Spinraza 12 mg injektionsvätska, lösning
Spinraza 28 mg injektionsvätska, lösning
Spinraza 50 mg injektionsvätska, lösning
Injektionsvätska, lösning.
Klar och färglös lösning med ett pH på cirka 7,2.
Biogen Netherlands B.V.
Prins Mauritslaan 13
1171 LP Badhoevedorp
Nederländerna
EU/1/17/1188/001
EU/1/17/1188/002
EU/1/17/1188/003
Första godkännandet: 30 maj 2017
Förnyat godkännande: 31 januari 2022
01/2026
Spinraza 12 mg
Varje 5 ml injektionsflaska för engångsbruk innehåller nusinersennatrium motsvarande 12 mg nusinersen.
Varje ml innehåller 2,4 mg nusinersen.
Spinraza 28 mg
Varje 5 ml injektionsflaska för engångsbruk innehåller nusinersennatrium motsvarande 28 mg nusinersen.
Varje ml innehåller 5,6 mg nusinersen
Spinraza 50 mg
Varje 5 ml injektionsflaska för engångsbruk innehåller nusinersennatrium motsvarande 50 mg nusinersen.
Varje ml innehåller 10 mg nusinersen
Hjälpämnen med känd effekt
För fullständig förteckning över hjälpämnen, se avsnitt 6.1.
Högdosregim
En laddningsdos på 50 mg administreras på dag 0 och dag 14. Därefter ges en underhållsdos på 28 mg en gång var 4:e månad.
Byte från lågdosregim till högdosregim
Patienter som för närvarande behandlas med Spinraza 12 mg kan flyttas till doseringsregimen 50/28 mg med en laddningsdos på 50 mg som administreras tidigast fyra månader (+/- 14 dagar) efter den senaste dosen på 12 mg. Underhållsdosen på 28 mg ska därefter administreras en gång var 4:e månad.
Behandlingsvaraktighet
Behovet av fortsatt behandling ska utvärderas regelbundet och övervägas individuellt beroende på kliniska symtom och svar på behandlingen.
Glömda eller fördröjda doser
Om en laddnings- eller underhållsdos fördröjs eller glöms ska Spinraza administreras enligt schemat i tabell 1 och tabell 2 nedan för doseringsregimerna 12 mg respektive 50/28 mg.
Tabell 1: Rekommendationer vid fördröjd eller glömd dos för doseringsregimen 12 mg
Tabell 2: Rekommendationer vid fördröjd eller glömd dos för doseringsregimen 50/28 mg
Särskilda patientgrupper
Nedsatt njurfunktion
Nusinersen har inte studerats hos patienter med nedsatt njurfunktion. Säkerhet och effekt för patienter med nedsatt njurfunktion har inte fastställts. Dessa patienter ska därför observeras noga.
Nedsatt leverfunktion
Nusinersen har inte studerats hos patienter med nedsatt leverfunktion. Nusinersen metaboliseras inte via cytokrom P450-enzymsystemet i levern. Dosjustering krävs därför sannolikt inte hos patienter med nedsatt leverfunktion (se avsnitt 4.5 och 5.2).
Administreringssätt
Spinraza är avsett för intratekal användning genom lumbalpunktion.
Behandlingen ska administreras av sjukvårdspersonal med erfarenhet av att utföra lumbalpunktioner.
Spinraza administreras som en intratekal bolusinjektion under 1-3 minuter med en kanyl för spinalanestesi. Injektionen får inte administreras i områden på huden som uppvisar tecken på infektion eller inflammation. Det rekommenderas att en volym av cerebrospinalvätska, motsvarande volymen Spinraza som ska injiceras, avlägsnas från patienten innan administrering av Spinraza.
Sedering kan krävas för att ge Spinraza beroende på patientens kliniska tillstånd.
Ultraljud (eller annan bilddiagnostik) kan övervägas som vägledning vid intratekal administrering av Spinraza, i synnerhet hos yngre patienter och hos patienter med skolios, se bruksanvisningen i avsnitt 6.6.
Överkänslighet mot den aktiva substansen eller mot något hjälpämne som anges i avsnitt 6.1.
Lumbalpunktion
Det finns en risk för att biverkningar inträffar i samband med lumbalpunktionen (t.ex.
araknoidit, huvudvärk, ryggsmärta, kräkningar, se avsnitt 4.8). Potentiella svårigheter med denna administreringsväg kan ses hos mycket unga patienter samt de med skolios. Användning av ultraljud eller annan bilddiagnostik för att underlätta intratekal administrering av Spinraza, kan övervägas efter läkarens bedömning. Vid misstanke om araknoidit bör en MR-undersökning utföras för att bekräfta araknoidit och inflammationens utbredning. Vid konstaterad araknoidit får injektionsstället inte användas förrän lokal inflammation har uteslutits.
Trombocytopeni och koagulationsrubbningar
Koagulationsrubbningar och trombocytopeni, inklusive akut allvarlig trombocytopeni, har observerats efter administrering av andra subkutant eller intravenöst administrerade antisens-oligonukleotider. Om det indikeras kliniskt, rekommenderas att trombocyter och koagulation kontrolleras med laboratorieprover innan Spinraza ges.
Njurtoxicitet
Njurtoxicitet har observerats efter administrering av andra subkutant eller intravenöst administrerade antisens-oligonukleotider. Om det indikeras kliniskt, rekommenderas att protein i urin kontrolleras (helst i prov från den första morgonurinen). Vid kvarstående förhöjda proteinnivåer i urin ska ytterligare utvärdering övervägas.
Hydrocefalus
Det har förekommit rapporter om kommunicerande hydrocefalus utan samband med meningit eller blödning hos patienter som behandlades med nusinersen 12 mg efter godkännande för försäljning. Vissa patienter fick en ventrikuloperitoneal shunt implanterad. Hos patienter med sänkt medvetande ska en utvärdering för hydrocefalus övervägas. Fördelarna och riskerna med nusinersenbehandling hos patienter med en ventrikuloperitoneal shunt är inte kända för närvarande och underhåll av behandlingen behöver noga övervägas.
Hjälpämnen
Natrium
Detta läkemedel innehåller mindre än 1 mmol (23 mg) natrium per 5 ml injektionsflaska, d.v.s. är näst intill “natriumfritt”.
Kalium
Detta läkemedel innehåller mindre än 1 mmol kalium (39 mg) per 5 ml injektionsflaska, d.v.s. är näst intill ”kaliumfritt”.
Inga interaktionsstudier har utförts. In vitro-studier tyder på att nusinersen inte är en inducerare eller hämmare av CYP450-medierad metabolism. In vitro-studier tyder på att sannolikheten för interaktioner med nusinersen på grund av konkurrens om plasmaproteinbindning eller att konkurrens om eller hämmande av transportörer är låg.
Graviditet
Det finns inga eller begränsad mängd data från användningen av nusinersen hos gravida kvinnor. Djurstudier visar inga direkta eller indirekta skadliga reproduktionstoxikologiska effekter (se avsnitt 5.3). Som en försiktighetsåtgärd bör man undvika användning av nusinersen under graviditet.
Amning
Det är okänt om nusinersen/metaboliter utsöndras i bröstmjölk.
En risk för det nyfödda barnet/spädbarnet kan inte uteslutas. Ett beslut måste fattas om man ska avbryta amningen eller avbryta/avstå från behandling med nusinersen efter att man tagit hänsyn till fördelen med amning för barnet och fördelen med behandling för kvinnan.
Fertilitet
I toxicitetsstudier på djur observerades inga effekter på manlig eller kvinnlig fertilitet (se avsnitt 5.3). Det finns inga tillgängliga data om potentiella effekter på fertilitet hos människa.
Nusinersen har ingen eller försumbar effekt på förmågan att framföra fordon och använda maskiner.
Sammanfattning av säkerhetsprofilen
De vanligaste biverkningarna i samband med administrering av nusinersen genom lumbalpunktion var huvudvärk, kräkningar och ryggsmärta.
Erfarenhet från administrering av doseringsregimen 12 mg
Säkerheten för Spinraza 12 mg utvärderades i kliniska prövningar baserade på två kliniska studier i fas 3 på spädbarn (CS3B) och barn (CS4) med SMA, tillsammans med en fas 2 studie på spädbarn och barn med SMA (CS7) och öppna studier på presymtomatiska spädbarn (CS5) med diagnosen genetisk SMA och spädbarn och barn med SMA. I studie CS11 ingick spädbarn och patienter med senare symtomdebut, inklusive patienter som hade fullföljt studierna CS3B, CS4 och CS12.
Totalt 385 SMA-patienter behandlades med Spinraza 12 mg eller lägre doser och den totala studietiden varierade mellan 1 och 3 940 dagar (> 10 år) (median 2 388 dagar).
Erfarenhet från administrering av doseringsregimen 50/28 mg
Säkerheten för Spinraza 50/28 mg för spädbarn, barn och vuxna med SMA utvärderades i studie SM203 och studie SM302 hos symtomatiska SMA-patienter i åldern 14 dagar till 65 år vid tiden för den första studiedosen.
Totalt 128 SMA-patienter behandlades med Spinraza 50 mg eller 28 mg och den totala studietiden varierade mellan 13 och 1 521 dagar (> 4 år) (median 740,5 dagar).
Lista över biverkningar i tabellform
Säkerhetsbedömningen av nusinersen baseras på data från patienter från kliniska prövningar och övervakning efter marknadsintroduktion. Biverkningarna i samband med administrering av nusinersen sammanfattas i tabell 3.
Bedömning av biverkningar baseras på följande frekvensdata:
Mycket vanliga (≥1/10)
Ingen känd frekvens (kan inte beräknas från tillgängliga data)
Tabell 3: Biverkningar förknippade med administrering av Spinraza
*t.ex. angioödem, urtikaria och hudutslag.
**Biverkningar som anses förknippade med lumbalpunktionen. Dessa biverkningar kan anses vara tecken på post-lumbalpunktionsyndrom. Dessa biverkningar rapporterades i CS4 (SMA med senare debut) med en incidens på minst 5 % högre hos patienter behandlade med Spinraza 12 mg (n = 84) jämfört med simuleringskontroll.
Händelser med kommunicerande hydrocefalus har observerats efter godkännande för försäljning (se avsnitt 4.4).
Beskrivning av utvalda biverkningar
Biverkningar förknippade med administreringen av nusinersen genom lumbalpunktion har observerats. Majoriteten av dessa rapporterades inom 72 timmar efter proceduren. Förekomsten och svårighetsgraden för dessa händelser stämde överens med händelser som förväntas inträffa vid lumbalpunktion. Inga allvarliga komplikationer till lumbalpunktion, såsom allvarliga infektioner, har observerats i kliniska prövningar med nusinersen.
Vissa biverkningar som vanligen förknippas med lumbalpunktion (t.ex. huvudvärk och ryggsmärta) kan inte bedömas hos den spädbarnspopulation som exponeras för nusinersen till följd av begränsad kommunikation med åldersgruppen.
I kliniska studier rapporterades inga fall av överdos förknippade med biverkningar.
I händelse av överdos ska stödjande medicinsk vård ges inklusive kontakt med hälso- och sjukvårdspersonal och noggrann observation av patientens kliniska status.
Spinraza är avsett för behandling av spinal muskelatrofi av typ 5q.
Behandling med Spinraza ska endast sättas in av läkare med erfarenhet av behandling av spinal muskelatrofi (SMA).
Beslutet att behandla ska baseras på en individuell expertutvärdering av de förväntade fördelarna med behandlingen för den enskilda patienten, avvägt mot den potentiella risken med behandlingen med Spinraza. Patienter med svår hypotoni och andningsinsufficiens vid födseln, där Spinraza inte har studerats, kanske inte upplever någon kliniskt betydelsefull fördel på grund av svår brist på överlevnadsmotorneuron (survival motor neuron, SMN)-protein.
Dosering
Två doseringsregimer finns tillgängliga: en lågdosregim på 12 mg och en högdosregim på 50/28 mg. Behandling med Spinraza ska sättas in så snart som möjligt efter diagnos.
Lågdosregim
Denna regim administreras med en laddningsdos på 12 mg på dag 0, 14, 28 och 63. Därefter ges en underhållsdos på 12 mg en gång var 4:e månad.
Högdosregim
En laddningsdos på 50 mg administreras på dag 0 och dag 14. Därefter ges en underhållsdos på 28 mg en gång var 4:e månad.
Byte från lågdosregim till högdosregim
Patienter som för närvarande behandlas med Spinraza 12 mg kan flyttas till doseringsregimen 50/28 mg med en laddningsdos på 50 mg som administreras tidigast fyra månader (+/- 14 dagar) efter den senaste dosen på 12 mg. Underhållsdosen på 28 mg ska därefter administreras en gång var 4:e månad.
Behandlingsvaraktighet
Behovet av fortsatt behandling ska utvärderas regelbundet och övervägas individuellt beroende på kliniska symtom och svar på behandlingen.
Glömda eller fördröjda doser
Om en laddnings- eller underhållsdos fördröjs eller glöms ska Spinraza administreras enligt schemat i tabell 1 och tabell 2 nedan för doseringsregimerna 12 mg respektive 50/28 mg.
Tabell 1: Rekommendationer vid fördröjd eller glömd dos för doseringsregimen 12 mg
Tabell 2: Rekommendationer vid fördröjd eller glömd dos för doseringsregimen 50/28 mg
Särskilda patientgrupper
Nedsatt njurfunktion
Nusinersen har inte studerats hos patienter med nedsatt njurfunktion. Säkerhet och effekt för patienter med nedsatt njurfunktion har inte fastställts. Dessa patienter ska därför observeras noga.
Nedsatt leverfunktion
Nusinersen har inte studerats hos patienter med nedsatt leverfunktion. Nusinersen metaboliseras inte via cytokrom P450-enzymsystemet i levern. Dosjustering krävs därför sannolikt inte hos patienter med nedsatt leverfunktion (se avsnitt 4.5 och 5.2).
Administreringssätt
Spinraza är avsett för intratekal användning genom lumbalpunktion.
Behandlingen ska administreras av sjukvårdspersonal med erfarenhet av att utföra lumbalpunktioner.
Spinraza administreras som en intratekal bolusinjektion under 1-3 minuter med en kanyl för spinalanestesi. Injektionen får inte administreras i områden på huden som uppvisar tecken på infektion eller inflammation. Det rekommenderas att en volym av cerebrospinalvätska, motsvarande volymen Spinraza som ska injiceras, avlägsnas från patienten innan administrering av Spinraza.
Sedering kan krävas för att ge Spinraza beroende på patientens kliniska tillstånd.
Ultraljud (eller annan bilddiagnostik) kan övervägas som vägledning vid intratekal administrering av Spinraza, i synnerhet hos yngre patienter och hos patienter med skolios, se bruksanvisningen i avsnitt 6.6.
Överkänslighet mot den aktiva substansen eller mot något hjälpämne som anges i avsnitt 6.1.
Lumbalpunktion
Det finns en risk för att biverkningar inträffar i samband med lumbalpunktionen (t.ex.
araknoidit, huvudvärk, ryggsmärta, kräkningar, se avsnitt 4.8). Potentiella svårigheter med denna administreringsväg kan ses hos mycket unga patienter samt de med skolios. Användning av ultraljud eller annan bilddiagnostik för att underlätta intratekal administrering av Spinraza, kan övervägas efter läkarens bedömning. Vid misstanke om araknoidit bör en MR-undersökning utföras för att bekräfta araknoidit och inflammationens utbredning. Vid konstaterad araknoidit får injektionsstället inte användas förrän lokal inflammation har uteslutits.
Trombocytopeni och koagulationsrubbningar
Koagulationsrubbningar och trombocytopeni, inklusive akut allvarlig trombocytopeni, har observerats efter administrering av andra subkutant eller intravenöst administrerade antisens-oligonukleotider. Om det indikeras kliniskt, rekommenderas att trombocyter och koagulation kontrolleras med laboratorieprover innan Spinraza ges.
Njurtoxicitet
Njurtoxicitet har observerats efter administrering av andra subkutant eller intravenöst administrerade antisens-oligonukleotider. Om det indikeras kliniskt, rekommenderas att protein i urin kontrolleras (helst i prov från den första morgonurinen). Vid kvarstående förhöjda proteinnivåer i urin ska ytterligare utvärdering övervägas.
Hydrocefalus
Det har förekommit rapporter om kommunicerande hydrocefalus utan samband med meningit eller blödning hos patienter som behandlades med nusinersen 12 mg efter godkännande för försäljning. Vissa patienter fick en ventrikuloperitoneal shunt implanterad. Hos patienter med sänkt medvetande ska en utvärdering för hydrocefalus övervägas. Fördelarna och riskerna med nusinersenbehandling hos patienter med en ventrikuloperitoneal shunt är inte kända för närvarande och underhåll av behandlingen behöver noga övervägas.
Hjälpämnen
Natrium
Detta läkemedel innehåller mindre än 1 mmol (23 mg) natrium per 5 ml injektionsflaska, d.v.s. är näst intill “natriumfritt”.
Kalium
Detta läkemedel innehåller mindre än 1 mmol kalium (39 mg) per 5 ml injektionsflaska, d.v.s. är näst intill ”kaliumfritt”.
Inga interaktionsstudier har utförts. In vitro-studier tyder på att nusinersen inte är en inducerare eller hämmare av CYP450-medierad metabolism. In vitro-studier tyder på att sannolikheten för interaktioner med nusinersen på grund av konkurrens om plasmaproteinbindning eller att konkurrens om eller hämmande av transportörer är låg.
Graviditet
Det finns inga eller begränsad mängd data från användningen av nusinersen hos gravida kvinnor. Djurstudier visar inga direkta eller indirekta skadliga reproduktionstoxikologiska effekter (se avsnitt 5.3). Som en försiktighetsåtgärd bör man undvika användning av nusinersen under graviditet.
Amning
Det är okänt om nusinersen/metaboliter utsöndras i bröstmjölk.
En risk för det nyfödda barnet/spädbarnet kan inte uteslutas. Ett beslut måste fattas om man ska avbryta amningen eller avbryta/avstå från behandling med nusinersen efter att man tagit hänsyn till fördelen med amning för barnet och fördelen med behandling för kvinnan.
Fertilitet
I toxicitetsstudier på djur observerades inga effekter på manlig eller kvinnlig fertilitet (se avsnitt 5.3). Det finns inga tillgängliga data om potentiella effekter på fertilitet hos människa.
Nusinersen har ingen eller försumbar effekt på förmågan att framföra fordon och använda maskiner.
Sammanfattning av säkerhetsprofilen
De vanligaste biverkningarna i samband med administrering av nusinersen genom lumbalpunktion var huvudvärk, kräkningar och ryggsmärta.
Erfarenhet från administrering av doseringsregimen 12 mg
Säkerheten för Spinraza 12 mg utvärderades i kliniska prövningar baserade på två kliniska studier i fas 3 på spädbarn (CS3B) och barn (CS4) med SMA, tillsammans med en fas 2 studie på spädbarn och barn med SMA (CS7) och öppna studier på presymtomatiska spädbarn (CS5) med diagnosen genetisk SMA och spädbarn och barn med SMA. I studie CS11 ingick spädbarn och patienter med senare symtomdebut, inklusive patienter som hade fullföljt studierna CS3B, CS4 och CS12.
Totalt 385 SMA-patienter behandlades med Spinraza 12 mg eller lägre doser och den totala studietiden varierade mellan 1 och 3 940 dagar (> 10 år) (median 2 388 dagar).
Erfarenhet från administrering av doseringsregimen 50/28 mg
Säkerheten för Spinraza 50/28 mg för spädbarn, barn och vuxna med SMA utvärderades i studie SM203 och studie SM302 hos symtomatiska SMA-patienter i åldern 14 dagar till 65 år vid tiden för den första studiedosen.
Totalt 128 SMA-patienter behandlades med Spinraza 50 mg eller 28 mg och den totala studietiden varierade mellan 13 och 1 521 dagar (> 4 år) (median 740,5 dagar).
Lista över biverkningar i tabellform
Säkerhetsbedömningen av nusinersen baseras på data från patienter från kliniska prövningar och övervakning efter marknadsintroduktion. Biverkningarna i samband med administrering av nusinersen sammanfattas i tabell 3.
Bedömning av biverkningar baseras på följande frekvensdata:
Mycket vanliga (≥1/10)
Ingen känd frekvens (kan inte beräknas från tillgängliga data)
Tabell 3: Biverkningar förknippade med administrering av Spinraza
*t.ex. angioödem, urtikaria och hudutslag.
**Biverkningar som anses förknippade med lumbalpunktionen. Dessa biverkningar kan anses vara tecken på post-lumbalpunktionsyndrom. Dessa biverkningar rapporterades i CS4 (SMA med senare debut) med en incidens på minst 5 % högre hos patienter behandlade med Spinraza 12 mg (n = 84) jämfört med simuleringskontroll.
Händelser med kommunicerande hydrocefalus har observerats efter godkännande för försäljning (se avsnitt 4.4).
Beskrivning av utvalda biverkningar
Biverkningar förknippade med administreringen av nusinersen genom lumbalpunktion har observerats. Majoriteten av dessa rapporterades inom 72 timmar efter proceduren. Förekomsten och svårighetsgraden för dessa händelser stämde överens med händelser som förväntas inträffa vid lumbalpunktion. Inga allvarliga komplikationer till lumbalpunktion, såsom allvarliga infektioner, har observerats i kliniska prövningar med nusinersen.
Vissa biverkningar som vanligen förknippas med lumbalpunktion (t.ex. huvudvärk och ryggsmärta) kan inte bedömas hos den spädbarnspopulation som exponeras för nusinersen till följd av begränsad kommunikation med åldersgruppen.
Rapportering av misstänkta biverkningar
I kliniska studier rapporterades inga fall av överdos förknippade med biverkningar.
I händelse av överdos ska stödjande medicinsk vård ges inklusive kontakt med hälso- och sjukvårdspersonal och noggrann observation av patientens kliniska status.
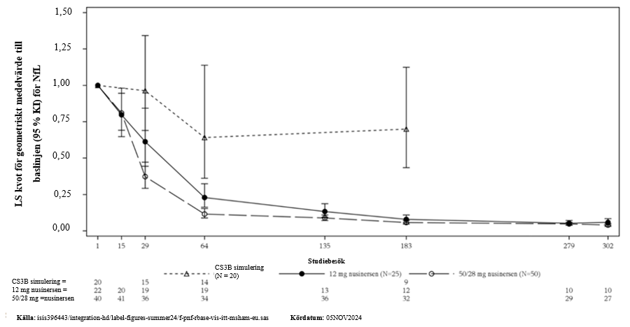
Plasmanivåerna av NfL minskade snabbare i gruppen som fick 50/28 mg jämfört med gruppen som fick 12 mg. Minskningen från baslinjen till dag 64 var 88 % i 50/28 mg-gruppen, jämfört med 77 % i 12 mg-gruppen (skillnad i kvoten för det geometriska medelvärdet för 50/28 mg-gruppen jämfört med 12 mg-gruppen: 49 %; (p = 0,0020) (figur 1).
På samma sätt minskade plasmanivåerna av NfL från baslinjen till dag 64 hos behandlingsnaiva patienter med senare debut av SMA med 66 % i 50/28 mg-gruppen och med 42 % i 12 mg gruppen (skillnad i kvoten för det geometriska medelvärdet mellan 50/28 mg-gruppen och 12 mg-gruppen: 42 %; (p = 0,0495).
Figur 1: Studie SM203 del B – SMA med debut i spädbarnsåldern, medelvärdet för minsta kvadratmetoden (LS) för plasma-NfL i förhållande till baslinjen (95 % KI) per besök från ANCOVA-analys med flerimputering (MI): Intent-to-Treat-population (ITT), matchad simuleringsuppsättning
Dag 64 är det sekundära effektmåttet för jämförelse mellan 12 mg och 50/28 mg
Dag 183 är det sekundära effektmåttet för jämförelse mellan simulering och 50/28 mg
Immunogenicitet
Förekomsten av antikroppar mot läkemedlet (ADA) föreföll minska plasmaclearence av Spinraza. Inga urskiljbara effekter av ADA på NfL i plasma eller mått på klinisk funktion har observerats för doseringsregimerna 12 mg och 50/28 mg. ADA hade ingen effekt på säkerhet, mätt som förekomst av biverkningar, inklusive överkänslighet, anafylaktisk reaktion och angioödem.
Klinisk effekt och säkerhet
Symtomatiska patienter behandlade med Spinraza doseringsregimen 50/28 mg
Studie SM203 del B var en randomiserad, dubbelblind utvärdering av säkerhet och effekt för 50/28 mg nusinersen hos behandlingsnaiva patienter med debut i spädbarnsåldern samt patienter med senare debut. Del B hade statistisk styrka att utvärdera effekten hos patienter med debut i spädbarnsåldern för 50/28 mg-gruppen jämfört med en förspecificerad matchad simuleringsgrupp från studie CS3B. Doseringsregimen med 12 mg i studie SM203 del B gav stödjande evidens, men studien hade inte tillräcklig statistisk styrka för att påvisa statistiskt signifikanta behandlingsskillnader mellan de som randomiserats till 50/28 mg och 12 mg nusinersen. Del C var en öppen studie för utvärdering av säkerhet och effekt hos barn och vuxna med debut av SMA i spädbarnsåldern eller med senare debut, som hade övergått från doseringsregimen 12 mg till 50/28 mg.
Debut i spädbarnsålder
I studie SM203 del B randomiserades patienter med debut av SMA i spädbarnsåldern (2 SMN2-kopior; symtomdebut före 6 månaders ålder) i förhållandet 2:1 till doseringsregimen 50/28 mg eller 12 mg. Förspecificerade analyser matchade 20 av 37 simuleringspatienter från studie CS3B baserat på likheter i både sjukdomstid vid baslinjen och poäng enligt CHOP INTEND-skalan (Children’s Hospital of Philadelphia Infant Test for Neuromuscular Disease). Det primära effektmåttet var förändring i CHOP INTEND-poäng vid dag 183 hos patienter med debut i spädbarnsåldern i 50/28 mg-gruppen jämfört med matchande simuleringsgrupp från studie CS3B.
I kohorten med debut i spädbarnsåldern i studie SM203 stratifierades deltagarna efter ålder vid randomisering för att skapa balanserade 50/28 mg- och 12 mg-grupper. Viktiga demografiska karakteristika vid baslinjen (ålder vid första dos, ålder vid screening, ålder vid symtomdebut, antal SMN2-kopior och motorisk funktion vid baslinjen) balanserades mellan 50/28 mg-gruppen, 12 mg-gruppen och den matchade simuleringsgruppen. Jämfört med populationen med debut i spädbarnsåldern i studie CS3B var sjukdomsprogressionen snabbare hos de patienter som deltog i studie SM203 och de var längre fram i sjukdomsförloppet. Dessa patienter hade kortare sjukdomstid (tid från symtomdebut till screening) och lägre CHOP INTEND-poäng vid baslinjen. Förspecificerad matchning till en subgrupp av simuleringskontrollgruppen i studie CS3B hjälpte till att minimera en del av denna obalans. Dock förblev den genomsnittliga (SD) sjukdomstiden vid baslinjen kortare och CHOP INTEND-poängen vid baslinjen förblev lägre i 50/28 mg- och 12 mg-grupperna jämfört med den matchade simuleringsgruppen i studie CS3B (tabell 4). Andra viktiga demografiska karakteristika vid baslinjen (ålder vid första dos, ålder vid screening, ålder vid symtomdebut, antal SMN2-kopior och motorisk funktion vid baslinjen) balanserades mellan 50/28 mg-gruppen, 12 mg-gruppen och den matchade simuleringsgruppen.
Tabell 4: Patientkarakteristika vid baslinjen i studie SM203 del B
Det primära effektmåttet, medelförändringen i CHOP INTEND-poäng från baslinjen till dag 183, var statistiskt signifikant större i 50/28-gruppen (15,1 poängs förbättring) jämfört med den matchade simuleringsgruppen (11,1 poängs försämring) (LS-medelskillnad: 26,19 poäng [95 % KI: 20,7; 31,7] p < 0,0001).
Förändringen i CHOP INTEND-poäng från baslinjen till dag 302 var numeriskt högre i 50/28 mg-gruppen än i 12 mg-gruppen baserat på skillnaden i rank, men denna skillnad var inte statistiskt signifikant baserat på JRT (LS-medelskillnad i rank (1,00 (95 % KI: −9,290; 11,299); JRT p = 0,8484). LS-medelförändringen från baslinjen till dag 302 baserat på ANCOVA med MI var numeriskt högre i 12 mg-gruppen; 50/28 mg-gruppen (19,6 poängs förbättring), 12 mg-gruppen (21,6 poängs förbättring; [95 % KI; 16,5; 22,8]) (LS-medelskillnad −1,94 [7,77; 3,88]).
I en kompletterande analys, liknande det primära effektmåttet i studie CS3B, uppfyllde 60 % av patienterna i 50/28 mg-gruppen och 44 % av patienterna i 12 mg-gruppen responderdefinitionen enligt HINE avsnitt 2 (HINE-2)-skalan vid dag 302. Förändringen i motorisk milstolpe enligt HINE-2-skalan från baslinjen till dag 302 var numeriskt större i 50/28 mg-gruppen (5,9 poängs förbättring) jämfört med 12 mg-gruppen (5,3 poängs förbättring) (LS-medelskillnad 0,58 (1,89; 3,04)), men dessa skillnader var inte statistiskt signifikanta.
I jämförelse med simuleringsgruppen, uppfyllde en statistiskt signifikant större andel patienter i 50/28 mg-gruppen definitionen för ett svar enligt HINE avsnitt 2 (HINE-2)-skalan vid dag 183 (58 % jämfört med 0 %; p < 0,0001) (tabell 5).
Tabell 5: Motoriskt utfall i 50/28 mg-gruppen jämfört med 12 mg-gruppen och i 50/28 mg-gruppen jämfört med en matchad simuleringsgrupp – Studie SM203 del B, debut i spädbarnsåldern
1ANCOVA och multipel imputering tillämpades
2 Medelskillnad enligt minsta kvadrat-metoden
3 Sammansatt ranktest
4 Fishers exakta test
5 Definition av responder: ≥ 2 poängs ökning [eller maximal poäng] i förmåga att sparka, eller ≥ 1 poängs ökning i motoriska milstolpar såsom huvudkontroll, rulla, sitta, krypa, stå eller gå, samt förbättring i fler kategorier av motoriska milstolpar än försämring, definierad som responder i denna primäranalys.
I 50/28 mg-gruppen noterades en minskning på 29,9 % jämfört med 12 mg-gruppen (p = 0,2775) och en nominellt statistiskt signifikant minskning på 68 % i risk för död eller permanent ventilation jämfört med den matchade simuleringsgruppen (p = 0,0006). Mediantiden till död eller permanent ventilation uppnåddes inte i 50/28 mg-gruppen. I 12 mg-gruppen var den 24,7 veckor och i den matchade simuleringsgruppen 19,1 veckor. Liknande resultat observerades för total överlevnad (figur 2).
Figur 2 del B: SMA med debut i spädbarnsåldern: Kaplan-Meier-kurvor för tid till död eller permanent ventilation (EAC-bekräftade händelser): ITT, matchad simuleringsuppsättning
Senare debut
Studie SM203 del B inkluderade 24 patienter med senare debut av SMA (majoriteten hade 3 SMN2-kopior; symtomdebut efter 6 månaders ålder). Patienterna randomiserades 2:1 till att få 50/28 mg-regimen (n = 16) eller 12 mg-regimen (n = 8). Analyserna var förspecificerade för att jämföra 50/28 mg-regimen med den matchade simuleringsgruppen från studie CS4. Analyserna hade inte statistisk styrka att påvisa signifikanta skillnader mellan behandlingsgrupper.
Demografiska karakteristika vid baslinjen för 50/28 mg-gruppen, den matchade behandlingsgruppen och den matchade simuleringsgruppen var generellt balanserade, med undantag för ålder vid första dos. Den genomsnittliga (SD) åldern vid första dos var 6,1 (3,0) år för 50/28 mg-gruppen, 5,7 (3,0) år för 12 mg-gruppen och 5,13 (1,8) år för den matchade simuleringsgruppen.
Förändringen från baslinjen till dag 302 i HFMSE-poäng (LS-medelvärde [95 % KI]) var numeriskt högre i 50/28 mg-gruppen (3,3 [1,5; 5,0]) än i 12 mg-gruppen (2,6 [0,2; 5,1]) (LS-medelskillnad: 0,63 (−2,5; 3,8 p = 0,70). Förändringen från baslinjen till dag 279 i HFMSE-poäng var också numeriskt högre i 50/28 mg-gruppen än i den matchade simuleringsgruppen från studie CS4 (LS-medelskillnad: 3,2 (0,2; 6,2); p = 0,037).
Förändringen från baslinjen till dag 302 i poäng enligt RULM (revised upper limb module) (LS-medelvärde [95 % KI]) var numeriskt högre i 50/28 mg-gruppen (2,5 [0,7; 4,2]) än i 12 mg-gruppen (1,8 [−0,8; 4,4]), men skillnaden var inte statistiskt signifikant (p = 0,66). Förändringen från baslinjen till dag 279 i RULM-poäng var också numeriskt högre i 50/28 mg-gruppen än i den matchade simuleringsgruppen från studie CS4 (LS-medelskillnad: 1,7 (−0,2; 3,5); p = 0,076).
Studie SM203 del C var en öppen kohortstudie som inkluderade 40 patienter i åldern 4‑65 år med 1‑4 SMN2-kopior och som hade övergått från doseringsregimen 12 mg till 50/28 mg. Patienterna fick en dos på 50 mg, följt av två underhållsdoser på 28 mg (med 4 månaders mellanrum).
Två patienter (5 %) hade debut i spädbarnsåldern och 38 (95 %) patienter hade senare debut. Sexton patienter var yngre än 18 år och 24 patienter var äldre än 18 år vid tidpunkt för administrering av laddningsdosen på 50 mg. Medianåldern (intervall) vid debut av SMA-symtom var 24 (4 till 192) månader. Mediantiden (intervall) på behandlingsregimen med 12 mg Spinraza var 3,9 år (1, 5). Tjugoen patienter (53 %) kunde gå 15 steg självständigt vid baslinjen.
Deltagarna uppvisade en medelförbättring på HFMSE-skalan med 1,8 poäng [SD 3,99] från baslinjen till dag 302, med en medelförbättring på 2,3 poäng [SD 3,95] i subgruppen med vuxna (n = 24). Sammanlagt fick 53 % av patienterna (n = 38) en ökning i HFMSE-poäng från baslinjen till dag 302.
Enligt RULM-skalan noterades hos deltagarna en medelförbättring på 1,2 poäng [SD 2,14] från baslinjen till dag 302, med en medelförbättring på 0,9 poäng [SD 1,89] i subgruppen med vuxna. Av de som hade möjlighet att förbättras (en poäng under den högsta möjliga vid baslinjen; n = 26) uppvisade 62 % en ökning i RULM-poäng från baslinjen till dag 302.
Symtomatiska patienter som behandlades med Spinraza 12 mg-regimen
Debut i spädbarnsåldern
Studie CS3B (ENDEAR) var en randomiserad, dubbelblind, kontrollerad simuleringsstudie i fas 3 som genomfördes på 121 symtomatiska spädbarn som var ≤ 7 månader med diagnosen SMA (symtomdebut före 6 månaders ålder). CS3B var avsedd att bedöma Spinrazas effekt på motorisk funktion och överlevnad. Patienterna randomiserades 2:1 till antingen Spinraza 12 mg (enligt godkänd doseringsregim) eller simuleringskontroll med en behandlingslängd från 6 till 442 dagar.
Medianåldern för debut av kliniska tecken och symtom på SMA var 6,5 veckor och 8 veckor för de patienter som behandlades med Spinraza 12 mg kontra simuleringskontrollerade patienter, med 99 % av patienterna som hade 2 SMN2-genkopior och ansågs därför sannolikt utveckla SMA av typ I. Medianåldern när patienterna fick sin första dos var 164,5 dagar för behandlade patienter och 205 dagar för simuleringskontroll. Sjukdomskarakteristika vid baslinjen var i stort sett likartade hos de patienter som behandlades med Spinraza 12 mg patienterna och de simuleringskontrollerade patienterna, förutom att de patienter som behandlades med Spinraza 12 mg hade en högre procentandel jämfört med de simuleringskontrollerade patienterna vid baslinjen av paradoxal andning (89 % jämfört med 66 %), pneumoni eller andningssymtom (35 % jämfört med 22 %), svälj‑ eller ätsvårigheter (51 % jämfört med 29 %) och behov av andningshjälp (26 % jämfört med 15 %).
Vid den slutliga analysen uppnådde en statistiskt betydande större andel patienter definitionen för ett svar på motorisk milstolpe i gruppen som behandlades med Spinraza 12 mg (51 %) jämfört med simuleringskontrollgruppen (0 %) (p < 0,0001). Tiden till död eller permanent ventilation (≥ 16 timmars ventilation/dag kontinuerligt under > 21 dagar utan en akut reversibel händelse eller trakeostomi) bedömdes som det primära effektmåttet. Statistiskt signifikanta effekter på händelsefri överlevnad, total överlevnad, andelen patienter som uppnår definitionen för ett svar på motorisk milstolpe och procentandelen patienter med en förbättring på minst 4 poäng från baslinjen enligt bedömningspoäng enligt CHOP INTEND observerades hos patienter i gruppen som behandlades med Spinraza 12 mg jämfört med de i simuleringskontrollgruppen (tabell 6).
I effektutvärderingsgruppen krävde 18 patienter (25 %) i gruppen som behandlades med Spinraza 12 mg och 12 patienter (32 %) i simuleringskontrollgruppen permanent ventilation. Av dessa patienter uppfyllde 6 (33 %) i gruppen som behandlades med Spinraza 12 mg och 0 (0 %) i simuleringskontrollgruppen kriterierna enligt fastställt protokoll för ett svar på motorisk milstolpe.
Tabell 6: Primära och sekundära effektmått vid slutlig analys - Studie CS3B
Omfattningen av förbättring i CHOP INTEND visas i figur 3 (förändring från poäng vid baslinjen för varje försöksperson).
Figur 3: Förändring i CHOP INTEND från baslinjen till sista studiebesöket av dag 183, 302 och 394–Endear-studie /CS3B (fastställd effekt, ES)
För att möjliggöra långtidsuppföljning av dessa patienter i slutet av studie CS3B inkluderades 89 patienter (Spinraza: n = 65; simuleringskontroll: n = 24) in i studie CS11 (SHINE). Studie CS11 är en öppen förlängningsstudie för SMA-patienter som tidigare deltagit i de andra kliniska studierna av Spinraza. Hos patienter som randomiserats till Spinraza i studie CS3B samt förlängningen av Spinraza-behandlingen i studie CS11 fick patienterna läkemedlet i 6 till 3 043 dagar (median 2 443 dagar). Hos patienter som randomiserats till simulering i studie CS3B och inledde Spinraza-behandling i studie CS11 fick patienterna läkemedlet i 65 till 2 520 dagar (median 2 090 dagar).
Förbättringar i motoriska funktioner observerades bland patienter som fortsatte med Spinraza från studie CS3B, samt hos dem som inledde Spinraza-behandling i studie CS11 (bild 5). Den största nyttan observerades hos dem som inledde behandling tidigare. Majoriteten av patienterna var vid liv vid sitt sista besök efter att de inlett behandling med Spinraza i antingen studie CS3B eller studie CS11.
Patienter som inlett Spinraza-behandling i studie CS3B hade en medianålder på 5,5 månader (intervall 1,7 till 14,9 månader). Från inledande av Spinraza-behandling samt förlängningsbehandlingen i studie CS11, var mediantiden till död eller permanent ventilering 1,4 år. I slutet av studie CS11 var 60 av 81 patienter (74 %) vid liv och 41 av 81 patienter (51 %) var vid liv och hade inte uppfyllt definitionen för permanent ventilation i studie CS11. Medelpoängen för total motorisk milstolpe enligt HINE-2 ökade med 5,3 (SD 4,6; n = 52) och CHOP INTEND-poängen ökade med 18,4 (SD 14,7; n = 38) från inledande av Spinraza-behandling till uppföljningsbesöket dag 394 respektive 2 198.
Patienter som randomiserats till simulering i studie CS3B och som inlett Spinraza-behandling i studie CS11 hade en medianålder på 17,8 månader (område 10,1 till 23,0 månader). Före inledande av Spinraza-behandling hade 12 av 24 patienter (50 %) uppfyllt definitionen för permanent ventilation i studie CS11. Mediantiden till död eller permanent ventilation var 2,76 år efter inledande av Spinraza-behandling i studie CS11. I slutet av studie CS11 var 19 av 24 patienter (79 %) vid liv och 6 av 12 patienter (50 %) var vid liv utan permanent ventilation. En förbättring av medelpoängen för total motorisk milstolpe på 1,4 (SD 1,8; n = 12) och CHOP INTEND-poängen på 11,5 (SD 12,2; n = 10) observerades från baslinjen för studie CS11 till uppföljningsbesöket dag 394 respektive 2 198.
Dessa resultat stöds av en öppen studie i fas 2 på symtomatiska patienter med diagnosen SMA (CS3A). Medianåldern för debut av kliniska tecken och symtom var 56 dagar och patienterna hade antingen 2 SMN2-genkopior (n=17) eller 3 SMN2-genkopior (n=2) (okänt antal SMN2-genkopior för 1 patient). Patienterna i denna studie ansågs sannolikt utveckla SMA av typ I. Medianåldern vid första dos var 162 dagar.
Det primära effektmåttet var andelen patienter som förbättrades i en eller flera kategorier av motoriska milstolpar (enligt HINE avsnitt 2: ökning på ≥ 2 poäng [eller högsta poäng] i förmåga att sparka eller frivilligt gripa eller ökning på ≥ 1 poäng i motoriska milstolpar för huvudkontroll, att rulla, att sitta, att krypa, att stå eller att gå). Tolv av 20 patienter (60 %) i studien uppfyllde det primära effektmåttet med en förbättring i medelprestation i motorisk milstolpe med tiden. En förbättring i medelpoäng enligt CHOP INTEND med tiden observerades från baslinjen till dag 1072 (medelförändring 21,30). Totalt uppfyllde 11 av 20 patienter (55 %) effektmåttet av en ökning i totalt poäng enligt CHOP INTEND på ≥ 4 poäng som vid deras senaste studiebesök. Av de 20 inskrivna patienterna var 11 (55 %) vid liv och behövde inte permanent ventilation vid sista besöket. Fyra patienter uppfyllde kriterierna för permanent ventilation och fem patienter avled under studien.
Senare debut
Studie CS4 (CHERISH) var en randomiserad, dubbelblind, kontrollerad simuleringsstudie i fas 3 som genomfördes på 126 symtomatiska patienter med senare debut av SMA (symtomdebut efter 6 månaders ålder). Patienterna randomiserades 2:1 till antingen Spinraza 12 mg (som fick 3 laddningsdoser och underhållsdoser) eller simuleringskontroll med en behandlingslängd från 324 till 482 dagar. Medianåldern vid screening var 3 år och medianåldern vid debut av kliniska tecken och symtom på SMA var 11 månader. Majoriteten av patienterna (88 %) hade 3 SMN2-genkopior (8 % hade 2 kopior, 2 % hade 4 kopior och 2 % hade ett okänt antal kopior). Vid baslinjen var patienternas medelpoäng enligt HFMSE-skalan (Hammersmith Functional Motor Scale Expanded) 21,6, medelvärdet för (RULM, revised upper limb module) var 19,1, vilket innebar att alla patienter hade alla uppnått att sitta självständigt men ingen hade uppnått att kunna gå självständigt. Patienterna i denna studie ansågs sannolikt utveckla SMA av typ II eller III. Sjukdomskarakteristika vid baslinjen var i allmänhet lika med undantag av en obalans i andelen patienter som någon gång hade uppnått förmågan att stå utan stöd (13 % av patienterna i gruppen som behandlades med Spinraza 12 mg och 29 % i simuleringskontrollgruppen) eller gå med stöd (24 % av patienterna i gruppen som behandlades med Spinraza 12 mg och 33 % i simuleringskontrollgruppen).
I den slutliga analysen sågs en statistiskt signifikant förbättring i poäng från baslinjen till månad 15 enligt HFMSE-skalan (Hammersmith Functional Motor Scale Expanded) för behandlingsgruppen som behandlades med Spinraza 12 mg jämfört med simuleringskontrollgruppen (tabell 7, figur 4). Analysen genomfördes på ITT-populationen (Spinraza 12 mg: n=84; simuleringskontroll: n=42) och data efter baslinjen enligt HFMSE-skalan för patienter som inte genomfört besök månad 15 imputerades med hjälp av flerimputeringsmetoden. En analys av undergruppen med patienter i ITT-populationen som hade observerade värden vid månad 15 uppvisade överensstämmande, statistiskt signifikanta resultat. För dem med observerade värden vid månad 15 hade en högre andel patienter som behandlades med Spinraza 12 mg en förbättring (73 % kontra 41 %) och en lägre andel patienter som behandlades med Spinraza 12 mg en försämring (23 % kontra 44 %) i totalpoäng enligt HFMSE-skalan jämfört med simuleringskontrollgruppen. Sekundära effektmått inklusive funktionsmätningar och prestation i motorisk milstolpe enligt WHO testades statistiskt och beskrivs i tabell 7.
Insättande av behandling snabbare efter symtomdebut resulterade i tidigare och större förbättring av motorisk funktion än vid fördröjt insättande av behandling. Båda grupperna upplevde emellertid fördelar jämfört med simuleringskontroll.
Tabell 7: Primära och sekundära effektmått vid slutlig analys – Studie CS41
Figur 4: Medelförändring från baslinjen av HFMSE-poäng över tid vid slutlig analys (ITT) –studie CS4 1,2
Då studie CS4 (CHERISH) avslutats inkluderades 125 (83 Spinraza och 42 simulering) patienter från CS4 i studie CS11 (SHINE), där alla patienter fick Spinraza 12 mg. Majoriteten av de patienter som behandlades med Spinraza 12 mg upplevde motorisk funktionsstabilisering eller -förbättring och den största nyttan observerades hos dem som inlett behandlingen tidigare.
Medianåldern för patienter som inledde Spinraza-behandling i studie CS4 var 4,1 år (intervall 2,1 till 9,2 år). Från inledande av Spinraza-behandling samt förlängningen av behandlingen i studie CS11 fick patienterna läkemedlet under en mediantid på 7,2 år (intervall 1,3 till 8,4 år). Medelpoängen enligt HFMSE ökade med 1,3 (SD 9,4; n = 54) och medelpoängen enligt RULM ökade med 6,4 (SD 6,5; n = 54) vid uppföljningsbesöket dag 2 070.
Patienter som randomiserats till simulering i studie CS4 inledde behandling med Spinraza i studie CS11 vid en medianålder på 4,9 år (intervall 3,3 till 9,0 år). Från inledande av Spinraza-behandling i studie CS11 fick patienterna läkemedlet under en mediantid på 5,8 år (intervall 2,7 till 6,7 år). Medelpoängen enligt HFMSE minskade med 1,3 (SD 9,3; n = 22) och medelpoängen enligt RULM ökade med 4,2 (SD 4,4; n = 23) vid uppföljningsbesöket dag 2 070.
Däremot visar det naturliga sjukdomsförloppet hos obehandlade patienter i liknande ålder och med liknande kliniska egenskaper en progressiv förlust av motorisk funktion över tid, med en uppskattad genomsnittlig nedgång i HFMSE på 6,6 poäng under en likvärdig period på 5 år.
Dessa resultat stöds av 2 öppna studier (studie CS2 och studie C12). I analysen ingick 28 patienter som fick sin första dos i studie CS2 och därefter överfördes till förlängningsfasen, studie CS12. Patienter som var mellan 2–15 år vid första dosen var registrerade i studierna. Av de 28 patienterna var 3 minst 18 år vid sitt sista studiebesök. 1 av 28 patienter hade 2 SMN2-genkopior, 21 hade 3 kopior och 6 hade 4 kopior.
Patienterna bedömdes under en behandlingsperiod på 3 år. En kvarstående förbättring sågs hos patienter med SMA av typ II som upplevde en medelförbättring från poäng vid baslinjen enligt HFMSE på 5,1 (SD 4,05; n=11) på dag 253 och 9,1 (SD 6,61; n=6) på dag 1 050. Totalt medelpoäng var 26,4 (SD 11,91) på dag 253 och 31,3 (SD 13,02) på dag 1 050, ingen platå observerades. Patienter med SMA av typ III uppvisade en medelförbättring från poäng vid baslinjen enligt HFMSE på 1,3 (SD 1,87; n=16) på dag 253 och 1,2 (SD 4,64; n=11) på dag 1 050. Totalt medelpoäng var 49,8 (SD 12,46) på dag 253 och 52,6 (SD 12,78) vid 1 050 dagar.
Hos patienter med SMA av typ II utfördes modultestet av övre extremitet med medelförbättring på 1,9 (SD 2,68; n=11) på dag 253 och 3,5 (SD 3,32; n=9) på dag 1 050. Totalt medelpoäng var 13,8 (SD 3,09) på dag 253 och 15,7 (SD 1,92) på dag 1 050.
6MWT (6-minuters gångtest) genomfördes endast på uppegående patienter. Hos dessa patienter sågs en medelförbättring på 28,6 meter (SD 47,22; n=12) på dag 253 och 86,5 meter (SD 40,58; n=8) på dag 1 050. Medelsträckan för 6MWT var 278,5 meter (SD 206,46) på dag 253 och 333,6 meter (SD 176,47) på dag 1 050. Två tidigare oberoende uppgående patienter (typ III) uppnådde oberoende gång och en patient som inte var uppgående (typ II) uppnådde oberoende gång.
En ytterligare klinisk studie, CS7 (EMBRACE), var öppen för patienter som inte kunde inkluderas för deltagande i studie CS3B eller studie CS4 på grund av screeningålder eller antal SMN2 kopior.
CS7 är en randomiserad, dubbelblind, simuleringskontrollerad fas 2 med studie symptomatiska patienter som diagnostiserats med infantil SMA (symtomdebut ≤ 6 månader) eller senare symtomdebut (> 6 månader) och 2 eller 3 kopior av SMN2 (del 1), följt av en långtids öppen förlängningsfas (del 2). I del 1 av studien följdes patienterna under en mediantid på 302 dagar.
Alla patienter som fick Spinraza 12 mg var vid liv från den tidiga avslutningen av del 1. En patient i kontrollarmen avled dock på studiedag 289. Inga patienter i vare sig gruppen som behandlades med Spinraza 12 mg eller simuleringskontrollgruppen behövde använda permanent ventilation. Av de 13 patienterna med infantil SMA uppfyllde 7 av 9 patienter (78 %; 95 % KI: 45, 94) i gruppen som behandlades med Spinraza 12 mg och 0 av 4 patienter (0 %; 95 % KI: 0, 60) i den simuleringskontrollerade gruppen kriterierna för motoriskt milstolpesvar (enligt HINE avsnitt 2: ≥ 2 poängs ökning [eller maximumpoäng] av förmågan att sparka ELLER ≥ 1 poängs ökning av de motoriska milstolparna för kontroll av huvudet, rullande, sittande, krypande, stående eller gående och förbättring i flera olika milstolpar än försämring). Av de 8 patienterna med senare symtomdebut uppfyllde 4 av 5 patienter (80 %; 95 % KI: 38, 96) i gruppen som behandlades med Spinraza 12 mg och 2 av 3 (67 %; 95 % KI: 21, 94) i simuleringskontrollgruppen denna svarsdefinition.
Vuxna
Observationer vid klinisk användning stöder nusinersens effektivitet att stabilisera eller förbättra den motoriska funktionen hos vissa vuxna patienter med typ II och III SMA.
Vid den 14:e månaden av behandling med nusinersen 12 mg var antalet patienter med kliniskt meningsfull förbättring från baslinje av HFMSE (≥ 3 poäng) 53 av 129 patienter, RULM (≥ 2 poäng) 28 av 70 patienter och 6MWT (≥ 30 meter) 25 av 49 patienter bland de patienter som kan gå.
Del C av studie SM203, som utvärderade effekt och säkerhet för patienter som hade övergått till doseringsregimen 50/28 mg Spinraza, inkluderade 24 vuxna (≥ 18 år) som hade behandlats med 12 mg under en mediantid på 3,9 år. Efter övergången fick deltagarna i subgruppen med vuxna (n = 24) en medelförbättring på 2,3 poäng [SD 3,95] på HFMSE-skalan. I subgruppen med vuxna uppvisade deltagarna en förbättring på 0,9 poäng [SD 1,89] enligt RULM-skalan. Vidare hade 14 av 23 (61 %) vuxna fått en förbättring från baslinjen på HFMSE-skalan vid dag 302, och 8 av 12 (67 %) vuxna som inte hade uppnått en maximal RULM-poäng vid baslinjen, hade förbättrats vid dag 302.
Säkerhetsdata för den vuxna populationen överensstämmer med nusinersens kända säkerhetsprofil och med komorbiditeter förknippade med den underliggande SMA-sjukdomen.
Presymtomatiska spädbarn
Studie CS5 (NURTURE) är en öppen studie på presymtomatiska spädbarn med diagnosen genetisk SMA som var registrerade vid 6 veckors ålder eller yngre. Patienterna i denna studie ansågs sannolikt utveckla SMA av typ I eller II. Medianåldern vid första dos var 22 dagar.
En interimanalys utfördes när patienterna hade varit i studien under en mediantid av 48,3 månader (36,6 till 57,1 månader) och hade en medianålder vid sista besöket på minst 46,0 månader (34,0 till 57,1 månader). Vid interimanalysen var alla 25 patienter (2 SMN2-genkopior, n = 15; 3 SMN2-genkopior, n = 10) vid liv utan permanent ventilation. Det primära effektmåttet, tiden till död eller andningsåtgärd (definierad som invasiv eller icke-invasiv ventilation under ≥ 6 timmar/dag kontinuerligt under ≥ 7 efterföljande dagar eller trakeostomi), kunde inte uppskattas då det fanns för få fall. Fyra patienter (2 SMN2-kopior) krävde andningsåtgärd > 6 timmar/dag kontinuerligt under ≥ 7 dagar, och alla dessa inledde ventilationsstöd under en akut reversibel sjukdom.
Patienterna uppnådde milstolpar som var oväntade vid SMA av typ I eller II och mer förenliga med normal utveckling. Vid interimanalysen hade alla 25 (100 %) patienter uppnått WHO:s motoriska milstolpe för sittande utan stöd, 23 (92 %) patienter gick med hjälp och 22 (88 %) hade uppnått förmågan att gå utan hjälp. 21 (84 %) patienter uppnådde den högsta möjliga CHOP INTEND-poängen på 64. Alla patienter hade förmågan att suga och svälja vid det sista besöket (dag 788), med 22 (88 %) spädbarn som uppnådde ett maximumpoäng på HINE avsnitt 1.
Patienter som utvecklade kliniskt manifesterad SMA bedömdes vid besöket på dag 700. Kriterierna enligt fastställt protokoll för kliniskt manifesterad SMA omfattade åldersjusterad vikt under femte WHO-percentilen, en minskning på 2 eller fler större percentiler på tillväxtkurvan, placering av perkutan magsond och/eller oförmåga att uppnå väntade ålderslämpliga WHO-milstolpar (sittande utan stöd, stående med stöd, krypande på händer och knä, gående med hjälp, stående ensam och gående utan hjälp). På dag 700 uppfyllde 7 av 15 patienter (47 %) med 2 SMN2-genkopior och 0 av 5 patienter (0 %) med 3 SMN2-kopior kriterierna för kliniskt manifesterad SMA enligt fastställt protokoll. Dessa patienter gick dock upp i vikt och uppnådde WHO-milstolpar, oförenliga med SMA av typ 1. En jämförelse av prestation i motorisk milstolpe bland patienterna med symtomatisk SMA med debut i spädbarnsåldern och presymtomatisk SMA visas i figur 5.
Figur 5: Förändring i motoriska milstolpar enligt HINE kontra studiedagar för studie CS3B (behandlad och simuleringskontroll), CS3A, CS5 och CS11
Farmakokinetik (PK) vid engångsdoser eller upprepad dosering av nusinersen, som administreras som intratekal injektion, fastställdes hos pediatriska och vuxna patienter med diagnosen SMA.
Absorption
Intratekal injektion av nusinersen i cerebrospinalvätskan möjliggör fullständig distribuering av nusinersen från cerebrospinalvätskan till målvävnaden i centrala nervsystemet (CNS). Kumulativa PK-data för cerebrospinalvätskan utvärderades i långtidsexponeringstudien CS11 för doseringsregimen 12 mg. Dessa data visade att koncentrationerna i cerebrospinalvätskan fortsatte att ackumuleras under cirka 9 år hos patienter med SMA med debut i spädbarnsåldern samt med senare debut.
En liknande trend för ackumulering av koncentrationen i cerebrospinalvätskan observerades också för doseringsregimen 50/28 mg i studie SM203 och studie SM302 från PK-data för cerebrospinalvätskan som inhämtats under hela dataperioden.
Efter intratekal administrering var dalkoncentrationerna av nusinersen i plasma relativt låga jämfört med dalkoncentrationerna i cerebrospinalvätska. Medianvärden för Tmax i plasma låg på 1,7–6,0 timmar. Medelvärden för Cmax och AUC i plasma ökade ungefär proportionellt mot dosen över det utvärderade dosintervallet. Det fanns ingen ackumulering i uppmätta plasmaexponeringar (Cmax och AUC) efter flera doser.
Distribution
Obduktionsdata från patienter (n=3) visar att nusinersen som administrerats intratekalt distribueras i stor utsträckning i CNS och uppnår terapeutiska nivåer i målvävnaden i ryggmärgen. Förekomst av nusinersen fanns också i neuroner och andra celltyper i ryggmärgen, hjärnan och perifer vävnad såsom skelettmuskel, lever och njure.
Metabolism
Nusinersen metaboliseras långsamt och framförallt via exonukleas (3’-och 5’)-medierad hydrolys och är inte ett substrat för eller en hämmare eller inducerare av CYP450-enzymer.
Eliminering
Den genomsnittliga elimineringen med en slutlig halveringstid i cerebrospinalvätska uppskattades vid cirka 20 månader. Den primära elimineringsvägen förväntas vara utsöndring av nusinersen och dess metaboliter via urinen.
Interaktioner
Studier in vitro tyder på att nusinersen inte är en inducerare eller hämmare av CYP450-medierad oxidativ metabolism och bör därför inte påverka andra läkemedel för dessa metabola processer. Nusinersen är inte ett substrat eller en hämmare av transportörer av mänskligt BCRP, P-gp, OAT1, OAT3, OCT1, OCT2, OATP1B1, OATP1B3 eller BSEP.
Egenskaper hos särskilda patientgrupper
Nedsatt njur- och leverfunktion
Farmakokinetiken för nusinersen har inte studerats hos patienter med nedsatt njurfunktion eller leverfunktion. Effekten av lever- och njursvikt som kovariater kunde inte utvärderas ordentligt hos populations-PK-modellen givet sällsyntheten av patienter som uppvisade kliniskt relevant lever- eller njursvikt. Populationsanalyser av farmakokinetik avslöjade inget uppenbart samband mellan kliniska kemiska lever- och njurmarkörer och variabilitet mellan försökspersonerna.
Etnicitet
Majoriteten av patienterna som studerades var européer. Populationsanalyser av farmakokinetik tyder på att etnicitet sannolikt inte påverkar PK av nusinersen.
Genotoxicitet/karcinogenicitet
Nusinersen uppvisade inga bevis för genotoxicitet.
I en karcinogenicitetstudie administrerades nusinersen till han- och honmöss via subkutan injektion av 0, 5, 15 eller 50 mg/kg, en gång varannan vecka under 2 år. En ökad incidens av vaskulära tumörer (kombinerat hemangiom och hemangiosarkom) observerades vid dosen 50 mg/kg.
Inga evidens för onkogena effekter av nusinersen observerades vid dosnivåer upp till 15 mg/kg. På årsbasis motsvarade denna dos ett AUC0-24 i serum som är 30 gånger högre än den kliniska serumexponeringen vid en underhållsdos på 28 mg.
Reproduktionstoxicitet
Reproduktionstoxikologiska studier genomfördes med hjälp av subkutan administrering av nusinersen på möss och råttor. Ingen effekt på manlig eller kvinnlig fertilitet, embryofetal utveckling eller pre‑/postnatal utveckling observerades.
Toxicitet
I toxicitetsstudier med upprepad dosering (kombination av 6 veckor och 13 veckor, 14 veckor och 53 veckor) på juvenila cynomolgusapor visade intratekal administrering inga toxiska effekter vid de utvärderade doserna.
Akut, övergående brist på reflexer från nedre delen av ryggmärgen, begränsad användning av extremiteter och/eller okoordinerade rörelser observerades hos vissa enskilda apor. Dessa effekter observerades inom flera timmar efter dosen och gick över inom 48 timmar och bedömdes inte som biverkningar.
I den 53 veckor långa toxikologiska studien på juvenila apor testades nusinersen vid doser upp till 4 mg per dos, vilket motsvarar 40 mg per intratekal dos hos patienter och resulterade i en kumulativ dos under ett år som är 6,2 gånger högre än den kliniska underhållsdosen av nusinersen på 28 mg (tre underhållsdoser per år).
Farmakoterapeutisk grupp: Övriga medel för sjukdomar i rörelseapparaten, ATC-kod: M09AX07
Verkningsmekanism
Nusinersen är en antisens-oligonukleotid (ASO) som ökar andelen transkription av exon 7 i överlevnadsmotorneuron 2 (SMN2) budbärar-ribonukleinsyra (mRNA) genom att binda till en intronisk splice silencing site (ISS-N1) i intron 7 för SMN2 pre-budbärar-RNA (pre-mRNA). Genom bindning ersätter ASO splicingfaktorer som normalt hämmar splicing. Ersättande av dessa faktorer leder till att exon 7 hålls kvar i SMN2-mRNA och på grund härav kan SMN2-mRNA när det produceras överföras in i funktionellt fullängds-SMN-protein.
SMA är en progressiv neuromuskulär sjukdom till följd av mutationer i kromosom 5q i SMN1-genen. En andra gen SMN2, som finns nära SMN1, svarar för produktionen av en liten mängd SMN-protein. SMA är ett kliniskt sjukdomsspektrum där sjukdomens svårighetsgrad är kopplad till färre antal SMN2-genkopior och symtomdebut i lägre ålder.
Neurofilament lätt kedja (NfL, neurofilament light chain) i plasma
Plasmanivåerna av NfL (neurofilament lätt kedja), en blodmarkör för axonal skada, mättes vid baslinjen och vid flera tidpunkter i studie SM203. Studien utvärderade doseringsregimen 50/28 mg hos patienter med debut av SMA i spädbarnsåldern samt med senare debut av SMA.
Plasmanivåerna av NfL minskade snabbare i gruppen som fick 50/28 mg jämfört med gruppen som fick 12 mg. Minskningen från baslinjen till dag 64 var 88 % i 50/28 mg-gruppen, jämfört med 77 % i 12 mg-gruppen (skillnad i kvoten för det geometriska medelvärdet för 50/28 mg-gruppen jämfört med 12 mg-gruppen: 49 %; (p = 0,0020) (figur 1).
På samma sätt minskade plasmanivåerna av NfL från baslinjen till dag 64 hos behandlingsnaiva patienter med senare debut av SMA med 66 % i 50/28 mg-gruppen och med 42 % i 12 mg gruppen (skillnad i kvoten för det geometriska medelvärdet mellan 50/28 mg-gruppen och 12 mg-gruppen: 42 %; (p = 0,0495).
Figur 1: Studie SM203 del B – SMA med debut i spädbarnsåldern, medelvärdet för minsta kvadratmetoden (LS) för plasma-NfL i förhållande till baslinjen (95 % KI) per besök från ANCOVA-analys med flerimputering (MI): Intent-to-Treat-population (ITT), matchad simuleringsuppsättning
Dag 64 är det sekundära effektmåttet för jämförelse mellan 12 mg och 50/28 mg
Dag 183 är det sekundära effektmåttet för jämförelse mellan simulering och 50/28 mg
Immunogenicitet
Förekomsten av antikroppar mot läkemedlet (ADA) föreföll minska plasmaclearence av Spinraza. Inga urskiljbara effekter av ADA på NfL i plasma eller mått på klinisk funktion har observerats för doseringsregimerna 12 mg och 50/28 mg. ADA hade ingen effekt på säkerhet, mätt som förekomst av biverkningar, inklusive överkänslighet, anafylaktisk reaktion och angioödem.
Klinisk effekt och säkerhet
Symtomatiska patienter behandlade med Spinraza doseringsregimen 50/28 mg
Studie SM203 del B var en randomiserad, dubbelblind utvärdering av säkerhet och effekt för 50/28 mg nusinersen hos behandlingsnaiva patienter med debut i spädbarnsåldern samt patienter med senare debut. Del B hade statistisk styrka att utvärdera effekten hos patienter med debut i spädbarnsåldern för 50/28 mg-gruppen jämfört med en förspecificerad matchad simuleringsgrupp från studie CS3B. Doseringsregimen med 12 mg i studie SM203 del B gav stödjande evidens, men studien hade inte tillräcklig statistisk styrka för att påvisa statistiskt signifikanta behandlingsskillnader mellan de som randomiserats till 50/28 mg och 12 mg nusinersen. Del C var en öppen studie för utvärdering av säkerhet och effekt hos barn och vuxna med debut av SMA i spädbarnsåldern eller med senare debut, som hade övergått från doseringsregimen 12 mg till 50/28 mg.
Debut i spädbarnsålder
I studie SM203 del B randomiserades patienter med debut av SMA i spädbarnsåldern (2 SMN2-kopior; symtomdebut före 6 månaders ålder) i förhållandet 2:1 till doseringsregimen 50/28 mg eller 12 mg. Förspecificerade analyser matchade 20 av 37 simuleringspatienter från studie CS3B baserat på likheter i både sjukdomstid vid baslinjen och poäng enligt CHOP INTEND-skalan (Children’s Hospital of Philadelphia Infant Test for Neuromuscular Disease). Det primära effektmåttet var förändring i CHOP INTEND-poäng vid dag 183 hos patienter med debut i spädbarnsåldern i 50/28 mg-gruppen jämfört med matchande simuleringsgrupp från studie CS3B.
I kohorten med debut i spädbarnsåldern i studie SM203 stratifierades deltagarna efter ålder vid randomisering för att skapa balanserade 50/28 mg- och 12 mg-grupper. Viktiga demografiska karakteristika vid baslinjen (ålder vid första dos, ålder vid screening, ålder vid symtomdebut, antal SMN2-kopior och motorisk funktion vid baslinjen) balanserades mellan 50/28 mg-gruppen, 12 mg-gruppen och den matchade simuleringsgruppen. Jämfört med populationen med debut i spädbarnsåldern i studie CS3B var sjukdomsprogressionen snabbare hos de patienter som deltog i studie SM203 och de var längre fram i sjukdomsförloppet. Dessa patienter hade kortare sjukdomstid (tid från symtomdebut till screening) och lägre CHOP INTEND-poäng vid baslinjen. Förspecificerad matchning till en subgrupp av simuleringskontrollgruppen i studie CS3B hjälpte till att minimera en del av denna obalans. Dock förblev den genomsnittliga (SD) sjukdomstiden vid baslinjen kortare och CHOP INTEND-poängen vid baslinjen förblev lägre i 50/28 mg- och 12 mg-grupperna jämfört med den matchade simuleringsgruppen i studie CS3B (tabell 4). Andra viktiga demografiska karakteristika vid baslinjen (ålder vid första dos, ålder vid screening, ålder vid symtomdebut, antal SMN2-kopior och motorisk funktion vid baslinjen) balanserades mellan 50/28 mg-gruppen, 12 mg-gruppen och den matchade simuleringsgruppen.
Tabell 4: Patientkarakteristika vid baslinjen i studie SM203 del B
Det primära effektmåttet, medelförändringen i CHOP INTEND-poäng från baslinjen till dag 183, var statistiskt signifikant större i 50/28-gruppen (15,1 poängs förbättring) jämfört med den matchade simuleringsgruppen (11,1 poängs försämring) (LS-medelskillnad: 26,19 poäng [95 % KI: 20,7; 31,7] p < 0,0001).
Förändringen i CHOP INTEND-poäng från baslinjen till dag 302 var numeriskt högre i 50/28 mg-gruppen än i 12 mg-gruppen baserat på skillnaden i rank, men denna skillnad var inte statistiskt signifikant baserat på JRT (LS-medelskillnad i rank (1,00 (95 % KI: −9,290; 11,299); JRT p = 0,8484). LS-medelförändringen från baslinjen till dag 302 baserat på ANCOVA med MI var numeriskt högre i 12 mg-gruppen; 50/28 mg-gruppen (19,6 poängs förbättring), 12 mg-gruppen (21,6 poängs förbättring; [95 % KI; 16,5; 22,8]) (LS-medelskillnad −1,94 [7,77; 3,88]).
I en kompletterande analys, liknande det primära effektmåttet i studie CS3B, uppfyllde 60 % av patienterna i 50/28 mg-gruppen och 44 % av patienterna i 12 mg-gruppen responderdefinitionen enligt HINE avsnitt 2 (HINE-2)-skalan vid dag 302. Förändringen i motorisk milstolpe enligt HINE-2-skalan från baslinjen till dag 302 var numeriskt större i 50/28 mg-gruppen (5,9 poängs förbättring) jämfört med 12 mg-gruppen (5,3 poängs förbättring) (LS-medelskillnad 0,58 (1,89; 3,04)), men dessa skillnader var inte statistiskt signifikanta.
I jämförelse med simuleringsgruppen, uppfyllde en statistiskt signifikant större andel patienter i 50/28 mg-gruppen definitionen för ett svar enligt HINE avsnitt 2 (HINE-2)-skalan vid dag 183 (58 % jämfört med 0 %; p < 0,0001) (tabell 5).
Tabell 5: Motoriskt utfall i 50/28 mg-gruppen jämfört med 12 mg-gruppen och i 50/28 mg-gruppen jämfört med en matchad simuleringsgrupp – Studie SM203 del B, debut i spädbarnsåldern
1ANCOVA och multipel imputering tillämpades
2 Medelskillnad enligt minsta kvadrat-metoden
3 Sammansatt ranktest
4 Fishers exakta test
5 Definition av responder: ≥ 2 poängs ökning [eller maximal poäng] i förmåga att sparka, eller ≥ 1 poängs ökning i motoriska milstolpar såsom huvudkontroll, rulla, sitta, krypa, stå eller gå, samt förbättring i fler kategorier av motoriska milstolpar än försämring, definierad som responder i denna primäranalys.
I 50/28 mg-gruppen noterades en minskning på 29,9 % jämfört med 12 mg-gruppen (p = 0,2775) och en nominellt statistiskt signifikant minskning på 68 % i risk för död eller permanent ventilation jämfört med den matchade simuleringsgruppen (p = 0,0006). Mediantiden till död eller permanent ventilation uppnåddes inte i 50/28 mg-gruppen. I 12 mg-gruppen var den 24,7 veckor och i den matchade simuleringsgruppen 19,1 veckor. Liknande resultat observerades för total överlevnad (figur 2).
Figur 2 del B: SMA med debut i spädbarnsåldern: Kaplan-Meier-kurvor för tid till död eller permanent ventilation (EAC-bekräftade händelser): ITT, matchad simuleringsuppsättning
Senare debut
Studie SM203 del B inkluderade 24 patienter med senare debut av SMA (majoriteten hade 3 SMN2-kopior; symtomdebut efter 6 månaders ålder). Patienterna randomiserades 2:1 till att få 50/28 mg-regimen (n = 16) eller 12 mg-regimen (n = 8). Analyserna var förspecificerade för att jämföra 50/28 mg-regimen med den matchade simuleringsgruppen från studie CS4. Analyserna hade inte statistisk styrka att påvisa signifikanta skillnader mellan behandlingsgrupper.
Demografiska karakteristika vid baslinjen för 50/28 mg-gruppen, den matchade behandlingsgruppen och den matchade simuleringsgruppen var generellt balanserade, med undantag för ålder vid första dos. Den genomsnittliga (SD) åldern vid första dos var 6,1 (3,0) år för 50/28 mg-gruppen, 5,7 (3,0) år för 12 mg-gruppen och 5,13 (1,8) år för den matchade simuleringsgruppen.
Förändringen från baslinjen till dag 302 i HFMSE-poäng (LS-medelvärde [95 % KI]) var numeriskt högre i 50/28 mg-gruppen (3,3 [1,5; 5,0]) än i 12 mg-gruppen (2,6 [0,2; 5,1]) (LS-medelskillnad: 0,63 (−2,5; 3,8 p = 0,70). Förändringen från baslinjen till dag 279 i HFMSE-poäng var också numeriskt högre i 50/28 mg-gruppen än i den matchade simuleringsgruppen från studie CS4 (LS-medelskillnad: 3,2 (0,2; 6,2); p = 0,037).
Förändringen från baslinjen till dag 302 i poäng enligt RULM (revised upper limb module) (LS-medelvärde [95 % KI]) var numeriskt högre i 50/28 mg-gruppen (2,5 [0,7; 4,2]) än i 12 mg-gruppen (1,8 [−0,8; 4,4]), men skillnaden var inte statistiskt signifikant (p = 0,66). Förändringen från baslinjen till dag 279 i RULM-poäng var också numeriskt högre i 50/28 mg-gruppen än i den matchade simuleringsgruppen från studie CS4 (LS-medelskillnad: 1,7 (−0,2; 3,5); p = 0,076).
Studie SM203 del C var en öppen kohortstudie som inkluderade 40 patienter i åldern 4‑65 år med 1‑4 SMN2-kopior och som hade övergått från doseringsregimen 12 mg till 50/28 mg. Patienterna fick en dos på 50 mg, följt av två underhållsdoser på 28 mg (med 4 månaders mellanrum).
Två patienter (5 %) hade debut i spädbarnsåldern och 38 (95 %) patienter hade senare debut. Sexton patienter var yngre än 18 år och 24 patienter var äldre än 18 år vid tidpunkt för administrering av laddningsdosen på 50 mg. Medianåldern (intervall) vid debut av SMA-symtom var 24 (4 till 192) månader. Mediantiden (intervall) på behandlingsregimen med 12 mg Spinraza var 3,9 år (1, 5). Tjugoen patienter (53 %) kunde gå 15 steg självständigt vid baslinjen.
Deltagarna uppvisade en medelförbättring på HFMSE-skalan med 1,8 poäng [SD 3,99] från baslinjen till dag 302, med en medelförbättring på 2,3 poäng [SD 3,95] i subgruppen med vuxna (n = 24). Sammanlagt fick 53 % av patienterna (n = 38) en ökning i HFMSE-poäng från baslinjen till dag 302.
Enligt RULM-skalan noterades hos deltagarna en medelförbättring på 1,2 poäng [SD 2,14] från baslinjen till dag 302, med en medelförbättring på 0,9 poäng [SD 1,89] i subgruppen med vuxna. Av de som hade möjlighet att förbättras (en poäng under den högsta möjliga vid baslinjen; n = 26) uppvisade 62 % en ökning i RULM-poäng från baslinjen till dag 302.
Symtomatiska patienter som behandlades med Spinraza 12 mg-regimen
Debut i spädbarnsåldern
Studie CS3B (ENDEAR) var en randomiserad, dubbelblind, kontrollerad simuleringsstudie i fas 3 som genomfördes på 121 symtomatiska spädbarn som var ≤ 7 månader med diagnosen SMA (symtomdebut före 6 månaders ålder). CS3B var avsedd att bedöma Spinrazas effekt på motorisk funktion och överlevnad. Patienterna randomiserades 2:1 till antingen Spinraza 12 mg (enligt godkänd doseringsregim) eller simuleringskontroll med en behandlingslängd från 6 till 442 dagar.
Medianåldern för debut av kliniska tecken och symtom på SMA var 6,5 veckor och 8 veckor för de patienter som behandlades med Spinraza 12 mg kontra simuleringskontrollerade patienter, med 99 % av patienterna som hade 2 SMN2-genkopior och ansågs därför sannolikt utveckla SMA av typ I. Medianåldern när patienterna fick sin första dos var 164,5 dagar för behandlade patienter och 205 dagar för simuleringskontroll. Sjukdomskarakteristika vid baslinjen var i stort sett likartade hos de patienter som behandlades med Spinraza 12 mg patienterna och de simuleringskontrollerade patienterna, förutom att de patienter som behandlades med Spinraza 12 mg hade en högre procentandel jämfört med de simuleringskontrollerade patienterna vid baslinjen av paradoxal andning (89 % jämfört med 66 %), pneumoni eller andningssymtom (35 % jämfört med 22 %), svälj‑ eller ätsvårigheter (51 % jämfört med 29 %) och behov av andningshjälp (26 % jämfört med 15 %).
Vid den slutliga analysen uppnådde en statistiskt betydande större andel patienter definitionen för ett svar på motorisk milstolpe i gruppen som behandlades med Spinraza 12 mg (51 %) jämfört med simuleringskontrollgruppen (0 %) (p < 0,0001). Tiden till död eller permanent ventilation (≥ 16 timmars ventilation/dag kontinuerligt under > 21 dagar utan en akut reversibel händelse eller trakeostomi) bedömdes som det primära effektmåttet. Statistiskt signifikanta effekter på händelsefri överlevnad, total överlevnad, andelen patienter som uppnår definitionen för ett svar på motorisk milstolpe och procentandelen patienter med en förbättring på minst 4 poäng från baslinjen enligt bedömningspoäng enligt CHOP INTEND observerades hos patienter i gruppen som behandlades med Spinraza 12 mg jämfört med de i simuleringskontrollgruppen (tabell 6).
I effektutvärderingsgruppen krävde 18 patienter (25 %) i gruppen som behandlades med Spinraza 12 mg och 12 patienter (32 %) i simuleringskontrollgruppen permanent ventilation. Av dessa patienter uppfyllde 6 (33 %) i gruppen som behandlades med Spinraza 12 mg och 0 (0 %) i simuleringskontrollgruppen kriterierna enligt fastställt protokoll för ett svar på motorisk milstolpe.
Tabell 6: Primära och sekundära effektmått vid slutlig analys - Studie CS3B
Omfattningen av förbättring i CHOP INTEND visas i figur 3 (förändring från poäng vid baslinjen för varje försöksperson).
Figur 3: Förändring i CHOP INTEND från baslinjen till sista studiebesöket av dag 183, 302 och 394–Endear-studie /CS3B (fastställd effekt, ES)
För att möjliggöra långtidsuppföljning av dessa patienter i slutet av studie CS3B inkluderades 89 patienter (Spinraza: n = 65; simuleringskontroll: n = 24) in i studie CS11 (SHINE). Studie CS11 är en öppen förlängningsstudie för SMA-patienter som tidigare deltagit i de andra kliniska studierna av Spinraza. Hos patienter som randomiserats till Spinraza i studie CS3B samt förlängningen av Spinraza-behandlingen i studie CS11 fick patienterna läkemedlet i 6 till 3 043 dagar (median 2 443 dagar). Hos patienter som randomiserats till simulering i studie CS3B och inledde Spinraza-behandling i studie CS11 fick patienterna läkemedlet i 65 till 2 520 dagar (median 2 090 dagar).
Förbättringar i motoriska funktioner observerades bland patienter som fortsatte med Spinraza från studie CS3B, samt hos dem som inledde Spinraza-behandling i studie CS11 (bild 5). Den största nyttan observerades hos dem som inledde behandling tidigare. Majoriteten av patienterna var vid liv vid sitt sista besök efter att de inlett behandling med Spinraza i antingen studie CS3B eller studie CS11.
Patienter som inlett Spinraza-behandling i studie CS3B hade en medianålder på 5,5 månader (intervall 1,7 till 14,9 månader). Från inledande av Spinraza-behandling samt förlängningsbehandlingen i studie CS11, var mediantiden till död eller permanent ventilering 1,4 år. I slutet av studie CS11 var 60 av 81 patienter (74 %) vid liv och 41 av 81 patienter (51 %) var vid liv och hade inte uppfyllt definitionen för permanent ventilation i studie CS11. Medelpoängen för total motorisk milstolpe enligt HINE-2 ökade med 5,3 (SD 4,6; n = 52) och CHOP INTEND-poängen ökade med 18,4 (SD 14,7; n = 38) från inledande av Spinraza-behandling till uppföljningsbesöket dag 394 respektive 2 198.
Patienter som randomiserats till simulering i studie CS3B och som inlett Spinraza-behandling i studie CS11 hade en medianålder på 17,8 månader (område 10,1 till 23,0 månader). Före inledande av Spinraza-behandling hade 12 av 24 patienter (50 %) uppfyllt definitionen för permanent ventilation i studie CS11. Mediantiden till död eller permanent ventilation var 2,76 år efter inledande av Spinraza-behandling i studie CS11. I slutet av studie CS11 var 19 av 24 patienter (79 %) vid liv och 6 av 12 patienter (50 %) var vid liv utan permanent ventilation. En förbättring av medelpoängen för total motorisk milstolpe på 1,4 (SD 1,8; n = 12) och CHOP INTEND-poängen på 11,5 (SD 12,2; n = 10) observerades från baslinjen för studie CS11 till uppföljningsbesöket dag 394 respektive 2 198.
Dessa resultat stöds av en öppen studie i fas 2 på symtomatiska patienter med diagnosen SMA (CS3A). Medianåldern för debut av kliniska tecken och symtom var 56 dagar och patienterna hade antingen 2 SMN2-genkopior (n=17) eller 3 SMN2-genkopior (n=2) (okänt antal SMN2-genkopior för 1 patient). Patienterna i denna studie ansågs sannolikt utveckla SMA av typ I. Medianåldern vid första dos var 162 dagar.
Det primära effektmåttet var andelen patienter som förbättrades i en eller flera kategorier av motoriska milstolpar (enligt HINE avsnitt 2: ökning på ≥ 2 poäng [eller högsta poäng] i förmåga att sparka eller frivilligt gripa eller ökning på ≥ 1 poäng i motoriska milstolpar för huvudkontroll, att rulla, att sitta, att krypa, att stå eller att gå). Tolv av 20 patienter (60 %) i studien uppfyllde det primära effektmåttet med en förbättring i medelprestation i motorisk milstolpe med tiden. En förbättring i medelpoäng enligt CHOP INTEND med tiden observerades från baslinjen till dag 1072 (medelförändring 21,30). Totalt uppfyllde 11 av 20 patienter (55 %) effektmåttet av en ökning i totalt poäng enligt CHOP INTEND på ≥ 4 poäng som vid deras senaste studiebesök. Av de 20 inskrivna patienterna var 11 (55 %) vid liv och behövde inte permanent ventilation vid sista besöket. Fyra patienter uppfyllde kriterierna för permanent ventilation och fem patienter avled under studien.
Senare debut
Studie CS4 (CHERISH) var en randomiserad, dubbelblind, kontrollerad simuleringsstudie i fas 3 som genomfördes på 126 symtomatiska patienter med senare debut av SMA (symtomdebut efter 6 månaders ålder). Patienterna randomiserades 2:1 till antingen Spinraza 12 mg (som fick 3 laddningsdoser och underhållsdoser) eller simuleringskontroll med en behandlingslängd från 324 till 482 dagar. Medianåldern vid screening var 3 år och medianåldern vid debut av kliniska tecken och symtom på SMA var 11 månader. Majoriteten av patienterna (88 %) hade 3 SMN2-genkopior (8 % hade 2 kopior, 2 % hade 4 kopior och 2 % hade ett okänt antal kopior). Vid baslinjen var patienternas medelpoäng enligt HFMSE-skalan (Hammersmith Functional Motor Scale Expanded) 21,6, medelvärdet för (RULM, revised upper limb module) var 19,1, vilket innebar att alla patienter hade alla uppnått att sitta självständigt men ingen hade uppnått att kunna gå självständigt. Patienterna i denna studie ansågs sannolikt utveckla SMA av typ II eller III. Sjukdomskarakteristika vid baslinjen var i allmänhet lika med undantag av en obalans i andelen patienter som någon gång hade uppnått förmågan att stå utan stöd (13 % av patienterna i gruppen som behandlades med Spinraza 12 mg och 29 % i simuleringskontrollgruppen) eller gå med stöd (24 % av patienterna i gruppen som behandlades med Spinraza 12 mg och 33 % i simuleringskontrollgruppen).
I den slutliga analysen sågs en statistiskt signifikant förbättring i poäng från baslinjen till månad 15 enligt HFMSE-skalan (Hammersmith Functional Motor Scale Expanded) för behandlingsgruppen som behandlades med Spinraza 12 mg jämfört med simuleringskontrollgruppen (tabell 7, figur 4). Analysen genomfördes på ITT-populationen (Spinraza 12 mg: n=84; simuleringskontroll: n=42) och data efter baslinjen enligt HFMSE-skalan för patienter som inte genomfört besök månad 15 imputerades med hjälp av flerimputeringsmetoden. En analys av undergruppen med patienter i ITT-populationen som hade observerade värden vid månad 15 uppvisade överensstämmande, statistiskt signifikanta resultat. För dem med observerade värden vid månad 15 hade en högre andel patienter som behandlades med Spinraza 12 mg en förbättring (73 % kontra 41 %) och en lägre andel patienter som behandlades med Spinraza 12 mg en försämring (23 % kontra 44 %) i totalpoäng enligt HFMSE-skalan jämfört med simuleringskontrollgruppen. Sekundära effektmått inklusive funktionsmätningar och prestation i motorisk milstolpe enligt WHO testades statistiskt och beskrivs i tabell 7.
Insättande av behandling snabbare efter symtomdebut resulterade i tidigare och större förbättring av motorisk funktion än vid fördröjt insättande av behandling. Båda grupperna upplevde emellertid fördelar jämfört med simuleringskontroll.
Tabell 7: Primära och sekundära effektmått vid slutlig analys – Studie CS41
Figur 4: Medelförändring från baslinjen av HFMSE-poäng över tid vid slutlig analys (ITT) –studie CS4 1,2
Då studie CS4 (CHERISH) avslutats inkluderades 125 (83 Spinraza och 42 simulering) patienter från CS4 i studie CS11 (SHINE), där alla patienter fick Spinraza 12 mg. Majoriteten av de patienter som behandlades med Spinraza 12 mg upplevde motorisk funktionsstabilisering eller -förbättring och den största nyttan observerades hos dem som inlett behandlingen tidigare.
Medianåldern för patienter som inledde Spinraza-behandling i studie CS4 var 4,1 år (intervall 2,1 till 9,2 år). Från inledande av Spinraza-behandling samt förlängningen av behandlingen i studie CS11 fick patienterna läkemedlet under en mediantid på 7,2 år (intervall 1,3 till 8,4 år). Medelpoängen enligt HFMSE ökade med 1,3 (SD 9,4; n = 54) och medelpoängen enligt RULM ökade med 6,4 (SD 6,5; n = 54) vid uppföljningsbesöket dag 2 070.
Patienter som randomiserats till simulering i studie CS4 inledde behandling med Spinraza i studie CS11 vid en medianålder på 4,9 år (intervall 3,3 till 9,0 år). Från inledande av Spinraza-behandling i studie CS11 fick patienterna läkemedlet under en mediantid på 5,8 år (intervall 2,7 till 6,7 år). Medelpoängen enligt HFMSE minskade med 1,3 (SD 9,3; n = 22) och medelpoängen enligt RULM ökade med 4,2 (SD 4,4; n = 23) vid uppföljningsbesöket dag 2 070.
Däremot visar det naturliga sjukdomsförloppet hos obehandlade patienter i liknande ålder och med liknande kliniska egenskaper en progressiv förlust av motorisk funktion över tid, med en uppskattad genomsnittlig nedgång i HFMSE på 6,6 poäng under en likvärdig period på 5 år.
Dessa resultat stöds av 2 öppna studier (studie CS2 och studie C12). I analysen ingick 28 patienter som fick sin första dos i studie CS2 och därefter överfördes till förlängningsfasen, studie CS12. Patienter som var mellan 2–15 år vid första dosen var registrerade i studierna. Av de 28 patienterna var 3 minst 18 år vid sitt sista studiebesök. 1 av 28 patienter hade 2 SMN2-genkopior, 21 hade 3 kopior och 6 hade 4 kopior.
Patienterna bedömdes under en behandlingsperiod på 3 år. En kvarstående förbättring sågs hos patienter med SMA av typ II som upplevde en medelförbättring från poäng vid baslinjen enligt HFMSE på 5,1 (SD 4,05; n=11) på dag 253 och 9,1 (SD 6,61; n=6) på dag 1 050. Totalt medelpoäng var 26,4 (SD 11,91) på dag 253 och 31,3 (SD 13,02) på dag 1 050, ingen platå observerades. Patienter med SMA av typ III uppvisade en medelförbättring från poäng vid baslinjen enligt HFMSE på 1,3 (SD 1,87; n=16) på dag 253 och 1,2 (SD 4,64; n=11) på dag 1 050. Totalt medelpoäng var 49,8 (SD 12,46) på dag 253 och 52,6 (SD 12,78) vid 1 050 dagar.
Hos patienter med SMA av typ II utfördes modultestet av övre extremitet med medelförbättring på 1,9 (SD 2,68; n=11) på dag 253 och 3,5 (SD 3,32; n=9) på dag 1 050. Totalt medelpoäng var 13,8 (SD 3,09) på dag 253 och 15,7 (SD 1,92) på dag 1 050.
6MWT (6-minuters gångtest) genomfördes endast på uppegående patienter. Hos dessa patienter sågs en medelförbättring på 28,6 meter (SD 47,22; n=12) på dag 253 och 86,5 meter (SD 40,58; n=8) på dag 1 050. Medelsträckan för 6MWT var 278,5 meter (SD 206,46) på dag 253 och 333,6 meter (SD 176,47) på dag 1 050. Två tidigare oberoende uppgående patienter (typ III) uppnådde oberoende gång och en patient som inte var uppgående (typ II) uppnådde oberoende gång.
En ytterligare klinisk studie, CS7 (EMBRACE), var öppen för patienter som inte kunde inkluderas för deltagande i studie CS3B eller studie CS4 på grund av screeningålder eller antal SMN2 kopior.
CS7 är en randomiserad, dubbelblind, simuleringskontrollerad fas 2 med studie symptomatiska patienter som diagnostiserats med infantil SMA (symtomdebut ≤ 6 månader) eller senare symtomdebut (> 6 månader) och 2 eller 3 kopior av SMN2 (del 1), följt av en långtids öppen förlängningsfas (del 2). I del 1 av studien följdes patienterna under en mediantid på 302 dagar.
Alla patienter som fick Spinraza 12 mg var vid liv från den tidiga avslutningen av del 1. En patient i kontrollarmen avled dock på studiedag 289. Inga patienter i vare sig gruppen som behandlades med Spinraza 12 mg eller simuleringskontrollgruppen behövde använda permanent ventilation. Av de 13 patienterna med infantil SMA uppfyllde 7 av 9 patienter (78 %; 95 % KI: 45, 94) i gruppen som behandlades med Spinraza 12 mg och 0 av 4 patienter (0 %; 95 % KI: 0, 60) i den simuleringskontrollerade gruppen kriterierna för motoriskt milstolpesvar (enligt HINE avsnitt 2: ≥ 2 poängs ökning [eller maximumpoäng] av förmågan att sparka ELLER ≥ 1 poängs ökning av de motoriska milstolparna för kontroll av huvudet, rullande, sittande, krypande, stående eller gående och förbättring i flera olika milstolpar än försämring). Av de 8 patienterna med senare symtomdebut uppfyllde 4 av 5 patienter (80 %; 95 % KI: 38, 96) i gruppen som behandlades med Spinraza 12 mg och 2 av 3 (67 %; 95 % KI: 21, 94) i simuleringskontrollgruppen denna svarsdefinition.
Vuxna
Observationer vid klinisk användning stöder nusinersens effektivitet att stabilisera eller förbättra den motoriska funktionen hos vissa vuxna patienter med typ II och III SMA.
Vid den 14:e månaden av behandling med nusinersen 12 mg var antalet patienter med kliniskt meningsfull förbättring från baslinje av HFMSE (≥ 3 poäng) 53 av 129 patienter, RULM (≥ 2 poäng) 28 av 70 patienter och 6MWT (≥ 30 meter) 25 av 49 patienter bland de patienter som kan gå.
Del C av studie SM203, som utvärderade effekt och säkerhet för patienter som hade övergått till doseringsregimen 50/28 mg Spinraza, inkluderade 24 vuxna (≥ 18 år) som hade behandlats med 12 mg under en mediantid på 3,9 år. Efter övergången fick deltagarna i subgruppen med vuxna (n = 24) en medelförbättring på 2,3 poäng [SD 3,95] på HFMSE-skalan. I subgruppen med vuxna uppvisade deltagarna en förbättring på 0,9 poäng [SD 1,89] enligt RULM-skalan. Vidare hade 14 av 23 (61 %) vuxna fått en förbättring från baslinjen på HFMSE-skalan vid dag 302, och 8 av 12 (67 %) vuxna som inte hade uppnått en maximal RULM-poäng vid baslinjen, hade förbättrats vid dag 302.
Säkerhetsdata för den vuxna populationen överensstämmer med nusinersens kända säkerhetsprofil och med komorbiditeter förknippade med den underliggande SMA-sjukdomen.
Presymtomatiska spädbarn
Studie CS5 (NURTURE) är en öppen studie på presymtomatiska spädbarn med diagnosen genetisk SMA som var registrerade vid 6 veckors ålder eller yngre. Patienterna i denna studie ansågs sannolikt utveckla SMA av typ I eller II. Medianåldern vid första dos var 22 dagar.
En interimanalys utfördes när patienterna hade varit i studien under en mediantid av 48,3 månader (36,6 till 57,1 månader) och hade en medianålder vid sista besöket på minst 46,0 månader (34,0 till 57,1 månader). Vid interimanalysen var alla 25 patienter (2 SMN2-genkopior, n = 15; 3 SMN2-genkopior, n = 10) vid liv utan permanent ventilation. Det primära effektmåttet, tiden till död eller andningsåtgärd (definierad som invasiv eller icke-invasiv ventilation under ≥ 6 timmar/dag kontinuerligt under ≥ 7 efterföljande dagar eller trakeostomi), kunde inte uppskattas då det fanns för få fall. Fyra patienter (2 SMN2-kopior) krävde andningsåtgärd > 6 timmar/dag kontinuerligt under ≥ 7 dagar, och alla dessa inledde ventilationsstöd under en akut reversibel sjukdom.
Patienterna uppnådde milstolpar som var oväntade vid SMA av typ I eller II och mer förenliga med normal utveckling. Vid interimanalysen hade alla 25 (100 %) patienter uppnått WHO:s motoriska milstolpe för sittande utan stöd, 23 (92 %) patienter gick med hjälp och 22 (88 %) hade uppnått förmågan att gå utan hjälp. 21 (84 %) patienter uppnådde den högsta möjliga CHOP INTEND-poängen på 64. Alla patienter hade förmågan att suga och svälja vid det sista besöket (dag 788), med 22 (88 %) spädbarn som uppnådde ett maximumpoäng på HINE avsnitt 1.
Patienter som utvecklade kliniskt manifesterad SMA bedömdes vid besöket på dag 700. Kriterierna enligt fastställt protokoll för kliniskt manifesterad SMA omfattade åldersjusterad vikt under femte WHO-percentilen, en minskning på 2 eller fler större percentiler på tillväxtkurvan, placering av perkutan magsond och/eller oförmåga att uppnå väntade ålderslämpliga WHO-milstolpar (sittande utan stöd, stående med stöd, krypande på händer och knä, gående med hjälp, stående ensam och gående utan hjälp). På dag 700 uppfyllde 7 av 15 patienter (47 %) med 2 SMN2-genkopior och 0 av 5 patienter (0 %) med 3 SMN2-kopior kriterierna för kliniskt manifesterad SMA enligt fastställt protokoll. Dessa patienter gick dock upp i vikt och uppnådde WHO-milstolpar, oförenliga med SMA av typ 1. En jämförelse av prestation i motorisk milstolpe bland patienterna med symtomatisk SMA med debut i spädbarnsåldern och presymtomatisk SMA visas i figur 5.
Figur 5: Förändring i motoriska milstolpar enligt HINE kontra studiedagar för studie CS3B (behandlad och simuleringskontroll), CS3A, CS5 och CS11
Farmakokinetik (PK) vid engångsdoser eller upprepad dosering av nusinersen, som administreras som intratekal injektion, fastställdes hos pediatriska och vuxna patienter med diagnosen SMA.
Absorption
Intratekal injektion av nusinersen i cerebrospinalvätskan möjliggör fullständig distribuering av nusinersen från cerebrospinalvätskan till målvävnaden i centrala nervsystemet (CNS). Kumulativa PK-data för cerebrospinalvätskan utvärderades i långtidsexponeringstudien CS11 för doseringsregimen 12 mg. Dessa data visade att koncentrationerna i cerebrospinalvätskan fortsatte att ackumuleras under cirka 9 år hos patienter med SMA med debut i spädbarnsåldern samt med senare debut.
En liknande trend för ackumulering av koncentrationen i cerebrospinalvätskan observerades också för doseringsregimen 50/28 mg i studie SM203 och studie SM302 från PK-data för cerebrospinalvätskan som inhämtats under hela dataperioden.
Efter intratekal administrering var dalkoncentrationerna av nusinersen i plasma relativt låga jämfört med dalkoncentrationerna i cerebrospinalvätska. Medianvärden för Tmax i plasma låg på 1,7–6,0 timmar. Medelvärden för Cmax och AUC i plasma ökade ungefär proportionellt mot dosen över det utvärderade dosintervallet. Det fanns ingen ackumulering i uppmätta plasmaexponeringar (Cmax och AUC) efter flera doser.
Distribution
Obduktionsdata från patienter (n=3) visar att nusinersen som administrerats intratekalt distribueras i stor utsträckning i CNS och uppnår terapeutiska nivåer i målvävnaden i ryggmärgen. Förekomst av nusinersen fanns också i neuroner och andra celltyper i ryggmärgen, hjärnan och perifer vävnad såsom skelettmuskel, lever och njure.
Metabolism
Nusinersen metaboliseras långsamt och framförallt via exonukleas (3’-och 5’)-medierad hydrolys och är inte ett substrat för eller en hämmare eller inducerare av CYP450-enzymer.
Eliminering
Den genomsnittliga elimineringen med en slutlig halveringstid i cerebrospinalvätska uppskattades vid cirka 20 månader. Den primära elimineringsvägen förväntas vara utsöndring av nusinersen och dess metaboliter via urinen.
Interaktioner
Studier in vitro tyder på att nusinersen inte är en inducerare eller hämmare av CYP450-medierad oxidativ metabolism och bör därför inte påverka andra läkemedel för dessa metabola processer. Nusinersen är inte ett substrat eller en hämmare av transportörer av mänskligt BCRP, P-gp, OAT1, OAT3, OCT1, OCT2, OATP1B1, OATP1B3 eller BSEP.
Egenskaper hos särskilda patientgrupper
Nedsatt njur- och leverfunktion
Farmakokinetiken för nusinersen har inte studerats hos patienter med nedsatt njurfunktion eller leverfunktion. Effekten av lever- och njursvikt som kovariater kunde inte utvärderas ordentligt hos populations-PK-modellen givet sällsyntheten av patienter som uppvisade kliniskt relevant lever- eller njursvikt. Populationsanalyser av farmakokinetik avslöjade inget uppenbart samband mellan kliniska kemiska lever- och njurmarkörer och variabilitet mellan försökspersonerna.
Etnicitet
Majoriteten av patienterna som studerades var européer. Populationsanalyser av farmakokinetik tyder på att etnicitet sannolikt inte påverkar PK av nusinersen.
Genotoxicitet/karcinogenicitet
Nusinersen uppvisade inga bevis för genotoxicitet.
I en karcinogenicitetstudie administrerades nusinersen till han- och honmöss via subkutan injektion av 0, 5, 15 eller 50 mg/kg, en gång varannan vecka under 2 år. En ökad incidens av vaskulära tumörer (kombinerat hemangiom och hemangiosarkom) observerades vid dosen 50 mg/kg.
Inga evidens för onkogena effekter av nusinersen observerades vid dosnivåer upp till 15 mg/kg. På årsbasis motsvarade denna dos ett AUC0-24 i serum som är 30 gånger högre än den kliniska serumexponeringen vid en underhållsdos på 28 mg.
Reproduktionstoxicitet
Reproduktionstoxikologiska studier genomfördes med hjälp av subkutan administrering av nusinersen på möss och råttor. Ingen effekt på manlig eller kvinnlig fertilitet, embryofetal utveckling eller pre‑/postnatal utveckling observerades.
Toxicitet
I toxicitetsstudier med upprepad dosering (kombination av 6 veckor och 13 veckor, 14 veckor och 53 veckor) på juvenila cynomolgusapor visade intratekal administrering inga toxiska effekter vid de utvärderade doserna.
Akut, övergående brist på reflexer från nedre delen av ryggmärgen, begränsad användning av extremiteter och/eller okoordinerade rörelser observerades hos vissa enskilda apor. Dessa effekter observerades inom flera timmar efter dosen och gick över inom 48 timmar och bedömdes inte som biverkningar.
I den 53 veckor långa toxikologiska studien på juvenila apor testades nusinersen vid doser upp till 4 mg per dos, vilket motsvarar 40 mg per intratekal dos hos patienter och resulterade i en kumulativ dos under ett år som är 6,2 gånger högre än den kliniska underhållsdosen av nusinersen på 28 mg (tre underhållsdoser per år).
Får ej frysas.
Förvara injektionsflaskan i ytterkartongen. Ljuskänsligt.
Om kylskåp inte finns tillgängligt ska Spinraza förvaras i sin originalkartong, skyddat från ljus, vid eller under 30 °C under högst 14 dagar.
Före administrering kan oöppnade Spinraza injektionsflaskor tas ut ur och ställas tillbaka i kylskåpet vid behov. Om injektionsflaskan tas ut ur originalkartongen får den totala sammanlagda tiden utanför kylskåp inte överstiga 30 timmar, vid en temperatur som inte överstiger 25 °C.
Spinraza 12 mg
Injektionsflaska av glas av typ I för engångsbruk med en grå gummipropp av bromobutyl och försegling av aluminium och ett plastlock, innehållande 12 mg nusinersen i 5 ml artificiell cerebrospinalvätska.
Förpackningsstorlek: en injektionsflaska per kartong.
Spinraza 28 mg
Injektionsflaska av glas av typ I för engångsbruk med en grå gummipropp av bromobutyl och en röd försegling av aluminium och ett plastlock, innehållande 28 mg nusinersen i 5 ml artificiell cerebrospinalvätska.
Förpackningsstorlek: en injektionsflaska per kartong
Spinraza 50 mg
Injektionsflaska av glas av typ I för engångsbruk med en grå gummipropp av bromobutyl och en blå försegling av aluminium och ett plastlock, innehållande 50 mg nusinersen i 5 ml artificiell cerebrospinalvätska.
Förpackningsstorlek: en injektionsflaska per kartong
Endast avsedd för engångsbruk för endast en patient. Får inte spädas.
Instruktioner om beredning av läkemedlet innan administrering
Injektionsflaskan med Spinraza ska inspekteras för partiklar före administrering. Om partiklar observeras och/eller vätskan i injektionsflaskan inte är klar och färglös, ska injektionsflaskan inte användas.
Aseptisk teknik ska användas vid beredning av Spinraza lösning för intratekal administrering.
Injektionsflaskan ska tas ut ur kylskåpet och anta rumstemperatur (25 °C) utan användning av yttre värmekällor före administrering.
Om injektionsflaskan fortfarande är oöppnad och lösningen oanvänd, ska den ställas tillbaka i kylskåpet (se avsnitt 6.4).
Precis före administrering, avlägsna plastlocket och för in sprutans injektionskanyl i mitten av injektionsflaskans försegling för att dra upp lämplig volym. Spinraza får inte spädas. Externa filter behöver inte användas.
När lösningen har dragits upp i sprutan måste den kasseras om den inte används inom 6 timmar.
Ej använt läkemedel i injektionsflaskan samt avfall ska kasseras enligt gällande anvisningar.
Natriumdivätefosfatdihydrat
Dinatriumfosfat
Natriumklorid
Kaliumklorid
Kalciumkloriddihydrat
Magnesiumkloridhexahydrat
Natriumhydroxid (för pH-justering)
Saltsyra (för pH-justering)
Vatten för injektionsvätskor
Ej relevant.
5 år
Förvaras i kylskåp (2 °C–8 °C).
Får ej frysas.
Förvara injektionsflaskan i ytterkartongen. Ljuskänsligt.
Om kylskåp inte finns tillgängligt ska Spinraza förvaras i sin originalkartong, skyddat från ljus, vid eller under 30 °C under högst 14 dagar.
Före administrering kan oöppnade Spinraza injektionsflaskor tas ut ur och ställas tillbaka i kylskåpet vid behov. Om injektionsflaskan tas ut ur originalkartongen får den totala sammanlagda tiden utanför kylskåp inte överstiga 30 timmar, vid en temperatur som inte överstiger 25 °C.
Spinraza 12 mg
Injektionsflaska av glas av typ I för engångsbruk med en grå gummipropp av bromobutyl och försegling av aluminium och ett plastlock, innehållande 12 mg nusinersen i 5 ml artificiell cerebrospinalvätska.
Förpackningsstorlek: en injektionsflaska per kartong.
Spinraza 28 mg
Injektionsflaska av glas av typ I för engångsbruk med en grå gummipropp av bromobutyl och en röd försegling av aluminium och ett plastlock, innehållande 28 mg nusinersen i 5 ml artificiell cerebrospinalvätska.
Förpackningsstorlek: en injektionsflaska per kartong
Spinraza 50 mg
Injektionsflaska av glas av typ I för engångsbruk med en grå gummipropp av bromobutyl och en blå försegling av aluminium och ett plastlock, innehållande 50 mg nusinersen i 5 ml artificiell cerebrospinalvätska.
Förpackningsstorlek: en injektionsflaska per kartong
Endast avsedd för engångsbruk för endast en patient. Får inte spädas.
Instruktioner om beredning av läkemedlet innan administrering
Injektionsflaskan med Spinraza ska inspekteras för partiklar före administrering. Om partiklar observeras och/eller vätskan i injektionsflaskan inte är klar och färglös, ska injektionsflaskan inte användas.
Aseptisk teknik ska användas vid beredning av Spinraza lösning för intratekal administrering.
Injektionsflaskan ska tas ut ur kylskåpet och anta rumstemperatur (25 °C) utan användning av yttre värmekällor före administrering.
Om injektionsflaskan fortfarande är oöppnad och lösningen oanvänd, ska den ställas tillbaka i kylskåpet (se avsnitt 6.4).
Precis före administrering, avlägsna plastlocket och för in sprutans injektionskanyl i mitten av injektionsflaskans försegling för att dra upp lämplig volym. Spinraza får inte spädas. Externa filter behöver inte användas.
När lösningen har dragits upp i sprutan måste den kasseras om den inte används inom 6 timmar.
Ej använt läkemedel i injektionsflaskan samt avfall ska kasseras enligt gällande anvisningar.
Produktresumén är företagets information om läkemedlet riktat till förskrivare och personal inom sjukvård och apotek. Dokumentet är godkänt av Läkemedelsverket eller den europeiska läkemedelsmyndigheten EMA i samband med att läkemedlet godkänns för marknadsföring.