resultat som rapporterats av vårdgivare
En signifikant större andel av patienterna som randomiserats till dupilumab + TCS fick en snabb förbättring av poängen på högsta pruritus-NRS jämfört med placebo + TCS (definierat som en förbättring med ≥ 4 poäng så tidigt som vecka 3, nominellt p-värde < 0,005) och andelen patienter som svarade på högsta pruritus-NRS fortsatte att öka under behandlingsperioden.
I denna studie förbättrade dupilumab signifikant hälsorelaterad livskvalitet mätt genom CDLQI-värden (hos 85 patienter i åldern 4 till 5 år) och IDQOL-värden (hos 77 patienter i åldern 6 månader till 3 år). I ITT-populationen observerades större LS genomsnittliga förändringar i CDLQI- och IDQOL-värden från baslinjen till vecka 16 i gruppen med dupilumab + TCS (-10,0 respektive -10,9) jämfört med gruppen med placebo + TCS (-2,5 respektive -2,0) (p < 0,0001). Liknande förbättringar i både CDLQI och IDQOL observerades i populationen med svår AD.
Långtidseffekten och säkerhetseffekten av dupilumab + TCS hos pediatriska patienter med måttlig till svår atopisk dermatit som deltagit i de tidigare kliniska studierna med dupilumab och TCS utvärderades i en öppen förlängningsstudie (AD-1434). Effektdata från denna studie tyder på att klinisk nytta vid vecka 16 kvarstår genom vecka 52. Säkerhetsprofilen för dupilumab hos patienter följdes genom vecka 52 och var jämförbar med den säkerhetsprofil som observerades vid vecka 16 i studien AD-1539.
Atopisk dermatit på händer och fötter (vuxna och ungdomar)
Effekten och säkerheten för dupilumab utvärderades i en 16-veckors randomiserad, dubbelblind, placebokontrollerad multicenterstudie med parallellgrupper (AD-1924) på 133 vuxna och pediatriska patienter i åldern 12–17 år med måttlig till svår atopisk dermatit på händer och fötter, definierad av IGA-poäng (händer och fötter) ≥ 3 (skala 0–4) och pruritus-NRS (Peak Pruritus Numeric Rating Scale) (händer och fötter) för maximal klåda ≥ 4 (skala 0–10). Patienter som inkluderades i studien hade tidigare svarat otillräckligt på eller var intoleranta mot behandling av dermatit på händer och fötter med topikala läkemedel mot atopisk dermatit.
I AD-1924 var 38 % av patienterna män, 80 % var vita, 72 % av patienterna hade IGA-poäng (händer och fötter) 3 vid baslinjen (måttlig atopisk dermatit på händer och fötter) och 28 % av patienterna hade IGA-poäng (händer och fötter) 4 vid baslinjen (svår atopisk dermatit på händer och fötter). Medelvärdet per vecka för högsta pruritus-NRS (händer och fötter) var vid baslinjen 7,1.
Det primära effektmåttet var andelen patienter med IGA-poäng (händer och fötter) 0 (symtomfri) eller 1 (nästan symtomfri) vid vecka 16. Det viktiga sekundära effektmåttet var minskning av klåda mätt med högsta pruritus-NRS (händer och fötter) (≥ 4 poängs förbättring). Andra patientrapporterade utfall inkluderade bedömning av hudsmärta-NRS (händer och fötter) (0–10), sömnkvalitet-NRS (0–10), livskvalitet utifrån Hand Eczema Questionnaire (QoLHEQ) (0–117) och arbetsproduktivitet och arbetsnedsättning (WPAI) (0–100%).
Andelen patienter med IGA (händer och fötter) 0 till 1 vid vecka 16 var 40,3 % för dupilumab och 16,7 % för placebo (skillnad mellan behandlingarna 23,6, 95 %, CI: 8,84, 38,42). Andelen patienter med förbättring (minskning) av medelvärdet per vecka för högsta pruritus-NRS (händer och fötter) ≥ 4 vid vecka 16 var 52,2 % för dupilumab och 13,6 % för placebo (skillnad mellan behandlingarna 38,6, 95 % CI: 24,06, 53,15).
Större förbättringar i hudsmärta-NRS (händer och fötter), sömnkvalitet-NRS, QoLHEQ-poäng och WPAI för total arbetsnedsättning och nedsättning av vardagliga aktiviteter från baslinjen till vecka 16 sågs i dupilumab-gruppen jämfört med placebogruppen (LS medeländring av dupilumab vs. placebo: -4,66 vs. -1,93 [p < 0,0001], 0,88 vs. -0,00 [p < 0,05], -40,28 vs. -16,18 [p < 0,0001], -38,57 % vs. -22,83 % [nominal p < 0,001] och -36,39 % vs. -21,26 % [nominal p < 0,001]).
Klinisk effekt och säkerhet vid astma
Utvecklingsprogrammet för astma omfattade tre randomiserade, dubbelblinda, placebokontrollerade, parallella grupp, multicenterstudier (DRI12544, QUEST och VENTURE) och hade en behandlingsperiod på 24 till 52 veckor, där totalt 2 888 patienter ingick (12 år och äldre). Patienterna deltog utan krav på nedre värde för blodeosinofiler vid baslinjen eller nivå av annan typ 2-inflammatorisk biomarkör (t.ex. FeNO eller IgE). Behandlingsriktlinjer för astma definierar typ 2-inflammation som eosinofiler ≥ 150 celler/µl och/eller FeNO ≥ 20 ppb. I DRI12544 och QUEST inkluderade de fördefinierade subgruppsanalyserna blodeosinofiler ≥ 150 och ≥ 300 celler/µl, FeNO ≥ 25 och ≥ 50 ppb.
DRI12544 var en 24-veckors dosstudie som inkluderade 776 patienter (18 år och äldre). Dupilumab jämfört med placebo utvärderades hos vuxna patienter med måttlig till svår astma som fick en medel- till hög dos inhalerad kortikosteroid och en långverkande betaagonist. Det primära effektmåttet var förändring från baslinjen till vecka 12 av FEV1 (l). Årlig frekvens av allvarliga astmaexacerbationsfall under den 24-veckors placebokontrollerade behandlingsperioden utvärderades också. Resultaten utvärderades i den totala populationen (begränsades inte av ett nedre gränsvärde för eosinofiler eller andra biomarkörer för typ 2-inflammation) och subgrupper baserade på antal eosinofiler i blodet.
QUEST var en 52 veckors bekräftande studie som inkluderade 1 902 patienter (12 år och äldre). Dupilumab jämfört med placebo utvärderades hos 107 ungdomar och 1 795 vuxna patienter med astma med permanent luftvägsobstruktion som fick en medel- eller hög dos inhalerad kortikosteroid (ICS) och ytterligare en underhållsbehandling. Patienter som behövde en tredje underhållsbehandling fick delta i detta försök. De primära effektmåtten var den årliga frekvensen av allvarliga exacerbationsfall under den 52 veckors placebokontrollerade perioden, och förändringen från baslinjen av pre-bronkodilator FEV1 vid vecka 12 i totalpopulationen (begränsades inte av ett nedre gränsvärde för eosinofiler eller andra biomarkörer för typ 2-inflammation) och subgrupper baserade på antal blodeosinofiler och FeNO vid baslinjen.
VENTURE var en 24-veckors oral kortikosteroid (OCS) reduceringsstudie, hos 210 patienter med astma, vilka inte begränsades av ett gränsvärde för biomarkörer för typ 2-inflammation och som behövde dagliga orala kortikosteroider, förutom regelbunden användning av inhalerade kortikosteroider med hög dos plus ytterligare en underhållsbehandling. OCS-dosen optimerades under screeningsperioden. Patienterna fortsatte med sina existerande astmaläkemedel under studien, men deras OCS-dos reducerades var 4:e vecka under OCS-reduktionsfasen (vecka 4-20), så länge som astmakontroll upprätthölls. Det primära effektmåttet var den procentuella minskningen av oral kortikosteroiddos som utvärderades i den totala populationen baserat på en jämförelse av oral kortikosteroiddos vid veckorna 20-24 som upprätthöll astmakontroll med tidigare optimerad (vid baslinjen) oral kortikosteroiddos.
Demografin och karaktäristiska för baslinjen hos dessa 3 studier ges i tabell 16 nedan.
Tabell 16: Demografin och karaktäristiska vid studiestart i astmastudier.
ICS = inhalerad kortikosteroid; FEV1 = Forcerad exspiratorisk volym på 1 sekund; ACQ-5 = Astmakontroll frågeformulär-5; AQLQ = Astma livskvalitet frågeformulär; AD = atopisk dermatit; NP = nasal polyposis; AR = allergisk rinit; FeNO = fraktion av utandad kväveoxid; EOS = blodeosinofil
aPopulationen i dupilumab-astmastudier- inkluderade patienter på ICS med medel- och hög dos. Medel ICS-dosen definierades som lika med 500 mikrogram flutikason eller ekvivalent per dag.
Exacerbationer
I den totala populationen i DRI12544 och QUEST hos patienter som fick antingen dupilumab 200 mg eller 300 mg varannan vecka observerades signifikanta reduktioner av frekvensen av allvarliga astmaexacerbationer jämfört med placebo. Det fanns större reduktioner av exacerbationer hos personer med högre basnivåer av typ 2 inflammatoriska biomarkörer såsom blodeosinofiler eller FeNO (tabell 17 och tabell 18).
Tabell 17: Frekvens av allvarliga exacerbationer i DRI12544 och QUEST (blodeosinofil-nivå vid baslinjen ≥ 150 och ≥ 300 celler/µl)
ap-värde = 0,0003, bp-värde = 0,0001, cp-värde = 0,0116, dp-värde = 0,0024, ep-värde <0,0001 (alla statistiskt signifikanta jämfört med placebo efter justering för multiplicitet), fnominellt p-värde < 0,0001
Tabell 18. Frekvens av allvarliga exacerbationer i QUEST i subgrupper definierad enligt FeNO vid baslinjen
anominellt p-värde < 0,0001
I den sammanslagna analysen av DRI12544 och QUEST reducerades frekvensen av allvarliga exacerbationer som ledde till inläggning på sjukhus och/eller akutbesök med 25,5 % och 46,9 % vid dupilumab 200 mg respektive 300 mg givet varannan vecka.
Lungfunktion
Kliniskt signifikanta ökningar av pre-bronkodilator FEV1 observerades vid vecka 12 för DRI12544 och QUEST. En större förbättring av FEV1 observerades hos patienter med högre nivåer av biomarkörer för typ 2-inflammation vid baslinjen, såsom blodeosinofiler eller FeNO (tabell 19 och 20).
Signifikanta förbättringar av FEV1 observerades så tidigt som vecka 2 efter den första dosen av dupilumab för både dosstyrkorna 200 mg och 300 mg och bibehölls genom vecka 24 (DRI12544) och vecka 52 i QUEST (se Figur 3).
Figur 3: Medeländring från baslinjen av pre-bronkodilator FEV1 (l) över tid (eosinofiler vid baslinjen ≥ 150 och ≥ 300 celler/µl och FeNO ≥25 ppb) i QUEST
Tabell 19: Medeländring från baslinjen av pre-bronkodilator FEV1 vid vecka 12 i DRI12544 och QUEST (blodeosinofilnivåer ≥ 150 och ≥ 300 celler/µl vid baslinjen)
ap-värde < 0,0001, bp-värde = 0,0004, cp-värde = 0,0008, dp-värde = 0,0063, ep-värde <0,0001 (alla statistiskt signifikanta jämfört med placebo efter justering för multiplicitet), fnominellt p-värde < 0,0001
Tabell 20: Medeländring från baslinjen av pre-bronkodilator
FEV1 vid vecka 12 och vecka 52 i QUEST för FeNO-subgrupper vid baslinjen
anominellt p-värde < 0,0001
Livskvalitet/patientrapportering av utfall vid astma
Det förutbestämda sekundära effektmåttet i ACQ-5 och AQLQ (S) och svarsfrekvensen analyserades vid 24 veckor (DRI12544 och VENTURE) och vid 52 veckor (QUEST, tabell 21). Svarsfrekvensen definierades som en förbättring i poäng på 0,5 eller mer (skalområde 0-6 för ACQ-5 och 1-7 för AQLQ (S)). Förbättringar i ACQ-5 och AQLQ (S) observerades så tidigt som vecka 2 och bibehölls under 24 veckor i DRI12544-studien och under 52 veckor i QUEST-studien. Liknande resultat observerades i VENTURE.
Tabell 21: ACQ-5 och AQLQ(S) svarsfrekvens vid vecka 52 i QUEST
Oral kortikosteroid reduktionsstudie (VENTURE)
VENTURE utvärderade effekten av dupilumab vid minskad användning av orala underhållskortikosteroider. Karaktäristiska vid studiestart presenteras i tabell 16. Alla patienter var insatta på orala kortikosteroider under minst 6 månader före studiestart. Det basala medelvärdet av oral kortikosteroidanvändning var 11,75 mg i placebogruppen och 10,75 mg i gruppen som fick dupilumab.
I denna 24-veckors studie var antal astmaexacerbationer (definierad som en tillfällig ökning av den orala kortikosteroiddosen i minst 3 dagar) reducerade med 59 % hos personer som fick dupilumab jämfört med de som fick placebo (årlig frekvens 0,65 och 1,60 för dupilumab och respektive placebo, frekvenskvot 0,4 l [95 % CI 0,26, 0,63]) och förbättringen av pre-bronkodilator FEV1 från baslinjen till vecka 24 var större hos personer som fick dupilumab jämfört med de som fick placebo (LS-medelskillnad för dupilumab jämfört med placebo på 0,22 l [95 % CI: 0,09 till 0,34 l]). Effekter på lungfunktion, på reduktion av orala kortikosteroider och på reduktion av exacerbationer var lika oberoende av baslinjenivåerna av biomarkörer av typ 2-inflammation (t.ex. blodeosinofiler, FeNO). ACQ-5 och AQLQ (S) bedömdes också i VENTURE och visade förbättringar som liknar dem i QUEST.
Resultaten för de primära och sekundära effektmåtten i VENTURE presenteras i tabell 22.
Tabell 22: Effekt av dupilumab vid OCS-dosminskning, VENTURE (blodeosinofilnivåer ≥ 150 och ≥ 300 celler/µl och FeNO ≥ 25 ppb)
amodellberäkningar genom logistisk regression, bnominellt p-värde < 0,0001, cnominellt p-värde = 0,0001, dnominellt p-värde = 0,0002
Långtids förlängningsstudie (TRAVERSE)
Den långsiktiga säkerheten för dupilumab hos 2193 vuxna och 89 ungdomar med måttlig till svår astma, inklusive 185 vuxna med oral kortikosteroidberoende astma, som hade deltagit i tidigare kliniska prövningar av dupilumab (DRI12544, QUEST och VENTURE) bedömdes i den öppna förlängningsstudien (TRAVERSE) (se avsnitt 4.8). Effekten mättes som ett sekundärt effektmått, och var liknande resultaten som observerats i de pivotala studierna och bibehölls i upp till 96 veckor. Hos vuxna med oral kortikosteroidberoende astma, observerades en ihållande reduktion av exacerbationer och en förbättring av lungfunktionen i upp till 96 veckor, trots minskning eller avbrytande av oral kortikosteroiddos.
Pediatrisk studie (6 till 11 år; VOYAGE)
Effekt och säkerhet av dupilumab hos pediatriska patienter utvärderades i en 52-veckors multicenter, randomiserad, dubbelblind, placebokontrollerad studie (VOYAGE) hos 408 patienter i åldern 6 till 11 år med måttligt till svår astma med inhalerad kortikosteroid i medel till högdos och ett kontrolläkemedel eller endast inhalerad kortikosteroid i högdos. Patienterna randomiserades till dupilumab (N=273) eller till placebo (N=135) varannan vecka baserat på kroppsvikt ≤ 30 kg respektive > 30 kg. Effekten utvärderades hos patientgruppen utifrån typ 2 inflammation definierat som eosinofilnivåer i blodet ≥ 150 celler/µl eller FeNO ≥ 20 ppb.
Det primära effektmåttet var årlig frekvens av allvarliga astmaexacerbationsfall under den 52-veckors placebokontrollerade perioden och det viktigaste sekundära effektmåttet var förändringen från baslinjen i pre-bronkodilator medelprocent förväntad FEV1 vecka 12. Ytterligare sekundära effektmått inkluderade genomsnittlig förändring från baslinjen och svarsfrekvenser i ACQ-7-IA- och PAQLQ(S)-IA-poäng.
Demografin och karaktäristiska vid studiestart för VOYAGE anges i tabell 23 nedan.
Tabell 23. Demografin och karaktäristiska vid studiestart för VOYAGE
ICS = inhalerad kortikosteroid; FEV1 = Forcerad exspiratorisk volym på 1 sekund; ACQ-7-IA = Asthma Control Questionnaire-7 Interviewer Administered; PAQLQ(S)-IA = Paediatric Asthma Quality of Life Questionnaire with Standardised Activities–Interviewer Administered; AD = atopisk dermatit; AR = allergisk rinit; EOS = blodeosinofil; FeNO = fraktion av utandad kväveoxid
Dupilumab minskade signifikant den årliga frekvensen av allvarliga astmaexacerbationshändelser under 52-veckors behandlingsperioden jämfört med placebo i populationen med typ 2 inflammation och i population definierad av blodeosinofiler ≥ 300 celler/µl vid baslinjen eller FeNO ≥ 20 ppb vid baslinjen. Kliniskt signifikanta förbättringar i procent förväntad pre-bronkodilator FEV1 observerades vid vecka 12. Förbättringar observerades också för ACQ-7-IA och PAQLQ(S)-IA vid vecka 24 och kvarstod vid vecka 52. Högre svarsfrekvens observerades för ACQ-7-IA och PAQLQ(S)-IA jämfört med placebo vid vecka 24. Effektresultaten för VOYAGE presenteras i tabell 24.
I populationen med typ 2-inflammation var LS-medelförändringen från utgångsvärdet i pre-bronkodilator FEV1 vid vecka 12 0,22 l för dupilumabgruppen och 0,12 l för placebogruppen, med en LS-medelskillnad jämfört med placebo på 0,10 l (95% KI: 0,04, 0,16). Behandlingseffekten bibehölls under behandlingsperioden på 52 veckor, med en LS-genomsnittlig skillnad jämfört med placebo vid vecka 52 på 0,17 l (95% KI: 0,09, 0, 24).
I populationen som definieras av blodesinofiler ≥ 300 celler/µl vid baslinjen var LS‑medelförändring 0,22 l pre-bronkodilator FEV1 från baslinjen vid vecka 12 i dupilumabgruppen och 0,12 l i placebogruppen, med en LS-medelförändring jämfört med placebo på 0,10 l (95% KI: 0,03, 0,17). Behandlingseffekten bibehölls under den 52 veckor långa behandlingsperioden, med en LS- medelförändring jämfört med placebo vid vecka 52 på 0,17 l (95% KI: 0,09, 0,26).
I båda primäreffektpopulationerna skedde en snabb förbättring av FEF25-75% och FEV1/FVC (uppkomsten av en skillnad observerades så tidigt som vecka 2) och bibehölls under behandlingsperioden på 52 veckor, se tabell 24.Tabell 24: Frekvens av allvarliga exacerbationsfall, genomsnittlig förändring från baslinjen FEV1, ACQ-7-IA och PAQLQ(S)-IA svarsfrekvens i VOYAGE-studien
Signifikant förbättring i procent förväntad FEV1 observerades så tidigt som vecka 2 och behölls fram till vecka 52 i VOYAGE studien.
Förbättring i procent förväntad FEV1 över tid i VOYAGE visas i Figur 4.
Figur 4: Genomsnittlig procentuell ändring från baslinjen av förväntad pre-bronkodilator FEV1 (liter) över tid i VOYAGE (baslinje blodeosinofiler ≥ 150 celler/µl eller FeNO ≥ 20 ppb, baslinje eosinofili ≥ 300 celler/µl, och baslinje FeNO ≥ 20 ppb)
I VOYAGE-studien minskade på årsbasis total antal systemisk kortikosteroid-användning p.g.a. astma i gruppen med typ 2 inflammation, med i genomsnitt 59,3% jämfört med placebo (0,350 [95% CI: 0,256, 0,477] jämfört med 0,860 [95% CI: 0,616, 1,200]).
I gruppen med eosinofilantal vid baslinjen ≥ 300 celler/ µl, minskade på årsbasis total antal systemisk kortikosteroid-användning p.g.a. astma med i genomsnitt 66,0% jämfört med placebo (0,274 [95% CI: 0,188, 0,399] versus 0,806 [95% CI: 0,563, 1,154]).
Uppmätt med European Quality of Life 5-Dimension Youth Visual Analog Scale (EQ-VAS) förbättrade dupilumab allmän hälsostatus i både typ 2 inflammation och eosinofilantal vid baslinjen ≥ 300 celler/µl vid vecka 52; skillnaden i minstakvadratmedelvärde jämfört med placebo var 4,73 (95% CI: 1,18, 8,28) respektive 3,38 (95% CI: -0,66, 7,43).
Uppmätt med frågeformulär Paediatric Asthma Quality of Life Questionnaire (PACQLQ) reducerade dupilumab barnets astmas påverkan på vårdnadshavarens livskvalitet i både typ 2 inflammation och eosinofilantal vid baslinjen på ≥ 300 celler/µl vid vecka 52; skillnaden i minstakvadratmedelvärde jämfört med placebo var 0,47 (95% CI: 0,22, 0,72), respektive 0,50 (95% CI: 0,21, 0,79).
Långsiktig förlängningsstudie (EXCURSION)
Effekten av dupilumab, mätt som ett sekundärt effektmått, bedömdes hos 365 pediatriska patienter med astma (6 till 11 år) i den långsiktiga förlängningsstudien (EXCURSION). Ihållande reduktion av exacerbationer som ledde till inläggning på sjukhus och/eller akutbesök och reduktion i exponering för systemiska orala kortikosteroider observerades. Ihållande förbättring i lungfunktionen observerades med flera parametrar, inklusive procent förväntad FEV1, procent förväntad FVC, FEV1/FVC-kvot och procent förväntad FEF 25–75 %. Dessutom uppnådde och/eller upprätthöll 75 % av patienterna normal lungfunktion med pre-bronkodilator procent förväntad FEV1 > 80 % vid slutet av EXCURSION. Effekten bibehölls under en kumulativ behandling i upp till 104 veckor (VOYAGE och EXCURSION).
Klinisk effekt vid kronisk rinosinuit med näspolyper
Utvecklingsprogrammet för kronisk rinosinuit med näspolyper omfattade två randomiserade, dubbelblinda, parallellgrupps-, placebokontrollerade multicenterstudier (SINUS-24 och SINUS-52), där 724 patienter som var 18 år eller äldre och som behandlats med nasala kortikosteroider ingick.
Studierna inkluderade patienter med svår kronisk rinosinuit med näspolyper, trots tidigare genomgången näs-bihåleoperation eller tidigare behandling med, inklusive de som inte var lämpliga att behandlas med, systemiska kortikosteroider, under de senaste 2 åren. Akut behandling med systemiska kortikosteroider eller operation tilläts under studierna efter prövarens bedömning. Alla patienter visade tecken av sinusförtätning enligt Lund-MacKay-skalan (LMK) vid datortomografi av bihålorna, och hos 73 % till 90 % av patienterna sågs förtätning av samtliga bihålor. Patienterna delades upp utifrån operationshistorik och samtidig förekomst av astma/ icke-steroida antiinflammatoriska läkemedel-förvärrad andningssjukdom (N-ERD).
De co-primära effektmåtten var ändring på den bilaterala endoskopiska näspolyp-skalan (NPS) från studiestart till vecka 24, graderad av samma personer som var blindade för patientens behandling, och den genomsnittliga ändringen på nästäppa-skalan (NC) över en period av 28 dagar, från studiestart till vecka 24, enligt patienternas dagbok. För NPS graderades polyper på vardera sidan av näsan enligt en kategorisk skala (0=inga polyper, 1=små polyper i mittengången som inte når under den lägre kanten på de mittersta näsmusslorna, 2=polyper som når under den lägre kanten på de mittersta näsmusslorna, 3=stora polyper som når den lägre kanten på lägre näsmusslorna eller polyper mitt på de mittersta näsmusslorna, 4=stora polyper som ger fullständig nästäppa i den lägre näshålan). Den totala graderingen bestämdes genom att addera graderingen av den högra och vänstra sidan. Nästäppa graderades dagligen av försökspersonerna enligt en kategorisk skala från 0 till 3 (0=inga symtom, 1=lätta symtom, 2=måttliga symtom, 3=svåra symtom).
Demografi och karaktäristika vid studiestart för dessa två studier finns i tabell 25 nedan.
Tabell 25: Demografi och karaktäristika vid studiestart från studier på kronisk rinosinuit med näspolyper
aHögre poäng indikerar svårare sjukdomsgrad, förutom för UPSIT där högre poäng indikerar lägre sjukdomsgrad; SD = standardavvikelse; f.m = förmiddag; NPS=näspolyppoäng; UPSIT= luktidentifieringstest enligt Pennsylvania-universitetet; SNOT-22 = 22-delars sinonasalt resultattest; VAS = visuell analogskala; FEV1=Forcerad exspiratorisk volym på 1 sekund; ACQ-6= 6-delars astmakontrollfrågeformulär; N-ERD = icke-steroida antiinflammatoriska läkemedel-förvärrad andningssjukdom
Klinisk respons (SINUS-24 och SINUS-52)
Resultat för primära och sekundära effektmått vid studier på kronisk rinosinuit med näspolyper presenteras i tabell 26.
Tabell 26: Resultat från primära och sekundära effektmått i studier på kronisk rinosinuit med näspolyper
En minskning i poäng indikerar förbättring, förutom för UPSIT där en ökning indikerar förbättring.
TSS är en blandad svårighetsskala som beror av summan av dagliga symtom av nästäppa, luktförlust, och främre/bakre rinnsnuva.NPS=näspolyppoäng, LMK= Lund-MacKay-poäng vid datortomografi av bihålorna, UPSIT=luktidentifieringstest enligt Pennsylvania-universitetet, SNOT-22 = 22-delars sinonasalt resultattest, TSS = totalt symtompoäng, VAS=visuell analogskala för rinosinuit (alla p-värden < 0,0001 (alla statistiskt signifikanta jämfört med placebo efter justering för multiplicitet); nominell för VAS)
Resultaten från SINUS-52-studien vid vecka 52 finns i Tabell 27.
Tabell 27: Effekt-resultat vecka 52 i SINUS-52-studien
En minskning i poäng indikerar förbättring, förutom för UPSIT där en ökning indikerar förbättring.
TSS är en blandad svårighetsskala som beror av summan av dagliga symtom av nästäppa, luktförlust, och främre/bakre rinnsnuva.
NPS=näspolyppoäng, LMK= Lund-MacKay-poäng vid datortomografi av bihålorna, UPSIT=luktidentifieringstest enligt Pennsylvania-universitetet, SNOT-22 = 22-delars sinonasalt resultattest, TSS = totalt symtompoäng, VAS=visuell analogskala för rinosinuit
(ap-värde < 0,0001 (alla statistiskt signifikanta jämfört med placebo efter justering för multiplicitet); bnominellt p-värde < 0,0001
Statistiskt signifikant och kliniskt relevant effekt observerades i SINUS-24 avseende förbättring i bilateral endoskopisk NPS-poäng vid vecka 24. I perioden efter behandling när patienterna slutat med dupilumab, sjönk behandlingseffekten med tiden (se Figur 5a). Liknande resultat sågs också i SINUS-52 både vid vecka 24 och vecka 52 med successiv förbättring över tid (se Figur 5b).
Figur 5. Ändring i minstakvadratmedelvärde från studiestart på bilateral näspolyppoäng (NPS) i SINUS-24 och SINUS-52 – ITT-gruppen
I båda studierna sågs signifikanta förbättringar avseende nästäppa och svårighetsgraden av daglig luktförlust, så tidigt som vid första utvärderingen vecka 4. I dupilumab-gruppen jämfört med placebogruppen var skillnaden i minstakvadratmedelvärde för nästäppa vecka 4 -0,41 (95 % CI: -0,52, -0,30) i SINUS-24 och -0,37 (95 % CI: -0,46, -0,27) i SINUS-52. I dupilumab-gruppen jämfört med placebogruppen var skillnaden i minstakvadratmedelvärde för luktförlust vecka 4 -0,34 (95 % CI: -0,44, -0,25) i SINUS-24 och -0,31 (95 % CI: -0,41, -0,22) i SINUS-52. En minskning i andelen patienter med luktstörningar sågs i SINUS-24 och SINUS-52. Vid studiestart hade 74 till 79 % av patienterna luktstörningar, vilket sänktes till 24 % i SINUS-24 och till 30 % i SINUS-52 vecka 24, jämfört med ingen ändring alls för placebo.
Förbättring av maximalt inspiratoriskt näsflöde (NPIF) sågs i SINUS-24 och SINUS-52 vecka 24. I dupilumab-gruppen jämfört med placebogruppen var skillnaden i minstakvadratmedelvärde 40,4 l/min (95 % CI: 30,4, 50,4) respektive 36,6 l/min (95 % CI: 28,0, 45,3).
Bland patienterna med rinosinuit och VAS-poäng >7 vid studiestart, uppnådde en större andel patienter VAS-poäng ≤7 i dupilumab-gruppen jämfört med placebogruppen (83,3 % vs 39,4 % i SINUS-24 och 75,0 % vs 39,3 % i SINUS-52) vecka 24.
I den förbestämda multiplicitetsjusterade samlade analysen av de två studierna, påvisade behandling med dupilumab signifikant minskning av systemisk kortikosteroid-användning och behov av sino-nasal kirurgi jämfört med placebo (HR på 0,24; 95 % CI: 0,17, 0,35) (se Figur 6). Andelen patienter som behövde systemiska kortikosteroider minskade med 74 % (HR på 0,26; 95 % CI: 0,18, 0,38). Totala antalet behandlingar med systemiska kortikosteroider per år minskades med 75 % (RR på 0,25; 95 % CI: 0,17, 0,37). Förskriven total medelårsdos per individ av systemiska kortikosteroider (i mg) under behandlingstiden var 71 % lägre i den samlade dupilumabgruppen jämfört med den samlade placebogruppen (60,5 [531.3] mg vs 209,5 [497,2] mg). Andelen patienter som behövde operation minskade med 83 % (HR på 0,17 ; 95 % CI: 0,07, 0,46).
Figur 6. Kaplan-Meier-kurva av tid till första användning av systemisk kortikosteroid och/eller sino-nasal operation under behandlingsperioden – ITT-gruppen [SINUS-24 och SINUS-52 tillsammans]
Effekterna av dupilumab på de primära effektmåtten NPS och nästäppa, och på det huvudsakliga sekundära effektmåttet LMK vid CT av bihålor var dem samma hos patienter som tidigare hade opererats och de som inte hade opererats.
Hos patienter med samtidig astma, observerades signifikanta förbättringar i FEV1 och ACQ-6 vecka 24, oberoende av eosinofilnivå i blodet vid studiestart. Den samlade förändringen från studiestart i minstakvadratmedelvärde för FEV1 vecka 24 för dupilumab 300 mg varannan vecka var 0,14 jämfört med 0,07 l för placebo, en förändring på 0,21 l (95 % CI: 0,13, 0,29). Dessutom sågs förbättringar i FEV1 från den första utvärderingen efter studiestart i vecka 8 i SINUS-24 och i vecka 4 i SINUS-52. Förbättringar i ACQ-6 hos patienter med samtidig astma sågs i båda studierna. Kliniskt-relevant svar definierades som en poängförbättring på 0,5 eller mer. Förändringen i minstakvadratmedelvärde i dupilumabgruppen jämfört med placebo vid vecka 24 var -0,76 (95 % CI: -1,00 till -0,51 i SINUS-24 och -0,94 (95 % CI: -1,19, -0,69) i SINUS-52.
Svarsfrekvensen för ACQ-6 för dupilumab 300 mg varannan vecka i SINUS-24 var vid vecka 24 56 % jämfört med 28 % i placebogruppen (odds ratio 3,17; 95 % CI: 1,65, 6,09). Svarsfrekvensen för ACQ-6 för dupilumab 300 mg varannan vecka i SINUS-52 var vid vecka 52 46 % jämfört med 14 % i placebogruppen (odds ratio 7,02; 95 % CI: 3,10, 15,90).
Hos patienter med N-ERD var effekten av dupilumab på de primära effektmåtten NPS och nästäppa samt det huvudsakliga sekundära effektmåttet LMK vid CT av bihålor densamma som observerades i den totala patientpopulationen med kronisk rinosinuit med näspolyper.
Klinisk effekt vid prurigo nodularis
Utvecklingsprogrammet för prurigo nodularis inkluderade två 24 veckors randomiserade, dubbelblinda placebokontrollerade multicenterstudier med parallellgrupper (PRIME och PRIME2) på 311 patienter i åldern 18 år och äldre med måttlig till svår prurigo nodularis, som definierades som svår pruritus (WI-NRS ≥ 7 på en skala från 0 till 10) och fler eller lika med 20 nodulära lesioner, vars sjukdom inte var tillräckligt kontrollerad med topikala receptbelagda behandlingar eller när dessa behandlingar inte var lämpliga. I PRIME och PRIME2 utvärderades effekten av dupilumab på förbättring av klåda samt dess effekt på lesioner vid prurigo nodularis, DLQI-index (Dermatology Life Quality Index), HADS-skala (Hospital Anxiety and Depression Scale) och hudsmärta.
I dessa två studier fick patienterna antingen subkutant dupilumab 600 mg (två 300 mg injektioner) dag 1, följt av 300 mg en gång varannan vecka i 24 veckor, eller matchande placebo.
I dessa studier var medelåldern 49,5 år, medianvikten 71,3 kg, 65,3 % av patienterna var kvinnor, 56,6 % vita, 6,1 % svarta och 34,1 % asiater. Vid baslinjen var de genomsnittliga poängen på WI-NRS-skalan 8,5, 66,3 % hade 20 till 100 knölar (måttliga), 33,7 % hade fler än 100 knölar (svåra), 99,7 % hade tidigare fått topikala behandlingar, 12,5 % hade tidigare fått systemiska kortikosteroider, 20,6 % hade tidigare fått systemiska icke-steroida immunosuppressiva medel, och 4,5 % hade tidigare fått gabapentinoider. 11 % av patienterna tog antidepressiva medel vid stabila doser vid baslinjen och uppmanades att fortsätta att ta dessa läkemedel under behandlingen. 43,4 % hade tidigare haft atopi (definierad som en medicinsk historia av atopisk dermatit, allergisk rinit/rinokonjunktivit, astma eller matallergi).
WI-NRS-skalan består av en enstaka fråga som utvärderas på en skala från 0 (”ingen klåda”) till 10 (”värsta tänkbara klåda”). Patienterna tillfrågades att utvärdera svårighetsgraden av deras värsta pruritus (klåda) under de senaste 24 timmarna på denna skala. IGA PN-S är en skala som mäter det ungefärliga antalet knölar på en 5-gradig skala från 0 (klar) till 4 (svår).
Det primära effektmåttet var andelen patienter med förbättring (minskning) i WI‑NRS-poängen med ≥ 4. De viktigaste sekundära effektmåtten inkluderade andelen patienter med IGA PN-S-poäng på 0 eller 1 (lika med 0–5 knölar).
Effektresultaten för PRIME och PRIME2 presenteras i tabell 28 och figurerna 7 och 8.
Tabell 28: Resultaten av de primära och sekundära effektmåtten i PRIME och PRIME2
ª Inte multiplicitetsjusterad i PRIME
b Patienter som tidigare hade fått undsättningsbehandling eller saknade data ansågs som ej svarande.
c Patienter som tidigare hade fått undsättningsbehandling eller avbröt behandlingen på grund av brist på effekt imputerades genom att använda värsta observerade värde (worst observation carried forward), andra data som saknades imputerades genom att använda multipel imputering.
SE = sekundärt effektmått
Effekten på ändringen från baslinjen i WI-NRS, som definierades som den första tidpunkten då skillnaden i medelvärdet per vecka för WI-NRS per dag jämfört med placebo var och förblev signifikant (nominellt p-värde < 0,05), observerades ha börjat så tidigt som vecka 3 i PRIME (figur 7a) och vecka 4 i PRIME2 (figur 7b).
Figur 7. LS medelprocentändring från baslinjen i WI-NRS i PRIME och PRIME2 upp till vecka 24
En större andel patienter upplevde förbättring på WI‑NRS-skalan med ≥ 4 poäng från baslinjen i dupilumabgruppen jämfört med placebogruppen, vid vecka 4 i PRIME (figur 8a nominellt p-värde < 0,007) och vid vecka 11 i PRIME2 (figur 8b nominellt p-värde < 0,013), och denna skillnad förblev signifikant under hela behandlingsperioden.
Figur 8. Andelen patienter med förbättring på WI-NRS-skalan med ≥ 4 poäng med tiden i PRIME och PRIME2
Behandlingseffekter i subgrupper (ålder, kön, med eller utan atopisk medicinsk historia, och bakgrundsbehandling, inklusive immunsuppressiv behandling) i PRIME och PRIME2 var i enlighet med resultaten i hela studiepopulationen.
Efter att behandlingen avslutades efter 24 veckor fanns det tecken på återfall av symtom under den 12 veckor långa uppföljningsperioden.
Klinisk effekt vid eosinofil esofagit (EoE)
Vuxna och pediatriska patienter 12 till 17 år med EoE
Utvecklingsprogrammet för eosinofil esofagit (EoE) inkluderade ett protokoll med tre delar upp till 52 veckor (TREET) som inkluderade två separata randomiserade, dubbelblindade, multicenter-, placebokontrollerade behandlingsstudier med parallella grupper som varade i 24 veckor (TREET del A och del B) följt av en 28-veckors förlängningsstudie med aktiv behandling (TREET C) med vuxna och pediatriska patienter i åldern 12–17 år, exklusive patienter < 40 kg. I TREET del A och B behövde alla inkluderade patienter ha genomgått misslyckad behandling med sedvanliga läkemedel (protonpumpshämmare), 74 % hade behandlats med ett annat sedvanligt läkemedel (svalda topikala kortikosteroider) före inkluderingen. I TREET del B hade 49 % av patienterna inte fått tillräcklig effekt, var intoleranta eller hade kontraindikationer mot behandling med svalda topikala kortikosteroider. I båda delarna behövde patienterna ha ≥ 15 intraepiteliala eosinofiler per high-power field (eos/hpf) efter minst 8veckors behandling med protonpumpshämmare (PPI) i högdos antingen före eller under screeningperioden och DSQ-poäng (Dysphagia Symptom Questionnaire) ≥ 10 på en skala från 0 till 84. Patienterna stratifierades efter ålder vid tidpunkten för screeningbesöket (12 till 17 år vs. 18 år eller äldre) och användning av protonpumpshämmare vid randomiseringen. TREET del A genomfördes först. TREET del B öppnades efter att inkluderingen i TREET del A hade avslutats. Patienter som fullföljde den 24 veckor långa dubbelblinda behandlingsperioden i del A eller B erbjöds möjlighet till att delta i en 28-veckors förlängningsstudie med aktiv behandling (TREET del C).
I del A randomiserades totalt 81 patienter, av vilka 61 var vuxna och 20 var pediatriska patienter i åldern 12–17 år, för att erhålla antingen 300 mg dupilumab varje vecka (N=42) eller placebo (N=39). I del B randomiserades totalt 240 patienter, av vilka 161 var vuxna och 79 var pediatriska patienter i åldern 12–17 år, för att få antingen 300 mg dupilumab varje vecka (N=80), 300 mg dupilumab varannan vecka (N=81, dosschemat 300 mg varannan vecka är inte godkänt vid EoE) eller placebo (N=79). I del C fick alla patienter som tidigare deltagit i del A 300 mg dupilumab (N=77) varje vecka. Av de patienter som tidigare deltagit i del B fick 111 dupilumab 300 mg varje vecka i del C. Undsättningsbehandling med systemiska och/eller svalda topikala kortikosteroider eller akut dilatation av esofagus tilläts under studien utifrån prövarens bedömning.
I del A hade totalt 74,1 % av de inkluderade patienterna tidigare använt svalda topikala kortikosteroider som behandling av EoE och 43,2 % hade tidigare genomgått esofageal dilatation. I del B hade totalt 73,3 % av de inkluderade patienterna tidigare använt topikala kortikosteroider som sväljs för behandling av EoE och 35,4 % hade tidigare genomgått dilatation av esofagus.
Co-primära effektmått i båda studierna var andelen patienter som uppnådde histologisk remission definierad som högsta nivå av esofageala intraepiteliala eosinofiler på ≤ 6 eos/hpf vid vecka 24 och absolut förändring i patientrapporterat DSQ-poäng från baslinjen till vecka 24. Sekundära effektmått inkluderade förändring från baslinjen av följande: procentuell förändring i högsta nivå av esofageala intraepiteliala eosinofiler (eos/hpf), absolut förändring av genomsnittligt poäng avseende grad på histologisk bedömningsskala (Histology Scoring System, EoEHSS), absolut förändring i genomsnittligt poäng avseende stadium på EoEHSS-skala, absolut förändring i -endoskopisk referensskala för EoE (EoE-EREFS) och andel patienter som uppnådde högsta nivå av esofageala intraepiteliala eosinofiler på < 15 eos/hpf.
Demografi och karaktäristika vid baslinjen för TREET del A och B anges i tabell 29.
Tabell 29: Demografi och karaktäristika vid baslinjen (TREET del A och B)
aHögre poäng indikerar svårare sjukdom
SD = standardavvikelse
Resultaten från TREET del A och B anges i tabell 30.
Tabell 30: Effektresultat för dupilumab vid vecka 24 hos patienter i åldern 12 år och äldre med eosinofil esofagit (TREET del A och B)
aTotala DSQ-poäng varannan vecka graderas 0 till 84; högre poäng indikerar högre frekvens och svårighetsgrad av dysfagi
bEoEHSS-poäng graderas 0 till 3; högre poäng indikerar högre svårighetsgrad och omfattning av histologiska avvikelser
cTotala EoE-EREFS-poäng graderas 0 till 18; högre poäng indikerar värre endoskopiska inflammatoriska fynd och remodelleringsfynd
dLS medelskillnad för kontinuerliga effektmått och absolut skillnad i andelar för kategoriska effektmått
Effektresultaten för co-primära och huvudsakliga sekundära effektmått i subgruppen av patienter som tidigare behandlats med svalda topikala kortikosteroider och patienter som inte fick tillräcklig effekt, var intoleranta eller hade kontraindikationer mot svalda topikala kortikosteroider var i enlighet med resultaten i den totala populationen.
I del A och B uppnådde en större andel patienter som randomiserats till dupilumab histologisk remission (högsta nivå av esofageala intraepiteliala eosinofiler ≤ 6 eos/hpf) jämfört med placebo. Andelen patienter med histologisk remission som observerades efter 24 veckors behandling i del A och B bibehölls i 52 veckor i del C. Likaså bibehölls annan histologisk och endoskopisk förbättring i 52 veckor.
Behandling med dupilumab resulterade också i signifikant förbättring i LS medelförändring i DSQ-poäng jämfört med placebo så tidigt som vecka 4 och bibehölls fram till vecka 24. Effekten i del C var liknande resultaten i del A och B, med en kontinuerlig förbättring i DSQ i upp till 52 veckor (TREET del A och C [figur 9] och TREET del B och C [figur 10]).
Figur 9: LS medelförändring i DSQ-poäng från baslinjen över tid hos patienter i åldern 12 år och äldre med eosinofil esofagit (TREET del A och C)
Figur 10: Medelförändring i DSQ-poäng från baslinjen över tid hos patienter i åldern 12 år och äldre med eosinofil esofagit (TREET del B och C)
I enlighet med förbättring i totala DSQ-poäng i TREET del A och B observerades nominellt signifikanta förbättringar vid vecka 24 jämfört med placebo i smärta relaterad till dysfagi (DSQ-smärtskala), hälsorelaterad QoL (EoE-IQ) och frekvensen av andra icke-dysfagirelaterade symtom (EoE-SQ).
Pediatriska patienter 1 till 11 år med EoE
Effekten och säkerheten för dupilumab utvärderades hos pediatriska patienter i åldern 1 till 11 år med eosinofil esofagit i en tvådelad studie i upp till 52 veckor (EoE KIDS del A och del B). Alla inkluderade patienter behövde ha genomgått behandling utan tillräcklig effekt med sedvanliga läkemedel (protonpumpshämmare), 77,5 % hade behandlats med ett annat sedvanligt läkemedel (svalda topikala kortikosteroider) före inkluderingen, och 53,5 % av patienterna hade inte fått tillräcklig effekt, var intoleranta eller hade kontraindikationer mot behandling med svalda topikala kortikosteroider. Patienter var lämpliga för inklusion om de hade ≥ 15 intraepiteliala eosinofiler per high-power field (eos/hpf), trots en behandlingskur med protonpumpshämmare (PPI) antingen före eller under screeningperioden, samt tidigare tecken och symtom på eosinofil esofagit. Del A var en 16-veckors randomiserad, dubbelblindad, placebokontrollerad multicenterstudie med parallella interventionsgrupper. Del B var en förlängningsperiod med aktiv behandling där dupilumab-regimerna utvärderades i ytterligare 36 veckor.
I del A utvärderades dupilumab jämfört med motsvarande placebo vid doseringsregimer baserat på kroppsvikt (≥ 5 till < 15 kg [100 mg varannan vecka], ≥ 15 till < 30 kg [200 mg varannan vecka] och ≥ 30 till < 60 kg [300 mg varannan vecka]). Den rekommenderade doseringsregimen av dupilumab valdes ut för pediatriska patienter i åldern 1 till 11 år som vägde ≥ 40 kg (300 mg en gång per vecka) baserat på simuleringar med en populationsfarmakokinetisk modell för att matcha exponeringen hos vuxna patienter och pediatriska patienter i åldern 12 till 17 år med eosinofil esofagit som fick 300 mg en gång per vecka, för vilka histologisk och symtomatisk effekt observerades (se avsnitt 5.1 och avsnitt 5.2).
Totalt 71 patienter inkluderades i del A. Medelåldern var 7 år (intervall 1 till 11 år), medianvikten var 24,8 kg, 74,6 % av patienterna var av manligt kön, 87,3 % var vita, 9,9 % var svarta och 1,4 % var asiater. Totalt 55 patienter från del A fortsatte i del B.
Det primära effektmåttet i del A var andelen patienter som uppnådde histologisk remission definierad som högsta nivå av esofageala intraepiteliala eosinofiler på ≤ 6 eos/hpf vid vecka 16. Sekundära effektmått inkluderade andel patienter som uppnådde högsta nivå av esofageala intraepiteliala eosinofiler på < 15 eos/hpf och förändring från baslinjen av följande: högsta nivå av esofageala intraepiteliala eosinofiler (eos/hpf), absolut förändring av genomsnittligt poäng avseende en histologisk bedömningsskala (Histology Scoring System, EoEHSS), absolut förändring i genomsnittligt poäng avseende stadium på EoEHSS-skala, och absolut förändring i en endoskopisk referensskala för EoE (EoE-EREFS). Effekten på tecken på eosinofil esofagit mättes med hjälp av observatörrapporterade utfall; Paediatric EoE Sign/Symptom Questionnaire-Caregiver (PESQ-C) bedömde andelen dagar med ett eller flera tecken på eosinofil esofagit och Paediatric Eosinophilic Esophagitis Symptom Score (PEESS) bedömde frekvensen och svårighetsgraden av tecken på eosinofil esofagit.
Effektresultaten för del A visas i tabell 31 och nedan.
Tabell 31: Effektresultat för dupilumab vid vecka 16 hos försökspersoner i åldern 1 till 11 år med eosinofil esofagit (EoE KIDS del A)
a DUPIXENT utvärderades vid stegvisa doseringsregimer baserat på kroppsvikt: ≥ 5 till < 15 kg (100 mg varannan vecka), ≥ 15 till < 30 kg (200 mg varannan vecka) och ≥ 30 till < 60 kg (300 mg varannan vecka).
b För histologisk remission estimerades skillnaden i procentandelar med Mantel-Haenszel-metoden, med justering för viktgruppen vid baslinjen (≥ 5 till < 15 kg, ≥ 15 till < 30 kg, och ≥ 30 till < 60 kg).
c Skillnaden i absolut förändring eller procentuell förändring estimerades med hjälp av ANCOVA-modellen med baslinjemått som kovariat och behandlingen, baslinjens viktgruppsstrata (≥ 5 till < 15 kg, ≥ 15 till < 30 kg och ≥ 30 till < 60 kg) som fasta faktorer.
d EoEHSS-poäng sträcker sig från 0 till 3; högre poäng tyder på större svårighetsgrad och omfattning av histologiska avvikelser.
e Totala EoE-EREFS-poäng sträcker sig från 0 till 18; högre poäng tyder på värre endoskopiska inflammatoriska fynd och remodelleringsfynd.
I del A uppnådde en större andel patienter som randomiserats till dupilumab histologisk remission (maximal nivå av esofageala intraepiteliala eosinofiler ≤ 6 eos/hpf) jämfört med placebo. Andelen försökspersoner med histologisk remission som observerades efter 16 veckors behandling i del A bibehölls under 52 veckor i del B.
Numerisk förbättring av andelen dagar med ett eller fler tecken på eosinofil esofagit (PESQ-C) observerades efter 16 veckors behandling med dupilumab i del A och bibehölls under 52 veckor i del B.
Nominellt signifikant förbättring i frekvensen och svårighetsgraden av tecken på eosinofil esofagit (PEESS-Caregiver) observerades efter 16 veckors behandling i del A. PEESS-Caregiver mättes inte i del B.
Klinisk effekt vid kroniskt obstruktiv lungsjukdom (KOL)
Programmet för kroniskt obstruktiv lungsjukdom (KOL) omfattade två randomiserade, dubbelblinda, placebokontrollerade multicenterstudier med parallellgrupper (BOREAS och NOTUS) med en behandlingsperiod på 52 veckor, som inkluderade totalt 1 874 vuxna patienter med KOL för att utvärdera dupilumab som tillägg till underhållsbehandling.
Båda studierna inkluderade patienter med diagnosen KOL med måttlig till svår luftflödesbegränsning (post-bronkodilator FEV1/FVC-kvot < 0,7 och förväntad post-bronkodilator FEV1 av 30 % till 70 %), kronisk produktiv hosta i minst 3 månader under det senaste året och ett minimiantal blodeosinofiler på 300 celler/µl vid screening. Patienterna hade okontrollerad KOL med dyspnépoäng ≥ 2 (intervall 0–4) på MRC-skalan (Medical Research Council) och de hade haft minst 2 måttliga exacerbationer eller 1 allvarlig exacerbation under det föregående året trots underhållsbehandling med trippelbehandling, bestående av en långverkande muskarinreceptorantagonist (LAMA), långverkande betareceptoragonist (LABA) och inhalerad kortikosteroid (ICS). Underhållsbehandling bestående av en LAMA och LABA var tillåten om ICS inte var lämpligt. Exacerbationer definierades som måttliga om behandling med systemiska kortikosteroider och/eller antibiotika krävdes, eller som allvarliga om de ledde till inläggning på sjukhus eller observation i över 24 timmar på akutavdelning eller akutmottagning.
I båda studierna randomiserades patienterna till att få dupilumab 300 mg varannan vecka eller placebo som tillägg till deras underhållsbehandling (bakgrundsbehandling) i 52 veckor.
I båda studierna var det primära effektmåttet den årliga frekvensen av måttliga eller allvarliga KOL-exacerbationer under den 52 veckor långa behandlingsperioden. Sekundära effektmått inkluderade förändring från baslinjen av pre-bronkodilator FEV1 i den totala populationen och i subgruppen av patienter med FeNO ≥ 20 ppb vid baslinjen vid vecka 12 och vecka 52, förändring från baslinjen av totalt poäng på SGRQ-skalan (St. George's Respiratory Questionnaire) vid vecka 52, och årlig frekvens av måttliga eller allvarliga KOL-exacerbationer i subgruppen av patienter med FeNO ≥ 20 ppb vid baslinjen under den 52 veckor långa behandlingsperioden.
Demografin och karakteristika för baslinjen i BOREAS och NOTUS ges i tabell 32.
Tabell 32: Demografin och karakteristika för baslinjen (BOREAS och NOTUS)
Exacerbationer
I båda studierna visade dupilumab en statistiskt signifikant minskning i den årliga frekvensen av måttliga eller allvarliga KOL-exacerbationer jämfört med placebo vid användning som tillägg till underhållsbehandling (bakgrundsbehandling) (se tabell 33).
Tabell 33: Årlig frekvens av måttligaa eller allvarligab KOL-exacerbationer i BOREAS och NOTUS
I båda studierna var det kumulativa genomsnittliga antalet måttliga eller allvarliga exacerbationer, som observerades under 52 veckor, lägre hos patienter som fick dupilumab jämfört med placebo (se figur 11a och 11b).
Figur 11: Kumulativt genomsnittligt antal måttliga eller allvarliga KOL-exacerbationer under 52 veckor i BOREAS och NOTUS
Figur 11a. BOREAS
Figur 11b. NOTUS
Tiden till den första måttliga eller allvarliga KOL-exacerbationen var längre för patienter som fick dupilumab jämfört med placebo i BOREAS (HR: 0,803; 95 % CI: 0,658, 0,980) och NOTUS (HR: 0,71; 95 % CI: 0,57, 0,889).
I subgruppsanalysen av patienter med en högre FeNO (≥ 20 ppb) vid baslinjen i BOREAS (N = 383), minskade behandling med dupilumab statistiskt signifikant den årliga frekvensen av måttliga eller allvarliga KOL-exacerbationer jämfört med placebo (frekvenskvot: 0,625; 95 % CI: 0,45, 0,869; p = 0,005). I NOTUS visade behandling med dupilumab en nominellt signifikant minskning i den årliga frekvensen av måttliga eller allvarliga KOL-exacerbationer i subgruppen av patienter med en högre FeNO (≥ 20 ppb) vid baslinjen (N = 355) jämfört med placebo (frekvenskvot: 0,471; 95 % CI: 0,328, 0,675; p < 0,0001).
Minskningar i den årliga frekvensen av måttliga eller allvarliga exacerbationer observerades i alla fördefinierade subgrupper, inklusive ålder, kön, etnicitet, rökningsstatus, antalet eosinofiler i blodet, antal exacerbationer under föregående år (≤ 2, 3 och ≥ 4), hög dos ICS vid baslinjen, och procent förväntad post-bronkodilator FEV1 vid baslinjen (< 50 %, ≥ 50 %). Hos patienter med emfysem var minskningen av frekvensen av måttliga eller allvarliga exacerbationer överensstämmande med den totala populationen.
Lungfunktion
I båda studierna visade dupilumab en statistiskt signifikant förbättring i pre-bronkodilator FEV1 vid vecka 12 och vecka 52 jämfört med placebo vid användning som tillägg till underhållsbehandling (bakgrundsbehandling) (se tabell 34). Större förbättringar i lungfunktionen (LS medelförändring från baslinjen för pre-bronkodilator FEV1) observerades hos patienter som behandlades med dupilumab jämfört med placebo så tidigt som vecka 2 (BOREAS) (första bedömningen) och vecka 4 (NOTUS) och kvarstod vid vecka 52 (se figur 12a och 12b).
I BOREAS observerades snabba förbättringar i post-bronkodilator FEV1,post-bronkodilator FEV1/FVC-kvot, och pre-bronkodilator FVC med dupilumab jämfört med placebo så tidigt som vecka 2 (första bedömningen) och kvarstod till och med vecka 52. I NOTUS observerades snabba förbättringar i post-bronkodilator FEV1 och post-bronkodilator FEV1/FVC-kvot med dupilumab jämfört med placebo så tidigt som vecka 8 respektive vecka 2, och förbättringarna kvarstod till och med vecka 52.
Tabell 34: Medeländring från baslinjen av effektmått för lungfunktion i BOREAS och NOTUS
Figur 12: Medeländring från baslinjen av pre-bronkodilator FEV1 (l) över tid i BOREAS och NOTUSa
Figur 12a. BOREAS
Figur 12.b NOTUS
a Effektresultat för medeländring från baslinjen av pre-bronkodilator FEV1 över tid visas avseende 721 av 935 patienter som fullföljde behandlingsperioden på 52 veckor eller som hade avbrutit studien vid tidpunkten för dataanalysen.
I subgruppsanalysen av patienter med högre FeNO (≥ 20 ppb) vid baslinjen i BOREAS (N = 383) förbättrade behandlingen med dupilumab statistiskt signifikant pre-bronkodilator FEV1 från baslinjen vid vecka 12 (LS medelförändring: 0,232 dupilumab jämfört med 0,108 placebo; LS medelskillnad: 0,124 [95 % CI: 0,045, 0,203]; p = 0,002) och vecka 52 (LS medelförändring: 0,247 dupilumab jämfört med 0,120 placebo; LS medelskillnad: 0,127 [95 % CI: 0,042, 0,212]; p = 0,003) jämfört med placebo. I NOTUS observerades en statistiskt signifikant förbättring från baslinjen i subgruppen av patienter med en högre baslinje-FeNO (≥ 20 ppb) vid vecka 12 (N = 355; LS medelförändring: 0,221 dupilumab jämfört med 0,081 placebo; LS medelskillnad: 0,141 [95 % CI: 0,058, 0,223]; p = 0,001). Behandling med dupilumab förbättrade pre-bronkodilator FEV1 vid vecka 52 i subgruppen av patienter med högre FeNO (≥ 20 ppb) vid baslinjen jämfört med placebo i NOTUS (N = 264; LS medelförändring: 0,176 dupilumab jämfört med 0,095 placebo; LS medelskillnad: 0,081 [95 % CI: -0,019, 0,181]) men uppfyllde inte statistisk signifikans.
Förbättringar i lungfunktion, mätt i pre-bronkodilator FEV1, observerades i alla fördefinierade subgrupper, inklusive ålder, kön, etnicitet, rökningsstatus, antalet eosinofiler i blodet, antal exacerbationer under föregående år (≤ 2, 3 och ≥ 4), hög dos ICS vid baslinjen, och procent förväntad post-bronkodilator FEV1 vid baslinjen (< 50 %, ≥ 50 %). Hos patienter med emfysem överensstämde förbättringen i lungfunktionen , mätt i pre-bronkodilator FEV1, med den totala populationen.
Hälsorelaterad livskvalitet
I BOREAS observerades en statistiskt signifikant förbättring av totalt poäng på SGRQ-skalan hos patienter som behandlades med dupilumab jämfört med placebo (LS medelförändring: -9,73 dupilumab jämfört med -6,37 placebo; LS medelskillnad: -3,36 [95 % CI: -5,46, -1,27]; p = 0,0017). I NOTUS förbättrade dupilumab nominellt SGRQ-totalpoängen vid vecka 52 jämfört med placebo (LS medelförändring: -9,82 dupilumab jämfört med -6,44 placebo; LS medelskillnad: -3,37; 95 % CI: -5,81, -0,93]; p = 0,007).
Patienter med post-bronkodilator FEV1 < 30 % eller > 70 %
Patienter med post-bronkodilator FEV1 < 30 % eller > 70 % vid screening var exkluderade från BOREAS och NOTUS. Begränsade data finns dock tillgängliga från patienter med post-bronkodilator FEV1 < 30 % eller > 70 % vid baslinjen.
Klinisk effekt vid kronisk spontan urtikaria
Utvecklingsprogrammet för kronisk spontan urtikaria inkluderade tre randomiserade, dubbelblinda, placebokontrollerade multicenterstudier med parallellgrupper med 24-veckors behandling (CUPID-studie A, CUPID-studie B och CUPID-studie C). I alla kliniska studier inom kronisk spontan urtikaria användes dupilumab tillsammans med H1-antihistaminer. Effekten av dupilumab hos patienter med kronisk spontan urtikaria stöds av CUPID-studierna A och C som inkluderade vuxna och pediatriska patienter (6 till 17 år) som var symtomatiska trots användning av H1-antihistaminer och som inte tidigare hade behandlats med anti-IgE-läkemedel. Säkerheten för dupilumab hos patienter med kronisk spontan urtikaria stöds av CUPID-studierna A, B och C. I CUPID-studierna fick patienterna i dupilumabgruppen subkutana injektioner av dupilumab 600 mg dag 1, följt av 300 mg varannan vecka. Unga patienter med en kroppsvikt < 60 kg fick 400 mg dupilumab dag 1, följt av 200 mg varannan vecka.
CUPID-studierna A och C
I CUPID-studierna A och C utvärderades effekten av dupilumab hos deltagare med kronisk spontan urtikaria som var symtomatiska trots användning av H1-antihistaminer och som inte tidigare hade fått anti-IgE-läkemedel. I dessa studier inkluderades 289 patienter i åldern 6 år och äldre som randomiserades till att få dupilumab varannan vecka (N = 144) eller placebo (N = 145) som tillägg till bakgrundsbehandling med antihistaminer.
Det primära effektmåttet var förändring från baslinjen i poäng för urtikariaaktiviteten över 7 dagar (urticaria activity score, UAS7) vid vecka 24. Sjukdomens svårighetsgrad mättes med poäng för urtikariaaktiviteten över 7 dagar (UAS7, intervall 0–42), som är en sammansättning av poängen för svårighetsgraden av klåda över 7 dagar (weekly itch severity score ISS7, intervall 0–21) och poängen för svårighetsgraden av nässelutslag över 7 dagar (weekly hive severity score HSS7, intervall 0–21).
Det huvudsakliga sekundära effektmåttet var ändringen från baslinjen i poängen för svårighetsgraden av klåda över 7 dagar (ISS7) vid vecka 24. ISS7-poängen definierades som summan av poängen för svårighetsgraden av daglig klåda (daily itch severity score, ISS) som registrerades vid samma tidpunkt varje dag under en 7-dagarsperiod (intervall 0–21). Ytterligare sekundära effektmått inkluderade ändringen från baslinjen i poängen för svårighetsgraden av nässelutslag över 7 dagar (HSS7) vid vecka 24 och andelen patienter med UAS7-poäng ≤ 6 och UAS7 = 0 vid vecka 24.
Demografin och karakteristika för baslinjen i CUPID-studierna A och C anges i tabell 35 nedan.
Tabell 35: Demografin och karakteristika för baslinjen i CUPID-studierna A och C
Resultaten av de primära och sekundära effektmåtten i CUPID-studierna A och C visas i tabell 36.
Tabell 36 Resultaten av de primära och sekundära effektmåtten i CUPID-studierna A och C
a Värden som visas är LS medeländring från baslinjen (SE) för kontinuerliga variabler och procentandelen patienter som svarade för binära variabler.
b Skillnad är LS medelskillnad för kontinuerliga variabler och oddskvot för binära variabler.
Behandling med dupilumab ledde till en förbättring över tiden i UAS7 under behandlingsperioden på 24 veckor (figur 13).
Figur 13: LS medeländring från baslinjen i UAS7 fram till vecka 24 i ITT-populationen i CUPID-studierna A och C
Liknande förbättring i HSS7 och ISS7 observerades över 24 veckor.
Pediatrisk population
Atopisk dermatit
Säkerhet och effekt för dupilumab har fastställts hos pediatriska patienter i åldern 6 månader och äldre med atopisk dermatit. Användning av dupilumab i denna åldersgrupp stöds av studie AD-1526 vilken omfattade 251 ungdomar i åldrarna 12 till 17 år med måttlig till svår atopisk dermatit, i studie AD-1652 vilken omfattade 367 pediatriska patienter i åldrarna 6 till 11 år med svår atopisk dermatit, och studie AD-1539 vilken omfattade 162 barn i åldrarna 6 månader till 5 år med måttlig till svår atopisk dermatit (125 av dessa barn hade svår atopisk dermatit). Långtidsanvändning stöds av studie AD-1434 vilken inkluderade 823 pediatriska patienter i åldrarna 6 månader till 17 år, inklusive 275 ungdomar, 368 barn i åldrarna 6 till 11 år, och 180 barn i åldern 6 månader till 5 år. Säkerhet och effekt var generellt jämförbar mellan barn i åldern 6 månader till 5 år, 6 till 11 år, ungdomar (12 till 17 år) och vuxna med atopisk dermatit (se avsnitt 4.8). Säkerhet och effekt hos pediatriska patienter (< 6 månader) med atopisk dermatit har inte fastställts.
Astma
Totalt ingick 107 ungdomar i åldrarna 12 till 17 år med måttlig till svår astma i QUEST-studien och fick antingen 200 mg (N=21) eller 300 mg (N=18) dupilumab (eller motsvarande placebo antingen 200 mg [N=34] eller 300 mg [N=34]) varannan vecka. Effekt med avseende på allvarliga astmaexacerbationer och lungfunktion observerades hos både ungdomar och vuxna. För både doserna 200 mg och 300 mg varannan vecka observerades signifikanta förbättringar i FEV1 (LS-medeländring från baslinjen vid vecka 12) (0,36 l respektive 0,27 l). För dosen 200 mg varannan vecka hade patienterna en minskning av frekvensen av allvarliga exacerbationer som var förenliga med vuxna. Säkerhetsprofilen hos ungdomar var i allmänhet liknande vuxna.
Totalt 89 ungdomar i åldern 12 till 17 år med måttlig till svår astma inkluderades i den öppna långtidsstudien (TRAVERSE). Resultaten i den här studien, effekten mättes som ett sekundärt effektmått, liknande de som observerats i de pivotala studierna och bibehölls i upp till 96 veckor.
Totalt 408 barn i ålder 6 till 11 år med måttligt till svår astma inkluderas i VOYAGE studien, med undersökta doser av 100 mg varannan vecka och 200 mg varannan vecka. Effekten av dupilumab 300 mg var fjärde vecka hos barn 6 till 11 år är extrapolerad från effekten av 100 mg och 200 mg varannan vecka i VOYAGE och 200 mg och 300 mg varannan vecka till vuxna och ungdomar (QUEST). Patienter som fullföljde behandlingen i VOYAGE studien kunde delta i den öppna långtidsstudien (EXCURSION). Arton patienter (≥ 15 kg till < 30 kg) av totalt 365 patienter fick 300 mg var fjärde vecka i den här studien, och säkerhetsprofilen var liknande den som sågs i VOYAGE. Säkerhet och effekt hos pediatriska patienter < 6 års ålder med astma har inte fastställts.
Eosinofil esofagit
Säkerhet och effekt av dupilumab för behandling av eosinofil esofagit har fastställts hos pediatriska patienter i åldern 1 till 17 år. Användning av dupilumab i denna population stöds av adekvata och välkontrollerade studier och ytterligare farmakokinetiska data. Totalt 72 pediatriska patienter i åldern 12 till 17 år fick dupilumab 300 mg en gång per vecka eller placebo i 24 veckor (TREET del A och del B). Av dessa behandlades 37 patienter med dupilumab i delarna A och B; 34 fortsatte behandlingen med 300 mg en gång per vecka i ytterligare 28 veckor (TREET del C). Totalt 71 pediatriska patienter i åldern 1 till 11 år fick dupilumab 100 mg varannan vecka, 200 mg varannan vecka, 300 mg varannan vecka eller placebo i 16 veckor (EoE KIDS del A). Av dessa behandlades 37 patienter med dupilumab i del A och alla fortsatte behandlingen med dessa dupilumab-regimer i ytterligare 36 veckor (EoE KIDS del B). Användning av dupilumab 300 mg en gång per vecka hos patienter i åldern 1 till 11 år med eosinofil esofagit, med en kroppsvikt på ≥ 40 kg stöds även av en farmakokinetisk populationsanalys (se avsnitt 5.1). Säkerhet och effekt för dupilumab hos vuxna och pediatriska patienter var liknande (se avsnitt 4.8 och avsnitt 5.1).
Kronisk spontan urtikaria
Säkerhet och effekt av dupilumab för behandling av kronisk spontan urtikaria har fastställts hos pediatriska patienter i åldern 2 till 17 år.
Säkerhet och effekt hos pediatriska patienter under 2 år med kronisk spontan urtikaria har inte fastställts (se avsnitt 4.2).
Totalt 12 ungdomar i åldern 12 till 17 år med kronisk spontan urtikaria inkluderades i CUPID-studierna A, B och C och fick dupilumab 200 mg varannan vecka (kroppsvikt 30 kg till < 60 kg), 300 mg varannan vecka (kroppsvikt ≥ 60 kg) eller placebo. Effekten av dupilumab för behandling av kronisk spontan urtikaria hos ungdomar baseras på extrapolering av effekten hos vuxna med detta tillstånd. Den rekommenderade dosen för ungdomar är baserad på kroppsvikt.
Totalt 20 pediatriska patienter i åldern 2 till 11 år med kronisk spontan urtikaria inkluderades i CUPID-studierna (A och C) och PKM16982. 18 barn fick dupilumab (200 mg var fjärde vecka [5 kg till < 15 kg), 300 mg var fjärde vecka [15 kg till < 30 kg] eller 200 mg varannan vecka [30 kg till < 60 kg]) och 2 fick placebo. Effekten av dupilumab för behandling av kronisk spontan urtikaria hos pediatriska patienter i åldern 2 till 11 år baseras på extrapolering av effekten hos vuxna med detta tillstånd. Den rekommenderade dosen för pediatriska patienter är baserad på kroppsvikt.
Effekten av dupilumab för behandling av kronisk spontan urtikaria hos barn i åldern 2 till 11 år stöds ytterligare av studien PKM16982 som inkluderade 15 patienter som fick 200 mg var fjärde vecka (N = 1), 300 mg var fjärde vecka (N = 6) eller 200 mg varannan vecka (N = 8).
Europeiska läkemedelsmyndigheten har senarelagt kravet att skicka in studieresultat för dupilumab för en eller flera grupper av den pediatriska populationen för astma (information om pediatrisk användning finns i avsnitt 4.2). Europeiska läkemedelsmyndigheten har beviljat undantag till kravet att lämna in studieresultat för dupilumab för samtliga grupper av den pediatriska populationen för behandling av nasal polypos, prurigo nodularis, kroniskt obstruktiv lungsjukdom och bullös pemfigoid (se avsnitt 4.2 för information gällande pediatrisk användning).
Farmakokinetiken för dupilumab är liknande hos patienter med atopisk dermatit, astma, kronisk rinosinuit med näspolyper, prurigo nodularis, eosinofil esofagit, KOL och kronisk spontan urtikaria.
Absorption
Efter en subkutan enkeldos på 75-600 mg dupilumab till vuxna var mediantid till maximal koncentration i serum (tmax) 3-7 dagar. Dupilumabs absoluta biotillgänglighet efter en subkutan dos är liknande mellan patienter med atopisk dermatit, astma, kronisk rinosinuit med näspolyper, eosinofil esofagit, KOL och kronisk spontan urtikaria, vilket varierar mellan 61 % och 64 % beräknat utifrån farmakokinetisk (PK) populationsanalys.
Steady-state-koncentrationer uppnåddes i vecka 16 efter administrering av en 600 mg startdos och därefter 300 mg varannan vecka eller 300 mg varannan vecka utan startdos. I kliniska studier varierade steady-state-koncentrationen (medel ± SD) från 55,3±34,3 µg/ml till 81,5±43,9 µg/ml för 300 mg administrerat varannan vecka, från 172±76,6 µg/ml till 195±71,7 µg/ml för 300 mg administrerat varje vecka, och från 29,2±18,7 till 36,5±22,2 µg/ml för 200 mg administrerad varannan vecka .
Distribution
En distributionsvolym för dupilumab på cirka 4,6 l uppskattades med hjälp av farmakokinetisk populationsanalys, vilket tyder på att dupilumab främst distribueras vaskulärt.
Metabolism
Specifika metabolismstudier har inte genomförts eftersom dupilumab är ett protein. Dupilumab förväntas brytas ner till små peptider och individuella aminosyror.
Eliminering
Dupilumabs elimination medieras parallellt genom linjära och icke-linjära vägar. Vid högre koncentrationer sker dupilumab-elimination primärt genom ej mättnadsbar proteolytisk väg medan den vid lägre koncentrationer domineras av icke-linjär mättnadsbar IL-4Rα-målmedierad elimination.
Efter den sista steady-state-dosen med dupilumab 300 mg varje vecka, 300 mg varannan vecka, 200 mg varannan vecka, 300 mg var fjärde vecka, eller 200 mg var fjärde vecka tar det i medianfallet 9–13 veckor hos vuxna och ungdomar, samt uppskattningsvis 1,5 gånger och 2,5 gånger längre hos pediatriska patienter i åldrarna 6 till 11 år respektive pediatriska patienter under 6 års ålder, för dupilumab att sjunka under den lägre detektionsgränsen, uppskattat med farmakokinetisk populationsanalys.
Linjäritet/icke-linjäritet
På grunda av icke-linjärt clearance ökar dupilumab-exponeringen, mätt som ytan under koncentration-tid-kurvan, mer än proportionellt med dosen efter subkutana enkeldoser på 75-600 mg.
Särskilda patientgrupper
Kön
Inget samband kunde hittas mellan kön och någon kliniskt relevant påverkan på systemexponering av dupilumab, enligt resultat av farmakokinetisk populationsanalys.
Äldre
Av de 1 539 patienter med atopisk dermatit, inklusive patienter med atopisk dermatit på händer och fötter, som exponerades för dupilumab i en fas 2 dosintervallstudie eller fas 3 placebokontrollerade studier var totalt 71 äldre än 65 år. Även om inga skillnader i säkerhet eller effekt observerades mellan äldre och yngre vuxna atopiska dermatit patienter, är antalet patienter över 65 år inte stort nog för att avgöra om de svarar annorlunda på behandlingen än yngre patienter.
Inget samband kunde hittas mellan ålder och någon kliniskt relevant påverkan på systemexponering av dupilumab, enligt resultat av farmakokinetisk populationsanalys. Det var dock bara 61 patienter över 65 år inkluderade i denna analys.
Av de 1 977 patienter med astma exponerade för dupilumab, var totalt 240 patienter 65 år eller äldre och 39 patienter var 75 år eller äldre. Effekt och säkerhet i denna åldersgrupp liknade den totala studiepopulationen.
Endast 79 patienter äldre än 65 år med kronisk rinosinuit med näspolyper har exponerats för dupilumab, och 11 av dem var 75 år eller äldre.
Av de 152 patienter med prurigo nodularis som exponerades för dupilumab var 37 i åldern 65 år eller äldre. Totalt 8 patienter var 75 år eller äldre. Effekten och säkerheten i dessa åldersgrupper var liknande som i hela studiepopulationen.
Enbart 2 patienter äldre än 65 år med eosinofil esofagit exponerades för dupilumab.
Av de 938 patienter med KOL som exponerades för dupilumab var totalt 551 i åldern 65 år och äldre, inklusive 116 patienter i åldern 75 år och äldre. Effekten och säkerheten i denna åldersgrupp var liknande som i hela studiepopulationen.
Av de 198 patienter med kronisk spontan urtikaria som exponerades för dupilumab var totalt 30 i åldern 65 år och äldre, inklusive 7 patienter i åldern 75 år och äldre. Effekten och säkerheten i denna åldersgrupp var liknande som i hela studiepopulationen.
Etnicitet
Inget samband kunde hittas mellan ras och någon kliniskt relevant påverkan på systemexponering av dupilumab, enligt resultat av farmakokinetisk populationsanalys.
Nedsatt leverfunktion
Dupilumab, som är en monoklonal antikropp, förväntas inte genomgå signifikant hepatisk elimination. Inga kliniska studier har utförts för att undersöka effekten av nedsatt leverfunktion på dupilumabs farmakokinetik.
Nedsatt njurfunktion
Dupilumab, som är en monoklonal antikropp, förväntas inte genomgå signifikant renal elimination. Inga kliniska studier har utförts för att undersöka effekten av nedsatt njurfunktion på dupilumabs farmakokinetik. Inget samband kunde hittas mellan milt eller måttligt nedsatt njurfunktion och någon kliniskt relevant påverkan på systemexponering av dupilumab, enligt resultat av farmakokinetisk populationsanalys. Mycket begränsade data finns i patienter med svårt nedsatt njurfunktion.
Kroppsvikt
Dupilumabs dalkoncentrationer var lägre hos personer med högre kroppsvikt, men utan relevant påverkan på effekten. Endast 6 patienter som exponerades för dupilumab hade en kroppsvikt på ≥130 kg i de kliniska studierna på patienter med kronisk rinosinuit med näspolyper.
Pediatrisk population
Atopisk dermatit
Baserat på farmakokinetisk populationsanalys inverkade inte åldern på clearance av dupilumab hos vuxna och pediatriska patienter i åldrarna 6 till 17 år. Hos pediatriska patienter i åldern 6 månader till 5 år ökade clearance med åldern men den rekommenderade dosregimen anpassas därefter.
Dupilumabs farmakokinetik hos barn (<6 månader) eller kroppsvikt <5 kg med atopisk dermatit har inte studerats.
För ungdomar i åldern 12 till 17 år med atopisk dermatit som fick varannan vecka dosering med antingen 200 mg (<60 kg) eller 300 mg (≥60 kg) var den genomsnittliga ± SD steady-state-koncentrationen av dupilumab 54,5 ± 27,0 µg/ml.
För barn i åldern 6 till 11 år med atopisk dermatit som fick var fjärde vecka dosering med 300 mg (≥ 15 kg) i AD-1652 var den genomsnittliga ± SD steady-state-koncentrationen 76,3 ± 37,2 µg/ml. Vid vecka 16 i AD-1434 hos barn i åldern 6 till 11 år som påbörjade dosering med 300 mg (≥ 15 kg) var fjärde vecka och vars dos ökades till varannan veckas dosering med 200 mg ( ≥ 15 till <60 kg) eller till 300 mg (≥ 60 kg) var den genomsnittliga ± SD steady-state koncentration 108 ± 53,8 µg/ml. För barn i åldern 6 till 11 år som får 300 mg var fjärde vecka, ger initiala doser på 300 mg dag 1 och 15 liknande steady-state-exponering som en initial dos på 600 mg dag 1, baserat på PK-simuleringar.
För barn i åldern 6 månader till 5 år med atopisk dermatit som fick behandling var fjärde vecka med 300 mg (≥ 15 till < 30 kg) eller 200 mg (≥ 5 till < 15 kg) var den genomsnittliga ± SD steady-state-dalkoncentrationen 110 ± 42,8 µg/ml respektive 109 ± 50,8 µg/ml.
Astma
Dupilumabs farmakokinetik hos pediatriska patienter (< 6 år) med astma har inte studerats.
Totalt ingick 107 ungdomar i åldern 12 till 17 år med astma i QUEST-studien. De genomsnittliga steady-state-koncentrationerna ± SD av dupilumab var 107 ± 51,6 µg/ml respektive 46,7 ± 26,9 µg/ml, för 300 mg eller 200 mg administrerade varannan vecka. Ingen åldersrelaterad farmakokinetisk skillnad observerades hos ungdomar efter korrigering för kroppsvikt.
I VOYAGE-studien, undersöktes farmakokinetiken hos dupilumab hos 270 patienter med måttlig till svår astma efter subkutan administrering av antingen 100 mg varannan vecka (till 91 barn med vikt < 30 kg) eller 200 mg varannan vecka (till 179 barn med vikt ≥ 30 kg). Distributionsvolymen för dupilumab var ungefär 3,7 l beräknat utifrån farmakokinetisk (PK) populationsanalys. Steady-state koncentration uppnåddes vid vecka 12. Den genomsnittliga ± SD steady-state-koncentrationen var 58,4±28,0 µg/ml respektive 85,1±44,9 µg/ml. Simulering av en subkutan dos på 300 mg var fjärde vecka till barn 6 till 11 år med kroppsvikt ≥ 15 kg till < 30 kg och ≥ 30 kg till < 60 kg resulterade i förväntad steady-state-koncentration liknande som den observerade koncentrationerna för 200 mg varannan vecka (≥ 30 kg) respektive 100 mg varannan vecka (< 30 kg). Dessutom, simulering av en subkutan administrering av 300 mg var fjärde vecka till barn 6 till 11 år med kroppsvikt ≥ 15 kg till < 60 kg resulterade i förväntad steady-state-koncentration liknande den som visats vara effektiv hos vuxna och ungdomar. Beräknat utifrån farmakokinetisk (PK) populationsanalys var genomsnittlig tid för minskning av dupilumabkoncentrationen under den lägre gränsen för mätbarhet efter den sista steady-state dosen 14 till 18 veckor för 100 mg varannan vecka, 200 mg varannan vecka eller 300 mg var fjärde vecka.
Kronisk rinosinuit med näspolyper
Kronisk rinosinuit med näspolyper uppträder vanligtvis inte hos barn. Dupilumabs farmakokinetik har inte studerats i pediatriska patienter (<18 års ålder) med kronisk rinosinuit med näspolyper.
Prurigo nodularis
Farmakokinetiken av dupilumab hos pediatriska patienter (< 18 år) med prurigo nodularis har inte studerats.
Eosinofil esofagit
Totalt 35 ungdomar i åldern 12 till 17 år med eosinofil esofagit och med en kroppsvikt på ≥ 40 kg inkluderades i TREET del A och B och fick 300 mg varje vecka. Den genomsnittliga steady-state-dalkoncentrationen av dupilumab var 227 (SD 95,3 µg/ml).
I en klinisk studie (EoE KIDS del A) undersöktes farmakokinetiken för dupilumab hos 36 barn i åldern 1 till 11 år med eosinofil esofagit som fick dupilumab [≥ 5 till < 15 kg (100 mg varannan vecka), ≥ 15 till < 30 kg (200 mg varannan vecka) och ≥ 30 till < 60 kg (300 mg varannan vecka)], den genomsnittliga ± SD steady-state-dalkoncentrationen för dupilumab var 163±60,8 µg/ml.
Simuleringar för pediatriska patienter i åldern 1 till 11 år utfördes med en populationsfarmakokinetisk modell för att förutsäga dalkoncentrationer av dupilumab vid steady-state enligt följande: ≥ 15 till < 30 kg som fick 200 mg varannan vecka (170±78 µg/ml); ≥ 30 till < 40 kg som fick 300 mg varannan vecka (158±63 µg/ml); eller ≥ 40 kg som fick 300 mg en gång per vecka (276±99 µg/ml). Dalkoncentrationer vid steady-state simulerades också för vuxna patienter och pediatriska patienter i åldern 12 till 17 år och patienter med en vikt på ≥ 30 till < 40 kg som fick 300 mg varannan vecka (159±61 µg/ml).
KOL
KOL förekommer normalt inte hos barn. Farmakokinetiken av dupilumab hos pediatriska patienter (< 18 år) med KOL har inte studerats.
Kronisk spontan urtikaria
Användning av dupilumab 200 mg var fjärde vecka, 300 mg var fjärde vecka eller 200 mg varannan vecka hos pediatriska patienter i åldern 2 till 11 år med kronisk spontan urtikaria, med en kroppsvikt på < 60 kg stöds även av en farmakokinetisk populationsanalys.
Farmakokinetiken hos pediatriska patienter under 2 år med kronisk spontan urtikaria har inte fastställts.Totalt 12 ungdomar i åldern 12 till 17 år med kronisk spontan urtikaria inkluderades i CUPID-studierna A, B och C. De observerade dalkoncentrationerna vid steady-state för de 5 ungdomar med kronisk spontan urtikaria som fick dupilumab 300 mg varannan vecka eller 200 mg varannan vecka i 24 veckor låg inom intervallet för de individuella dalkoncentrationerna vid steady-state hos vuxna patienter med kronisk spontan urtikaria som fick dupilumab 300 mg varannan vecka i 24 veckor.
Totalt 20 barn i åldern 2 till 11 år med kronisk spontan urtikaria inkluderades i studierna PKM16982 och CUPID (A och C). Vid vecka 24 var den observerade genomsnittliga dalkoncentrationen vid steady-state (± SD) 91,1±39,4 mikrogram/ml för de 18 pediatriska patienterna i åldern 2 till 11 år med kronisk spontan urtikaria som fick dupilumab 200 mg var fjärde vecka, 300 mg var fjärde vecka eller 200 mg varannan vecka.
Gängse studier avseende upprepad dos-toxicitetsstudier (inklusive säkerhetsfarmakologiska effektmått), samt reproduktions- och utvecklingstoxicitetsstudier visade inte på några särskilda risker för människa.
Dupilumabs mutagena potential har inte utvärderats, monoklonala antikroppar förväntas dock inte påverka DNA eller kromosomer.
Karcinogenicitetsstudier har inte genomförts med dupilumab. En utvärdering av tillgängliga data gällande IL-4Rα-hämning och djurtoxikologiska data med surrogat-antikroppar tyder inte på någon ökad karcinogen potential för dupilumab.
Vid en reproduktionstoxikologisk studie på apor, där surrogat-antikroppar specifika mot apans IL-4Rα användes, sågs inga fetala abnormaliteter vid doser som mättade IL-4Rα.
En kombinerad segment II och III pre- och postnatal utvecklingsstudie påvisade inga biverkningar på moderdjuren eller deras avkomma upp till 6 månader efter födseln.
Fertilitetsstudier utförda på han- och honmöss där surrogatantikroppar mot IL-4Rα användes visade inte på någon försämring av fertiliteten (se avsnitt 4.6).
Farmakoterapeutisk grupp: Övriga dermatologiska medel, medel vid dermatit, exkl. kortikosteroider
ATC-kod: D11AH05
Verkningsmekanism
Dupilumab är en rekombinant human IgG4-monoklonal antikropp som hämmar interleukin-4- och interleukin-13-signalering. Dupilumab hämmar IL-4-signalering via typ I-receptorn (IL-4Rα/γc), samt både IL-4- och IL-13-signalering genom typ II-receptorn (IL-4Rα/IL-13Rα).
IL-4 och IL-13 är viktiga signalämnen inom typ 2-inflammation hos människor, såsom atopisk dermatit, astma, kronisk rinosinuit med näspolyper, prurigo nodularis, eosinofil esofagit, KOL och kronisk spontan urtikaria. Blockering av verkningsmekanismvägen för IL-4/IL-13 med dupilumab hos patienter minskar många av markörerna som associeras med typ 2-inflammation.
Farmakodynamisk effekt
I kliniska prövningar vid atopisk dermatit associerades dupilumab-behandling med en koncentrationsminskning från baslinjen av biomarkörer för typ 2-immunitet såsom tymus- och aktiveringsreglerad kemokin (TARC/CCL17), total serum IgE och allergenspecifik IgE i serum. En minskning av laktatdehydrogenas (LDH), en biomarkör associerad med aktivitet och svårighetsgrad av atopisk dermatit, observerades vid dupilumab-behandling hos vuxna och ungdomar med atopisk dermatit.
Hos vuxna och ungdomar med astma minskade FeNO markant och i cirkulationen minskade koncentrationer av de typ 2-biomarkörer som utvärderades i kliniska prövningar, eotaxin-3, total IgE, allergenspecifik IgE, TARC och periostin, signifikant vid behandling med dupilumab jämfört med placebo. Dessa reduktioner av typ 2-inflammatoriska biomarkörer var likvärdiga för regimerna 200 mg varannan vecka och 300 mg varannan vecka. Hos barn (6 till 11 år) med astma minskade FeNO markant och i cirkulationen minskade koncentrationer av de typ 2-biomarkörer som utvärderades i kliniska prövningar, total IgE, allergenspecifik IgE och TARC, signifikant vid behandling med dupilumab jämfört med placebo. Dessa markörer uppnådde nästan maximal reduktion efter 2 veckors behandling, förutom IgE som avtog långsammare. Dessa effekter kvarstod under hela behandlingen.
Hos patienter med KOL minskade typ 2-biomarkörer, inklusive FeNO och total IgE, vid behandling med dupilumab jämfört med placebo. Minskningarna av FeNO observerades senast vecka 4. Dessa effekter på typ 2-biomarkörer bibehölls under hela behandlingen med dupilumab.
Klinisk effekt och säkerhet vid atopisk dermatit
Vuxna med atopisk dermatit
Effekt och säkerhet av dupilumab som monoterapi och med samtidig behandling med topikala kortikosteroider utvärderades i tre pivotala randomiserade, dubbelblinda, placebokontrollerade studier (SOLO 1, SOLO 2 och CHRONOS) hos 2119 patienter över 18 års ålder med måttlig till svår atopisk dermatit (AD) definierat som Investigator’s Global Assessment (IGA)-poäng ≥3, Eczema Area and Severity Index (EASI)-poäng ≥16, och en minsta påverkad hudyta (BSA) på ≥10 %. Patienter som inkluderades i de tre studierna hade tidigare svarat otillräckligt på topikal behandling.
I alla tre studierna fick patienterna subkutana (s.c.) injektioner av dupilumab administrerat som antingen 1) en initial dos på 600 mg dupilumab (två 300 mg-injektioner) dag 1 följt av 300 mg en gång varannan vecka, eller 2) en initial dos på 600 mg dupilumab dag 1 följt av 300 mg en gång per vecka, eller 3) motsvarande placebo. Vid behov av kontroll av intolerabla symtom av atopisk dermatit tilläts patienterna undsättningsbehandling (som inkluderade mer potenta topikala steroider eller systemiska immunsuppressiva produkter) efter bedömning av prövaren. De patienter som behövde undsättningsbehandling ansågs inte svara på behandling med dupilumab.
Effektmått
I alla de tre pivotala studierna var de primära deleffektmåtten andelen patienter med IGA 0 eller 1 (”symtomfri” eller ”nästan symtomfri”) med en minskning på ≥2 poäng på en IGA-skala 0-4, och andelen patienter med en förbättring på minst 75 % i EASI (EASI-75). De huvudsakliga sekundära och andra kliniskt relevanta sekundära effektmått visas i tabell 9.
Karaktäristika vid studiestart
I monoterapistudierna (SOLO 1 och SOLO 2) var för alla behandlingsgrupper genomsnittlig ålder 38,3 år, genomsnittlig vikt 76,9 kg, 42,1 % var kvinnor, 68,1 % var vita, 21,8 % var asiater och 6,8 % var svarta. I dessa studier hade 51,6 % av patienterna IGA-poäng 3 vid baslinjen (måttlig AD), 48,3 % hade IGA-poäng 4 vid baslinjen (svår AD) och 32,4 % av patienterna hade tidigare fått systemisk immunsuppressiv behandling. Medelvärde vid baslinjen för EASI var 33,0, medelvärde per vecka för pruritus-NRS (Numerical Rating Scale) var 7,4, medelpoäng vid baslinjen för POEM var 20,5, medelvärde vid baslinjen för DLQI var 15,0 och medelvärde vid baslinjen för HADS totalpoäng var 13,3.
I studien med samtidig medicinering med TCS (CHRONOS) var för alla behandlingsgrupper genomsnittlig ålder 37,1 år, genomsnittlig vikt 74,5 kg, 39,7 % var kvinnor, 66,2 % var vita, 27,2 % var asiater och 4,6 % var svarta. I denna studie hade 53,1 % av patienterna IGA-poäng 3 vid baslinjen, 46,9 % av patienterna hade IGA-poäng 4 och 33,6 % av patienterna hade tidigare fått systemisk immunsuppressiv behandling. Medelvärde vid baslinjen för EASI var 32,5, medelvärde per vecka för pruritus-NRS var 7,3, medelpoäng vid baslinjen för POEM var 20,1, medelpoäng vid baslinjen för DLQI var 14,5 och medelvärde vid baslinjen för HADS totalpoäng var 12,7.
Kliniskt svar
16-veckors monoterapistudier (SOLO 1 och SOLO 2) och en 52-veckorsstudie med samtidig TCS-behandling (CHRONOS)
I SOLO 1, SOLO 2 och CHRONOS, från baslinjen till vecka 16, fick en signifikant större andel av de patienter som randomiserats till dupilumab IGA-poäng på 0 eller 1, EASI-75 och/eller en förbättring med ≥4 poäng i pruritus-NRS (huvudsakligt sekundärt effektmått) jämfört med placebo (se tabell 9).
En signifikant större andel av de patienter som randomiserats till dupilumab ensamt eller tillsammans med TCS fick en snabb förbättring i pruritus-NRS jämfört med placebo eller placebo + TCS (definierat som ≥4 poängs förbättring så tidigt som vecka 2, p < 0,01 respektive p < 0,05).
En bestående behandlingseffekt av dupilumab observerades i CHRONOS-studien upp till vecka 52 (se tabell 9).
Effektresultaten för primära deleffektmått, huvudsakliga sekundära effektmått och andra kliniskt relevanta sekundära effektmått för alla tre studier visas i tabell 9.
Tabell 9: Effektresultat för dupilumab monoterapi vid vecka 16 (FAS) och med samtidig TCSa vid vecka 16 och vecka 52
LS = minsta kvadrat; SE= standardfel
aAlla patienter fick topikala kortikosteroider som bakgrundsbehandling och patienterna tilläts använda topikala kalcineurinhämmare.
bFullt analysset (FAS) inkluderar alla randomiserade patienter.
cSvarande definierades som en patient med IGA 0 eller 1 (”symtomfri” eller ”nästan symtomfri”) med minskning på ≥ 2 poäng på en IGA-skala 0–4.
dPatienter som fick undsättningsbehandling eller saknade data ansågs som ej svarande.
eAntal patienter med pruritus-NRS-poäng ≥ 4 vid baslinjen som nämnare.
fEn signifikant större andel patienter behandlade med dupilumab fick förbättring i pruritus-NRS-poäng på ≥ 4 jämfört med placebo vid vecka 2 (p < 0,01).
gp-värde < 0,0001, statistiskt signifikant jämfört med placebo efter justering för multiplicitet.
hFullt analysset (FAS), inkluderar alla randomiserade patienter. FAS vecka 52 inkluderar alla patienter som randomiserats minst ett år innan datum för primäranalys.
inominellt p-värde = 0,0005
jnominellt p-värde < 0,0001
I SOLO1, SOLO2 och CHRONOS observerades liknande resultat hos patienter som fick dupilumab 300 mg en gång per vecka.
Figur 1a och Figur 1b visar medelförändringen i procent från baslinjen i EASI respektive medelförändringen i procent från baslinjen i NRS fram till vecka 16 i SOLO1 och SOLO2.
Figur 2a och Figur 2b visar medelförändringen i procent från baslinjen i EASI respektive medelförändringen i procent från baslinjen i NRS fram till vecka 52 i CHRONOS.
LS = minsta kvadrat
a I primäranalysen av effektmåtten ansågs de patienter som fick undsättningsbehandling eller som saknade data som ej svarande.
b Fullt analysset (FAS), inkluderar alla randomiserade patienter.
Figur 2: Medelprocentändring från baslinjen i EASI och pruritus-NRS i CHRONOSa (FAS vecka 52)b
LS = minsta kvadrat
a I primäranalysen av effektmåtten ansågs de patienter som fick undsättningsbehandling eller som saknade data som ej svarande.
b FAS vecka 52 inkluderar alla patienter som randomiserats minst ett år innan datum för primäranalys.
Behandlingseffekter i subgrupper (vikt, ålder, kön, etnicitet, bakgrundsbehandling inklusive immunsuppressiv behandling) i SOLO 1, SOLO 2 och CHRONOS var i enlighet med resultaten i hela studiepopulationen inom alla dessa studier.
Kliniskt svar hos patienter som inte är tillräckligt välkontrollerade med, inte tål eller inte bör använda ciklosporin (CAFE-studien)
CAFE-studien utvärderade effekten av dupilumab jämfört med placebo under en 16-veckors behandlingsperiod, administrerat med samtidig TCS i vuxna patienter med AD som inte är tillräckligt välkontrollerade med eller inte tål oralt ciklosporin, eller när denna behandling för närvarande är kontraindicerad eller inte medicinsk lämplig.
Totalt 325 patienter inkluderades, där 210 patienter som tidigare exponerats för ciklosporin och 115 patienter som aldrig exponerats för ciklosporin på grund av att ciklosporinbehandling inte var medicinskt lämpligt. Medelåldern var 38,4 år, 38,8 % var kvinnor, medelpoäng för EASI vid baslinjen var 33,1, medel-BSA var 55,7, veckogenomsnittet för pruritus-NRS var 6,4 vid baslinjen, och medel-DLQI var vid baslinjen 13,8.
Det primära effektmåttet (andelen patienter med EASI-75) och de sekundära effektmåtten i 16-veckors CAFE-studien summeras i tabell 10.
Tabell 10: Resultat för primära och sekundära effektmått i CAFE-studien
(alla p-värden < 0,0001, statistiskt signifikant jämfört med placebo efter justering för multiplicitet.)
I subgruppen av patienter i 52 veckors CHRONOS studien som liknade CAFE studiepopulationen uppnådde 69,6 % av patienterna med 300 mg dupilumab varannan vecka EASI-75 jämfört med 18,0 hos placebogruppen vecka 16, och 52,4 % av gruppen med 300 mg dupilumab varannan vecka jämfört med 18,6 % hos placebogruppen vecka 52. I denna subgrupp, var procentändringen för pruritus-NRS från baslinjen -51,4 % vs -30,2 % vecka 16 och -54,8 % vs -30,9 % vecka 52 för gruppen med 300 mg dupilumab varannan vecka respektive placebogruppen.
Vidhållande och varaktighet av behandlingssvar (SOLO CONTINUE studien)
För att utvärdera vidhållande och varaktighet av behandlingssvar, randomiserades de försökspersoner som behandlats med dupilumab i 16 veckor i studierna SOLO 1 och SOLO 2 och som uppnådde IGA 0 eller 1 och EASI-75 till studien SOLO CONTINUE med ytterligare 36 veckors behandling med dupilumab eller placebo, till en kumulativ 52-veckorsbehandling. Effektmåtten utvärderades vecka 51 eller 52.
De primära deleffektmåtten var procentuell förändring i EASI mellan baslinjen (vecka 0) och vecka 36 från SOLO 1 och SOLO 2 studiernas baslinje samt procentandel patienter med EASI-75 vecka 36 som hade EASI-75 vid baslinje.
Patienter som fortsatte med samma doseringsregim som i SOLO 1 och SOLO 2 studierna (300 mg en gång varannan vecka eller 300 mg en gång per vecka) uppvisade optimalt vidhållande av klinisk effekt, medan effekten av andra doseringsregimer uppvisade en dosrelaterad minskning.
Resultat av primära och sekundära effektmått i 52-veckors SOLO CONTINUE studien summeras i tabell 11.
Tabell 11: Resultat av primära och sekundära effektmått i SOLO CONTINUE studien
†p-värde < 0,05, *p-värde < 0,01, **p-värde < 0,001, ***p-värde ≤ 0,0001 (alla statistiskt signifikanta jämfört med placebo efter justering för multiplicitet.)
I SOLO CONTINUE observerades en trend för ökad behandlingsutlöst ADA-positivitet med ökat doseringsintervall. Behandlingsutlöst ADA: behandling en gång per vecka: 1,2%; varannan vecka: 4,3 %; var 4:e vecka: 6,0 %; var 8:e vecka: 11,7 %. ADA respons som varade i över 12 veckor: behandling en gång per vecka: 0,0 %; varannan vecka: 1,4 %; var 4:e vecka: 0,0 %; var 8:e vecka: 2,6 %.
Livskvalitet/patientrapportering av utfall vid atopisk dermatit
I båda monoterapistudierna (SOLO 1 och SOLO 2) förbättrades patientrapporterade symtom och påverkan av AD på sömn, ångest- och depressionssymtom mätt med HADS, och hälsorelaterad livskvalitet för båda dosgrupperna (300 mg dupilumab varannan vecka och varje vecka), mätt vecka 16 som totalpoäng av POEM och DLQ1 jämfört med placebo (se tabell 12).
I studien med samtidig medicinering med TCS (CHRONOS) förbättrades patientrapporterade symtom och påverkan av AD på sömn och hälsorelaterad livskvalitet på liknande sätt för båda dosgrupperna (300 mg dupilumab varannan vecka + TCS och 300 mg dupilumab varje vecka + TCS), mätt vecka 52 som totalpoäng av POEM och DLQ1 jämfört med placebo + TCS (se tabell 12).
Tabell 12: Ytterligare resultat av sekundära effektmått för dupilumab monoterapi vecka 16 och med samtidig användning av TCS vecka 16 och vecka 52
LS = minsta kvadrat; SE = standardfel
ap-värde < 0,0001, bp-värde < 0,001, cp-värde < 0,05 (alla statistiskt signifikanta jämfört med placebo efter justering för multiplicitet)
dAntalet patienter med pruritus mätt enligt DLQI, POEM och HADS vid baslinjen som nämnare.
enominellt p-värde < 0,05, fnominellt p-värde < 0,0001, gnominellt p-värde < 0,001
I SOLO1, SOLO2 och CHRONOS observerades liknande resultat hos patienter som fick Dupilumab 300 mg en gång per vecka.
Ungdomar med atopisk dermatit (12 till 17 år)
Effekten och säkerheten för monoterapi av dupilumab hos ungdomar utvärderades i en multicenter, randomiserad, dubbelblind, placebokontrollerad studie (AD-1526) hos 251 ungdomar i åldern 12 till 17 år med måttlig till svår atopisk dermatit (AD), definierad av Investigator’s Global Assessment (IGA) poäng ≥ 3 i den övergripande bedömningen av AD-skador i svårighetsgraden 0 till 4, ett Eczema Area and Severity Index (EASI) poäng ≥16 på en skala från 0 till 72, och ett minimum av kroppsytor (BSA) med ≥10 %. Patienter som inkluderades i denna studie hade tidigare otillräckligt svar på topikal medicinering.
Patienterna fick subkutana (s.c.) injektioner av dupilumab administrerat som antingen: 1) en initial dos på 400 mg dupilumab (två 200 mg injektioner) på dag 1 följt av 200 mg varannan vecka för patienter med en baslinjevikt på <60 kg eller en initial dos på 600 mg dupilumab (två 300 mg injektioner) på dag 1 följt av 300 mg varannan vecka för patienter med baslinjevikt ≥ 60 kg; eller 2) En initial dos på 600 mg dupilumab (två 300 mg injektioner) på dag 1 följt av 300 mg var 4:e vecka oavsett kroppsvikten vid baslinjen; eller 3) matchande placebo. Om det behövdes för att kontrollera oacceptabla symtom, fick patienterna akutbehandling efter undersökarens bedömning. Patienter som fick akutbehandling betraktades som icke-svarande.
I denna studie var medelåldern 14,5 år, medianvikten var 59,4 kg, 41,0 % var kvinnor, 62,5 % var vita, 15,1 % var asiater och 12,0 % var svarta. Vid baslinjen hade 46,2% av patienterna en baslinje-IGA-poäng på 3 (måttlig AD), 53,8 % av patienterna hade en baslinje-IGA på 4 (svår AD), det genomsnittliga BSA-värdet var 56,5 %, och 42,4 % av patienterna hade tidigare fått systemiska immunsuppressiva medel. Även vid baslinjen var medelvärdet för Eczema Area and Severity Index (EASI) 35,5, basvärdet per vecka i genomsnitt för pruritus Numerical Rating Scale (NRS) var 7,6, medelvärdet vid baslinjen för Patient Oriented Eczema Measure (POEM) var 21,0 och medelvärdet vid baslinjen för Children Dermatology Life Quality Index (CDLQI) var 13,6. Totalt hade 92,0 % av patienterna minst ett samtidigt allergiskt tillstånd. 65,6 % hade allergisk rinit, 53,6 % hade astma och 60,8 % hade matallergier.
Det co-primära effektmåttet var andelen patienter med IGA 0 eller 1 ("symtomfri" eller "nästan symtomfri") minst en 2-poängsförbättring och andelen patienter med EASI-75 (förbättring av minst 75 % i EASI), från baslinjen till vecka 16.
Kliniskt svar
Effektresultaten vid vecka 16 i atopisk dermatitstudien hos ungdomar presenteras i tabell 13.
Tabell 13: Effektresultat av dupilumab i atopisk dermatitstudien hos ungdomar vid vecka 16 (FAS)
aFullt analysset (FAS) inkluderar alla randomiserade patienter.
bSvarande definierades som en patient med IGA 0 eller 1 (”symtomfri” eller ”nästan symtomfri”) med en minskning av ≥2 poäng i en 0-4 IGA-skala.
cPatienter som fick akutbehandling eller saknade data betraktades som icke-svarande (58,8 % och 20,7 % i placebo respektive dupilumab-armen).
dp–värde < 0,0001 (statistiskt signifikant jämfört med placebo efter justering för multiplicitet)
enominellt p-värde < 0,0001
En större andel patienter randomiserade till placebo behövde akutbehandling (topikala kortikosteroider, systemiska kortikosteroider eller systemiska icke-steroida immunsuppressiva medel) jämfört med gruppen dupilumab (58,8 % respektive 20,7 %).
En signifikant större andel patienter randomiserade till dupilumab uppnådde en snabb förbättring av pruritus NRS jämfört med placebo (definierad som ≥ 4-poängsförbättring så tidigt som vecka 4, nominell p <0,001) och andelen patienter som svarade på klåda NRS fortsatte att öka genom behandlingsperioden.
Dupilumab-gruppen förbättrade signifikant patientrapporterade symtom, påverkan av AD på sömn och hälsorelaterad livskvalitet, mätt med POEM och CDLQI-poäng vid 16 veckor jämfört med placebo.
Den långsiktiga effekten av dupilumab hos ungdomar med måttlig till svår AD som deltagit i tidigare kliniska prövningar av dupilumab bedömdes i en öppen förlängningsstudie (AD-1434). Effektdata från denna studie tyder på att den kliniska nyttan som sågs vid vecka 16 fortsatte genom vecka 52.
Pediatrisk population (6 till 11 år)
Effekt och säkerhet av dupilumab hos pediatriska patienter vid samadministrering med TCS utvärderades i en randomiserad, dubbelblind, placebokontrollerad multicenter-studie (AD-1652) med 367 personer i åldrarna 6 till 11 år, med svår AD definierat genom ett IGA-tal på 4 (skala från 0 till 4), ett EASI-tal ≥21 (skala från 0 till 72), och ett minsta påverkat BSA på ≥15 %. Deltagande patienter som uppfyllde kriterierna hade tidigare otillräckligt svar på topikal medicinering. Inkludering stratifierades genom vikt vid baslinjen (< 30 kg; ≥ 30 kg).
Patienter i gruppen med dupilumab varannan vecka + TCS med baslinje-vikt på <30 kg fick en initial dos om 200 mg dag 1, följt av 100 mg varannan vecka från vecka 2 till vecka 14, och patienter med baslinje-vikt ≥ 30kg fick en initial dos om 400 mg dag 1, följt av 200 mg varannan vecka från vecka 2 till vecka 14. Patienter i gruppen med dupilumab var fjärde vecka + TCS fick en initial dos om 600 mg dag 1, följt av 300 mg var fjärde vecka från vecka 4 till vecka 12, oavsett vikt.
I den här studien var genomsnittsåldern 8,5 år, medianvikt var 29,8 kg, 50,1 % av patienterna var flickor, 69,2 % var vita, 16,9 % var svarta och 7,6 % var asiatiska. Vid baslinjen var genomsnittligt påverkat BSA 57,6 % och 16,9 % hade tidigare fått systemisk icke-steroidal immunosuppresiv behandling. Vid baslinjen var genomsnittligt EASI-tal 37,9 och vecko-genomsnitt av daglig värst klåd-skala var 7,8, på en skala från 0-10, baslinjens genomsnittliga SCORAD-värde var 73,6, POEM-värde vid baslinjen var 20,9 och genomsnittligt CDLQI vid baslinjen var 15,1. Totalt hade 91,7 % av patienterna minst ett samtidigt allergiskt tillstånd; 64,4 % hade födoämnesallergi, 62,7 % hade andra allergier, 60,2 % hade allergisk rinit och 46,7 % hade astma.
Primärt co-effektmått var andelen patienter med IGA 0 eller 1 (”symtomfri” eller ”nästan symtomfri”) åtminstone en 2-punkters förbättring samt andelen patienter med EASI-75 (förbättring på minst 75 % i EASI) från baslinjen till vecka 16.
Kliniskt svar
Tabell 14 representerar resultatet vid baslinjens viktstrata för godkända dosscheman.
Tabell 14: Effektresultat av dupilumab med samtidig TCS i AD-1652 vid vecka 16 (FAS)a
aFullt analysset (FAS) inkluderar alla randomiserade patienter
bSvarande definierades som en patient med IGA 0 eller 1 (”symtomfri” eller ”nästan symtomfri”).
cPatienter som fick akutbehandling eller där data saknas ansågs som icke-svarande.
dVid dag 1 fick patienterna 600 mg dupilumab (se avsnitt 5.2).
eVid dag 1 fick patienterna 400 mg (baslinjevikt ≥30 kg) dupilumab.
fp-värde < 0,0001 (statistiskt signifikant jämfört med placebo efter justering för multiplicitet)
gnominella p-värden < 0,0001
hnominellt p-värde = 0,0002
En större andel av patienterna som randomiserats till dupilumab + TCS fick en förbättring av högsta pruritus-NRS jämfört med placebo + TCS (definierat som ≥4-punkters förbättring vid vecka 4).
Dupilumab-gruppen förbättrade signifikant patient-rapporterade symtom, påverkan av AD på sömn och hälsorelaterad livskvalitet mätt genom POEM och CDLQI-värden vid 16 veckor jämfört med placebo.
Långtidseffekten och säkerhetseffekten av dupilumab + TCS hos pediatriska patienter med måttlig till svår atopisk dermatit som deltagit i de tidigare kliniska studierna med dupilumab och TCS utvärderades i en öppen förlängningsstudie (AD-1434). Effektdata från denna studie tyder på att klinisk nytta vid vecka 16 kvarstår genom vecka 52. Vissa patienter som fick dupilumab 300 mg var fjärde vecka + TCS visade ytterligare klinisk nytta när de eskalerades till dupilumab 200 mg varannan vecka + TCS. Säkerhetsprofilen för dupilumab hos patienter följdes genom vecka 52 och liknade den säkerhetsprofil som observerades vid vecka 16 i AD-1526 och AD-1652 studierna.
Pediatrisk population (6 månader till 5 år)
Effekt och säkerhet av dupilumab + TCS hos pediatriska patienter utvärderades i en randomiserad, dubbelblind, placebokontrollerad multicenterstudie (AD-1539) med 162 patienter i åldrarna 6 månader till 5 år, med måttlig till svår AD (ITT-population) definierat genom ett IGA-tal på ≥ 3 (skala från 0 till 4), ett EASI-tal ≥ 16 (skala från 0 till 72), och ett minsta påverkat BSA på ≥ 10 %. Av de 162 patienterna hade 125 patienter svår AD definierat genom ett IGA-tal på 4. Deltagande patienter som uppfyllde kriterierna hade tidigare otillräckligt svar på topikal medicinering. Inkludering stratifierades genom vikt vid baslinjen (≥ 5 till < 15 kg och ≥ 15 till < 30 kg).
Patienter i gruppen med dupilumab var fjärde vecka + TCS med baslinjevikt på ≥ 5 till < 15 kg fick en initial dos om 200 mg dag 1, följt av 200 mg var fjärde vecka från vecka 4 till vecka 12, och patienter med baslinjevikt på ≥ 15 till < 30 kg fick en initial dos om 300 mg dag 1, följt av 300 mg var fjärde vecka från vecka 4 till vecka 12. Patienterna fick akutbehandling efter prövarens bedömning. Patienter som fick akutbehandling betraktades som icke-svarande.
I AD-1539 var genomsnittsåldern 3,8 år, medianvikt var 16,5 kg, 38,9 % av patienterna var flickor, 68,5 % var vita, 18,5 % var svarta och 6,2 % var asiatiska. Vid baslinjen var genomsnittligt påverkat BSA 58,4 % och 15,5 % hade tidigare fått systemisk icke-steroidal immunosuppressiv behandling. Vid baslinjen var genomsnittligt EASI-tal 34,1 och medelvärdet per vecka för poängen på skalan för daglig högsta pruritus var 7,6 på en skala från 0–10. Totalt hade 81,4 % av patienterna minst ett samtidigt allergiskt tillstånd; 68,3 % hade födoämnesallergi, 52,8 % hade andra allergier, 44,1 % hade allergisk rinit och 25,5 % hade astma.
Dessa sjukdomskarakteristika vid baslinjen var jämförbara mellan populationerna med måttlig till svår AD och svår AD.
Primärt co-effektmått var andelen patienter med IGA 0 eller 1 (”symtomfri” eller ”nästan symtomfri”, åtminstone en 2-punkters förbättring) samt andelen patienter med EASI-75 (förbättring på minst 75 % i EASI) från baslinjen till vecka 16. Primärt effektmått var andelen patienter med IGA 0 (symtomfri) eller 1 (nästan symtomfri) vid vecka 16.
Kliniskt svar
Tabell 15 visar effektresultat vid vecka 16 för AD-1539.
Tabell 15: Effektresultat av dupilumab med samtidig TCS i AD-1539 vid vecka 16 (FAS)a
aFullt analysset (FAS) inkluderar alla randomiserade patienter
bSvarande definierades som en patient med IGA 0 eller 1 (”symtomfri” eller ”nästan symtomfri”).
cPatienter som fick akutbehandling (62 % och 19 % i placeboarmen respektive dupilumabarmen) eller där data saknas ansågs som icke-svarande.
dVid dag 1 fick patienterna 200 mg (5 till < 15 kg) eller 300 mg (15 till < 30 kg) dupilumab.
ep–värden < 0,0001, fnominellt p-värde < 0,05, gnominellt p-värde < 0,0001, hnominellt p-värde < 0,005, inominellt p-värde < 0,001
*Resultat som rapporterats av vårdgivare
En signifikant större andel av patienterna som randomiserats till dupilumab + TCS fick en snabb förbättring av poängen på högsta pruritus-NRS jämfört med placebo + TCS (definierat som en förbättring med ≥ 4 poäng så tidigt som vecka 3, nominellt p-värde < 0,005) och andelen patienter som svarade på högsta pruritus-NRS fortsatte att öka under behandlingsperioden.
I denna studie förbättrade dupilumab signifikant hälsorelaterad livskvalitet mätt genom CDLQI-värden (hos 85 patienter i åldern 4 till 5 år) och IDQOL-värden (hos 77 patienter i åldern 6 månader till 3 år). I ITT-populationen observerades större LS genomsnittliga förändringar i CDLQI- och IDQOL-värden från baslinjen till vecka 16 i gruppen med dupilumab + TCS (-10,0 respektive -10,9) jämfört med gruppen med placebo + TCS (-2,5 respektive -2,0) (p < 0,0001). Liknande förbättringar i både CDLQI och IDQOL observerades i populationen med svår AD.
Långtidseffekten och säkerhetseffekten av dupilumab + TCS hos pediatriska patienter med måttlig till svår atopisk dermatit som deltagit i de tidigare kliniska studierna med dupilumab och TCS utvärderades i en öppen förlängningsstudie (AD-1434). Effektdata från denna studie tyder på att klinisk nytta vid vecka 16 kvarstår genom vecka 52. Säkerhetsprofilen för dupilumab hos patienter följdes genom vecka 52 och var jämförbar med den säkerhetsprofil som observerades vid vecka 16 i studien AD-1539.
Atopisk dermatit på händer och fötter (vuxna och ungdomar)
Effekten och säkerheten för dupilumab utvärderades i en 16-veckors randomiserad, dubbelblind, placebokontrollerad multicenterstudie med parallellgrupper (AD-1924) på 133 vuxna och pediatriska patienter i åldern 12–17 år med måttlig till svår atopisk dermatit på händer och fötter, definierad av IGA-poäng (händer och fötter) ≥ 3 (skala 0–4) och pruritus-NRS (Peak Pruritus Numeric Rating Scale) (händer och fötter) för maximal klåda ≥ 4 (skala 0–10). Patienter som inkluderades i studien hade tidigare svarat otillräckligt på eller var intoleranta mot behandling av dermatit på händer och fötter med topikala läkemedel mot atopisk dermatit.
I AD-1924 var 38 % av patienterna män, 80 % var vita, 72 % av patienterna hade IGA-poäng (händer och fötter) 3 vid baslinjen (måttlig atopisk dermatit på händer och fötter) och 28 % av patienterna hade IGA-poäng (händer och fötter) 4 vid baslinjen (svår atopisk dermatit på händer och fötter). Medelvärdet per vecka för högsta pruritus-NRS (händer och fötter) var vid baslinjen 7,1.
Det primära effektmåttet var andelen patienter med IGA-poäng (händer och fötter) 0 (symtomfri) eller 1 (nästan symtomfri) vid vecka 16. Det viktiga sekundära effektmåttet var minskning av klåda mätt med högsta pruritus-NRS (händer och fötter) (≥ 4 poängs förbättring). Andra patientrapporterade utfall inkluderade bedömning av hudsmärta-NRS (händer och fötter) (0–10), sömnkvalitet-NRS (0–10), livskvalitet utifrån Hand Eczema Questionnaire (QoLHEQ) (0–117) och arbetsproduktivitet och arbetsnedsättning (WPAI) (0–100%).
Andelen patienter med IGA (händer och fötter) 0 till 1 vid vecka 16 var 40,3 % för dupilumab och 16,7 % för placebo (skillnad mellan behandlingarna 23,6, 95 %, CI: 8,84, 38,42). Andelen patienter med förbättring (minskning) av medelvärdet per vecka för högsta pruritus-NRS (händer och fötter) ≥ 4 vid vecka 16 var 52,2 % för dupilumab och 13,6 % för placebo (skillnad mellan behandlingarna 38,6, 95 % CI: 24,06, 53,15).
Större förbättringar i hudsmärta-NRS (händer och fötter), sömnkvalitet-NRS, QoLHEQ-poäng och WPAI för total arbetsnedsättning och nedsättning av vardagliga aktiviteter från baslinjen till vecka 16 sågs i dupilumab-gruppen jämfört med placebogruppen (LS medeländring av dupilumab vs. placebo: -4,66 vs. -1,93 [p < 0,0001], 0,88 vs. -0,00 [p < 0,05], -40,28 vs. -16,18 [p < 0,0001], -38,57 % vs. -22,83 % [nominal p < 0,001] och -36,39 % vs. -21,26 % [nominal p < 0,001]).
Klinisk effekt och säkerhet vid astma
Utvecklingsprogrammet för astma omfattade tre randomiserade, dubbelblinda, placebokontrollerade, parallella grupp, multicenterstudier (DRI12544, QUEST och VENTURE) och hade en behandlingsperiod på 24 till 52 veckor, där totalt 2 888 patienter ingick (12 år och äldre). Patienterna deltog utan krav på nedre värde för blodeosinofiler vid baslinjen eller nivå av annan typ 2-inflammatorisk biomarkör (t.ex. FeNO eller IgE). Behandlingsriktlinjer för astma definierar typ 2-inflammation som eosinofiler ≥ 150 celler/µl och/eller FeNO ≥ 20 ppb. I DRI12544 och QUEST inkluderade de fördefinierade subgruppsanalyserna blodeosinofiler ≥ 150 och ≥ 300 celler/µl, FeNO ≥ 25 och ≥ 50 ppb.
DRI12544 var en 24-veckors dosstudie som inkluderade 776 patienter (18 år och äldre). Dupilumab jämfört med placebo utvärderades hos vuxna patienter med måttlig till svår astma som fick en medel- till hög dos inhalerad kortikosteroid och en långverkande betaagonist. Det primära effektmåttet var förändring från baslinjen till vecka 12 av FEV1 (l). Årlig frekvens av allvarliga astmaexacerbationsfall under den 24-veckors placebokontrollerade behandlingsperioden utvärderades också. Resultaten utvärderades i den totala populationen (begränsades inte av ett nedre gränsvärde för eosinofiler eller andra biomarkörer för typ 2-inflammation) och subgrupper baserade på antal eosinofiler i blodet.
QUEST var en 52 veckors bekräftande studie som inkluderade 1 902 patienter (12 år och äldre). Dupilumab jämfört med placebo utvärderades hos 107 ungdomar och 1 795 vuxna patienter med astma med permanent luftvägsobstruktion som fick en medel- eller hög dos inhalerad kortikosteroid (ICS) och ytterligare en underhållsbehandling. Patienter som behövde en tredje underhållsbehandling fick delta i detta försök. De primära effektmåtten var den årliga frekvensen av allvarliga exacerbationsfall under den 52 veckors placebokontrollerade perioden, och förändringen från baslinjen av pre-bronkodilator FEV1 vid vecka 12 i totalpopulationen (begränsades inte av ett nedre gränsvärde för eosinofiler eller andra biomarkörer för typ 2-inflammation) och subgrupper baserade på antal blodeosinofiler och FeNO vid baslinjen.
VENTURE var en 24-veckors oral kortikosteroid (OCS) reduceringsstudie, hos 210 patienter med astma, vilka inte begränsades av ett gränsvärde för biomarkörer för typ 2-inflammation och som behövde dagliga orala kortikosteroider, förutom regelbunden användning av inhalerade kortikosteroider med hög dos plus ytterligare en underhållsbehandling. OCS-dosen optimerades under screeningsperioden. Patienterna fortsatte med sina existerande astmaläkemedel under studien, men deras OCS-dos reducerades var 4:e vecka under OCS-reduktionsfasen (vecka 4-20), så länge som astmakontroll upprätthölls. Det primära effektmåttet var den procentuella minskningen av oral kortikosteroiddos som utvärderades i den totala populationen baserat på en jämförelse av oral kortikosteroiddos vid veckorna 20-24 som upprätthöll astmakontroll med tidigare optimerad (vid baslinjen) oral kortikosteroiddos.
Demografin och karaktäristiska för baslinjen hos dessa 3 studier ges i tabell 16 nedan.
Tabell 16: Demografin och karaktäristiska vid studiestart i astmastudier.
ICS = inhalerad kortikosteroid; FEV1 = Forcerad exspiratorisk volym på 1 sekund; ACQ-5 = Astmakontroll frågeformulär-5; AQLQ = Astma livskvalitet frågeformulär; AD = atopisk dermatit; NP = nasal polyposis; AR = allergisk rinit; FeNO = fraktion av utandad kväveoxid; EOS = blodeosinofil
aPopulationen i dupilumab-astmastudier- inkluderade patienter på ICS med medel- och hög dos. Medel ICS-dosen definierades som lika med 500 mikrogram flutikason eller ekvivalent per dag.
Exacerbationer
I den totala populationen i DRI12544 och QUEST hos patienter som fick antingen dupilumab 200 mg eller 300 mg varannan vecka observerades signifikanta reduktioner av frekvensen av allvarliga astmaexacerbationer jämfört med placebo. Det fanns större reduktioner av exacerbationer hos personer med högre basnivåer av typ 2 inflammatoriska biomarkörer såsom blodeosinofiler eller FeNO (tabell 17 och tabell 18).
Tabell 17: Frekvens av allvarliga exacerbationer i DRI12544 och QUEST (blodeosinofil-nivå vid baslinjen ≥ 150 och ≥ 300 celler/µl)
ap-värde = 0,0003, bp-värde = 0,0001, cp-värde = 0,0116, dp-värde = 0,0024, ep-värde <0,0001 (alla statistiskt signifikanta jämfört med placebo efter justering för multiplicitet), fnominellt p-värde < 0,0001
Tabell 18. Frekvens av allvarliga exacerbationer i QUEST i subgrupper definierad enligt FeNO vid baslinjen
anominellt p-värde < 0,0001
I den sammanslagna analysen av DRI12544 och QUEST reducerades frekvensen av allvarliga exacerbationer som ledde till inläggning på sjukhus och/eller akutbesök med 25,5 % och 46,9 % vid dupilumab 200 mg respektive 300 mg givet varannan vecka.
Lungfunktion
Kliniskt signifikanta ökningar av pre-bronkodilator FEV1 observerades vid vecka 12 för DRI12544 och QUEST. En större förbättring av FEV1 observerades hos patienter med högre nivåer av biomarkörer för typ 2-inflammation vid baslinjen, såsom blodeosinofiler eller FeNO (tabell 19 och 20).
Signifikanta förbättringar av FEV1 observerades så tidigt som vecka 2 efter den första dosen av dupilumab för både dosstyrkorna 200 mg och 300 mg och bibehölls genom vecka 24 (DRI12544) och vecka 52 i QUEST (se Figur 3).
Figur 3: Medeländring från baslinjen av pre-bronkodilator FEV1 (l) över tid (eosinofiler vid baslinjen ≥ 150 och ≥ 300 celler/µl och FeNO ≥25 ppb) i QUEST
Tabell 19: Medeländring från baslinjen av pre-bronkodilator FEV1 vid vecka 12 i DRI12544 och QUEST (blodeosinofilnivåer ≥ 150 och ≥ 300 celler/µl vid baslinjen)
ap-värde < 0,0001, bp-värde = 0,0004, cp-värde = 0,0008, dp-värde = 0,0063, ep-värde <0,0001 (alla statistiskt signifikanta jämfört med placebo efter justering för multiplicitet), fnominellt p-värde < 0,0001
Tabell 20: Medeländring från baslinjen av pre-bronkodilator
FEV1 vid vecka 12 och vecka 52 i QUEST för FeNO-subgrupper vid baslinjen
anominellt p-värde < 0,0001
Livskvalitet/patientrapportering av utfall vid astma
Det förutbestämda sekundära effektmåttet i ACQ-5 och AQLQ (S) och svarsfrekvensen analyserades vid 24 veckor (DRI12544 och VENTURE) och vid 52 veckor (QUEST, tabell 21). Svarsfrekvensen definierades som en förbättring i poäng på 0,5 eller mer (skalområde 0-6 för ACQ-5 och 1-7 för AQLQ (S)). Förbättringar i ACQ-5 och AQLQ (S) observerades så tidigt som vecka 2 och bibehölls under 24 veckor i DRI12544-studien och under 52 veckor i QUEST-studien. Liknande resultat observerades i VENTURE.
Tabell 21: ACQ-5 och AQLQ(S) svarsfrekvens vid vecka 52 i QUEST
Oral kortikosteroid reduktionsstudie (VENTURE)
VENTURE utvärderade effekten av dupilumab vid minskad användning av orala underhållskortikosteroider. Karaktäristiska vid studiestart presenteras i tabell 16. Alla patienter var insatta på orala kortikosteroider under minst 6 månader före studiestart. Det basala medelvärdet av oral kortikosteroidanvändning var 11,75 mg i placebogruppen och 10,75 mg i gruppen som fick dupilumab.
I denna 24-veckors studie var antal astmaexacerbationer (definierad som en tillfällig ökning av den orala kortikosteroiddosen i minst 3 dagar) reducerade med 59 % hos personer som fick dupilumab jämfört med de som fick placebo (årlig frekvens 0,65 och 1,60 för dupilumab och respektive placebo, frekvenskvot 0,4 l [95 % CI 0,26, 0,63]) och förbättringen av pre-bronkodilator FEV1 från baslinjen till vecka 24 var större hos personer som fick dupilumab jämfört med de som fick placebo (LS-medelskillnad för dupilumab jämfört med placebo på 0,22 l [95 % CI: 0,09 till 0,34 l]). Effekter på lungfunktion, på reduktion av orala kortikosteroider och på reduktion av exacerbationer var lika oberoende av baslinjenivåerna av biomarkörer av typ 2-inflammation (t.ex. blodeosinofiler, FeNO). ACQ-5 och AQLQ (S) bedömdes också i VENTURE och visade förbättringar som liknar dem i QUEST.
Resultaten för de primära och sekundära effektmåtten i VENTURE presenteras i tabell 22.
Tabell 22: Effekt av dupilumab vid OCS-dosminskning, VENTURE (blodeosinofilnivåer ≥ 150 och ≥ 300 celler/µl och FeNO ≥ 25 ppb)
amodellberäkningar genom logistisk regression, bnominellt p-värde < 0,0001, cnominellt p-värde = 0,0001, dnominellt p-värde = 0,0002
Långtids förlängningsstudie (TRAVERSE)
Den långsiktiga säkerheten för dupilumab hos 2193 vuxna och 89 ungdomar med måttlig till svår astma, inklusive 185 vuxna med oral kortikosteroidberoende astma, som hade deltagit i tidigare kliniska prövningar av dupilumab (DRI12544, QUEST och VENTURE) bedömdes i den öppna förlängningsstudien (TRAVERSE) (se avsnitt 4.8). Effekten mättes som ett sekundärt effektmått, och var liknande resultaten som observerats i de pivotala studierna och bibehölls i upp till 96 veckor. Hos vuxna med oral kortikosteroidberoende astma, observerades en ihållande reduktion av exacerbationer och en förbättring av lungfunktionen i upp till 96 veckor, trots minskning eller avbrytande av oral kortikosteroiddos.
Pediatrisk studie (6 till 11 år; VOYAGE)
Effekt och säkerhet av dupilumab hos pediatriska patienter utvärderades i en 52-veckors multicenter, randomiserad, dubbelblind, placebokontrollerad studie (VOYAGE) hos 408 patienter i åldern 6 till 11 år med måttligt till svår astma med inhalerad kortikosteroid i medel till högdos och ett kontrolläkemedel eller endast inhalerad kortikosteroid i högdos. Patienterna randomiserades till dupilumab (N=273) eller till placebo (N=135) varannan vecka baserat på kroppsvikt ≤ 30 kg respektive > 30 kg. Effekten utvärderades hos patientgruppen utifrån typ 2 inflammation definierat som eosinofilnivåer i blodet ≥ 150 celler/µl eller FeNO ≥ 20 ppb.
Det primära effektmåttet var årlig frekvens av allvarliga astmaexacerbationsfall under den 52-veckors placebokontrollerade perioden och det viktigaste sekundära effektmåttet var förändringen från baslinjen i pre-bronkodilator medelprocent förväntad FEV1 vecka 12. Ytterligare sekundära effektmått inkluderade genomsnittlig förändring från baslinjen och svarsfrekvenser i ACQ-7-IA- och PAQLQ(S)-IA-poäng.
Demografin och karaktäristiska vid studiestart för VOYAGE anges i tabell 23 nedan.
Tabell 23. Demografin och karaktäristiska vid studiestart för VOYAGE
ICS = inhalerad kortikosteroid; FEV1 = Forcerad exspiratorisk volym på 1 sekund; ACQ-7-IA = Asthma Control Questionnaire-7 Interviewer Administered; PAQLQ(S)-IA = Paediatric Asthma Quality of Life Questionnaire with Standardised Activities–Interviewer Administered; AD = atopisk dermatit; AR = allergisk rinit; EOS = blodeosinofil; FeNO = fraktion av utandad kväveoxid
Dupilumab minskade signifikant den årliga frekvensen av allvarliga astmaexacerbationshändelser under 52-veckors behandlingsperioden jämfört med placebo i populationen med typ 2 inflammation och i population definierad av blodeosinofiler ≥ 300 celler/µl vid baslinjen eller FeNO ≥ 20 ppb vid baslinjen. Kliniskt signifikanta förbättringar i procent förväntad pre-bronkodilator FEV1 observerades vid vecka 12. Förbättringar observerades också för ACQ-7-IA och PAQLQ(S)-IA vid vecka 24 och kvarstod vid vecka 52. Högre svarsfrekvens observerades för ACQ-7-IA och PAQLQ(S)-IA jämfört med placebo vid vecka 24. Effektresultaten för VOYAGE presenteras i tabell 24.
I populationen med typ 2-inflammation var LS-medelförändringen från utgångsvärdet i pre-bronkodilator FEV1 vid vecka 12 0,22 l för dupilumabgruppen och 0,12 l för placebogruppen, med en LS-medelskillnad jämfört med placebo på 0,10 l (95% KI: 0,04, 0,16). Behandlingseffekten bibehölls under behandlingsperioden på 52 veckor, med en LS-genomsnittlig skillnad jämfört med placebo vid vecka 52 på 0,17 l (95% KI: 0,09, 0, 24).
I populationen som definieras av blodesinofiler ≥ 300 celler/µl vid baslinjen var LS‑medelförändring 0,22 l pre-bronkodilator FEV1 från baslinjen vid vecka 12 i dupilumabgruppen och 0,12 l i placebogruppen, med en LS-medelförändring jämfört med placebo på 0,10 l (95% KI: 0,03, 0,17). Behandlingseffekten bibehölls under den 52 veckor långa behandlingsperioden, med en LS- medelförändring jämfört med placebo vid vecka 52 på 0,17 l (95% KI: 0,09, 0,26).
I båda primäreffektpopulationerna skedde en snabb förbättring av FEF25-75% och FEV1/FVC (uppkomsten av en skillnad observerades så tidigt som vecka 2) och bibehölls under behandlingsperioden på 52 veckor, se tabell 24.Tabell 24: Frekvens av allvarliga exacerbationsfall, genomsnittlig förändring från baslinjen FEV1, ACQ-7-IA och PAQLQ(S)-IA svarsfrekvens i VOYAGE-studien
Signifikant förbättring i procent förväntad FEV1 observerades så tidigt som vecka 2 och behölls fram till vecka 52 i VOYAGE studien.
Förbättring i procent förväntad FEV1 över tid i VOYAGE visas i Figur 4.
Figur 4: Genomsnittlig procentuell ändring från baslinjen av förväntad pre-bronkodilator FEV1 (liter) över tid i VOYAGE (baslinje blodeosinofiler ≥ 150 celler/µl eller FeNO ≥ 20 ppb, baslinje eosinofili ≥ 300 celler/µl, och baslinje FeNO ≥ 20 ppb)
I VOYAGE-studien minskade på årsbasis total antal systemisk kortikosteroid-användning p.g.a. astma i gruppen med typ 2 inflammation, med i genomsnitt 59,3% jämfört med placebo (0,350 [95% CI: 0,256, 0,477] jämfört med 0,860 [95% CI: 0,616, 1,200]).
I gruppen med eosinofilantal vid baslinjen ≥ 300 celler/ µl, minskade på årsbasis total antal systemisk kortikosteroid-användning p.g.a. astma med i genomsnitt 66,0% jämfört med placebo (0,274 [95% CI: 0,188, 0,399] versus 0,806 [95% CI: 0,563, 1,154]).
Uppmätt med European Quality of Life 5-Dimension Youth Visual Analog Scale (EQ-VAS) förbättrade dupilumab allmän hälsostatus i både typ 2 inflammation och eosinofilantal vid baslinjen ≥ 300 celler/µl vid vecka 52; skillnaden i minstakvadratmedelvärde jämfört med placebo var 4,73 (95% CI: 1,18, 8,28) respektive 3,38 (95% CI: -0,66, 7,43).
Uppmätt med frågeformulär Paediatric Asthma Quality of Life Questionnaire (PACQLQ) reducerade dupilumab barnets astmas påverkan på vårdnadshavarens livskvalitet i både typ 2 inflammation och eosinofilantal vid baslinjen på ≥ 300 celler/µl vid vecka 52; skillnaden i minstakvadratmedelvärde jämfört med placebo var 0,47 (95% CI: 0,22, 0,72), respektive 0,50 (95% CI: 0,21, 0,79).
Långsiktig förlängningsstudie (EXCURSION)
Effekten av dupilumab, mätt som ett sekundärt effektmått, bedömdes hos 365 pediatriska patienter med astma (6 till 11 år) i den långsiktiga förlängningsstudien (EXCURSION). Ihållande reduktion av exacerbationer som ledde till inläggning på sjukhus och/eller akutbesök och reduktion i exponering för systemiska orala kortikosteroider observerades. Ihållande förbättring i lungfunktionen observerades med flera parametrar, inklusive procent förväntad FEV1, procent förväntad FVC, FEV1/FVC-kvot och procent förväntad FEF 25–75 %. Dessutom uppnådde och/eller upprätthöll 75 % av patienterna normal lungfunktion med pre-bronkodilator procent förväntad FEV1 > 80 % vid slutet av EXCURSION. Effekten bibehölls under en kumulativ behandling i upp till 104 veckor (VOYAGE och EXCURSION).
Klinisk effekt vid kronisk rinosinuit med näspolyper
Utvecklingsprogrammet för kronisk rinosinuit med näspolyper omfattade två randomiserade, dubbelblinda, parallellgrupps-, placebokontrollerade multicenterstudier (SINUS-24 och SINUS-52), där 724 patienter som var 18 år eller äldre och som behandlats med nasala kortikosteroider ingick.
Studierna inkluderade patienter med svår kronisk rinosinuit med näspolyper, trots tidigare genomgången näs-bihåleoperation eller tidigare behandling med, inklusive de som inte var lämpliga att behandlas med, systemiska kortikosteroider, under de senaste 2 åren. Akut behandling med systemiska kortikosteroider eller operation tilläts under studierna efter prövarens bedömning. Alla patienter visade tecken av sinusförtätning enligt Lund-MacKay-skalan (LMK) vid datortomografi av bihålorna, och hos 73 % till 90 % av patienterna sågs förtätning av samtliga bihålor. Patienterna delades upp utifrån operationshistorik och samtidig förekomst av astma/ icke-steroida antiinflammatoriska läkemedel-förvärrad andningssjukdom (N-ERD).
De co-primära effektmåtten var ändring på den bilaterala endoskopiska näspolyp-skalan (NPS) från studiestart till vecka 24, graderad av samma personer som var blindade för patientens behandling, och den genomsnittliga ändringen på nästäppa-skalan (NC) över en period av 28 dagar, från studiestart till vecka 24, enligt patienternas dagbok. För NPS graderades polyper på vardera sidan av näsan enligt en kategorisk skala (0=inga polyper, 1=små polyper i mittengången som inte når under den lägre kanten på de mittersta näsmusslorna, 2=polyper som når under den lägre kanten på de mittersta näsmusslorna, 3=stora polyper som når den lägre kanten på lägre näsmusslorna eller polyper mitt på de mittersta näsmusslorna, 4=stora polyper som ger fullständig nästäppa i den lägre näshålan). Den totala graderingen bestämdes genom att addera graderingen av den högra och vänstra sidan. Nästäppa graderades dagligen av försökspersonerna enligt en kategorisk skala från 0 till 3 (0=inga symtom, 1=lätta symtom, 2=måttliga symtom, 3=svåra symtom).
Demografi och karaktäristika vid studiestart för dessa två studier finns i tabell 25 nedan.
Tabell 25: Demografi och karaktäristika vid studiestart från studier på kronisk rinosinuit med näspolyper
aHögre poäng indikerar svårare sjukdomsgrad, förutom för UPSIT där högre poäng indikerar lägre sjukdomsgrad; SD = standardavvikelse; f.m = förmiddag; NPS=näspolyppoäng; UPSIT= luktidentifieringstest enligt Pennsylvania-universitetet; SNOT-22 = 22-delars sinonasalt resultattest; VAS = visuell analogskala; FEV1=Forcerad exspiratorisk volym på 1 sekund; ACQ-6= 6-delars astmakontrollfrågeformulär; N-ERD = icke-steroida antiinflammatoriska läkemedel-förvärrad andningssjukdom
Klinisk respons (SINUS-24 och SINUS-52)
Resultat för primära och sekundära effektmått vid studier på kronisk rinosinuit med näspolyper presenteras i tabell 26.
Tabell 26: Resultat från primära och sekundära effektmått i studier på kronisk rinosinuit med näspolyper
En minskning i poäng indikerar förbättring, förutom för UPSIT där en ökning indikerar förbättring.
TSS är en blandad svårighetsskala som beror av summan av dagliga symtom av nästäppa, luktförlust, och främre/bakre rinnsnuva.NPS=näspolyppoäng, LMK= Lund-MacKay-poäng vid datortomografi av bihålorna, UPSIT=luktidentifieringstest enligt Pennsylvania-universitetet, SNOT-22 = 22-delars sinonasalt resultattest, TSS = totalt symtompoäng, VAS=visuell analogskala för rinosinuit (alla p-värden < 0,0001 (alla statistiskt signifikanta jämfört med placebo efter justering för multiplicitet); nominell för VAS)
Resultaten från SINUS-52-studien vid vecka 52 finns i Tabell 27.
Tabell 27: Effekt-resultat vecka 52 i SINUS-52-studien
En minskning i poäng indikerar förbättring, förutom för UPSIT där en ökning indikerar förbättring.
TSS är en blandad svårighetsskala som beror av summan av dagliga symtom av nästäppa, luktförlust, och främre/bakre rinnsnuva.
NPS=näspolyppoäng, LMK= Lund-MacKay-poäng vid datortomografi av bihålorna, UPSIT=luktidentifieringstest enligt Pennsylvania-universitetet, SNOT-22 = 22-delars sinonasalt resultattest, TSS = totalt symtompoäng, VAS=visuell analogskala för rinosinuit
(ap-värde < 0,0001 (alla statistiskt signifikanta jämfört med placebo efter justering för multiplicitet); bnominellt p-värde < 0,0001
Statistiskt signifikant och kliniskt relevant effekt observerades i SINUS-24 avseende förbättring i bilateral endoskopisk NPS-poäng vid vecka 24. I perioden efter behandling när patienterna slutat med dupilumab, sjönk behandlingseffekten med tiden (se Figur 5a). Liknande resultat sågs också i SINUS-52 både vid vecka 24 och vecka 52 med successiv förbättring över tid (se Figur 5b).
Figur 5. Ändring i minstakvadratmedelvärde från studiestart på bilateral näspolyppoäng (NPS) i SINUS-24 och SINUS-52 – ITT-gruppen
I båda studierna sågs signifikanta förbättringar avseende nästäppa och svårighetsgraden av daglig luktförlust, så tidigt som vid första utvärderingen vecka 4. I dupilumab-gruppen jämfört med placebogruppen var skillnaden i minstakvadratmedelvärde för nästäppa vecka 4 -0,41 (95 % CI: -0,52, -0,30) i SINUS-24 och -0,37 (95 % CI: -0,46, -0,27) i SINUS-52. I dupilumab-gruppen jämfört med placebogruppen var skillnaden i minstakvadratmedelvärde för luktförlust vecka 4 -0,34 (95 % CI: -0,44, -0,25) i SINUS-24 och -0,31 (95 % CI: -0,41, -0,22) i SINUS-52. En minskning i andelen patienter med luktstörningar sågs i SINUS-24 och SINUS-52. Vid studiestart hade 74 till 79 % av patienterna luktstörningar, vilket sänktes till 24 % i SINUS-24 och till 30 % i SINUS-52 vecka 24, jämfört med ingen ändring alls för placebo.
Förbättring av maximalt inspiratoriskt näsflöde (NPIF) sågs i SINUS-24 och SINUS-52 vecka 24. I dupilumab-gruppen jämfört med placebogruppen var skillnaden i minstakvadratmedelvärde 40,4 l/min (95 % CI: 30,4, 50,4) respektive 36,6 l/min (95 % CI: 28,0, 45,3).
Bland patienterna med rinosinuit och VAS-poäng >7 vid studiestart, uppnådde en större andel patienter VAS-poäng ≤7 i dupilumab-gruppen jämfört med placebogruppen (83,3 % vs 39,4 % i SINUS-24 och 75,0 % vs 39,3 % i SINUS-52) vecka 24.
I den förbestämda multiplicitetsjusterade samlade analysen av de två studierna, påvisade behandling med dupilumab signifikant minskning av systemisk kortikosteroid-användning och behov av sino-nasal kirurgi jämfört med placebo (HR på 0,24; 95 % CI: 0,17, 0,35) (se Figur 6). Andelen patienter som behövde systemiska kortikosteroider minskade med 74 % (HR på 0,26; 95 % CI: 0,18, 0,38). Totala antalet behandlingar med systemiska kortikosteroider per år minskades med 75 % (RR på 0,25; 95 % CI: 0,17, 0,37). Förskriven total medelårsdos per individ av systemiska kortikosteroider (i mg) under behandlingstiden var 71 % lägre i den samlade dupilumabgruppen jämfört med den samlade placebogruppen (60,5 [531.3] mg vs 209,5 [497,2] mg). Andelen patienter som behövde operation minskade med 83 % (HR på 0,17 ; 95 % CI: 0,07, 0,46).
Figur 6. Kaplan-Meier-kurva av tid till första användning av systemisk kortikosteroid och/eller sino-nasal operation under behandlingsperioden – ITT-gruppen [SINUS-24 och SINUS-52 tillsammans]
Effekterna av dupilumab på de primära effektmåtten NPS och nästäppa, och på det huvudsakliga sekundära effektmåttet LMK vid CT av bihålor var dem samma hos patienter som tidigare hade opererats och de som inte hade opererats.
Hos patienter med samtidig astma, observerades signifikanta förbättringar i FEV1 och ACQ-6 vecka 24, oberoende av eosinofilnivå i blodet vid studiestart. Den samlade förändringen från studiestart i minstakvadratmedelvärde för FEV1 vecka 24 för dupilumab 300 mg varannan vecka var 0,14 jämfört med 0,07 l för placebo, en förändring på 0,21 l (95 % CI: 0,13, 0,29). Dessutom sågs förbättringar i FEV1 från den första utvärderingen efter studiestart i vecka 8 i SINUS-24 och i vecka 4 i SINUS-52. Förbättringar i ACQ-6 hos patienter med samtidig astma sågs i båda studierna. Kliniskt-relevant svar definierades som en poängförbättring på 0,5 eller mer. Förändringen i minstakvadratmedelvärde i dupilumabgruppen jämfört med placebo vid vecka 24 var -0,76 (95 % CI: -1,00 till -0,51 i SINUS-24 och -0,94 (95 % CI: -1,19, -0,69) i SINUS-52.
Svarsfrekvensen för ACQ-6 för dupilumab 300 mg varannan vecka i SINUS-24 var vid vecka 24 56 % jämfört med 28 % i placebogruppen (odds ratio 3,17; 95 % CI: 1,65, 6,09). Svarsfrekvensen för ACQ-6 för dupilumab 300 mg varannan vecka i SINUS-52 var vid vecka 52 46 % jämfört med 14 % i placebogruppen (odds ratio 7,02; 95 % CI: 3,10, 15,90).
Hos patienter med N-ERD var effekten av dupilumab på de primära effektmåtten NPS och nästäppa samt det huvudsakliga sekundära effektmåttet LMK vid CT av bihålor densamma som observerades i den totala patientpopulationen med kronisk rinosinuit med näspolyper.
Klinisk effekt vid prurigo nodularis
Utvecklingsprogrammet för prurigo nodularis inkluderade två 24 veckors randomiserade, dubbelblinda placebokontrollerade multicenterstudier med parallellgrupper (PRIME och PRIME2) på 311 patienter i åldern 18 år och äldre med måttlig till svår prurigo nodularis, som definierades som svår pruritus (WI-NRS ≥ 7 på en skala från 0 till 10) och fler eller lika med 20 nodulära lesioner, vars sjukdom inte var tillräckligt kontrollerad med topikala receptbelagda behandlingar eller när dessa behandlingar inte var lämpliga. I PRIME och PRIME2 utvärderades effekten av dupilumab på förbättring av klåda samt dess effekt på lesioner vid prurigo nodularis, DLQI-index (Dermatology Life Quality Index), HADS-skala (Hospital Anxiety and Depression Scale) och hudsmärta.
I dessa två studier fick patienterna antingen subkutant dupilumab 600 mg (två 300 mg injektioner) dag 1, följt av 300 mg en gång varannan vecka i 24 veckor, eller matchande placebo.
I dessa studier var medelåldern 49,5 år, medianvikten 71,3 kg, 65,3 % av patienterna var kvinnor, 56,6 % vita, 6,1 % svarta och 34,1 % asiater. Vid baslinjen var de genomsnittliga poängen på WI-NRS-skalan 8,5, 66,3 % hade 20 till 100 knölar (måttliga), 33,7 % hade fler än 100 knölar (svåra), 99,7 % hade tidigare fått topikala behandlingar, 12,5 % hade tidigare fått systemiska kortikosteroider, 20,6 % hade tidigare fått systemiska icke-steroida immunosuppressiva medel, och 4,5 % hade tidigare fått gabapentinoider. 11 % av patienterna tog antidepressiva medel vid stabila doser vid baslinjen och uppmanades att fortsätta att ta dessa läkemedel under behandlingen. 43,4 % hade tidigare haft atopi (definierad som en medicinsk historia av atopisk dermatit, allergisk rinit/rinokonjunktivit, astma eller matallergi).
WI-NRS-skalan består av en enstaka fråga som utvärderas på en skala från 0 (”ingen klåda”) till 10 (”värsta tänkbara klåda”). Patienterna tillfrågades att utvärdera svårighetsgraden av deras värsta pruritus (klåda) under de senaste 24 timmarna på denna skala. IGA PN-S är en skala som mäter det ungefärliga antalet knölar på en 5-gradig skala från 0 (klar) till 4 (svår).
Det primära effektmåttet var andelen patienter med förbättring (minskning) i WI‑NRS-poängen med ≥ 4. De viktigaste sekundära effektmåtten inkluderade andelen patienter med IGA PN-S-poäng på 0 eller 1 (lika med 0–5 knölar).
Effektresultaten för PRIME och PRIME2 presenteras i tabell 28 och figurerna 7 och 8.
Tabell 28: Resultaten av de primära och sekundära effektmåtten i PRIME och PRIME2
ª Inte multiplicitetsjusterad i PRIME
b Patienter som tidigare hade fått undsättningsbehandling eller saknade data ansågs som ej svarande.
c Patienter som tidigare hade fått undsättningsbehandling eller avbröt behandlingen på grund av brist på effekt imputerades genom att använda värsta observerade värde (worst observation carried forward), andra data som saknades imputerades genom att använda multipel imputering.
SE = sekundärt effektmått
Effekten på ändringen från baslinjen i WI-NRS, som definierades som den första tidpunkten då skillnaden i medelvärdet per vecka för WI-NRS per dag jämfört med placebo var och förblev signifikant (nominellt p-värde < 0,05), observerades ha börjat så tidigt som vecka 3 i PRIME (figur 7a) och vecka 4 i PRIME2 (figur 7b).
Figur 7. LS medelprocentändring från baslinjen i WI-NRS i PRIME och PRIME2 upp till vecka 24
En större andel patienter upplevde förbättring på WI‑NRS-skalan med ≥ 4 poäng från baslinjen i dupilumabgruppen jämfört med placebogruppen, vid vecka 4 i PRIME (figur 8a nominellt p-värde < 0,007) och vid vecka 11 i PRIME2 (figur 8b nominellt p-värde < 0,013), och denna skillnad förblev signifikant under hela behandlingsperioden.
Figur 8. Andelen patienter med förbättring på WI-NRS-skalan med ≥ 4 poäng med tiden i PRIME och PRIME2
Behandlingseffekter i subgrupper (ålder, kön, med eller utan atopisk medicinsk historia, och bakgrundsbehandling, inklusive immunsuppressiv behandling) i PRIME och PRIME2 var i enlighet med resultaten i hela studiepopulationen.
Efter att behandlingen avslutades efter 24 veckor fanns det tecken på återfall av symtom under den 12 veckor långa uppföljningsperioden.
Klinisk effekt vid eosinofil esofagit (EoE)
Vuxna och pediatriska patienter 12 till 17 år med EoE
Utvecklingsprogrammet för eosinofil esofagit (EoE) inkluderade ett protokoll med tre delar upp till 52 veckor (TREET) som inkluderade två separata randomiserade, dubbelblindade, multicenter-, placebokontrollerade behandlingsstudier med parallella grupper som varade i 24 veckor (TREET del A och del B) följt av en 28-veckors förlängningsstudie med aktiv behandling (TREET C) med vuxna och pediatriska patienter i åldern 12–17 år, exklusive patienter < 40 kg. I TREET del A och B behövde alla inkluderade patienter ha genomgått misslyckad behandling med sedvanliga läkemedel (protonpumpshämmare), 74 % hade behandlats med ett annat sedvanligt läkemedel (svalda topikala kortikosteroider) före inkluderingen. I TREET del B hade 49 % av patienterna inte fått tillräcklig effekt, var intoleranta eller hade kontraindikationer mot behandling med svalda topikala kortikosteroider. I båda delarna behövde patienterna ha ≥ 15 intraepiteliala eosinofiler per high-power field (eos/hpf) efter minst 8veckors behandling med protonpumpshämmare (PPI) i högdos antingen före eller under screeningperioden och DSQ-poäng (Dysphagia Symptom Questionnaire) ≥ 10 på en skala från 0 till 84. Patienterna stratifierades efter ålder vid tidpunkten för screeningbesöket (12 till 17 år vs. 18 år eller äldre) och användning av protonpumpshämmare vid randomiseringen. TREET del A genomfördes först. TREET del B öppnades efter att inkluderingen i TREET del A hade avslutats. Patienter som fullföljde den 24 veckor långa dubbelblinda behandlingsperioden i del A eller B erbjöds möjlighet till att delta i en 28-veckors förlängningsstudie med aktiv behandling (TREET del C).
I del A randomiserades totalt 81 patienter, av vilka 61 var vuxna och 20 var pediatriska patienter i åldern 12–17 år, för att erhålla antingen 300 mg dupilumab varje vecka (N=42) eller placebo (N=39). I del B randomiserades totalt 240 patienter, av vilka 161 var vuxna och 79 var pediatriska patienter i åldern 12–17 år, för att få antingen 300 mg dupilumab varje vecka (N=80), 300 mg dupilumab varannan vecka (N=81, dosschemat 300 mg varannan vecka är inte godkänt vid EoE) eller placebo (N=79). I del C fick alla patienter som tidigare deltagit i del A 300 mg dupilumab (N=77) varje vecka. Av de patienter som tidigare deltagit i del B fick 111 dupilumab 300 mg varje vecka i del C. Undsättningsbehandling med systemiska och/eller svalda topikala kortikosteroider eller akut dilatation av esofagus tilläts under studien utifrån prövarens bedömning.
I del A hade totalt 74,1 % av de inkluderade patienterna tidigare använt svalda topikala kortikosteroider som behandling av EoE och 43,2 % hade tidigare genomgått esofageal dilatation. I del B hade totalt 73,3 % av de inkluderade patienterna tidigare använt topikala kortikosteroider som sväljs för behandling av EoE och 35,4 % hade tidigare genomgått dilatation av esofagus.
Co-primära effektmått i båda studierna var andelen patienter som uppnådde histologisk remission definierad som högsta nivå av esofageala intraepiteliala eosinofiler på ≤ 6 eos/hpf vid vecka 24 och absolut förändring i patientrapporterat DSQ-poäng från baslinjen till vecka 24. Sekundära effektmått inkluderade förändring från baslinjen av följande: procentuell förändring i högsta nivå av esofageala intraepiteliala eosinofiler (eos/hpf), absolut förändring av genomsnittligt poäng avseende grad på histologisk bedömningsskala (Histology Scoring System, EoEHSS), absolut förändring i genomsnittligt poäng avseende stadium på EoEHSS-skala, absolut förändring i -endoskopisk referensskala för EoE (EoE-EREFS) och andel patienter som uppnådde högsta nivå av esofageala intraepiteliala eosinofiler på < 15 eos/hpf.
Demografi och karaktäristika vid baslinjen för TREET del A och B anges i tabell 29.
Tabell 29: Demografi och karaktäristika vid baslinjen (TREET del A och B)
aHögre poäng indikerar svårare sjukdom
SD = standardavvikelse
Resultaten från TREET del A och B anges i tabell 30.
Tabell 30: Effektresultat för dupilumab vid vecka 24 hos patienter i åldern 12 år och äldre med eosinofil esofagit (TREET del A och B)
aTotala DSQ-poäng varannan vecka graderas 0 till 84; högre poäng indikerar högre frekvens och svårighetsgrad av dysfagi
bEoEHSS-poäng graderas 0 till 3; högre poäng indikerar högre svårighetsgrad och omfattning av histologiska avvikelser
cTotala EoE-EREFS-poäng graderas 0 till 18; högre poäng indikerar värre endoskopiska inflammatoriska fynd och remodelleringsfynd
dLS medelskillnad för kontinuerliga effektmått och absolut skillnad i andelar för kategoriska effektmått
Effektresultaten för co-primära och huvudsakliga sekundära effektmått i subgruppen av patienter som tidigare behandlats med svalda topikala kortikosteroider och patienter som inte fick tillräcklig effekt, var intoleranta eller hade kontraindikationer mot svalda topikala kortikosteroider var i enlighet med resultaten i den totala populationen.
I del A och B uppnådde en större andel patienter som randomiserats till dupilumab histologisk remission (högsta nivå av esofageala intraepiteliala eosinofiler ≤ 6 eos/hpf) jämfört med placebo. Andelen patienter med histologisk remission som observerades efter 24 veckors behandling i del A och B bibehölls i 52 veckor i del C. Likaså bibehölls annan histologisk och endoskopisk förbättring i 52 veckor.
Behandling med dupilumab resulterade också i signifikant förbättring i LS medelförändring i DSQ-poäng jämfört med placebo så tidigt som vecka 4 och bibehölls fram till vecka 24. Effekten i del C var liknande resultaten i del A och B, med en kontinuerlig förbättring i DSQ i upp till 52 veckor (TREET del A och C [figur 9] och TREET del B och C [figur 10]).
Figur 9: LS medelförändring i DSQ-poäng från baslinjen över tid hos patienter i åldern 12 år och äldre med eosinofil esofagit (TREET del A och C)
Figur 10: Medelförändring i DSQ-poäng från baslinjen över tid hos patienter i åldern 12 år och äldre med eosinofil esofagit (TREET del B och C)
I enlighet med förbättring i totala DSQ-poäng i TREET del A och B observerades nominellt signifikanta förbättringar vid vecka 24 jämfört med placebo i smärta relaterad till dysfagi (DSQ-smärtskala), hälsorelaterad QoL (EoE-IQ) och frekvensen av andra icke-dysfagirelaterade symtom (EoE-SQ).
Pediatriska patienter 1 till 11 år med EoE
Effekten och säkerheten för dupilumab utvärderades hos pediatriska patienter i åldern 1 till 11 år med eosinofil esofagit i en tvådelad studie i upp till 52 veckor (EoE KIDS del A och del B). Alla inkluderade patienter behövde ha genomgått behandling utan tillräcklig effekt med sedvanliga läkemedel (protonpumpshämmare), 77,5 % hade behandlats med ett annat sedvanligt läkemedel (svalda topikala kortikosteroider) före inkluderingen, och 53,5 % av patienterna hade inte fått tillräcklig effekt, var intoleranta eller hade kontraindikationer mot behandling med svalda topikala kortikosteroider. Patienter var lämpliga för inklusion om de hade ≥ 15 intraepiteliala eosinofiler per high-power field (eos/hpf), trots en behandlingskur med protonpumpshämmare (PPI) antingen före eller under screeningperioden, samt tidigare tecken och symtom på eosinofil esofagit. Del A var en 16-veckors randomiserad, dubbelblindad, placebokontrollerad multicenterstudie med parallella interventionsgrupper. Del B var en förlängningsperiod med aktiv behandling där dupilumab-regimerna utvärderades i ytterligare 36 veckor.
I del A utvärderades dupilumab jämfört med motsvarande placebo vid doseringsregimer baserat på kroppsvikt (≥ 5 till < 15 kg [100 mg varannan vecka], ≥ 15 till < 30 kg [200 mg varannan vecka] och ≥ 30 till < 60 kg [300 mg varannan vecka]). Den rekommenderade doseringsregimen av dupilumab valdes ut för pediatriska patienter i åldern 1 till 11 år som vägde ≥ 40 kg (300 mg en gång per vecka) baserat på simuleringar med en populationsfarmakokinetisk modell för att matcha exponeringen hos vuxna patienter och pediatriska patienter i åldern 12 till 17 år med eosinofil esofagit som fick 300 mg en gång per vecka, för vilka histologisk och symtomatisk effekt observerades (se avsnitt 5.1 och avsnitt 5.2).
Totalt 71 patienter inkluderades i del A. Medelåldern var 7 år (intervall 1 till 11 år), medianvikten var 24,8 kg, 74,6 % av patienterna var av manligt kön, 87,3 % var vita, 9,9 % var svarta och 1,4 % var asiater. Totalt 55 patienter från del A fortsatte i del B.
Det primära effektmåttet i del A var andelen patienter som uppnådde histologisk remission definierad som högsta nivå av esofageala intraepiteliala eosinofiler på ≤ 6 eos/hpf vid vecka 16. Sekundära effektmått inkluderade andel patienter som uppnådde högsta nivå av esofageala intraepiteliala eosinofiler på < 15 eos/hpf och förändring från baslinjen av följande: högsta nivå av esofageala intraepiteliala eosinofiler (eos/hpf), absolut förändring av genomsnittligt poäng avseende en histologisk bedömningsskala (Histology Scoring System, EoEHSS), absolut förändring i genomsnittligt poäng avseende stadium på EoEHSS-skala, och absolut förändring i en endoskopisk referensskala för EoE (EoE-EREFS). Effekten på tecken på eosinofil esofagit mättes med hjälp av observatörrapporterade utfall; Paediatric EoE Sign/Symptom Questionnaire-Caregiver (PESQ-C) bedömde andelen dagar med ett eller flera tecken på eosinofil esofagit och Paediatric Eosinophilic Esophagitis Symptom Score (PEESS) bedömde frekvensen och svårighetsgraden av tecken på eosinofil esofagit.
Effektresultaten för del A visas i tabell 31 och nedan.
Tabell 31: Effektresultat för dupilumab vid vecka 16 hos försökspersoner i åldern 1 till 11 år med eosinofil esofagit (EoE KIDS del A)
a DUPIXENT utvärderades vid stegvisa doseringsregimer baserat på kroppsvikt: ≥ 5 till < 15 kg (100 mg varannan vecka), ≥ 15 till < 30 kg (200 mg varannan vecka) och ≥ 30 till < 60 kg (300 mg varannan vecka).
b För histologisk remission estimerades skillnaden i procentandelar med Mantel-Haenszel-metoden, med justering för viktgruppen vid baslinjen (≥ 5 till < 15 kg, ≥ 15 till < 30 kg, och ≥ 30 till < 60 kg).
c Skillnaden i absolut förändring eller procentuell förändring estimerades med hjälp av ANCOVA-modellen med baslinjemått som kovariat och behandlingen, baslinjens viktgruppsstrata (≥ 5 till < 15 kg, ≥ 15 till < 30 kg och ≥ 30 till < 60 kg) som fasta faktorer.
d EoEHSS-poäng sträcker sig från 0 till 3; högre poäng tyder på större svårighetsgrad och omfattning av histologiska avvikelser.
e Totala EoE-EREFS-poäng sträcker sig från 0 till 18; högre poäng tyder på värre endoskopiska inflammatoriska fynd och remodelleringsfynd.
I del A uppnådde en större andel patienter som randomiserats till dupilumab histologisk remission (maximal nivå av esofageala intraepiteliala eosinofiler ≤ 6 eos/hpf) jämfört med placebo. Andelen försökspersoner med histologisk remission som observerades efter 16 veckors behandling i del A bibehölls under 52 veckor i del B.
Numerisk förbättring av andelen dagar med ett eller fler tecken på eosinofil esofagit (PESQ-C) observerades efter 16 veckors behandling med dupilumab i del A och bibehölls under 52 veckor i del B.
Nominellt signifikant förbättring i frekvensen och svårighetsgraden av tecken på eosinofil esofagit (PEESS-Caregiver) observerades efter 16 veckors behandling i del A. PEESS-Caregiver mättes inte i del B.
Klinisk effekt vid kroniskt obstruktiv lungsjukdom (KOL)
Programmet för kroniskt obstruktiv lungsjukdom (KOL) omfattade två randomiserade, dubbelblinda, placebokontrollerade multicenterstudier med parallellgrupper (BOREAS och NOTUS) med en behandlingsperiod på 52 veckor, som inkluderade totalt 1 874 vuxna patienter med KOL för att utvärdera dupilumab som tillägg till underhållsbehandling.
Båda studierna inkluderade patienter med diagnosen KOL med måttlig till svår luftflödesbegränsning (post-bronkodilator FEV1/FVC-kvot < 0,7 och förväntad post-bronkodilator FEV1 av 30 % till 70 %), kronisk produktiv hosta i minst 3 månader under det senaste året och ett minimiantal blodeosinofiler på 300 celler/µl vid screening. Patienterna hade okontrollerad KOL med dyspnépoäng ≥ 2 (intervall 0–4) på MRC-skalan (Medical Research Council) och de hade haft minst 2 måttliga exacerbationer eller 1 allvarlig exacerbation under det föregående året trots underhållsbehandling med trippelbehandling, bestående av en långverkande muskarinreceptorantagonist (LAMA), långverkande betareceptoragonist (LABA) och inhalerad kortikosteroid (ICS). Underhållsbehandling bestående av en LAMA och LABA var tillåten om ICS inte var lämpligt. Exacerbationer definierades som måttliga om behandling med systemiska kortikosteroider och/eller antibiotika krävdes, eller som allvarliga om de ledde till inläggning på sjukhus eller observation i över 24 timmar på akutavdelning eller akutmottagning.
I båda studierna randomiserades patienterna till att få dupilumab 300 mg varannan vecka eller placebo som tillägg till deras underhållsbehandling (bakgrundsbehandling) i 52 veckor.
I båda studierna var det primära effektmåttet den årliga frekvensen av måttliga eller allvarliga KOL-exacerbationer under den 52 veckor långa behandlingsperioden. Sekundära effektmått inkluderade förändring från baslinjen av pre-bronkodilator FEV1 i den totala populationen och i subgruppen av patienter med FeNO ≥ 20 ppb vid baslinjen vid vecka 12 och vecka 52, förändring från baslinjen av totalt poäng på SGRQ-skalan (St. George's Respiratory Questionnaire) vid vecka 52, och årlig frekvens av måttliga eller allvarliga KOL-exacerbationer i subgruppen av patienter med FeNO ≥ 20 ppb vid baslinjen under den 52 veckor långa behandlingsperioden.
Demografin och karakteristika för baslinjen i BOREAS och NOTUS ges i tabell 32.
Tabell 32: Demografin och karakteristika för baslinjen (BOREAS och NOTUS)
Exacerbationer
I båda studierna visade dupilumab en statistiskt signifikant minskning i den årliga frekvensen av måttliga eller allvarliga KOL-exacerbationer jämfört med placebo vid användning som tillägg till underhållsbehandling (bakgrundsbehandling) (se tabell 33).
Tabell 33: Årlig frekvens av måttligaa eller allvarligab KOL-exacerbationer i BOREAS och NOTUS
I båda studierna var det kumulativa genomsnittliga antalet måttliga eller allvarliga exacerbationer, som observerades under 52 veckor, lägre hos patienter som fick dupilumab jämfört med placebo (se figur 11a och 11b).
Figur 11: Kumulativt genomsnittligt antal måttliga eller allvarliga KOL-exacerbationer under 52 veckor i BOREAS och NOTUS
Figur 11a. BOREAS
Figur 11b. NOTUS
Tiden till den första måttliga eller allvarliga KOL-exacerbationen var längre för patienter som fick dupilumab jämfört med placebo i BOREAS (HR: 0,803; 95 % CI: 0,658, 0,980) och NOTUS (HR: 0,71; 95 % CI: 0,57, 0,889).
I subgruppsanalysen av patienter med en högre FeNO (≥ 20 ppb) vid baslinjen i BOREAS (N = 383), minskade behandling med dupilumab statistiskt signifikant den årliga frekvensen av måttliga eller allvarliga KOL-exacerbationer jämfört med placebo (frekvenskvot: 0,625; 95 % CI: 0,45, 0,869; p = 0,005). I NOTUS visade behandling med dupilumab en nominellt signifikant minskning i den årliga frekvensen av måttliga eller allvarliga KOL-exacerbationer i subgruppen av patienter med en högre FeNO (≥ 20 ppb) vid baslinjen (N = 355) jämfört med placebo (frekvenskvot: 0,471; 95 % CI: 0,328, 0,675; p < 0,0001).
Minskningar i den årliga frekvensen av måttliga eller allvarliga exacerbationer observerades i alla fördefinierade subgrupper, inklusive ålder, kön, etnicitet, rökningsstatus, antalet eosinofiler i blodet, antal exacerbationer under föregående år (≤ 2, 3 och ≥ 4), hög dos ICS vid baslinjen, och procent förväntad post-bronkodilator FEV1 vid baslinjen (< 50 %, ≥ 50 %). Hos patienter med emfysem var minskningen av frekvensen av måttliga eller allvarliga exacerbationer överensstämmande med den totala populationen.
Lungfunktion
I båda studierna visade dupilumab en statistiskt signifikant förbättring i pre-bronkodilator FEV1 vid vecka 12 och vecka 52 jämfört med placebo vid användning som tillägg till underhållsbehandling (bakgrundsbehandling) (se tabell 34). Större förbättringar i lungfunktionen (LS medelförändring från baslinjen för pre-bronkodilator FEV1) observerades hos patienter som behandlades med dupilumab jämfört med placebo så tidigt som vecka 2 (BOREAS) (första bedömningen) och vecka 4 (NOTUS) och kvarstod vid vecka 52 (se figur 12a och 12b).
I BOREAS observerades snabba förbättringar i post-bronkodilator FEV1,post-bronkodilator FEV1/FVC-kvot, och pre-bronkodilator FVC med dupilumab jämfört med placebo så tidigt som vecka 2 (första bedömningen) och kvarstod till och med vecka 52. I NOTUS observerades snabba förbättringar i post-bronkodilator FEV1 och post-bronkodilator FEV1/FVC-kvot med dupilumab jämfört med placebo så tidigt som vecka 8 respektive vecka 2, och förbättringarna kvarstod till och med vecka 52.
Tabell 34: Medeländring från baslinjen av effektmått för lungfunktion i BOREAS och NOTUS
Figur 12: Medeländring från baslinjen av pre-bronkodilator FEV1 (l) över tid i BOREAS och NOTUSa
Figur 12a. BOREAS
Figur 12.b NOTUS
a Effektresultat för medeländring från baslinjen av pre-bronkodilator FEV1 över tid visas avseende 721 av 935 patienter som fullföljde behandlingsperioden på 52 veckor eller som hade avbrutit studien vid tidpunkten för dataanalysen.
I subgruppsanalysen av patienter med högre FeNO (≥ 20 ppb) vid baslinjen i BOREAS (N = 383) förbättrade behandlingen med dupilumab statistiskt signifikant pre-bronkodilator FEV1 från baslinjen vid vecka 12 (LS medelförändring: 0,232 dupilumab jämfört med 0,108 placebo; LS medelskillnad: 0,124 [95 % CI: 0,045, 0,203]; p = 0,002) och vecka 52 (LS medelförändring: 0,247 dupilumab jämfört med 0,120 placebo; LS medelskillnad: 0,127 [95 % CI: 0,042, 0,212]; p = 0,003) jämfört med placebo. I NOTUS observerades en statistiskt signifikant förbättring från baslinjen i subgruppen av patienter med en högre baslinje-FeNO (≥ 20 ppb) vid vecka 12 (N = 355; LS medelförändring: 0,221 dupilumab jämfört med 0,081 placebo; LS medelskillnad: 0,141 [95 % CI: 0,058, 0,223]; p = 0,001). Behandling med dupilumab förbättrade pre-bronkodilator FEV1 vid vecka 52 i subgruppen av patienter med högre FeNO (≥ 20 ppb) vid baslinjen jämfört med placebo i NOTUS (N = 264; LS medelförändring: 0,176 dupilumab jämfört med 0,095 placebo; LS medelskillnad: 0,081 [95 % CI: -0,019, 0,181]) men uppfyllde inte statistisk signifikans.
Förbättringar i lungfunktion, mätt i pre-bronkodilator FEV1, observerades i alla fördefinierade subgrupper, inklusive ålder, kön, etnicitet, rökningsstatus, antalet eosinofiler i blodet, antal exacerbationer under föregående år (≤ 2, 3 och ≥ 4), hög dos ICS vid baslinjen, och procent förväntad post-bronkodilator FEV1 vid baslinjen (< 50 %, ≥ 50 %). Hos patienter med emfysem överensstämde förbättringen i lungfunktionen , mätt i pre-bronkodilator FEV1, med den totala populationen.
Hälsorelaterad livskvalitet
I BOREAS observerades en statistiskt signifikant förbättring av totalt poäng på SGRQ-skalan hos patienter som behandlades med dupilumab jämfört med placebo (LS medelförändring: -9,73 dupilumab jämfört med -6,37 placebo; LS medelskillnad: -3,36 [95 % CI: -5,46, -1,27]; p = 0,0017). I NOTUS förbättrade dupilumab nominellt SGRQ-totalpoängen vid vecka 52 jämfört med placebo (LS medelförändring: -9,82 dupilumab jämfört med -6,44 placebo; LS medelskillnad: -3,37; 95 % CI: -5,81, -0,93]; p = 0,007).
Patienter med post-bronkodilator FEV1 < 30 % eller > 70 %
Patienter med post-bronkodilator FEV1 < 30 % eller > 70 % vid screening var exkluderade från BOREAS och NOTUS. Begränsade data finns dock tillgängliga från patienter med post-bronkodilator FEV1 < 30 % eller > 70 % vid baslinjen.
Klinisk effekt vid kronisk spontan urtikaria
Utvecklingsprogrammet för kronisk spontan urtikaria inkluderade tre randomiserade, dubbelblinda, placebokontrollerade multicenterstudier med parallellgrupper med 24-veckors behandling (CUPID-studie A, CUPID-studie B och CUPID-studie C). I alla kliniska studier inom kronisk spontan urtikaria användes dupilumab tillsammans med H1-antihistaminer. Effekten av dupilumab hos patienter med kronisk spontan urtikaria stöds av CUPID-studierna A och C som inkluderade vuxna och pediatriska patienter (6 till 17 år) som var symtomatiska trots användning av H1-antihistaminer och som inte tidigare hade behandlats med anti-IgE-läkemedel. Säkerheten för dupilumab hos patienter med kronisk spontan urtikaria stöds av CUPID-studierna A, B och C. I CUPID-studierna fick patienterna i dupilumabgruppen subkutana injektioner av dupilumab 600 mg dag 1, följt av 300 mg varannan vecka. Unga patienter med en kroppsvikt < 60 kg fick 400 mg dupilumab dag 1, följt av 200 mg varannan vecka.
CUPID-studierna A och C
I CUPID-studierna A och C utvärderades effekten av dupilumab hos deltagare med kronisk spontan urtikaria som var symtomatiska trots användning av H1-antihistaminer och som inte tidigare hade fått anti-IgE-läkemedel. I dessa studier inkluderades 289 patienter i åldern 6 år och äldre som randomiserades till att få dupilumab varannan vecka (N = 144) eller placebo (N = 145) som tillägg till bakgrundsbehandling med antihistaminer.
Det primära effektmåttet var förändring från baslinjen i poäng för urtikariaaktiviteten över 7 dagar (urticaria activity score, UAS7) vid vecka 24. Sjukdomens svårighetsgrad mättes med poäng för urtikariaaktiviteten över 7 dagar (UAS7, intervall 0–42), som är en sammansättning av poängen för svårighetsgraden av klåda över 7 dagar (weekly itch severity score ISS7, intervall 0–21) och poängen för svårighetsgraden av nässelutslag över 7 dagar (weekly hive severity score HSS7, intervall 0–21).
Det huvudsakliga sekundära effektmåttet var ändringen från baslinjen i poängen för svårighetsgraden av klåda över 7 dagar (ISS7) vid vecka 24. ISS7-poängen definierades som summan av poängen för svårighetsgraden av daglig klåda (daily itch severity score, ISS) som registrerades vid samma tidpunkt varje dag under en 7-dagarsperiod (intervall 0–21). Ytterligare sekundära effektmått inkluderade ändringen från baslinjen i poängen för svårighetsgraden av nässelutslag över 7 dagar (HSS7) vid vecka 24 och andelen patienter med UAS7-poäng ≤ 6 och UAS7 = 0 vid vecka 24.
Demografin och karakteristika för baslinjen i CUPID-studierna A och C anges i tabell 35 nedan.
Tabell 35: Demografin och karakteristika för baslinjen i CUPID-studierna A och C
Resultaten av de primära och sekundära effektmåtten i CUPID-studierna A och C visas i tabell 36.
Tabell 36 Resultaten av de primära och sekundära effektmåtten i CUPID-studierna A och C
a Värden som visas är LS medeländring från baslinjen (SE) för kontinuerliga variabler och procentandelen patienter som svarade för binära variabler.
b Skillnad är LS medelskillnad för kontinuerliga variabler och oddskvot för binära variabler.
Behandling med dupilumab ledde till en förbättring över tiden i UAS7 under behandlingsperioden på 24 veckor (figur 13).
Figur 13: LS medeländring från baslinjen i UAS7 fram till vecka 24 i ITT-populationen i CUPID-studierna A och C
Liknande förbättring i HSS7 och ISS7 observerades över 24 veckor.
Pediatrisk population
Atopisk dermatit
Säkerhet och effekt för dupilumab har fastställts hos pediatriska patienter i åldern 6 månader och äldre med atopisk dermatit. Användning av dupilumab i denna åldersgrupp stöds av studie AD-1526 vilken omfattade 251 ungdomar i åldrarna 12 till 17 år med måttlig till svår atopisk dermatit, i studie AD-1652 vilken omfattade 367 pediatriska patienter i åldrarna 6 till 11 år med svår atopisk dermatit, och studie AD-1539 vilken omfattade 162 barn i åldrarna 6 månader till 5 år med måttlig till svår atopisk dermatit (125 av dessa barn hade svår atopisk dermatit). Långtidsanvändning stöds av studie AD-1434 vilken inkluderade 823 pediatriska patienter i åldrarna 6 månader till 17 år, inklusive 275 ungdomar, 368 barn i åldrarna 6 till 11 år, och 180 barn i åldern 6 månader till 5 år. Säkerhet och effekt var generellt jämförbar mellan barn i åldern 6 månader till 5 år, 6 till 11 år, ungdomar (12 till 17 år) och vuxna med atopisk dermatit (se avsnitt 4.8). Säkerhet och effekt hos pediatriska patienter (< 6 månader) med atopisk dermatit har inte fastställts.
Astma
Totalt ingick 107 ungdomar i åldrarna 12 till 17 år med måttlig till svår astma i QUEST-studien och fick antingen 200 mg (N=21) eller 300 mg (N=18) dupilumab (eller motsvarande placebo antingen 200 mg [N=34] eller 300 mg [N=34]) varannan vecka. Effekt med avseende på allvarliga astmaexacerbationer och lungfunktion observerades hos både ungdomar och vuxna. För både doserna 200 mg och 300 mg varannan vecka observerades signifikanta förbättringar i FEV1 (LS-medeländring från baslinjen vid vecka 12) (0,36 l respektive 0,27 l). För dosen 200 mg varannan vecka hade patienterna en minskning av frekvensen av allvarliga exacerbationer som var förenliga med vuxna. Säkerhetsprofilen hos ungdomar var i allmänhet liknande vuxna.
Totalt 89 ungdomar i åldern 12 till 17 år med måttlig till svår astma inkluderades i den öppna långtidsstudien (TRAVERSE). Resultaten i den här studien, effekten mättes som ett sekundärt effektmått, liknande de som observerats i de pivotala studierna och bibehölls i upp till 96 veckor.
Totalt 408 barn i ålder 6 till 11 år med måttligt till svår astma inkluderas i VOYAGE studien, med undersökta doser av 100 mg varannan vecka och 200 mg varannan vecka. Effekten av dupilumab 300 mg var fjärde vecka hos barn 6 till 11 år är extrapolerad från effekten av 100 mg och 200 mg varannan vecka i VOYAGE och 200 mg och 300 mg varannan vecka till vuxna och ungdomar (QUEST). Patienter som fullföljde behandlingen i VOYAGE studien kunde delta i den öppna långtidsstudien (EXCURSION). Arton patienter (≥ 15 kg till < 30 kg) av totalt 365 patienter fick 300 mg var fjärde vecka i den här studien, och säkerhetsprofilen var liknande den som sågs i VOYAGE. Säkerhet och effekt hos pediatriska patienter < 6 års ålder med astma har inte fastställts.
Eosinofil esofagit
Säkerhet och effekt av dupilumab för behandling av eosinofil esofagit har fastställts hos pediatriska patienter i åldern 1 till 17 år. Användning av dupilumab i denna population stöds av adekvata och välkontrollerade studier och ytterligare farmakokinetiska data. Totalt 72 pediatriska patienter i åldern 12 till 17 år fick dupilumab 300 mg en gång per vecka eller placebo i 24 veckor (TREET del A och del B). Av dessa behandlades 37 patienter med dupilumab i delarna A och B; 34 fortsatte behandlingen med 300 mg en gång per vecka i ytterligare 28 veckor (TREET del C). Totalt 71 pediatriska patienter i åldern 1 till 11 år fick dupilumab 100 mg varannan vecka, 200 mg varannan vecka, 300 mg varannan vecka eller placebo i 16 veckor (EoE KIDS del A). Av dessa behandlades 37 patienter med dupilumab i del A och alla fortsatte behandlingen med dessa dupilumab-regimer i ytterligare 36 veckor (EoE KIDS del B). Användning av dupilumab 300 mg en gång per vecka hos patienter i åldern 1 till 11 år med eosinofil esofagit, med en kroppsvikt på ≥ 40 kg stöds även av en farmakokinetisk populationsanalys (se avsnitt 5.1). Säkerhet och effekt för dupilumab hos vuxna och pediatriska patienter var liknande (se avsnitt 4.8 och avsnitt 5.1).
Kronisk spontan urtikaria
Säkerhet och effekt av dupilumab för behandling av kronisk spontan urtikaria har fastställts hos pediatriska patienter i åldern 2 till 17 år.
Säkerhet och effekt hos pediatriska patienter under 2 år med kronisk spontan urtikaria har inte fastställts (se avsnitt 4.2).
Totalt 12 ungdomar i åldern 12 till 17 år med kronisk spontan urtikaria inkluderades i CUPID-studierna A, B och C och fick dupilumab 200 mg varannan vecka (kroppsvikt 30 kg till < 60 kg), 300 mg varannan vecka (kroppsvikt ≥ 60 kg) eller placebo. Effekten av dupilumab för behandling av kronisk spontan urtikaria hos ungdomar baseras på extrapolering av effekten hos vuxna med detta tillstånd. Den rekommenderade dosen för ungdomar är baserad på kroppsvikt.
Totalt 20 pediatriska patienter i åldern 2 till 11 år med kronisk spontan urtikaria inkluderades i CUPID-studierna (A och C) och PKM16982. 18 barn fick dupilumab (200 mg var fjärde vecka [5 kg till < 15 kg), 300 mg var fjärde vecka [15 kg till < 30 kg] eller 200 mg varannan vecka [30 kg till < 60 kg]) och 2 fick placebo. Effekten av dupilumab för behandling av kronisk spontan urtikaria hos pediatriska patienter i åldern 2 till 11 år baseras på extrapolering av effekten hos vuxna med detta tillstånd. Den rekommenderade dosen för pediatriska patienter är baserad på kroppsvikt.
Effekten av dupilumab för behandling av kronisk spontan urtikaria hos barn i åldern 2 till 11 år stöds ytterligare av studien PKM16982 som inkluderade 15 patienter som fick 200 mg var fjärde vecka (N = 1), 300 mg var fjärde vecka (N = 6) eller 200 mg varannan vecka (N = 8).
Europeiska läkemedelsmyndigheten har senarelagt kravet att skicka in studieresultat för dupilumab för en eller flera grupper av den pediatriska populationen för astma (information om pediatrisk användning finns i avsnitt 4.2). Europeiska läkemedelsmyndigheten har beviljat undantag till kravet att lämna in studieresultat för dupilumab för samtliga grupper av den pediatriska populationen för behandling av nasal polypos, prurigo nodularis, kroniskt obstruktiv lungsjukdom och bullös pemfigoid (se avsnitt 4.2 för information gällande pediatrisk användning).
Farmakokinetiken för dupilumab är liknande hos patienter med atopisk dermatit, astma, kronisk rinosinuit med näspolyper, prurigo nodularis, eosinofil esofagit, KOL och kronisk spontan urtikaria.
Absorption
Efter en subkutan enkeldos på 75-600 mg dupilumab till vuxna var mediantid till maximal koncentration i serum (tmax) 3-7 dagar. Dupilumabs absoluta biotillgänglighet efter en subkutan dos är liknande mellan patienter med atopisk dermatit, astma, kronisk rinosinuit med näspolyper, eosinofil esofagit, KOL och kronisk spontan urtikaria, vilket varierar mellan 61 % och 64 % beräknat utifrån farmakokinetisk (PK) populationsanalys.
Steady-state-koncentrationer uppnåddes i vecka 16 efter administrering av en 600 mg startdos och därefter 300 mg varannan vecka eller 300 mg varannan vecka utan startdos. I kliniska studier varierade steady-state-koncentrationen (medel ± SD) från 55,3±34,3 µg/ml till 81,5±43,9 µg/ml för 300 mg administrerat varannan vecka, från 172±76,6 µg/ml till 195±71,7 µg/ml för 300 mg administrerat varje vecka, och från 29,2±18,7 till 36,5±22,2 µg/ml för 200 mg administrerad varannan vecka .
Distribution
En distributionsvolym för dupilumab på cirka 4,6 l uppskattades med hjälp av farmakokinetisk populationsanalys, vilket tyder på att dupilumab främst distribueras vaskulärt.
Metabolism
Specifika metabolismstudier har inte genomförts eftersom dupilumab är ett protein. Dupilumab förväntas brytas ner till små peptider och individuella aminosyror.
Eliminering
Dupilumabs elimination medieras parallellt genom linjära och icke-linjära vägar. Vid högre koncentrationer sker dupilumab-elimination primärt genom ej mättnadsbar proteolytisk väg medan den vid lägre koncentrationer domineras av icke-linjär mättnadsbar IL-4Rα-målmedierad elimination.
Efter den sista steady-state-dosen med dupilumab 300 mg varje vecka, 300 mg varannan vecka, 200 mg varannan vecka, 300 mg var fjärde vecka, eller 200 mg var fjärde vecka tar det i medianfallet 9–13 veckor hos vuxna och ungdomar, samt uppskattningsvis 1,5 gånger och 2,5 gånger längre hos pediatriska patienter i åldrarna 6 till 11 år respektive pediatriska patienter under 6 års ålder, för dupilumab att sjunka under den lägre detektionsgränsen, uppskattat med farmakokinetisk populationsanalys.
Linjäritet/icke-linjäritet
På grunda av icke-linjärt clearance ökar dupilumab-exponeringen, mätt som ytan under koncentration-tid-kurvan, mer än proportionellt med dosen efter subkutana enkeldoser på 75-600 mg.
Särskilda patientgrupper
Kön
Inget samband kunde hittas mellan kön och någon kliniskt relevant påverkan på systemexponering av dupilumab, enligt resultat av farmakokinetisk populationsanalys.
Äldre
Av de 1 539 patienter med atopisk dermatit, inklusive patienter med atopisk dermatit på händer och fötter, som exponerades för dupilumab i en fas 2 dosintervallstudie eller fas 3 placebokontrollerade studier var totalt 71 äldre än 65 år. Även om inga skillnader i säkerhet eller effekt observerades mellan äldre och yngre vuxna atopiska dermatit patienter, är antalet patienter över 65 år inte stort nog för att avgöra om de svarar annorlunda på behandlingen än yngre patienter.
Inget samband kunde hittas mellan ålder och någon kliniskt relevant påverkan på systemexponering av dupilumab, enligt resultat av farmakokinetisk populationsanalys. Det var dock bara 61 patienter över 65 år inkluderade i denna analys.
Av de 1 977 patienter med astma exponerade för dupilumab, var totalt 240 patienter 65 år eller äldre och 39 patienter var 75 år eller äldre. Effekt och säkerhet i denna åldersgrupp liknade den totala studiepopulationen.
Endast 79 patienter äldre än 65 år med kronisk rinosinuit med näspolyper har exponerats för dupilumab, och 11 av dem var 75 år eller äldre.
Av de 152 patienter med prurigo nodularis som exponerades för dupilumab var 37 i åldern 65 år eller äldre. Totalt 8 patienter var 75 år eller äldre. Effekten och säkerheten i dessa åldersgrupper var liknande som i hela studiepopulationen.
Enbart 2 patienter äldre än 65 år med eosinofil esofagit exponerades för dupilumab.
Av de 938 patienter med KOL som exponerades för dupilumab var totalt 551 i åldern 65 år och äldre, inklusive 116 patienter i åldern 75 år och äldre. Effekten och säkerheten i denna åldersgrupp var liknande som i hela studiepopulationen.
Av de 198 patienter med kronisk spontan urtikaria som exponerades för dupilumab var totalt 30 i åldern 65 år och äldre, inklusive 7 patienter i åldern 75 år och äldre. Effekten och säkerheten i denna åldersgrupp var liknande som i hela studiepopulationen.
Etnicitet
Inget samband kunde hittas mellan ras och någon kliniskt relevant påverkan på systemexponering av dupilumab, enligt resultat av farmakokinetisk populationsanalys.
Nedsatt leverfunktion
Dupilumab, som är en monoklonal antikropp, förväntas inte genomgå signifikant hepatisk elimination. Inga kliniska studier har utförts för att undersöka effekten av nedsatt leverfunktion på dupilumabs farmakokinetik.
Nedsatt njurfunktion
Dupilumab, som är en monoklonal antikropp, förväntas inte genomgå signifikant renal elimination. Inga kliniska studier har utförts för att undersöka effekten av nedsatt njurfunktion på dupilumabs farmakokinetik. Inget samband kunde hittas mellan milt eller måttligt nedsatt njurfunktion och någon kliniskt relevant påverkan på systemexponering av dupilumab, enligt resultat av farmakokinetisk populationsanalys. Mycket begränsade data finns i patienter med svårt nedsatt njurfunktion.
Kroppsvikt
Dupilumabs dalkoncentrationer var lägre hos personer med högre kroppsvikt, men utan relevant påverkan på effekten. Endast 6 patienter som exponerades för dupilumab hade en kroppsvikt på ≥130 kg i de kliniska studierna på patienter med kronisk rinosinuit med näspolyper.
Pediatrisk population
Atopisk dermatit
Baserat på farmakokinetisk populationsanalys inverkade inte åldern på clearance av dupilumab hos vuxna och pediatriska patienter i åldrarna 6 till 17 år. Hos pediatriska patienter i åldern 6 månader till 5 år ökade clearance med åldern men den rekommenderade dosregimen anpassas därefter.
Dupilumabs farmakokinetik hos barn (<6 månader) eller kroppsvikt <5 kg med atopisk dermatit har inte studerats.
För ungdomar i åldern 12 till 17 år med atopisk dermatit som fick varannan vecka dosering med antingen 200 mg (<60 kg) eller 300 mg (≥60 kg) var den genomsnittliga ± SD steady-state-koncentrationen av dupilumab 54,5 ± 27,0 µg/ml.
För barn i åldern 6 till 11 år med atopisk dermatit som fick var fjärde vecka dosering med 300 mg (≥ 15 kg) i AD-1652 var den genomsnittliga ± SD steady-state-koncentrationen 76,3 ± 37,2 µg/ml. Vid vecka 16 i AD-1434 hos barn i åldern 6 till 11 år som påbörjade dosering med 300 mg (≥ 15 kg) var fjärde vecka och vars dos ökades till varannan veckas dosering med 200 mg ( ≥ 15 till <60 kg) eller till 300 mg (≥ 60 kg) var den genomsnittliga ± SD steady-state koncentration 108 ± 53,8 µg/ml. För barn i åldern 6 till 11 år som får 300 mg var fjärde vecka, ger initiala doser på 300 mg dag 1 och 15 liknande steady-state-exponering som en initial dos på 600 mg dag 1, baserat på PK-simuleringar.
För barn i åldern 6 månader till 5 år med atopisk dermatit som fick behandling var fjärde vecka med 300 mg (≥ 15 till < 30 kg) eller 200 mg (≥ 5 till < 15 kg) var den genomsnittliga ± SD steady-state-dalkoncentrationen 110 ± 42,8 µg/ml respektive 109 ± 50,8 µg/ml.
Astma
Dupilumabs farmakokinetik hos pediatriska patienter (< 6 år) med astma har inte studerats.
Totalt ingick 107 ungdomar i åldern 12 till 17 år med astma i QUEST-studien. De genomsnittliga steady-state-koncentrationerna ± SD av dupilumab var 107 ± 51,6 µg/ml respektive 46,7 ± 26,9 µg/ml, för 300 mg eller 200 mg administrerade varannan vecka. Ingen åldersrelaterad farmakokinetisk skillnad observerades hos ungdomar efter korrigering för kroppsvikt.
I VOYAGE-studien, undersöktes farmakokinetiken hos dupilumab hos 270 patienter med måttlig till svår astma efter subkutan administrering av antingen 100 mg varannan vecka (till 91 barn med vikt < 30 kg) eller 200 mg varannan vecka (till 179 barn med vikt ≥ 30 kg). Distributionsvolymen för dupilumab var ungefär 3,7 l beräknat utifrån farmakokinetisk (PK) populationsanalys. Steady-state koncentration uppnåddes vid vecka 12. Den genomsnittliga ± SD steady-state-koncentrationen var 58,4±28,0 µg/ml respektive 85,1±44,9 µg/ml. Simulering av en subkutan dos på 300 mg var fjärde vecka till barn 6 till 11 år med kroppsvikt ≥ 15 kg till < 30 kg och ≥ 30 kg till < 60 kg resulterade i förväntad steady-state-koncentration liknande som den observerade koncentrationerna för 200 mg varannan vecka (≥ 30 kg) respektive 100 mg varannan vecka (< 30 kg). Dessutom, simulering av en subkutan administrering av 300 mg var fjärde vecka till barn 6 till 11 år med kroppsvikt ≥ 15 kg till < 60 kg resulterade i förväntad steady-state-koncentration liknande den som visats vara effektiv hos vuxna och ungdomar. Beräknat utifrån farmakokinetisk (PK) populationsanalys var genomsnittlig tid för minskning av dupilumabkoncentrationen under den lägre gränsen för mätbarhet efter den sista steady-state dosen 14 till 18 veckor för 100 mg varannan vecka, 200 mg varannan vecka eller 300 mg var fjärde vecka.
Kronisk rinosinuit med näspolyper
Kronisk rinosinuit med näspolyper uppträder vanligtvis inte hos barn. Dupilumabs farmakokinetik har inte studerats i pediatriska patienter (<18 års ålder) med kronisk rinosinuit med näspolyper.
Prurigo nodularis
Farmakokinetiken av dupilumab hos pediatriska patienter (< 18 år) med prurigo nodularis har inte studerats.
Eosinofil esofagit
Totalt 35 ungdomar i åldern 12 till 17 år med eosinofil esofagit och med en kroppsvikt på ≥ 40 kg inkluderades i TREET del A och B och fick 300 mg varje vecka. Den genomsnittliga steady-state-dalkoncentrationen av dupilumab var 227 (SD 95,3 µg/ml).
I en klinisk studie (EoE KIDS del A) undersöktes farmakokinetiken för dupilumab hos 36 barn i åldern 1 till 11 år med eosinofil esofagit som fick dupilumab [≥ 5 till < 15 kg (100 mg varannan vecka), ≥ 15 till < 30 kg (200 mg varannan vecka) och ≥ 30 till < 60 kg (300 mg varannan vecka)], den genomsnittliga ± SD steady-state-dalkoncentrationen för dupilumab var 163±60,8 µg/ml.
Simuleringar för pediatriska patienter i åldern 1 till 11 år utfördes med en populationsfarmakokinetisk modell för att förutsäga dalkoncentrationer av dupilumab vid steady-state enligt följande: ≥ 15 till < 30 kg som fick 200 mg varannan vecka (170±78 µg/ml); ≥ 30 till < 40 kg som fick 300 mg varannan vecka (158±63 µg/ml); eller ≥ 40 kg som fick 300 mg en gång per vecka (276±99 µg/ml). Dalkoncentrationer vid steady-state simulerades också för vuxna patienter och pediatriska patienter i åldern 12 till 17 år och patienter med en vikt på ≥ 30 till < 40 kg som fick 300 mg varannan vecka (159±61 µg/ml).
KOL
KOL förekommer normalt inte hos barn. Farmakokinetiken av dupilumab hos pediatriska patienter (< 18 år) med KOL har inte studerats.
Kronisk spontan urtikaria
Användning av dupilumab 200 mg var fjärde vecka, 300 mg var fjärde vecka eller 200 mg varannan vecka hos pediatriska patienter i åldern 2 till 11 år med kronisk spontan urtikaria, med en kroppsvikt på < 60 kg stöds även av en farmakokinetisk populationsanalys.
Farmakokinetiken hos pediatriska patienter under 2 år med kronisk spontan urtikaria har inte fastställts.Totalt 12 ungdomar i åldern 12 till 17 år med kronisk spontan urtikaria inkluderades i CUPID-studierna A, B och C. De observerade dalkoncentrationerna vid steady-state för de 5 ungdomar med kronisk spontan urtikaria som fick dupilumab 300 mg varannan vecka eller 200 mg varannan vecka i 24 veckor låg inom intervallet för de individuella dalkoncentrationerna vid steady-state hos vuxna patienter med kronisk spontan urtikaria som fick dupilumab 300 mg varannan vecka i 24 veckor.
Totalt 20 barn i åldern 2 till 11 år med kronisk spontan urtikaria inkluderades i studierna PKM16982 och CUPID (A och C). Vid vecka 24 var den observerade genomsnittliga dalkoncentrationen vid steady-state (± SD) 91,1±39,4 mikrogram/ml för de 18 pediatriska patienterna i åldern 2 till 11 år med kronisk spontan urtikaria som fick dupilumab 200 mg var fjärde vecka, 300 mg var fjärde vecka eller 200 mg varannan vecka.
Gängse studier avseende upprepad dos-toxicitetsstudier (inklusive säkerhetsfarmakologiska effektmått), samt reproduktions- och utvecklingstoxicitetsstudier visade inte på några särskilda risker för människa.
Dupilumabs mutagena potential har inte utvärderats, monoklonala antikroppar förväntas dock inte påverka DNA eller kromosomer.
Karcinogenicitetsstudier har inte genomförts med dupilumab. En utvärdering av tillgängliga data gällande IL-4Rα-hämning och djurtoxikologiska data med surrogat-antikroppar tyder inte på någon ökad karcinogen potential för dupilumab.
Vid en reproduktionstoxikologisk studie på apor, där surrogat-antikroppar specifika mot apans IL-4Rα användes, sågs inga fetala abnormaliteter vid doser som mättade IL-4Rα.
En kombinerad segment II och III pre- och postnatal utvecklingsstudie påvisade inga biverkningar på moderdjuren eller deras avkomma upp till 6 månader efter födseln.
Fertilitetsstudier utförda på han- och honmöss där surrogatantikroppar mot IL-4Rα användes visade inte på någon försämring av fertiliteten (se avsnitt 4.6).
Förvaras i kylskåp (2 °C - 8 °C).
Får ej frysas.
Förvaras i originalförpackningen. Ljuskänsligt.
Dupixent 300 mg injektionsvätska, lösning i förfylld spruta
2 ml lösning i en silikoniserad förfylld spruta av klart glas typ 1 med nålskydd, med en 12,7 mm (½ tum) lång fastsatt tunnväggig 27-G injektionsnål av rostfritt stål.
Förpackningsstorlekar:
1 förfylld spruta
2 förfyllda sprutor
Flerpack innehållande 6 (3 förpackningar om 2) förfyllda sprutor.
Dupixent 300 mg injektionsvätska, lösning i förfylld injektionspenna
2 ml lösning i en silikoniserad spruta av klart glas typ 1 i en förfylld injektionspenna, med en 12,7 mm (½ tum) lång fastsatt tunnväggig 27-G injektionsnål av rostfritt stål.
Den förfyllda injektionspennan är tillgänglig med antingen ett runt lock och ett ovalt fönster som omges av en pil eller ett fyrkantigt lock med skåror och ett ovalt fönster utan en pil.
Förpackningsstorlekar:
1 förfylld injektionspenna
2 förfyllda injektionspennor
6 förfyllda injektionspennor
Flerpack innehållande 6 (2 förpackningar om 3) förfyllda injektionspennor.
Eventuellt kommer inte alla förpackningsstorlekar att marknadsföras.
Omfattande instruktioner för administrering av Dupixent i förfylld spruta eller i förfylld injektionspenna ges i slutet av bipacksedeln.
Lösningen ska vara klar till svagt opaliserande, färglös till svagt gul. Om lösningen är grumlig, missfärgad eller innehåller synligt partikelformigt material, ska lösningen inte användas. Efter att den 300 mg förfyllda sprutan eller den förfyllda injektionspennan tagits ut ur kylskåpet ska den ges tillfälle att uppnå rumstemperatur upp till 25 °C genom att vänta 45 minuter innan Dupixent injiceras.
Den förfyllda sprutan eller den förfyllda injektionspennan ska inte utsättas för värme eller direkt solljus och ska inte skakas.
Ej använt läkemedel och avfall ska kasseras enligt gällande anvisningar.
Efter användning placeras den förfyllda sprutan eller den förfyllda injektionspennan i en sticksäker behållare och slängs enligt gällande anvisningar. Återanvänd inte behållaren.
L-arginin monohydroklorid
L-histidin
L-histidin monohydroklorid monohydrat
Polysorbat 80 (E 433)
Natriumacetattrihydrat
Isättiksyra (E 260)
Sackaros
Vatten för injektionsvätskor
Då blandbarhetsstudier saknas får detta läkemedel inte blandas med andra läkemedel.
3 år.
Om nödvändigt kan den förfyllda sprutan eller förfyllda injektionspennan tas ut från kylskåpet och förvaras i förpackningen i upp till 14 dagar i rumstemperatur vid högst 25° C, i skydd mot ljus. Datumet då förpackningen tagits ut ur kylskåpet ska noteras på avsedd plats på ytterkartongen. Förpackningen måste kasseras om den förvarats utanför kylskåpet i över 14 dagar eller om utgångsdatumet har passerat.
Förvaras i kylskåp (2 °C - 8 °C).
Får ej frysas.
Förvaras i originalförpackningen. Ljuskänsligt.
Dupixent 300 mg injektionsvätska, lösning i förfylld spruta
2 ml lösning i en silikoniserad förfylld spruta av klart glas typ 1 med nålskydd, med en 12,7 mm (½ tum) lång fastsatt tunnväggig 27-G injektionsnål av rostfritt stål.
Förpackningsstorlekar:
1 förfylld spruta
2 förfyllda sprutor
Flerpack innehållande 6 (3 förpackningar om 2) förfyllda sprutor.
Dupixent 300 mg injektionsvätska, lösning i förfylld injektionspenna
2 ml lösning i en silikoniserad spruta av klart glas typ 1 i en förfylld injektionspenna, med en 12,7 mm (½ tum) lång fastsatt tunnväggig 27-G injektionsnål av rostfritt stål.
Den förfyllda injektionspennan är tillgänglig med antingen ett runt lock och ett ovalt fönster som omges av en pil eller ett fyrkantigt lock med skåror och ett ovalt fönster utan en pil.
Förpackningsstorlekar:
1 förfylld injektionspenna
2 förfyllda injektionspennor
6 förfyllda injektionspennor
Flerpack innehållande 6 (2 förpackningar om 3) förfyllda injektionspennor.
Eventuellt kommer inte alla förpackningsstorlekar att marknadsföras.
Omfattande instruktioner för administrering av Dupixent i förfylld spruta eller i förfylld injektionspenna ges i slutet av bipacksedeln.
Lösningen ska vara klar till svagt opaliserande, färglös till svagt gul. Om lösningen är grumlig, missfärgad eller innehåller synligt partikelformigt material, ska lösningen inte användas. Efter att den 300 mg förfyllda sprutan eller den förfyllda injektionspennan tagits ut ur kylskåpet ska den ges tillfälle att uppnå rumstemperatur upp till 25 °C genom att vänta 45 minuter innan Dupixent injiceras.
Den förfyllda sprutan eller den förfyllda injektionspennan ska inte utsättas för värme eller direkt solljus och ska inte skakas.
Ej använt läkemedel och avfall ska kasseras enligt gällande anvisningar.
Efter användning placeras den förfyllda sprutan eller den förfyllda injektionspennan i en sticksäker behållare och slängs enligt gällande anvisningar. Återanvänd inte behållaren.