Veltassa 1 g pulver till oral suspension
Veltassa 8,4 g pulver till oral suspension
Veltassa 16,8 g pulver till oral suspension
Veltassa 25,2 g pulver till oral suspension
Pulver till oral suspension.
Benvitt till ljust brunt pulver, med enstaka vita partiklar.
Vifor Fresenius Medical Care Renal Pharma France
100–101 Terrasse Boieldieu
Tour Franklin La Défense 8
92042 Paris La Défense Cedex
Frankrike
EU/1/17/1179/001
EU/1/17/1179/002
EU/1/17/1179/003
EU/1/17/1179/004
EU/1/17/1179/005
EU/1/17/1179/006
EU/1/17/1179/007
EU/1/17/1179/008
EU/1/17/1179/009
EU/1/17/1179/010
EU/1/17/1179/011
Första godkännandet: 19 juli 2017
Förnyat godkännande: 24 mars 2022
2024-06-06
Veltassa 1 g pulver till oral suspension
Varje dospåse innehåller 1 g patiromer (som patiromersorbitexkalcium).
Veltassa 8,4 g pulver till oral suspension
Varje dospåse innehåller 8,4 g patiromer (som patiromersorbitexkalcium).
Veltassa 16,8 g pulver till oral suspension
Varje dospåse innehåller 16,8 g patiromer (som patiromersorbitexkalcium).
Veltassa 25,2 g pulver till oral suspension
Varje dospåse innehåller 25,2 g patiromer (som patiromersorbitexkalcium).
För fullständig förteckning över hjälpämnen, se avsnitt 6.1.
Den rekommenderade startdosen är 8,4 g patiromer en gång dagligen. Den dagliga dosen kan ökas eller minskas med 8,4 g enligt behov för att uppnå målintervallet, upp till maximal dos på 25,2 g dagligen.
Ungdomar i åldern 12 till 17 år
Den rekommenderade startdosen är 4 g patiromer en gång dagligen. Justera den dagliga dosen patiromer baserat på serumkaliumnivån och det önskade målintervallet, upp till en maximal dos på 25,2 g dagligen. Det rekommenderas att övergå till 8,4 g patiromerpåsar om doser över 7 g behövs.
Missade doser
Om patienten missar en dos ska den glömda dosen tas så snart som möjligt samma dag. Den glömda dosen ska inte tas tillsammans med nästa dos.
Särskilda populationer
Äldre
Inga särskilda dos- och administreringsriktlinjer rekommenderas för denna population.
Dialyspatienter
Det finns begränsade data från användning av patiromer hos dialyspatienter. Inga särskilda dos- och administreringsriktlinjer användes för dessa patienter i kliniska prövningar. Inga pediatriska dialyspatienter har behandlats med patiromer.
Patienter med njursjukdom i slutskedet (ESRD)
Patiromer har endast studerats på ett begränsat antal patienter med en uppskattad glomerulär filtrationshastighet (eGFR) av < 15 ml/min/1,73 m².
Pediatrisk population
Säkerhet och effekt för patiromer för barn under 12 år har ännu inte fastställts. Data från ungdomar i åldern 12 till 17 år är begränsade till 6 månaders exponering. Därför bör behandling utöver 6 månader ske med försiktighet hos ungdomar i åldern 12 till 17 år (se avsnitt 4.4).
Administreringssätt
Oral användning.
Veltassa ska blandas med vatten och omröras till en suspension med jämn konsistens. De rekommenderade totala volymerna för beredning av suspensionen är dosberoende:
1 g patiromer: 10 ml
2 g patiromer: 20 ml
3 g patiromer: 30 ml
4 g patiromer: 40 ml
> 4 g patiromer: 80 ml
Suspensionen ska beredas enligt följande steg:
Den första hälften av den rekommenderade volymen för den erforderliga dosen ska hällas upp i ett glas och hela dosen patiromer ska tillsättas och sedan röras om.
Den andra hälften av den rekommenderade volymen ska tillsättas och suspensionen röras om ordentligt igen
Pulvret kommer inte att lösas upp. Det går även att tillsätta mer vatten till blandningen efter behov för att få önskad konsistens. Större volymer kan dock leda till en accelererad sedimentering av pulvret.
Blandningen ska tas inom 1 timme efter att den ursprungliga suspensionen tillretts. Om det finns pulver kvar i glaset ska mer vatten tillsättas, suspensionen röras om och tas omedelbart. Detta kan upprepas efter behov tills hela dosen har administrerats.
Enligt personliga preferenser kan följande vätskor eller mjuk mat användas i stället för vatten för att bereda blandningen genom att följa samma steg som beskrivs ovan: Äppeljuice, tranbärsjuice, ananasjuice, apelsinjuice, druvjuice, päronjuice, aprikosnektar, persikonektar, yoghurt, mjölk, förtjockningsmedel (t.ex. majsstärkelse), äppelmos, vanilj- och chokladpudding.
Kaliuminnehållet i vätskor eller mjuk mat som används för beredning av blandningen ska anses vara en del av kostrekommendationerna för kaliumintag för varje enskild patient.
I allmänhet ska intag av tranbärsjuice begränsas till måttliga mängder (till exempel mindre än 400 ml per dag) på grund av dess potentiella interaktion med andra läkemedel.
Detta läkemedel kan tas med eller utan måltider. Det ska inte värmas upp (t.ex. i mikrougn) eller tillsättas uppvärmd mat eller vätska. Det ska inte tas i dess torra form.
Administrering med nasogastrisk (NG) eller perkutan endoskopisk gastrostomi (PEG)-slang: För doser upp till 8,4 g patiromer ska suspensionen beredas enligt beskrivningen ovan i avsnittet om oral administrering. För doser över 8,4 g och upp till 16,8 g patiromer ska en total volym på 160 ml användas och för doser över 16,8 g och upp till 25,2 g patiromer en total volym på 240 ml. Dessa volymer säkerställer att suspensionen lätt flyter genom slangarna.
Kompatibilitet har visats med slangar tillverkade av polyuretan, silikon och polyvinylklorid. Den rekommenderade diametern på slangarna är 2,17 mm (6,5 Fr) eller större. Efter administrering ska slangen spolas med vatten. För instruktioner om kassering, se avsnitt 6.6.
Överkänslighet mot den aktiva substansen eller mot något hjälpämne som anges i avsnitt 6.1.
Lågt magnesium
I kliniska prövningar förekom serummagnesiumvärden < 1,4 mg/dl (0,58 mmol/l) i 7,1 % av vuxna patienter behandlade med patiromer och 0,3 % av patienterna utvecklade en serummagnesiumnivå på < 1,0 mg/dl (0,4 mmol/l). Minskningen i serummagnesium var i medeltal 0,137 mg/dl (0,0564 mmol/l) eller mindre. I en klinisk prövning som involverade pediatriska patienter var den genomsnittliga minskningen av serummagnesium vid vecka 26 0,35 mg/dl (0,1440 mmol/l). Inga patienter nådde serummagnesium < 1,4 mg/dl (0,58 mmol/l) under den pediatriska kliniska prövningen.
Serummagnesium bör övervakas under minst 1 månad efter påbörjad behandling och enligt klinisk indikation under behandlingen och magnesiumkomplettering övervägas hos patienter som utvecklar låga nivåer av serummagnesium (se avsnitt 4.8).
Magtarmkanalen
Patienter som tidigare haft tarmvred eller genomgått större gastrointestinala operationer, allvarliga gastrointestinala besvär eller sväljrubbningar har uteslutits från de kliniska prövningarna. Gastrointestinal ischemi, nekros och/eller intestinal perforation har rapporterats med andra bindemedel för kalium. Nyttan och riskerna med administrering av patiromer bör utvärderas noga hos vuxna och pediatriska patienter med rådande eller tidigare allvarliga gastrointestinala besvär före och under behandlingen.
Utsättning av patiromer
Vid utsättning av patiromer kan nivåerna av serumkalium öka, vilket leder till återkommande hyperkalemi, i synnerhet om behandling som hämmar renin-angiotensin-aldosteronsystemet (RAAS) fortsätter. Patienter bör instrueras att inte avbryta behandlingen utan att först rådgöra med läkare. Ökningar i serumkalium kan inträffa så tidigt som 2 dagar efter den sista patiromer-dosen. Det finns begränsad information om serumkaliumnivåer hos pediatriska patienter vid utsättning av patiromer.
Nivåer av serumkalium
Serumkalium bör övervakas enligt standardpraxis när det är kliniskt indikerat, som när förändringar har gjorts i behandling med medicinska produkter som påverkar koncentrationen av serumkalium (t.ex. RAAS-hämmare eller diuretika), och efter att patiromer-dosen har titrerats eller avbrutits.
Begränsningar för kliniska data
Svår hyperkalemi
Erfarenheten av patienter med serumkaliumkoncentrationer på mer än 6,5 mmol/l är begränsad. I den pediatriska populationen är erfarenheten begränsad till patienter med maximala serumkaliumkoncentrationer på 6,2 mmol/l. Veltassa ska inte användas som akutbehandling för livshotande hyperkalemi på grund av dess försenade effekt (se avsnitt 4.2).
Långtidsexponering
Det finns begränsade data från kliniska studier hos vuxna med en exponering på ett år eller längre. Kliniska prövningar på pediatriska patienter har inte inkluderat exponering längre än 6 månader. Därför bör behandling utöver 6 månader ske med försiktighet hos ungdomar i åldern 12 till 17 år.
Information om sorbitol
Veltassa innehåller sorbitol som en del av motjonens komplex. Innehållet av sorbitol är ungefär 4 g (10,4 kcal) per 8,4 g patiromer och cirka 0,5 g (1,2 kcal) per 1 g patiromer. Patienter med hereditär fruktosintolerans bör inte använda detta läkemedel.
Information om kalcium
Veltassa innehåller kalcium som en del av motjonens komplex. Kalcium frigörs delvist och en del av det kan absorberas (se avsnitt 5.1). Nyttan och riskerna med administrering av detta läkemedel bör utvärderas noga hos vuxna och pediatriska patienter med risk för hyperkalcemi. Serumkalcium bör övervakas i minst 1 månad efter påbörjad behandling och enligt klinisk indikation under behandling.
Effekten av patiromer på andra läkemedel
Test Patiromer kan binda vissa oralt samadministrerade läkemedel, vilket skulle kunna minska den gastrointestinala absorptionen av dem. Ökad biotillgänglighet av samtidigt administrerade läkemedel observerades inte i de utförda läkemedelsinteraktionsstudierna. Eftersom patiromer inte absorberas eller metaboliseras av kroppen, är effekten på funktionen av andra läkemedel begränsad.
Som förebyggande åtgärd och baserat på informationen som sammanfattas nedan ska administrering av patiromer separeras minst 3 timmar från andra orala läkemedel.
In vivo-studier
Samtidig administrering av patiromer påverkade inte biotillgängligheten enligt uppmätt area under kurvan (AUC) för amlodipin, cinacalcet, klopidogrel, furosemid, litium, metoprolol, trimetoprim, verapamil och warfarin. För dessa läkemedel behövs ingen separation.
Samtidig administrering av patiromer visade reducerad biotillgänglighet för ciprofloxacin, levotyroxin och metformin. Ingen interaktion förekom dock när patiromer och dessa läkemedel togs med 3 timmars mellanrum.
Interaktionsstudier har endast utförts på vuxna.
In vitro studier
In vitro-studier har inte visat någon potentiell interaktion mellan patiromer och följande aktiva substanser: allopurinol, amoxicillin, apixaban, acetylsalicylsyra, atorvastatin, azilsartan, benazepril, bumetanid, kanagliflozin, kandesartan, kaptopril, cefalexin, dapaglifloxin, digoxin, empagliflozin, enalapril, eplerenon, finerenon, fosinopril, glipizid, irbesartan, lisinopril, losartan, olmesartan, perindopril, fenytoin,
kinapril, ramipril, riboflavin, rivaroxaban, sakubitril, sevelamer, spironolakton takrolimus, torasemid, trandolapril och valsartan.
In vitro-studier har visat potentiell interaktion av patiromer med bisoprolol, karvedilol, mykofenolat mofetil, nebivolol, kinidin, and telmisartan.
Graviditet
Det finns inga data från användning av patiromer i gravida kvinnor.
Djurstudier visar inga direkta eller indirekta skadliga reproduktionstoxikologiska effekter (se avsnitt 5.3).
Som en försiktighetsåtgärd bör man undvika användning av patiromer under graviditet.
Amning
Inga effekter förutses på ammade nyfödda/spädbarn eftersom systemexponering hos den ammande kvinnan av patiromer är försumbar. Beslutet om man ska avbryta amningen eller avbryta/avstå från behandlingen med patiromer måste fattas med hänsyn till fördelarna med amning för barnet och fördelarna med behandlingen för kvinnan.
Fertilitet
Det finns inga data om effekterna av patiromer på mänsklig fertilitet. Djurförsök visade inga effekter på fortplantningsförmåga eller fertilitet (se avsnitt 5.3).
Patiromer har ingen eller försumbar effekt på förmågan att framföra fordon och använda maskiner.
Sammanfattning av säkerhetsprofilen
Majoriteten av läkemedelsbiverkningar som rapporterats från kliniska prövningar på vuxna patienter var gastrointestinala besvär, där de mest frekvent rapporterade biverkningarna var hypomagnesemi (1,8 %) och gastrointestinala besvär, och de mest frekvent rapporterade biverkningarna var förstoppning (3,7 %), diarré (3 %), buksmärta (1,4 %), illamående (1,3 %) och gasbildning (1 %). De gastrointestinala besvären var generellt milda till måttliga, föreföll inte vara dosrelaterade, försvann generellt av sig själva eller med behandling och inga rapporterades vara allvarliga. Hypomagnesemi var mild till måttlig då 0,3 % av patienterna utvecklade en serummagnesiumnivå <1 mg/dl (< 0,4 mmol/l) (se avsnitt 4.4).
Tabell över biverkningar
Biverkningar rapporterade i kliniska prövningar anges nedan efter organsystem och frekvens. Frekvenserna definieras som: mycket vanliga (≥ 1/10), vanliga (≥ 1/100, < 1/10), mindre vanliga (≥ 1/1 000, < 1/100), sällsynta (≥ 1/10 000, < 1/1 000), mycket sällsynta (< 1/10 000) och ingen känd frekvens (kan inte beräknas från tillgängliga data). Inom varje frekvensgrupp visas biverkningar i fallande allvarlighetsgrad.
* Biverkningar rapporterade även i de pediatriska kliniska prövningarna
1 Biverkningar rapporterats efter marknadsintroduktion.
2 Överkänslighetsreaktioner inkluderar utslag, urtikaria, svullnad av munhålan och läppar och de var av lindrig till måttlig svårighetgrad.
3 Förstoppning är ett samlat begrepp för de föredragna termerna förstoppning och hård avföring.
4 Diarré är ett samlat begrepp för diarré och frekvent tarmtömning.
5 Buksmärtor är ett samlat begrepp för de föredragna termerna magbesvär, magsmärta, smärta i övre buken och smärta i nedre buken.
Pediatrisk population
Säkerheten för patiromer för behandling av hyperkalemi har studerats i en enda studie med 23 pediatriska patienter i åldern 6 till 17 år. Den biverkningsprofil som observerades hos pediatriska patienter överensstämde i stort sett med säkerhetsprofilen hos vuxna. Säkerheten för patiromer har inte studerats hos patienter yngre än 6 år.
Biverkningar rapporterades för totalt 4 patienter; 3 i åldersgruppen 12 till < 18 år och 1 i åldersgruppen 6 till < 12 år. Hos 2 av dessa patienter hörde biverkningarna till organsystem gastrointestinala störningar, dvs diarré, förstoppning, frekventa tarmrörelser och flatulens. De återstående läkemedelsbiverkningarna var ökad kalcium i blodet och hypokalemi. Dessa var alla icke allvarliga biverkningar och milda till måttliga i svårighetsgrad.
Eftersom för höga doser av patiromer kan leda till hypokalemi bör nivåerna av serumkalium övervakas. Patiromer utsöndras efter ungefär 24 till 48 timmar, baserat på genomsnittlig gastrointestinal genomgångstid. Om det fastställs att medicinska åtgärder krävs kan lämpliga åtgärder övervägas för att återställa serumkaliumnivån.
Pediatrisk population
Doser över 25,2 g patiromer per dag för ungdomar i åldern 12 till 17 år och över 12 g för barn 6 till under 12 år har inte testats. Eftersom för höga doser av patiromer kan resultera i hypokalemi, bör serumkaliumnivåer övervakas. Om det fastställs att medicinsk intervention krävs, kan lämpliga åtgärder för att återställa serumkalium övervägas.
Veltassa är avsett för behandling av hyperkalemi hos vuxna och ungdomar i åldern 12-17 år.
Verkan av Veltassa startar 4–7 timmar efter administrering. Det ska inte ersätta akutbehandling för livshotande hyperkalemi (se avsnitt 4.4).
Dosering
Veltassa administreras en gång dagligen. Rekommenderad startdos för Veltassa varierar med åldern. Flera påsar kan behöva användas för att uppnå den önskade dosen.
Den dagliga dosen kan justeras i intervall på en vecka eller längre, baserat på serumkaliumnivån och önskat målintervall. Serumkalium bör övervakas när kliniskt indikerat (se avsnitt 4.4). Behandlingens längd bör individualiseras av den behandlande läkaren baserat på behovet av fortsatt sänkning av serumkaliumnivån. Om serumkalium faller under önskat intervall, ska dosen reduceras eller sättas ut.
Administrering av Veltassa bör ske minst 3 timmar från andra orala läkemedelsprodukter (se avsnitt 4.5).
Vuxna
Den rekommenderade startdosen är 8,4 g patiromer en gång dagligen. Den dagliga dosen kan ökas eller minskas med 8,4 g enligt behov för att uppnå målintervallet, upp till maximal dos på 25,2 g dagligen.
Ungdomar i åldern 12 till 17 år
Den rekommenderade startdosen är 4 g patiromer en gång dagligen. Justera den dagliga dosen patiromer baserat på serumkaliumnivån och det önskade målintervallet, upp till en maximal dos på 25,2 g dagligen. Det rekommenderas att övergå till 8,4 g patiromerpåsar om doser över 7 g behövs.
Missade doser
Om patienten missar en dos ska den glömda dosen tas så snart som möjligt samma dag. Den glömda dosen ska inte tas tillsammans med nästa dos.
Särskilda populationer
Äldre
Inga särskilda dos- och administreringsriktlinjer rekommenderas för denna population.
Dialyspatienter
Det finns begränsade data från användning av patiromer hos dialyspatienter. Inga särskilda dos- och administreringsriktlinjer användes för dessa patienter i kliniska prövningar. Inga pediatriska dialyspatienter har behandlats med patiromer.
Patienter med njursjukdom i slutskedet (ESRD)
Patiromer har endast studerats på ett begränsat antal patienter med en uppskattad glomerulär filtrationshastighet (eGFR) av < 15 ml/min/1,73 m².
Pediatrisk population
Säkerhet och effekt för patiromer för barn under 12 år har ännu inte fastställts. Data från ungdomar i åldern 12 till 17 år är begränsade till 6 månaders exponering. Därför bör behandling utöver 6 månader ske med försiktighet hos ungdomar i åldern 12 till 17 år (se avsnitt 4.4).
Administreringssätt
Oral användning.
Veltassa ska blandas med vatten och omröras till en suspension med jämn konsistens. De rekommenderade totala volymerna för beredning av suspensionen är dosberoende:
1 g patiromer: 10 ml
2 g patiromer: 20 ml
3 g patiromer: 30 ml
4 g patiromer: 40 ml
> 4 g patiromer: 80 ml
Suspensionen ska beredas enligt följande steg:
Den första hälften av den rekommenderade volymen för den erforderliga dosen ska hällas upp i ett glas och hela dosen patiromer ska tillsättas och sedan röras om.
Den andra hälften av den rekommenderade volymen ska tillsättas och suspensionen röras om ordentligt igen
Pulvret kommer inte att lösas upp. Det går även att tillsätta mer vatten till blandningen efter behov för att få önskad konsistens. Större volymer kan dock leda till en accelererad sedimentering av pulvret.
Blandningen ska tas inom 1 timme efter att den ursprungliga suspensionen tillretts. Om det finns pulver kvar i glaset ska mer vatten tillsättas, suspensionen röras om och tas omedelbart. Detta kan upprepas efter behov tills hela dosen har administrerats.
Enligt personliga preferenser kan följande vätskor eller mjuk mat användas i stället för vatten för att bereda blandningen genom att följa samma steg som beskrivs ovan: Äppeljuice, tranbärsjuice, ananasjuice, apelsinjuice, druvjuice, päronjuice, aprikosnektar, persikonektar, yoghurt, mjölk, förtjockningsmedel (t.ex. majsstärkelse), äppelmos, vanilj- och chokladpudding.
Kaliuminnehållet i vätskor eller mjuk mat som används för beredning av blandningen ska anses vara en del av kostrekommendationerna för kaliumintag för varje enskild patient.
I allmänhet ska intag av tranbärsjuice begränsas till måttliga mängder (till exempel mindre än 400 ml per dag) på grund av dess potentiella interaktion med andra läkemedel.
Detta läkemedel kan tas med eller utan måltider. Det ska inte värmas upp (t.ex. i mikrougn) eller tillsättas uppvärmd mat eller vätska. Det ska inte tas i dess torra form.
Administrering med nasogastrisk (NG) eller perkutan endoskopisk gastrostomi (PEG)-slang: För doser upp till 8,4 g patiromer ska suspensionen beredas enligt beskrivningen ovan i avsnittet om oral administrering. För doser över 8,4 g och upp till 16,8 g patiromer ska en total volym på 160 ml användas och för doser över 16,8 g och upp till 25,2 g patiromer en total volym på 240 ml. Dessa volymer säkerställer att suspensionen lätt flyter genom slangarna.
Kompatibilitet har visats med slangar tillverkade av polyuretan, silikon och polyvinylklorid. Den rekommenderade diametern på slangarna är 2,17 mm (6,5 Fr) eller större. Efter administrering ska slangen spolas med vatten. För instruktioner om kassering, se avsnitt 6.6.
Överkänslighet mot den aktiva substansen eller mot något hjälpämne som anges i avsnitt 6.1.
Lågt magnesium
I kliniska prövningar förekom serummagnesiumvärden < 1,4 mg/dl (0,58 mmol/l) i 7,1 % av vuxna patienter behandlade med patiromer och 0,3 % av patienterna utvecklade en serummagnesiumnivå på < 1,0 mg/dl (0,4 mmol/l). Minskningen i serummagnesium var i medeltal 0,137 mg/dl (0,0564 mmol/l) eller mindre. I en klinisk prövning som involverade pediatriska patienter var den genomsnittliga minskningen av serummagnesium vid vecka 26 0,35 mg/dl (0,1440 mmol/l). Inga patienter nådde serummagnesium < 1,4 mg/dl (0,58 mmol/l) under den pediatriska kliniska prövningen.
Serummagnesium bör övervakas under minst 1 månad efter påbörjad behandling och enligt klinisk indikation under behandlingen och magnesiumkomplettering övervägas hos patienter som utvecklar låga nivåer av serummagnesium (se avsnitt 4.8).
Magtarmkanalen
Patienter som tidigare haft tarmvred eller genomgått större gastrointestinala operationer, allvarliga gastrointestinala besvär eller sväljrubbningar har uteslutits från de kliniska prövningarna. Gastrointestinal ischemi, nekros och/eller intestinal perforation har rapporterats med andra bindemedel för kalium. Nyttan och riskerna med administrering av patiromer bör utvärderas noga hos vuxna och pediatriska patienter med rådande eller tidigare allvarliga gastrointestinala besvär före och under behandlingen.
Utsättning av patiromer
Vid utsättning av patiromer kan nivåerna av serumkalium öka, vilket leder till återkommande hyperkalemi, i synnerhet om behandling som hämmar renin-angiotensin-aldosteronsystemet (RAAS) fortsätter. Patienter bör instrueras att inte avbryta behandlingen utan att först rådgöra med läkare. Ökningar i serumkalium kan inträffa så tidigt som 2 dagar efter den sista patiromer-dosen. Det finns begränsad information om serumkaliumnivåer hos pediatriska patienter vid utsättning av patiromer.
Nivåer av serumkalium
Serumkalium bör övervakas enligt standardpraxis när det är kliniskt indikerat, som när förändringar har gjorts i behandling med medicinska produkter som påverkar koncentrationen av serumkalium (t.ex. RAAS-hämmare eller diuretika), och efter att patiromer-dosen har titrerats eller avbrutits.
Begränsningar för kliniska data
Svår hyperkalemi
Erfarenheten av patienter med serumkaliumkoncentrationer på mer än 6,5 mmol/l är begränsad. I den pediatriska populationen är erfarenheten begränsad till patienter med maximala serumkaliumkoncentrationer på 6,2 mmol/l. Veltassa ska inte användas som akutbehandling för livshotande hyperkalemi på grund av dess försenade effekt (se avsnitt 4.2).
Långtidsexponering
Det finns begränsade data från kliniska studier hos vuxna med en exponering på ett år eller längre. Kliniska prövningar på pediatriska patienter har inte inkluderat exponering längre än 6 månader. Därför bör behandling utöver 6 månader ske med försiktighet hos ungdomar i åldern 12 till 17 år.
Information om sorbitol
Veltassa innehåller sorbitol som en del av motjonens komplex. Innehållet av sorbitol är ungefär 4 g (10,4 kcal) per 8,4 g patiromer och cirka 0,5 g (1,2 kcal) per 1 g patiromer. Patienter med hereditär fruktosintolerans bör inte använda detta läkemedel.
Information om kalcium
Veltassa innehåller kalcium som en del av motjonens komplex. Kalcium frigörs delvist och en del av det kan absorberas (se avsnitt 5.1). Nyttan och riskerna med administrering av detta läkemedel bör utvärderas noga hos vuxna och pediatriska patienter med risk för hyperkalcemi. Serumkalcium bör övervakas i minst 1 månad efter påbörjad behandling och enligt klinisk indikation under behandling.
Effekten av patiromer på andra läkemedel
Test Patiromer kan binda vissa oralt samadministrerade läkemedel, vilket skulle kunna minska den gastrointestinala absorptionen av dem. Ökad biotillgänglighet av samtidigt administrerade läkemedel observerades inte i de utförda läkemedelsinteraktionsstudierna. Eftersom patiromer inte absorberas eller metaboliseras av kroppen, är effekten på funktionen av andra läkemedel begränsad.
Som förebyggande åtgärd och baserat på informationen som sammanfattas nedan ska administrering av patiromer separeras minst 3 timmar från andra orala läkemedel.
In vivo-studier
Samtidig administrering av patiromer påverkade inte biotillgängligheten enligt uppmätt area under kurvan (AUC) för amlodipin, cinacalcet, klopidogrel, furosemid, litium, metoprolol, trimetoprim, verapamil och warfarin. För dessa läkemedel behövs ingen separation.
Samtidig administrering av patiromer visade reducerad biotillgänglighet för ciprofloxacin, levotyroxin och metformin. Ingen interaktion förekom dock när patiromer och dessa läkemedel togs med 3 timmars mellanrum.
Interaktionsstudier har endast utförts på vuxna.
In vitro studier
In vitro-studier har inte visat någon potentiell interaktion mellan patiromer och följande aktiva substanser: allopurinol, amoxicillin, apixaban, acetylsalicylsyra, atorvastatin, azilsartan, benazepril, bumetanid, kanagliflozin, kandesartan, kaptopril, cefalexin, dapaglifloxin, digoxin, empagliflozin, enalapril, eplerenon, finerenon, fosinopril, glipizid, irbesartan, lisinopril, losartan, olmesartan, perindopril, fenytoin,
kinapril, ramipril, riboflavin, rivaroxaban, sakubitril, sevelamer, spironolakton takrolimus, torasemid, trandolapril och valsartan.
In vitro-studier har visat potentiell interaktion av patiromer med bisoprolol, karvedilol, mykofenolat mofetil, nebivolol, kinidin, and telmisartan.
Graviditet
Det finns inga data från användning av patiromer i gravida kvinnor.
Djurstudier visar inga direkta eller indirekta skadliga reproduktionstoxikologiska effekter (se avsnitt 5.3).
Som en försiktighetsåtgärd bör man undvika användning av patiromer under graviditet.
Amning
Inga effekter förutses på ammade nyfödda/spädbarn eftersom systemexponering hos den ammande kvinnan av patiromer är försumbar. Beslutet om man ska avbryta amningen eller avbryta/avstå från behandlingen med patiromer måste fattas med hänsyn till fördelarna med amning för barnet och fördelarna med behandlingen för kvinnan.
Fertilitet
Det finns inga data om effekterna av patiromer på mänsklig fertilitet. Djurförsök visade inga effekter på fortplantningsförmåga eller fertilitet (se avsnitt 5.3).
Patiromer har ingen eller försumbar effekt på förmågan att framföra fordon och använda maskiner.
Sammanfattning av säkerhetsprofilen
Majoriteten av läkemedelsbiverkningar som rapporterats från kliniska prövningar på vuxna patienter var gastrointestinala besvär, där de mest frekvent rapporterade biverkningarna var hypomagnesemi (1,8 %) och gastrointestinala besvär, och de mest frekvent rapporterade biverkningarna var förstoppning (3,7 %), diarré (3 %), buksmärta (1,4 %), illamående (1,3 %) och gasbildning (1 %). De gastrointestinala besvären var generellt milda till måttliga, föreföll inte vara dosrelaterade, försvann generellt av sig själva eller med behandling och inga rapporterades vara allvarliga. Hypomagnesemi var mild till måttlig då 0,3 % av patienterna utvecklade en serummagnesiumnivå <1 mg/dl (< 0,4 mmol/l) (se avsnitt 4.4).
Tabell över biverkningar
Biverkningar rapporterade i kliniska prövningar anges nedan efter organsystem och frekvens. Frekvenserna definieras som: mycket vanliga (≥ 1/10), vanliga (≥ 1/100, < 1/10), mindre vanliga (≥ 1/1 000, < 1/100), sällsynta (≥ 1/10 000, < 1/1 000), mycket sällsynta (< 1/10 000) och ingen känd frekvens (kan inte beräknas från tillgängliga data). Inom varje frekvensgrupp visas biverkningar i fallande allvarlighetsgrad.
* Biverkningar rapporterade även i de pediatriska kliniska prövningarna
1 Biverkningar rapporterats efter marknadsintroduktion.
2 Överkänslighetsreaktioner inkluderar utslag, urtikaria, svullnad av munhålan och läppar och de var av lindrig till måttlig svårighetgrad.
3 Förstoppning är ett samlat begrepp för de föredragna termerna förstoppning och hård avföring.
4 Diarré är ett samlat begrepp för diarré och frekvent tarmtömning.
5 Buksmärtor är ett samlat begrepp för de föredragna termerna magbesvär, magsmärta, smärta i övre buken och smärta i nedre buken.
Pediatrisk population
Säkerheten för patiromer för behandling av hyperkalemi har studerats i en enda studie med 23 pediatriska patienter i åldern 6 till 17 år. Den biverkningsprofil som observerades hos pediatriska patienter överensstämde i stort sett med säkerhetsprofilen hos vuxna. Säkerheten för patiromer har inte studerats hos patienter yngre än 6 år.
Biverkningar rapporterades för totalt 4 patienter; 3 i åldersgruppen 12 till < 18 år och 1 i åldersgruppen 6 till < 12 år. Hos 2 av dessa patienter hörde biverkningarna till organsystem gastrointestinala störningar, dvs diarré, förstoppning, frekventa tarmrörelser och flatulens. De återstående läkemedelsbiverkningarna var ökad kalcium i blodet och hypokalemi. Dessa var alla icke allvarliga biverkningar och milda till måttliga i svårighetsgrad.
Rapportering av misstänkta biverkningar
Eftersom för höga doser av patiromer kan leda till hypokalemi bör nivåerna av serumkalium övervakas. Patiromer utsöndras efter ungefär 24 till 48 timmar, baserat på genomsnittlig gastrointestinal genomgångstid. Om det fastställs att medicinska åtgärder krävs kan lämpliga åtgärder övervägas för att återställa serumkaliumnivån.
Pediatrisk population
Doser över 25,2 g patiromer per dag för ungdomar i åldern 12 till 17 år och över 12 g för barn 6 till under 12 år har inte testats. Eftersom för höga doser av patiromer kan resultera i hypokalemi, bör serumkaliumnivåer övervakas. Om det fastställs att medicinsk intervention krävs, kan lämpliga åtgärder för att återställa serumkalium övervägas.
Klinisk effekt och säkerhet
Totalt i de kliniska fas 2- och fas 3-prövningarna fick 99,5 % av patienterna behandling med RAAS-hämmare vid baslinjen, 87,0 % hade CKD med eGFR < 60 ml/min/1,73 m², 65,6 % hade diabetes mellitus och 47,5 % hade hjärtsvikt.
Studie 1 (OPAL-HK)
Säkerheten och effekten för patiromer demonstrerades i en enkelblind randomiserad utsättningsstudie i två delar, där denna behandling utvärderades hos vuxna hyperkalemipatienter med CKD (kronisk njursjukdom) på stabila doser av minst en RAAS-hämmare (d.v.s. ACE-hämmare [ACEI], angiotensin II-receptorblockerare [ARB] eller mineralkortikoidreceptorantagonist [MRA]).
I del A behandlades 243 patienter med patiromer under 4 veckor. Patienter med ett baslinjeserumkalium på 5,1 mmol/l till < 5,5 mmol/l (mekv/l) fick en startdos på 8,4 g patiromer per dag (som uppdelad dos) och patienter med ett baslinjeserumkalium på 5,5 mmol/l till < 6,5 mmol/l fick en startdos på 16,8 g patiromer per dag (som uppdelad dos). Dosen titrerades vid behov på grundval av serumkaliumnivån, bedömd med början på Dag 3 och därefter vid veckobesök fram till slutet av behandlingsperioden på 4 veckor, med målet att bibehålla serumkalium inom målintervallet (3,8 mmol/l till < 5,1 mmol/l). Genomsnittliga dagliga doser av patiromer var 13 g och 21 g för patienter med serumkalium 5,1 till < 5,5 mmol/l respektive 5,5 till < 6,5 mmol/l.
Patienternas genomsnittliga ålder var 64 år (54 % 65 år och äldre, 17 % 75 år och äldre), 58 % av patienterna var män och 98 % var kaukasier. Cirka 97 % av patienterna hade hypertoni, 57 % hade typ 2-diabetes och 42 % hade hjärtsvikt.
Genomsnittliga serumkaliumnivåer och förändring i serumkalium från del A-baslinje till del A, vecka 4 visas i tabell 1. För del A, sekundärt utfall hade 76 % (95 % CI: 70 %, 81 %) av patienterna ett serumkalium inom målintervallet 3,8 mmol/l till < 5,1 mmol/l vid del A, vecka 4.
Tabell 1: Patiromer behandlingsfas (del A): primärt effektmått
I del B randomiserades 107 patienter med del A-baslinjeserumkalium 5,5 mmol/l till < 6,5 mmol/l som hade serumkalium inom målintervallet (3,8 mmol/l till < 5,1 mmol/l) vid del A vecka 4 och som fortfarande fick RAAS-hämmande behandling till att fortsätta med patiromer eller till att få placebo under 8 veckor för att utvärdera vilken effekt utsättning av patiromer hade på serumkalium. För patienter som randomiserats att få patiromer var den genomsnittliga dagliga dosen 21 g vid start av del B och under del B.
Det primära effektmåttet i del B var förändringen i serumkalium från del B-baslinjen till det tidigaste besök då patientens serumkalium först låg utanför intervallet 3,8 till < 5,5 mmol/l eller till del B vecka 4 om patientens serumkalium låg kvar inom intervallet. I del B skedde en signifikant ökning av serumkaliumnivån i placebogruppen i jämförelse med de patienter som fortsatte med patiromer (p < 0,001).
Fler placebopatienter (91 % [95 % CI: 83 %, 99 %]) utvecklade ett serumkalium ≥ 5,1 mmol/l vid någon tidpunkt under del B än patiromer-patienter (43 % [95 % CI: 30 %, 56 %]), p < 0,001. Fler placebopatienter (60 % [95 % CI: 47 %, 74 %]) utvecklade ett serumkalium ≥ 5,5 mmol/l vid någon tidpunkt under del B än patiromer-patienter (15 % [95 % CI: 6 %, 24 %]), p < 0,001.
Förmågan hos patiromer att möjliggöra samtidig behandling med RAAS-hämmare utvärderades också i del B: Femtiotvå procent (52 %) av personerna som fick placebo upphörde med RAAS-hämmande behandling på grund av recidiverande hyperkalemi jämfört med 5 % av de som behandlades med patiromer.
Studie 2 (AMETHYST-DN)
Effekten av behandling med patiromer i upp till 52 veckor utvärderades i en öppen studie av 304 hyperkalemipatienter med CKD och typ 2 diabetes mellitus och stabila doser av en RAAS-hämmare. Patienternas genomsnittliga ålder var 66 år (59,9 % 65 år och äldre, 19,7 % 75 år och äldre), 63 % av patienterna var män och samtliga var kaukasier. Minskningar i serumkalium med patiromer-behandling upprätthölls under 1 års kronisk behandling så som visas i figur 1, med låg förekomst av hypokalemi (2,3 %) och en majoritet av patienterna nådde (97,7 %) och bibehöll målnivåer av serumkalium (totalt under underhållsperioden låg serumkalium inom målintervallet ungefär 80 % av tiden). Hos patienter med baslinjeserumkalium på > 5,0 till 5,5 mmol/l som fick en ursprunglig dos på 8,4 g patiromer per dag var den genomsnittliga dagliga dosen 14 g och hos patienter med baslinjeserumkalium på > 5,5 till < 6,0 mmol/l som fick en ursprunglig dos på 16,8 g patiromer per dag var den genomsnittliga dagliga dosen 20 g under hela studien.
Figur 1: Genomsnittligt (95 % CI) serumkalium över tid
Studie 3 (PEARL-HF)
Kapaciteten hos patiromer att möjliggöra samtidig behandling med spironolakton utvärderades i en randomiserad, dubbel-blind, placebokontrollerad studie på hjärtsviktspatienter som var kliniskt indikerade att få MRA. Patienterna började med spironolakton på 25 mg/dag samtidigt med den randomiserade behandlingen (12,6 g patiromer BID eller placebo) och titrerades upp till 50 mg/dag efter dag 14 om serumkaliumnivån var > 3,5 och ≤ 5,1 mmol/l. Av de 105 patienter som randomiserades och fick studiebehandlingen (patiromer 56, placebo 49) var den genomsnittliga åldern 68,3 år, 60,6 % var män, 97,1 % var kaukasier och genomsnittligt eGFR var 81,3 ml/min. De genomsnittliga baslinjevärdena för serumkalium var 4,71 mmol/l för patiromer och 4,68 mmol/l för placebo.
Den primära effektvariabeln, ändring från baslinjen i serumkalium till slutet av behandlingsperioden på 28 dagar, var betydligt lägre (p < 0,001) i patiromer-gruppen (genomsnittligt LS [SEM]: −0,21 [0,07] mmol/l) i jämförelse med placebogruppen (genomsnittligt LS [SEM]: +0,23 [0,07] mmol/l). Det var även färre patienter i patiromer-gruppen med serumkaliumvärden på > 5,5 mmol/l (7,3 % mot 24,5 %; p = 0,027) och fler patienter på spironolakton 50 mg/dag (90,9 % mot 73,5 %, p = 0,022).
Studie 4 (AMBER)
Förmågan hos patiromer att möjliggöra samtidig behandling med spironolakton hos patienter med resistent hypertension och CKD undersöktes vidare i en randomiserad, dubbelblind, placebokontrollerad studie under 12 veckor. Normokalemiska patienter började med spironolakton med 25 mg/dag samtidigt med den randomiserade behandlingen (patiromer 8,4 g eller placebo/dag).
Patiromer/placebo titrerades varje vecka (upp till 25,2 g/dag) för att upprätthålla serumkalium på ≥ 4,0 mmol/l och ≤ 5,1 mmol/l. Vecka 3 eller senare ökades dosen spironolakton till 50 mg/dag för patienter med systoliskt blodtryck ≥ 120 mmHg och serumkalium ≤ 5,1 mmol/l.
Av de 295 randomiserade patienterna som fick studiebehandling (patiromer 147, placebo 148) var den genomsnittliga åldern 68,1 år, 51,9 % var män, 98,3 % var kaukasier och genomsnittlig eGFR var 35,73 ml/min/1,73 m2. Vid randomiseringen var de genomsnittliga baslinjevärdena för serumkalium 4,74 mmol/l för patiromer och 4,69 mmol/l för placebo. Det primära effektmåttet, andelen patienter som fortsätter med spironolakton vecka 12, var signifikant högre (p < 0,0001) i patiromergruppen (85,7 %) jämfört med placebogruppen (66,2 %). Signifikant fler patienter fick spironolakton 50 mg/dag (69,4 % mot 51,4 %).
Totalt kvarstod patienterna i patiromergruppen 7,1 dagar längre (95 % KI 2,2–12,0; p = 0,0045) på spironolakton, jämfört med placebogruppen och fick signifikant högre kumulativa doser spironolakton (2942,3 (SE 80,1) mg mot 2580,7 (SE 95,8) mg, p = 0,0021).
Det fanns också signifikant färre patienter i patiromergruppen med serumkaliumvärden ≥ 5,5 mmol/l (35,4 % mot 64,2 %, p < 0,001).
Vid vecka 12 hade det genomsnittliga systoliska blodtrycket minskat med 11,0 mmHg (SD 15,34) i spironolakton + placebogruppen och med 11,3 mmHg (SD 14,11) i spironolakton + patiromergruppen. Dessa minskningar från baslinje var statistiskt signifikanta inom varje behandlingsgrupp (p < 0,0001), men inte statistiskt signifikanta mellan grupperna.
Effekt av mat
I en öppen studie randomiserades 114 hyperkalemipatienter att få patiromer en gång dagligen med eller utan mat. Serumkalium i slutet av behandlingen, förändringen från baslinjen av serumkalium och den genomsnittliga dosen av patiromer var liknande mellan grupperna.
Pediatrisk population
En öppen flerdosstudie utvärderade effekt, säkerhet och tolerabilitet för patiromer för oral suspension hos barn och ungdomar i åldern 6 till 18 år med icke-dialys CKD och hyperkalemi. Patienter med svår gastrointestinal diagnos eller operation exkluderades. Studien inkluderade 2 behandlingsfaser; först en initial 14-dagars dossökningsfas, följt av en upp till 24-veckors långtidsbehandlingsfas (LT) med totalt upp till 26 behandlingsveckor. Studien bestod av två åldersgrupper 12 till < 18 år och 6 till < 12 år, och startdoserna av patiromer i varje åldersgrupp valdes utgående från medianvikterna. Patiromer gavs en gång dagligen som ett pulver till oral suspension.
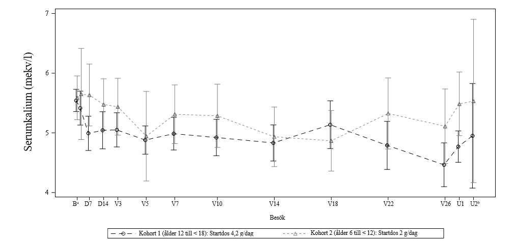
Sammantaget fullbordade 23 patienter (14 patienter i åldern 12 till < 18 år och 9 patienter i åldern 6 till < 12 år) dossökningsfasen och 21 patienter (12 patienter i åldern 12 till < 18 år och 9 patienter i åldern 6 till < 12 år) LT-behandlingsfasen. Ingen patient avbröt studien på grund av säkerhetsproblem. Det primära effektmåttet för denna studie var förändring från baslinjen i serumkaliumnivåer vid dag 14. I båda åldersgrupperna observerades en minskning av kaliumnivåerna på dag 14: genomsnittlig (SD) kaliumförändring från baslinjen var -0,50 (0,542) mekv/l i 12 till < 18 års ålder och -0,14 (0,553) mekv/l i 6 till <12 års ålder) och bibehölls under hela studien under behandling (figur 2).
De sekundära effektmåtten var andelen patienter med serumkalium inom målintervallet (3,8 till 5,0 mekv/l) på dag 14 (dossökningsfas) och vid besök när som helst genom månad 6 (LT-behandlingsfas). I gruppen 12 till < 18 år uppnådde 50,0 % och 81,8 % av patienterna serumkaliumnivåer inom målintervallet vid dag 14 respektive vecka 26. Patiromerdosen på 4,2 g/dag verkar vara en lämplig startdos för denna grupp. I gruppen 6 till < 12 år uppnådde endast 12,5 % och 22,2 % av patienterna serumkaliumnivåer inom målintervallet vid dag 14 respektive vecka 26.
Figur 2. Medelvärden (± 95 % KI) för serumkaliumnivåer (säkerhetspopulation, N = 23)
Anmärkningar: a ett baslinjevärde var det sista icke-saknade centrala laboratorievärdet som samlades in före datumet och tiden för den första dosen av patiromer.
b Uppföljning 2 var ett valfritt klinikbesök och kunde vara ett telefonsamtal.
Serumkaliumdata från eller efter datumet för påbörjande av dialys exkluderades
BL= Baslinje; KI=konfidensintervall; D=Day; FU=Follow-up; W=Week.
I gruppen 12 till < 18 år, vid dag 14 och i slutet av behandlingen, var mediandosen ordinerad patiromer 4,2 och 8,4 g/dag, och den genomsnittliga förändringen från baslinjen i serumkalium var ‑0,50 respektive -1,08 mekv/l. I gruppen 6 till < 12 år, vid dag 14 och vid slutet av behandlingen, var mediandosen ordinerad patiromer 6,0 och 8,0 g/dag och den genomsnittliga förändringen från baslinjen i kalium var -0,14 respektive -0,50 mekv/l. Hos patienter i åldern 12 till 17 år föreföll dos-responsresultaten kvalitativt visa att en högre dos av patiromer var associerad med en större minskning av serumkalium under ett behandlingsintervall. I gruppen 6 till < 12 år var emellertid resultaten av dosfyndet inte avgörande. Ytterligare utvärdering av patiromer hos patienter i åldern 6 till < 12 år krävs således för att fastställa nytta-risk.
Europeiska läkemedelsmyndigheten har senarelagt kravet att skicka in studieresultat från studier av Veltassa på barn under 6 år för behandling av hyperkalemi (information om pediatrisk användning finns i avsnitt 4.2).
Patiromer verkar genom att binda kalium i mag-tarmkanalen. Därför är serumkoncentrationen inte relevant för dess effekt. På grund av detta läkemedels olöslighets- och icke-absorberande egenskaper kan många klassiska farmakokinetiska studier inte genomföras.
Patiromer utsöndras ungefär 24 till 48 timmar efter intaget, baserat på genomsnittlig gastrointestinal genomgångstid.
I studier med radioaktiv märkning på råttor och hundar togs patiromer inte upp systemiskt, utan utsöndrades i avföringen. Kvantitativa helkroppsanalyser med autoradiografi på råttor visade att radioaktiviteten begränsades till mag-tarmkanalen, utan detekterbara nivåer av radioaktivitet i andra vävnader eller organ.
Gängse studier avseende säkerhetsfarmakologi, allmäntoxicitet, gentoxicitet, reproduktionseffekter och effekter på utveckling visade inte några särskilda risker för människa.
Patiromer var inte genotoxiskt i test av återmutation (Ames test), kromosomavvikelsetest eller mikronukleustest på råtta.
Inga karcinogenicitetsstudier har utförts.
Farmakoterapeutisk grupp: Läkemedel för behandling av hyperkalemi och hyperfostatemi. ATC-kod: V03AE09
Verkningsmekanism
Patiromer är en icke-absorberad, katjonbytespolymer som innehåller ett kalcium-sorbitolkomplex som motjon.
Patiromer ökar utsöndringen av kalium via avföringen genom att binda kalium i mag-tarmkanalens lumen. Bindning av kalium minskar koncentrationen av fritt kalium i mag-tarmkanalen, vilket resulterar i en sänkning av serumkaliumnivåerna.
Farmakodynamisk effekt
Hos friska vuxna orsakade patiromer en dosberoende ökning av kaliumutsöndring i avföringen och en motsvarande minskning i kaliumutsöndring i urinen utan någon förändring av serumkalium. 25,2 g patiromer, administrerat en gång dagligen i 6 dagar, resulterade i en genomsnittlig ökning av kaliumutsöndring i avföringen med 1 283 mg/dag och en genomsnittlig minskning av kaliumutsöndring i urinen med 1 438 mg/dag. Daglig kalciumutsöndring i urinen ökade från baslinjen med 53 mg/dag.
I en öppen studie för bedömning av tid till verkningsdebut observerades en statistiskt signifikant minskning i serumkalium hos hyperkalemipatienter 7 timmar efter den första dosen. Efter utsättning av patiromer förblev kaliumnivåerna stabila i 24 timmar efter den sista dosen och steg därefter igen under en observationsperiod på 4 dagar.
Klinisk effekt och säkerhet
Totalt i de kliniska fas 2- och fas 3-prövningarna fick 99,5 % av patienterna behandling med RAAS-hämmare vid baslinjen, 87,0 % hade CKD med eGFR < 60 ml/min/1,73 m², 65,6 % hade diabetes mellitus och 47,5 % hade hjärtsvikt.
Studie 1 (OPAL-HK)
Säkerheten och effekten för patiromer demonstrerades i en enkelblind randomiserad utsättningsstudie i två delar, där denna behandling utvärderades hos vuxna hyperkalemipatienter med CKD (kronisk njursjukdom) på stabila doser av minst en RAAS-hämmare (d.v.s. ACE-hämmare [ACEI], angiotensin II-receptorblockerare [ARB] eller mineralkortikoidreceptorantagonist [MRA]).
I del A behandlades 243 patienter med patiromer under 4 veckor. Patienter med ett baslinjeserumkalium på 5,1 mmol/l till < 5,5 mmol/l (mekv/l) fick en startdos på 8,4 g patiromer per dag (som uppdelad dos) och patienter med ett baslinjeserumkalium på 5,5 mmol/l till < 6,5 mmol/l fick en startdos på 16,8 g patiromer per dag (som uppdelad dos). Dosen titrerades vid behov på grundval av serumkaliumnivån, bedömd med början på Dag 3 och därefter vid veckobesök fram till slutet av behandlingsperioden på 4 veckor, med målet att bibehålla serumkalium inom målintervallet (3,8 mmol/l till < 5,1 mmol/l). Genomsnittliga dagliga doser av patiromer var 13 g och 21 g för patienter med serumkalium 5,1 till < 5,5 mmol/l respektive 5,5 till < 6,5 mmol/l.
Patienternas genomsnittliga ålder var 64 år (54 % 65 år och äldre, 17 % 75 år och äldre), 58 % av patienterna var män och 98 % var kaukasier. Cirka 97 % av patienterna hade hypertoni, 57 % hade typ 2-diabetes och 42 % hade hjärtsvikt.
Genomsnittliga serumkaliumnivåer och förändring i serumkalium från del A-baslinje till del A, vecka 4 visas i tabell 1. För del A, sekundärt utfall hade 76 % (95 % CI: 70 %, 81 %) av patienterna ett serumkalium inom målintervallet 3,8 mmol/l till < 5,1 mmol/l vid del A, vecka 4.
Tabell 1: Patiromer behandlingsfas (del A): primärt effektmått
I del B randomiserades 107 patienter med del A-baslinjeserumkalium 5,5 mmol/l till < 6,5 mmol/l som hade serumkalium inom målintervallet (3,8 mmol/l till < 5,1 mmol/l) vid del A vecka 4 och som fortfarande fick RAAS-hämmande behandling till att fortsätta med patiromer eller till att få placebo under 8 veckor för att utvärdera vilken effekt utsättning av patiromer hade på serumkalium. För patienter som randomiserats att få patiromer var den genomsnittliga dagliga dosen 21 g vid start av del B och under del B.
Det primära effektmåttet i del B var förändringen i serumkalium från del B-baslinjen till det tidigaste besök då patientens serumkalium först låg utanför intervallet 3,8 till < 5,5 mmol/l eller till del B vecka 4 om patientens serumkalium låg kvar inom intervallet. I del B skedde en signifikant ökning av serumkaliumnivån i placebogruppen i jämförelse med de patienter som fortsatte med patiromer (p < 0,001).
Fler placebopatienter (91 % [95 % CI: 83 %, 99 %]) utvecklade ett serumkalium ≥ 5,1 mmol/l vid någon tidpunkt under del B än patiromer-patienter (43 % [95 % CI: 30 %, 56 %]), p < 0,001. Fler placebopatienter (60 % [95 % CI: 47 %, 74 %]) utvecklade ett serumkalium ≥ 5,5 mmol/l vid någon tidpunkt under del B än patiromer-patienter (15 % [95 % CI: 6 %, 24 %]), p < 0,001.
Förmågan hos patiromer att möjliggöra samtidig behandling med RAAS-hämmare utvärderades också i del B: Femtiotvå procent (52 %) av personerna som fick placebo upphörde med RAAS-hämmande behandling på grund av recidiverande hyperkalemi jämfört med 5 % av de som behandlades med patiromer.
Studie 2 (AMETHYST-DN)
Effekten av behandling med patiromer i upp till 52 veckor utvärderades i en öppen studie av 304 hyperkalemipatienter med CKD och typ 2 diabetes mellitus och stabila doser av en RAAS-hämmare. Patienternas genomsnittliga ålder var 66 år (59,9 % 65 år och äldre, 19,7 % 75 år och äldre), 63 % av patienterna var män och samtliga var kaukasier. Minskningar i serumkalium med patiromer-behandling upprätthölls under 1 års kronisk behandling så som visas i figur 1, med låg förekomst av hypokalemi (2,3 %) och en majoritet av patienterna nådde (97,7 %) och bibehöll målnivåer av serumkalium (totalt under underhållsperioden låg serumkalium inom målintervallet ungefär 80 % av tiden). Hos patienter med baslinjeserumkalium på > 5,0 till 5,5 mmol/l som fick en ursprunglig dos på 8,4 g patiromer per dag var den genomsnittliga dagliga dosen 14 g och hos patienter med baslinjeserumkalium på > 5,5 till < 6,0 mmol/l som fick en ursprunglig dos på 16,8 g patiromer per dag var den genomsnittliga dagliga dosen 20 g under hela studien.
Figur 1: Genomsnittligt (95 % CI) serumkalium över tid
Studie 3 (PEARL-HF)
Kapaciteten hos patiromer att möjliggöra samtidig behandling med spironolakton utvärderades i en randomiserad, dubbel-blind, placebokontrollerad studie på hjärtsviktspatienter som var kliniskt indikerade att få MRA. Patienterna började med spironolakton på 25 mg/dag samtidigt med den randomiserade behandlingen (12,6 g patiromer BID eller placebo) och titrerades upp till 50 mg/dag efter dag 14 om serumkaliumnivån var > 3,5 och ≤ 5,1 mmol/l. Av de 105 patienter som randomiserades och fick studiebehandlingen (patiromer 56, placebo 49) var den genomsnittliga åldern 68,3 år, 60,6 % var män, 97,1 % var kaukasier och genomsnittligt eGFR var 81,3 ml/min. De genomsnittliga baslinjevärdena för serumkalium var 4,71 mmol/l för patiromer och 4,68 mmol/l för placebo.
Den primära effektvariabeln, ändring från baslinjen i serumkalium till slutet av behandlingsperioden på 28 dagar, var betydligt lägre (p < 0,001) i patiromer-gruppen (genomsnittligt LS [SEM]: −0,21 [0,07] mmol/l) i jämförelse med placebogruppen (genomsnittligt LS [SEM]: +0,23 [0,07] mmol/l). Det var även färre patienter i patiromer-gruppen med serumkaliumvärden på > 5,5 mmol/l (7,3 % mot 24,5 %; p = 0,027) och fler patienter på spironolakton 50 mg/dag (90,9 % mot 73,5 %, p = 0,022).
Studie 4 (AMBER)
Förmågan hos patiromer att möjliggöra samtidig behandling med spironolakton hos patienter med resistent hypertension och CKD undersöktes vidare i en randomiserad, dubbelblind, placebokontrollerad studie under 12 veckor. Normokalemiska patienter började med spironolakton med 25 mg/dag samtidigt med den randomiserade behandlingen (patiromer 8,4 g eller placebo/dag).
Patiromer/placebo titrerades varje vecka (upp till 25,2 g/dag) för att upprätthålla serumkalium på ≥ 4,0 mmol/l och ≤ 5,1 mmol/l. Vecka 3 eller senare ökades dosen spironolakton till 50 mg/dag för patienter med systoliskt blodtryck ≥ 120 mmHg och serumkalium ≤ 5,1 mmol/l.
Av de 295 randomiserade patienterna som fick studiebehandling (patiromer 147, placebo 148) var den genomsnittliga åldern 68,1 år, 51,9 % var män, 98,3 % var kaukasier och genomsnittlig eGFR var 35,73 ml/min/1,73 m2. Vid randomiseringen var de genomsnittliga baslinjevärdena för serumkalium 4,74 mmol/l för patiromer och 4,69 mmol/l för placebo. Det primära effektmåttet, andelen patienter som fortsätter med spironolakton vecka 12, var signifikant högre (p < 0,0001) i patiromergruppen (85,7 %) jämfört med placebogruppen (66,2 %). Signifikant fler patienter fick spironolakton 50 mg/dag (69,4 % mot 51,4 %).
Totalt kvarstod patienterna i patiromergruppen 7,1 dagar längre (95 % KI 2,2–12,0; p = 0,0045) på spironolakton, jämfört med placebogruppen och fick signifikant högre kumulativa doser spironolakton (2942,3 (SE 80,1) mg mot 2580,7 (SE 95,8) mg, p = 0,0021).
Det fanns också signifikant färre patienter i patiromergruppen med serumkaliumvärden ≥ 5,5 mmol/l (35,4 % mot 64,2 %, p < 0,001).
Vid vecka 12 hade det genomsnittliga systoliska blodtrycket minskat med 11,0 mmHg (SD 15,34) i spironolakton + placebogruppen och med 11,3 mmHg (SD 14,11) i spironolakton + patiromergruppen. Dessa minskningar från baslinje var statistiskt signifikanta inom varje behandlingsgrupp (p < 0,0001), men inte statistiskt signifikanta mellan grupperna.
Effekt av mat
I en öppen studie randomiserades 114 hyperkalemipatienter att få patiromer en gång dagligen med eller utan mat. Serumkalium i slutet av behandlingen, förändringen från baslinjen av serumkalium och den genomsnittliga dosen av patiromer var liknande mellan grupperna.
Pediatrisk population
En öppen flerdosstudie utvärderade effekt, säkerhet och tolerabilitet för patiromer för oral suspension hos barn och ungdomar i åldern 6 till 18 år med icke-dialys CKD och hyperkalemi. Patienter med svår gastrointestinal diagnos eller operation exkluderades. Studien inkluderade 2 behandlingsfaser; först en initial 14-dagars dossökningsfas, följt av en upp till 24-veckors långtidsbehandlingsfas (LT) med totalt upp till 26 behandlingsveckor. Studien bestod av två åldersgrupper 12 till < 18 år och 6 till < 12 år, och startdoserna av patiromer i varje åldersgrupp valdes utgående från medianvikterna. Patiromer gavs en gång dagligen som ett pulver till oral suspension.
Sammantaget fullbordade 23 patienter (14 patienter i åldern 12 till < 18 år och 9 patienter i åldern 6 till < 12 år) dossökningsfasen och 21 patienter (12 patienter i åldern 12 till < 18 år och 9 patienter i åldern 6 till < 12 år) LT-behandlingsfasen. Ingen patient avbröt studien på grund av säkerhetsproblem. Det primära effektmåttet för denna studie var förändring från baslinjen i serumkaliumnivåer vid dag 14. I båda åldersgrupperna observerades en minskning av kaliumnivåerna på dag 14: genomsnittlig (SD) kaliumförändring från baslinjen var -0,50 (0,542) mekv/l i 12 till < 18 års ålder och -0,14 (0,553) mekv/l i 6 till <12 års ålder) och bibehölls under hela studien under behandling (figur 2).
De sekundära effektmåtten var andelen patienter med serumkalium inom målintervallet (3,8 till 5,0 mekv/l) på dag 14 (dossökningsfas) och vid besök när som helst genom månad 6 (LT-behandlingsfas). I gruppen 12 till < 18 år uppnådde 50,0 % och 81,8 % av patienterna serumkaliumnivåer inom målintervallet vid dag 14 respektive vecka 26. Patiromerdosen på 4,2 g/dag verkar vara en lämplig startdos för denna grupp. I gruppen 6 till < 12 år uppnådde endast 12,5 % och 22,2 % av patienterna serumkaliumnivåer inom målintervallet vid dag 14 respektive vecka 26.
Figur 2. Medelvärden (± 95 % KI) för serumkaliumnivåer (säkerhetspopulation, N = 23)
Anmärkningar: a ett baslinjevärde var det sista icke-saknade centrala laboratorievärdet som samlades in före datumet och tiden för den första dosen av patiromer.
b Uppföljning 2 var ett valfritt klinikbesök och kunde vara ett telefonsamtal.
Serumkaliumdata från eller efter datumet för påbörjande av dialys exkluderades
BL= Baslinje; KI=konfidensintervall; D=Day; FU=Follow-up; W=Week.
I gruppen 12 till < 18 år, vid dag 14 och i slutet av behandlingen, var mediandosen ordinerad patiromer 4,2 och 8,4 g/dag, och den genomsnittliga förändringen från baslinjen i serumkalium var ‑0,50 respektive -1,08 mekv/l. I gruppen 6 till < 12 år, vid dag 14 och vid slutet av behandlingen, var mediandosen ordinerad patiromer 6,0 och 8,0 g/dag och den genomsnittliga förändringen från baslinjen i kalium var -0,14 respektive -0,50 mekv/l. Hos patienter i åldern 12 till 17 år föreföll dos-responsresultaten kvalitativt visa att en högre dos av patiromer var associerad med en större minskning av serumkalium under ett behandlingsintervall. I gruppen 6 till < 12 år var emellertid resultaten av dosfyndet inte avgörande. Ytterligare utvärdering av patiromer hos patienter i åldern 6 till < 12 år krävs således för att fastställa nytta-risk.
Europeiska läkemedelsmyndigheten har senarelagt kravet att skicka in studieresultat från studier av Veltassa på barn under 6 år för behandling av hyperkalemi (information om pediatrisk användning finns i avsnitt 4.2).
Patiromer verkar genom att binda kalium i mag-tarmkanalen. Därför är serumkoncentrationen inte relevant för dess effekt. På grund av detta läkemedels olöslighets- och icke-absorberande egenskaper kan många klassiska farmakokinetiska studier inte genomföras.
Patiromer utsöndras ungefär 24 till 48 timmar efter intaget, baserat på genomsnittlig gastrointestinal genomgångstid.
I studier med radioaktiv märkning på råttor och hundar togs patiromer inte upp systemiskt, utan utsöndrades i avföringen. Kvantitativa helkroppsanalyser med autoradiografi på råttor visade att radioaktiviteten begränsades till mag-tarmkanalen, utan detekterbara nivåer av radioaktivitet i andra vävnader eller organ.
Gängse studier avseende säkerhetsfarmakologi, allmäntoxicitet, gentoxicitet, reproduktionseffekter och effekter på utveckling visade inte några särskilda risker för människa.
Patiromer var inte genotoxiskt i test av återmutation (Ames test), kromosomavvikelsetest eller mikronukleustest på råtta.
Inga karcinogenicitetsstudier har utförts.
1 g patiromer i form av pulver i dospåsar gjorda av fem skikt: polyeten, aluminium, polyeten, polyester och papper.
Förpackningsstorlekar: kartong med 60 dospåsar.
Veltassa 8,4 g pulver till oral suspension
8,4 g patiromer i form av pulver i dospåsar gjorda av fem skikt: polyeten, aluminium, polyeten, polyester och papper.
Förpackningsstorlekar: kartonger med 30, 60 eller 90 dospåsar och
multipelförpackningar bestående av 3 kartonger innehållande 30 dospåsar vardera.
Veltassa 16,8 g pulver till oral suspension
16.8 g patiromer i form av pulver i dospåsar gjorda av fem skikt: polyeten, aluminium, polyeten, polyester och papper.
Förpackningsstorlekar: kartonger med 30, 60 eller 90 dospåsar.
Veltassa 25,2 g pulver for oral suspension
25,2 g patiromer i form av pulver i dospåsar gjorda av fem skikt: polyeten, aluminium, polyeten, polyester och papper.
Förpackningsstorlekar: kartonger med 30, 60 eller 90 dospåsar.
Eventuellt kommer inte alla förpackningsstorlekar att marknadsföras.
Ej använt läkemedel och avfall ska kasseras enligt gällande anvisningar.
Xantangummi (för information om sorbitol se avsnitt 4.4)
Ej relevant.
3 år
Förvaras och transporteras kylt (2°C – 8°C).
Om läkemedlet förvaras vid rumstemperatur (under 25°C) ska Veltassa användas inom 6 månader efter att det tagits ur kylskåpet.
Oavsett förvaringsförhållande ska Veltassa inte användas efter utgångsdatumet som anges på dospåsen.
Blandningen ska tas inom 1 timme efter beredning av ursprunglig suspension.
Veltassa 1 g pulver till oral suspension
1 g patiromer i form av pulver i dospåsar gjorda av fem skikt: polyeten, aluminium, polyeten, polyester och papper.
Förpackningsstorlekar: kartong med 60 dospåsar.
Veltassa 8,4 g pulver till oral suspension
8,4 g patiromer i form av pulver i dospåsar gjorda av fem skikt: polyeten, aluminium, polyeten, polyester och papper.
Förpackningsstorlekar: kartonger med 30, 60 eller 90 dospåsar och
multipelförpackningar bestående av 3 kartonger innehållande 30 dospåsar vardera.
Veltassa 16,8 g pulver till oral suspension
16.8 g patiromer i form av pulver i dospåsar gjorda av fem skikt: polyeten, aluminium, polyeten, polyester och papper.
Förpackningsstorlekar: kartonger med 30, 60 eller 90 dospåsar.
Veltassa 25,2 g pulver for oral suspension
25,2 g patiromer i form av pulver i dospåsar gjorda av fem skikt: polyeten, aluminium, polyeten, polyester och papper.
Förpackningsstorlekar: kartonger med 30, 60 eller 90 dospåsar.
Eventuellt kommer inte alla förpackningsstorlekar att marknadsföras.
Ej använt läkemedel och avfall ska kasseras enligt gällande anvisningar.
Produktresumén är företagets information om läkemedlet riktat till förskrivare och personal inom sjukvård och apotek. Dokumentet är godkänt av Läkemedelsverket eller den europeiska läkemedelsmyndigheten EMA i samband med att läkemedlet godkänns för marknadsföring.