Taltz 40 mg injektionsvätska, lösning i förfylld spruta.
Taltz 80 mg injektionsvätska, lösning i förfylld spruta.
Injektionsvätska, lösning (injektion).
Lösningen är klar och färglös till svagt gul, med ett pH mellan 5,2 och 6,2 och en osmolalitet mellan 235 mOsm/kg och 360 mOsm/kg.
Eli Lilly and Company (Ireland) Limited, Dunderrow, Kinsale, Co. Cork, Irland.
EU/1/15/1085/004 EU/1/15/1085/005 EU/1/15/1085/006
EU/1/15/1085/007
Första godkännandet: 25 april 2016
Förnyat godkännande: 17 december 2020
26 mars 2026
Ixekizumab är producerad i CHO-celler genom rekombinant DNA teknologi.
Taltz 40 mg injektionsvätska, lösning i förfylld spruta
En förfylld spruta innehåller 40 mg ixekizumab i 0,5 ml.
Hjälpämne med känd effekt
En ml lösning innehåller 0,30 mg polysorbat 80.
Taltz 80 mg injektionsvätska, lösning i förfylld spruta
En förfylld spruta innehåller 80 mg ixekizumab i 1 ml.
Hjälpämne med känd effekt
En ml lösning innehåller 0,30 mg polysorbat 80.
För fullständig förteckning över hjälpämnen, se avsnitt 6.1.
Taltz är indicerat för behandling av vuxna patienter med aktiv ankyloserande spondylit som har svarat otillräckligt på konventionell terapi.
Icke-radiografisk axial spondylartrit
Taltz är indicerat för behandling av vuxna patienter med aktiv icke-radiografisk axial spondylartrit med objektiva tecken på inflammation indikerat av förhöjd C-reaktivt protein (CRP) och / eller magnetisk resonanstomografi (MRI) som har svarat otillräckligt på icke-steroida antiinflammatoriska läkemedel (NSAID).
Juvenil idiopatisk artrit (JIA)
Juvenil psoriasisartrit (JPsA)Taltz, ensamt eller i kombination med metotrexat är indicerat för behandling av aktiv JPsA hos patienter som är 6 år och äldre och med en kroppsvikt på minst 25 kg, som har svarat otillräckligt på eller som inte tolererar konventionell behandling.
Entesit-relaterad artrit (ERA)
Taltz, ensamt eller i kombination med metotrexat är indicerat för behandling av aktiv ERA hos patienter som är 6 år och äldre och med en kroppsvikt på minst 25 kg, som har svarat otillräckligt på eller som inte tolererar konventionell behandling.
Detta läkmedel är avsett att användas under vägledning och övervakning av en läkare med erfarenhet av diagnostik och behandling av de tillstånd för vilka det är indicerat för.
Dosering
Plackpsoriasis hos vuxna
Den rekommenderade dosen är 160 mg som subkutan injektion vecka 0, följt av 80 mg vecka 2, 4, 6, 8, 10 och 12, därefter underhållsdosering med 80 mg var 4:e vecka (Q4W).
Pediatrisk plackpsoriasis (från 6 års ålder och upp)
Det finns ingen tillgänglig effekt- och säkerhetsdata för barn under 6 år (se avsnitt 5.1). Tillgängliga data stöder inte en dosering vid en kroppsvikt under 25 kg.
Den rekommenderade barndosen, som ges genom subkutan injektion, baseras på följande viktkategorier:
Taltz kan användas direkt från den förfyllda sprutan till barn som förskrivs 80 mg.
Om den förfyllda sprutan med 40 mg inte är tillgänglig, måste doser under 80 mg beredas av sjukvårdspersonal. Anvisningar om beredning av ixekizumabdoser om 40 mg finns i avsnitt 6.6.
Taltz rekommenderas inte till barn med en kroppsvikt under 25 kg. Barnens kroppsvikt ska registreras och kontrolleras regelbundet före doseringen.
Psoriasisartrit
Den rekommenderade dosen är 160 mg som subkutan injektion vecka 0, följt av 80 mg var 4:e vecka. För patienter med psoriasisartrit som samtidigt har måttlig till svår plackpsoriasis, är den rekommenderade doseringen samma som för plackpsoriasis.
Axial spondylartrit (radiografisk och icke-radiografisk)
Den rekommenderade dosen är 160 mg som subkutan injektion vecka 0, följt av 80 mg var 4:e vecka (se avsnitt 5.1 för mer information).
Juvenil idiopatisk artrit (ålder 6 år och uppåt)
Juvenil psoriasisartrit eller entesit-relaterad artrit
Effekt- och säkerhetsdata finns inte tillgängliga för barn under 6 år (se avsnitt 5.1). Tillgängliga data ger inte stöd för en dosering under en kroppsvikt på 25 kg. Den rekommenderade dosen som ges som subkutan injektion till barn baseras på följande viktkategorier:
För barn som ordinerats 80 mg kan Taltz användas direkt från den förfyllda sprutan.
Om 40 mg förfylld spruta inte är tillgänglig måste doser under 80 mg beredas av sjukhuspersonal. Anvisningar om beredning av Taltz 40 mg finns i avsnitt 6.6.
Taltz rekommenderas inte till barn med en kroppsvikt under 25 kg. Pediatriska kroppsvikter måste registreras och kontrolleras regelbundet före dosering.
För samtliga indikationer (plackpsoriasis hos vuxna och barn, psoriasisartrit, axial spondylartrit, juvenil idiopatisk artrit inklusive juvenil psoriasisartrit och entesit-relaterad artrit) överväg behandlingsavbrott om patienten inte uppvisat något behandlingssvar efter 16–20 veckors behandling. Vissa patienter som till en början uppvisar partiell respons kan senare förbättras vid fortsatt behandling i mer än 20 veckor.
Särskilda patientgrupper
Äldre
Ingen dosjustering behövs för personer i åldern ≥ 65 år (se avsnitt 5.2).
Det finns begränsad information om behandling av personer ≥ 75 år.
Nedsatt njur- eller leverfunktion
Taltz har inte studerats i dessa patientpopulationer. Inga dosrekommendationer kan ges.
Pediatrisk population
Pediatrisk plackpsoriasis och juvenil idiopatisk artrit (juvenil psoriasisartrit och entesit-relaterad artrit) (kroppsvikt under 25 kg, och under 6 års ålder)
Det finns ingen relevant användning med Taltz för indikationen måttlig till svår plackpsoriasis och juvenil idiopatisk artrit (juvenil psoriasisartrit och entesit-relaterad artrit) hos barn med en kroppsvikt under 25 kg och yngre än 6 år.
Administreringssätt
Subkutan användning
Taltz är avsett för subkutan injektion. Injektionsställena kan varieras. Om möjligt ska injektion i hudområden med psoriasislesioner undvikas. Lösningen/sprutan får inte skakas.
Efter övning i subkutan injektionsteknik kan patienten själv injicera Taltz om sjukvårdspersonal anser att det är lämpligt. Läkaren måste dock se till att behandlingen följs upp på lämpligt sätt. Detaljerade anvisningar för administrering finns i bipacksedeln och bruksanvisningen.
Om den förfyllda sprutan med 40 mg inte är tillgänglig, kräver doser under 80 mg beredning och ska endast administreras av sjukvårdspersonal.
Anvisningar om beredning av läkemedlet före administrering finns i avsnitt 6.6.
Allvarlig överkänslighet mot den aktiva substansen eller mot något hjälpämne som anges i avsnitt 6.1.
Kliniskt betydelsefulla aktiva infektioner (t.ex. aktiv tuberkulos, se avsnitt 4.4).
Spårbarhet
För att underlätta spårbarhet av biologiska läkemedel ska läkemedlets namn och tillverkningssatsnummer dokumenteras.
Infektioner
Behandling med Taltz förknippas med ökad infektionsfrekvens t.ex. i form av övre luftvägsinfektioner, oral candidos, konjunktivit samt Tinea-infektioner (se avsnitt 4.8).
Taltz ska användas med försiktighet hos patienter med kliniskt betydelsefulla kroniska infektioner eller har en sjukdomshistoria av återkommande infektioner. Patienter ska instrueras att rådgöra med sjukvårdspersonal vid händelse av tecken eller symptom på infektion. Om infektion utvecklas ska patienten övervakas noga och behandlingen med Taltz sättas ut om patienten inte svarar på standardbehandling eller om en infektion blir allvarlig. Taltz ska inte sättas in igen förrän infektionen gått tillbaka.
Taltz ska inte ges till patienter med aktiv tuberkulos (TB). Anti-TB-behandling innan Taltz sätts in hos patienter med latent TB ska övervägas.
Överkänslighet
Allvarliga överkänslighetsreaktioner, inklusive några fall av anafylaxi, angioödem, urtikaria och, sällsynt, fördröjda (10–14 dagar efter injektionen) allvarliga överkänslighetsreaktioner inkluderande utbredd urtikaria, dyspné och höga antikroppstitrar, har rapporterats. Om en allvarlig överkänslighetsreaktion inträffar ska behandlingen med Taltz sättas ut omedelbart och lämplig behandling sättas in.
Inflammatorisk tarmsjukdom (Crohns sjukdom och ulcerös kolit inkluderat)
Fall av nyinsjuknande i, eller exacerbationer av inflammatorisk tarmsjukdom har rapporterats med ixekizumab (se avsnitt 4.8). Ixekizumab rekommenderas inte till patienter med inflammatorisk tarmsjukdom. Om en patient utvecklar tecken och symtom på inflammatorisk tarmsjukdom eller upplever en försämring av befintlig inflammatorisk tarmsjukdom, ska ixekizumab avbrytas och lämplig medicinsk behandling påbörjas.
Immunisering
Taltz ska inte användas samtidigt med levande vacciner. Inga data finns tillgängliga om responsen på levande vacciner; det finns otillräckliga data om responsen på inaktiverade vacciner (se avsnitt 5.1).
Hjälpämnen med känd effekt
Natrium
Detta läkemedel innehåller mindre än 1 mmol natrium (23 mg) per 40 mg dos och per 80 mg dos, d.v.s. är nästintill ”natriumfritt”.
Polysorbat
Detta läkemedel innehåller 0,15 mg polysorbat 80 i varje 40 mg förfylld spruta, vilket motsvarar 0,30 mg/ml. Detta läkemedel innehåller 0,3 mg polysorbat 80 i varje 80 mg förfylld spruta, vilket motsvarar 0,30 mg/ml. Polysorbater kan orsaka allergiska reaktioner.
Säkerheten hos Taltz när det ges i kombination med andra immunmodulerande ämnen eller med ljusbehandling har inte utvärderats i studierna på plackpsoriasis. I populations-farmakokinetiska analyser påverkades inte eliminationen av ixekizumab av parallellt administrerade orala kortikosteroider, NSAID, sulfasalazin eller metotrexat.
Cytokrom P450-substrat
Resultat från en interaktionsstudie hos patienter med måttlig till svår psoriasis fastslog att 12 veckors administrering av ixekizumab tillsammans med substanser som metaboliseras av CYP3A4 (ex. midazolam), CYP2C9 (ex. warfarin), CYP2C19 (ex. omeprazol), CYP1A2 (ex. koffein) eller CYP2D6 (ex. dextrometorfan) inte har någon kliniskt signifikant inverkan på dessa substansers farmakokinetik.
Fertila kvinnor
Fertila kvinnor ska använda en effektiv preventivmetod under behandlingen och i minst 10 veckor efter behandlingen.
Graviditet
Det finns begränsad mängd data från användning av ixekizumab hos gravida kvinnor. Djurstudier visar inga direkta eller indirekta skadliga effekter på graviditet, embryofetal utveckling, födelse eller postnatal utveckling (se avsnitt 5.3). Som en försiktighetsåtgärd bör Taltz inte användas under graviditet.
Amning
Det är okänt om ixekizumab utsöndras i bröstmjölk eller om det absorberas systemiskt efter intaget. Ixekizumab utsöndras i liten mängd i mjölken hos cynomolgusapor. Ett beslut måste fattas om man ska avbryta amningen eller avbryta behandlingen med Taltz, efter att man tagit hänsyn till fördelen med amning för barnet och fördelen med behandling för kvinnan.
Fertilitet
Effekten av ixekizumab på människans fertilitet har inte undersökts. Djurstudier tyder inte på några direkta eller indirekta skadliga effekter på fertiliteten (se avsnitt 5.3).
Taltz har ingen eller försumbar effekt på förmågan att framföra fordon och använda maskiner.
Sammanfattning av säkerhetsprofilen
De vanligaste biverkningarna var reaktioner på injektionsstället (15,5%) och övre luftvägsinfektion (16,4%) (vanligast var nasofaryngit).
Tabell över biverkningar
Biverkningar i kliniska studier och rapporter efter marknadsföring (tabell 1) redovisas enligt MedDRA:s indelning av organsystem. För varje organsystem rangordnas biverkningarna efter frekvens, med de vanligaste reaktionerna först. Inom varje frekvensgrupp presenteras biverkningarna efter minskande allvarlighetsgrad. Frekvenskategorin för respektive biverkning följer följande princip: mycket vanliga (≥ 1/10), vanliga (≥ 1/100, < 1/10), mindre vanliga (≥ 1/1 000, <1/100), sällsynta (≥ 1/10 000, < 1/1 000) och mycket sällsynta (< 1/10 000).
Totalt har 8 956 patienter behandlats med Taltz i blindade och öppna kliniska studier av plackpsoriasis, psoriasisartrit, axial spondylartrit och andra autoimmuna tillstånd. Av dessa exponerades 6 385 patienter för Taltz under minst ett år, vilket kumulativt motsvarar en patientexponering på 19 883 patientår och 196 barn motsvarar kumulativ patientexponering på 343patientår.
Tabell 1. Biverkningar i kliniska studier och rapporter efter marknadsföring
a Se avsnitt med beskrivning av utvalda biverkningar.
Beskrivning av utvalda biverkningar
Reaktioner vid injektionsstället
De vanligaste reaktionerna vid injektionsstället var erytem och smärta. Reaktionerna var oftast lindriga till måttliga och ledde inte till utsättning av Taltz.
I de vuxna studierna på plackpsoriasis var reaktioner på injektionsstället vanligare hos personer som vägde <60 kg än hos personer som vägde ≥60 kg (25 % respektive 14 % för Q2W- och Q4W-grupperna sammantaget). I studierna på psoriasisartrit, var reaktioner på injektionsstället vanligare hos personer som vägde < 100 kg än hos personer som vägde ≥ 100 kg (24 % respektive 13 % för Q2W- och Q4W-grupperna sammantaget). I studier av axial spondylartrit, var reaktioner vid injektionsstället likvärdigt inom gruppen patienter med en kroppsvikt < 100 kg jämfört med den grupp patienter med en kroppsvikt > 100 kg (14 % jämfört med 9 % för Q2W och Q4W grupperna sammantaget). Den ökade frekvensen av reaktioner på injektionsstället för Q2W- och Q4W-grupperna sammantaget medförde inte att flera avslutade sin behandling, varken i studierna av plackpsoriasis, psoriasisartrit eller axial spondylartrit.
Ovan beskrivna resultat erhölls med den ursprungliga formuleringen av Taltz. I en enkelblind, randomiserad cross-over-studie på 45 friska försökspersoner, jämfördes den ursprungliga formuleringen med den reviderade, citratfria formuleringen. Statistiskt signifikant lägre smärtpoäng på Visuell analog skala (VAS) erhölls vid injektion med den citratfria formuleringen jämfört med ursprunglig formulering (skillnad i LS-medelvärde VAS-poäng -21,69) och 10 minuter efter injektion (skillnad i LS-medelvärde VAS-poäng -4,47).
Infektioner
Under den placebokontrollerade perioden av de kliniska fas III-studierna av plackpsoriasis hos vuxna rapporterades infektioner hos 27,2 % av de patienter som fick Taltz i upp till 12 veckor jämfört med hos 22,9 % av de patienter som fick placebo.
Majoriteten av infektionerna var inte allvarliga och av lindrig till måttlig svårighetsgrad, de flesta krävde inte att behandlingen avbröts. Allvarliga infektioner inträffade hos 13 (0,6 %) av patienterna som behandlades med Taltz och hos 3 (0,4 %) hos patienterna som behandlades med placebo (se avsnitt 4.4). Under hela behandlingsperioden rapporterades infektioner hos 52,8 % av patienterna som behandlades med Taltz (46,9 per 100 patientår). Allvarliga infektioner rapporterades hos 1,6 % av patienterna som behandlades med Taltz (1,5 per 100 patientår).
Antalet infektioner som observerades vid kliniska studier av psoriasisartrit och axial spondylartrit var jämförbara med de som observerades i studierna på plackpsoriasis med undantag för frekvenserna av biverkningarna influensa och konjunktivit som var vanliga hos patienter med psoriasisartrit.
Laboratorieanalys av neutropeni och trombocytopeni
9 % av patienterna som fick Taltz i studierna på plackpsoriasis utvecklade neutropeni, I de flesta fall var antalet neutrofila granulocyter ≥1000 celler/mm3. Sådana nivåer av neutropeni kan vara bestående, variera eller vara övergående. 0,1 % av patienterna som fick Taltz utvecklade ett värde på neutrofila granulocyter <1000 celler/mm3. I allmänhet krävde inte neutropenin utsättning av Taltz.
3 % av patienterna som behandlats med Taltz fick en förändring i antalet trombocyter från ett normalvärde vid baslinjen till < 150 000 trombocytceller/mm3 - ≥ 75 000 celler/mm3. Trombocytopenin kan vara bestående, variera eller vara övergående.
Frekvensen av neutropeni och trombocytopeni vid kliniska studier av psoriasisartrit och axial spondylartrit är jämförbara med de som observerades i plackpsoriasisstudierna.
Immunogenicitet
Ungefär 9–17 % av de vuxna patienterna med plackpsoriasis som behandlades med Taltz i den rekommenderade dosregimen utvecklade antikroppar mot läkemedlet, de flesta med låga titrar och inte kopplat till försämrad klinisk respons i upp till 60 behandlingsveckor. Omkring 1 % av patienterna som behandlades med Taltz hade dock bekräftade neutraliserande antikroppar med låga läkemedelskoncentrationer och försämrad klinisk respons.
Hos patienterna med psoriasisartrit som behandlades med Taltz i den rekommenderade dosregimen i upp till 52 veckor utvecklade cirka 11 % antikroppar mot läkemedlet, de flesta med låga titrar och cirka 8 % hade bekräftade neutraliserande antikroppar. Inget uppenbart samband mellan närvaron av neutraliserande antikroppar och inverkan på läkemedelskoncentration eller effekt har observerats.
Hos pediatriska psoriasispatienter som behandlades med Taltz i den rekommenderade dosregimen i upp till 12 veckor utvecklade 21 patienter (18%) antikroppar mot läkemedlet, ungefär hälften var med låg titer och 5 patienter (4%) hade bekräftade neutraliserande antikroppar associerade med låga läkemedelskoncentrationer. Det fanns inget samband med kliniskt behandlingssvar eller biverkningar.
Hos patienter med radiografisk axial spondylartrit som behandlats upp till 16 veckor med Taltz med rekommenderad dosregim, utvecklade 5,2% antikroppar mot läkemedlet. Majoriteten var låg titer och 1,5% (3 patienter) hade neutraliserande antikroppar (NAb). Hos dessa 3 patienter innehöll de positiva NAb-proverna låga ixekizumabkoncentrationer och ingen av dem uppnådde ett ASAS40-svar. Hos patienter med icke-radiografisk axial spondylartrit som behandlades upp till 52 veckor med Taltz med rekommenderad dosregim utvecklade 8,9% antikroppar mot läkemedlet, som alla var låg titer. Ingen av dessa patienter hade neutraliserande antikroppar. Inget uppenbart samband mellan närvaro av antikroppar mot läkemedel och läkemedelskoncentration, effektivitet eller säkerhet observerades.
Hos patienter med juvenil idiopatisk artrit (juvenil psoriasisartrit och entesit-relaterad artrit) som behandlades med ixekizumab i den rekommenderade doseringsregimen i upp till 104 veckor, utvecklade 18 patienter (22,8 %) neutraliserande antikroppar, som alla var av låg till måttlig titer. Inget uppenbart samband mellan förekomst av neutraliserande antikroppar och läkemedelskoncentration, effekt eller säkerhet observerades.
Något samband mellan immunogenicitet och behandlingsorsakade biverkningar har inte klart fastställts för någon av indikationerna.
Pediatrisk population
Den observerade säkerhetsprofilen hos barn med plackpsoriasis som behandlades med Taltz var fjärde vecka överensstämmer med säkerhetsprofilen för vuxna patienter med plackpsoriasis, med undantag av rapporterade frekvenser av konjunktivit, influensa och urtikaria vilka var vanliga.
Inflammatorisk tarmsjukdom var också vanligare hos pediatriska patienter, även om det fortfarande var mindre vanligt. I den pediatriska kliniska studien, med 12 veckor lång placebokontrollerad period förekom Crohns sjukdom hos 0,9 % av patienterna i gruppen som fick Taltz och 0% av patienterna i placebogruppen. Under de kombinerade placebokontrollerade perioderna och underhållsperioderna i den pediatriska kliniska studien förekom Crohns sjukdom hos totalt 4 Taltz-behandlade försökspersoner (2,0%).
Biverkningar hos pediatriska patienter som behandlades med den rekommenderade dosen ixekizumab som subkutan injektion i den öppna kliniska studien med juvenil idiopatisk artrit (juvenil psoriasisartrit och entesit-relaterad artrit) överensstämde med den kända säkerhetsprofilen för ixekizumab i den integrerade säkerhetsdata för indikationen pediatrisk plackpsoriasis samt för de vuxna indikationerna måttlig till svår plackpsoriasis, psoriasisartrit, och axial spondylartrit med undantag för frekvenser för influensa (vanlig), rinit (vanlig) och konjunktivit (vanlig).
Doser på upp till 180 mg har administrerats subkutant i kliniska prövningar utan dosbegränsande toxicitet. Överdosering på upp till 240 mg subkutant, administrerat som en singeldos i kliniska studier, har rapporterats utan åtföljande allvarliga biverkningar.
Vid en överdosering rekommenderas att patienten övervakas avseende tecken och symtom på biverkningar och att lämplig symtomatisk behandling sätts in omedelbart.
Plackpsoriasis
Taltz är indicerat för behandling av måttlig till svår plackpsoriasis hos vuxna som behöver systemisk behandling.
Pediatrisk plackpsoriasis
Taltz är indicerat för behandling av måttlig till svår plackpsoriasis hos barn från 6 års ålder och med en kroppsvikt på minst 25 kg, samt hos ungdomar i behov av systemisk behandling.
Psoriasisartrit
Taltz, ensamt eller i kombination med metotrexat, är indicerat för behandling av aktiv psoriasisartrit hos vuxna patienter som har svarat otillräckligt eller som inte tolererar en eller flera sjukdomsmodifierande antireumatiska läkemedel (DMARD) (se avsnitt 5,1).
Axial spondylartrit
Ankyloserande spondylit (radiografisk axial spondylartrit)
Taltz är indicerat för behandling av vuxna patienter med aktiv ankyloserande spondylit som har svarat otillräckligt på konventionell terapi.
Icke-radiografisk axial spondylartrit
Taltz är indicerat för behandling av vuxna patienter med aktiv icke-radiografisk axial spondylartrit med objektiva tecken på inflammation indikerat av förhöjd C-reaktivt protein (CRP) och / eller magnetisk resonanstomografi (MRI) som har svarat otillräckligt på icke-steroida antiinflammatoriska läkemedel (NSAID).
Juvenil idiopatisk artrit (JIA)
Juvenil psoriasisartrit (JPsA)Taltz, ensamt eller i kombination med metotrexat är indicerat för behandling av aktiv JPsA hos patienter som är 6 år och äldre och med en kroppsvikt på minst 25 kg, som har svarat otillräckligt på eller som inte tolererar konventionell behandling.
Entesit-relaterad artrit (ERA)
Taltz, ensamt eller i kombination med metotrexat är indicerat för behandling av aktiv ERA hos patienter som är 6 år och äldre och med en kroppsvikt på minst 25 kg, som har svarat otillräckligt på eller som inte tolererar konventionell behandling.
Detta läkmedel är avsett att användas under vägledning och övervakning av en läkare med erfarenhet av diagnostik och behandling av de tillstånd för vilka det är indicerat för.
Dosering
Plackpsoriasis hos vuxna
Den rekommenderade dosen är 160 mg som subkutan injektion vecka 0, följt av 80 mg vecka 2, 4, 6, 8, 10 och 12, därefter underhållsdosering med 80 mg var 4:e vecka (Q4W).
Pediatrisk plackpsoriasis (från 6 års ålder och upp)
Det finns ingen tillgänglig effekt- och säkerhetsdata för barn under 6 år (se avsnitt 5.1). Tillgängliga data stöder inte en dosering vid en kroppsvikt under 25 kg.
Den rekommenderade barndosen, som ges genom subkutan injektion, baseras på följande viktkategorier:
Taltz kan användas direkt från den förfyllda sprutan till barn som förskrivs 80 mg.
Om den förfyllda sprutan med 40 mg inte är tillgänglig, måste doser under 80 mg beredas av sjukvårdspersonal. Anvisningar om beredning av ixekizumabdoser om 40 mg finns i avsnitt 6.6.
Taltz rekommenderas inte till barn med en kroppsvikt under 25 kg. Barnens kroppsvikt ska registreras och kontrolleras regelbundet före doseringen.
Psoriasisartrit
Den rekommenderade dosen är 160 mg som subkutan injektion vecka 0, följt av 80 mg var 4:e vecka. För patienter med psoriasisartrit som samtidigt har måttlig till svår plackpsoriasis, är den rekommenderade doseringen samma som för plackpsoriasis.
Axial spondylartrit (radiografisk och icke-radiografisk)
Den rekommenderade dosen är 160 mg som subkutan injektion vecka 0, följt av 80 mg var 4:e vecka (se avsnitt 5.1 för mer information).
Juvenil idiopatisk artrit (ålder 6 år och uppåt)
Juvenil psoriasisartrit eller entesit-relaterad artrit
Effekt- och säkerhetsdata finns inte tillgängliga för barn under 6 år (se avsnitt 5.1). Tillgängliga data ger inte stöd för en dosering under en kroppsvikt på 25 kg. Den rekommenderade dosen som ges som subkutan injektion till barn baseras på följande viktkategorier:
För barn som ordinerats 80 mg kan Taltz användas direkt från den förfyllda sprutan.
Om 40 mg förfylld spruta inte är tillgänglig måste doser under 80 mg beredas av sjukhuspersonal. Anvisningar om beredning av Taltz 40 mg finns i avsnitt 6.6.
Taltz rekommenderas inte till barn med en kroppsvikt under 25 kg. Pediatriska kroppsvikter måste registreras och kontrolleras regelbundet före dosering.
För samtliga indikationer (plackpsoriasis hos vuxna och barn, psoriasisartrit, axial spondylartrit, juvenil idiopatisk artrit inklusive juvenil psoriasisartrit och entesit-relaterad artrit) överväg behandlingsavbrott om patienten inte uppvisat något behandlingssvar efter 16–20 veckors behandling. Vissa patienter som till en början uppvisar partiell respons kan senare förbättras vid fortsatt behandling i mer än 20 veckor.
Särskilda patientgrupper
Äldre
Ingen dosjustering behövs för personer i åldern ≥ 65 år (se avsnitt 5.2).
Det finns begränsad information om behandling av personer ≥ 75 år.
Nedsatt njur- eller leverfunktion
Taltz har inte studerats i dessa patientpopulationer. Inga dosrekommendationer kan ges.
Pediatrisk population
Pediatrisk plackpsoriasis och juvenil idiopatisk artrit (juvenil psoriasisartrit och entesit-relaterad artrit) (kroppsvikt under 25 kg, och under 6 års ålder)
Det finns ingen relevant användning med Taltz för indikationen måttlig till svår plackpsoriasis och juvenil idiopatisk artrit (juvenil psoriasisartrit och entesit-relaterad artrit) hos barn med en kroppsvikt under 25 kg och yngre än 6 år.
Administreringssätt
Subkutan användning
Taltz är avsett för subkutan injektion. Injektionsställena kan varieras. Om möjligt ska injektion i hudområden med psoriasislesioner undvikas. Lösningen/sprutan får inte skakas.
Efter övning i subkutan injektionsteknik kan patienten själv injicera Taltz om sjukvårdspersonal anser att det är lämpligt. Läkaren måste dock se till att behandlingen följs upp på lämpligt sätt. Detaljerade anvisningar för administrering finns i bipacksedeln och bruksanvisningen.
Om den förfyllda sprutan med 40 mg inte är tillgänglig, kräver doser under 80 mg beredning och ska endast administreras av sjukvårdspersonal.
Anvisningar om beredning av läkemedlet före administrering finns i avsnitt 6.6.
Allvarlig överkänslighet mot den aktiva substansen eller mot något hjälpämne som anges i avsnitt 6.1.
Kliniskt betydelsefulla aktiva infektioner (t.ex. aktiv tuberkulos, se avsnitt 4.4).
Spårbarhet
För att underlätta spårbarhet av biologiska läkemedel ska läkemedlets namn och tillverkningssatsnummer dokumenteras.
Infektioner
Behandling med Taltz förknippas med ökad infektionsfrekvens t.ex. i form av övre luftvägsinfektioner, oral candidos, konjunktivit samt Tinea-infektioner (se avsnitt 4.8).
Taltz ska användas med försiktighet hos patienter med kliniskt betydelsefulla kroniska infektioner eller har en sjukdomshistoria av återkommande infektioner. Patienter ska instrueras att rådgöra med sjukvårdspersonal vid händelse av tecken eller symptom på infektion. Om infektion utvecklas ska patienten övervakas noga och behandlingen med Taltz sättas ut om patienten inte svarar på standardbehandling eller om en infektion blir allvarlig. Taltz ska inte sättas in igen förrän infektionen gått tillbaka.
Taltz ska inte ges till patienter med aktiv tuberkulos (TB). Anti-TB-behandling innan Taltz sätts in hos patienter med latent TB ska övervägas.
Överkänslighet
Allvarliga överkänslighetsreaktioner, inklusive några fall av anafylaxi, angioödem, urtikaria och, sällsynt, fördröjda (10–14 dagar efter injektionen) allvarliga överkänslighetsreaktioner inkluderande utbredd urtikaria, dyspné och höga antikroppstitrar, har rapporterats. Om en allvarlig överkänslighetsreaktion inträffar ska behandlingen med Taltz sättas ut omedelbart och lämplig behandling sättas in.
Inflammatorisk tarmsjukdom (Crohns sjukdom och ulcerös kolit inkluderat)
Fall av nyinsjuknande i, eller exacerbationer av inflammatorisk tarmsjukdom har rapporterats med ixekizumab (se avsnitt 4.8). Ixekizumab rekommenderas inte till patienter med inflammatorisk tarmsjukdom. Om en patient utvecklar tecken och symtom på inflammatorisk tarmsjukdom eller upplever en försämring av befintlig inflammatorisk tarmsjukdom, ska ixekizumab avbrytas och lämplig medicinsk behandling påbörjas.
Immunisering
Taltz ska inte användas samtidigt med levande vacciner. Inga data finns tillgängliga om responsen på levande vacciner; det finns otillräckliga data om responsen på inaktiverade vacciner (se avsnitt 5.1).
Hjälpämnen med känd effekt
Natrium
Detta läkemedel innehåller mindre än 1 mmol natrium (23 mg) per 40 mg dos och per 80 mg dos, d.v.s. är nästintill ”natriumfritt”.
Polysorbat
Detta läkemedel innehåller 0,15 mg polysorbat 80 i varje 40 mg förfylld spruta, vilket motsvarar 0,30 mg/ml. Detta läkemedel innehåller 0,3 mg polysorbat 80 i varje 80 mg förfylld spruta, vilket motsvarar 0,30 mg/ml. Polysorbater kan orsaka allergiska reaktioner.
Säkerheten hos Taltz när det ges i kombination med andra immunmodulerande ämnen eller med ljusbehandling har inte utvärderats i studierna på plackpsoriasis. I populations-farmakokinetiska analyser påverkades inte eliminationen av ixekizumab av parallellt administrerade orala kortikosteroider, NSAID, sulfasalazin eller metotrexat.
Cytokrom P450-substrat
Resultat från en interaktionsstudie hos patienter med måttlig till svår psoriasis fastslog att 12 veckors administrering av ixekizumab tillsammans med substanser som metaboliseras av CYP3A4 (ex. midazolam), CYP2C9 (ex. warfarin), CYP2C19 (ex. omeprazol), CYP1A2 (ex. koffein) eller CYP2D6 (ex. dextrometorfan) inte har någon kliniskt signifikant inverkan på dessa substansers farmakokinetik.
Fertila kvinnor
Fertila kvinnor ska använda en effektiv preventivmetod under behandlingen och i minst 10 veckor efter behandlingen.
Graviditet
Det finns begränsad mängd data från användning av ixekizumab hos gravida kvinnor. Djurstudier visar inga direkta eller indirekta skadliga effekter på graviditet, embryofetal utveckling, födelse eller postnatal utveckling (se avsnitt 5.3). Som en försiktighetsåtgärd bör Taltz inte användas under graviditet.
Amning
Det är okänt om ixekizumab utsöndras i bröstmjölk eller om det absorberas systemiskt efter intaget. Ixekizumab utsöndras i liten mängd i mjölken hos cynomolgusapor. Ett beslut måste fattas om man ska avbryta amningen eller avbryta behandlingen med Taltz, efter att man tagit hänsyn till fördelen med amning för barnet och fördelen med behandling för kvinnan.
Fertilitet
Effekten av ixekizumab på människans fertilitet har inte undersökts. Djurstudier tyder inte på några direkta eller indirekta skadliga effekter på fertiliteten (se avsnitt 5.3).
Taltz har ingen eller försumbar effekt på förmågan att framföra fordon och använda maskiner.
Sammanfattning av säkerhetsprofilen
De vanligaste biverkningarna var reaktioner på injektionsstället (15,5%) och övre luftvägsinfektion (16,4%) (vanligast var nasofaryngit).
Tabell över biverkningar
Biverkningar i kliniska studier och rapporter efter marknadsföring (tabell 1) redovisas enligt MedDRA:s indelning av organsystem. För varje organsystem rangordnas biverkningarna efter frekvens, med de vanligaste reaktionerna först. Inom varje frekvensgrupp presenteras biverkningarna efter minskande allvarlighetsgrad. Frekvenskategorin för respektive biverkning följer följande princip: mycket vanliga (≥ 1/10), vanliga (≥ 1/100, < 1/10), mindre vanliga (≥ 1/1 000, <1/100), sällsynta (≥ 1/10 000, < 1/1 000) och mycket sällsynta (< 1/10 000).
Totalt har 8 956 patienter behandlats med Taltz i blindade och öppna kliniska studier av plackpsoriasis, psoriasisartrit, axial spondylartrit och andra autoimmuna tillstånd. Av dessa exponerades 6 385 patienter för Taltz under minst ett år, vilket kumulativt motsvarar en patientexponering på 19 883 patientår och 196 barn motsvarar kumulativ patientexponering på 343patientår.
Tabell 1. Biverkningar i kliniska studier och rapporter efter marknadsföring
a Se avsnitt med beskrivning av utvalda biverkningar.
Beskrivning av utvalda biverkningar
Reaktioner vid injektionsstället
De vanligaste reaktionerna vid injektionsstället var erytem och smärta. Reaktionerna var oftast lindriga till måttliga och ledde inte till utsättning av Taltz.
I de vuxna studierna på plackpsoriasis var reaktioner på injektionsstället vanligare hos personer som vägde <60 kg än hos personer som vägde ≥60 kg (25 % respektive 14 % för Q2W- och Q4W-grupperna sammantaget). I studierna på psoriasisartrit, var reaktioner på injektionsstället vanligare hos personer som vägde < 100 kg än hos personer som vägde ≥ 100 kg (24 % respektive 13 % för Q2W- och Q4W-grupperna sammantaget). I studier av axial spondylartrit, var reaktioner vid injektionsstället likvärdigt inom gruppen patienter med en kroppsvikt < 100 kg jämfört med den grupp patienter med en kroppsvikt > 100 kg (14 % jämfört med 9 % för Q2W och Q4W grupperna sammantaget). Den ökade frekvensen av reaktioner på injektionsstället för Q2W- och Q4W-grupperna sammantaget medförde inte att flera avslutade sin behandling, varken i studierna av plackpsoriasis, psoriasisartrit eller axial spondylartrit.
Ovan beskrivna resultat erhölls med den ursprungliga formuleringen av Taltz. I en enkelblind, randomiserad cross-over-studie på 45 friska försökspersoner, jämfördes den ursprungliga formuleringen med den reviderade, citratfria formuleringen. Statistiskt signifikant lägre smärtpoäng på Visuell analog skala (VAS) erhölls vid injektion med den citratfria formuleringen jämfört med ursprunglig formulering (skillnad i LS-medelvärde VAS-poäng -21,69) och 10 minuter efter injektion (skillnad i LS-medelvärde VAS-poäng -4,47).
Infektioner
Under den placebokontrollerade perioden av de kliniska fas III-studierna av plackpsoriasis hos vuxna rapporterades infektioner hos 27,2 % av de patienter som fick Taltz i upp till 12 veckor jämfört med hos 22,9 % av de patienter som fick placebo.
Majoriteten av infektionerna var inte allvarliga och av lindrig till måttlig svårighetsgrad, de flesta krävde inte att behandlingen avbröts. Allvarliga infektioner inträffade hos 13 (0,6 %) av patienterna som behandlades med Taltz och hos 3 (0,4 %) hos patienterna som behandlades med placebo (se avsnitt 4.4). Under hela behandlingsperioden rapporterades infektioner hos 52,8 % av patienterna som behandlades med Taltz (46,9 per 100 patientår). Allvarliga infektioner rapporterades hos 1,6 % av patienterna som behandlades med Taltz (1,5 per 100 patientår).
Antalet infektioner som observerades vid kliniska studier av psoriasisartrit och axial spondylartrit var jämförbara med de som observerades i studierna på plackpsoriasis med undantag för frekvenserna av biverkningarna influensa och konjunktivit som var vanliga hos patienter med psoriasisartrit.
Laboratorieanalys av neutropeni och trombocytopeni
9 % av patienterna som fick Taltz i studierna på plackpsoriasis utvecklade neutropeni, I de flesta fall var antalet neutrofila granulocyter ≥1000 celler/mm3. Sådana nivåer av neutropeni kan vara bestående, variera eller vara övergående. 0,1 % av patienterna som fick Taltz utvecklade ett värde på neutrofila granulocyter <1000 celler/mm3. I allmänhet krävde inte neutropenin utsättning av Taltz.
3 % av patienterna som behandlats med Taltz fick en förändring i antalet trombocyter från ett normalvärde vid baslinjen till < 150 000 trombocytceller/mm3 - ≥ 75 000 celler/mm3. Trombocytopenin kan vara bestående, variera eller vara övergående.
Frekvensen av neutropeni och trombocytopeni vid kliniska studier av psoriasisartrit och axial spondylartrit är jämförbara med de som observerades i plackpsoriasisstudierna.
Immunogenicitet
Ungefär 9–17 % av de vuxna patienterna med plackpsoriasis som behandlades med Taltz i den rekommenderade dosregimen utvecklade antikroppar mot läkemedlet, de flesta med låga titrar och inte kopplat till försämrad klinisk respons i upp till 60 behandlingsveckor. Omkring 1 % av patienterna som behandlades med Taltz hade dock bekräftade neutraliserande antikroppar med låga läkemedelskoncentrationer och försämrad klinisk respons.
Hos patienterna med psoriasisartrit som behandlades med Taltz i den rekommenderade dosregimen i upp till 52 veckor utvecklade cirka 11 % antikroppar mot läkemedlet, de flesta med låga titrar och cirka 8 % hade bekräftade neutraliserande antikroppar. Inget uppenbart samband mellan närvaron av neutraliserande antikroppar och inverkan på läkemedelskoncentration eller effekt har observerats.
Hos pediatriska psoriasispatienter som behandlades med Taltz i den rekommenderade dosregimen i upp till 12 veckor utvecklade 21 patienter (18%) antikroppar mot läkemedlet, ungefär hälften var med låg titer och 5 patienter (4%) hade bekräftade neutraliserande antikroppar associerade med låga läkemedelskoncentrationer. Det fanns inget samband med kliniskt behandlingssvar eller biverkningar.
Hos patienter med radiografisk axial spondylartrit som behandlats upp till 16 veckor med Taltz med rekommenderad dosregim, utvecklade 5,2% antikroppar mot läkemedlet. Majoriteten var låg titer och 1,5% (3 patienter) hade neutraliserande antikroppar (NAb). Hos dessa 3 patienter innehöll de positiva NAb-proverna låga ixekizumabkoncentrationer och ingen av dem uppnådde ett ASAS40-svar. Hos patienter med icke-radiografisk axial spondylartrit som behandlades upp till 52 veckor med Taltz med rekommenderad dosregim utvecklade 8,9% antikroppar mot läkemedlet, som alla var låg titer. Ingen av dessa patienter hade neutraliserande antikroppar. Inget uppenbart samband mellan närvaro av antikroppar mot läkemedel och läkemedelskoncentration, effektivitet eller säkerhet observerades.
Hos patienter med juvenil idiopatisk artrit (juvenil psoriasisartrit och entesit-relaterad artrit) som behandlades med ixekizumab i den rekommenderade doseringsregimen i upp till 104 veckor, utvecklade 18 patienter (22,8 %) neutraliserande antikroppar, som alla var av låg till måttlig titer. Inget uppenbart samband mellan förekomst av neutraliserande antikroppar och läkemedelskoncentration, effekt eller säkerhet observerades.
Något samband mellan immunogenicitet och behandlingsorsakade biverkningar har inte klart fastställts för någon av indikationerna.
Pediatrisk population
Den observerade säkerhetsprofilen hos barn med plackpsoriasis som behandlades med Taltz var fjärde vecka överensstämmer med säkerhetsprofilen för vuxna patienter med plackpsoriasis, med undantag av rapporterade frekvenser av konjunktivit, influensa och urtikaria vilka var vanliga.
Inflammatorisk tarmsjukdom var också vanligare hos pediatriska patienter, även om det fortfarande var mindre vanligt. I den pediatriska kliniska studien, med 12 veckor lång placebokontrollerad period förekom Crohns sjukdom hos 0,9 % av patienterna i gruppen som fick Taltz och 0% av patienterna i placebogruppen. Under de kombinerade placebokontrollerade perioderna och underhållsperioderna i den pediatriska kliniska studien förekom Crohns sjukdom hos totalt 4 Taltz-behandlade försökspersoner (2,0%).
Biverkningar hos pediatriska patienter som behandlades med den rekommenderade dosen ixekizumab som subkutan injektion i den öppna kliniska studien med juvenil idiopatisk artrit (juvenil psoriasisartrit och entesit-relaterad artrit) överensstämde med den kända säkerhetsprofilen för ixekizumab i den integrerade säkerhetsdata för indikationen pediatrisk plackpsoriasis samt för de vuxna indikationerna måttlig till svår plackpsoriasis, psoriasisartrit, och axial spondylartrit med undantag för frekvenser för influensa (vanlig), rinit (vanlig) och konjunktivit (vanlig).
Rapportering av misstänkta biverkningar
Doser på upp till 180 mg har administrerats subkutant i kliniska prövningar utan dosbegränsande toxicitet. Överdosering på upp till 240 mg subkutant, administrerat som en singeldos i kliniska studier, har rapporterats utan åtföljande allvarliga biverkningar.
Vid en överdosering rekommenderas att patienten övervakas avseende tecken och symtom på biverkningar och att lämplig symtomatisk behandling sätts in omedelbart.
Ixekizumab har visats sänka nivån av inflammationsmarkören C-reaktivt protein (inom en veckas behandling).
Klinisk effekt och säkerhet
Plackpsoriasis vuxna
Effekten och säkerheten hos ixekizumab undersöktes i tre randomiserade, dubbelblinda, placebokontrollerade fas III-studier på vuxna patienter (N = 3 866) med måttlig till svår plackpsoriasis, som var kandidater för ljusbehandling eller systemisk behandling (UNCOVER-1, UNCOVER-2 och UNCOVER-3). Effekten och säkerheten hos ixekizumab utvärderades även i jämförelse med etanercept (UNCOVER-2 och UNCOVER-3). Patienter som randomiserats till ixekizumab och som var sPGA-responders (0,1) (static Physicians Global Assessment) vecka 12 randomiserades på nytt till att få placebo eller ixekizumab i ytterligare 48 veckor (UNCOVER-1 och UNCOVER-2). Patienter som randomiserats till placebo, etanercept eller ixekizumab och som var sPGA-icke-responders (uppnådde inte sPGA 0 eller 1) fick ixekizumab i upp till 48 veckor. Långtidseffekt och säkerhet utvärderades dessutom i alla tre studierna, i upp till 5 år totalt hos patienterna som deltog i hela studien.
64 % av patienterna hade tidigare fått en systembehandling (biologisk, konventionell systemisk, eller psoralen och UV-A (PUVA)), 43,5 % tidigare ljusbehandling, 49,3 % tidigare konventionell systemisk behandling, och 26,4 % tidigare biologisk läkemedelsbehandling. 14,9 % av patienterna hade fått minst en behandling med anti-TNF-alfa och 8,7 % med anti-IL-12/IL-23. 23,4 % av patienterna hade vid baslinjen psoriasisartrit i anamnesen.
I samtliga tre studier var de primära effektmåtten andelen patienter med en respons som uppnådde PASI 75 (Psoriasis Area and Severity Index) och sPGA "0" (”läkt”) eller "1" (”nästan läkt”) vecka 12, jämfört med placebo. Median-PASI vid baslinjen varierade mellan 17,4 och 18,3 poäng. 48,3 % till 51,2 % av patienterna hade ett sPGA-poäng vid baslinjen motsvarande svåra eller mycket svåra utslag, och medelvärdet på en numerisk skala för klåda (Itch Numeric Rating Scale) varierade mellan 6,3 och 7,1.
Klinisk respons vecka 12
Till UNCOVER-1 randomiserades 1 296 patienter (1:1:1) till antingen placebo eller ixekizumab (80 mg varannan eller var fjärde vecka [Q2W eller Q4W] efter en startdos på 160 mg) under 12 veckor.
Tabell 2. Effektresultat vecka 12 i UNCOVER-1
Förkortningar: N = antalet patienter i intent-to-treat-populationen
Obs! Patienter för vilka data saknas räknades som icke-responders
a p <0,001 jämfört med placebo
b Patienter med Itch NRS ≥ 4 vid baslinjen: placebo N = 374, ixekizumab 80 mg Q4W N = 379, ixekizumab 80 mg Q2W N = 391
Till UNCOVER-2 randomiserades 1 224 patienter (1:2:2:2) till antingen placebo, eller ixekizumab (80 mg varannan eller var fjärde vecka [Q2W or Q4W] efter en startdos på 160 mg), eller etanercept 50 mg två gånger per vecka under 12 veckor.
Tabell 3.Effektresultat vecka 12 i UNCOVER-2
Förkortningar: N = antalet patienter i intent-to-treat-populationen
Obs! Patienter för vilka data saknas räknades som icke-responders
a p <0,001 jämfört med placebo
b p <0,001 jämfört med etanercept
a p <0,01 jämfört med placebo
d Patienter med Itch NRS ≥ 4 vid baslinjen: placebo N = 135, ixekizumab 80 mg Q4W N = 293, ixekizumab 80 mg Q2W N = 303, etanercept N = 306
Till UNCOVER-3 randomiserades 1 346 patienter (1:2:2:2) till antingen placebo, eller ixekizumab (80 mg varannan eller var fjärde vecka [Q2W or Q4W] efter en startdos på 160 mg), eller etanercept 50 mg två gånger per vecka under 12 veckor.
Tabell 4.Effektresultat vecka 12 i UNCOVER-3
Förkortningar: N = antalet patienter i intent-to-treat-populationen
Obs! Patienter för vilka data saknas räknades som icke-responders
a p <0,001 jämfört med placebo
b p 0,001 jämfört med etanercept
c Patienter med Itch NRS ≥ 4 vid baslinjen: placebo N = 158, ixekizumab 80 mg Q4W N = 313, ixekizumab 80 mg Q2W N = 320, etanercept N = 312
Med ixekizumab sågs en snabbt insättande effekt med > 50 % reduktion av genomsnittligt PASI vecka 2 (figur 1). Procentandelen patienter som uppnådde PASI 75 var signifikant högre för ixekizumab än för placebo och etanercept redan vecka 1. Cirka 25 % av patienterna som behandlades med ixekizumab hade uppnått ett PASI-poäng < 5 vecka 2, över 55 % hade uppnått ett PASI-poäng < 5 vecka 4 och siffran hade stigit till 85 % vecka 12 (att jämföra med 3 %, 14 % och 50 % för etanercept). Signifikant förbättring av klådan sågs vecka 1 hos de patienter som behandlades med ixekizumab.
Ixekizumabs effekt och säkerhet påvisades oavsett ålder, kön, ras, kroppsvikt, PASI-poäng vid baslinjen, plackens placering, samtidig psoriasisartrit och tidigare behandling med biologiskt läkemedel. Ixekizumab hade effekt hos patienter som tidigare inte fått någon systembehandling, patienter som inte behandlats med biologiska läkemedel, patienter som fått biologiska/anti-TNF-läkemedel och patienter med behandlingssvikt på biologiska/anti-TNF-läkemedel.
Av de patienter som bedömts som sPGA-icke-responders (uppnådde inte sPGA 0 eller 1) till etanercept vid vecka 12 i UNCOVER-2 (N=200) och som gick över till ixekizumab 80 mg Q4W efter en 4 veckors washout-period, uppnådde 73 % respektive 83,5 % sPGA (0,1) och PASI 75 efter 12 veckors behandling med ixekizumab.
I de två kliniska studierna med aktivt jämförande läkemedel (UNCOVER-2 och UNCOVER-3) var frekvensen allvarliga biverkningar 1,9 % för både etanercept och ixekizumab. Frekvensen behandlingsavbrott på grund av biverkningar var 1,2 % för etanercept och 2,0 % för ixekizumab. Infektionsfrekvensen var 21,5 % för etanercept och 26,0 % för ixekizumab, där 0,4 % var allvarliga för etanercept och 0,5 % för ixekizumab.
Bibehållet behandlingssvar vecka 60 och i upp till 5 år
Patienter som inledningsvis randomiserats till ixekizumab och var responders vecka 12 (dvs. hade ett sPGA-poäng på 0 eller 1) i UNCOVER-1 och UNCOVER-2, randomiserades på nytt till ytterligare 48 veckors behandling med placebo eller ixekizumab (80 mg var 4:e eller 12:e vecka [Q4W eller Q12W]).
För patienter vars sPGA (0,1) förbättrats vid vecka 12 och som randomiserats på nytt till behandlingsutsättning (dvs. placebo), var mediantiden till återfall (sPGA ≥3) 164 dagar i UNCOVER-1 och UNCOVER-2 sammantaget. Bland dessa patienter återfick 71,5 % minst sPGA-respons (0,1) inom 12 veckor efter att behandling med ixekizumab 80 mg Q4W åter satts in.
Tabell 5.Bibehållet behandlingssvar och effekt vecka 60 (i studierna UNCOVER-1 och UNCOVER-2)
Förkortningar: N = antalet patienter i analyspopulationen
Obs! Patienter för vilka data saknas räknades som icke-responders
a p < 0,001 jämfört med placebo
Ixekizumab hade effekt som underhållsbehandling för att behålla behandlingssvaret hos patienter som tidigare inte fått någon systembehandling, patienter som inte behandlats med biologiska läkemedel, patienter som fått biologiska/anti-TNF-läkemedel och patienter med behandlingssvikt på biologiska/anti-TNF-läkemedel.
Signifikant större förbättring vecka 12 efter studiens start i jämförelse med placebo och etanercept påvisades vid nagelpsoriasis (enligt Nail Psoriasis Severity Index [NAPSI]), psoriasis i hårbotten (enligt Psoriasis Scalp Severity Index [PSSI]) och vid palmoplantar psoriasis (enligt Psoriasis Palmoplantar Severity Index [PPASI]) och kvarstod vid vecka 60 hos patienter som behandlades med ixekizumab och som var sPGA-responders (0,1) vecka 12.
Av de 591 patienter som fick ixekizumab Q2W under induktionsperioden och Q4W efter, i studierna UNCOVER 1, UNCOVER 2 och UNCOVER 3, fullföljde 427 patienter 5 års behandling med ixekizumab. Av dessa, behövde 101 patienter en ökad dos. Av de patienter som genomgick utvärdering vid vecka 264 (N=427) sågs 295 patienter (69%), 289 patienter (68%) och 205 patienter (48%) ha svar på sPGA (0,1), PASI 90 och PASI 100. DLQI samlades in efter induktionsperioden i UNCOVER 1 och UNCOVER 2, 113 patienter (66%) observerades ha DLQI- svar (0,1).
Livskvalitet/patientrapporterat resultat
I studierna visade ixekizumab vid vecka 12 en statistiskt signifikant förbättring i hälsorelaterad livskvalitet bedömt efter genomsnittliga reduktionsintervaller från baslinjen i Dermatology Life Quality Index (DLQI) (ixekizumab 80 mg Q2W från -10,2 till -11,1, ixekizumab 80 mg Q4W från -9,4 till -10,7, etanercept från -7,7 till -8,0 och placebo -1,0 till -2,0). En signifikant större andel av patienterna som behandlades med ixekizumab fick DLQI 0 eller 1. I studierna fick en signifikant större andel av patienterna som behandlades med ixekizumab en reduktion av Itch NRS ≥ 4 poäng vid vecka 12 (84,6 % för ixekizumab Q2W, 79,2 % för ixekizumab Q4W och 16,5 % för placebo) och förbättringen höll i sig över tid upp till vecka 60 hos patienter som behandlades med ixekizumab och var sPGA (0 eller 1) responders vid vecka 12. Det fanns inte några tecken på försämring av depression vid upp till 60 veckors behandling med ixekizumab enligt Quick Inventory of Depressive Symptomatology Self Report.
Efter marknadsföring, direkt jämförande studier
IXORA-S: I en dubbelblind studie var ixekizumab överlägsen ustekinumab i de primära effektmåtten i studien (PASI 90-svar vid vecka 12, tabell 6). PASI 75-svar var signifikant redan vecka 2 (p <0,001) och PASI 90 och PASI 100 vid vecka 4 (p <0,001). ixekizumab var även signifikant mot ustekinumab i subgrupperna som stratifierade efter vikt.
Tabell 6. Responsfrekvens från jämförande studie ixekizumab mot ustekinumab
* Ixekizumab 160 mg gavs som en laddningsdos följt av 80 mg vid vecka 2, 4, 6, 8, 10 och 12, och 80 mg var 4:de vecka därefter ** Viktbaserad dosering: Patienter behandlade med ustekinumab fick 45 mg eller 90 mg vid vecka 0 och 4, därefter var 12:te vecka till vecka 52 (doserad efter vikt enligt den godkända doseringen)§p < 0,001 mot ustekinumab (p.värdet är endast givet för det primära effektmåttet)
IXORA R: Effekt och säkerhet av ixekizumab undersöktes också i en 24-veckors randomiserad dubbelblind parallellgruppstudie där ixekizumab jämfördes med guselkumab, där ixekizumab var signifikant bättre så tidigt som vecka 4 när det rörde sig om att uppnå fullständig hudutläkning och det primära studiemålet (PASI 100 vid vecka 12). PASI 100 vid vecka 24 var non-inferior (tabell 7).
Tabell 7. Effektresultat från jämförande studie av ixekizumab och guselkumab, population med avsikt att behandlasa (Intent-to-treat)
Förkortningar: KI = konfidens intervall; GUS = guselkumab; IXE = ixekizumab; N = antal patienter i analyserad population; n = antal patienter i en specificerad kategori; PASI = psoriasis area and severity index; sPGA = static physician global assessment.
a Effektmåtten analyserades i förutbestämd följd (gated order)
Figur 2: PASI 100 vid vecka 4, 8, 12 och 24, NRI
*p<0,001 vs guselkumab vid vecka 4, 8 och 12.
NRI – icke-responder imputation
Effekt vid genital psoriasis
En randomiserad, dubbel-blind, placebokontrollerad studie (IXORA-Q) genomfördes med 149 vuxna patienter (24 % kvinnor) med måttlig till svår genital psoriasis sPGA med en genitalpoäng ≥ 3), som också hade måttlig plackpsoriasis (sPGA poäng ≥3), minst 1 % involverad kroppsyta (BSA) (60,4 % hade BSA ≥ 10 %) och tidigare brustit i eller ej tolererat minst en topikal behandling mot genital psoriasis. Patienter hade minst måttlig plackpsoriasis (definierat som sPGA poäng ≥3 och har varit kandidater för ljusbehandling och/eller systemisk terapi i minst 6 månader.
Patienterna som randomiserades till ixekizumab fick en startdos på 160 mg och därefter 80 mg varannan vecka under 12 veckor. Det primära effektmåttet var andel patienter som nådde ”0” (läkt) eller ”1” (nästan läkt) svar på sPGA för genitalia (sPGA Genetalia 0/1). Vid vecka 12 hade signifikant fler patienter i ixekizumab -gruppen än placebogruppen uppnått sPGA Genitala 0/1 och sPGA 0/1. sPGA svar på genitalia var liknande oavsett BSA (baslinje BSA 1% - <10 % resp. ≥10 %: sPGA genitalia ‘’0” eller “1”: ixekizumab 71 %, resp. 75 %; placebo: 0 %, resp. 13 %). En signifikant större andel patienter behandlade med ixekizumab nådde en reduktion i svårighetsgrad i patientrapporterat resultat av genital smärta, genital klåda, genital psoriasis grundad påverkan på sexuell aktivitet och Dermatology Quality of Life Index (DLQI)
Tabell 8. Effektresultat vid vecka 12 hos vuxna med genital psoriasis i studie IXORA-Q; NRIa
a Förkortningar: NRI = icke-responder imputation; sPGA = static Physician Global Assessment; GPSS = Genital Psoriasis Symptom Scale; SFQ = Sexual Frequency Questionnaire; DLQI = Dermatology Quality of Life Index; b Total DLQI poäng av 0,1 indikerar att hudstatus inte har någon påverkan på patientens livskvalitét. ”0” eller ”1” i sPGA poäng likställes med ”läkt” eller ”nästan läkt”; NRS = Numeric Rating Scale; SE = Standardfel
Plackpsoriasis hos barn
I en randomiserad, dubbelblind, multicenter, placebokontrollerad studie (IXORA- Peds) inkluderades 201 barn, från 6 år till yngre än 18 år, med måttlig till svår plackpsoriasis (definierat av sPGA-poäng ≥3, med ≥ 10% av kroppsytan samt en PASI-poäng ≥12) som var aktuella för ljusterapi, eller systemisk behandling, eller hade otillräckligt kontroll vid topikal behandling.
Patienterna randomiserades till placebo (n=56), etanercept (n=30) eller ixekizumab (n=115) med en dosering stratifierad efter vikt:
<25 kg: 40 mg vid vecka 0 följt av 20 mg Q4W (n=4)
25 kg till 50 kg: 80 mg vid vecka 0 följt av 40 mg Q4W (n=50)
>50 kg: 160 mg vid vecka 0 följt av 80 mg Q4W (n=147)
Patienter randomiserade till etanercept (patienter med svår psoriasis) fick 0,8 mg/kg, högst 50 mg per dos, varje vecka från vecka 0 till vecka 11.
Efter den inledande dubbelblinda induktionsperioden på 12-veckor var patienterna berättigade att gå med i en 48 veckor lång öppen underhållsperiod (från vecka 12 till vecka 60) med en viktanpassad dos ixekizumab, följt av en förlängningsperiod i upp till 108 veckor.
Klinisk respons vecka 12
Behandlingssvaret utvärderades efter 12 veckor och definierades av andelen patienter som uppnådde det primära effektmåttet för ett sPGA-poäng på” 0” (”läkt”) eller” 1” (”nästan läkt”) med minst 2 poängs förbättring jämfört med utgångsvärdet och andelen patienter som uppnådde en minskning av PASI poäng på minst 75% (PASI 75) från utgångsvärdet.
Andra utvärderade resultat vid vecka 12 inkluderade andelen patienter som uppnådde PASI 90, PASI 100, sPGA ”0” och en förbättring av svårighetsgrad mätt som en minskning med minst 4 poäng på en 11 punkters skala för klåda (Itch Numeric Rating Scale).
Patienterna hade ett medianvärde vid baseline PASI på 17 poäng, varierande mellan 12 49 och baseline sPGA- poäng var svår eller mycket svår hos 49%. Av alla patienter hade 22% tidigare fått ljusterapi och 32% hade tidigare fått konventionell systemisk behandling av psoriasis.
25% av patienterna (n=43) var under 12 år (14% av patienterna [n=24] var 6-9 år och 11% av patienterna [n=19] var 10-11 år); 75% (n=128) var 12 år eller äldre.
Data över klinisk respons tabuleras i tabell 9.
Tabell 9. Effekt resultat hos pediatriska patienter med plackpsoriasis, NRI
Förkortningar: N = Antal patienter i intent- to- treat (ITT) populationen; NRI = icke-responder imputation.
a Vid vecka 0 fick försökspersonerna 160 mg, 80 mg eller 40 mg ixekizumab följt av 80 mg, 40 mg eller 20 mg var 4:e vecka, beroende på viktkategori, i 12 veckor.
b Jämförelser med etanercept utfördes inom subpopulationen av patienter utanför USA och Kanada med svår Ps (N för ixekizumab = 38).
c Co-primära utfallsmått.
d Resultat vid vecka 12.
e Itch NRS (≥4 förbättring) hos patienter med baslinje Itch NRS ≥4. Antalet ITT-patienter med baslinjen Itch NRS Score ≥4 är följande: ixekizumab, n = 83; PBO, n = 40.
f p <0,001
Figur 3. Procent av patienterna som uppnådde PASI 75 vid pediatrisk psoriasis till vecka 12
Patienter i behandlingsgruppen med ixekizumab hade kliniskt betydelsefulla högre svar på CDLQI/DLQI (0,1) vid vecka 12 (NRI) jämfört med placebo. Skillnaden mellan behandlingsgrupperna var tydliga redan vid vecka 4.
Större förbättringar sågs vid vecka 12 jämfört med placebo i avseende av nagelpsoriasis (mätt med Nail Psoriasis Severity Index [NAPSI=0: ixekizumab 18% (6/34), placebo 0% (0/12)]), av hårbottenpsoriasis (mätt med Psoriasis Scalp Severity Index [PSSI=0: ixekizumab 69% (70/102), placebo 16% (8/50)]) och vid palmoplantar psoriasis (mätt med Psoriasis Palmoplantar Severity Index [PPASI 75: ixekizumab 53% (9/17), placebo 11% (1/9)]).
Bibehållet behandlingssvar vecka 60 och upp till vecka 108
Hos patienter som kontinuerligt behandlades med ixekizumab bibehölls kliniskt meningsfulla förbättringar i effektmålen fram till vecka 108:
• PASI 75: 83,0 % vid vecka 60, 76,6 % vid vecka 108 (NRI)
• sPGA (0,1): 74,5 % vid vecka 60, 68,1 % vid vecka 108 (NRI)
Psoriasisartrit
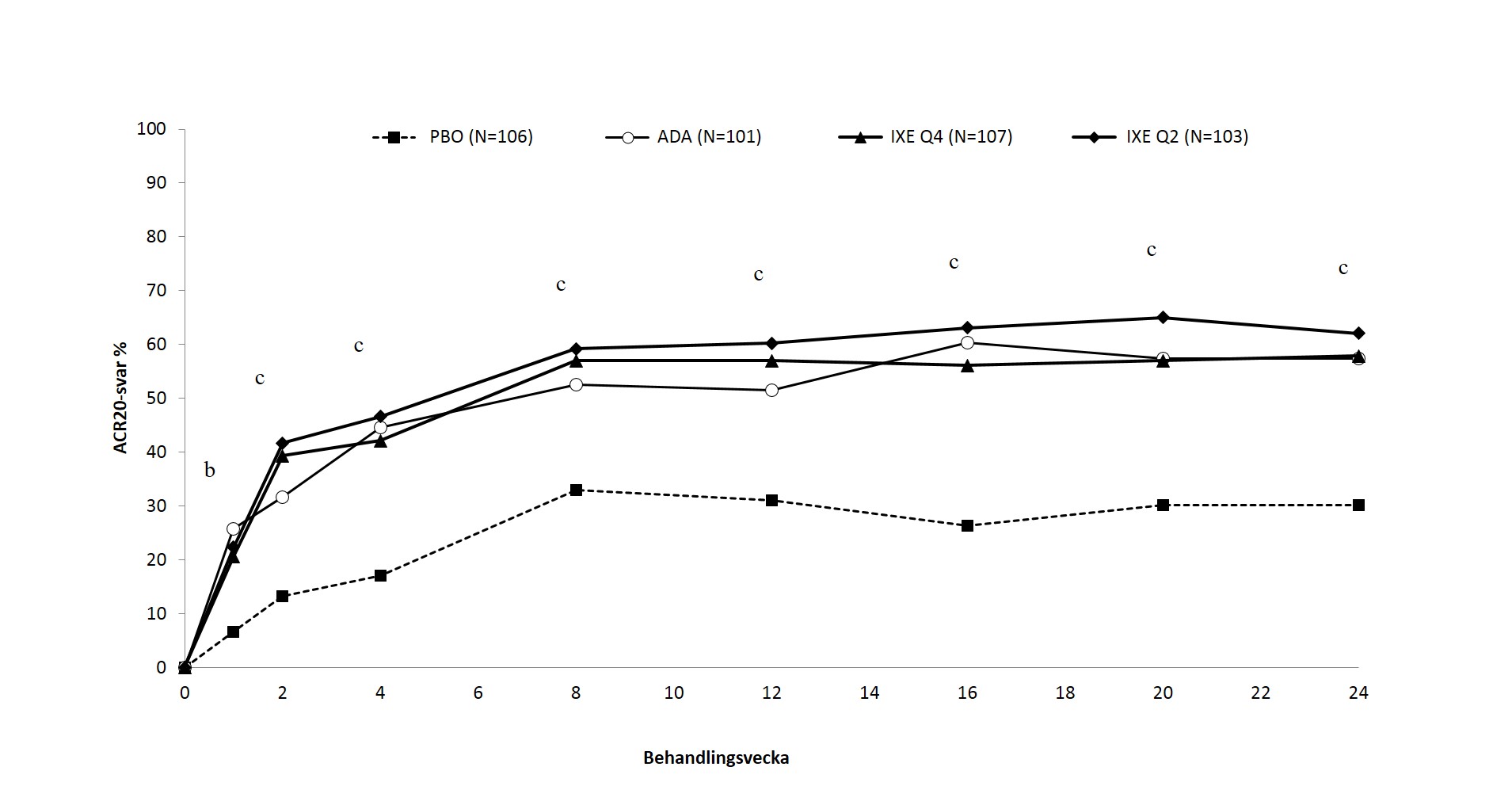
Ixekizumab undersöktes i två randomiserade, dubbelblinda, placebokontrollerade fas III-studier på 780 patienter med aktiv psoriasisartrit (≥3 svullna och ≥3 ömma leder). Patienterna hade fått diagnosen psoriasisartrit (Classification Criteria for Psoriatic Arthritis [CASPAR] criteria) sedan i median 5,33 år och hade även plackpsoriasislesioner (94,0 %) eller dokumenterad anamnes på plackpsoriasis, där 12,1 % av patienterna hade måttlig till svår plackpsoriasis vid studiens början. Över 58,9 % och 22,3 % av patienterna med psoriasisartrit hade entesit respektive daktylit vid studiens början. Primära effektmåttet för båda studierna var American College of Rheumatology (ACR) 20 svar vid vecka 24, följt av en långtids uppföljningsperiod från vecka 24 till vecka 156 (3 år).
I Psoriatic Arthritis Study 1 (SPIRIT-P1) randomiserades patienter, naiva till biologisk behandling, med aktiv psoriasisartrit till placebo, adalimumab 40 mg varannan vecka (aktiv kontrollarm), ixekizumab 80 mg varannan vecka (Q2W) eller 80 mg var fjärde vecka (Q4W). Båda ixekizumab-regimerna inkluderade en 160 mg startdos. 85,3 % av patienterna i denna studie hade fått tidigare behandling med ≥1 konventionella sjukdomsmodifierande antireumatiska läkemedel (cDMARD). 53 % av patienterna använde samtidigt metotrexat med en genomsnittlig veckodos på 15,8 mg. 67 % av patienterna som samtidigt använde metotrexat hade en dos på 15 mg eller mer. Patienter med ett otillräckligt svar vid vecka 16 fick ytterligare behandling (modifiering av bakgrundsterapi). Patienter på ixekizumab Q2W eller Q4W kvarstod på den ursprungligen tilldelade dosen av ixekizumab. Patienter som fick adalimumab eller placebo re-randomiserades 1:1 till ixekizumab Q2W eller Q4W vid vecka 16 eller 24 baserat på respons. 243 patienter avslutade den 3 åriga förlängningsperioden med ixekizumab.
Psoriatic Arthritis Study 2 (SPIRIT-P2) inkluderade patienter som tidigare behandlats med en TNF-hämmare och avbrutit behandling med TNF-hämmare på grund av otillräcklig effekt eller intolerans (anti-TNF-IR-patienter). Patienterna randomiserades till placebo, ixekizumab 80 mg varannan vecka (Q2W) eller 80 mg var fjärde vecka (Q4W). Båda ixekizumab-regimerna inkluderade en 160 mg startdos, 56 % och 35 % av patienterna svarade otillräckligt på 1 TNF-hämmare respektive 2 TNF-hämmare. I SPIRIT-P2 utvärderades 363 patienter, av vilka 41 % samtidigt behandlades med metotrexat med en genomsnittlig veckodos på 16,1 mg. 73,2 % av patienterna som samtidigt behandlades med metotrexat hade en dos på 15 mg eller mer. Patienter med ett otillräckligt svar vid vecka 16 fick ytterligare behandling (modifiering av bakgrundsterapi). Patienter på ixekizumab Q2W eller Q4W kvarstod på den ursprungligen tilldelade dosen av ixekizumab. Patienter som fick placebo re-randomiserades 1:1 till ixekizumab Q2W eller Q4W vid vecka 16 eller 24 baserat på respons. 168 patienter avslutade den 3 åriga förlängningsperioden med ixekizumab.
Tecken och symtom
Behandling med ixekizumab resulterade i signifikant minskad sjukdomsaktivitet jämfört med placebo vid vecka 24 (se tabell 10).
Tabell 10. Effektresultat SPIRIT-P1 och SPIRIT-P2 vecka 24
Förkortningar: ACR 20/50/70 = American College of Rheumatology 20 %/50 %/70 % svarsfrekvens; ADA = adalimumab; BSA = kroppsytan; KI = konfidensintervall; Q4W = ixekizumab 80 mg var fjärde vecka; Q2W = ixekizumab 80 mg varannan vecka; N = antal patienter i analyspopulationen; n = antal patienter i den specificerade kategorin; NRI = icke-responder imputation; PASI 100 = psoriasis area and severity index 100 % förbättring; PBO = placebo.
Obs: Patienter som fick ytterligare behandling vid vecka 16 eller avbröt eller där data saknades registrerades som icke-responders i analysen vid vecka 24.
cDMARDs inkluderade metotrexat, leflunomid och sulfasalazin.
a p <0,05; b p <0,01; c p <0,001 jämfört med placebo.
Hos patienter med daktylit eller entesit, resulterade behandling med ixekizumab Q4W i förbättring av daktylit och entesit vid vecka 24 jämfört med placebo (utläkt: 78 % respektive 24 %; p <0,001, och 39 % respektive 21 %; p <0,01).
Hos patienter med ≥3 % BSA, mättes hudläkningen vid vecka 12 som 75 %-ig förbättring med Psoriasis Area Severity Index (PASI 75). 67 % (94/141) av de som behandlats med ixekizumab Q4W och 9 % (12/134) av de som fick placebo (p <0.001) uppnådde PASI 75. Andelen patienter som uppnådde PASI 75, PASI 90 och PASI 100 vid vecka 24 var större med ixekizumab Q4W jämfört med placebo (p <0,001). Hos patienter som samtidigt hade måttlig till svår psoriasis och psoriasisartrit, visade doseringen ixekizumab Q2W signifikant högre svarsfrekvens för PASI 75, PASI 90 och PASI 100 jämfört med placebo (p <0,001) och visade en klinisk fördel mot Q4W doseringen.
Behandlingssvaret på ixekizumab var signifikant högre jämfört med placebo så tidigt som vecka 1 för ACR 20, vecka 4 för ACR 50 och vecka 8 för ACR 70 och höll fortfarande i sig vecka 24. Effekten bibehölls under 3 år för de patienter som kvarstod i studien.
Figur 4. ACR 20-svar i SPIRIT-P1 över tid upp till 24 veckor
För både ixekizumab Q2W och Q4W: b p <0,01 och c p <0,001 jämfört med placebo.
I SPIRIT-P1 och SPIRIT-P2, sågs jämförbara svar för ACR 20/50/70 hos patienter med psoriasisartrit oavsett om de behandlades med cDMARDs, inklusive metotrexat, eller inte.
I SPIRIT-P1 och SPIRIT-P2, sågs förbättring för alla komponenter av ACR-svarskriterierna, även patienterna egen smärtbedömning. Vid vecka 24 var andelen patienter som uppnådde svar enligt modifierad Psoriatic Arthritis Response Criteria(PsARC) var högre hos de ixekizumab-behandlade patienterna jämfört med placebo.
I SPIRIT-P1, kvarstod effekten upp till vecka 52 enligt ACR 20/50/70, MDA (minimal sjukdomsaktivitet), utläkta entesiter, utläkta daktyliter, och PASI 75/90/100-svar.
Effekt och säkerhet hos ixekizumab har visats oavsett ålder, kön, ras, sjukdomens varaktighet, kroppsvikt vid studiestart, grad av psoriasis vid studiestart, CRP vid studiestart, DAS28-CRP vid studiestart, samtidigt bruk av kortikosteroider och tidigare behandling med biologiska läkemedel. ixekizumab var effektivt hos patienter som var naiva för, som behandlats med och som inte haft tillräcklig effekt med behandling med biologiska läkemedel.
I SPIRIT-P1 fullföljde 63 patienter 3 års behandling med Q4W ixekizumab. Av de 107 patienter som randomiserades till ixekizumab Q4W (NRI- analys i ITT- populationen) observerades 54 patienter (50%) ACR20-, 41 patienter (38%) ACR50-, 29 patienter (27%) ACR70- och 36 patienter (34%) MDA, svar vid vecka 156.
I SPIRIT-P2 fullföljde 70 patienter 3 års behandling med Q4W ixekizumab. Bland de 122 patienter som randomiserades till ixekizumab Q4W (NRI-analys i ITT- populationen) observerades 56 patienter (46%) ACR20-, 39 patienter (32%) ACR50-, 24 patienter (20%) ACR70- och 33 (27%) MDA svar vid vecka 156.
Radiografisk effekt
I SPIRIT-P1 gjordes en radiografisk undersökning avseende progression av strukturell skada, vilket uttrycktes som förändring av modiferad Total Sharp Score (mTSS) och dess komponenter Erosion Score (erosioner, ES) och Joint Space Narrowing score(minskad ledspalt JSN) vid vecka 24 och 52, jämfört med studiestart. Data för vecka 24 redovisas i tabell 11.
Tabell 11. Förändring av modifierad Total Sharp Score i SPIRIT-P1
Förkortningar: ADA = adalimumab; KI = konfidensintervall; Q4W = ixekizumab 80 mg var fjärde vecka; Q2W = ixekizumab 80 mg varannan vecka; LSM = least squares mean; N = antal patienter i analyspopulationen PBO = placebo; SE = standardfel; SD = standardavvikelse.
b p <0,01; c p <0,001 jämfört med placebo.
Radiografisk sjukdomsprogression hämmades av ixekizumab (tabell 11) vid vecka 24 och andelen patienter utan sjukdomsprogression (definierat som förändring av mTSS från studiestart med ≤0,5) från randomisering till vecka 24 var 94,8 % för ixekizumab Q2W (p <0,001), 89,0 % för ixekizumab Q4W (p=0,026), 95,8 % för adalimumab (p <0,001) jämfört med 77,4 % för placebo. Vid vecka 52 var förändringen i mTSS från studiestart i medeltal 0,27 för placebo/ixekizumab Q4W, 0,54 för ixekizumab Q4W/ixekizumab Q4W, och 0,32 för adalimumab/ixekizumab Q4W. Andelen patienter utan radiografisk sjukdomsprogression från randomisering till vecka 52 var 90,9 % för placebo/ixekizumab Q4W, 85,6 % för ixekizumab Q4W/ixekizumab Q4W, och 89,4 % för adalimumab/ixekizumab Q4W. Patienterna hade ingen strukturell progression sett från baslinjen (definierad som mTSS ≤ 0,5) i följande behandlingsarmar: Placebo/ixekizumab Q4W 81,5% (N=22/27), ixekizumab Q4W/ ixekizumab Q4W 73,6% (N=53/72) och adalimumab/ixekizumab Q4W 88, 2% (N=30/34).
Fysisk funktion och hälsorelaterad livskvalitet
I både SPIRIT-P1 och SPIRIT-P2 uppvisade patienterna som behandlades med ixekizumab Q2W (p <0,001) och Q4W (p <0,001) signifikant förbättring i fysisk funktion jämfört med patienter som fick placebo enligt Health Assessment Questionnaire-Disability Index(HAQ-DI) vid vecka 24 och effekten kvarstod vid vecka 52 i SPIRIT-P1.
Ixekizumab-behandlade patienter rapporterade förbättringar av hälsorelaterad livskvalitet enligt Physical Component Summary of the Short Form-36Health Survey (SF-36 PCS) (p <,001). Förbättringar har även visats för fatigue enligt Fatigue severity NRS (p <0,001).
Direkt jämförande fas 4-studie efter marknadsgodkännande
Effekten och säkerheten för ixekizumab undersöktes i en randomiserad, öppen, multicenter-, parallellgruppsstudie med blindade bedömare (SPIRIT-H2H) och jämfördes med adalimumab (ADA) hos 566 patienter med PsA som var naiva för biologiska sjukdomsmodifierande antireumatiska läkemedel (bDMARD). Patienterna stratifierades vid baslinjen baserat på samtidig användning av cDMARD och förekomst av måttlig till svår psoriasis (PASI≥12, BSA≥10 och sPGA≥3).
Ixekizumab var superior jämfört med ADA vad gällde det primära effektmålet i studien: samtidig ACR 50- och PASI 100-respons uppnådd vecka 24 (ixekizumab 36,0 % jämfört med ADA 27,9 %; p=0,036; 95 % konfidensintervall [0,5 %; 15,8 %]. Ixekizumab uppvisade också non-inferioritet (förbestämd marginal på ‑12 %) mot ADA med ACR 50 (ITT-analys: ixekizumab 50,5 % jämfört med ADA 46,6 %; 3,9 % skillnad jämfört med ADA; 95 % konfidensintervall [‑4,3 %; 12,1 %, PPS-analys ixekizumab: 52,3 %, ADA: 53,1 %, skillnad ‑0,8 % [CI: ‑10,3 %; 8,7%]) och superioritet för PASI 100 vid vecka 24 (60,1 % med ixekizumab jämfört med 46,6 % med ADA, p=0,001), vilket var det sekundära huvudeffektmåttet i studien. Vid vecka 52 uppnådde en högre andel patienter, vilka behandlats med ixekizumab jämfört med ADA samtidigt ACR50 och PASI 100 [39% (111/283) jämfört med 26% (74/283)] och PASI 100 [64% (182/283) jämfört med 41% (117/ 283)]. Ixekizumab- och ADA-behandling resulterade i liknande svar för ACR50 [49,8% (141/283) jämfört med 49,8% (141/283)]. Svaret på ixekizumab var konsekvent både vid användning som monoterapi och/eller vid samtidig användning av metotrexat.
Figur 5: Responsfrekvens vecka 0‑24 för det primära effektmåttet (samtidigt ACR 50 & PASI 100) samt sekundära huvudeffektmått (ACR 50; PASI 100) [ITT-population, NRI]**
** Ixekizumab 160 mg vecka 0, därefter 80 mg varannan vecka till vecka 12 och därefter var fjärde vecka till patienter med måttlig till svår plackpsoriasis, eller 160 mg vecka 0, därefter 80 mg var fjärde vecka till övriga patienter, ADA 80 mg vecka 0, därefter 40 mg varannan vecka från vecka 1 till patienter med måttlig till svår plackpsoriasis, eller 40 mg vecka 0, därefter 40 mg varannan vecka till övriga patienter.
Signifikansnivå endast rapporterad för effektmått som var fördefinierade och testade för multiplicitet.
Axial spondylartrit
Ixekizumab utvärderades hos totalt 960 vuxna patienter med axial spondylartrit i tre randomiserade placebokontrollerade studier (varav två med radiografisk och en med icke-radiografisk axial spondylartrit).
Radiografisk axial spondylartrit
Ixekizumab utvärderades hos totalt 657 vuxna patienter med aktiv sjukdom enligt Bath Ankylosing Spondylitis Disease Activity Index (BASDAI) definition ≥4, och total ryggsmärta ≥4 på en numerisk betygsskala trots icke-steroid anti-inflammatorisk läkemedels (NSAID) terapi, i två randomiserade, dubbelblinda, placebokontrollerade studier (COAST-V och COAST-W). Vid baslinjen i båda studierna hade patienterna symtom i ett genomsnitt av 17 år (median på 16 år). Vid baslinjen var cirka 32% av patienterna på en cDMARD.
COAST-V studien utvärderade 341 biologiskt naiva patienter. Patienterna behandlades med antingen 80 mg eller 160 mg ixekizumab vid vecka 0 följt av 80 mg varannan vecka (Q2W) eller 4 veckor (Q4W), eller adalimumab 40 mg varannan vecka eller med placebo. Patienter som fick placebo randomiserades på nytt vid vecka 16 för att få ixekizumab (160 mg startdos, följt av 80 mg Q2W eller Q4W). Patienter som fick adalimumab randomiserades på nytt vid vecka 16 för att få ixekizumab (80 mg Q2W eller Q4W).
COAST-W studien utvärderade 316 patienter som tidigare hade erfarenhet av en eller två TNF-hämmare (90% var svarare otillräckliga och 10% var intoleranta mot TNF-hämmare). Alla patienter behandlades med ixekizumab 80 mg eller 160 mg vid vecka 0 följt av 80 mg Q2W eller Q4W eller med placebo. Patienter som fick placebo randomiserades på nytt vid vecka 16 för att få ixekizumab (160 mg initialdos, följt av 80 mg Q2W eller Q4W).
Det primära effektmåttet i båda studierna var andelen patienter som uppnådde en ASAS40 svar (Assement of Spondyloarthritis International Society 40) vid vecka 16.
Klinisk respons
I båda studierna visade patienter som behandlades med ixekizumab 80 mg Q2W eller 80 mg Q4W större förbättringar i ASAS40- och ASAS20-svar jämfört med placebo vid vecka 16 (tabell 12). Behandlingssvaret var liknande hos patienter oavsett samtidig annan behandling. I COAST-W sågs behandlingssvar oavsett antalet tidigare TNF-hämmare.
Tabell 12. Effektivitetsresultat i COAST-V och COAST-W vid vecka 16
Förkortningar: N = antal patienter i intent-to-treat (ITT, avsedd) behandlingspopulation; NRI = Ansedda icke-respondent; patienter med avsaknad av data räknades som icke-respondenter.
ASAS HI = Assement of SpondyloArthritis International Society Health Index; ASDAS = Ankyloserande spondylit sjukdomsaktivitetsresultat; BASDAI = Ankyloserande spondylit sjukdomsaktivitetsindex; CFB (förändring från baslinje) = minsta kvadratisk medelförändring från baslinjen vid vecka 16 MR-ryggraden SPARCC = Spondyloarthritis Research Consortium of Canada Magnetresonansavbildning Scoring av ryggraden (23 discovertebral enhetsskala)
a Vid vecka 0 fick patienter 80 mg eller 160 mg ixekizumab.
b Ett ASAS20-svar definieras som en förbättring på ≥20% och en absolut förbättring från baslinjen på ≥1 enhet (område 0 till 10) i ≥3 av 4 domäner (Patient Global, Spinal Pain, Function and Inflammation), och ingen försämring på ≥20% och ≥1 enhet (område 0 till 10) i den återstående domänen. Ett ASAS40-svar definieras som en ≥40% förbättring och en absolut förbättring från baslinjen på ≥2 enheter i ≥3 av 4 domäner utan någon försämring av den återstående domänen.
c Primärt effektmått.
d Antalet ITT-patienter med MR-data vid baslinjen är följande: COAST-V: ixekizumab, n = 81; Placebo, n = 82; Adalimumab, n = 85. COAST-W: ixekizumab, n = 58; Placebo, n = 51.
e BASDAI50-svar definierat som en förbättring av ≥50% av BASDAI-poäng från baslinjen.
f ASAS HI: Assement of SpondyloArthritis International Society Health Index (ASAS HI) över alla domäner.
g De rapporterade värdena är skillnaden i % (95% KI) för kategoriska variabler och skillnaden i LSM (95% KI) för kontinuerliga variabler.
h post hoc-analys, inte korrigerad för multiplicitet.
i förutbestämd, men utan multiplikationsgrind.
* p <0,05; ** p <0,01; *** p <0,001 jämfört med placebo.
I huvudkomponenterna i ASAS40-svarskriterierna (ryggsmärta, BASFI, patientens globala bedömning, stelhet) sågs förbättringar och andra mått på sjukdomsaktivitet, inklusive CRP, vid vecka 16.
Figur 6. Andelen patienter som uppnådde ett ASAS40-svar i COAST-V och COAST-W vid vecka 16, NRIa
a Patienter med avsaknad av data räknades som icke-respondenter
* p<0,05; ** p<0,01; *** p<0,001 jämfört med placebo.
Liknande ASAS40-svar sågs hos patienter oavsett baslinje CRP-nivå, baslinje ASDAS-poäng och SPARCC-poäng för MR-ryggraden. ASAS40-svaret påvisades oberoende av ålder, kön, ras, sjukdoms varaktighet, kroppsvikt vid baslinjen, baslinje BASDAI-poäng och tidigare biologisk behandling.
I COAST-V och COAST-W bibehölls effekten fram till vecka 52 bedömts mot effektmåtten presenterade i tabell 12, inklusive ASAS20, ASAS40, ASDAS, BASDAI och ASAS HI-svarnivåer.
Hälsorelaterade resultat
Ryggsmärta visade förbättringar jämfört med placebo så tidigt som vecka 1 och bibehölls till vecka 16 [ixekizumab jämfört placebo: COAST-V -3,2 jfr -1,7; COAST-W -2,4 jfr -1,0]; trötthet i och ryggradens rörlighet visade förbättringar jämfört med placebo vid vecka 16. Förbättringar i ryggsmärta, trötthet och ryggradens rörlighet bibehölls till vecka 52.
Icke-radiografisk axial spondylartrit
Ixekizumab utvärderades i en randomiserad, dubbelblind, studie med en 52 veckors placebokontrollerad period (COAST-X) hos 303 vuxna patienter med en i minst tre månader aktiv axial spondylartrit. Patienterna måste ha haft objektiva tecken på inflammation indikerat av förhöjt C-reaktivt protein (CRP) och / eller sakroiliit vid magnetresonanstomografi (MRI), och inga definitiva radiografiska bevis för strukturell skada på sakroiliakaleder. Patienter hade aktiv sjukdom enligt definitionen av Bath Ankylosing Spondylitis Disease Activity Index (BASDAI) ≥4, och ryggsmärta ≥4 på en 0 till 10 numerisk betygsskala (NRS), trots icke-steroidala anti-inflammatorisk läkemedel (NSAID). Patienterna behandlades med antingen ixekizumab 80 mg eller 160 mg vid vecka 0, följt av 80 mg varannan vecka (Q2W) eller 80 mg var 4:e vecka (Q4W) eller med placebo. Dosjustering och / eller initiering av samtidig annan medicinering (NSAID, cDMARD, kortikosteroider, smärtstillande medel) tilläts med början vid vecka 16.
Vid baslinjen hade patienter symtom på icke-radiografisk axSpA i genomsnitt 11 år. Cirka 39% av patienterna var på ett samtidigt cDMARD.
Det primära effektmåttet var procentandelen patienter som uppnådde ett Assement of Spondyloarthritis International Society 40 (ASAS40) svar vid vecka 16.
Klinisk respons
Högre andel patienter som behandlades med ixekizumab 80 mg Q4W uppnådde ASAS40-svar jämfört med placebo vid vecka 16 (tabell 13). Svaren var lika oavsett samtidig annan behandling.
Tabell 13. Effektresultat vid vecka 16 i COAST-X, NRIa,b
a Förkortningar: N = antal patienter i intent-to-treat (ITT, avsedd) behandlingspopulation; NRI = Ansedda icke-respondent; patienter med avsaknad av data räknades som icke-respondenter. ASDAS = Ankyloserande spondylit sjukdomsaktivitetsresultat;
BASDAI = Ankyloserande spondylit sjukdomsaktivitetsindex; Förändring från baslinje = minsta kvadratisk medelförändring från baslinjen vid vecka 16 MRI SIJ SPARCC = Spondyloarthritis Research Consortium of Canada Magnetresonanstomografi poäng av sakroiliakaleder.
b Patienter med avsaknad av data räknades som icke-respondenter
c Vid vecka 0 fick patienter 80 mg eller 160 mg ixekizumab.
d Ett ASAS20-svar definieras som en förbättring på ≥20% och en absolut förbättring från baslinjen på ≥1 enhet (område 0 till 10) i ≥3 av 4 domäner (Patient Global, Spinal Pain, Function and Inflammation), och ingen försämring på ≥20% och ≥1 enhet (område 0 till 10) i den återstående domänen. Ett ASAS40-svar definieras som en ≥40% förbättring och en absolut förbättring från baslinjen på ≥2 enheter i ≥3 av 4 domäner utan någon försämring av den återstående domänen.
e Primärt effektmått vid vecka 16
f Antalet ITT-patienter med MR-data vid baslinjen och vecka 16 är följande: ixekizumab, n = 85; Placebo, n = 90
g Patienter med avsaknad av data räknades som icke-respondenter. Andelen (procent) baseras på antalet patienter i ITT-populationen med en baslinje ASDAS poäng ≥2,1.
h De rapporterade värdena är skillnaden i % (95% KI) för kategoriska variabler och skillnaden i LSM (95% KI) för kontinuerliga variabler.
* p <0,05; ** p <0,01; *** p <0,001 jämfört med placebo.
Förbättringen av huvudkomponenterna i ASAS40-svarskriterierna (ryggsmärta, BASFI, patientens globala bedömning, stelhet) och andra mått på sjukdomsaktivitet visade en signifikant klinisk förbättring vid vecka 16.
Figur 7. Andelen patienter som uppnådde ASAS40-svar fram till vecka 16 i COAST-X, NRIa
a Patienter med avsaknad av data räknades som icke-respondenter
* p<0,01 jämfört med placebo.
Effekten bibehölls i upp till 52 veckor, utvärderat efter effektmåtten som presenteras i tabell 13.
Hälsorelaterade resultat
Ryggsmärta visade förbättringar jämfört med placebo så tidigt som vecka 1 och bibehölls till vecka 16 [ixekizumab jämfört placebo: COAST-X -2,4 jfr -1,5]. Som tillägg, visade fler patienter med ixekizumab jämfört med placebo goda hälsoresultat (ASAS HI ≤5) vid vecka 16 och vecka 52.
Långtidsresultat axial spondylartrit
Patienter som fullföljde en av de tre pivotala studierna COAST-V / W / X (52 veckor) erbjöds deltagande i en randomiserad, långtidsförlängnings studie på utsättning (COAST-Y, med 350 och 423 patienter behandlade med ixekizumab Q4W respektive Q2W). Bland de patienter, 157/773 (20,3%), som uppnådde remission (Ankyloserande spondylit sjukdomsaktivitetsvärde [ASDAS] <1,3 minst en gång och ingen ASDAS-poäng ≥2,1, vid vecka 16 och 20) randomiserades 155 patienter, vilka var behandlade med ixekizumab i upp till 76 veckor, vid vecka 24 till COAST-Y studien (Placebo, N = 53; ixekizumab Q4W, N = 48; och ixekizumab Q2W, N = 54), av dessa 155, fullföljde 148 (95,5%) sitt besök vecka 64 (placebo, N = 50; ixekizumab Q4W, N = 47; ixekizumab Q2W, N = 51).
Det primära effektmåttet var andelen patienter i den randomiserade utsättnings-populationen som inte upplevde sjukdomsskov (flare) under veckorna 24 till 64 (kombinerade ixekizumab Q2W- och ixekizumab Q4W-grupper jämfört med placebo).
En signifikant större andel patienter (NRI, icke-responder imputation) i den kombinerade ixekizumab-grupperna (83,3% (85/102), p <0,001) och ixekizumab Q4W (83,3% (40/48), p = 0,003) hade inget sjukdomsskov under veckorna 24 till 64 jämfört med dem som avslutade ixekizumab till placebo (54,7% (29/53)). ixekizumab (i båda kombinerade ixekizumab-grupperna och ixekizumab Q4W-gruppen) fördröjde signifikant tiden till sjukdomsskov (Log Rank Test p <0,001 respektive p <0,01) jämfört med placebo.
Hos patienter som fick kontinuerlig ixekizumab Q4W (N = 157) bibehölls ASAS40-, ASDAS <2,1 och BASDAI50-svar till och med vecka 116.
Juvenil idiopatisk artrit
Juvenil psoriasisartrit (JPsA) och entesit-relaterad artrit (ERA)
COSPIRIT-JIA, en multicenter, öppen, effekt-, säkerhets-, tolerabilitets- och farmakokinetisk studie av subkutant ixekizumab med en referensarm medd adalimumab, på barn från 2 till yngre än 18 år med JPsA eller ERA genomfördes för att utvärdera effekt och säkerhet av ixekizumab i 16 veckor efter behandlingsstart. Det primära effektmåttet i studien var att bestämma andelen patienter som uppfyllde JIA svarskriterier för ACR 30 (30 % förbättring enligt American College of Rheumatology) vid vecka 16.
Tjugo patienter randomiserades till ixekizumab och 20 patienter till adalimumab. Randomiseringen stratifierades baserat på kategorin JIA (ERA eller JPsA). De återstående patienterna som var bDMARD-naiva eller bDMARD-erfarna tilldelades ixekizumab. Patienter som deltog i studien behövde inte ha ett dokumenterat otillräckligt svar på tidigare behandling.
I ixekizumab-gruppen (N = 81) var JIA-patienternas subtyper vid studiestart 33,3 % JPsA och 66,7 % ERA, där 74,1 % (60/81) av patienterna var bDMARD-naiva och 33,3 % (27/81) cDMARD-naiva. Totalt fick 72,8 % av patienterna som behandlades med ixekizumab fick minst en samtidig JIA-behandling under den öppna behandlingsperioden (OLT). Samtidig baseline behandling med metotrexat, sulfasalazine, NSAID och glukokortikoider rapporterades av 40,7 %, 4,9 %, 49,4 % respektive 11,1 % av patienterna,
Patienter som tilldelades Taltz (N = 81) fick dosering stratifierad efter vikt enligt följande:
10 till <25 kg: 40 mg vecka 0, följt av 20 mg var 4:e vecka (n = 6)
25 kg till 50 kg: 80 mg vecka 0, följt av 40 mg var 4:e vecka (n = 20)
>50 kg: 160 mg vid vecka 0, följt av 80 mg var 4:e vecka (n = 55)
För de randomiserade bDMARD-naiva patienterna var JIA ACR 30-svarsfrekvensen vid vecka 16 18/20 (90 %) för ixekizumab-gruppen och 19/20 (95 %) i adalimumab-gruppen. I den totala ixekizumab-populationen (n=81) var JIA ACR 30-svarsfrekvensen 54/60 (90 %) i den bDMARD-naiva gruppen och 18/21 (85,7 %) i den bDMARD-erfarna gruppen.
Svarsfrekvensen för JIA ACR 30 vid vecka 16 var också konsekvent i alla subtyper av JPsA (24/27, 88,9 %) och ERA (48/54, 88,9 %).
Dessutom utvärderades andelen patienter som uppfyllde JIA ACR 30/50/70/90/100 responskriterier vid vecka 16. Data för kliniskt svar presenteras i figur 8.
Figur 8. JIA ACR 30/50/70/90/100 svarsfrekvenser i ixekizumab-gruppen över 16 veckor – ITT-population (NRI-metoden)
Förkortningar: ACR 30/50/70/90/100 = 30 %/50 %/70 %/90 %/100 % förbättring enligt American College of Rheumatologys kriterier; ITT = avsikt-att-behandla; JIA = juvenil idiopatisk artrit; N = antal patienter i analyspopulationen; NRI = imputering av non responder.
Immunogenicitet
Inga säkerhetsrisker identifierades i en studie på friska frivilliga som fick två inaktiverade vacciner (tetanus och pneumokocker) efter två doser av ixekizumab (160 mg följt av en andra dos på 80 mg två veckor senare). Data angående immunogenicitet var dock otillräckliga för att fastställa ett adekvat immunsvar på dessa vacciner efter administrering av ixekizumab.
Pediatrisk population
Europeiska läkemedelsmyndigheten har senarelagt kravet att skicka in studieresultat för ixekizumab för en eller flera grupper av den pediatriska populationen för behandling av plackpsoriasis och psoriasisartrit / axial spondylartrit (information om pediatrisk användning finns i avsnitt 4.2).
Absorption
Efter en subkutan engångsdos av ixekizumab till patienter med psoriasis uppnåddes genomsnittliga toppkoncentrationer inom 4–7 dagar, i intervallet 5 till 160 mg. Genomsnittlig (SD) högsta plasmakoncentration (Cmax) av ixekizumab, efter startdosen om 160 mg, var 19,9 (8,15) µg/ml.
Efter startdosen om 160 mg uppnåddes steady state vecka 8 med dosregimen 80 mg Q2W. Genomsnittliga (SD) Cmax,ss,- och C dal,ss-estimat är 21,5 (9,16) µg/ml och 5,23 (3,19) µg/ml.
Efter övergång från dosregimen 80 mg Q2W till dosregimen 80 mg Q4W vecka 12, uppnåddes steady state efter cirka 10 veckor. Genomsnittliga (SD) Cmax,ss,- och C dal,ss-estimat är 14,6 (6,04) µg/ml och 1,87 (1,30) µg/ml.
Den genomsnittliga biotillgängligheten för ixekizumab efter subkutan administrering var 54–90 % för samtliga analyser.
Distribution
I populationsfarmakokinetiska analyser var den totala distributionsvolymen vid steady state i genomsnitt 7,11 liter.
Metabolism
Ixekizumab är en monoklonal antikropp och förväntas brytas ned till små peptider och aminosyror genom katabola processer, på samma sätt som endogena immunglobuliner.
Eliminering
I den populationsfarmakokinetiska analysen var genomsnittlig serumclearance 0,0161 l/h. Clearance är inte dosberoende. Genomsnittlig elimineringshalveringstid, beräknad i populationsfarmakokinetiska analyser, är 13 dagar hos patienter med plackpsoriasis.
Linjäritet/icke-linjäritet
Exponeringen (area under kurvan eller AUC) ökade proportionellt över dosintervallet 5–160 mg vid administrering som subkutan injektion.
Farmakokinetiska egenskaper för indikationerna
De farmakokinetiska egenskaperna hos ixekizumab var jämförbara för plackpsoriasis, psoriasisartrit, radiografisk axial spondylartrit och icke-radiografisk axial spondylartrit indikationerna.
Äldre
Av de 4 204 patienterna med plackpsoriasis som fick ixekizumab i kliniska studier var totalt 301 patienter 65 år eller äldre och 36 patienter var 75 år eller äldre. Av de 1 118 patienterna med psoriasisartrit som fick ixekizumab i kliniska studier var totalt 122 patienter 65 år eller äldre och 6 patienter var 75 år eller äldre. Grundat på populationsfarmakokinetiska analyser av ett begränsat antal äldre patienter (n = 94 för åldersgruppen ≥65 år och n = 12 för åldersgruppen ≥75 år), var clearance hos äldre patienter och patienter under 65 år densamma.
Nedsatt njur- eller leverfunktion
Inga specifika kliniska farmakologistudier för att undersöka påverkan av nedsatt njurfunktion och nedsatt leverfunktion på PK för ixekizumab har utförts. Den renala elimineringen av intakt ixekizumab, en monoklonal IgG-antikropp, förväntas vara låg och av mindre vikt. Monoklonala IgG-antikroppar elimineras främst via intracellulär katabolism, varför nedsatt leverfunktion inte förväntas påverka clearance av ixekizumab.
Pediatrisk population
Pediatriska psoriasis-patienter (från 6 år till yngre än 18 år) administrerades ixekizumab med den rekommenderade pediatriska dosen under 12 veckor. Patienter med en kroppsvikt >50 kg och 25 kg till 50 kg hade vid vecka 12 median ±standardavvikelser på steady-state dalkoncentrationer på 3,8 ±2,2 µg/ml respektive 3,9 ±2.4 µg/ml.
Patienter med pediatrisk juvenil idiopatisk artrit (i åldern 6 till yngre än 18 år) fick ixekizumab som rekommenderad pediatrisk dosering under 16 veckor. Patienter som vägde >50 kg och 25 till 50 kg hade en genomsnittlig ± SD steady-state dalkoncentration på 3,9 ± 1,8 respektive 3,5 ± 1,3 μg/ml vid vecka 16. Det fanns begränsade farmakokinetiska data hos patienter som vägde <25 kg.
Prekliniska data avseende allmäntoxicitet, säkerhetsfarmakologi, reproduktionseffekter och effekter på utvecklingen visade inte några särskilda risker för människa.
Ixekizumab administrerat till cynomolgusapor under 39 veckor i doser om upp till 50 mg/kg subkutant per vecka, ledde inte till några toxiska organeffekter eller oönskade effekter på immunologiska funktioner (t.ex. T-cellsberoende antikroppssvar och NK-cellsaktivitet). En subkutan dos varje vecka på 50 mg/kg till apor är ungefär 19 gånger mer än startdosen 160 mg av ixekizumab och resulterar hos apor i en exponering (AUC) som är minst 61 gånger högre än förväntad genomsnittlig exponering vid steady state hos människa vid den rekommenderade dosregimen.
Inga prekliniska studier har utförts för att undersöka ixekizumabs karcinogena eller mutagena potential.
Inga effekter på reproduktionsorgan, menstruationscykler eller sperma observerades hos sexuellt mogna cynomolgusapor som fick ixekizumab under 13 veckor med en subkutan dos om 50 mg/kg per vecka.
I studier av utvecklingstoxicitet visades ixekizumab kunna passera placenta och återfanns i blodet hos avkomman upp till 6 månaders ålder. En högre incidens postnatal mortalitet sågs hos avkomman till apor som fick ixekizumab jämfört med samtidiga kontroller. Detta var främst relaterat till prematur födsel eller att modern negligerade ungarna, något som är vanligt i studier av icke humana primater, och ansågs kliniskt irrelevant.
Farmakoterapeutisk grupp: Immunsuppressiva medel, interleukinhämmare, ATC-kod: L04AC13
Verkningsmekanism
Ixekizumab är en monoklonal IgG4-antikropp som binder med hög affinitet (<3 pM) och specificitet till interleukin 17A (både IL 17A och IL 17A/F). Förhöjda koncentrationer av IL 17A har föreslagits som en faktor i patogenesen för psoriasis, liksom för psoriasisartrit, genom främjande av keratinocyternas proliferation och aktivering och för axial spondylartrit genom att driva inflammation som leder till erosiv skelettskada och patologisk ny skelettformation Ixekizumabs neutraliserande effekt på IL 17A hämmar denna verkan. Ixekizumab binder inte till liganderna IL 17B, IL 17C, IL 17D, IL 17E eller IL 17F.
Bindningsanalyser in vitro bekräftade att ixekizumab inte binder till Fcγ-receptorerna I, IIa, och IIIa eller till komplementkomponenten C1q.
Farmakodynamisk effekt
Ixekizumab modulerar den biologiska responsen som induceras eller regleras av IL 17A. Baserat på biopsier från psoriasishud i en fas I-studie fanns en dosrelaterad trend mot tunnare epidermis, färre prolifererande keratinocyter, T-celler och dendritiska celler, samt färre lokala inflammationsmarkörer från baslinjen till dag 43. Som en direkt följd av behandlingen med ixekizumab minskar erytem, induration och deskvamation i lesionerna vid plackpsoriasis.
Ixekizumab har visats sänka nivån av inflammationsmarkören C-reaktivt protein (inom en veckas behandling).
Klinisk effekt och säkerhet
Plackpsoriasis vuxna
Effekten och säkerheten hos ixekizumab undersöktes i tre randomiserade, dubbelblinda, placebokontrollerade fas III-studier på vuxna patienter (N = 3 866) med måttlig till svår plackpsoriasis, som var kandidater för ljusbehandling eller systemisk behandling (UNCOVER-1, UNCOVER-2 och UNCOVER-3). Effekten och säkerheten hos ixekizumab utvärderades även i jämförelse med etanercept (UNCOVER-2 och UNCOVER-3). Patienter som randomiserats till ixekizumab och som var sPGA-responders (0,1) (static Physicians Global Assessment) vecka 12 randomiserades på nytt till att få placebo eller ixekizumab i ytterligare 48 veckor (UNCOVER-1 och UNCOVER-2). Patienter som randomiserats till placebo, etanercept eller ixekizumab och som var sPGA-icke-responders (uppnådde inte sPGA 0 eller 1) fick ixekizumab i upp till 48 veckor. Långtidseffekt och säkerhet utvärderades dessutom i alla tre studierna, i upp till 5 år totalt hos patienterna som deltog i hela studien.
64 % av patienterna hade tidigare fått en systembehandling (biologisk, konventionell systemisk, eller psoralen och UV-A (PUVA)), 43,5 % tidigare ljusbehandling, 49,3 % tidigare konventionell systemisk behandling, och 26,4 % tidigare biologisk läkemedelsbehandling. 14,9 % av patienterna hade fått minst en behandling med anti-TNF-alfa och 8,7 % med anti-IL-12/IL-23. 23,4 % av patienterna hade vid baslinjen psoriasisartrit i anamnesen.
I samtliga tre studier var de primära effektmåtten andelen patienter med en respons som uppnådde PASI 75 (Psoriasis Area and Severity Index) och sPGA "0" (”läkt”) eller "1" (”nästan läkt”) vecka 12, jämfört med placebo. Median-PASI vid baslinjen varierade mellan 17,4 och 18,3 poäng. 48,3 % till 51,2 % av patienterna hade ett sPGA-poäng vid baslinjen motsvarande svåra eller mycket svåra utslag, och medelvärdet på en numerisk skala för klåda (Itch Numeric Rating Scale) varierade mellan 6,3 och 7,1.
Klinisk respons vecka 12
Till UNCOVER-1 randomiserades 1 296 patienter (1:1:1) till antingen placebo eller ixekizumab (80 mg varannan eller var fjärde vecka [Q2W eller Q4W] efter en startdos på 160 mg) under 12 veckor.
Tabell 2. Effektresultat vecka 12 i UNCOVER-1
Förkortningar: N = antalet patienter i intent-to-treat-populationen
Obs! Patienter för vilka data saknas räknades som icke-responders
a p <0,001 jämfört med placebo
b Patienter med Itch NRS ≥ 4 vid baslinjen: placebo N = 374, ixekizumab 80 mg Q4W N = 379, ixekizumab 80 mg Q2W N = 391
Till UNCOVER-2 randomiserades 1 224 patienter (1:2:2:2) till antingen placebo, eller ixekizumab (80 mg varannan eller var fjärde vecka [Q2W or Q4W] efter en startdos på 160 mg), eller etanercept 50 mg två gånger per vecka under 12 veckor.
Tabell 3.Effektresultat vecka 12 i UNCOVER-2
Förkortningar: N = antalet patienter i intent-to-treat-populationen
Obs! Patienter för vilka data saknas räknades som icke-responders
a p <0,001 jämfört med placebo
b p <0,001 jämfört med etanercept
a p <0,01 jämfört med placebo
d Patienter med Itch NRS ≥ 4 vid baslinjen: placebo N = 135, ixekizumab 80 mg Q4W N = 293, ixekizumab 80 mg Q2W N = 303, etanercept N = 306
Till UNCOVER-3 randomiserades 1 346 patienter (1:2:2:2) till antingen placebo, eller ixekizumab (80 mg varannan eller var fjärde vecka [Q2W or Q4W] efter en startdos på 160 mg), eller etanercept 50 mg två gånger per vecka under 12 veckor.
Tabell 4.Effektresultat vecka 12 i UNCOVER-3
Förkortningar: N = antalet patienter i intent-to-treat-populationen
Obs! Patienter för vilka data saknas räknades som icke-responders
a p <0,001 jämfört med placebo
b p 0,001 jämfört med etanercept
c Patienter med Itch NRS ≥ 4 vid baslinjen: placebo N = 158, ixekizumab 80 mg Q4W N = 313, ixekizumab 80 mg Q2W N = 320, etanercept N = 312
Med ixekizumab sågs en snabbt insättande effekt med > 50 % reduktion av genomsnittligt PASI vecka 2 (figur 1). Procentandelen patienter som uppnådde PASI 75 var signifikant högre för ixekizumab än för placebo och etanercept redan vecka 1. Cirka 25 % av patienterna som behandlades med ixekizumab hade uppnått ett PASI-poäng < 5 vecka 2, över 55 % hade uppnått ett PASI-poäng < 5 vecka 4 och siffran hade stigit till 85 % vecka 12 (att jämföra med 3 %, 14 % och 50 % för etanercept). Signifikant förbättring av klådan sågs vecka 1 hos de patienter som behandlades med ixekizumab.
Ixekizumabs effekt och säkerhet påvisades oavsett ålder, kön, ras, kroppsvikt, PASI-poäng vid baslinjen, plackens placering, samtidig psoriasisartrit och tidigare behandling med biologiskt läkemedel. Ixekizumab hade effekt hos patienter som tidigare inte fått någon systembehandling, patienter som inte behandlats med biologiska läkemedel, patienter som fått biologiska/anti-TNF-läkemedel och patienter med behandlingssvikt på biologiska/anti-TNF-läkemedel.
Av de patienter som bedömts som sPGA-icke-responders (uppnådde inte sPGA 0 eller 1) till etanercept vid vecka 12 i UNCOVER-2 (N=200) och som gick över till ixekizumab 80 mg Q4W efter en 4 veckors washout-period, uppnådde 73 % respektive 83,5 % sPGA (0,1) och PASI 75 efter 12 veckors behandling med ixekizumab.
I de två kliniska studierna med aktivt jämförande läkemedel (UNCOVER-2 och UNCOVER-3) var frekvensen allvarliga biverkningar 1,9 % för både etanercept och ixekizumab. Frekvensen behandlingsavbrott på grund av biverkningar var 1,2 % för etanercept och 2,0 % för ixekizumab. Infektionsfrekvensen var 21,5 % för etanercept och 26,0 % för ixekizumab, där 0,4 % var allvarliga för etanercept och 0,5 % för ixekizumab.
Bibehållet behandlingssvar vecka 60 och i upp till 5 år
Patienter som inledningsvis randomiserats till ixekizumab och var responders vecka 12 (dvs. hade ett sPGA-poäng på 0 eller 1) i UNCOVER-1 och UNCOVER-2, randomiserades på nytt till ytterligare 48 veckors behandling med placebo eller ixekizumab (80 mg var 4:e eller 12:e vecka [Q4W eller Q12W]).
För patienter vars sPGA (0,1) förbättrats vid vecka 12 och som randomiserats på nytt till behandlingsutsättning (dvs. placebo), var mediantiden till återfall (sPGA ≥3) 164 dagar i UNCOVER-1 och UNCOVER-2 sammantaget. Bland dessa patienter återfick 71,5 % minst sPGA-respons (0,1) inom 12 veckor efter att behandling med ixekizumab 80 mg Q4W åter satts in.
Tabell 5.Bibehållet behandlingssvar och effekt vecka 60 (i studierna UNCOVER-1 och UNCOVER-2)
Förkortningar: N = antalet patienter i analyspopulationen
Obs! Patienter för vilka data saknas räknades som icke-responders
a p < 0,001 jämfört med placebo
Ixekizumab hade effekt som underhållsbehandling för att behålla behandlingssvaret hos patienter som tidigare inte fått någon systembehandling, patienter som inte behandlats med biologiska läkemedel, patienter som fått biologiska/anti-TNF-läkemedel och patienter med behandlingssvikt på biologiska/anti-TNF-läkemedel.
Signifikant större förbättring vecka 12 efter studiens start i jämförelse med placebo och etanercept påvisades vid nagelpsoriasis (enligt Nail Psoriasis Severity Index [NAPSI]), psoriasis i hårbotten (enligt Psoriasis Scalp Severity Index [PSSI]) och vid palmoplantar psoriasis (enligt Psoriasis Palmoplantar Severity Index [PPASI]) och kvarstod vid vecka 60 hos patienter som behandlades med ixekizumab och som var sPGA-responders (0,1) vecka 12.
Av de 591 patienter som fick ixekizumab Q2W under induktionsperioden och Q4W efter, i studierna UNCOVER 1, UNCOVER 2 och UNCOVER 3, fullföljde 427 patienter 5 års behandling med ixekizumab. Av dessa, behövde 101 patienter en ökad dos. Av de patienter som genomgick utvärdering vid vecka 264 (N=427) sågs 295 patienter (69%), 289 patienter (68%) och 205 patienter (48%) ha svar på sPGA (0,1), PASI 90 och PASI 100. DLQI samlades in efter induktionsperioden i UNCOVER 1 och UNCOVER 2, 113 patienter (66%) observerades ha DLQI- svar (0,1).
Livskvalitet/patientrapporterat resultat
I studierna visade ixekizumab vid vecka 12 en statistiskt signifikant förbättring i hälsorelaterad livskvalitet bedömt efter genomsnittliga reduktionsintervaller från baslinjen i Dermatology Life Quality Index (DLQI) (ixekizumab 80 mg Q2W från -10,2 till -11,1, ixekizumab 80 mg Q4W från -9,4 till -10,7, etanercept från -7,7 till -8,0 och placebo -1,0 till -2,0). En signifikant större andel av patienterna som behandlades med ixekizumab fick DLQI 0 eller 1. I studierna fick en signifikant större andel av patienterna som behandlades med ixekizumab en reduktion av Itch NRS ≥ 4 poäng vid vecka 12 (84,6 % för ixekizumab Q2W, 79,2 % för ixekizumab Q4W och 16,5 % för placebo) och förbättringen höll i sig över tid upp till vecka 60 hos patienter som behandlades med ixekizumab och var sPGA (0 eller 1) responders vid vecka 12. Det fanns inte några tecken på försämring av depression vid upp till 60 veckors behandling med ixekizumab enligt Quick Inventory of Depressive Symptomatology Self Report.
Efter marknadsföring, direkt jämförande studier
IXORA-S: I en dubbelblind studie var ixekizumab överlägsen ustekinumab i de primära effektmåtten i studien (PASI 90-svar vid vecka 12, tabell 6). PASI 75-svar var signifikant redan vecka 2 (p <0,001) och PASI 90 och PASI 100 vid vecka 4 (p <0,001). ixekizumab var även signifikant mot ustekinumab i subgrupperna som stratifierade efter vikt.
Tabell 6. Responsfrekvens från jämförande studie ixekizumab mot ustekinumab
* Ixekizumab 160 mg gavs som en laddningsdos följt av 80 mg vid vecka 2, 4, 6, 8, 10 och 12, och 80 mg var 4:de vecka därefter ** Viktbaserad dosering: Patienter behandlade med ustekinumab fick 45 mg eller 90 mg vid vecka 0 och 4, därefter var 12:te vecka till vecka 52 (doserad efter vikt enligt den godkända doseringen)§p < 0,001 mot ustekinumab (p.värdet är endast givet för det primära effektmåttet)
IXORA R: Effekt och säkerhet av ixekizumab undersöktes också i en 24-veckors randomiserad dubbelblind parallellgruppstudie där ixekizumab jämfördes med guselkumab, där ixekizumab var signifikant bättre så tidigt som vecka 4 när det rörde sig om att uppnå fullständig hudutläkning och det primära studiemålet (PASI 100 vid vecka 12). PASI 100 vid vecka 24 var non-inferior (tabell 7).
Tabell 7. Effektresultat från jämförande studie av ixekizumab och guselkumab, population med avsikt att behandlasa (Intent-to-treat)
Förkortningar: KI = konfidens intervall; GUS = guselkumab; IXE = ixekizumab; N = antal patienter i analyserad population; n = antal patienter i en specificerad kategori; PASI = psoriasis area and severity index; sPGA = static physician global assessment.
a Effektmåtten analyserades i förutbestämd följd (gated order)
Figur 2: PASI 100 vid vecka 4, 8, 12 och 24, NRI
*p<0,001 vs guselkumab vid vecka 4, 8 och 12.
NRI – icke-responder imputation
Effekt vid genital psoriasis
En randomiserad, dubbel-blind, placebokontrollerad studie (IXORA-Q) genomfördes med 149 vuxna patienter (24 % kvinnor) med måttlig till svår genital psoriasis sPGA med en genitalpoäng ≥ 3), som också hade måttlig plackpsoriasis (sPGA poäng ≥3), minst 1 % involverad kroppsyta (BSA) (60,4 % hade BSA ≥ 10 %) och tidigare brustit i eller ej tolererat minst en topikal behandling mot genital psoriasis. Patienter hade minst måttlig plackpsoriasis (definierat som sPGA poäng ≥3 och har varit kandidater för ljusbehandling och/eller systemisk terapi i minst 6 månader.
Patienterna som randomiserades till ixekizumab fick en startdos på 160 mg och därefter 80 mg varannan vecka under 12 veckor. Det primära effektmåttet var andel patienter som nådde ”0” (läkt) eller ”1” (nästan läkt) svar på sPGA för genitalia (sPGA Genetalia 0/1). Vid vecka 12 hade signifikant fler patienter i ixekizumab -gruppen än placebogruppen uppnått sPGA Genitala 0/1 och sPGA 0/1. sPGA svar på genitalia var liknande oavsett BSA (baslinje BSA 1% - <10 % resp. ≥10 %: sPGA genitalia ‘’0” eller “1”: ixekizumab 71 %, resp. 75 %; placebo: 0 %, resp. 13 %). En signifikant större andel patienter behandlade med ixekizumab nådde en reduktion i svårighetsgrad i patientrapporterat resultat av genital smärta, genital klåda, genital psoriasis grundad påverkan på sexuell aktivitet och Dermatology Quality of Life Index (DLQI)
Tabell 8. Effektresultat vid vecka 12 hos vuxna med genital psoriasis i studie IXORA-Q; NRIa
a Förkortningar: NRI = icke-responder imputation; sPGA = static Physician Global Assessment; GPSS = Genital Psoriasis Symptom Scale; SFQ = Sexual Frequency Questionnaire; DLQI = Dermatology Quality of Life Index; b Total DLQI poäng av 0,1 indikerar att hudstatus inte har någon påverkan på patientens livskvalitét. ”0” eller ”1” i sPGA poäng likställes med ”läkt” eller ”nästan läkt”; NRS = Numeric Rating Scale; SE = Standardfel
Plackpsoriasis hos barn
I en randomiserad, dubbelblind, multicenter, placebokontrollerad studie (IXORA- Peds) inkluderades 201 barn, från 6 år till yngre än 18 år, med måttlig till svår plackpsoriasis (definierat av sPGA-poäng ≥3, med ≥ 10% av kroppsytan samt en PASI-poäng ≥12) som var aktuella för ljusterapi, eller systemisk behandling, eller hade otillräckligt kontroll vid topikal behandling.
Patienterna randomiserades till placebo (n=56), etanercept (n=30) eller ixekizumab (n=115) med en dosering stratifierad efter vikt:
<25 kg: 40 mg vid vecka 0 följt av 20 mg Q4W (n=4)
25 kg till 50 kg: 80 mg vid vecka 0 följt av 40 mg Q4W (n=50)
>50 kg: 160 mg vid vecka 0 följt av 80 mg Q4W (n=147)
Patienter randomiserade till etanercept (patienter med svår psoriasis) fick 0,8 mg/kg, högst 50 mg per dos, varje vecka från vecka 0 till vecka 11.
Efter den inledande dubbelblinda induktionsperioden på 12-veckor var patienterna berättigade att gå med i en 48 veckor lång öppen underhållsperiod (från vecka 12 till vecka 60) med en viktanpassad dos ixekizumab, följt av en förlängningsperiod i upp till 108 veckor.
Klinisk respons vecka 12
Behandlingssvaret utvärderades efter 12 veckor och definierades av andelen patienter som uppnådde det primära effektmåttet för ett sPGA-poäng på” 0” (”läkt”) eller” 1” (”nästan läkt”) med minst 2 poängs förbättring jämfört med utgångsvärdet och andelen patienter som uppnådde en minskning av PASI poäng på minst 75% (PASI 75) från utgångsvärdet.
Andra utvärderade resultat vid vecka 12 inkluderade andelen patienter som uppnådde PASI 90, PASI 100, sPGA ”0” och en förbättring av svårighetsgrad mätt som en minskning med minst 4 poäng på en 11 punkters skala för klåda (Itch Numeric Rating Scale).
Patienterna hade ett medianvärde vid baseline PASI på 17 poäng, varierande mellan 12 49 och baseline sPGA- poäng var svår eller mycket svår hos 49%. Av alla patienter hade 22% tidigare fått ljusterapi och 32% hade tidigare fått konventionell systemisk behandling av psoriasis.
25% av patienterna (n=43) var under 12 år (14% av patienterna [n=24] var 6-9 år och 11% av patienterna [n=19] var 10-11 år); 75% (n=128) var 12 år eller äldre.
Data över klinisk respons tabuleras i tabell 9.
Tabell 9. Effekt resultat hos pediatriska patienter med plackpsoriasis, NRI
Förkortningar: N = Antal patienter i intent- to- treat (ITT) populationen; NRI = icke-responder imputation.
a Vid vecka 0 fick försökspersonerna 160 mg, 80 mg eller 40 mg ixekizumab följt av 80 mg, 40 mg eller 20 mg var 4:e vecka, beroende på viktkategori, i 12 veckor.
b Jämförelser med etanercept utfördes inom subpopulationen av patienter utanför USA och Kanada med svår Ps (N för ixekizumab = 38).
c Co-primära utfallsmått.
d Resultat vid vecka 12.
e Itch NRS (≥4 förbättring) hos patienter med baslinje Itch NRS ≥4. Antalet ITT-patienter med baslinjen Itch NRS Score ≥4 är följande: ixekizumab, n = 83; PBO, n = 40.
f p <0,001
Figur 3. Procent av patienterna som uppnådde PASI 75 vid pediatrisk psoriasis till vecka 12
Patienter i behandlingsgruppen med ixekizumab hade kliniskt betydelsefulla högre svar på CDLQI/DLQI (0,1) vid vecka 12 (NRI) jämfört med placebo. Skillnaden mellan behandlingsgrupperna var tydliga redan vid vecka 4.
Större förbättringar sågs vid vecka 12 jämfört med placebo i avseende av nagelpsoriasis (mätt med Nail Psoriasis Severity Index [NAPSI=0: ixekizumab 18% (6/34), placebo 0% (0/12)]), av hårbottenpsoriasis (mätt med Psoriasis Scalp Severity Index [PSSI=0: ixekizumab 69% (70/102), placebo 16% (8/50)]) och vid palmoplantar psoriasis (mätt med Psoriasis Palmoplantar Severity Index [PPASI 75: ixekizumab 53% (9/17), placebo 11% (1/9)]).
Bibehållet behandlingssvar vecka 60 och upp till vecka 108
Hos patienter som kontinuerligt behandlades med ixekizumab bibehölls kliniskt meningsfulla förbättringar i effektmålen fram till vecka 108:
• PASI 75: 83,0 % vid vecka 60, 76,6 % vid vecka 108 (NRI)
• sPGA (0,1): 74,5 % vid vecka 60, 68,1 % vid vecka 108 (NRI)
Psoriasisartrit
Ixekizumab undersöktes i två randomiserade, dubbelblinda, placebokontrollerade fas III-studier på 780 patienter med aktiv psoriasisartrit (≥3 svullna och ≥3 ömma leder). Patienterna hade fått diagnosen psoriasisartrit (Classification Criteria for Psoriatic Arthritis [CASPAR] criteria) sedan i median 5,33 år och hade även plackpsoriasislesioner (94,0 %) eller dokumenterad anamnes på plackpsoriasis, där 12,1 % av patienterna hade måttlig till svår plackpsoriasis vid studiens början. Över 58,9 % och 22,3 % av patienterna med psoriasisartrit hade entesit respektive daktylit vid studiens början. Primära effektmåttet för båda studierna var American College of Rheumatology (ACR) 20 svar vid vecka 24, följt av en långtids uppföljningsperiod från vecka 24 till vecka 156 (3 år).
I Psoriatic Arthritis Study 1 (SPIRIT-P1) randomiserades patienter, naiva till biologisk behandling, med aktiv psoriasisartrit till placebo, adalimumab 40 mg varannan vecka (aktiv kontrollarm), ixekizumab 80 mg varannan vecka (Q2W) eller 80 mg var fjärde vecka (Q4W). Båda ixekizumab-regimerna inkluderade en 160 mg startdos. 85,3 % av patienterna i denna studie hade fått tidigare behandling med ≥1 konventionella sjukdomsmodifierande antireumatiska läkemedel (cDMARD). 53 % av patienterna använde samtidigt metotrexat med en genomsnittlig veckodos på 15,8 mg. 67 % av patienterna som samtidigt använde metotrexat hade en dos på 15 mg eller mer. Patienter med ett otillräckligt svar vid vecka 16 fick ytterligare behandling (modifiering av bakgrundsterapi). Patienter på ixekizumab Q2W eller Q4W kvarstod på den ursprungligen tilldelade dosen av ixekizumab. Patienter som fick adalimumab eller placebo re-randomiserades 1:1 till ixekizumab Q2W eller Q4W vid vecka 16 eller 24 baserat på respons. 243 patienter avslutade den 3 åriga förlängningsperioden med ixekizumab.
Psoriatic Arthritis Study 2 (SPIRIT-P2) inkluderade patienter som tidigare behandlats med en TNF-hämmare och avbrutit behandling med TNF-hämmare på grund av otillräcklig effekt eller intolerans (anti-TNF-IR-patienter). Patienterna randomiserades till placebo, ixekizumab 80 mg varannan vecka (Q2W) eller 80 mg var fjärde vecka (Q4W). Båda ixekizumab-regimerna inkluderade en 160 mg startdos, 56 % och 35 % av patienterna svarade otillräckligt på 1 TNF-hämmare respektive 2 TNF-hämmare. I SPIRIT-P2 utvärderades 363 patienter, av vilka 41 % samtidigt behandlades med metotrexat med en genomsnittlig veckodos på 16,1 mg. 73,2 % av patienterna som samtidigt behandlades med metotrexat hade en dos på 15 mg eller mer. Patienter med ett otillräckligt svar vid vecka 16 fick ytterligare behandling (modifiering av bakgrundsterapi). Patienter på ixekizumab Q2W eller Q4W kvarstod på den ursprungligen tilldelade dosen av ixekizumab. Patienter som fick placebo re-randomiserades 1:1 till ixekizumab Q2W eller Q4W vid vecka 16 eller 24 baserat på respons. 168 patienter avslutade den 3 åriga förlängningsperioden med ixekizumab.
Tecken och symtom
Behandling med ixekizumab resulterade i signifikant minskad sjukdomsaktivitet jämfört med placebo vid vecka 24 (se tabell 10).
Tabell 10. Effektresultat SPIRIT-P1 och SPIRIT-P2 vecka 24
Förkortningar: ACR 20/50/70 = American College of Rheumatology 20 %/50 %/70 % svarsfrekvens; ADA = adalimumab; BSA = kroppsytan; KI = konfidensintervall; Q4W = ixekizumab 80 mg var fjärde vecka; Q2W = ixekizumab 80 mg varannan vecka; N = antal patienter i analyspopulationen; n = antal patienter i den specificerade kategorin; NRI = icke-responder imputation; PASI 100 = psoriasis area and severity index 100 % förbättring; PBO = placebo.
Obs: Patienter som fick ytterligare behandling vid vecka 16 eller avbröt eller där data saknades registrerades som icke-responders i analysen vid vecka 24.
cDMARDs inkluderade metotrexat, leflunomid och sulfasalazin.
a p <0,05; b p <0,01; c p <0,001 jämfört med placebo.
Hos patienter med daktylit eller entesit, resulterade behandling med ixekizumab Q4W i förbättring av daktylit och entesit vid vecka 24 jämfört med placebo (utläkt: 78 % respektive 24 %; p <0,001, och 39 % respektive 21 %; p <0,01).
Hos patienter med ≥3 % BSA, mättes hudläkningen vid vecka 12 som 75 %-ig förbättring med Psoriasis Area Severity Index (PASI 75). 67 % (94/141) av de som behandlats med ixekizumab Q4W och 9 % (12/134) av de som fick placebo (p <0.001) uppnådde PASI 75. Andelen patienter som uppnådde PASI 75, PASI 90 och PASI 100 vid vecka 24 var större med ixekizumab Q4W jämfört med placebo (p <0,001). Hos patienter som samtidigt hade måttlig till svår psoriasis och psoriasisartrit, visade doseringen ixekizumab Q2W signifikant högre svarsfrekvens för PASI 75, PASI 90 och PASI 100 jämfört med placebo (p <0,001) och visade en klinisk fördel mot Q4W doseringen.
Behandlingssvaret på ixekizumab var signifikant högre jämfört med placebo så tidigt som vecka 1 för ACR 20, vecka 4 för ACR 50 och vecka 8 för ACR 70 och höll fortfarande i sig vecka 24. Effekten bibehölls under 3 år för de patienter som kvarstod i studien.
Figur 4. ACR 20-svar i SPIRIT-P1 över tid upp till 24 veckor
För både ixekizumab Q2W och Q4W: b p <0,01 och c p <0,001 jämfört med placebo.
I SPIRIT-P1 och SPIRIT-P2, sågs jämförbara svar för ACR 20/50/70 hos patienter med psoriasisartrit oavsett om de behandlades med cDMARDs, inklusive metotrexat, eller inte.
I SPIRIT-P1 och SPIRIT-P2, sågs förbättring för alla komponenter av ACR-svarskriterierna, även patienterna egen smärtbedömning. Vid vecka 24 var andelen patienter som uppnådde svar enligt modifierad Psoriatic Arthritis Response Criteria(PsARC) var högre hos de ixekizumab-behandlade patienterna jämfört med placebo.
I SPIRIT-P1, kvarstod effekten upp till vecka 52 enligt ACR 20/50/70, MDA (minimal sjukdomsaktivitet), utläkta entesiter, utläkta daktyliter, och PASI 75/90/100-svar.
Effekt och säkerhet hos ixekizumab har visats oavsett ålder, kön, ras, sjukdomens varaktighet, kroppsvikt vid studiestart, grad av psoriasis vid studiestart, CRP vid studiestart, DAS28-CRP vid studiestart, samtidigt bruk av kortikosteroider och tidigare behandling med biologiska läkemedel. ixekizumab var effektivt hos patienter som var naiva för, som behandlats med och som inte haft tillräcklig effekt med behandling med biologiska läkemedel.
I SPIRIT-P1 fullföljde 63 patienter 3 års behandling med Q4W ixekizumab. Av de 107 patienter som randomiserades till ixekizumab Q4W (NRI- analys i ITT- populationen) observerades 54 patienter (50%) ACR20-, 41 patienter (38%) ACR50-, 29 patienter (27%) ACR70- och 36 patienter (34%) MDA, svar vid vecka 156.
I SPIRIT-P2 fullföljde 70 patienter 3 års behandling med Q4W ixekizumab. Bland de 122 patienter som randomiserades till ixekizumab Q4W (NRI-analys i ITT- populationen) observerades 56 patienter (46%) ACR20-, 39 patienter (32%) ACR50-, 24 patienter (20%) ACR70- och 33 (27%) MDA svar vid vecka 156.
Radiografisk effekt
I SPIRIT-P1 gjordes en radiografisk undersökning avseende progression av strukturell skada, vilket uttrycktes som förändring av modiferad Total Sharp Score (mTSS) och dess komponenter Erosion Score (erosioner, ES) och Joint Space Narrowing score(minskad ledspalt JSN) vid vecka 24 och 52, jämfört med studiestart. Data för vecka 24 redovisas i tabell 11.
Tabell 11. Förändring av modifierad Total Sharp Score i SPIRIT-P1
Förkortningar: ADA = adalimumab; KI = konfidensintervall; Q4W = ixekizumab 80 mg var fjärde vecka; Q2W = ixekizumab 80 mg varannan vecka; LSM = least squares mean; N = antal patienter i analyspopulationen PBO = placebo; SE = standardfel; SD = standardavvikelse.
b p <0,01; c p <0,001 jämfört med placebo.
Radiografisk sjukdomsprogression hämmades av ixekizumab (tabell 11) vid vecka 24 och andelen patienter utan sjukdomsprogression (definierat som förändring av mTSS från studiestart med ≤0,5) från randomisering till vecka 24 var 94,8 % för ixekizumab Q2W (p <0,001), 89,0 % för ixekizumab Q4W (p=0,026), 95,8 % för adalimumab (p <0,001) jämfört med 77,4 % för placebo. Vid vecka 52 var förändringen i mTSS från studiestart i medeltal 0,27 för placebo/ixekizumab Q4W, 0,54 för ixekizumab Q4W/ixekizumab Q4W, och 0,32 för adalimumab/ixekizumab Q4W. Andelen patienter utan radiografisk sjukdomsprogression från randomisering till vecka 52 var 90,9 % för placebo/ixekizumab Q4W, 85,6 % för ixekizumab Q4W/ixekizumab Q4W, och 89,4 % för adalimumab/ixekizumab Q4W. Patienterna hade ingen strukturell progression sett från baslinjen (definierad som mTSS ≤ 0,5) i följande behandlingsarmar: Placebo/ixekizumab Q4W 81,5% (N=22/27), ixekizumab Q4W/ ixekizumab Q4W 73,6% (N=53/72) och adalimumab/ixekizumab Q4W 88, 2% (N=30/34).
Fysisk funktion och hälsorelaterad livskvalitet
I både SPIRIT-P1 och SPIRIT-P2 uppvisade patienterna som behandlades med ixekizumab Q2W (p <0,001) och Q4W (p <0,001) signifikant förbättring i fysisk funktion jämfört med patienter som fick placebo enligt Health Assessment Questionnaire-Disability Index(HAQ-DI) vid vecka 24 och effekten kvarstod vid vecka 52 i SPIRIT-P1.
Ixekizumab-behandlade patienter rapporterade förbättringar av hälsorelaterad livskvalitet enligt Physical Component Summary of the Short Form-36Health Survey (SF-36 PCS) (p <,001). Förbättringar har även visats för fatigue enligt Fatigue severity NRS (p <0,001).
Direkt jämförande fas 4-studie efter marknadsgodkännande
Effekten och säkerheten för ixekizumab undersöktes i en randomiserad, öppen, multicenter-, parallellgruppsstudie med blindade bedömare (SPIRIT-H2H) och jämfördes med adalimumab (ADA) hos 566 patienter med PsA som var naiva för biologiska sjukdomsmodifierande antireumatiska läkemedel (bDMARD). Patienterna stratifierades vid baslinjen baserat på samtidig användning av cDMARD och förekomst av måttlig till svår psoriasis (PASI≥12, BSA≥10 och sPGA≥3).
Ixekizumab var superior jämfört med ADA vad gällde det primära effektmålet i studien: samtidig ACR 50- och PASI 100-respons uppnådd vecka 24 (ixekizumab 36,0 % jämfört med ADA 27,9 %; p=0,036; 95 % konfidensintervall [0,5 %; 15,8 %]. Ixekizumab uppvisade också non-inferioritet (förbestämd marginal på ‑12 %) mot ADA med ACR 50 (ITT-analys: ixekizumab 50,5 % jämfört med ADA 46,6 %; 3,9 % skillnad jämfört med ADA; 95 % konfidensintervall [‑4,3 %; 12,1 %, PPS-analys ixekizumab: 52,3 %, ADA: 53,1 %, skillnad ‑0,8 % [CI: ‑10,3 %; 8,7%]) och superioritet för PASI 100 vid vecka 24 (60,1 % med ixekizumab jämfört med 46,6 % med ADA, p=0,001), vilket var det sekundära huvudeffektmåttet i studien. Vid vecka 52 uppnådde en högre andel patienter, vilka behandlats med ixekizumab jämfört med ADA samtidigt ACR50 och PASI 100 [39% (111/283) jämfört med 26% (74/283)] och PASI 100 [64% (182/283) jämfört med 41% (117/ 283)]. Ixekizumab- och ADA-behandling resulterade i liknande svar för ACR50 [49,8% (141/283) jämfört med 49,8% (141/283)]. Svaret på ixekizumab var konsekvent både vid användning som monoterapi och/eller vid samtidig användning av metotrexat.
Figur 5: Responsfrekvens vecka 0‑24 för det primära effektmåttet (samtidigt ACR 50 & PASI 100) samt sekundära huvudeffektmått (ACR 50; PASI 100) [ITT-population, NRI]**
** Ixekizumab 160 mg vecka 0, därefter 80 mg varannan vecka till vecka 12 och därefter var fjärde vecka till patienter med måttlig till svår plackpsoriasis, eller 160 mg vecka 0, därefter 80 mg var fjärde vecka till övriga patienter, ADA 80 mg vecka 0, därefter 40 mg varannan vecka från vecka 1 till patienter med måttlig till svår plackpsoriasis, eller 40 mg vecka 0, därefter 40 mg varannan vecka till övriga patienter.
Signifikansnivå endast rapporterad för effektmått som var fördefinierade och testade för multiplicitet.
Axial spondylartrit
Ixekizumab utvärderades hos totalt 960 vuxna patienter med axial spondylartrit i tre randomiserade placebokontrollerade studier (varav två med radiografisk och en med icke-radiografisk axial spondylartrit).
Radiografisk axial spondylartrit
Ixekizumab utvärderades hos totalt 657 vuxna patienter med aktiv sjukdom enligt Bath Ankylosing Spondylitis Disease Activity Index (BASDAI) definition ≥4, och total ryggsmärta ≥4 på en numerisk betygsskala trots icke-steroid anti-inflammatorisk läkemedels (NSAID) terapi, i två randomiserade, dubbelblinda, placebokontrollerade studier (COAST-V och COAST-W). Vid baslinjen i båda studierna hade patienterna symtom i ett genomsnitt av 17 år (median på 16 år). Vid baslinjen var cirka 32% av patienterna på en cDMARD.
COAST-V studien utvärderade 341 biologiskt naiva patienter. Patienterna behandlades med antingen 80 mg eller 160 mg ixekizumab vid vecka 0 följt av 80 mg varannan vecka (Q2W) eller 4 veckor (Q4W), eller adalimumab 40 mg varannan vecka eller med placebo. Patienter som fick placebo randomiserades på nytt vid vecka 16 för att få ixekizumab (160 mg startdos, följt av 80 mg Q2W eller Q4W). Patienter som fick adalimumab randomiserades på nytt vid vecka 16 för att få ixekizumab (80 mg Q2W eller Q4W).
COAST-W studien utvärderade 316 patienter som tidigare hade erfarenhet av en eller två TNF-hämmare (90% var svarare otillräckliga och 10% var intoleranta mot TNF-hämmare). Alla patienter behandlades med ixekizumab 80 mg eller 160 mg vid vecka 0 följt av 80 mg Q2W eller Q4W eller med placebo. Patienter som fick placebo randomiserades på nytt vid vecka 16 för att få ixekizumab (160 mg initialdos, följt av 80 mg Q2W eller Q4W).
Det primära effektmåttet i båda studierna var andelen patienter som uppnådde en ASAS40 svar (Assement of Spondyloarthritis International Society 40) vid vecka 16.
Klinisk respons
I båda studierna visade patienter som behandlades med ixekizumab 80 mg Q2W eller 80 mg Q4W större förbättringar i ASAS40- och ASAS20-svar jämfört med placebo vid vecka 16 (tabell 12). Behandlingssvaret var liknande hos patienter oavsett samtidig annan behandling. I COAST-W sågs behandlingssvar oavsett antalet tidigare TNF-hämmare.
Tabell 12. Effektivitetsresultat i COAST-V och COAST-W vid vecka 16
Förkortningar: N = antal patienter i intent-to-treat (ITT, avsedd) behandlingspopulation; NRI = Ansedda icke-respondent; patienter med avsaknad av data räknades som icke-respondenter.
ASAS HI = Assement of SpondyloArthritis International Society Health Index; ASDAS = Ankyloserande spondylit sjukdomsaktivitetsresultat; BASDAI = Ankyloserande spondylit sjukdomsaktivitetsindex; CFB (förändring från baslinje) = minsta kvadratisk medelförändring från baslinjen vid vecka 16 MR-ryggraden SPARCC = Spondyloarthritis Research Consortium of Canada Magnetresonansavbildning Scoring av ryggraden (23 discovertebral enhetsskala)
a Vid vecka 0 fick patienter 80 mg eller 160 mg ixekizumab.
b Ett ASAS20-svar definieras som en förbättring på ≥20% och en absolut förbättring från baslinjen på ≥1 enhet (område 0 till 10) i ≥3 av 4 domäner (Patient Global, Spinal Pain, Function and Inflammation), och ingen försämring på ≥20% och ≥1 enhet (område 0 till 10) i den återstående domänen. Ett ASAS40-svar definieras som en ≥40% förbättring och en absolut förbättring från baslinjen på ≥2 enheter i ≥3 av 4 domäner utan någon försämring av den återstående domänen.
c Primärt effektmått.
d Antalet ITT-patienter med MR-data vid baslinjen är följande: COAST-V: ixekizumab, n = 81; Placebo, n = 82; Adalimumab, n = 85. COAST-W: ixekizumab, n = 58; Placebo, n = 51.
e BASDAI50-svar definierat som en förbättring av ≥50% av BASDAI-poäng från baslinjen.
f ASAS HI: Assement of SpondyloArthritis International Society Health Index (ASAS HI) över alla domäner.
g De rapporterade värdena är skillnaden i % (95% KI) för kategoriska variabler och skillnaden i LSM (95% KI) för kontinuerliga variabler.
h post hoc-analys, inte korrigerad för multiplicitet.
i förutbestämd, men utan multiplikationsgrind.
* p <0,05; ** p <0,01; *** p <0,001 jämfört med placebo.
I huvudkomponenterna i ASAS40-svarskriterierna (ryggsmärta, BASFI, patientens globala bedömning, stelhet) sågs förbättringar och andra mått på sjukdomsaktivitet, inklusive CRP, vid vecka 16.
Figur 6. Andelen patienter som uppnådde ett ASAS40-svar i COAST-V och COAST-W vid vecka 16, NRIa
a Patienter med avsaknad av data räknades som icke-respondenter
* p<0,05; ** p<0,01; *** p<0,001 jämfört med placebo.
Liknande ASAS40-svar sågs hos patienter oavsett baslinje CRP-nivå, baslinje ASDAS-poäng och SPARCC-poäng för MR-ryggraden. ASAS40-svaret påvisades oberoende av ålder, kön, ras, sjukdoms varaktighet, kroppsvikt vid baslinjen, baslinje BASDAI-poäng och tidigare biologisk behandling.
I COAST-V och COAST-W bibehölls effekten fram till vecka 52 bedömts mot effektmåtten presenterade i tabell 12, inklusive ASAS20, ASAS40, ASDAS, BASDAI och ASAS HI-svarnivåer.
Hälsorelaterade resultat
Ryggsmärta visade förbättringar jämfört med placebo så tidigt som vecka 1 och bibehölls till vecka 16 [ixekizumab jämfört placebo: COAST-V -3,2 jfr -1,7; COAST-W -2,4 jfr -1,0]; trötthet i och ryggradens rörlighet visade förbättringar jämfört med placebo vid vecka 16. Förbättringar i ryggsmärta, trötthet och ryggradens rörlighet bibehölls till vecka 52.
Icke-radiografisk axial spondylartrit
Ixekizumab utvärderades i en randomiserad, dubbelblind, studie med en 52 veckors placebokontrollerad period (COAST-X) hos 303 vuxna patienter med en i minst tre månader aktiv axial spondylartrit. Patienterna måste ha haft objektiva tecken på inflammation indikerat av förhöjt C-reaktivt protein (CRP) och / eller sakroiliit vid magnetresonanstomografi (MRI), och inga definitiva radiografiska bevis för strukturell skada på sakroiliakaleder. Patienter hade aktiv sjukdom enligt definitionen av Bath Ankylosing Spondylitis Disease Activity Index (BASDAI) ≥4, och ryggsmärta ≥4 på en 0 till 10 numerisk betygsskala (NRS), trots icke-steroidala anti-inflammatorisk läkemedel (NSAID). Patienterna behandlades med antingen ixekizumab 80 mg eller 160 mg vid vecka 0, följt av 80 mg varannan vecka (Q2W) eller 80 mg var 4:e vecka (Q4W) eller med placebo. Dosjustering och / eller initiering av samtidig annan medicinering (NSAID, cDMARD, kortikosteroider, smärtstillande medel) tilläts med början vid vecka 16.
Vid baslinjen hade patienter symtom på icke-radiografisk axSpA i genomsnitt 11 år. Cirka 39% av patienterna var på ett samtidigt cDMARD.
Det primära effektmåttet var procentandelen patienter som uppnådde ett Assement of Spondyloarthritis International Society 40 (ASAS40) svar vid vecka 16.
Klinisk respons
Högre andel patienter som behandlades med ixekizumab 80 mg Q4W uppnådde ASAS40-svar jämfört med placebo vid vecka 16 (tabell 13). Svaren var lika oavsett samtidig annan behandling.
Tabell 13. Effektresultat vid vecka 16 i COAST-X, NRIa,b
a Förkortningar: N = antal patienter i intent-to-treat (ITT, avsedd) behandlingspopulation; NRI = Ansedda icke-respondent; patienter med avsaknad av data räknades som icke-respondenter. ASDAS = Ankyloserande spondylit sjukdomsaktivitetsresultat;
BASDAI = Ankyloserande spondylit sjukdomsaktivitetsindex; Förändring från baslinje = minsta kvadratisk medelförändring från baslinjen vid vecka 16 MRI SIJ SPARCC = Spondyloarthritis Research Consortium of Canada Magnetresonanstomografi poäng av sakroiliakaleder.
b Patienter med avsaknad av data räknades som icke-respondenter
c Vid vecka 0 fick patienter 80 mg eller 160 mg ixekizumab.
d Ett ASAS20-svar definieras som en förbättring på ≥20% och en absolut förbättring från baslinjen på ≥1 enhet (område 0 till 10) i ≥3 av 4 domäner (Patient Global, Spinal Pain, Function and Inflammation), och ingen försämring på ≥20% och ≥1 enhet (område 0 till 10) i den återstående domänen. Ett ASAS40-svar definieras som en ≥40% förbättring och en absolut förbättring från baslinjen på ≥2 enheter i ≥3 av 4 domäner utan någon försämring av den återstående domänen.
e Primärt effektmått vid vecka 16
f Antalet ITT-patienter med MR-data vid baslinjen och vecka 16 är följande: ixekizumab, n = 85; Placebo, n = 90
g Patienter med avsaknad av data räknades som icke-respondenter. Andelen (procent) baseras på antalet patienter i ITT-populationen med en baslinje ASDAS poäng ≥2,1.
h De rapporterade värdena är skillnaden i % (95% KI) för kategoriska variabler och skillnaden i LSM (95% KI) för kontinuerliga variabler.
* p <0,05; ** p <0,01; *** p <0,001 jämfört med placebo.
Förbättringen av huvudkomponenterna i ASAS40-svarskriterierna (ryggsmärta, BASFI, patientens globala bedömning, stelhet) och andra mått på sjukdomsaktivitet visade en signifikant klinisk förbättring vid vecka 16.
Figur 7. Andelen patienter som uppnådde ASAS40-svar fram till vecka 16 i COAST-X, NRIa
a Patienter med avsaknad av data räknades som icke-respondenter
* p<0,01 jämfört med placebo.
Effekten bibehölls i upp till 52 veckor, utvärderat efter effektmåtten som presenteras i tabell 13.
Hälsorelaterade resultat
Ryggsmärta visade förbättringar jämfört med placebo så tidigt som vecka 1 och bibehölls till vecka 16 [ixekizumab jämfört placebo: COAST-X -2,4 jfr -1,5]. Som tillägg, visade fler patienter med ixekizumab jämfört med placebo goda hälsoresultat (ASAS HI ≤5) vid vecka 16 och vecka 52.
Långtidsresultat axial spondylartrit
Patienter som fullföljde en av de tre pivotala studierna COAST-V / W / X (52 veckor) erbjöds deltagande i en randomiserad, långtidsförlängnings studie på utsättning (COAST-Y, med 350 och 423 patienter behandlade med ixekizumab Q4W respektive Q2W). Bland de patienter, 157/773 (20,3%), som uppnådde remission (Ankyloserande spondylit sjukdomsaktivitetsvärde [ASDAS] <1,3 minst en gång och ingen ASDAS-poäng ≥2,1, vid vecka 16 och 20) randomiserades 155 patienter, vilka var behandlade med ixekizumab i upp till 76 veckor, vid vecka 24 till COAST-Y studien (Placebo, N = 53; ixekizumab Q4W, N = 48; och ixekizumab Q2W, N = 54), av dessa 155, fullföljde 148 (95,5%) sitt besök vecka 64 (placebo, N = 50; ixekizumab Q4W, N = 47; ixekizumab Q2W, N = 51).
Det primära effektmåttet var andelen patienter i den randomiserade utsättnings-populationen som inte upplevde sjukdomsskov (flare) under veckorna 24 till 64 (kombinerade ixekizumab Q2W- och ixekizumab Q4W-grupper jämfört med placebo).
En signifikant större andel patienter (NRI, icke-responder imputation) i den kombinerade ixekizumab-grupperna (83,3% (85/102), p <0,001) och ixekizumab Q4W (83,3% (40/48), p = 0,003) hade inget sjukdomsskov under veckorna 24 till 64 jämfört med dem som avslutade ixekizumab till placebo (54,7% (29/53)). ixekizumab (i båda kombinerade ixekizumab-grupperna och ixekizumab Q4W-gruppen) fördröjde signifikant tiden till sjukdomsskov (Log Rank Test p <0,001 respektive p <0,01) jämfört med placebo.
Hos patienter som fick kontinuerlig ixekizumab Q4W (N = 157) bibehölls ASAS40-, ASDAS <2,1 och BASDAI50-svar till och med vecka 116.
Juvenil idiopatisk artrit
Juvenil psoriasisartrit (JPsA) och entesit-relaterad artrit (ERA)
COSPIRIT-JIA, en multicenter, öppen, effekt-, säkerhets-, tolerabilitets- och farmakokinetisk studie av subkutant ixekizumab med en referensarm medd adalimumab, på barn från 2 till yngre än 18 år med JPsA eller ERA genomfördes för att utvärdera effekt och säkerhet av ixekizumab i 16 veckor efter behandlingsstart. Det primära effektmåttet i studien var att bestämma andelen patienter som uppfyllde JIA svarskriterier för ACR 30 (30 % förbättring enligt American College of Rheumatology) vid vecka 16.
Tjugo patienter randomiserades till ixekizumab och 20 patienter till adalimumab. Randomiseringen stratifierades baserat på kategorin JIA (ERA eller JPsA). De återstående patienterna som var bDMARD-naiva eller bDMARD-erfarna tilldelades ixekizumab. Patienter som deltog i studien behövde inte ha ett dokumenterat otillräckligt svar på tidigare behandling.
I ixekizumab-gruppen (N = 81) var JIA-patienternas subtyper vid studiestart 33,3 % JPsA och 66,7 % ERA, där 74,1 % (60/81) av patienterna var bDMARD-naiva och 33,3 % (27/81) cDMARD-naiva. Totalt fick 72,8 % av patienterna som behandlades med ixekizumab fick minst en samtidig JIA-behandling under den öppna behandlingsperioden (OLT). Samtidig baseline behandling med metotrexat, sulfasalazine, NSAID och glukokortikoider rapporterades av 40,7 %, 4,9 %, 49,4 % respektive 11,1 % av patienterna,
Patienter som tilldelades Taltz (N = 81) fick dosering stratifierad efter vikt enligt följande:
10 till <25 kg: 40 mg vecka 0, följt av 20 mg var 4:e vecka (n = 6)
25 kg till 50 kg: 80 mg vecka 0, följt av 40 mg var 4:e vecka (n = 20)
>50 kg: 160 mg vid vecka 0, följt av 80 mg var 4:e vecka (n = 55)
För de randomiserade bDMARD-naiva patienterna var JIA ACR 30-svarsfrekvensen vid vecka 16 18/20 (90 %) för ixekizumab-gruppen och 19/20 (95 %) i adalimumab-gruppen. I den totala ixekizumab-populationen (n=81) var JIA ACR 30-svarsfrekvensen 54/60 (90 %) i den bDMARD-naiva gruppen och 18/21 (85,7 %) i den bDMARD-erfarna gruppen.
Svarsfrekvensen för JIA ACR 30 vid vecka 16 var också konsekvent i alla subtyper av JPsA (24/27, 88,9 %) och ERA (48/54, 88,9 %).
Dessutom utvärderades andelen patienter som uppfyllde JIA ACR 30/50/70/90/100 responskriterier vid vecka 16. Data för kliniskt svar presenteras i figur 8.
Figur 8. JIA ACR 30/50/70/90/100 svarsfrekvenser i ixekizumab-gruppen över 16 veckor – ITT-population (NRI-metoden)
Förkortningar: ACR 30/50/70/90/100 = 30 %/50 %/70 %/90 %/100 % förbättring enligt American College of Rheumatologys kriterier; ITT = avsikt-att-behandla; JIA = juvenil idiopatisk artrit; N = antal patienter i analyspopulationen; NRI = imputering av non responder.
Immunogenicitet
Inga säkerhetsrisker identifierades i en studie på friska frivilliga som fick två inaktiverade vacciner (tetanus och pneumokocker) efter två doser av ixekizumab (160 mg följt av en andra dos på 80 mg två veckor senare). Data angående immunogenicitet var dock otillräckliga för att fastställa ett adekvat immunsvar på dessa vacciner efter administrering av ixekizumab.
Pediatrisk population
Europeiska läkemedelsmyndigheten har senarelagt kravet att skicka in studieresultat för ixekizumab för en eller flera grupper av den pediatriska populationen för behandling av plackpsoriasis och psoriasisartrit / axial spondylartrit (information om pediatrisk användning finns i avsnitt 4.2).
Absorption
Efter en subkutan engångsdos av ixekizumab till patienter med psoriasis uppnåddes genomsnittliga toppkoncentrationer inom 4–7 dagar, i intervallet 5 till 160 mg. Genomsnittlig (SD) högsta plasmakoncentration (Cmax) av ixekizumab, efter startdosen om 160 mg, var 19,9 (8,15) µg/ml.
Efter startdosen om 160 mg uppnåddes steady state vecka 8 med dosregimen 80 mg Q2W. Genomsnittliga (SD) Cmax,ss,- och C dal,ss-estimat är 21,5 (9,16) µg/ml och 5,23 (3,19) µg/ml.
Efter övergång från dosregimen 80 mg Q2W till dosregimen 80 mg Q4W vecka 12, uppnåddes steady state efter cirka 10 veckor. Genomsnittliga (SD) Cmax,ss,- och C dal,ss-estimat är 14,6 (6,04) µg/ml och 1,87 (1,30) µg/ml.
Den genomsnittliga biotillgängligheten för ixekizumab efter subkutan administrering var 54–90 % för samtliga analyser.
Distribution
I populationsfarmakokinetiska analyser var den totala distributionsvolymen vid steady state i genomsnitt 7,11 liter.
Metabolism
Ixekizumab är en monoklonal antikropp och förväntas brytas ned till små peptider och aminosyror genom katabola processer, på samma sätt som endogena immunglobuliner.
Eliminering
I den populationsfarmakokinetiska analysen var genomsnittlig serumclearance 0,0161 l/h. Clearance är inte dosberoende. Genomsnittlig elimineringshalveringstid, beräknad i populationsfarmakokinetiska analyser, är 13 dagar hos patienter med plackpsoriasis.
Linjäritet/icke-linjäritet
Exponeringen (area under kurvan eller AUC) ökade proportionellt över dosintervallet 5–160 mg vid administrering som subkutan injektion.
Farmakokinetiska egenskaper för indikationerna
De farmakokinetiska egenskaperna hos ixekizumab var jämförbara för plackpsoriasis, psoriasisartrit, radiografisk axial spondylartrit och icke-radiografisk axial spondylartrit indikationerna.
Äldre
Av de 4 204 patienterna med plackpsoriasis som fick ixekizumab i kliniska studier var totalt 301 patienter 65 år eller äldre och 36 patienter var 75 år eller äldre. Av de 1 118 patienterna med psoriasisartrit som fick ixekizumab i kliniska studier var totalt 122 patienter 65 år eller äldre och 6 patienter var 75 år eller äldre. Grundat på populationsfarmakokinetiska analyser av ett begränsat antal äldre patienter (n = 94 för åldersgruppen ≥65 år och n = 12 för åldersgruppen ≥75 år), var clearance hos äldre patienter och patienter under 65 år densamma.
Nedsatt njur- eller leverfunktion
Inga specifika kliniska farmakologistudier för att undersöka påverkan av nedsatt njurfunktion och nedsatt leverfunktion på PK för ixekizumab har utförts. Den renala elimineringen av intakt ixekizumab, en monoklonal IgG-antikropp, förväntas vara låg och av mindre vikt. Monoklonala IgG-antikroppar elimineras främst via intracellulär katabolism, varför nedsatt leverfunktion inte förväntas påverka clearance av ixekizumab.
Pediatrisk population
Pediatriska psoriasis-patienter (från 6 år till yngre än 18 år) administrerades ixekizumab med den rekommenderade pediatriska dosen under 12 veckor. Patienter med en kroppsvikt >50 kg och 25 kg till 50 kg hade vid vecka 12 median ±standardavvikelser på steady-state dalkoncentrationer på 3,8 ±2,2 µg/ml respektive 3,9 ±2.4 µg/ml.
Patienter med pediatrisk juvenil idiopatisk artrit (i åldern 6 till yngre än 18 år) fick ixekizumab som rekommenderad pediatrisk dosering under 16 veckor. Patienter som vägde >50 kg och 25 till 50 kg hade en genomsnittlig ± SD steady-state dalkoncentration på 3,9 ± 1,8 respektive 3,5 ± 1,3 μg/ml vid vecka 16. Det fanns begränsade farmakokinetiska data hos patienter som vägde <25 kg.
Prekliniska data avseende allmäntoxicitet, säkerhetsfarmakologi, reproduktionseffekter och effekter på utvecklingen visade inte några särskilda risker för människa.
Ixekizumab administrerat till cynomolgusapor under 39 veckor i doser om upp till 50 mg/kg subkutant per vecka, ledde inte till några toxiska organeffekter eller oönskade effekter på immunologiska funktioner (t.ex. T-cellsberoende antikroppssvar och NK-cellsaktivitet). En subkutan dos varje vecka på 50 mg/kg till apor är ungefär 19 gånger mer än startdosen 160 mg av ixekizumab och resulterar hos apor i en exponering (AUC) som är minst 61 gånger högre än förväntad genomsnittlig exponering vid steady state hos människa vid den rekommenderade dosregimen.
Inga prekliniska studier har utförts för att undersöka ixekizumabs karcinogena eller mutagena potential.
Inga effekter på reproduktionsorgan, menstruationscykler eller sperma observerades hos sexuellt mogna cynomolgusapor som fick ixekizumab under 13 veckor med en subkutan dos om 50 mg/kg per vecka.
I studier av utvecklingstoxicitet visades ixekizumab kunna passera placenta och återfanns i blodet hos avkomman upp till 6 månaders ålder. En högre incidens postnatal mortalitet sågs hos avkomman till apor som fick ixekizumab jämfört med samtidiga kontroller. Detta var främst relaterat till prematur födsel eller att modern negligerade ungarna, något som är vanligt i studier av icke humana primater, och ansågs kliniskt irrelevant.
Taltz 40 mg injektionsvätska, lösning i förfylld spruta
0,5 ml lösning i spruta av klart typ I-glas.
Förpackning med 1 förfylld spruta.
Taltz 80 mg injektionsvätska, lösning i förfylld spruta
1 ml lösning i spruta av klart typ I-glas.
Förpackningar med 1, 2, eller 3 förfyllda sprutor.
Eventuellt kommer inte alla förpackningsstorlekar att marknadsföras.
Anvisningar för hur sprutan ska användas finns i bipacksedeln och måste följas noga.
Den förfyllda sprutan är endast avsedd för engångsbruk.
Taltz ska inte användas om det finns synliga partiklar i lösningen eller om lösningen är grumlig och/eller tydligt brun.
Taltz ska inte användas om det har varit fryst.
Ej använt läkemedel och avfall ska kasseras enligt gällande anvisningar.
Beredning av 40 mg ixekizumab för barn, kroppsvikt 25 kg till 50 kg
Om den förfyllda sprutan med 40 mg inte är tillgänglig måste ixekizumabdoser om 40 mg beredas och administreras av kvalificerad sjukvårdspersonal. Använd endast Taltz 80 mg injektionsvätska, lösning i förfylld injektionsspruta vid beredning av pediatrisk dos om 40 mg.
1. Tryck ut hela innehållet i den förfyllda sprutan i en steril injektionsflaska av klart glas. Skaka eller snurra INTE injektionsflaskan.
2. Använd en 0,5 ml eller 1 ml engångsspruta och steril nål för att dra upp den föreskrivna dosen (0,5 ml för 40 mg) från injektionsflaskan.
3. Byt injektionsnålen och använd en 27G steril nål för att injicera patienten. Kassera oanvänd ixekizumab i injektionsflaskan.
Den beredda ixekizumabdosen måste administreras inom 4 timmar, vid rumstemperatur, efter att den sterila flaskan punkterats.
Sackaros
Polysorbat 80 (E433)
Vatten för injektionsvätskor
Natriumhydroxid (för pH-justering)
Ej relevant.
2 år.
Förvaras i kylskåp (2 ºC till 8 ºC).
Får ej frysas.
Förvaras i originalförpackningen. Ljuskänsligt.
Taltz kan förvaras i rumstemperatur (vid högst 30 ºC) i upp till 5 dagar.
Taltz 40 mg injektionsvätska, lösning i förfylld spruta
0,5 ml lösning i spruta av klart typ I-glas.
Förpackning med 1 förfylld spruta.
Taltz 80 mg injektionsvätska, lösning i förfylld spruta
1 ml lösning i spruta av klart typ I-glas.
Förpackningar med 1, 2, eller 3 förfyllda sprutor.
Eventuellt kommer inte alla förpackningsstorlekar att marknadsföras.
Anvisningar för hur sprutan ska användas finns i bipacksedeln och måste följas noga.
Den förfyllda sprutan är endast avsedd för engångsbruk.
Taltz ska inte användas om det finns synliga partiklar i lösningen eller om lösningen är grumlig och/eller tydligt brun.
Taltz ska inte användas om det har varit fryst.
Ej använt läkemedel och avfall ska kasseras enligt gällande anvisningar.
Beredning av 40 mg ixekizumab för barn, kroppsvikt 25 kg till 50 kg
Om den förfyllda sprutan med 40 mg inte är tillgänglig måste ixekizumabdoser om 40 mg beredas och administreras av kvalificerad sjukvårdspersonal. Använd endast Taltz 80 mg injektionsvätska, lösning i förfylld injektionsspruta vid beredning av pediatrisk dos om 40 mg.
1. Tryck ut hela innehållet i den förfyllda sprutan i en steril injektionsflaska av klart glas. Skaka eller snurra INTE injektionsflaskan.
2. Använd en 0,5 ml eller 1 ml engångsspruta och steril nål för att dra upp den föreskrivna dosen (0,5 ml för 40 mg) från injektionsflaskan.
3. Byt injektionsnålen och använd en 27G steril nål för att injicera patienten. Kassera oanvänd ixekizumab i injektionsflaskan.
Den beredda ixekizumabdosen måste administreras inom 4 timmar, vid rumstemperatur, efter att den sterila flaskan punkterats.
Produktresumén är företagets information till hälso- och sjukvårdspersonal. Godkänd av myndighet.