Lutathera 370 MBq/ml infusionsvätska, lösning
Infusionsvätska, lösning.
Klar, färglös till svagt gul lösning.
Advanced Accelerator Applications
8-10 Rue Henri Sainte-Claire Deville
92500 Rueil-Malmaison
Frankrike
EU/1/17/1226/001
Första godkännandet: 26 september 2017
Förnyat godkännande: 8 juli 2022
2025-11-03
Produktresumén är företagets information om läkemedlet riktat till förskrivare och personal inom sjukvård och apotek. Dokumentet är godkänt av Läkemedelsverket eller den europeiska läkemedelsmyndigheten EMA i samband med att läkemedlet godkänns för marknadsföring.
En ml lösning innehåller 370 MBq lutetium(177Lu)oxodotreotid vid datum och tidpunkt för kalibrering.
Den totala mängden radioaktivitet per endosflaska är 7 400 MBq på infusionens datum och klockslag. Med hänsyn till den fasta volymetriska aktiviteten av 370 MBq/ml vid datum och tidpunkt för kalibrering varierar volymen av lösningen i injektionsflaskan mellan 20,5 och 25,0 ml för att ge den erforderliga mängden radioaktivitet på infusionens datum och tidpunkt.
Fysikaliska egenskaper
Lutetium-177 har en halveringstid på 6,647 dagar. Lutetium-177 sönderfaller genom emission av β- - strålning till stabilt hafnium-177 där den allra vanligaste β- (79,3 %) har en maximal energi på 0,497 MeV. Genomsnittlig betaenergi är cirka 0,13 MeV. Även låg gammaenergi avges, exempelvis vid 113 keV (6,2 %) och 208 keV (11 %).
Hjälpämne med känd effekt
En ml lösning innehåller upp till 0,14 mmol (3,2 mg) natrium.
För fullständig förteckning över hjälpämnen, se avsnitt 6.1.
Information om dosändringar för att hantera allvarliga eller intolerabla biverkningar ges i respektive avsnitt nedan.
Aminosyralösning
I syfte att skydda njurarna måste en aminosyralösning som innehåller L-lysin och L-arginin administreras intravenöst under 4 timmar (se sammansättningen i tabellerna 1 och 2). Infusionen av aminosyralösningen ska påbörjas 30 minuter innan Lutathera-infusionen startar. Infusion av aminosyralösningen och Lutathera genom en separat venös infart i var och en av patientens armar är den metod som är att föredra. Om två intravenösa infarter inte är möjliga på grund av dålig åtkomst av vener eller andra lokala riktlinjer/ klinisk praxis kan aminosyralösningen och Lutathera infuseras genom samma infart via en trevägskran, med hänsyn till flödeshastighet och upprätthållande av den venösa infarten. Dosen av aminosyralösningen bör inte minskas även om en minskad dos av Lutathera administreras.
En aminosyralösning innehållande endast L-lysin och L-arginin som specificeras i tabell 1 är den läkemedelsberedning som är att föredra på grund av den lägre totala infusionsvolymen samt den lägre osmolaliteten.
Aminosyralösningen kan beredas som en läkemedelsberedning, enligt god sed för steril beredning av läkemedel på sjukhuset och enligt sammansättningen specificerad i Tabell 1.
Tabell 1 Sammansättning av den kombinerade aminosyralösningen
Alternativt kan kommersiellt tillgängliga aminosyralösningar användas om dessa uppfyller specifikationerna som beskrivs i Tabell 2.
Tabell 2 Specifikationer för kommersiellt tillgängliga aminosyralösningar
Övervakning av behandling
Före varje administrering och under behandlingen med Lutathera krävs laboratorietester för att utvärdera patientens tillstånd och anpassa det terapeutiska protokollet vid behov (dos, infusionsintervall, antal infusioner) (se tabell 3).
Som minst måste laboratorietester utföras för:
hematologi (hemoglobin [Hb], leukocytantal med differentialräkning, trombocytantal)
njurfunktion (serumkreatinin och kreatininclearance beräknad med Cockcroft-Gault-formeln)
leverfunktion (alaninaminotransferas [ALAT], aspartataminotransferas [ASAT], serumalbumin, internationell normaliserad kvot (INR) och bilirubin)
Dessa laboratorietester ska utföras minst en gång under perioden 2 till 4 veckor före administrering och strax före administreringen. Det rekommenderas att även utföra dessa tester var 4:e vecka i minst 3 månader efter den senaste infusionen Lutathera och därefter var 6:e månad, för att upptäcka eventuella fördröjda biverkningar (se avsnitt 4.8). Dosen kan behöva ändras baserat på testresultaten (se tabell 3).
Dosändring
Hantering av allvarliga eller intolerabla biverkningar kan kräva ett tillfälligt uppehåll av behandlingen (förlängning av dosintervallet från 8 veckor till 16 veckor), att dosen reduceras eller att behandlingen med Lutathera avbryts helt (se Tabell 3 och Figur 1).
Tabell 3 Rekommenderade dosjusteringar av Lutathera vid biverkningar
Figur 1 Översikt över dosändringsanvisningar
DMT: Dosändringstoxicitet (Dose modifying toxicity)
Andra skäl att överväga tillfälligt dosavbrott av Lutathera inkluderar förekomst av en annan samtidig sjukdom (t.ex. urinvägsinfektion), som läkaren bedömer kan öka riskerna i samband med administrering av Lutathera, och som bör vara läkt eller stabiliserad för att behandlingen ska återupptas, eller i samband med större operationer, vid vilka man ska avvakta behandlingen i 12 veckor efter operationsdagen.
Särskilda populationer
Äldre
Ingen dosjustering krävs för patienter 65 år eller äldre då klinisk erfarenhet inte har fastställt skillnader i svar mellan äldre och yngre patienter. Eftersom en ökad risk för hematotoxicitet har beskrivits hos äldre patienter (≥ 70 års ålder) är dock noggrann uppföljning som tillåter snabb dosjustering (DMT) tillrådlig.
Nedsatt njurfunktion
Aktiviteten som ska administreras till patienter med nedsatt njurfunktion måste övervägas noga eftersom en ökad strålningsexponering är möjlig hos dessa patienter. Den farmakokinetiska profilen och säkerheten för lutetium(177Lu)oxodotreotid hos patienter med allvarlig njursjukdom vid baseline (kreatininclearance < 30 ml/min beräknat med Cockcroft-Gault-formeln) eller njursjukdom i slutstadiet har inte studerats. Behandling med Lutathera hos patienter med njursvikt med kreatininclearance < 30 ml/min är kontraindicerad (se avsnitt 4.3). Behandling med Lutathera hos patienter med kreatininclearance < 40 ml/min (beräknat med Cockcroft Gault-formeln) rekommenderas inte. Ingen dosjustering rekommenderas för patienter med nedsatt njurfunktion med kreatininclearance ≥ 40 ml/min vid baseline. Eftersom det har konstaterats att detta läkemedel i stor utsträckning utsöndras av njurarna ska njurfunktionen kontrolleras oftare under behandling eftersom dessa patienter kan löpa större risk för toxicitet.
För ytterligare uppgifter om behandling av patienter med njurtoxicitet, se Tabell 3 i avsnitt 4.2 och avsnitt 4.4.
Nedsatt leverfunktion
Aktiviteten som ska administreras till patienter med nedsatt leverfunktion måste övervägas noga eftersom en ökad strålningsexponering är möjlig hos dessa patienter. Varken den farmakokinetiska profilen eller säkerhetsprofilen för lutetium(177Lu)oxodotreotid hos patienter med kraftigt nedsatt leverfunktion vid baseline (total bilirubin > 3 gånger övre normalgränsen och oavsett ASAT-nivå) har inte studerats. Patienter med nedsatt leverfunktion vid baseline med antingen total bilirubin > 3 gånger övre normalgränsen eller albuminemi < 30 g/l och INR > 1,5 bör endast behandlas med Lutathera efter en noggrann risk‑nytta bedömning. Ingen dosjustering rekommenderas för patienter med lindrigt eller måttligt nedsatt leverfunktion vid baseline.
För ytterligare information om behandling av patienter med levertoxicitet, se Tabell 3 i avsnitt 4.2 och avsnitt 4.4.
Pediatrisk population
Säkerhet och effekt för Luthatera hos pediatriska patienter under 18 års ålder har inte fastställs. Tillgänglig information hos patienter 12 år och äldre finns i avsnitt 4.8, 5.1, 5.2 och 11 men ingen doseringsrekommendation kan fastställas.
Administreringssätt
Lutathera är avsett för intravenös användning. Det är ett bruksfärdigt radioaktivt läkemedel endast avsett för engångsbruk.
Administreringsanvisningar
Den rekommenderade dosen kan administreras intravenöst med hjälp av gravitationsmetoden, den peristaltiska pumpmetoden eller sprutpumpsmetoden. Behandlande sjukvårdspersonal kan använda andra metoder som anses lämpliga och säkra, särskilt när dosminskning krävs.
Vid användning av gravitationsmetoden eller den peristaltiska pumpmetoden ska Lutathera infuseras direkt från originalbehållaren. Den peristaltiska pumpmetoden eller sprutpumpsmetoden ska användas vid administrering av en reducerad dos av Lutathera efter dosändring vid en biverkning (se tabell 3 i avsnitt 4.2). Att använda gravitationsmetoden för att administrera en reducerad dos av Lutathera kan resultera i infusion av fel mängd Lutathera om dosen inte justeras före administrering. Försiktighetsåtgärder avseende strålsäkerhet måste övervägas oavsett vilken administreringsmetod som används (se avsnitt 6.6).
I följande tabell sammanfattas de procedurer som krävs under en behandlingskur med Lutathera:
Tabell 4 Procedur för administrering av antiemetika, aminosyralösning och Lutathera
Anvisningar om beredningsmetod av läkemedlet och intravenösadministreringsmetod finns i avsnitt 12.
För rekommendationer vid fall av extravasering, se avsnitt 4.4.
Överkänslighet mot den aktiva substansen eller mot något hjälpämne som anges i avsnitt 6.1.
Fastställd eller misstänkt graviditet eller när graviditet inte har uteslutits (se avsnitt 4.6).
Njursvikt med kreatininclearance < 30 ml/min
Individuell nytta-riskbedömning
För varje patient måste strålningsexponeringen kunna motiveras av den förväntade nyttan. Den tillförda radioaktiviteten ska i varje enskilt fall vara så låg som möjligt för att uppnå önskad behandlingseffekt.
Med tanke på verkningsmekanismen och toleransprofilen för Lutathera rekommenderas det inte att påbörja behandling med Lutathera hos patienter med somatostatinreceptor‑negativa eller blandade viscerala lesioner som bekräftats med bilddiagnostik av somatostatinreceptorerna.
Myelosuppression
På grund av risken för hematologiska biverkningar måste antalet blodkroppar övervakas vid baseline och före varje dos med Lutathera under behandlingen och tills resolution av eventuell toxicitet (se avsnitt 4.2). Patienter med nedsatt benmärgsfunktion och patienter som har fått kemoterapi eller extern strålbehandling tidigare (som involverar mer än 25 % av benmärgen) kan ha högre risk för hematologisk toxicitet under Lutathera-behandlingen. Behandling av patienter med svårt nedsatt hematologisk funktion vid baseline och under behandlingens gång (t.ex. Hb < 4,9 mmol/l eller 8 g/dl, trombocyter < 75 x 109/l eller leukocyter < 2 x 109/l rekommenderas inte om det inte enbart beror på lymfopeni.
Myelodysplastiskt syndrom och akut leukemi
Myelodysplastiskt syndrom (MDS) med sen debut och akut leukemi (AL) har observerats efter behandling med Lutathera (se avsnitt 4.8), med debut cirka 29 månader (9-45) för MDS och 55 månader (32-125) för AL efter den första Lutatherainfusionen. Etiologin för dessa behandlingsrelaterade sekundära myeloida tumörer (tMN) (therapy related secondary myeloid neoplasms) är oklar. Faktorer som ålder > 70 år, försämrad njurfunktion, cytopenier vid baseline, antal tidigare behandlingar, tidigare exponering för kemoterapeutiska medel (särskilt alkylerande medel) och tidigare strålbehandling föreslås som potentiella risker och / eller prediktiva faktorer för MDS / AL.
Njurtoxicitet
Eftersom lutetium(177Lu)oxodotreotid nästan uteslutande utsöndras via det renala systemet är samtidig administrering av en aminosyralösning innehållande aminosyrorna L-lysin och L-arginin obligatorisk. Aminosyralösningen hjälper till att minska reabsorption av lutetium(177Lu)oxodotreotid genom proximala njurtubuli, vilket resulterar i en signifikant reduktion av absorberad dos till njurarna (se avsnitt 4.2). Vid administrering av den rekommenderade samtidiga infusionen av aminosyralösning under 4 timmar har en genomsnittlig minskning i strålningsexponering av njurar på cirka 47 % rapporterats.
Patienter ska uppmanas att upprätthålla vätskebalansen genom att dricka mycket (t.ex. 1 glas vatten varje timme) och att kissa ofta före, samma dag som- och dagen efter administrering av Lutathera.
Njurfunktion fastställd med serumkreatinin, och beräknat kreatininclearance med Cockcroft Gault-formeln måste bedömas vid baseline, under och som minst det första året efter behandling (se avsnitt 4.2).
Patienter med nedsatt njurfunktion vid baseline eller med missbildningar i njur- eller urinvägarna kan ha ökad risk för toxicitet på grund av ökad strålningsexponering (se avsnitt 4,2).
För patienter med kreatininclearance < 50 ml/min bör en ökad risk för övergående hyperkalemi på grund av aminosyralösningen också beaktas (se Varning och försiktighet avseende den samtidigt administrerade njurskyddande aminosyralösningen).
Levertoxicitet
Eftersom många patienter som remitteras för behandling med Lutathera har levermetastaser kan det vara vanligt att observera patienter med förändrad leverfunktion vid baseline. Patienter med levermetastaser eller befintligt avancerad nedsatt leverfunktion kan ha en ökad risk för levertoxicitet på grund av strålningsexponering. Övervakning av ALAT, ASAT, bilirubin, serumalbumin och INR rekommenderas därför under behandling (se avsnitt 4.2).
Överkänslighetsreaktioner
Fall av överkänslighetsreaktioner (inklusive isolerade fall av angioödem) har rapporterats efter godkännande för försäljning hos patienter som behandlats med Lutathera (se avsnitt 4.8). I händelse av allvarliga överkänslighetsreaktioner ska pågående Lutathera-infusion avbrytas omedelbart. Lämpliga läkemedel och utrustning för att hantera sådana reaktioner bör finnas tillgängliga för omedelbar användning.
Illamående och kräkningar
För att förbygga illamående och kräkningar i samband med behandling ska en intravenös bolusinjektion av ett antiemetikum injiceras minst 30 minuterföre infusion av aminosyralösning påbörjas för att uppnå full antiemetisk effekt (se avsnitt 4.2).
Samtidig användning av somatostatinanaloger
Somatostatin och dess analoger binder kompetitivt till somatostatinreceptorer och kan påverka effekten av Lutathera (se avsnitt 4.5).
Neuroendokrina hormonkriser
Kriser på grund av för hög utsöndring av hormoner eller biologiskt aktiva substanser kan förekomma efter behandling med Lutathera. Därför ska sjukhusinläggning med observation övervägas för vissa patienter (t.ex. patienter med undermålig farmakologisk symtomkontroll). Vid hormonkriser rekommenderas följande behandlingar: intravenös högdos somatostatinanaloger, vätska intravenöst, kortikosteroider och korrigering av elektrolytrubbningar hos patienter med diarré och kräkningar.
Tumörlyssyndrom
Tumörlyssyndrom har rapporterats efter behandling med läkemedel innehållande lutetium-177. Patienter med anamnes på nedsatt njurfunktion och hög tumörbörda kan löpa högre risk och ska behandlas med större försiktighet. Njurfunktionen och elektrolytbalans ska utvärderas vid baslinjen och under behandlingens gång.
Strålskyddande förhållningsregler
Patienter under behandling med Lutathera ska uppehålla sig åtskilt från andra under administreringen och till dess att nedre gränser för strålningsemission enligt gällande lagar uppnåtts, vilket vanligtvis sker inom 4‑5 timmar efter att läkemedlet administrerats. Sjukvårdspersonalen avgör när patienten kan lämna det kontrollerande området på sjukhuset, dvs. när exponering för tredje part inte överskrider föreskrivna tröskelvärden.
Patienterna ska uppmanas att upprätthålla vätskebalansen genom att dricka mycket (t.ex. 1 glas vatten varje timme) och att kissa ofta före, samma dag som- och dagen efter administrering av Lutathera för att underlätta eliminering. De ska även uppmanas att tömma tarmen varje dag och att använda ett laxermedel om så behövs. Urin och avföring ska avfallshanteras i enlighet med nationella bestämmelser.
Om patientens hud inte är kontaminerad, t.ex. av läckage från infusionsaggregatet eller på grund av urininkontinens, förväntas ingen radioaktiv kontamination på huden och i uppkräkningar. Det rekommenderas dock att vidta grundläggande skyddsåtgärder vid insättning av standardvård eller undersökningar med medicintekniska produkter eller andra instrument som kommer i kontakt med huden (t.ex. elektrokardiogram [EKG]), t.ex. användning av handskar, installering av material/avledningar innan infusionen med radioaktiva läkemedlet påbörjas, byte av material/avledning efter mätning och slutligen övervakning av utrustningens radioaktivitet efter användning.
Innan patienten skrivs ut ska patienten instrueras i vilka bestämmelser avseende strålskydd som gäller vid interaktion med medlemmar i samma hushåll och allmänheten, och vilka allmänna försiktighetsåtgärder som patienten ska iaktta vid dagliga aktiviteter efter behandling (så som beskrivs i nästa stycke och i bipacksedeln) för att minimera andra personers strålningsexponering.
Efter varje administrering kan följande allmänna rekommendationer övervägas tillsammans med nationella och lokala riktlinjer och föreskrifter:
Nära kontakt (mindre än 1 meter) med andra personer ska begränsas under 7 dagar.
För barn och/eller gravida kvinnor ska nära kontakt (mindre än 1 m) begränsas till mindre än 15 minuter per dag under 7 dagar.
Patienter ska sova i ett separat sovrum under 7 dagar.
Patienter ska sova i ett separat sovrum åtskilt från barn och/eller gravida kvinnor under 15 dagar.
Rekommenderade åtgärder i händelse av extravasering
Använd vattentäta engångshandskar. Läkemedelsinfusionen måste avbrytas omedelbart och administreringsenheten (kateter, m.m.) tas bort. Läkaren och sjukhusfarmaceuten ska informeras.
Allt material som används för administrering ska sparas för mätning av kvarvarande radioaktivitet och egentlig administrerad aktivitet och för att fastställa absorberad dos. Extravaseringsområdet ska vara utmärkt med vattenfast penna och om möjligt ska en bild tas. Det rekommenderas även att anteckna tidpunkten för extravasering och den uppskattade extravaserade volymen.
För att fortsätta med Lutathera-infusion är det obligatoriskt att använda en ny kateter och eventuellt placera den i en kontralateral venös infart.
Inga ytterligare läkemedel kan administreras på samma sida som extravaseringen förekom.
För att påskynda läkemedelsdispersion och för att förhindra stagnation i vävnad rekommenderas att öka blodflödet genom att den berörda armen höjs. Beroende på det enskilda fallet, överväg aspiration av extravaserad vätska, spolning med natriumklorid 9 mg/ml (0,9 %) injektionsvätska, lösning eller applicering av en varm kompress eller värmedyna på infusionsstället för att påskynda kärlutvidgning.
Symtom, särskilt inflammation och/eller smärta ska behandlas. Beroende på situationen ska läkaren informera patienten om risker i samband med extravaseringsskada och ge rådgivning om eventuell behandling och nödvändiga krav på uppföljning. Extravaseringsområdet måste övervakas tills patienten skrivs ut från sjukhuset. Beroende på dess svårighetsgrad ska händelsen uppges som en biverkning.
Patienter med urininkontinens
Under de första 2 dagarna efter administrering av detta läkemedel ska särskilda försiktighetsåtgärder vidtas med patienter med urininkontinens för att undvika spridning av radioaktiv kontaminering. Detta omfattar hantering av allt material som möjligen kontaminerats med urin.
Patienter med hjärnmetastaser
Det finns inga data avseende effekt hos patienter med konstaterade hjärnmetastaser och individuell nytta-riskbedömning måste utföras hos dessa patienter.
Sekundära maligna tumörer
Exponering för joniserande strålning förknippas med framkallandet av cancer och en potential för utveckling av ärftliga defekter. Den resulterade strålningsdosen från terapeutisk exponering kan resultera i en högre incidens av cancer eller mutationer. I samtliga fall är det nödvändigt att säkerställa att riskerna med strålningsexponering är mindre än dem från själva sjukdomen.
Andra patienter med riskfaktorer
Patienter som uppvisar något av nedanstående tillstånd är mer benägen att utveckla biverkningar. Det rekommenderas därför att övervaka sådana patienter oftare under behandlingen. Se tabell 3 vid dosjustering av toxicitet.
Skelettmetastaser;
Tidigare onkologiska radiometaboliska terapier med 131I-föreningar eller någon annan terapi med oskyddade radioaktiva källor;
Historik av andra maligna tumörer såvida inte patienten anses ha varit i remission i minst 5 år.
Preventivmedel hos män och kvinnor
Kvinnliga patienter i fertil ålder bör rekommenderas att använda effektivt preventivmedel under behandlingen och i 7 månader efter den sista dosen av Lutathera (se avsnitt 4.6).
Manliga patienter med kvinnlig partner i fertil ålder bör rekommenderas att använda effektivt preventivmedel under behandlingen och i 4 månader efter den sista dosen av Lutathera (se avsnitt 4.6).
Specifika varningar och försiktighetsåtgärder avseende den samtidigt administrerade njurskyddande aminosyralösningen
Hyperkalemi
En övergående ökning av serumkaliumnivåer kan förekomma hos patienter som får arginin och lysin, som vanligtvis återgår till normala nivåer inom 24 timmar efter initieringen av aminosyrainfusionen. Patienter med minskat kreatininclearance kan löpa ökad risk för övergående hyperkalemi (se ”Njurtoxicitet” i avsnitt 4.4).
Serumkaliumnivåer måste testas före varje administration av aminosyralösning. Vid hyperkalemi ska patientens anamnes på hyperkalemi och samtidig medicinering kontrolleras. Hyperkalemi måste korrigeras i enlighet med detta innan infusionen påbörjas.
Vid redan existerande kliniskt signifikant hyperkalemi, måste en andra mätning före infusion med aminosyralösning bekräfta att den tidigare konstaterade hyperkalemin har korrigerats. Patienten ska övervakas noggrant med avseende på tecken och symtom på hyperkalemi, t.ex. dyspné, svaghet, domningar, bröstsmärta och hjärtmanifestationer (konduktionsstörningar och hjärtarytmier). Ett EKG bör tas innan patienten skrivs ut.
Vitala tecken ska övervakas under infusionen oavsett serumkaliumnivå vid baseline. Patienterna ska uppmanas att upprätthålla vätskebalansen genom att dricka mycket (t.ex. 1 glas vatten varje timme) och att kissa ofta före, samma dag som- och dagen efter administrering av Lutathera för att underlätta eliminering av för höga mängder serumkalium.
Om symtom på hyperkalemi utvecklas under infusion med aminosyralösning måste lämpliga korrigerande åtgärder vidtas. Vid allvarlig symtomatisk hyperkalemi bör utsättning av aminosyralösning övervägas, där hänsyn tas till nyttan med skydd för njurarna vägd mot risken för hyperkalemi.
Hjärtsvikt
På grund av risken för kliniska komplikationer relaterade till volymöverbelastning bör försiktighet iakttas vid användning av arginin och lysin hos patienter med svår hjärtsvikt definierad som klass III eller klass IV i NYHA (New York Heart Association) -klassificeringen. Patienter med svår hjärtsvikt definierad som klass III eller klass IV i NYHA-klassificeringen ska endast behandlas efter en noggrann bedömning av nytta-risk, med hänsyn till aminosyralösningens volym och osmolalitet.
Metabolisk acidos
Metabolisk acidos har observerats med komplexa aminosyralösningar som administreras som en del av behandling med total parenteral nutrition (TPN). Förändringar i syra-basbalansen förändrar balansen mellan extracellulärt-intracellulärt kalium och utvecklingen av acidos kan associeras med snabba ökningar av plasmakalium.
Särskilda varningar
Innehåll av natrium
Detta läkemedel innehåller upp till 3,5 mmol (81,1 mg) natrium per injektionsflaska, motsvararande 4 % av WHOs högsta rekommenderat dagliga intag (2 g natrium för vuxna).
För försiktighetsåtgärder med hänsyn till miljöpåverkan, se avsnitt 6.6.
Somatostatinanaloger
Somatostatin och dess analoger binds kompetitivt till somatostatinreceptorer och kan påverka effekten av Lutathera. Administrering av långverkande somatostatinanaloger ska därför undvikas inom 30 dagar före administrering av detta läkemedel. Vid behov kan patienter få behandling med kortverkande somatostatinanaloger upp till 24 timmar före administrering av Lutathera.
Glukokortikoider
Det finns vissa belägg för att glukokortikoider kan orsaka nedreglering av somatostatinreceptorer av subtyp 2 (SSTR2-receptorer). Därför ska upprepad administrering av höga doser glukokortikoider som en försiktighetsåtgärd undvikas under behandling med Lutathera. Patienter med kronisk användning av glukokortikoider i anamnesen ska utredas noga för tillräckligt somatostatinreceptoruttryck. Det är inte känt om intermittent användning av glukokortikoider för att förebygga illamående och kräkningar under administrering av Lutathera kan inducera nedreglering av SSTR2. Som försiktighetsåtgärd ska glukokortikoider även undvikas som förebyggande antiemetikum-behandling. I händelse av att behandlingen som ges för att förebygga illamående och kräkningar före infusionen av aminosyralösning visar sig vara otillräcklig kan en enkeldos av glukokortikoider ges så länge den inte ges före påbörjad infusion eller inom en timme efter avslutad infusion med Lutathera.
Fertila kvinnor
När radioaktiva läkemedel ska administreras till en fertil kvinna är det viktigt att avgöra om hon är gravid eller inte. Varje kvinna som har en utebliven menstruationsblödning bör betraktas som gravid tills motsatsen har bevisats. Om det finns tvivel beträffande kvinnans eventuella graviditet (utebliven menstruation, oregelbunden menstruation osv.) bör alternativa tekniker utan joniserande strålning (i förekommande fall) erbjudas patienten. Innan Lutathera används ska graviditet uteslutas med ett adekvat/validerat test.
Preventivmedel hos män och kvinnor
Lutathera kan orsaka fostretskador vid administrering till en gravid kvinna.
Kvinnliga patienter i fertil ålder bör informeras om att använda effektiva preventivmedel under behandlingen och i 7 månader efter den sista dosen av Lutathera.
Manliga patienter med kvinnlig partner i fertil ålder bör informeras om att använda effektiva preventivmedel under behandlingen och i 4 månader efter den sista dosen av Lutathera.
Graviditet
Inga reproduktionsstudier med lutetium(177Lu)oxodotreotid har utförts på djur.
Radionuklidförfaranden med gravida kvinnor innefattar även en strålningsdos till fostret. Användning av Lutathera är kontraindicerad under konstaterad eller misstänkt graviditet eller när graviditet inte har uteslutits, på grund av risken associerad med joniserande strålning (se avsnitt 4.3). Gravida kvinnor ska informeras om risken för fostret.
Amning
Det är inte känt om lutetium(177Lu)oxodotreotid utsöndras i bröstmjölk.
En risk för det ammande barnet i samband med joniserande strålning kan inte uteslutas.
Amning ska undvikas under behandling med detta läkemedel. Om behandling med Lutathera under amning är nödvändig måste amningen upphöra.
Fertilitet
Inga djurstudier har utförts för att fastställa effekterna av lutetium(177Lu)oxodotreotid på fertiliteten hos män och kvinnor. Joniserade strålning av lutetium(177Lu)oxodotreotid kan potentiellt ha tillfälliga toxiska effekter på kvinnliga och manliga könskörtlar. Genetisk rådgivning rekommenderas om patienten önskar ha barn efter behandling. Nedfrysning av sperma eller ägg kan diskuteras som ett alternativ för patienter före behandling.
Lutathera har ingen eller försumbar effekt på förmågan att framföra fordon och använda maskiner. Patientens allmäntillstånd och eventuella biverkningar måste likväl beaktas före framförande av fordon eller användning av maskiner.
Sammanfattning av säkerhetsprofilen
Den övergripande säkerhetsprofilen för Lutathera är baserad på poolade data från patienter från kliniska studier (NETTER‑1 fas III och Erasmus fas I/II holländska patienter), samt data från NETTER-P fas II studien och s.k. compassionate use-program (dvs. då läkemedlet ställts till förfogande av humanitära skäl).
De vanligaste biverkningarna hos patienter som får behandling med Lutathera var illamående och kräkning vilket uppträdde i början av infusionen hos 58,9 % respektive 45,5 % av patienterna. Orsaken till illamående/kräkning maskeras delvis av den emetiska effekten av den samtidiga aminosyralösningen som administreras för att skydda njurarna.
På grund av Lutatheras benmärgstoxicitet var de mest förväntade biverkningarna relaterade till hematologisk toxicitet: trombocytopeni (25 %), lymfopeni (22,3 %), anemi (13,4 %), pancytopeni (10,2 %).
Andra mycket vanliga biverkningar som rapporterats inkluderade trötthet (27,7 %) och minskad aptit (13,4 %).
Vid tidpunkten för slutanalysen för NETTER-1, efter en medianuppföljningstid på 76 månader i varje studiearm, förblev säkerhetsprofilen förenlig med den som tidigare rapporterats.
Lista över biverkningar i tabellform
I Tabell 5 listas biverkningarna efter frekvens enligt MedDRA-systemet för klassificering av organsystem. Frekvenserna definieras enligt följande: mycket vanliga (≥ 1/10), vanliga (≥ 1/100, < 1/10); mindre vanliga (≥ 1/1 000, < 1/100); sällsynta (≥ 1/10 000, < 1/1 000); mycket sällsynta (< 1/10 000), ingen känd frekvens (kan inte beräknas från tillgängliga data).
Tabell 5 Frekvens av biverkningar rapporterade från kliniska studier och från bevakning efter marknadsföring
1 Omfattar asteni och trötthet
2 Omfattar trombocytopeni och minskat antal trombocyter
3 Omfattar lymfopeni och minskat antal lymfocyter
4 Omfattar anemi och minskad mängd hemoglobin
5 Omfattar leukopeni och minskat antal leukocyter
6 Omfattar neutropeni och minskat antal neutrofiler
7 Omfattar hypertoni och hyperton kris
8 Omfattar artralgi, smärta i extremitet, ryggsmärta, skelettsmärta, flanksmärta, muskuloskeletal bröstsmärta och halssmärta
9 Omfattar förhöjt bilirubin i blodet och hyperbilirubinemi
10 Omfattar huvudvärk och migrän
11 Omfattar reaktion vid injektionsstället, överkänslighet vid injektionsstället, förhårdnad vid injektionsstället och svullnad vid injektionsstället
* Gammaglutamyltransferas
**Alaninaminotransferas
***Aspartataminotransferas
****Alkaliskt fosfatas
Beskrivning av utvalda biverkningar
Myelosuppression
Mestadels mild/måttlig benmärgstoxicitet (myelo-/hematotoxicitet) som uppträder med reversibel/övergående minskning i antalet blodkroppar av alla cellstammar (cytopenier i alla kombinationer, dvs. pancytopeni, bicytopenier, isolerade monocytopenier – anemi, neutropeni, lymfocytopeni och trombocytopeni). Trots en observerad signifikant selektiv minskning i B-celler förekommer ingen ökad frekvens av infektiösa komplikationer efter peptidreceptor-radionuklidterapi (PRRT). Fall av irreversibla hematologiska sjukdomstillstånd, dvs. premaligna och maligna blodtumörer (dvs. myelodysplastiskt syndrom respektive akut myeloid leukemi) har rapporterats efter behandling med Lutathera.
I NETTER 1 inträffade lägsta värdet (nadir) av trombocyter 5,1 månader i median efter den första dosen. Av de 59 patienterna som utvecklade trombocytopeni hade 68 % återhämtning av trombocytnivån till baslinjen eller normala nivåer. Mediantiden till återhämtning av trombocyter var 2 månader. Hos 15 av de 19 patienterna som man inte kunde dokumentera någon trombocytåterhämtning hos, var trombocytprover tagna efter lägsta värdet (nadir).
Njurtoxicitet
Lutetium(177Lu)oxodotreotid utsöndrats via njurarna.
Långtidstrenden med progressiv försämring av glomerulär filtrationsfunktion som vistats i kliniska prövningar bekräftar att Lutathera-relaterad nefropati är en kronisk njursjukdom som utvecklas under månader eller år efter exponering. En individuell nytta-riskbedömning rekommenderas före behandling med Lutathera hos patienter med lätt till måttligt nedsatt njurfunktion. Ytterligare information om detta finns i avsnitt 4.2 (Tabell 3 och underrubriken “Nedsatt njurfunktion”) och avsnitt 4.4. Användning av Lutathera är kontraindicerad för patienter med allvarlig njursvikt med kreatininclearance < 30 ml/min (se avsnitt 4.3).
Neuroendokrina hormonkriser
Sällsynta fall av hormonkriser relaterade till frisättning av bioaktiva substanser (sannolikt på grund av neuroendokrin tumörlys) har observerats och gått tillbaka efter lämplig medicinsk behandling (se avsnitt 4.4).
Pediatrisk population
Baserat på publicerad litteratur och kliniska data från 11 ungdomar med somatostatinreceptorpositiv GEP-NET eller feokromocytom eller paragangliom (PPGL) inkluderade i NETTER-P, rapporterades inga nya säkerhetssignaler.
Överdosering med Lutathera är osannolik, eftersom detta läkemedel tillhandahålls som en engångsdos och som ett bruksfärdigt läkemedel innehållande en förutbestämd mängd radioaktivitet administrerat av personer som är behöriga att hantera radiofarmaka efter att patienten utvärderats av en kvalificerad läkare. I händelse av en överdos förväntas en ökad frekvens av biverkningar relaterade till radiotoxicitet.
I händelse av att en strålningsöverdos med Lutathera administreras ska den absorberade dosen till patienten reduceras om det är möjligt genom att öka elimineringen av radionukliden ur kroppen genom täta miktioner eller genom forcerad diures och täta blåstömningar under de första 48 timmarna efter infusionen. Det kan underlätta att uppskatta den effektiva dosen som administrerades.
Följande laboratorietester ska utföras varje vecka under de följande 10 veckorna:
hematologisk övervakning: leukocyter med differentialräkning, trombocyter och hemoglobin
övervakning av blodkemi: serumkreatinin och glykemi.
Lutathera är avsett för behandling av inoperabla eller metastaserande, progredierande, väl differentierade (G1 och G2), somatostatinreceptorpositiva gastroenteropankreatiska neuroendokrina tumörer (GEP-NET) hos vuxna.
Viktiga säkerhetsanvisningar
Lutathera ska endast administreras av personal som är behörig att hantera radioaktiva läkemedel i en för ändamålet avsedd klinisk miljö (se avsnitt 6.6) och efter utvärdering av patienten av en kvalificerad läkare.
Identifiering av patient
Innan behandling med Lutathera inleds måste överuttryck av somatostatinreceptor i tumörvävnad med ett tumörupptag minst lika högt som normalt upptag i levern bekräftas med bilddiagnostik (scintigrafi eller positronemissionstomografi [PET]).
Dosering
Vuxna
Rekommenderad behandlingsregim med Lutathera hos vuxna består av 4 infusioner på 7 400 MBq vardera. Rekommenderat intervall mellan varje administreringstillfälle är 8 veckor (±1 vecka).
Information om dosändringar för att hantera allvarliga eller intolerabla biverkningar ges i respektive avsnitt nedan.
Aminosyralösning
I syfte att skydda njurarna måste en aminosyralösning som innehåller L-lysin och L-arginin administreras intravenöst under 4 timmar (se sammansättningen i tabellerna 1 och 2). Infusionen av aminosyralösningen ska påbörjas 30 minuter innan Lutathera-infusionen startar. Infusion av aminosyralösningen och Lutathera genom en separat venös infart i var och en av patientens armar är den metod som är att föredra. Om två intravenösa infarter inte är möjliga på grund av dålig åtkomst av vener eller andra lokala riktlinjer/ klinisk praxis kan aminosyralösningen och Lutathera infuseras genom samma infart via en trevägskran, med hänsyn till flödeshastighet och upprätthållande av den venösa infarten. Dosen av aminosyralösningen bör inte minskas även om en minskad dos av Lutathera administreras.
En aminosyralösning innehållande endast L-lysin och L-arginin som specificeras i tabell 1 är den läkemedelsberedning som är att föredra på grund av den lägre totala infusionsvolymen samt den lägre osmolaliteten.
Aminosyralösningen kan beredas som en läkemedelsberedning, enligt god sed för steril beredning av läkemedel på sjukhuset och enligt sammansättningen specificerad i Tabell 1.
Tabell 1 Sammansättning av den kombinerade aminosyralösningen
Alternativt kan kommersiellt tillgängliga aminosyralösningar användas om dessa uppfyller specifikationerna som beskrivs i Tabell 2.
Tabell 2 Specifikationer för kommersiellt tillgängliga aminosyralösningar
Övervakning av behandling
Före varje administrering och under behandlingen med Lutathera krävs laboratorietester för att utvärdera patientens tillstånd och anpassa det terapeutiska protokollet vid behov (dos, infusionsintervall, antal infusioner) (se tabell 3).
Som minst måste laboratorietester utföras för:
hematologi (hemoglobin [Hb], leukocytantal med differentialräkning, trombocytantal)
njurfunktion (serumkreatinin och kreatininclearance beräknad med Cockcroft-Gault-formeln)
leverfunktion (alaninaminotransferas [ALAT], aspartataminotransferas [ASAT], serumalbumin, internationell normaliserad kvot (INR) och bilirubin)
Dessa laboratorietester ska utföras minst en gång under perioden 2 till 4 veckor före administrering och strax före administreringen. Det rekommenderas att även utföra dessa tester var 4:e vecka i minst 3 månader efter den senaste infusionen Lutathera och därefter var 6:e månad, för att upptäcka eventuella fördröjda biverkningar (se avsnitt 4.8). Dosen kan behöva ändras baserat på testresultaten (se tabell 3).
Dosändring
Hantering av allvarliga eller intolerabla biverkningar kan kräva ett tillfälligt uppehåll av behandlingen (förlängning av dosintervallet från 8 veckor till 16 veckor), att dosen reduceras eller att behandlingen med Lutathera avbryts helt (se Tabell 3 och Figur 1).
Tabell 3 Rekommenderade dosjusteringar av Lutathera vid biverkningar
Figur 1 Översikt över dosändringsanvisningar
DMT: Dosändringstoxicitet (Dose modifying toxicity)
Andra skäl att överväga tillfälligt dosavbrott av Lutathera inkluderar förekomst av en annan samtidig sjukdom (t.ex. urinvägsinfektion), som läkaren bedömer kan öka riskerna i samband med administrering av Lutathera, och som bör vara läkt eller stabiliserad för att behandlingen ska återupptas, eller i samband med större operationer, vid vilka man ska avvakta behandlingen i 12 veckor efter operationsdagen.
Särskilda populationer
Äldre
Ingen dosjustering krävs för patienter 65 år eller äldre då klinisk erfarenhet inte har fastställt skillnader i svar mellan äldre och yngre patienter. Eftersom en ökad risk för hematotoxicitet har beskrivits hos äldre patienter (≥ 70 års ålder) är dock noggrann uppföljning som tillåter snabb dosjustering (DMT) tillrådlig.
Nedsatt njurfunktion
Aktiviteten som ska administreras till patienter med nedsatt njurfunktion måste övervägas noga eftersom en ökad strålningsexponering är möjlig hos dessa patienter. Den farmakokinetiska profilen och säkerheten för lutetium(177Lu)oxodotreotid hos patienter med allvarlig njursjukdom vid baseline (kreatininclearance < 30 ml/min beräknat med Cockcroft-Gault-formeln) eller njursjukdom i slutstadiet har inte studerats. Behandling med Lutathera hos patienter med njursvikt med kreatininclearance < 30 ml/min är kontraindicerad (se avsnitt 4.3). Behandling med Lutathera hos patienter med kreatininclearance < 40 ml/min (beräknat med Cockcroft Gault-formeln) rekommenderas inte. Ingen dosjustering rekommenderas för patienter med nedsatt njurfunktion med kreatininclearance ≥ 40 ml/min vid baseline. Eftersom det har konstaterats att detta läkemedel i stor utsträckning utsöndras av njurarna ska njurfunktionen kontrolleras oftare under behandling eftersom dessa patienter kan löpa större risk för toxicitet.
För ytterligare uppgifter om behandling av patienter med njurtoxicitet, se Tabell 3 i avsnitt 4.2 och avsnitt 4.4.
Nedsatt leverfunktion
Aktiviteten som ska administreras till patienter med nedsatt leverfunktion måste övervägas noga eftersom en ökad strålningsexponering är möjlig hos dessa patienter. Varken den farmakokinetiska profilen eller säkerhetsprofilen för lutetium(177Lu)oxodotreotid hos patienter med kraftigt nedsatt leverfunktion vid baseline (total bilirubin > 3 gånger övre normalgränsen och oavsett ASAT-nivå) har inte studerats. Patienter med nedsatt leverfunktion vid baseline med antingen total bilirubin > 3 gånger övre normalgränsen eller albuminemi < 30 g/l och INR > 1,5 bör endast behandlas med Lutathera efter en noggrann risk‑nytta bedömning. Ingen dosjustering rekommenderas för patienter med lindrigt eller måttligt nedsatt leverfunktion vid baseline.
För ytterligare information om behandling av patienter med levertoxicitet, se Tabell 3 i avsnitt 4.2 och avsnitt 4.4.
Pediatrisk population
Säkerhet och effekt för Luthatera hos pediatriska patienter under 18 års ålder har inte fastställs. Tillgänglig information hos patienter 12 år och äldre finns i avsnitt 4.8, 5.1, 5.2 och 11 men ingen doseringsrekommendation kan fastställas.
Administreringssätt
Lutathera är avsett för intravenös användning. Det är ett bruksfärdigt radioaktivt läkemedel endast avsett för engångsbruk.
Administreringsanvisningar
Den rekommenderade dosen kan administreras intravenöst med hjälp av gravitationsmetoden, den peristaltiska pumpmetoden eller sprutpumpsmetoden. Behandlande sjukvårdspersonal kan använda andra metoder som anses lämpliga och säkra, särskilt när dosminskning krävs.
Vid användning av gravitationsmetoden eller den peristaltiska pumpmetoden ska Lutathera infuseras direkt från originalbehållaren. Den peristaltiska pumpmetoden eller sprutpumpsmetoden ska användas vid administrering av en reducerad dos av Lutathera efter dosändring vid en biverkning (se tabell 3 i avsnitt 4.2). Att använda gravitationsmetoden för att administrera en reducerad dos av Lutathera kan resultera i infusion av fel mängd Lutathera om dosen inte justeras före administrering. Försiktighetsåtgärder avseende strålsäkerhet måste övervägas oavsett vilken administreringsmetod som används (se avsnitt 6.6).
I följande tabell sammanfattas de procedurer som krävs under en behandlingskur med Lutathera:
Tabell 4 Procedur för administrering av antiemetika, aminosyralösning och Lutathera
Anvisningar om beredningsmetod av läkemedlet och intravenösadministreringsmetod finns i avsnitt 12.
För rekommendationer vid fall av extravasering, se avsnitt 4.4.
Överkänslighet mot den aktiva substansen eller mot något hjälpämne som anges i avsnitt 6.1.
Fastställd eller misstänkt graviditet eller när graviditet inte har uteslutits (se avsnitt 4.6).
Njursvikt med kreatininclearance < 30 ml/min
Individuell nytta-riskbedömning
För varje patient måste strålningsexponeringen kunna motiveras av den förväntade nyttan. Den tillförda radioaktiviteten ska i varje enskilt fall vara så låg som möjligt för att uppnå önskad behandlingseffekt.
Med tanke på verkningsmekanismen och toleransprofilen för Lutathera rekommenderas det inte att påbörja behandling med Lutathera hos patienter med somatostatinreceptor‑negativa eller blandade viscerala lesioner som bekräftats med bilddiagnostik av somatostatinreceptorerna.
Myelosuppression
På grund av risken för hematologiska biverkningar måste antalet blodkroppar övervakas vid baseline och före varje dos med Lutathera under behandlingen och tills resolution av eventuell toxicitet (se avsnitt 4.2). Patienter med nedsatt benmärgsfunktion och patienter som har fått kemoterapi eller extern strålbehandling tidigare (som involverar mer än 25 % av benmärgen) kan ha högre risk för hematologisk toxicitet under Lutathera-behandlingen. Behandling av patienter med svårt nedsatt hematologisk funktion vid baseline och under behandlingens gång (t.ex. Hb < 4,9 mmol/l eller 8 g/dl, trombocyter < 75 x 109/l eller leukocyter < 2 x 109/l rekommenderas inte om det inte enbart beror på lymfopeni.
Myelodysplastiskt syndrom och akut leukemi
Myelodysplastiskt syndrom (MDS) med sen debut och akut leukemi (AL) har observerats efter behandling med Lutathera (se avsnitt 4.8), med debut cirka 29 månader (9-45) för MDS och 55 månader (32-125) för AL efter den första Lutatherainfusionen. Etiologin för dessa behandlingsrelaterade sekundära myeloida tumörer (tMN) (therapy related secondary myeloid neoplasms) är oklar. Faktorer som ålder > 70 år, försämrad njurfunktion, cytopenier vid baseline, antal tidigare behandlingar, tidigare exponering för kemoterapeutiska medel (särskilt alkylerande medel) och tidigare strålbehandling föreslås som potentiella risker och / eller prediktiva faktorer för MDS / AL.
Njurtoxicitet
Eftersom lutetium(177Lu)oxodotreotid nästan uteslutande utsöndras via det renala systemet är samtidig administrering av en aminosyralösning innehållande aminosyrorna L-lysin och L-arginin obligatorisk. Aminosyralösningen hjälper till att minska reabsorption av lutetium(177Lu)oxodotreotid genom proximala njurtubuli, vilket resulterar i en signifikant reduktion av absorberad dos till njurarna (se avsnitt 4.2). Vid administrering av den rekommenderade samtidiga infusionen av aminosyralösning under 4 timmar har en genomsnittlig minskning i strålningsexponering av njurar på cirka 47 % rapporterats.
Patienter ska uppmanas att upprätthålla vätskebalansen genom att dricka mycket (t.ex. 1 glas vatten varje timme) och att kissa ofta före, samma dag som- och dagen efter administrering av Lutathera.
Njurfunktion fastställd med serumkreatinin, och beräknat kreatininclearance med Cockcroft Gault-formeln måste bedömas vid baseline, under och som minst det första året efter behandling (se avsnitt 4.2).
Patienter med nedsatt njurfunktion vid baseline eller med missbildningar i njur- eller urinvägarna kan ha ökad risk för toxicitet på grund av ökad strålningsexponering (se avsnitt 4,2).
För patienter med kreatininclearance < 50 ml/min bör en ökad risk för övergående hyperkalemi på grund av aminosyralösningen också beaktas (se Varning och försiktighet avseende den samtidigt administrerade njurskyddande aminosyralösningen).
Levertoxicitet
Eftersom många patienter som remitteras för behandling med Lutathera har levermetastaser kan det vara vanligt att observera patienter med förändrad leverfunktion vid baseline. Patienter med levermetastaser eller befintligt avancerad nedsatt leverfunktion kan ha en ökad risk för levertoxicitet på grund av strålningsexponering. Övervakning av ALAT, ASAT, bilirubin, serumalbumin och INR rekommenderas därför under behandling (se avsnitt 4.2).
Överkänslighetsreaktioner
Fall av överkänslighetsreaktioner (inklusive isolerade fall av angioödem) har rapporterats efter godkännande för försäljning hos patienter som behandlats med Lutathera (se avsnitt 4.8). I händelse av allvarliga överkänslighetsreaktioner ska pågående Lutathera-infusion avbrytas omedelbart. Lämpliga läkemedel och utrustning för att hantera sådana reaktioner bör finnas tillgängliga för omedelbar användning.
Illamående och kräkningar
För att förbygga illamående och kräkningar i samband med behandling ska en intravenös bolusinjektion av ett antiemetikum injiceras minst 30 minuterföre infusion av aminosyralösning påbörjas för att uppnå full antiemetisk effekt (se avsnitt 4.2).
Samtidig användning av somatostatinanaloger
Somatostatin och dess analoger binder kompetitivt till somatostatinreceptorer och kan påverka effekten av Lutathera (se avsnitt 4.5).
Neuroendokrina hormonkriser
Kriser på grund av för hög utsöndring av hormoner eller biologiskt aktiva substanser kan förekomma efter behandling med Lutathera. Därför ska sjukhusinläggning med observation övervägas för vissa patienter (t.ex. patienter med undermålig farmakologisk symtomkontroll). Vid hormonkriser rekommenderas följande behandlingar: intravenös högdos somatostatinanaloger, vätska intravenöst, kortikosteroider och korrigering av elektrolytrubbningar hos patienter med diarré och kräkningar.
Tumörlyssyndrom
Tumörlyssyndrom har rapporterats efter behandling med läkemedel innehållande lutetium-177. Patienter med anamnes på nedsatt njurfunktion och hög tumörbörda kan löpa högre risk och ska behandlas med större försiktighet. Njurfunktionen och elektrolytbalans ska utvärderas vid baslinjen och under behandlingens gång.
Strålskyddande förhållningsregler
Patienter under behandling med Lutathera ska uppehålla sig åtskilt från andra under administreringen och till dess att nedre gränser för strålningsemission enligt gällande lagar uppnåtts, vilket vanligtvis sker inom 4‑5 timmar efter att läkemedlet administrerats. Sjukvårdspersonalen avgör när patienten kan lämna det kontrollerande området på sjukhuset, dvs. när exponering för tredje part inte överskrider föreskrivna tröskelvärden.
Patienterna ska uppmanas att upprätthålla vätskebalansen genom att dricka mycket (t.ex. 1 glas vatten varje timme) och att kissa ofta före, samma dag som- och dagen efter administrering av Lutathera för att underlätta eliminering. De ska även uppmanas att tömma tarmen varje dag och att använda ett laxermedel om så behövs. Urin och avföring ska avfallshanteras i enlighet med nationella bestämmelser.
Om patientens hud inte är kontaminerad, t.ex. av läckage från infusionsaggregatet eller på grund av urininkontinens, förväntas ingen radioaktiv kontamination på huden och i uppkräkningar. Det rekommenderas dock att vidta grundläggande skyddsåtgärder vid insättning av standardvård eller undersökningar med medicintekniska produkter eller andra instrument som kommer i kontakt med huden (t.ex. elektrokardiogram [EKG]), t.ex. användning av handskar, installering av material/avledningar innan infusionen med radioaktiva läkemedlet påbörjas, byte av material/avledning efter mätning och slutligen övervakning av utrustningens radioaktivitet efter användning.
Innan patienten skrivs ut ska patienten instrueras i vilka bestämmelser avseende strålskydd som gäller vid interaktion med medlemmar i samma hushåll och allmänheten, och vilka allmänna försiktighetsåtgärder som patienten ska iaktta vid dagliga aktiviteter efter behandling (så som beskrivs i nästa stycke och i bipacksedeln) för att minimera andra personers strålningsexponering.
Efter varje administrering kan följande allmänna rekommendationer övervägas tillsammans med nationella och lokala riktlinjer och föreskrifter:
Nära kontakt (mindre än 1 meter) med andra personer ska begränsas under 7 dagar.
För barn och/eller gravida kvinnor ska nära kontakt (mindre än 1 m) begränsas till mindre än 15 minuter per dag under 7 dagar.
Patienter ska sova i ett separat sovrum under 7 dagar.
Patienter ska sova i ett separat sovrum åtskilt från barn och/eller gravida kvinnor under 15 dagar.
Rekommenderade åtgärder i händelse av extravasering
Använd vattentäta engångshandskar. Läkemedelsinfusionen måste avbrytas omedelbart och administreringsenheten (kateter, m.m.) tas bort. Läkaren och sjukhusfarmaceuten ska informeras.
Allt material som används för administrering ska sparas för mätning av kvarvarande radioaktivitet och egentlig administrerad aktivitet och för att fastställa absorberad dos. Extravaseringsområdet ska vara utmärkt med vattenfast penna och om möjligt ska en bild tas. Det rekommenderas även att anteckna tidpunkten för extravasering och den uppskattade extravaserade volymen.
För att fortsätta med Lutathera-infusion är det obligatoriskt att använda en ny kateter och eventuellt placera den i en kontralateral venös infart.
Inga ytterligare läkemedel kan administreras på samma sida som extravaseringen förekom.
För att påskynda läkemedelsdispersion och för att förhindra stagnation i vävnad rekommenderas att öka blodflödet genom att den berörda armen höjs. Beroende på det enskilda fallet, överväg aspiration av extravaserad vätska, spolning med natriumklorid 9 mg/ml (0,9 %) injektionsvätska, lösning eller applicering av en varm kompress eller värmedyna på infusionsstället för att påskynda kärlutvidgning.
Symtom, särskilt inflammation och/eller smärta ska behandlas. Beroende på situationen ska läkaren informera patienten om risker i samband med extravaseringsskada och ge rådgivning om eventuell behandling och nödvändiga krav på uppföljning. Extravaseringsområdet måste övervakas tills patienten skrivs ut från sjukhuset. Beroende på dess svårighetsgrad ska händelsen uppges som en biverkning.
Patienter med urininkontinens
Under de första 2 dagarna efter administrering av detta läkemedel ska särskilda försiktighetsåtgärder vidtas med patienter med urininkontinens för att undvika spridning av radioaktiv kontaminering. Detta omfattar hantering av allt material som möjligen kontaminerats med urin.
Patienter med hjärnmetastaser
Det finns inga data avseende effekt hos patienter med konstaterade hjärnmetastaser och individuell nytta-riskbedömning måste utföras hos dessa patienter.
Sekundära maligna tumörer
Exponering för joniserande strålning förknippas med framkallandet av cancer och en potential för utveckling av ärftliga defekter. Den resulterade strålningsdosen från terapeutisk exponering kan resultera i en högre incidens av cancer eller mutationer. I samtliga fall är det nödvändigt att säkerställa att riskerna med strålningsexponering är mindre än dem från själva sjukdomen.
Andra patienter med riskfaktorer
Patienter som uppvisar något av nedanstående tillstånd är mer benägen att utveckla biverkningar. Det rekommenderas därför att övervaka sådana patienter oftare under behandlingen. Se tabell 3 vid dosjustering av toxicitet.
Skelettmetastaser;
Tidigare onkologiska radiometaboliska terapier med 131I-föreningar eller någon annan terapi med oskyddade radioaktiva källor;
Historik av andra maligna tumörer såvida inte patienten anses ha varit i remission i minst 5 år.
Preventivmedel hos män och kvinnor
Kvinnliga patienter i fertil ålder bör rekommenderas att använda effektivt preventivmedel under behandlingen och i 7 månader efter den sista dosen av Lutathera (se avsnitt 4.6).
Manliga patienter med kvinnlig partner i fertil ålder bör rekommenderas att använda effektivt preventivmedel under behandlingen och i 4 månader efter den sista dosen av Lutathera (se avsnitt 4.6).
Specifika varningar och försiktighetsåtgärder avseende den samtidigt administrerade njurskyddande aminosyralösningen
Hyperkalemi
En övergående ökning av serumkaliumnivåer kan förekomma hos patienter som får arginin och lysin, som vanligtvis återgår till normala nivåer inom 24 timmar efter initieringen av aminosyrainfusionen. Patienter med minskat kreatininclearance kan löpa ökad risk för övergående hyperkalemi (se ”Njurtoxicitet” i avsnitt 4.4).
Serumkaliumnivåer måste testas före varje administration av aminosyralösning. Vid hyperkalemi ska patientens anamnes på hyperkalemi och samtidig medicinering kontrolleras. Hyperkalemi måste korrigeras i enlighet med detta innan infusionen påbörjas.
Vid redan existerande kliniskt signifikant hyperkalemi, måste en andra mätning före infusion med aminosyralösning bekräfta att den tidigare konstaterade hyperkalemin har korrigerats. Patienten ska övervakas noggrant med avseende på tecken och symtom på hyperkalemi, t.ex. dyspné, svaghet, domningar, bröstsmärta och hjärtmanifestationer (konduktionsstörningar och hjärtarytmier). Ett EKG bör tas innan patienten skrivs ut.
Vitala tecken ska övervakas under infusionen oavsett serumkaliumnivå vid baseline. Patienterna ska uppmanas att upprätthålla vätskebalansen genom att dricka mycket (t.ex. 1 glas vatten varje timme) och att kissa ofta före, samma dag som- och dagen efter administrering av Lutathera för att underlätta eliminering av för höga mängder serumkalium.
Om symtom på hyperkalemi utvecklas under infusion med aminosyralösning måste lämpliga korrigerande åtgärder vidtas. Vid allvarlig symtomatisk hyperkalemi bör utsättning av aminosyralösning övervägas, där hänsyn tas till nyttan med skydd för njurarna vägd mot risken för hyperkalemi.
Hjärtsvikt
På grund av risken för kliniska komplikationer relaterade till volymöverbelastning bör försiktighet iakttas vid användning av arginin och lysin hos patienter med svår hjärtsvikt definierad som klass III eller klass IV i NYHA (New York Heart Association) -klassificeringen. Patienter med svår hjärtsvikt definierad som klass III eller klass IV i NYHA-klassificeringen ska endast behandlas efter en noggrann bedömning av nytta-risk, med hänsyn till aminosyralösningens volym och osmolalitet.
Metabolisk acidos
Metabolisk acidos har observerats med komplexa aminosyralösningar som administreras som en del av behandling med total parenteral nutrition (TPN). Förändringar i syra-basbalansen förändrar balansen mellan extracellulärt-intracellulärt kalium och utvecklingen av acidos kan associeras med snabba ökningar av plasmakalium.
Särskilda varningar
Innehåll av natrium
Detta läkemedel innehåller upp till 3,5 mmol (81,1 mg) natrium per injektionsflaska, motsvararande 4 % av WHOs högsta rekommenderat dagliga intag (2 g natrium för vuxna).
För försiktighetsåtgärder med hänsyn till miljöpåverkan, se avsnitt 6.6.
Somatostatinanaloger
Somatostatin och dess analoger binds kompetitivt till somatostatinreceptorer och kan påverka effekten av Lutathera. Administrering av långverkande somatostatinanaloger ska därför undvikas inom 30 dagar före administrering av detta läkemedel. Vid behov kan patienter få behandling med kortverkande somatostatinanaloger upp till 24 timmar före administrering av Lutathera.
Glukokortikoider
Det finns vissa belägg för att glukokortikoider kan orsaka nedreglering av somatostatinreceptorer av subtyp 2 (SSTR2-receptorer). Därför ska upprepad administrering av höga doser glukokortikoider som en försiktighetsåtgärd undvikas under behandling med Lutathera. Patienter med kronisk användning av glukokortikoider i anamnesen ska utredas noga för tillräckligt somatostatinreceptoruttryck. Det är inte känt om intermittent användning av glukokortikoider för att förebygga illamående och kräkningar under administrering av Lutathera kan inducera nedreglering av SSTR2. Som försiktighetsåtgärd ska glukokortikoider även undvikas som förebyggande antiemetikum-behandling. I händelse av att behandlingen som ges för att förebygga illamående och kräkningar före infusionen av aminosyralösning visar sig vara otillräcklig kan en enkeldos av glukokortikoider ges så länge den inte ges före påbörjad infusion eller inom en timme efter avslutad infusion med Lutathera.
Fertila kvinnor
När radioaktiva läkemedel ska administreras till en fertil kvinna är det viktigt att avgöra om hon är gravid eller inte. Varje kvinna som har en utebliven menstruationsblödning bör betraktas som gravid tills motsatsen har bevisats. Om det finns tvivel beträffande kvinnans eventuella graviditet (utebliven menstruation, oregelbunden menstruation osv.) bör alternativa tekniker utan joniserande strålning (i förekommande fall) erbjudas patienten. Innan Lutathera används ska graviditet uteslutas med ett adekvat/validerat test.
Preventivmedel hos män och kvinnor
Lutathera kan orsaka fostretskador vid administrering till en gravid kvinna.
Kvinnliga patienter i fertil ålder bör informeras om att använda effektiva preventivmedel under behandlingen och i 7 månader efter den sista dosen av Lutathera.
Manliga patienter med kvinnlig partner i fertil ålder bör informeras om att använda effektiva preventivmedel under behandlingen och i 4 månader efter den sista dosen av Lutathera.
Graviditet
Inga reproduktionsstudier med lutetium(177Lu)oxodotreotid har utförts på djur.
Radionuklidförfaranden med gravida kvinnor innefattar även en strålningsdos till fostret. Användning av Lutathera är kontraindicerad under konstaterad eller misstänkt graviditet eller när graviditet inte har uteslutits, på grund av risken associerad med joniserande strålning (se avsnitt 4.3). Gravida kvinnor ska informeras om risken för fostret.
Amning
Det är inte känt om lutetium(177Lu)oxodotreotid utsöndras i bröstmjölk.
En risk för det ammande barnet i samband med joniserande strålning kan inte uteslutas.
Amning ska undvikas under behandling med detta läkemedel. Om behandling med Lutathera under amning är nödvändig måste amningen upphöra.
Fertilitet
Inga djurstudier har utförts för att fastställa effekterna av lutetium(177Lu)oxodotreotid på fertiliteten hos män och kvinnor. Joniserade strålning av lutetium(177Lu)oxodotreotid kan potentiellt ha tillfälliga toxiska effekter på kvinnliga och manliga könskörtlar. Genetisk rådgivning rekommenderas om patienten önskar ha barn efter behandling. Nedfrysning av sperma eller ägg kan diskuteras som ett alternativ för patienter före behandling.
Lutathera har ingen eller försumbar effekt på förmågan att framföra fordon och använda maskiner. Patientens allmäntillstånd och eventuella biverkningar måste likväl beaktas före framförande av fordon eller användning av maskiner.
Sammanfattning av säkerhetsprofilen
Den övergripande säkerhetsprofilen för Lutathera är baserad på poolade data från patienter från kliniska studier (NETTER‑1 fas III och Erasmus fas I/II holländska patienter), samt data från NETTER-P fas II studien och s.k. compassionate use-program (dvs. då läkemedlet ställts till förfogande av humanitära skäl).
De vanligaste biverkningarna hos patienter som får behandling med Lutathera var illamående och kräkning vilket uppträdde i början av infusionen hos 58,9 % respektive 45,5 % av patienterna. Orsaken till illamående/kräkning maskeras delvis av den emetiska effekten av den samtidiga aminosyralösningen som administreras för att skydda njurarna.
På grund av Lutatheras benmärgstoxicitet var de mest förväntade biverkningarna relaterade till hematologisk toxicitet: trombocytopeni (25 %), lymfopeni (22,3 %), anemi (13,4 %), pancytopeni (10,2 %).
Andra mycket vanliga biverkningar som rapporterats inkluderade trötthet (27,7 %) och minskad aptit (13,4 %).
Vid tidpunkten för slutanalysen för NETTER-1, efter en medianuppföljningstid på 76 månader i varje studiearm, förblev säkerhetsprofilen förenlig med den som tidigare rapporterats.
Lista över biverkningar i tabellform
I Tabell 5 listas biverkningarna efter frekvens enligt MedDRA-systemet för klassificering av organsystem. Frekvenserna definieras enligt följande: mycket vanliga (≥ 1/10), vanliga (≥ 1/100, < 1/10); mindre vanliga (≥ 1/1 000, < 1/100); sällsynta (≥ 1/10 000, < 1/1 000); mycket sällsynta (< 1/10 000), ingen känd frekvens (kan inte beräknas från tillgängliga data).
Tabell 5 Frekvens av biverkningar rapporterade från kliniska studier och från bevakning efter marknadsföring
1 Omfattar asteni och trötthet
2 Omfattar trombocytopeni och minskat antal trombocyter
3 Omfattar lymfopeni och minskat antal lymfocyter
4 Omfattar anemi och minskad mängd hemoglobin
5 Omfattar leukopeni och minskat antal leukocyter
6 Omfattar neutropeni och minskat antal neutrofiler
7 Omfattar hypertoni och hyperton kris
8 Omfattar artralgi, smärta i extremitet, ryggsmärta, skelettsmärta, flanksmärta, muskuloskeletal bröstsmärta och halssmärta
9 Omfattar förhöjt bilirubin i blodet och hyperbilirubinemi
10 Omfattar huvudvärk och migrän
11 Omfattar reaktion vid injektionsstället, överkänslighet vid injektionsstället, förhårdnad vid injektionsstället och svullnad vid injektionsstället
* Gammaglutamyltransferas
**Alaninaminotransferas
***Aspartataminotransferas
****Alkaliskt fosfatas
Beskrivning av utvalda biverkningar
Myelosuppression
Mestadels mild/måttlig benmärgstoxicitet (myelo-/hematotoxicitet) som uppträder med reversibel/övergående minskning i antalet blodkroppar av alla cellstammar (cytopenier i alla kombinationer, dvs. pancytopeni, bicytopenier, isolerade monocytopenier – anemi, neutropeni, lymfocytopeni och trombocytopeni). Trots en observerad signifikant selektiv minskning i B-celler förekommer ingen ökad frekvens av infektiösa komplikationer efter peptidreceptor-radionuklidterapi (PRRT). Fall av irreversibla hematologiska sjukdomstillstånd, dvs. premaligna och maligna blodtumörer (dvs. myelodysplastiskt syndrom respektive akut myeloid leukemi) har rapporterats efter behandling med Lutathera.
I NETTER 1 inträffade lägsta värdet (nadir) av trombocyter 5,1 månader i median efter den första dosen. Av de 59 patienterna som utvecklade trombocytopeni hade 68 % återhämtning av trombocytnivån till baslinjen eller normala nivåer. Mediantiden till återhämtning av trombocyter var 2 månader. Hos 15 av de 19 patienterna som man inte kunde dokumentera någon trombocytåterhämtning hos, var trombocytprover tagna efter lägsta värdet (nadir).
Njurtoxicitet
Lutetium(177Lu)oxodotreotid utsöndrats via njurarna.
Långtidstrenden med progressiv försämring av glomerulär filtrationsfunktion som vistats i kliniska prövningar bekräftar att Lutathera-relaterad nefropati är en kronisk njursjukdom som utvecklas under månader eller år efter exponering. En individuell nytta-riskbedömning rekommenderas före behandling med Lutathera hos patienter med lätt till måttligt nedsatt njurfunktion. Ytterligare information om detta finns i avsnitt 4.2 (Tabell 3 och underrubriken “Nedsatt njurfunktion”) och avsnitt 4.4. Användning av Lutathera är kontraindicerad för patienter med allvarlig njursvikt med kreatininclearance < 30 ml/min (se avsnitt 4.3).
Neuroendokrina hormonkriser
Sällsynta fall av hormonkriser relaterade till frisättning av bioaktiva substanser (sannolikt på grund av neuroendokrin tumörlys) har observerats och gått tillbaka efter lämplig medicinsk behandling (se avsnitt 4.4).
Pediatrisk population
Baserat på publicerad litteratur och kliniska data från 11 ungdomar med somatostatinreceptorpositiv GEP-NET eller feokromocytom eller paragangliom (PPGL) inkluderade i NETTER-P, rapporterades inga nya säkerhetssignaler.
Rapportering av misstänkta biverkningar
Överdosering med Lutathera är osannolik, eftersom detta läkemedel tillhandahålls som en engångsdos och som ett bruksfärdigt läkemedel innehållande en förutbestämd mängd radioaktivitet administrerat av personer som är behöriga att hantera radiofarmaka efter att patienten utvärderats av en kvalificerad läkare. I händelse av en överdos förväntas en ökad frekvens av biverkningar relaterade till radiotoxicitet.
I händelse av att en strålningsöverdos med Lutathera administreras ska den absorberade dosen till patienten reduceras om det är möjligt genom att öka elimineringen av radionukliden ur kroppen genom täta miktioner eller genom forcerad diures och täta blåstömningar under de första 48 timmarna efter infusionen. Det kan underlätta att uppskatta den effektiva dosen som administrerades.
Följande laboratorietester ska utföras varje vecka under de följande 10 veckorna:
hematologisk övervakning: leukocyter med differentialräkning, trombocyter och hemoglobin
övervakning av blodkemi: serumkreatinin och glykemi.
Fas III-studien NETTER‑1 var en multicentrisk, stratifierad, öppen, randomiserad parallellgruppsstudie i vilken behandling med Lutathera (4 doser på 7 400 MBq, en dos var 8:e vecka [±1 vecka]) administrerat tillsammans med en aminosyralösning och bästa understödjande vård (långverkande [long acting release, LAR] oktreotid 30 mg efter varje Lutatherados och var 4:e vecka efter avslutad behandling med Lutathera för symtomkontroll, ersatt med kortverkande oktreotid under det 4 veckor långa intervallet före administrering av Lutathera) jämfördes med oktreotid LAR i hög dos (60 mg var 4:e vecka) hos patienter med inoperabla, progredierande somatostatinreceptorpositiva midgut-karcinoider. Studiens primära effektmått var progressionsfri överlevnad (PFS, progression free survival) bedömd enligt RECIST v1.1-kriterier (response evaluation criteria in solid tumours), baserat på en blindad oberoende granskningskommittés (BIRC) bedömning. Sekundära effektmått inkluderade objektiv responsfrekvens (ORR, objective response rate), total överlevnad (OS, overall survival), tid till tumörprogression (TTP, time to tumour progression), läkemedlets säkerhet och tolerabilitet samt hälsorelaterad livskvalitet (HRQoL, health-related quality of life).
Vid tidpunkten för den primära analysen var 229 patienter randomiserade till att få antingen Lutathera (n=116) eller högdos oktreotid LAR (n=113). Demografiska egenskaper samt patient- och sjukdomskarakteristika vid baseline var väl balanserade mellan behandlingsarmarna med en medianålder på 64 år och 82,1 % vita personer i den allmänna populationen.
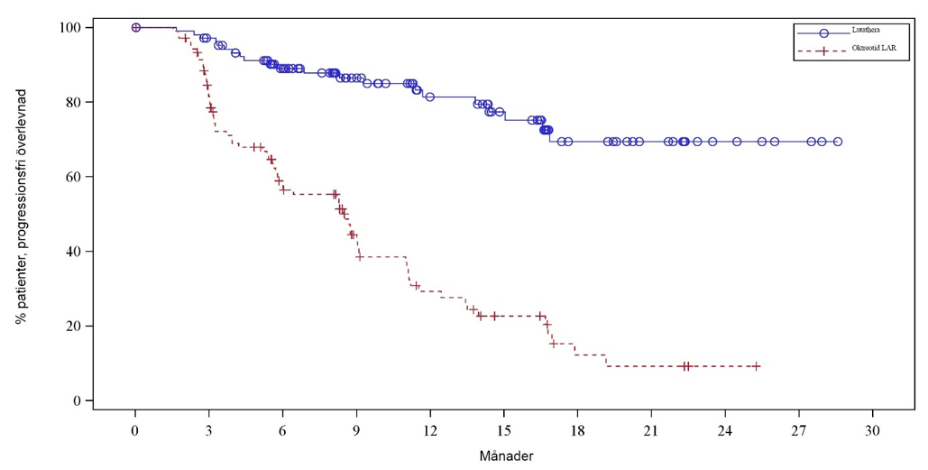
Vid tiden för den primära PFS analysen (cut off-datum 24 juli 2015) var antalet centralt bekräftade fall av progredierande sjukdom eller dödsfall 21 händelser i Lutathera-armen och 70 händelser i högdos oktreotid LAR-armen (Tabell 6). PFS skiljde sig signifikant (p< 0,0001) mellan behandlingsarmarna. Vid cutoff datumet hade mediantiden för PFS i Lutathera-armen inte uppnåtts medan den för oktreotid LAR-armen var 8,5 månader. Riskkvoten (HR) för Lutathera-armen jämfört med högdos octerotide LAR-armen var 0,18 (95 % KI): 0,11; 0,29), vilket antyder 82 % riskreduktion för sjukdomsprogression eller död till fördel för Lutathera-armen.
Kaplan‑Meier-kurvan för PFS för den fullständiga analysuppsättning (FAS) vid datumet för cut off den 24 juli 2015 visas i Figur 2.
Figur 2 Kaplan-Meier-kurvor för PFS för patienter med progredierande midgut carcinoid – cut off‑datum 24 juli 2015 (fas III-studien NETTER1; fullständig analysuppsättning, (FAS), N=229)
Vid cut off-datum för statistisk analys post-hoc (cut off-datum 30 juni 2016) som inkluderade ytterligare två randomiserade patienter (N=231), var antalet centralt bekräftade fall av progredierande sjukdom eller dödsfall 30 händelser i Lutathera-armen och 78 i högdos oktreotid LAR-armen (se Tabell 7). PFS skiljde sig signifikant (p< 0,0001) mellan behandlingsgrupperna. Mediantiden för PFS i Lutathera-armen var 28,4 månader medan median-PFS i högdos oktreotid LAR- armen var 8,5 månader. Riskkvoten (HR) för Lutathera var 0,21 (95 % KI: 0,14; 0,33), vilket indikerar 79 % riskreduktion för sjukdomsprogression eller död till fördel för Lutathera-armen.
Kaplan‑Meier-kurvan för PFS för den fullständiga analysuppsättningen (FAS) vid datum för cut off den 30 juni 2016 är visas i Figur 3.
Figur 3 Kaplan-Meier-kurvor för PFS för patienter med progredierande midgut carcinoid – cut-off datum den 30 juni 2016 (fas III-studien NETTER1; fullständig analysuppsättning (FAS), N=231)
Vid tidpunkten för interimanalysen av den totala överlevnaden (OS, overall survival) (cut offdatum 24 juli 2015) hade 17 dödsfall inträffat i den grupp som fick Lutathera och 31 i den grupp som fick högdos oktreotid LAR, vilket ger en riskkvot (HR) på 0,459 (99,9915 % KI: 0,140; 1,506) till Lutathera-armens fördel. Vid daum för cutoff var mediantiden för OS inte uppnådd i Lutathera-armen, medan den var 27,4 månader i gruppen som fick högdos oktreotid LAR. Interimanalysen av OS uppnådde inte statisktisk signifikans. En liknande trend sågs vid en uppdatering som genomfördes cirka ett år senare (30 juni 2016), vilken inkluderade ytterligare två randomiserade patienter (N=231) med 28 dödsfall i Lutathera-armen och 43 dödsfall i högdos okterotid LAR.armen, med en HR på 0,536 till Lutathera-armens fördel. Vid datumet för cutoff uppnåddes fortfarande inte mediantiden för OS i Lutathera-armen medan den var 27,4 månader i högdos okterotid-armen.
Vid tidpunkten för den slutliga analysen av OS, som inträffade 5 år efter att den sista patienten var randomiserad (N=231, cut off‑datum 18 januari 2021), var medianuppföljningstiden 76 månader i respektive studiearm. Antal dödsfall var 73 st i Lutathera-armen (62,4 %) och 69 st i högdos oktreotid-LAR-armen (60,5 %), vilket gav en HR på 0,84 (95 % KI: 0,60; 1,17; ostratifierat log‑rank test p= 0,3039, dubbelsidig) till fördel för Lutathera-armen. Median OS ökade med 11,7 månader vilket sågs som en kliniskt relevant tid hos patienter randomiserade till Lutathera-armen i jämförelse med de som randomiserade till högdos oktreotid LAR, med en OS mediantid på 48,0 månader (95 % KI: 37,4; 55,2) respektive 36,3 månader (95 % KI: 25,9; 51,7). De finala resultaten för OS nådde inte statistisk signifikans. I högdos oktreotid LAR-armen fick 22,8 % av patienterna efterföljande radioligandbehandling (inklusive lutetium(177Lu)oxodotreotid) inom 24 månader efter randomisering, och 36 % av patienterna fick efterföljande radioligandterapi vid det sista cut off-datumet för OS, vilket tillsammans med andra faktorer kan ha påverkat den totala OS hos denna subgrupp av patienter.
Kaplan Meier-grafen för OS för hela analysuppsättningen ( FAS) vid cut offdatumet 18 januari 2021 visas i figur 4.
Figur 4 Kaplan-Meier kurvor för OS (total överlevnad) för patienter med progredierande midgut carcinoid- cutoff datum 18 januari 2021 (NETTER1 fas III studie; FAS, N=231)
Eftersom non proportional hazards förelåg utfördes ytterligare en känslighetsanalys (begränsad medelöverlevnadstid, restricted mean survival time) vid tidpunkten för den slutliga analysen av OS för att ytterligare uppskatta behandlingseffekten. Vid 60 månader efter randomisering var den genomsnittliga fördelen i OS 5,1 månader (95 % KI: ‑0,5; 10,7) längre i Lutathera-armen jämfört med högdosoktreotid-LAR-armen.
Tabell 8 OS genom restricted mean survival time (RMST) observerade i NETTER‑1 fas III studien hos patienter med progressiv midgut carcinoid (FAS, N=231)
Hälsorelaterad livskvalitet (HRQoL) mättes med EORTC QLOQ‑C30 (European Organisation for Research and Treatment of Cancer Quality of Life Questionnaire) (generiskt instrument) med dess modul specifik för endokrina tumörer (EORTC QLQ‑GI.NET‑21).
Resultaten indikerar en förbättring i den totala globala hälsorelaterade livskvaliteten fram till vecka 84 för patienter som fick behandling i Lutathera- armen jämfört med patienter i högdos oktreotid LAR- armen.
ERASMUS
Fas I/II-studien Erasmus var en monocentrisk enkel öppen studie för att utvärdera effekt av Lutathera (4 doser på 7 400 MBq var, en dos var 8:e vecka) tillsammans med aminosyralösning hos patienter med somatostatinreceptorpositiva tumörer. Medianåldern för patienter som skrevs in i studien var 59 år. De flesta patienter var holländska (811) med återstående (403) bosatta i länder i och utanför Europa. Huvudanalysen inkluderade 811 holländska patienter med olika somatostatinreceptorpositiva neuroendokrina tumörtyper (NET). ORR (inklusive komplett respons (CR, complete response) och partiell respons (PR, partial response) enligt RECIST-kriterier) och responsduration (DoR, duration of response) för den fullständiga analysuppsättningen för den holländska populationen med gastroenteropankreatiska (GEP) och neuroendokrina tumörer och bronkial-NET (360 patienter) presenteras i tabell 9 efter tumörtyp.
Tabell 9 Bästa respons, ORR och DoR observerade i fas I/II-studien Erasmus av holländska patienter med GEP och bronkial-NET – (FAS, N=360)
Total median PFS och OS för FAS för den holländska populationen med GEP och bronkial-NET samt enligt tumörtyp presenteras i Tabell 10.
Tabell 10 PFS och OS observerade i fas I/II-studien Erasmus hos holländska patienter med GEP och bronkial-NET – (FAS, N=360)
I fas I/II-studien Erasmus fick 188 patients (52 %) samtidig behandling med oktreotid LAR under behandling med Lutathera och 172 (48 %) patienter fick ingen samtidig behandling. Ingen statistisk signifikant skillnad i PFS observerades mellan subgruppen patienter som inte fick oktreotid LAR (25,4 månader [95 % KI, 22,8; 30,6]) och subgruppen med patienter som fick samtidig behandling med oktreotid LAR (30,9 månader [95 % KI, 25,6; 34,8]) (p= 0,747).
Pediatrisk population
NETTER-P
Fas II-studien NETTER-P var en multicenter, öppen, enarmad studie för att utvärdera säkerheten och dosimetrin för Lutathera hos ungdomar i åldern 12 till < 18 år med somatostatinreceptorpositiv GEP-NET eller PPGL. Behandlingen bestod av 4 doser Lutathera på 7 400 MBq (200 mCi), en dos var 8:e vecka (±1 vecka), administrerat tillsammans med en aminosyralösning bestående av 2,5 % arginin och 2,5 % lysin.
Primära effektmått inkluderade mätning av absorberade stråldoser i målorgan (se avsnitt 11) och incidensen av biverkningar och laboratorietoxicitet efter den första Lutathera-administreringen i den poolade populationen av GEP-NET- och PPGL-patienter. Alla effektmått var explorativa.
Vid tidpunkten för den primära analysen (cut off-datum 12 mars 2024) inkluderades 11 patienter med somatostatinreceptorpositiva tumörer, 4 med GEP-NET och 7 med PPGL. Patienterna hade en medianålder på 15 år (intervall: 13 till 17 år), 6 var kvinnor. Det genomsnittliga antalet administrerade cykler av Lutathera var 3,6 (± 0,9), varav 9 patienter (4 GEP-NET, 5 PPGL) fick 4 cykler, 1 PPGL-patient fick 3 cykler och 1 PPGL-patient fick 1 cykel av Lutathera. Enligt kriterierna för dosmodifiering i NETTER-P-studieprotokollet genomfördes en dosreduktion på 50 % hos 2 PPGL-patienter efter den första cykeln på grund av att den uppskattade kumulativa organabsorberade dosen för njurarna översteg 29 Gy.
Av de 4 GEP-NET-patienterna hade två G1- och två hade G2-tumörer. Alla GEP-NET-patienter hade metastaserad sjukdom. Alla 4 patienter med GEP-NET hade genomgått kirurgi och tidigare fått ≥ 1 linje antineoplastisk behandling. Alla PPGL-patienter, inklusive 5 patienter med extraadrenalt paragangliom och 2 patienter med binjurefeokromocytom, hade metastaserad sjukdom. Två av dessa patienter hade tidigare haft unilateral nefrektomi. Sex av PPGL-patienterna hade tidigare fått antineoplastisk behandling.
Vid tidpunkten för den primära analysen (cut off-datum 12 mars 2024) hade 9 patienter (3 med GEP-NET och 6 med PPGL) tillgängliga data för övergripande behandlingssvar (overall response) och hade stabil sjukdom som bästa övergripande behandlingssvar (best overall response, BOR). En av de tre GEP-NET-patienterna hade progressiv sjukdom 3 månader efter att den sista dosen administrerades och avbröt studien. Den fjärde GEP-NET-patienten hade en tumör som inte kunde utvärderas med datortomografi/MR-undersökning. En av PPGL-patienterna avbröt behandlingen baserat på läkarens beslut efter den första cykeln och stannade kvar i studien för långtidsuppföljning. Tio av elva patienter stannade kvar i studien och levde utan tumörprogression.
Den totala säkerhetsprofilen för Lutathera hos ungdomar med GEP-NET eller PPGL i NETTER-P-studien överensstämde med den som rapporterats i den vuxna GEP-NET-populationen. Däremot finns för närvarande inga långtidsdata om säkerhet hos ungdomar från NETTER-P-studien.
Säkerhet och effekt för Lutathera har inte fastställts för pediatriska patienter under 18 år.
Europeiska läkemedelsmyndigheten har beviljat undantag från kravet att skicka in studieresultat för Lutathera för den pediatriska populationen från födsel till under 12 års ålder för behandling av GEP-NET. Se avsnitt 4.2 för information om pediatrisk användning.
Absorption
Läkemedlet administreras intravenöst med omedelbar biotillgänglighet.
Distribution
En analys utförd med human plasma för att fastställa graden av proteinbindning i plasma av icke-radioaktiv förening (lutetium(175Lu)oxodotreotid) visade att cirka 50 % av föreningen är bunden till plasmaproteiner.
Transkelatbindning av leutium från (lutetium(175Lu)oxodotreotid i serumproteiner har inte observerats.
Organupptag
Inom 4 timmar efter administrering visar distributionsmönstret för lutetium(177Lu)oxodotreotid ett snabbt upptag i njurar, tumörlesioner, lever och mjälte och, hos vissa patienter, i hypofysen och sköldkörteln. Samtidig administrering av aminosyralösning minskar upptag i njurarna vilket ger ökad eliminering av radioaktivitet (se avsnitt 4.4). Studier avseende biodistribution har visat att lutetium(177Lu)oxodotreotid elimineras snabbt från blodet.
Metabolism
Från analys av urinprover från 20 patienter som deltog i fas III-substudien i Netter-1 avseende dosimetri, farmakokinetik och EKG finns belägg för att lutetium(177Lu)oxodotreotid endast metaboliseras i liten utsträckning och utsöndras främst i oförändrad form via njurarna.
HPLC-analyserna utförda på urinprover insamlade upp till 48 timmar efter infusion visade nära 100 % lutetium(177Lu)oxodotreotid i oförändrad form i de flesta analyserade proverna (med lägsta värde över 92 %), vilket tyder på att föreningen elimineras i urinen främst som en intakt förening.
Detta fynd bekräftar vad som tidigare observerats i fas I/II-studien Erasmus, i vilken HPLC-analys av ett urinprov insamlat 1 timme efter administrering av lutetium(177Lu)oxodotreotid från en patient som fick 1,85 MBq lutetium(177Lu)oxodotreotid visade att den största delen (91 %) utsöndrades oförändrat.
Dessa fynd stöds av in vitro-data avseende metabolism från humana hepatocyter, i vilka ingen metabol nedbrytning av lutetium(175Lu)oxodotreotid observerades.
Eliminering
Baserat på uppgifterna insamlade under fas I/II-studien Erasmus och fas III-studien NETTER‑1 elimineras lutetium(177Lu)oxodotreotid främst genom renal utsöndring: cirka 60 % av läkemedlet elimineras via urinen inom 24 timmar och cirka 65 % inom 48 timmer efter administrering.
Äldre patienter
Den farmakokinetiska profilen för äldre patienter (≥ 75 år) har inte fastställts. Inga data finns att tillgå.
Pediatrisk population (12 år till < 18 år)
Farmakokinetiska data samlades in från 11 ungdomar i åldern 12 år och äldre med somatostatinreceptorpositiv GEP-NET eller PPGL som deltog i NETTER-P-studien med vuxendosering. Dessa data låg inom intervallet för vuxna, med en genomsnittlig AUCinf på 35,8 ng.h/ml (CV 12,5 %), en genomsnittlig CL på 6,0 l/h (CV 11,5 %) och en genomsnittlig Cmax på 10,3 ng/ml (CV 5,2 %), vilket inträffade i slutet av Lutathera-infusionen.
In vitro-utvärdering av interaktionspotential
Metabolisk och transportörbaserad interaktion
Frånvaron av hämning eller signifikant induktion av humana CYP450-enzymer, och frånvaron av specifik interaktion med P-glykoprotein (utflödestransportör) eller OAT1, OAT3, OCT1, OCT2, OATP1B1, OATP1B3 och BCRP-transportörer i prekliniska studier, tyder på att Lutathera har en låg sannolikhet att orsaka signifikant metabolism eller transportörmedierade interaktioner.
Toxikologiska studier på råttor visade att intravenösa engångsinjektioner på upp till 4 550 MBq/kg tolererades väl och inga dödsfall observerades. När den ”kalla” föreningen testades (icke-radioaktiv lutetium(175Lu)oxodotreotid) som en intravenös engångsinjektion hos råttor och hundar i doser upp till 20 000 µg/kg (råttor) och 3 200 µg/kg (hundar), tolererades den ”kalla” föreningen (icke-radioaktiv lutetium(175Lu)oxodotreotid) väl hos bägge djurslagen och inga dödsfall observerades. Ingen toxicitet observerades med 4 upprepade administreringar, en gång varannan vecka, på 1 250 µg/kg av den ”kalla” föreningen hos råttor och 80 µg/kg hos hundar. Detta läkemedel är inte avsett för regelbunden eller kontinuerlig administrering.
Inga studier har utförts med avseende på mutagenicitet eller långsiktig karcinogenicitet.
Icke-kliniska data från gängse studier avseende säkerhetsfarmakologi, toxicitet vid upprepade doser och gentoxicitet för den ”kalla” föreningen (icke-radioaktiv lutetium(
175Lu)oxodotreotid) visade inte några särskilda risker för människa.
Farmakoterapeutisk grupp: Radiofarmaceutiska terapeutika, diverse; ATC-kod: V10XX04
Verkningsmekanism
Lutetium(177Lu)oxodotreotid har hög affinitet för somatostatinreceptorer subtyp 2 (SSTR2). Det binds till maligna celler med överuttryck av SSTR2.
Lutetium-177 är en β--avgivande radionuklid med ett maximalt penetrationsdjup på 2,2 mm (genomsnittligt penetrationsdjup 0,67 mm), vilket orsakar död hos måltumörcellerna med en begränsad effekt på närliggande normala celler.
Farmakodynamisk effekt
Vid den koncentration som används (cirka 10 μg/ml totalt, för både fria och radioaktivt märkta former) har peptiden oxodotreotid inte någon kliniskt relevant farmakodynamisk effekt.
Klinisk effekt och säkerhet
NETTER-1
Fas III-studien NETTER‑1 var en multicentrisk, stratifierad, öppen, randomiserad parallellgruppsstudie i vilken behandling med Lutathera (4 doser på 7 400 MBq, en dos var 8:e vecka [±1 vecka]) administrerat tillsammans med en aminosyralösning och bästa understödjande vård (långverkande [long acting release, LAR] oktreotid 30 mg efter varje Lutatherados och var 4:e vecka efter avslutad behandling med Lutathera för symtomkontroll, ersatt med kortverkande oktreotid under det 4 veckor långa intervallet före administrering av Lutathera) jämfördes med oktreotid LAR i hög dos (60 mg var 4:e vecka) hos patienter med inoperabla, progredierande somatostatinreceptorpositiva midgut-karcinoider. Studiens primära effektmått var progressionsfri överlevnad (PFS, progression free survival) bedömd enligt RECIST v1.1-kriterier (response evaluation criteria in solid tumours), baserat på en blindad oberoende granskningskommittés (BIRC) bedömning. Sekundära effektmått inkluderade objektiv responsfrekvens (ORR, objective response rate), total överlevnad (OS, overall survival), tid till tumörprogression (TTP, time to tumour progression), läkemedlets säkerhet och tolerabilitet samt hälsorelaterad livskvalitet (HRQoL, health-related quality of life).
Vid tidpunkten för den primära analysen var 229 patienter randomiserade till att få antingen Lutathera (n=116) eller högdos oktreotid LAR (n=113). Demografiska egenskaper samt patient- och sjukdomskarakteristika vid baseline var väl balanserade mellan behandlingsarmarna med en medianålder på 64 år och 82,1 % vita personer i den allmänna populationen.
Vid tiden för den primära PFS analysen (cut off-datum 24 juli 2015) var antalet centralt bekräftade fall av progredierande sjukdom eller dödsfall 21 händelser i Lutathera-armen och 70 händelser i högdos oktreotid LAR-armen (Tabell 6). PFS skiljde sig signifikant (p< 0,0001) mellan behandlingsarmarna. Vid cutoff datumet hade mediantiden för PFS i Lutathera-armen inte uppnåtts medan den för oktreotid LAR-armen var 8,5 månader. Riskkvoten (HR) för Lutathera-armen jämfört med högdos octerotide LAR-armen var 0,18 (95 % KI): 0,11; 0,29), vilket antyder 82 % riskreduktion för sjukdomsprogression eller död till fördel för Lutathera-armen.
Kaplan‑Meier-kurvan för PFS för den fullständiga analysuppsättning (FAS) vid datumet för cut off den 24 juli 2015 visas i Figur 2.
Figur 2 Kaplan-Meier-kurvor för PFS för patienter med progredierande midgut carcinoid – cut off‑datum 24 juli 2015 (fas III-studien NETTER1; fullständig analysuppsättning, (FAS), N=229)
Vid cut off-datum för statistisk analys post-hoc (cut off-datum 30 juni 2016) som inkluderade ytterligare två randomiserade patienter (N=231), var antalet centralt bekräftade fall av progredierande sjukdom eller dödsfall 30 händelser i Lutathera-armen och 78 i högdos oktreotid LAR-armen (se Tabell 7). PFS skiljde sig signifikant (p< 0,0001) mellan behandlingsgrupperna. Mediantiden för PFS i Lutathera-armen var 28,4 månader medan median-PFS i högdos oktreotid LAR- armen var 8,5 månader. Riskkvoten (HR) för Lutathera var 0,21 (95 % KI: 0,14; 0,33), vilket indikerar 79 % riskreduktion för sjukdomsprogression eller död till fördel för Lutathera-armen.
Kaplan‑Meier-kurvan för PFS för den fullständiga analysuppsättningen (FAS) vid datum för cut off den 30 juni 2016 är visas i Figur 3.
Figur 3 Kaplan-Meier-kurvor för PFS för patienter med progredierande midgut carcinoid – cut-off datum den 30 juni 2016 (fas III-studien NETTER1; fullständig analysuppsättning (FAS), N=231)
Vid tidpunkten för interimanalysen av den totala överlevnaden (OS, overall survival) (cut offdatum 24 juli 2015) hade 17 dödsfall inträffat i den grupp som fick Lutathera och 31 i den grupp som fick högdos oktreotid LAR, vilket ger en riskkvot (HR) på 0,459 (99,9915 % KI: 0,140; 1,506) till Lutathera-armens fördel. Vid daum för cutoff var mediantiden för OS inte uppnådd i Lutathera-armen, medan den var 27,4 månader i gruppen som fick högdos oktreotid LAR. Interimanalysen av OS uppnådde inte statisktisk signifikans. En liknande trend sågs vid en uppdatering som genomfördes cirka ett år senare (30 juni 2016), vilken inkluderade ytterligare två randomiserade patienter (N=231) med 28 dödsfall i Lutathera-armen och 43 dödsfall i högdos okterotid LAR.armen, med en HR på 0,536 till Lutathera-armens fördel. Vid datumet för cutoff uppnåddes fortfarande inte mediantiden för OS i Lutathera-armen medan den var 27,4 månader i högdos okterotid-armen.
Vid tidpunkten för den slutliga analysen av OS, som inträffade 5 år efter att den sista patienten var randomiserad (N=231, cut off‑datum 18 januari 2021), var medianuppföljningstiden 76 månader i respektive studiearm. Antal dödsfall var 73 st i Lutathera-armen (62,4 %) och 69 st i högdos oktreotid-LAR-armen (60,5 %), vilket gav en HR på 0,84 (95 % KI: 0,60; 1,17; ostratifierat log‑rank test p= 0,3039, dubbelsidig) till fördel för Lutathera-armen. Median OS ökade med 11,7 månader vilket sågs som en kliniskt relevant tid hos patienter randomiserade till Lutathera-armen i jämförelse med de som randomiserade till högdos oktreotid LAR, med en OS mediantid på 48,0 månader (95 % KI: 37,4; 55,2) respektive 36,3 månader (95 % KI: 25,9; 51,7). De finala resultaten för OS nådde inte statistisk signifikans. I högdos oktreotid LAR-armen fick 22,8 % av patienterna efterföljande radioligandbehandling (inklusive lutetium(177Lu)oxodotreotid) inom 24 månader efter randomisering, och 36 % av patienterna fick efterföljande radioligandterapi vid det sista cut off-datumet för OS, vilket tillsammans med andra faktorer kan ha påverkat den totala OS hos denna subgrupp av patienter.
Kaplan Meier-grafen för OS för hela analysuppsättningen ( FAS) vid cut offdatumet 18 januari 2021 visas i figur 4.
Figur 4 Kaplan-Meier kurvor för OS (total överlevnad) för patienter med progredierande midgut carcinoid- cutoff datum 18 januari 2021 (NETTER1 fas III studie; FAS, N=231)
Eftersom non proportional hazards förelåg utfördes ytterligare en känslighetsanalys (begränsad medelöverlevnadstid, restricted mean survival time) vid tidpunkten för den slutliga analysen av OS för att ytterligare uppskatta behandlingseffekten. Vid 60 månader efter randomisering var den genomsnittliga fördelen i OS 5,1 månader (95 % KI: ‑0,5; 10,7) längre i Lutathera-armen jämfört med högdosoktreotid-LAR-armen.
Tabell 8 OS genom restricted mean survival time (RMST) observerade i NETTER‑1 fas III studien hos patienter med progressiv midgut carcinoid (FAS, N=231)
Hälsorelaterad livskvalitet (HRQoL) mättes med EORTC QLOQ‑C30 (European Organisation for Research and Treatment of Cancer Quality of Life Questionnaire) (generiskt instrument) med dess modul specifik för endokrina tumörer (EORTC QLQ‑GI.NET‑21).
Resultaten indikerar en förbättring i den totala globala hälsorelaterade livskvaliteten fram till vecka 84 för patienter som fick behandling i Lutathera- armen jämfört med patienter i högdos oktreotid LAR- armen.
ERASMUS
Fas I/II-studien Erasmus var en monocentrisk enkel öppen studie för att utvärdera effekt av Lutathera (4 doser på 7 400 MBq var, en dos var 8:e vecka) tillsammans med aminosyralösning hos patienter med somatostatinreceptorpositiva tumörer. Medianåldern för patienter som skrevs in i studien var 59 år. De flesta patienter var holländska (811) med återstående (403) bosatta i länder i och utanför Europa. Huvudanalysen inkluderade 811 holländska patienter med olika somatostatinreceptorpositiva neuroendokrina tumörtyper (NET). ORR (inklusive komplett respons (CR, complete response) och partiell respons (PR, partial response) enligt RECIST-kriterier) och responsduration (DoR, duration of response) för den fullständiga analysuppsättningen för den holländska populationen med gastroenteropankreatiska (GEP) och neuroendokrina tumörer och bronkial-NET (360 patienter) presenteras i tabell 9 efter tumörtyp.
Tabell 9 Bästa respons, ORR och DoR observerade i fas I/II-studien Erasmus av holländska patienter med GEP och bronkial-NET – (FAS, N=360)
Total median PFS och OS för FAS för den holländska populationen med GEP och bronkial-NET samt enligt tumörtyp presenteras i Tabell 10.
Tabell 10 PFS och OS observerade i fas I/II-studien Erasmus hos holländska patienter med GEP och bronkial-NET – (FAS, N=360)
I fas I/II-studien Erasmus fick 188 patients (52 %) samtidig behandling med oktreotid LAR under behandling med Lutathera och 172 (48 %) patienter fick ingen samtidig behandling. Ingen statistisk signifikant skillnad i PFS observerades mellan subgruppen patienter som inte fick oktreotid LAR (25,4 månader [95 % KI, 22,8; 30,6]) och subgruppen med patienter som fick samtidig behandling med oktreotid LAR (30,9 månader [95 % KI, 25,6; 34,8]) (p= 0,747).
Pediatrisk population
NETTER-P
Fas II-studien NETTER-P var en multicenter, öppen, enarmad studie för att utvärdera säkerheten och dosimetrin för Lutathera hos ungdomar i åldern 12 till < 18 år med somatostatinreceptorpositiv GEP-NET eller PPGL. Behandlingen bestod av 4 doser Lutathera på 7 400 MBq (200 mCi), en dos var 8:e vecka (±1 vecka), administrerat tillsammans med en aminosyralösning bestående av 2,5 % arginin och 2,5 % lysin.
Primära effektmått inkluderade mätning av absorberade stråldoser i målorgan (se avsnitt 11) och incidensen av biverkningar och laboratorietoxicitet efter den första Lutathera-administreringen i den poolade populationen av GEP-NET- och PPGL-patienter. Alla effektmått var explorativa.
Vid tidpunkten för den primära analysen (cut off-datum 12 mars 2024) inkluderades 11 patienter med somatostatinreceptorpositiva tumörer, 4 med GEP-NET och 7 med PPGL. Patienterna hade en medianålder på 15 år (intervall: 13 till 17 år), 6 var kvinnor. Det genomsnittliga antalet administrerade cykler av Lutathera var 3,6 (± 0,9), varav 9 patienter (4 GEP-NET, 5 PPGL) fick 4 cykler, 1 PPGL-patient fick 3 cykler och 1 PPGL-patient fick 1 cykel av Lutathera. Enligt kriterierna för dosmodifiering i NETTER-P-studieprotokollet genomfördes en dosreduktion på 50 % hos 2 PPGL-patienter efter den första cykeln på grund av att den uppskattade kumulativa organabsorberade dosen för njurarna översteg 29 Gy.
Av de 4 GEP-NET-patienterna hade två G1- och två hade G2-tumörer. Alla GEP-NET-patienter hade metastaserad sjukdom. Alla 4 patienter med GEP-NET hade genomgått kirurgi och tidigare fått ≥ 1 linje antineoplastisk behandling. Alla PPGL-patienter, inklusive 5 patienter med extraadrenalt paragangliom och 2 patienter med binjurefeokromocytom, hade metastaserad sjukdom. Två av dessa patienter hade tidigare haft unilateral nefrektomi. Sex av PPGL-patienterna hade tidigare fått antineoplastisk behandling.
Vid tidpunkten för den primära analysen (cut off-datum 12 mars 2024) hade 9 patienter (3 med GEP-NET och 6 med PPGL) tillgängliga data för övergripande behandlingssvar (overall response) och hade stabil sjukdom som bästa övergripande behandlingssvar (best overall response, BOR). En av de tre GEP-NET-patienterna hade progressiv sjukdom 3 månader efter att den sista dosen administrerades och avbröt studien. Den fjärde GEP-NET-patienten hade en tumör som inte kunde utvärderas med datortomografi/MR-undersökning. En av PPGL-patienterna avbröt behandlingen baserat på läkarens beslut efter den första cykeln och stannade kvar i studien för långtidsuppföljning. Tio av elva patienter stannade kvar i studien och levde utan tumörprogression.
Den totala säkerhetsprofilen för Lutathera hos ungdomar med GEP-NET eller PPGL i NETTER-P-studien överensstämde med den som rapporterats i den vuxna GEP-NET-populationen. Däremot finns för närvarande inga långtidsdata om säkerhet hos ungdomar från NETTER-P-studien.
Säkerhet och effekt för Lutathera har inte fastställts för pediatriska patienter under 18 år.
Europeiska läkemedelsmyndigheten har beviljat undantag från kravet att skicka in studieresultat för Lutathera för den pediatriska populationen från födsel till under 12 års ålder för behandling av GEP-NET. Se avsnitt 4.2 för information om pediatrisk användning.
Absorption
Läkemedlet administreras intravenöst med omedelbar biotillgänglighet.
Distribution
En analys utförd med human plasma för att fastställa graden av proteinbindning i plasma av icke-radioaktiv förening (lutetium(175Lu)oxodotreotid) visade att cirka 50 % av föreningen är bunden till plasmaproteiner.
Transkelatbindning av leutium från (lutetium(175Lu)oxodotreotid i serumproteiner har inte observerats.
Organupptag
Inom 4 timmar efter administrering visar distributionsmönstret för lutetium(177Lu)oxodotreotid ett snabbt upptag i njurar, tumörlesioner, lever och mjälte och, hos vissa patienter, i hypofysen och sköldkörteln. Samtidig administrering av aminosyralösning minskar upptag i njurarna vilket ger ökad eliminering av radioaktivitet (se avsnitt 4.4). Studier avseende biodistribution har visat att lutetium(177Lu)oxodotreotid elimineras snabbt från blodet.
Metabolism
Från analys av urinprover från 20 patienter som deltog i fas III-substudien i Netter-1 avseende dosimetri, farmakokinetik och EKG finns belägg för att lutetium(177Lu)oxodotreotid endast metaboliseras i liten utsträckning och utsöndras främst i oförändrad form via njurarna.
HPLC-analyserna utförda på urinprover insamlade upp till 48 timmar efter infusion visade nära 100 % lutetium(177Lu)oxodotreotid i oförändrad form i de flesta analyserade proverna (med lägsta värde över 92 %), vilket tyder på att föreningen elimineras i urinen främst som en intakt förening.
Detta fynd bekräftar vad som tidigare observerats i fas I/II-studien Erasmus, i vilken HPLC-analys av ett urinprov insamlat 1 timme efter administrering av lutetium(177Lu)oxodotreotid från en patient som fick 1,85 MBq lutetium(177Lu)oxodotreotid visade att den största delen (91 %) utsöndrades oförändrat.
Dessa fynd stöds av in vitro-data avseende metabolism från humana hepatocyter, i vilka ingen metabol nedbrytning av lutetium(175Lu)oxodotreotid observerades.
Eliminering
Baserat på uppgifterna insamlade under fas I/II-studien Erasmus och fas III-studien NETTER‑1 elimineras lutetium(177Lu)oxodotreotid främst genom renal utsöndring: cirka 60 % av läkemedlet elimineras via urinen inom 24 timmar och cirka 65 % inom 48 timmer efter administrering.
Äldre patienter
Den farmakokinetiska profilen för äldre patienter (≥ 75 år) har inte fastställts. Inga data finns att tillgå.
Pediatrisk population (12 år till < 18 år)
Farmakokinetiska data samlades in från 11 ungdomar i åldern 12 år och äldre med somatostatinreceptorpositiv GEP-NET eller PPGL som deltog i NETTER-P-studien med vuxendosering. Dessa data låg inom intervallet för vuxna, med en genomsnittlig AUCinf på 35,8 ng.h/ml (CV 12,5 %), en genomsnittlig CL på 6,0 l/h (CV 11,5 %) och en genomsnittlig Cmax på 10,3 ng/ml (CV 5,2 %), vilket inträffade i slutet av Lutathera-infusionen.
In vitro-utvärdering av interaktionspotential
Metabolisk och transportörbaserad interaktion
Frånvaron av hämning eller signifikant induktion av humana CYP450-enzymer, och frånvaron av specifik interaktion med P-glykoprotein (utflödestransportör) eller OAT1, OAT3, OCT1, OCT2, OATP1B1, OATP1B3 och BCRP-transportörer i prekliniska studier, tyder på att Lutathera har en låg sannolikhet att orsaka signifikant metabolism eller transportörmedierade interaktioner.
Toxikologiska studier på råttor visade att intravenösa engångsinjektioner på upp till 4 550 MBq/kg tolererades väl och inga dödsfall observerades. När den ”kalla” föreningen testades (icke-radioaktiv lutetium(175Lu)oxodotreotid) som en intravenös engångsinjektion hos råttor och hundar i doser upp till 20 000 µg/kg (råttor) och 3 200 µg/kg (hundar), tolererades den ”kalla” föreningen (icke-radioaktiv lutetium(175Lu)oxodotreotid) väl hos bägge djurslagen och inga dödsfall observerades. Ingen toxicitet observerades med 4 upprepade administreringar, en gång varannan vecka, på 1 250 µg/kg av den ”kalla” föreningen hos råttor och 80 µg/kg hos hundar. Detta läkemedel är inte avsett för regelbunden eller kontinuerlig administrering.
Inga studier har utförts med avseende på mutagenicitet eller långsiktig karcinogenicitet.
Icke-kliniska data från gängse studier avseende säkerhetsfarmakologi, toxicitet vid upprepade doser och gentoxicitet för den ”kalla” föreningen (icke-radioaktiv lutetium(
175Lu)oxodotreotid) visade inte några särskilda risker för människa.
Får ej frysas
Förvaras i originalförpackningen för att skydda mot joniserande strålning (skyddande blybehållare).
Förvaring av radioaktiva läkemedel ska ske i enlighet med nationella bestämmelser om radioaktiva material.
Klar färglös injektionsflaska av typ I-glas, försluten med en propp av bromobutylgummi och en aluminiumförsegling.
Varje injektionsflaska innehåller en volym mellan 20,5 och 25,0 ml lösning motsvarande en aktivitet på 7 400 MBq på infusionens datum och klockslag.
Injektionsflaskan är innesluten i en skyddsavskärmande blybehållare.
Endast avsett för engångsbruk.
Allmän varning
Radioaktiva läkemedel får endast tas emot, användas och administreras av behörig personal i en för ändamålet avsedd klinisk miljö. Mottagande, förvaring, användning, överföring och kassering är underställda gällande regler och/eller tillämpliga tillstånd från behörig myndighet.
Radioaktiva läkemedel ska beredas på ett sätt som uppfyller både strålskyddskrav och krav på farmaceutisk kvalitet. Lämpliga aseptiska försiktighetsåtgärder ska vidtas.
Anvisningar om beredning av läkemedlet före administrering finns i avsnitt 12.
Läkemedlet ska inte användas om blybehållaren eller injektionsflaskan vid något tillfälle under beredning kan ha skadats.
Administreringsförfaranden ska genomföras på ett sätt som minimerar risken för kontaminering av läkemedlet och bestrålning av personal som administrerar läkemedlet. Adekvat strålningsskydd är obligatoriskt.
Användning av vattentäta handskar och att följa lämplig aseptisk teknik är obligatorisk vid hantering av läkemedlet.
Administrering av radioaktiva läkemedel innebär risker för andra personer genom extern strålning eller kontaminering från spill av urin, uppkastningar osv. Strålskyddande försiktighetsåtgärder måste därför vidtas i enlighet med nationella bestämmelser.
Det är sannolikt att denna bereding resulterar i en relativt hög strålningsdos för de flesta patienter. Administrering av 7 400 MBq kan medföra en signifikant risk för omgivningen.
Detta kan utgöra ett problem för andra personer som lever i samma hushåll, för de personer som behandlas eller för den stora allmänheten, beroende på hur stor aktivitet som administreras, därför ska de strålskyddande förhållningsreglerna följas (se avsnitt 4.4). För att undvika kontaminering ska lämpliga försiktighetsåtgärder i enlighet med nationella bestämmelser vidtas beträffande den aktivitet som patienten utsöndrar.
Ej använt läkemedel och avfall ska kasseras enligt gällande anvisningar.
Lutetium-177 för Lutathera kan framställas med hjälp av två olika källor av stabila nuklider (antingen lutetium-176 eller ytterbium-176) vilket resulterar i olika avfallshantering. Användaren måste ta del av den tillhandahållna dokumentationen innan Lutathera används för att säkerställa lämplig avfallshantering.
Ättiksyra
Natriumacetat
Gentisinsyra
Askorbinsyra
Pentetsyra
Natriumklorid
Natriumhydroxid
Vatten för injektionsvätskor
Detta läkemedel får inte blandas med andra läkemedel förutom de som nämns i avsnitt 12.
72 timmar från datum och tidpunkt för kalibrering.
Förvaras vid högst 25 °C.
Får ej frysas
Förvaras i originalförpackningen för att skydda mot joniserande strålning (skyddande blybehållare).
Förvaring av radioaktiva läkemedel ska ske i enlighet med nationella bestämmelser om radioaktiva material.
Klar färglös injektionsflaska av typ I-glas, försluten med en propp av bromobutylgummi och en aluminiumförsegling.
Varje injektionsflaska innehåller en volym mellan 20,5 och 25,0 ml lösning motsvarande en aktivitet på 7 400 MBq på infusionens datum och klockslag.
Injektionsflaskan är innesluten i en skyddsavskärmande blybehållare.
Endast avsett för engångsbruk.
Allmän varning
Radioaktiva läkemedel får endast tas emot, användas och administreras av behörig personal i en för ändamålet avsedd klinisk miljö. Mottagande, förvaring, användning, överföring och kassering är underställda gällande regler och/eller tillämpliga tillstånd från behörig myndighet.
Radioaktiva läkemedel ska beredas på ett sätt som uppfyller både strålskyddskrav och krav på farmaceutisk kvalitet. Lämpliga aseptiska försiktighetsåtgärder ska vidtas.
Anvisningar om beredning av läkemedlet före administrering finns i avsnitt 12.
Läkemedlet ska inte användas om blybehållaren eller injektionsflaskan vid något tillfälle under beredning kan ha skadats.
Administreringsförfaranden ska genomföras på ett sätt som minimerar risken för kontaminering av läkemedlet och bestrålning av personal som administrerar läkemedlet. Adekvat strålningsskydd är obligatoriskt.
Användning av vattentäta handskar och att följa lämplig aseptisk teknik är obligatorisk vid hantering av läkemedlet.
Administrering av radioaktiva läkemedel innebär risker för andra personer genom extern strålning eller kontaminering från spill av urin, uppkastningar osv. Strålskyddande försiktighetsåtgärder måste därför vidtas i enlighet med nationella bestämmelser.
Det är sannolikt att denna bereding resulterar i en relativt hög strålningsdos för de flesta patienter. Administrering av 7 400 MBq kan medföra en signifikant risk för omgivningen.
Detta kan utgöra ett problem för andra personer som lever i samma hushåll, för de personer som behandlas eller för den stora allmänheten, beroende på hur stor aktivitet som administreras, därför ska de strålskyddande förhållningsreglerna följas (se avsnitt 4.4). För att undvika kontaminering ska lämpliga försiktighetsåtgärder i enlighet med nationella bestämmelser vidtas beträffande den aktivitet som patienten utsöndrar.
Ej använt läkemedel och avfall ska kasseras enligt gällande anvisningar.
Lutetium-177 för Lutathera kan framställas med hjälp av två olika källor av stabila nuklider (antingen lutetium-176 eller ytterbium-176) vilket resulterar i olika avfallshantering. Användaren måste ta del av den tillhandahållna dokumentationen innan Lutathera används för att säkerställa lämplig avfallshantering.
Följande slutsatser om behandling med Lutathera är baserade på bedömningar av absorberad dos och effektiv dos från kliniska studier:
Det kritiska målorganet är benmärgen, men med den rekommenderade kumulativa dosen Lutathera på 29 600 MBq (4 administreringar á 7 400 MBq) sågs dock ingen korrelation mellan hematologisk toxicitet och total administrerad radioaktivitet eller absorberad dos i benmärg varken i fas I/II-studien Erasmus eller i fas III-studien NETTER‑1.
Njuren är inte ett kritiskt målorgan, förutsatt att en samtidig infusion med en lämplig aminosyralösning ges (se avsnitt 4.2).
Totalt sett överensstämmer resultaten från analysen av absorberad dos och effektiv dos utförd i NETTER1 fas III-substudien med resultaten från fas I/II-studien Erasmus, vilket tyder på att behandlingsregimen med Lutathera (4 administreringar á 7 400 MBq) är säker.
Tabell 11 Uppskattningarna av absorberad dos för lutetium(177Lu)oxodotreotid från fas III-studien NETTER‑1 (data från Olinda)
*n=18 (två patienter exkluderade eftersom den leverabsorberade dosen påverkades av upptaget i levermetastaser)
**n=11 (endast manliga patienter)
***n=9 (endast kvinnliga patienter)
Stråldosen för specifika organ, som kanske inte är målorgan för behandlingen, kan påverkas avsevärt av patofysiologiska förändringar till följd av sjukdomsförloppet. Detta ska beaktas när följande information används.
Pediatrisk population
Dosimetri av lutetium (177Lu) oxodotreotid hos ungdomar har studerats hos 4 GEP-NET- och 6 PPGL-patienter (åldersintervall: 12 till < 18 år) som deltog i fas II-studien NETTER-P. Dosimetri samlades in för att definiera biodistributionsprofilen för lutetium (177Lu) oxodotreotid och för att beräkna strålningsdosimetri för hela kroppen och organen, med särskilt fokus på den absorberade strålningsdosen till kritiska organ (t.ex. njure och benmärg).
Medelvärdet och standardavvikelsen (SD) för de uppskattade absorberade strålningsdoserna för ungdomar i NETTER-P-studien visas i tabell 12.
Tabell 12 Uppskattningar av absorberad dos för lutetium (177Lu) oxodotreotid hos pediatriska patienter 12 år och äldre (n=10) i fas II-studien NETTER-P
a n=5 (endast kvinnliga patienter).
b n=6 (endast kvinnliga patienter).
c n=9 (3 GEP-NET, 6 PPGL). Dosimetriuppskattningar av hypofysen utfördes endast när hypofysupptag tydligt observerades på plana bilder. På grund av hypofysens lilla storlek, tillgängligheten för kvantifiering endast från plana bilder och störningar från aktivitet i nässlemhinnan, kan uppskattningarna vara förknippade med stor osäkerhet.
d n=4 (endast manliga patienter).
e Dosimetriuppskattningar av röd benmärg bestämdes antingen med hjälp av blodradioaktivitet eller genom avbildning och skalning av en representativ region av ländryggen.
Följande slutsatser om behandling med Lutathera är baserade på bedömningar av absorberad dos och effektiv dos från kliniska studier:
Det kritiska målorganet är benmärgen, men med den rekommenderade kumulativa dosen Lutathera på 29 600 MBq (4 administreringar á 7 400 MBq) sågs dock ingen korrelation mellan hematologisk toxicitet och total administrerad radioaktivitet eller absorberad dos i benmärg varken i fas I/II-studien Erasmus eller i fas III-studien NETTER‑1.
Njuren är inte ett kritiskt målorgan, förutsatt att en samtidig infusion med en lämplig aminosyralösning ges (se avsnitt 4.2).
Totalt sett överensstämmer resultaten från analysen av absorberad dos och effektiv dos utförd i NETTER1 fas III-substudien med resultaten från fas I/II-studien Erasmus, vilket tyder på att behandlingsregimen med Lutathera (4 administreringar á 7 400 MBq) är säker.
Tabell 11 Uppskattningarna av absorberad dos för lutetium(177Lu)oxodotreotid från fas III-studien NETTER‑1 (data från Olinda)
*n=18 (två patienter exkluderade eftersom den leverabsorberade dosen påverkades av upptaget i levermetastaser)
**n=11 (endast manliga patienter)
***n=9 (endast kvinnliga patienter)
Stråldosen för specifika organ, som kanske inte är målorgan för behandlingen, kan påverkas avsevärt av patofysiologiska förändringar till följd av sjukdomsförloppet. Detta ska beaktas när följande information används.
Pediatrisk population
Dosimetri av lutetium (177Lu) oxodotreotid hos ungdomar har studerats hos 4 GEP-NET- och 6 PPGL-patienter (åldersintervall: 12 till < 18 år) som deltog i fas II-studien NETTER-P. Dosimetri samlades in för att definiera biodistributionsprofilen för lutetium (177Lu) oxodotreotid och för att beräkna strålningsdosimetri för hela kroppen och organen, med särskilt fokus på den absorberade strålningsdosen till kritiska organ (t.ex. njure och benmärg).
Medelvärdet och standardavvikelsen (SD) för de uppskattade absorberade strålningsdoserna för ungdomar i NETTER-P-studien visas i tabell 12.
Tabell 12 Uppskattningar av absorberad dos för lutetium (177Lu) oxodotreotid hos pediatriska patienter 12 år och äldre (n=10) i fas II-studien NETTER-P
a n=5 (endast kvinnliga patienter).
b n=6 (endast kvinnliga patienter).
c n=9 (3 GEP-NET, 6 PPGL). Dosimetriuppskattningar av hypofysen utfördes endast när hypofysupptag tydligt observerades på plana bilder. På grund av hypofysens lilla storlek, tillgängligheten för kvantifiering endast från plana bilder och störningar från aktivitet i nässlemhinnan, kan uppskattningarna vara förknippade med stor osäkerhet.
d n=4 (endast manliga patienter).
e Dosimetriuppskattningar av röd benmärg bestämdes antingen med hjälp av blodradioaktivitet eller genom avbildning och skalning av en representativ region av ländryggen.
Användaren måste ta del av den tillhandahållna dokumentationen innan Lutathera används för att säkerställa lämplig avfallshantering (se avsnitt 6.6).
Beredningsinstruktioner
Tillämpa aseptisk teknik och strålskydd vid administrering av Lutathera-lösningen. Använd en tång när du hanterar flaskan för att minimera strålningsexponeringen.
Inspektera produkten visuellt under en skyddsskärm avseende partiklar eller missfärgning före administrering. Injektionsflaskan ska kasseras om partiklar och/eller missfärgning förekommer.
Inspektera förpackningen för att utesluta skada och använd en kalibrerad radioaktivitetsmätare för att avgöra om någon radioaktiv kontaminering finns. Använd inte produkten om injektionsflaskan eller blybehållaren kan ha skadats.
Injicera inte Lutathera-lösningen direkt i någon annan intravenös lösning.
Bekräfta mängden radioaktivitet av Lutathera som givits till patienten med en kalibrerad radioaktivitetsmätare före och efter varje administrering för att bekräfta att den egentliga mängden radioaktivitet som administrerats är lika stor som den planerade mängden.
Administrera inte Lutathera som en bolusinjektion.
Övervaka radioaktivitet från patienten kort efter starten av infusionen med en kalibrerad radioaktivitetsmätare för att säkerställa att dosen infuserats. Under infusionen bör emission av radioaktivitet från patienten öka stadigt, medan det från Lutathera-flaskan bör minska.
Noggrann övervakning av patientens vitala tecken under infusionen rekommenderas.
Intravenösa administreringssätt
Anvisningar för gravitationsmetoden (med en klämma eller en infusionspump)
För in en 2,5 cm, 20 gauge-nål (kort nål) i injektionsflaskan med Lutathera och anslut via en kateter till 500 ml 0,9 % steril natriumkloridlösning (används för att överföra Lutathera-lösningen under infusionen). Se till att den korta nålen inte kommer i kontakt med Lutathera-lösningen i injektionsflaskan och anslut inte denna korta nål direkt till patienten. Låt inte natriumkloridlösningen rinna in i Lutathera-flaskan innan Lutathera-infusionen påbörjas och injicera inte Lutathera-lösningen direkt i natriumkloridlösningen.
För in en andra nål som är 9 cm, 18 gauge (lång nål) i injektionsflaskan med Lutathera, och se till att denna långa nål vidrör och är placerad stadigt vid botten av Lutathera-flaskan under hela infusionen. Anslut den långa nålen till patienten med en intravenös kateter som är förfylld med 0,9 % steril natriumkloridlösning och som enbart används för infusion av Lutathera till patienten.
Använd en klämma eller en infusionspump för att reglera flödet av natriumkloridlösningen via den korta nålen in i injektionsflaskan med Lutathera. Natriumkloridlösningen som kommer in i injektionsflaskan genom den korta nålen överför sedan Lutathera-lösningen från injektionsflaskan till patienten via den intravenösa kateter som är ansluten till den långa nålen under 30±10 minuter, med en infusionshastighet på upp till 400 ml/h. Infusionen bör starta med en lägre hastighet på < 100 ml/h under de första 5 till 10 minuterna och bör sedan ökas beroende på patientens venösa status. Konstant tryck ska upprätthållas i flaskan under hela infusionen.
Under infusionen, kontrollera att nivån på lösningen i Lutathera-flaskan förblir konstant genom upprepad direkt visuell kontroll när genomskinlig skyddsbehållare används, eller använd en tång för att hantera flaskan när blyförpackningen som lösningen levereras i används.
Övervaka flödet av Lutathera från injektionsflaskan till patienten under hela infusionen.
Koppla bort injektionsflaskan från den långa nålens slang och stäng klämman på natriumkloridslangen när radioaktiviteten har varit stabil i minst fem minuter.
Efter infusionen ska en intravenös spolning utföras med 25 ml 0,9 % steril natriumkloridlösning genom den intravenösa katetern till patienten.
Anvisningar för den peristaltiska pumpmetoden
För in en filtrerad 2,5 cm, 20 gauge-nål (kort luftningsnål) i injektionsflaskan med Lutathera. Se till att den korta nålen inte kommer i kontakt med Lutathera-lösningen i injektionsflaskan och anslut inte den korta nålen direkt till patienten eller till den peristaltiska infusionspumpen.
För in en andra nål som är 9 cm, 18 gauge (lång nål) i injektionsflaskan med Lutathera, och se till att den långa nålen vidrör och är placerad stadigt i botten av Lutathera-flaskan under hela infusionen. Anslut den långa nålen och en 0,9 % steril natriumkloridlösning till en trevägskran via lämplig slang.
Anslut trevägskranens utlopp till slangen som är installerad på ingångssidan av den peristaltiska pumpen enligt pumptillverkarens anvisningar.
Förfyll slangen genom att öppna trevägskranen och pumpa Lutathera-lösningen genom slangen tills den når kranens utlopp.
Förbered den intravenösa katetern som ska anslutas till patienten genom att öppna trevägskranen till den 0,9 % sterila natriumkloridlösningen och pumpa den 0,9 % sterila natriumkloridlösningen tills den kommer ut i kateterslangens ände.
Anslut den förfyllda intravenösa katetern till patienten och ställ in trevägskranen så att Lutathera-lösningen är i linje med den peristaltiska infusionspumpen.
Infusera en lämplig volym Lutathera-lösning under en period på 30±10 minuter för att tillföra önskad radioaktivitet.
När den önskade Lutathera-radioaktiviteten har tillförts, stoppa den peristaltiska pumpen och ändra sedan positionen på trevägsventilen så att den peristaltiska pumpen är i linje med den 0,9 % sterila natriumkloridlösningen. Starta om den peristaltiska pumpen och infusera en intravenös spolning av 25 mL 0,9 % steril natriumkloridlösning genom den intravenösa katetern till patienten
Anvisningar för sprutpumpsmetoden
Dra upp en lämplig volym Lutathera-lösning för att få önskad radioaktivitet genom att använda en engångsspruta försedd med ett sprutskydd och en steril nål för engångsbruk som är 9 cm, 18 gauge (lång nål). För att underlätta uppdragningen av lösningen är det möjligt att använda en filtrerad 2,5 cm, 20 gauge nål (kort ventileringsnål) för att minska motståndet från den trycksatta flaskan. Se till att den korta nålen inte vidrör Lutathera-lösningen i injektionsflaskan.
Sätt in sprutan i den avskärmade pumpen och inkludera en trevägskran mellan sprutan och en intravenös kateter som är förfylld med 0,9 % steril natriumkloridlösning och som används för administrering av Lutathera till patienten.
Infusera en lämplig volym Lutathera-lösning under en period på 30±10 minuter för att leverera önskad radioaktivitet.
När önskad Lutathera-radioaktivitet har tillförts, stoppa sprutpumpen och ändra sedan läget på trevägskranen så att sprutan spolas med 25 ml 0,9 % steril natriumkloridlösning. Starta om sprutpumpen.
Efter att spolningen av sprutan har slutförts, utför en intravenös spolning med 25 mL 0,9 % steril natriumkloridlösning genom den intravenösa katetern till patienten.
Figur 5 Översikt över administrationsmetoder
Ytterligare information om detta läkemedel finns på Europeiska läkemedelsmyndighetens webbplats https://www.ema.europa.eu.
Användaren måste ta del av den tillhandahållna dokumentationen innan Lutathera används för att säkerställa lämplig avfallshantering (se avsnitt 6.6).
Beredningsinstruktioner
Tillämpa aseptisk teknik och strålskydd vid administrering av Lutathera-lösningen. Använd en tång när du hanterar flaskan för att minimera strålningsexponeringen.
Inspektera produkten visuellt under en skyddsskärm avseende partiklar eller missfärgning före administrering. Injektionsflaskan ska kasseras om partiklar och/eller missfärgning förekommer.
Inspektera förpackningen för att utesluta skada och använd en kalibrerad radioaktivitetsmätare för att avgöra om någon radioaktiv kontaminering finns. Använd inte produkten om injektionsflaskan eller blybehållaren kan ha skadats.
Injicera inte Lutathera-lösningen direkt i någon annan intravenös lösning.
Bekräfta mängden radioaktivitet av Lutathera som givits till patienten med en kalibrerad radioaktivitetsmätare före och efter varje administrering för att bekräfta att den egentliga mängden radioaktivitet som administrerats är lika stor som den planerade mängden.
Administrera inte Lutathera som en bolusinjektion.
Övervaka radioaktivitet från patienten kort efter starten av infusionen med en kalibrerad radioaktivitetsmätare för att säkerställa att dosen infuserats. Under infusionen bör emission av radioaktivitet från patienten öka stadigt, medan det från Lutathera-flaskan bör minska.
Noggrann övervakning av patientens vitala tecken under infusionen rekommenderas.
Intravenösa administreringssätt
Anvisningar för gravitationsmetoden (med en klämma eller en infusionspump)
För in en 2,5 cm, 20 gauge-nål (kort nål) i injektionsflaskan med Lutathera och anslut via en kateter till 500 ml 0,9 % steril natriumkloridlösning (används för att överföra Lutathera-lösningen under infusionen). Se till att den korta nålen inte kommer i kontakt med Lutathera-lösningen i injektionsflaskan och anslut inte denna korta nål direkt till patienten. Låt inte natriumkloridlösningen rinna in i Lutathera-flaskan innan Lutathera-infusionen påbörjas och injicera inte Lutathera-lösningen direkt i natriumkloridlösningen.
För in en andra nål som är 9 cm, 18 gauge (lång nål) i injektionsflaskan med Lutathera, och se till att denna långa nål vidrör och är placerad stadigt vid botten av Lutathera-flaskan under hela infusionen. Anslut den långa nålen till patienten med en intravenös kateter som är förfylld med 0,9 % steril natriumkloridlösning och som enbart används för infusion av Lutathera till patienten.
Använd en klämma eller en infusionspump för att reglera flödet av natriumkloridlösningen via den korta nålen in i injektionsflaskan med Lutathera. Natriumkloridlösningen som kommer in i injektionsflaskan genom den korta nålen överför sedan Lutathera-lösningen från injektionsflaskan till patienten via den intravenösa kateter som är ansluten till den långa nålen under 30±10 minuter, med en infusionshastighet på upp till 400 ml/h. Infusionen bör starta med en lägre hastighet på < 100 ml/h under de första 5 till 10 minuterna och bör sedan ökas beroende på patientens venösa status. Konstant tryck ska upprätthållas i flaskan under hela infusionen.
Under infusionen, kontrollera att nivån på lösningen i Lutathera-flaskan förblir konstant genom upprepad direkt visuell kontroll när genomskinlig skyddsbehållare används, eller använd en tång för att hantera flaskan när blyförpackningen som lösningen levereras i används.
Övervaka flödet av Lutathera från injektionsflaskan till patienten under hela infusionen.
Koppla bort injektionsflaskan från den långa nålens slang och stäng klämman på natriumkloridslangen när radioaktiviteten har varit stabil i minst fem minuter.
Efter infusionen ska en intravenös spolning utföras med 25 ml 0,9 % steril natriumkloridlösning genom den intravenösa katetern till patienten.
Anvisningar för den peristaltiska pumpmetoden
För in en filtrerad 2,5 cm, 20 gauge-nål (kort luftningsnål) i injektionsflaskan med Lutathera. Se till att den korta nålen inte kommer i kontakt med Lutathera-lösningen i injektionsflaskan och anslut inte den korta nålen direkt till patienten eller till den peristaltiska infusionspumpen.
För in en andra nål som är 9 cm, 18 gauge (lång nål) i injektionsflaskan med Lutathera, och se till att den långa nålen vidrör och är placerad stadigt i botten av Lutathera-flaskan under hela infusionen. Anslut den långa nålen och en 0,9 % steril natriumkloridlösning till en trevägskran via lämplig slang.
Anslut trevägskranens utlopp till slangen som är installerad på ingångssidan av den peristaltiska pumpen enligt pumptillverkarens anvisningar.
Förfyll slangen genom att öppna trevägskranen och pumpa Lutathera-lösningen genom slangen tills den når kranens utlopp.
Förbered den intravenösa katetern som ska anslutas till patienten genom att öppna trevägskranen till den 0,9 % sterila natriumkloridlösningen och pumpa den 0,9 % sterila natriumkloridlösningen tills den kommer ut i kateterslangens ände.
Anslut den förfyllda intravenösa katetern till patienten och ställ in trevägskranen så att Lutathera-lösningen är i linje med den peristaltiska infusionspumpen.
Infusera en lämplig volym Lutathera-lösning under en period på 30±10 minuter för att tillföra önskad radioaktivitet.
När den önskade Lutathera-radioaktiviteten har tillförts, stoppa den peristaltiska pumpen och ändra sedan positionen på trevägsventilen så att den peristaltiska pumpen är i linje med den 0,9 % sterila natriumkloridlösningen. Starta om den peristaltiska pumpen och infusera en intravenös spolning av 25 mL 0,9 % steril natriumkloridlösning genom den intravenösa katetern till patienten
Anvisningar för sprutpumpsmetoden
Dra upp en lämplig volym Lutathera-lösning för att få önskad radioaktivitet genom att använda en engångsspruta försedd med ett sprutskydd och en steril nål för engångsbruk som är 9 cm, 18 gauge (lång nål). För att underlätta uppdragningen av lösningen är det möjligt att använda en filtrerad 2,5 cm, 20 gauge nål (kort ventileringsnål) för att minska motståndet från den trycksatta flaskan. Se till att den korta nålen inte vidrör Lutathera-lösningen i injektionsflaskan.
Sätt in sprutan i den avskärmade pumpen och inkludera en trevägskran mellan sprutan och en intravenös kateter som är förfylld med 0,9 % steril natriumkloridlösning och som används för administrering av Lutathera till patienten.
Infusera en lämplig volym Lutathera-lösning under en period på 30±10 minuter för att leverera önskad radioaktivitet.
När önskad Lutathera-radioaktivitet har tillförts, stoppa sprutpumpen och ändra sedan läget på trevägskranen så att sprutan spolas med 25 ml 0,9 % steril natriumkloridlösning. Starta om sprutpumpen.
Efter att spolningen av sprutan har slutförts, utför en intravenös spolning med 25 mL 0,9 % steril natriumkloridlösning genom den intravenösa katetern till patienten.
Figur 5 Översikt över administrationsmetoder
Ytterligare information om detta läkemedel finns på Europeiska läkemedelsmyndighetens webbplats https://www.ema.europa.eu.