OPDIVO 10 mg/ml koncentrat till infusionsvätska, lösning.
Koncentrat till infusionsvätska, lösning (sterilt koncentrat).
Klar till opalescent, färglös till ljusgul vätska som kan innehålla ett fåtal ljusa partiklar. Lösningen har ett pH‑värde på cirka 6,0 och en osmolalitet på cirka 340 mOsm/kg.
Bristol-Myers Squibb Pharma EEIG
Plaza 254Blanchardstown Corporate Park 2Dublin 15, D15 T867
Irland
EU/1/15/1014/001
EU/1/15/1014/002
EU/1/15/1014/003
EU/1/15/1014/004
Första godkännandet: 19 juni 2015
Förnyat godkännande: 23 april 2020
2026-03-05
Ytterligare information om detta läkemedel finns på Europeiska läkemedelsmyndighetens webbplats https://www.ema.europa.eu.
Produktresumén är företagets information till hälso- och sjukvårdspersonal. Godkänd av myndighet.
En injektionsflaska med 24 ml koncentrat innehåller 5,0 mg polysorbat 80.
För fullständig förteckning över hjälpämnen, se avsnitt 6.1.
En ml koncentrat till infusionsvätska innehåller 10 mg nivolumab.
En injektionsflaska med 4 ml innehåller 40 mg nivolumab.
En injektionsflaska med 10 ml innehåller 100 mg nivolumab.
En injektionsflaska med 12 ml innehåller 120 mg nivolumab.
En injektionsflaska med 24 ml innehåller 240 mg nivolumab.
Nivolumab produceras i ovarieceller från kinesisk hamster med rekombinant DNA‑teknik.
Hjälpämne med känd effekt
En ml koncentrat innehåller 0,1 mmol (eller 2,5 mg) natrium.
En injektionsflaska med 4 ml koncentrat innehåller 0,94 mg polysorbat 80.
En injektionsflaska med 10 ml koncentrat innehåller 2,14 mg polysorbat 80.
En injektionsflaska med 12 ml koncentrat innehåller 2,6 mg polysorbat 80.
En injektionsflaska med 24 ml koncentrat innehåller 5,0 mg polysorbat 80.
För fullständig förteckning över hjälpämnen, se avsnitt 6.1.
OPDIVO i kombination med ipilimumab och två behandlingscykler platinabaserad kemoterapi är indicerat för första linjens behandling av vuxna med metastaserande icke-småcellig lungcancer vars tumörer varken har sensibiliserande EGFR-mutation eller ALK-translokation.
OPDIVO som monoterapi är indicerat för behandling av vuxna med lokalt avancerad eller metastaserande icke-småcellig lungcancer efter tidigare kemoterapi.
Malignt pleuramesoteliom (MPM)
OPDIVO i kombination med ipilimumab är indicerat för första linjens behandling av vuxna med icke-resektabelt malignt pleuramesoteliom.
Njurcellscancer (RCC)
OPDIVO i kombination med ipilimumab är indicerat som första linjens behandling av vuxna med avancerad njurcellscancer med intermediär/dålig prognos (se avsnitt 5.1).
OPDIVO i kombination med kabozantinib är indicerat som första linjens behandling av vuxna med avancerad njurcellscancer (se avsnitt 5.1).
OPDIVO som monoterapi är indicerat för behandling av vuxna med avancerad njurcellscancer efter tidigare behandling.
Klassiskt Hodgkins lymfom (cHL)
OPDIVO som monoterapi är indicerat för behandling av vuxna med recidiverande eller refraktär klassiskt Hodgkins lymfom efter autolog stamcellstransplantation (ASCT) och behandling med brentuximab vedotin.
OPDIVO i kombination med brentuximab vedotin är indicerat för behandling av barn från 5 års ålder samt hos ungdomar och vuxna upp till 30 års ålder med recidiverande eller refraktärt klassiskt Hodgkins lymfom efter en tidigare behandling (se avsnitt 5.1).
Skivepitelial huvud- och halscancer (SCCHN)
OPDIVO som monoterapi är indicerat för behandling av återkommande eller metastaserande skivepitelial huvud- och halscancer hos vuxna som progredierat under eller efter platinabaserad behandling (se avsnitt 5.1).
Urotelcellscancer (UC)
OPDIVO som monoterapi är indicerat för adjuvant behandling av vuxna, med muskelinvasiv urotelcellscancer (MIUC) med PD‑L1 tumörcellsuttryck ≥ 1 %, med hög risk för återfall efter radikal resektion av MIUC (se avsnitt 5.1).
OPDIVO i kombination med cisplatin och gemcitabin är indicerat som första linjens behandling av vuxna patienter med icke-resektabel eller metastaserande urotelcellscancer.
OPDIVO som monoterapi är indicerat för behandling av lokalt avancerad icke-resektabel eller metastaserande urotelcellscancer hos vuxna vid otillräcklig effekt av tidigare platinabaserad behandling.
Kolorektalcancer (CRC) som uppvisar defekt mismatch repair (dMMR) eller hög mikrosatellitinstabilitet (MSI‑H)
OPDIVO i kombination med ipilimumab är indicerat för behandling av vuxna med kolorektalcancer som uppvisar defekt mismatch repair eller hög mikrosatellitinstabilitet i följande fall:
första linjens behandling av icke-resektabel eller metastaserande kolorektalcancer
behandling av metastaserande kolorektalcancer efter tidigare fluoropyrimidinbaserad kemoterapi i kombination (se avsnitt 5.1).
Esofaguscancer av skivepiteltyp (OSCC)
OPDIVO i kombination med ipilimumab är indicerat som första linjens behandling av vuxna patienter med icke-resektabel avancerad, återkommande eller metastaserande esofaguscancer av skivepiteltyp med tumörcellsuttryck av PD‑L1 ≥ 1 %.
OPDIVO i kombination med fluoropyrimidin- och platinabaserad kemoterapi är indicerat som första linjens behandling av vuxna patienter med icke-resektabel avancerad, återkommande eller metastaserande esofaguscancer av skivepiteltyp med tumörcellsuttryck av PD‑L1 ≥ 1 %.
OPDIVO som monoterapi är indicerat för behandling av vuxna med icke-resektabel avancerad, återkommande eller metastaserande esofaguscancer av skivepiteltyp efter tidigare fluoropyrimidin- och platinabaserad kemoterapi i kombination.
Adjuvant behandling av esofaguscancer eller cancer i gastroesofageala övergången (OC eller GEJC)
OPDIVO som monoterapi är indicerat för adjuvant behandling av vuxna med esofaguscancer eller cancer i gastroesofageala övergången som har kvarstående mikroskopisk sjukdom efter tidigare neoadjuvant kemoradioterapi (se avsnitt 5.1).
Adenocarcinom i ventrikeln, gastroesofageala övergången (GEJ) eller esofagus
OPDIVO i kombination med fluoropyrimidin- och platinabaserad kemoterapi är indicerat som första linjens behandling av vuxna patienter med HER2‑negativt avancerat eller metastaserande adenocarcinom i ventrikeln, gastroesofageala övergången eller esofagus, vars tumörer uttrycker PD‑L1 ≥ 5 enligt metoden combined positive score (CPS).
Hepatocellulärt karcinom (HCC)
OPDIVO i kombination med ipilimumab är indicerat för första linjens behandling av vuxna med icke‑resektabelt eller avancerat hepatocellulärt karcinom.
Behandling ska initieras och övervakas av läkare med erfarenhet av cancerbehandling.
PD-L1-testning
Om det anges i indikationen ska patienturvalet för behandling med OPDIVO, baserat på tumöruttryck av PD‑L1, bedömas med en CE‑märkt medicinteknisk produkt för in vitro‑diagnostik (IVD). Om en CE‑märkt IVD‑produkt inte är tillgänglig ska ett alternativt validerat test användas (se avsnitt 4.1, 4.4 och 5.1).
MSI/MMR-testning
Om det anges i indikationen ska patienturvalet för behandling med OPDIVO, baserat på tumörstatus avseende MSI‑H/dMMR, bedömas med en CE‑märkt IVD‑produkt (in vitro-diagnostisk) med motsvarande avsedda syfte. Om en CE‑märkt IVD‑produkt inte är tillgänglig ska ett alternativt validerat test användas (se avsnitt 4.1, 4.4 och 5.1).
Dosering
OPDIVO som monoterapi
Rekommenderad dos av OPDIVO är antingen 240 mg nivolumab varannan vecka eller 480 mg var fjärde vecka beroende på indikation och patientgrupp (se avsnitt 5.1 och 5.2), enligt tabell 1.
Om patienter med melanom, njurcellscancer, esofaguscancer, cancer i gastroesofageala övergången eller muskelinvasiv urotelcellscancer (adjuvant behandling) behöver byta från doseringen 240 mg varannan vecka till 480 mg var fjärde vecka ska den första dosen på 480 mg ges två veckor efter den sista dosen på 240 mg. Omvänt gäller att om patienter behöver byta från doseringen 480 mg var fjärde vecka till 240 mg varannan vecka ska den första dosen på 240 mg ges fyra veckor efter den sista dosen på 480 mg.
OPDIVO i kombination med ipilimumab
Melanom
Malignt pleuramesoteliom (MPM)
Tabell 3: Rekommenderade doser och infusionstider för intravenös administrering av nivolumab i kombination med ipilimumab vid MPM
Njurcellscancer (RCC)
Tabell 4: Rekommenderade doser och infusionstider för intravenös administrering av nivolumab i kombination med ipilimumab följt av nivolumab som monoterapi vid njurcellscancer
dMMR eller MSI‑H kolorektalcancer (CRC)
Esofaguscancer av skivepiteltyp (OSCC)
Tabell 6 Rekommenderade doser och infusionstider för intravenös administrering av nivolumab i kombination med ipilimumab vid OSCC
Hepatocellulärt karcinom (HCC)
OPDIVO i kombination med kabozantinib
Njurcellscancer (RCC)
OPDIVO i kombination med ipilimumab och kemoterapi
Icke-småcellig lungcancer (NSCLC)
Tabell 9 Rekommenderade doser och infusionstider för intravenös administrering av nivolumab i kombination med ipilimumab och platinabaserad kemoterapi följt av nivolumab i kombination med ipilimumab vid NSCLC
OPDIVO i kombination med kemoterapi
Neoadjuvant behandling av NSCLC
Tabell 10 Rekommenderade doser och infusionstider för intravenös administrering av nivolumab i kombination med platinabaserad kemoterapi för neoadjuvant behandling av NSCLC (se avsnitt 5.1)
Neoadjuvant och adjuvant behandling av NSCLC
Tabell 11 Rekommenderade doser och infusionstider för intravenös administrering av nivolumab i kombination med platinabaserad kemoterapi för neoadjuvant behandling följt av nivolumab som monoterapi för adjuvant behandling av NSCLC
Esofaguscancer av skivepiteltyp (OSCC)
Tabell 12 Rekommenderade doser och infusionstider för intravenös administrering av nivolumab i kombination med fluoropyrimidin- och platinabaserad kemoterapi vid OSCC (se avsnitt 5.1)*
Adenocarcinom i ventrikeln, gastroesofageala övergången (GEJ) eller esofagus
Tabell 13 Rekommenderade doser och infusionstider för intravenös administrering av nivolumab i kombination med fluoropyrimidin- och platinabaserad kemoterapi vid adenocarcinom i ventrikeln, GEJ eller esofagus (se avsnitt 5.1)*
Urotelcellscancer (UC)
Tabell 14 Rekommenderade doser och infusionstider för intravenös administrering av nivolumab i kombination med cisplatin och gemcitabin följt av nivolumab som monoterapi vid UC (se avsnitt 5.1)
OPDIVO i kombination med brentuximab vedotin
Klassiskt Hodgkins lymfom (cHL)
Behandlingsperiod
Behandling med OPDIVO, antingen som monoterapi eller i kombination med ipilimumab eller andra läkemedel, bör fortsätta så länge som klinisk nytta ses eller tills behandlingen inte längre tolereras av patienten (och upp till maximal behandlingstid om detta specificeras för indikationen).
Atypiska svar (dvs. en initial temporär ökning av tumörstorleken eller tillkomst av små nya lesioner inom de första behandlingsmånaderna följt av tumörkrympning) har observerats. Det rekommenderas att kliniskt stabila patienter med initiala tecken på sjukdomsprogression ska stå kvar på behandling med nivolumab eller nivolumab i kombination med ipilimumab till dess att sjukdomsprogression har bekräftats.
Upptrappning eller nedtrappning av OPDIVO-dosen rekommenderas inte, varken vid monoterapi eller vid kombination med andra läkemedel. Dosuppehåll eller permanent utsättning kan krävas baserat på individuell säkerhet och tolerans. Riktlinjer för permanent utsättning eller dosuppehåll finns beskrivna i tabell 16. Detaljerade riktlinjer för hantering av immunrelaterade biverkningar finns beskrivna i avsnitt 4.4. När nivolumab administreras i kombination med andra läkemedel, se respektive produktresumé för dessa läkemedels dosering.
Observera: Toxicitetsgraderna är i enlighet med ”National Cancer Institute Common Terminology Criteria for Adverse Events Version 4.0 (NCI-CTCAE v4).
a Sätt ut behandlingen permanent om diarré eller kolit av grad 3 uppstår under monoterapifasen med nivolumab (efter kombinationsfasen).
b Rekommendationer för användning av hormonersättningsbehandling finns i avsnitt 4.4.
c Säkerheten för att återuppta behandling med nivolumab eller nivolumab i kombination med ipilimumab hos patienter som tidigare haft immunrelaterad myokardit är inte känd.
OPDIVO som monoterapi eller OPDIVO i kombination med andra läkemedel ska sättas ut permanent vid:
Grad 4- eller återkommande Grad 3-biverkningar
Bestående Grad 2- eller 3-biverkningar trots vidtagna behandlingsjusteringar
Patienter som behandlas med OPDIVO måste få ett patientkort och få information om riskerna med OPDIVO (se även bipacksedeln).
Vid behandlingsuppehåll när OPDIVO administreras i kombination med ipilimumab, görs uppehåll med båda läkemedlen. Om dosering återupptas efter ett avbrott kan behandling, med kombinationen eller OPDIVO monoterapi, återupptas utifrån bedömning av varje enskild patient.
När OPDIVO administreras i kombination med kemoterapi, se respektive produktresumé för dessa läkemedels dosering. Om be
handlingsuppehåll görs för något av läkemedlen kan behandlingen med de andra fortsätta. Om dosering återupptas efter ett avbrott kan behandling med kombinationen, OPDIVO monoterapi eller kemoterapi återupptas utifrån bedömning av varje enskild patient.
OPDIVO i kombination med kabozantinib vid njurcellscancer
När OPDIVO används i kombination med kabozantinib, gäller även de behandlingsjusteringar som anges ovan i tabell 16 för OPDIVO-komponenten. Därtill, gällande leverenzymstegring hos patienter med njurcellscancer som behandlas med OPDIVO i kombination med kabozantinib:
Om ALAT eller ASAT > 3 gånger det övre normala gränsvärdet (upper limit of normal [ULN]) men ≤ 10 gånger ULN utan samtidig totalbilirubin ≥ 2 gånger ULN, gör uppehåll i behandling med både OPDIVO och kabozantinib tills dessa biverkningar återgår till grad 0-1. Behandling med kortikosteroider kan övervägas. Återinsättning av ett av läkemedlen eller båda kan övervägas efter återhämtning. Om kabozantinib återinsätts, se produktresumén för kabozantinib.
Om ALAT eller ASAT > 10 gånger ULN eller > 3 gånger ULN med samtidig totalbilirubin ≥ 2 gånger ULN ska både OPDIVO och kabozantinib sättas ut permanent och behandling med kortikosteroider kan övervägas.
Särskilda populationer
Äldre patienter
Ingen dosjustering krävs för äldre patienter (≥ 65 år) (se avsnitt 5.2).
Nedsatt njurfunktion
Baserat på populationsfarmakokinetiska (PK) resultat, krävs ingen dosjustering för patienter med lätt eller måttligt nedsatt njurfunktion (se avsnitt 5.2). Data från patienter med gravt nedsatt njurfunktion är för begränsade för att dra några slutsatser för den här populationen.
Nedsatt leverfunktion
Baserat på populationsfarmakokinetiska (PK) resultat, krävs ingen dosjustering för patienter med lätt eller måttligt nedsatt leverfunktion (se avsnitt 5.2). Data från patienter med gravt nedsatt leverfunktion är för begränsade för att dra några slutsatser för den här populationen. OPDIVO ska administreras med försiktighet till patienter med gravt nedsatt leverfunktion (totalbilirubin > 3 × ULN och oavsett ASAT-värde).
Pediatrisk population
Säkerhet och effekt för OPDIVO för barn under 18 år har ännu inte fastställts med undantag av ungdomar 12 år och äldre med melanom och pediatriska patienter 5 år och äldre med klassiskt Hodgkins lymfom. Nuvarande tillgängliga data från OPDIVO som monoterapi, i kombination med ipilimumab eller i kombination med brentuximab vedotin beskrivs i avsnitt 4.2, 4.8, 5.1 och 5.2.
Administreringssätt
OPDIVO ska enbart ges som en intravenös infusion och ska administreras under 30 eller 60 minuter beroende på dosen (se tabell 1, 2, 3, 4 och 5). Infusionen ska administreras genom ett sterilt, icke‑pyrogent, inbyggt filter med låg proteinbindningsgrad med en porstorlek på 0,2‑1,2 µm.
OPDIVO ska inte administreras som en intravenös stötdos eller bolusinjektion.
Den totala dosen av OPDIVO kan administreras direkt som en infusion med 10 mg/ml lösning eller kan spädas med 9 mg/ml (0,9 %) natriumkloridlösning för injektion eller 50 mg/ml (5 %) glukoslösning för injektion (se avsnitt 6.6).
Vid administrering i kombination med ipilimumab och/eller kemoterapi, ska läkemedlen ges samma dag med OPDIVO först, följt av ipilimumab (om tillämpligt) och därefter kemoterapi. Vid administrering i kombination med brentuximab vedotin ska brentuximab vedotin ges på dag 1 och OPDIVO på dag 8 för cykel 1. För cykel 2–6 ska OPDIVO ges samma dag och minst 30 minuter efter avslutad infusion av brentuximab vedotin. Använd separata infusionspåsar och filter för varje infusion.
Anvisningar om beredning och spädning av läkemedlet före administrering finns i avsnitt 6.6.
Överkänslighet mot den aktiva substansen eller mot något hjälpämne som anges i avsnitt 6.1.
Spårbarhet
För att underlätta spårbarhet av biologiska läkemedel ska läkemedlets namn och tillverkningssatsnummer dokumenteras.
Bedömning av PD-L1-status
Vid bedömning av tumörens PD-L1-status är det viktigt att en väl validerad och robust metod används.
Bedömning av MSI/MMR-status
Vid bedömning av tumörens MSI‑H- och dMMR‑status är det viktigt att en väl validerad och robust metod används.
Immunrelaterade biverkningar
När nivolumab administreras i kombination, se produktresumén för de andra läkemedlen i kombinationen innan behandlingen påbörjas. Immunrelaterade biverkningar inträffade med högre frekvens när nivolumab administrerades i kombination med ipilimumab jämfört med nivolumab som monoterapi. Immunrelaterade biverkningar inträffade med liknande frekvens när OPDIVO administrerades i kombination med kabozantinib eller i kombination med brentuximab vedotin jämfört med nivolumab som monoterapi. Vägledningen för immunrelaterade biverkningar nedan gäller därför OPDIVO-komponenten i kombinationen, om inte annat anges. De flesta immunrelaterade biverkningar förbättrades eller upphörde med lämplig hantering, inklusive kortikosteroidbehandling och behandlingsjusteringar (se avsnitt 4.2).
Immunrelaterade biverkningar som påverkar fler än ett system i kroppen kan förekomma samtidigt.
Hjärt- och lungbiverkningar inklusive lungemboli har också rapporterats vid kombinationsbehandling. Patienter ska övervakas kontinuerligt för hjärt- och lungbiverkningar så väl som för kliniska tecken, symtom och onormala laboratorievärden som tyder på störningar i elektrolytbalansen och dehydrering innan och regelbundet under behandlingen. Nivolumab i kombination med ipilimumab ska sättas ut vid livshotande eller återkommande allvarliga hjärt- och lungbiverkningar (se avsnitt 4.2).
Patienter ska övervakas kontinuerligt (i minst 5 månader efter sista dosen) då en biverkning av nivolumab eller kombinationen av nivolumab och ipilimumab kan ske när som helst under eller efter avslutad behandling.
Vid misstänkta immunrelaterade biverkningar, ska en adekvat utvärdering göras för att bekräfta etiologi eller utesluta andra orsaker. Baserat på biverkningens allvarlighetsgrad, ska uppehåll med nivolumab eller kombinationen av nivolumab och ipilimumab göras och kortikosteroider administreras. Om immunsuppression med kortikosteroider används för att behandla en biverkning, bör en nedtrappning på åtminstone 1 månad påbörjas vid en förbättring. En snabb nedtrappning kan leda till att biverkningen förvärras eller återkommer. Icke‑kortikosteroid immunsuppressiv behandling ska läggas till om det förvärras eller om förbättring uteblir trots användning av kortikosteroider.
Data från observationsstudier tyder på att risken för immunmedierade biverkningar vid behandling med checkpointhämmare kan vara högre hos patienter med underliggande autoimmun sjukdom, jämfört med risken för patienter utan underliggande autoimmun sjukdom. Dessutom var skov av den underliggande autoimmuna sjukdomen vanliga, men majoriteten var milda och hanterbara.
Behandling med nivolumab eller kombinationen av nivolumab och ipilimumab ska inte återupptas medan patienten får immunsuppressiva doser av kortikosteroider eller annan immunsuppressiv behandling. Profylaktisk antibiotikabehandling ska användas för att förhindra opportunistiska infektioner hos patienter som får immunsuppressiv behandling.
Sätt ut nivolumab eller kombinationen av nivolumab och ipilimumab permanent vid alla allvarliga immunrelaterade biverkningar som återkommer och vid alla livshotande immunrelaterade biverkningar.
Immunrelaterad pneumonit
Allvarlig pneumonit eller interstitiell lungsjukdom, inklusive fall med dödlig utgång, har setts vid behandling med nivolumab som monoterapi eller i kombination med ipilimumab (se avsnitt 4.8). Patienter ska övervakas för tecken och symtom på pneumonit såsom röntgenförändringar (t.ex. fokala GGO ”ground glass opacities”, fläckiga infiltrat), dyspné och hypoxi. Uteslut infektions- och sjukdomsrelaterade etiologier.
Vid pneumonit av grad 3 eller 4, sätt ut nivolumab eller kombinationen av nivolumab och ipilimumab permanent och påbörja behandling med kortikosteroider med en dos på 2 till 4 mg/kg/dag av metylprednisolon eller motsvarande.
Vid pneumonit av grad 2 (symtomatisk), gör uppehåll med nivolumab eller kombinationen av nivolumab och ipilimumab och påbörja behandling med kortikosteroider med en dos på 1 mg/kg/dag av metylprednisolon eller motsvarande. Vid förbättring kan nivolumab eller kombinationen av nivolumab och ipilimumab återupptas efter nedtrappning av kortikosteroidbehandling. Vid försämring eller utebliven förbättring trots påbörjad behandling med kortikosteroider, öka dosen kortikosteroider till 2 till 4 mg/kg/dag av metylprednisolon eller motsvarande och sätt ut nivolumab eller kombinationen av nivolumab och ipilimumab permanent.
Immunrelaterad kolit
Allvarlig diarré eller kolit har setts vid behandling med nivolumab som monoterapi eller kombinationen av nivolumab och ipilimumab (se avsnitt 4.8). Patienter ska övervakas för diarré och ytterligare symtom på kolit, som buksmärta och slem eller blod i avföringen. Infektion/reaktivering av cytomegalovirus (CMV) har rapporterats hos patienter med kortikosteroid‑refraktär immunrelaterad kolit. Uteslut infektions- och sjukdomsrelaterade orsaker till diarrén med adekvata laboratorietester och undersökningar. I de fall då diagnosen kortikosteroid‑refraktär immunrelaterad kolit bekräftats, överväg tillägg av ett alternativt immunosuppressivt medel till kortikosteroidbehandlingen, eller byte av kortikosteroidbehandling.
Vid diarré eller kolit av grad 4, sätt ut nivolumab eller kombinationen av nivolumab och ipilimumab permanent och påbörja behandling med kortikosteroider med en dos på 1 till 2 mg/kg/dag av metylprednisolon eller motsvarande.
Vid diarré eller kolit av grad 3, gör uppehåll med nivolumab som monoterapi och påbörja behandling med kortikosteroider med en dos på 1 till 2 mg/kg/dag av metylprednisolon eller motsvarande. Vid förbättring kan nivolumab monoterapi återupptas efter nedtrappning av kortikosteroidbehandling. Vid försämring eller utebliven förbättring trots påbörjad behandling med kortikosteroider, sätt ut nivolumab monoterapi permanent. Diarré eller kolit av grad 3, som observerats vid behandling med nivolumab i kombination med ipilimumab, kräver att behandlingen sätts ut permanent och att behandling med kortikosteroider påbörjas vid en dos på 1 till 2 mg/kg/dag av metylprednisolon eller motsvarande.
Vid diarré eller kolit av grad 2, gör uppehåll med nivolumab eller kombinationen av nivolumab och ipilimumab. Ihållande diarré eller kolit ska behandlas med kortikosteroider med en dos på 0,5 till 1 mg/kg/dag av metylprednisolon eller motsvarande. Vid förbättring kan nivolumab eller kombinationen av nivolumab och ipilimumab återupptas efter nedtrappning, om så krävs, av kortikosteroidbehandling. Vid försämring eller utebliven förbättring trots påbörjad behandling med kortikosteroider, öka dosen kortikosteroider till 1 till 2 mg/kg/dag av metylprednisolon eller motsvarande och sätt ut nivolumab eller kombinationen av nivolumab och ipilimumab permanent.
Immunrelaterad hepatit
Allvarlig hepatit har setts vid behandling med nivolumab som monoterapi eller i kombination med ipilimumab (se avsnitt 4.8). Patienter ska övervakas för tecken och symtom på hepatit som stegring av transaminas och totalbilirubin. Uteslut infektions- och sjukdomsrelaterade etiologier.
Vid transaminas- eller totalbilirubinstegring av grad 3 eller 4, sätt ut nivolumab eller kombinationen av nivolumab och ipilimumab permanent och påbörja behandling med kortikosteroider med en dos på 1 till 2 mg/kg/dag av metylprednisolon eller motsvarande.
Vid transaminas- eller totalbilirubinstegring av grad 2, gör uppehåll med nivolumab eller kombinationen av nivolumab och ipilimumab. Ihållande stegring av dessa laboratorievärden bör behandlas med kortikosteroider med en dos på 0,5 till 1 mg/kg/dag av metylprednisolon eller motsvarande. Vid förbättring kan nivolumab eller kombination av nivolumab och ipilimumab återupptas efter nedtrappning, om så krävs, av kortikosteroidbehandling. Vid försämring eller utebliven förbättring trots påbörjad behandling med kortikosteroider, öka dosen kortikosteroider till 1 till 2 mg/kg/dag av metylprednisolon eller motsvarande och sätt ut nivolumab eller kombinationen av nivolumab och ipilimumab permanent.
Immunrelaterad nefrit och nedsatt njurfunktion
Allvarlig nefrit och nedsatt njurfunktion har setts vid behandling med nivolumab som monoterapi eller i kombination med ipilimumab (se avsnitt 4.8). Patienter ska övervakas för tecken eller symtom på nefrit eller nedsatt njurfunktion. De flesta patienterna har en asymtomatisk ökning av serumkreatinin. Uteslut sjukdomsrelaterade etiologier.
Vid serumkreatininstegring av grad 4, sätt ut nivolumab eller kombinationen av nivolumab och ipilimumab permanent och påbörja behandling med kortikosteroider med en dos på 1 till 2 mg/kg/dag av metylprednisolon eller motsvarande.
Vid serumkreatininstegring av grad 2 eller 3, gör uppehåll med nivolumab eller kombinationen av nivolumab och ipilimumab och påbörja behandling med kortikosteroider med en dos på 0,5 till 1 mg/kg/dag av metylprednisolon eller motsvarande. Vid förbättring kan nivolumab eller kombinationen av nivolumab och ipilimumab återupptas efter nedtrappning av kortikosteroidbehandling. Vid försämring eller utebliven förbättring trots påbörjad behandling med kortikosteroider, öka dosen kortikosteroider till 1 till 2 mg/kg/dag av metylprednisolon eller motsvarande och nivolumab eller kombinationen av nivolumab och ipilimumab ska sättas ut permanent.
Immunrelaterad endokrinopati
Allvarliga endokrinopatier, inklusive hypotyreos, hypertyreos, binjurebarksvikt (inklusive sekundär binjurebarksvikt), hypofysit (inklusive hypopituitarism), diabetes mellitus och diabetisk ketoacidos (DKA) har setts vid behandling med nivolumab som monoterapi eller kombinationen av nivolumab och ipilimumab (se avsnitt 4.8).
Patienter ska övervakas för tecken och symtom på endokrinopatier och för hyperglykemi och förändringar i sköldkörtelfunktionen (när behandlingen påbörjas och under behandlingen, baserat på klinisk bedömning). Patienter kan ha symtom som trötthet, huvudvärk, ändrad mental status, buksmärta, ovanliga tarmvanor och hypotension eller icke-specifika symtom som kan likna de som ses vid hjärnmetastaser eller underliggande sjukdom. Såvida inte en annan etiologi har identifierats ska tecken eller symtom på endokrinopatier anses vara immunrelaterade.
Vid symtomatisk hypotyreos, gör uppehåll med nivolumab eller kombinationen av nivolumab och ipilimumab och påbörja behandling med hormonersättning, efter behov. Vid symtomatisk hypertyreos, gör uppehåll med nivolumab eller kombinationen av nivolumab och ipilimumab och påbörja behandling med antityreoida läkemedel, efter behov. Kortikosteroider med en dos på 1 till 2 mg/kg/dag av metylprednisolon eller motsvarande bör också övervägas om akut inflammation av sköldkörteln misstänks. Vid förbättring kan nivolumab eller kombinationen av nivolumab och ipilimumab återupptas efter nedtrappning, om så krävs, av kortikosteroidbehandling. Övervakning av sköldkörtelns funktion bör fortsätta för att säkerställa att lämplig hormonersättning ges. Vid livshotande hypertyreos eller hypotyreos ska behandling med nivolumab eller kombinationen av nivolumab och ipilimumab sättas ut permanent.
Vid symtomatisk binjurebarksvikt av grad 2, gör uppehåll med nivolumab eller kombinationen av nivolumab och ipilimumab och påbörja en fysiologisk ersättningsbehandling med kortikosteroider, efter behov. Vid allvarlig (grad 3) eller livshotande (grad 4) binjurebarksvikt ska behandling med nivolumab eller kombinationen av nivolumab och ipilimumab sättas ut permanent. Övervakning av binjurebarkens funktion och hormonnivåer bör fortsätta för att säkerställa att lämplig kortikosteroidbehandling ges.
Vid symtomatisk hypofysit av grad 2 eller 3, gör uppehåll med nivolumab eller kombinationen av nivolumab och ipilimumab och påbörja hormonersättning, efter behov. Kortikosteroider med en dos på 1 till 2 mg/kg/dag av metylprednisolon eller motsvarande ska övervägas om akut inflammation av hypofysen misstänks. Vid förbättring kan nivolumab eller kombinationen av nivolumab och ipilimumab återupptas efter nedtrappning, om så krävs, av kortikosteroidbehandling. Vid livshotande hypofysit (grad 4) ska behandling med nivolumab eller kombinationen av nivolumab och ipilimumab sättas ut permanent. Övervakning av hypofysens funktion och hormonnivåer bör fortsätta för att säkerställa att lämplig hormonersättning ges.
Vid symtomatisk diabetes, gör uppehåll med nivolumab eller kombinationen av nivolumab och ipilimumab och påbörja behandling med insulin, efter behov. Övervakning av blodsocker bör fortsätta för att säkerställa att lämplig insulinbehandling ges. Vid livshotande diabetes ska behandling med nivolumab eller kombinationen av nivolumab och ipilimumab sättas ut permanent.
Immunrelaterade hudbiverkningar
Allvarliga utslag har setts med kombinationen av nivolumab och ipilimumab och, i mindre vanliga fall, med nivolumab som monoterapi (se avsnitt 4.8). Vid utslag av grad 3, gör uppehåll med nivolumab eller kombinationen av nivolumab och ipilimumab och sätt ut behandlingen vid utslag av grad 4. Allvarliga utslag behandlas med en hög dos kortikosteroider på 1 till 2 mg/kg metylprednisolon eller motsvarande.
Sällsynta fall av SJS och TEN inklusive fatala fall har observerats. Om symtom eller tecken på SJS eller TEN uppträder, ska behandlingen med nivolumab eller kombinationen av nivolumab och ipilimumab sättas ut och patienten remitteras till en specialistenhet för utvärdering och behandling. Om patienten har utvecklat SJS eller TEN vid användning av nivolumab eller kombinationen av nivolumab och ipilimumab, rekommenderas att behandlingen sätts ut permanent (se avsnitt 4.2).
Försiktighet ska iakttas när man överväger användning av nivolumab till en patient som tidigare har haft en allvarlig eller livshotande hudreaktion vid tidigare behandling med andra immunstimulerande läkemedel mot cancer.
Övriga immunrelaterade biverkningar
Följande immunrelaterade biverkningar rapporterades hos färre än 1 % av patienterna behandlade med nivolumab som monoterapi eller nivolumab i kombination med ipilimumab i kliniska studier, oavsett dos eller tumörtyp: pankreatit, uveit, demyelinisering, autoimmun neuropati (inklusive ansikts- och abducenspares), Guillain-Barrés syndrom, myastenia gravis, myasteniskt syndrom, aseptisk meningit, encefalit, gastrit, sarkoidos, duodenit, myosit, myokardit, rabdomyolys och myelit. Fall av Vogt‑Koyanagi‑Haradas syndrom, hypoparatyreoidism och icke-infektiös cystit har rapporterats efter godkännandet för försäljning (se avsnitt 4.2 och 4.8).
Vid misstänkta immunrelaterade biverkningar ska adekvat utredning göras för att bekräfta etiologi eller utesluta andra orsaker. Baserat på allvarlighetsgraden av biverkningen, gör uppehåll med nivolumab eller kombinationen av nivolumab och ipilimumab och ge kortikosteroider. Vid förbättring kan nivolumab eller kombinationen av nivolumab och ipilimumab återupptas efter nedtrappning av kortikosteroidbehandling. Nivolumab eller kombinationen av nivolumab och ipilimumab ska sättas ut permanent vid alla allvarliga immunrelaterade biverkningar som inträffar igen och vid alla livshotande immunrelaterade biverkningar.
Fall av myotoxicitet (myosit, myokardit och rabdomyolys), inklusive fatala fall, har rapporterats med nivolumab eller kombinationen av nivolumab och ipilimumab. Om en patient utvecklar tecken eller symtom på myotoxicitet, ska patienten övervakas noga och utan dröjsmål remitteras till specialist för utvärdering och behandling. Beroende på myotoxicitetens allvarlighetsgrad bör man göra ett dosuppehåll eller avbryta behandlingen med nivolumab eller kombinationen av nivolumab och ipilimumab, och sätta in lämplig behandling.
Myokardit ska betraktas som en klart möjlig diagnos. Patienter med hjärt- eller hjärt-lungsymtom bör utvärderas för potentiell myokardit. Om misstanke om myokardit föreligger bör man snabbt initiera behandling med hög dos av steroider (prednison 1‑2 mg/kg/dag eller metylprednisolon 1‑2 mg/kg/dag) och omedelbart initiera kontakt med kardiologkonsult för en noggrann kardiologisk utredning enligt gällande klinisk praxis. När myokardit har fastställts, bör uppehåll göras i behandlingen med nivolumab, eller nivolumab i kombination med ipilimumab, alternativt bör behandlingen sättas ut permanent (se avsnitt 4.2).
Avstötning av organtransplantat har rapporterats efter godkännandet för försäljning hos patienter som behandlas med PD-1-hämmare. Behandling med nivolumab kan öka avstötningsrisken hos organtransplanterade patienter. Nyttan med behandling med nivolumab ska vägas mot risken för möjlig organavstötning hos dessa patienter.
Hemofagocyterande lymfohistiocytos (HLH) har setts med nivolumab som monoterapi och nivolumab i kombination med ipilimumab. Försiktighet bör iakttas när nivolumab administreras som monoterapi eller i kombination med ipilimumab. Vid bekräftad HLH ska administreringen av nivolumab eller nivolumab i kombination med ipilimumab avbrytas och behandling av HLH inledas.
Infusionsreaktioner
Infusionsreaktioner, inklusive allvarliga infusionsreaktioner har rapporterats i kliniska studier med enbart nivolumab, nivolumab i kombination med ipilimumab eller andra läkemedel (se avsnitt 4.8). Vid fall av allvarliga eller livshotande infusionsreaktioner ska infusionen med nivolumab eller kombinationen av nivolumab och ipilimumab eller annat läkemedel avslutas och lämplig medicinsk behandling ges. Patienter med mild eller måttlig infusionsreaktion kan få nivolumab eller kombinationen av nivolumab och ipilimumab eller andra läkemedel under noggrann övervakning och tillsammans med premedicinering i enlighet med lokala riktlinjer för profylax mot infusionsreaktioner.
Sjukdomsspecifik försiktighet
Avancerat melanom
Patienter med nedsatt allmäntillstånd (performance-status ≥ 2), aktiva hjärnmetastaser eller leptomeningeala metastaser, autoimmun sjukdom samt patienter som hade fått systemisk immunsuppressiv behandling innan studiestart, exkluderades från de pivotala kliniska studierna med nivolumab eller nivolumab i kombination med ipilimumab (se avsnitt 4.5 och 5.1). Patienter med okulärt/uvealt melanom exkluderades från de pivotala kliniska studierna vid melanom. Utöver det exkluderades även patienter som haft en biverkning av grad 4 som var relaterad till anti-CTLA-4-behandling i CA209037 (se avsnitt 5.1). Patienter med nedsatt allmäntillstånd (performance-status 2), behandlade leptomeningeala metastaser, okulärt/uvealt melanom, autoimmun sjukdom och patienter som haft en biverkning av grad 3-4 (som var relaterad till tidigare anti-CTLA-4-behandling) inkluderades i studien CA209172 (se avsnitt 5.1). I frånvaro av data på patienter som hade fått systemisk immunsuppressiv behandling innan studiestart och patienter med aktiva hjärnmetastaser eller leptomeningeala metastaser, ska nivolumab användas med försiktighet hos dessa populationer efter noggrant övervägande av den möjliga nytta/risk-balansen för den enskilda individen.
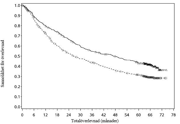
I jämförelse med nivolumab som monoterapi, sågs för nivolumab i kombination med ipilimumab en ökad progressionsfri överlevnad (PFS) endast hos patienter med lågt tumöruttryck av PD-L1. Förbättringen i totalöverlevnad var liknande mellan nivolumab i kombination med ipilimumab och nivolumab som monoterapi hos patienter med högt tumöruttryck av PD‑L1 (PD‑L1 ≥ 1 %). Innan behandling med kombinationen påbörjas, rekommenderas läkare att noggrant utvärdera den enskilda patienten och tumörkarakteristikan samt väga in den observerade effekten och toxiciteten av kombinationen jämfört med nivolumab som monoterapi (se avsnitt 4.8 och 5.1).
Användning av nivolumab till patienter med melanom med snabbt progredierande sjukdom
Innan behandling påbörjas hos patienter med snabbt progredierande sjukdom, ska läkaren överväga den fördröjda effekten av nivolumab (se avsnitt 5.1).
Adjuvant behandling av melanom
Det finns inga data från adjuvant behandling av patienter med melanom med följande riskfaktorer (se avsnitt 4.5 och 5.1):
patienter med tidigare autoimmun sjukdom eller annat tillstånd som kräver systemisk behandling med antingen kortikosteroider (≥ 10 mg prednison dagligen eller motsvarande) eller annan immunsuppressiv medicinering
patienter som tidigare behandlats för melanom (förutom patienter som opererats, erhållit adjuvant strålbehandling efter neurokirurgisk resektion för lesioner i centrala nervsystemet eller erhållit adjuvant interferonbehandling som avslutats ≥ 6 månader före randomisering)
patienter som tidigare behandlats med anti‑PD‑1, anti‑PD‑L1, anti‑PD‑L2, anti‑CD137 eller anti‑CTLA‑4-antikroppar (inklusive ipilimumab eller någon annan antikropp eller läkemedel som specifikt riktar in sig på co-stimulering av T‑celler eller checkpoint-vägar)
patienter under 18 år
I frånvaro av data, ska nivolumab användas med försiktighet hos dessa populationer efter noggrant övervägande av den möjliga nyttan/risken för den enskilda individen.
Icke-småcellig lungcancer
Första linjens behandling av icke-småcellig lungcancer
Patienter med aktiv autoimmun sjukdom, symtomatisk interstitiell lungsjukdom, sjukdomar som kräver systemisk immunsuppressiv behandling, aktiva (obehandlade) hjärnmetastaser, som tidigare erhållit systemisk behandling för avancerad sjukdom, eller som haft sensibiliserande EGFR-mutationer eller ALK-translokationer exkluderades från den pivotala studien vid första linjens behandling av icke-småcellig lungcancer (se avsnitt 4.5 och 5.1). Data för äldre patienter (≥ 75 år) är begränsade (se avsnitt 5.1). Hos dessa patienter ska nivolumab i kombination med ipilimumab och kemoterapi användas med försiktighet efter noggrant övervägande av den möjliga nytta/risk-balansen för den enskilda individen.
Behandling av icke-småcellig lungcancer efter tidigare kemoterapi
Patienter med nedsatt allmäntillstånd (performance-status ≥ 2), aktiva hjärnmetastaser, autoimmun sjukdom, symtomatisk interstitiell lungsjukdom och patienter som hade fått systemisk immunsuppressiv behandling innan studiestart, exkluderades från de pivotala kliniska studierna på icke-småcellig lungcancer (se avsnitt 4.5 och 5.1). Patienter med nedsatt allmäntillstånd (performance-status 2) inkluderades i studien CA209171 (se avsnitt 5.1). I frånvaro av data på patienter med autoimmun sjukdom, symtomatisk interstitiell lungsjukdom, aktiva hjärnmetastaser och patienter som hade fått systemisk immunsuppressiv behandling innan studiestart, ska nivolumab användas med försiktighet hos dessa populationer efter noggrant övervägande av den möjliga nytta/risk-balansen för den enskilda individen.
Innan behandling påbörjas hos patienter med sämre prognostiska faktorer och/eller aggressiv sjukdom, ska läkaren överväga den fördröjda effekten av nivolumab. Vid icke-småcellig lungcancer av icke-skivepiteltyp observerades fler dödsfall de första 3 månaderna för nivolumab jämfört med docetaxel. Faktorer som associerades med tidigt dödsfall var sämre prognostiska faktorer och/eller mer aggressiv sjukdom kombinerat med lågt eller inget uttryck av PD-L1 i tumören (se avsnitt 5.1).
Neoadjuvant behandling av icke‑småcellig lungcancer
Patienter med nedsatt allmäntillstånd (performance-status ≥ 2), aktiv autoimmun sjukdom, symtomatisk interstitiell lungsjukdom, medicinska tillstånd som krävde systemisk immunsuppression eller icke-resektabel eller metastaserad sjukdom vid studiestart och som tidigare hade fått cancerbehandling för resektabel sjukdom eller patienter som hade kända EGFR-mutationer eller ALK-translokationer exkluderades från den pivotala studien av neoadjuvant behandling av resektabel icke‑småcellig lungcancer (se avsnitt 5.1). I frånvaro av data ska nivolumab i kombination med kemoterapi användas med försiktighet hos dessa populationer efter noggrant övervägande av den möjliga nytta/risk-balansen för den enskilda individen.
Neoadjuvant och adjuvant behandling av icke‑småcellig lungcancer
Patienter med nedsatt allmäntillstånd (performance-status ≥ 2), perifer neuropati av grad 2 eller högre, aktiv autoimmun sjukdom, symtomatisk interstitiell lungsjukdom, medicinska tillstånd som krävde systemisk immunsuppression eller icke-resektabel eller metastaserad sjukdom vid studiestart och som tidigare hade fått cancerbehandling för resektabel sjukdom, patienter som hade EGFR-mutationer eller kända ALK-translokationer eller hjärnmetastaser exkluderades från den pivotala studien av neoadjuvant och adjuvant behandling av icke‑småcellig lungcancer (se avsnitt 4.5 och 5.1). I frånvaro av data ska nivolumab i kombination med kemoterapi användas med försiktighet hos dessa populationer efter noggrant övervägande av den möjliga nyttan/risken för den enskilda individen.
Malignt pleuramesoteliom
Patienter med primitivt peritonealt, perikardiellt eller tunica vaginalis mesoteliom, testikelmesoteliom, interstitiell lungsjukdom, aktiv autoimmun sjukdom, medicinska tillstånd som kräver systemisk immunsuppression eller hjärnmetastaser (såvida de inte opererats bort eller behandlats med stereotaktisk strålbehandling och inte vidareutvecklats inom 3 månader före studiestart) exkluderades från den pivotala kliniska studien vid första linjens behandling av malignt pleuramesoteliom (se avsnitt 4.5 och 5.1). I frånvaro av data ska nivolumab i kombination med ipilimumab användas med försiktighet hos dessa populationer efter noggrant övervägande av den möjliga nytta/risk-balansen för den enskilda individen.
Njurcellscancer
Nivolumab eller nivolumab i kombination med ipilimumab
Patienter med tidigare samtidigt förekommande hjärnmetastaser, aktiv autoimmun sjukdom eller medicinska tillstånd som kräver systemisk immunsuppression exkluderades från de kliniska studierna med nivolumab eller nivolumab i kombination med ipilimumab (se avsnitt 4.5 och 5.1). I frånvaro av data, ska nivolumab eller nivolumab i kombination med ipilimumab användas med försiktighet hos dessa populationer efter noggrant övervägande av den möjliga nytta/risk-balansen för den enskilda individen.
Nivolumab i kombination med kabozantinib
Patienter med aktiva hjärnmetastaser, autoimmun sjukdom eller medicinska tillstånd som kräver systemisk immunosuppression exkluderades från de kliniska studierna med nivolumab i kombination med kabozantinib (se avsnitt 4.5 och 5.1). I frånvaro av data, ska nivolumab i kombination med kabozantinib användas med försiktighet hos dessa populationer efter noggrant övervägande av den möjliga nytta/risk-balansen för den enskilda individen.
När nivolumab ges med kabozantinib har högre frekvens av ALAT-och ASAT-stegring, grad 3 och 4, rapporterats jämfört med nivolumab monoterapi hos patienter med avancerad njurcellscancer (se avsnitt 4.8). Leverenzymvärden ska granskas innan behandling påbörjas och regelbundet under pågående behandling. Följ riktlinjerna (se avsnitt 4.2 och produktresumén för kabozantinib) för den medicinska hanteringen av båda läkemedlen.
Klassiskt Hodgkins lymfom
Nivolumab som monoterapi
Patienter med aktiv autoimmun sjukdom och symtomatisk interstitiell lungsjukdom exkluderades från kliniska studier mot klassiskt Hodgkins lymfom (se avsnitt 5.1). I frånvaro av data, ska nivolumab användas med försiktighet hos dessa populationer efter noggrant övervägande av den möjliga nytta/risk-balansen för den enskilda individen.
Nivolumab i kombination med brentuximab vedotin
Patienter med aktiv autoimmun sjukdom, med nodulärt lymfocyt-predominant Hodgkins lymfom och som tidigare hade exponerats för anti‑PD1-, anti‑PDL1-, anti‑PD‑L2-, anti‑CD137- eller anti‑CTLA‑4-antikropp, eller annan antikropp eller annat läkemedel som specifikt riktar in sig på co-stimulering av T‑celler eller checkpoint-vägar, exkluderades från den kliniska prövningen av nivolumab i kombination med brentuximab vedotin för behandling av klassiskt Hodgkins lymfom (se avsnitt 5.1).
Komplikationer med allogen hematopoetisk stamcellstransplantation vid klassiskt Hodgkins lymfom
Fall av akut graft‑versus‑host disease (GVHD) och transplantationsrelaterad dödlighet har observerats vid uppföljning av patienter med klassiskt Hodgkins lymfom som genomgår hematopoetisk stamcellstransplantation efter tidigare exponering för nivolumab. Den möjliga nyttan med hematopoetisk stamcellstransplantation, och den eventuellt ökade risken för transplantationsrelaterade komplikationer, bör noga övervägas från fall till fall (se avsnitt 4.8).
Efter godkännandet för försäljning har rapporter inkommit om snabbt utvecklande och allvarlig GVHD, i vissa fall fatala, hos patienter som behandlats med nivolumab efter allogen hematopoetisk stamcellstransplantation. Risken för allvarlig GVHD och död, speciellt hos dem som redan haft GVHD, kan öka vid behandling med nivolumab hos patienter som genomgått allogen hematopoetisk stamcellstransplantation. För dessa patienter måste nyttan i förhållande till risken med behandlingen övervägas (se avsnitt 4.8).
Huvud- och halscancer
Patienter med nedsatt allmäntillstånd (performance-status ≥ 2), aktiva hjärnmetastaser eller leptomeningeala metastaser, aktiv autoimmun sjukdom, medicinska tillstånd som kräver systemisk immunsuppressiv behandling, eller primär cancer i nasofarynx eller spottkörtlarna exkluderades från den kliniska studien på skivepitelial huvud- och halscancer (se avsnitt 4.5 och 5.1). I frånvaro av data, ska nivolumab användas med försiktighet hos dessa populationer efter noggrant övervägande av den möjliga nytta/risk-balansen för den enskilda individen.
Innan behandling påbörjas hos patienter med sämre prognostiska faktorer och/eller aggressiv sjukdom, ska läkaren överväga den fördröjda effekten av nivolumab. Vid huvud- och halscancer observerades fler dödsfall de första 3 månaderna för nivolumab jämfört med docetaxel. Faktorer som associerades med tidigt dödsfall var ECOG performance-status, snabbt progredierande sjukdom vid tidigare platinabehandling och stor tumörbörda.
Urotelcellscancer
Behandling av avancerad urotelcellscancer
Patienter med nedsatt allmäntillstånd (performance-status ≥ 2), aktiva hjärnmetastaser eller leptomeningeala metastaser, aktiv autoimmun sjukdom, eller medicinska tillstånd som kräver systemisk immunsuppressiv behandling exkluderades från de kliniska studierna på urotelcellscancer (se avsnitt 4.5 och 5.1). I frånvaro av data, ska nivolumab användas med försiktighet hos dessa populationer efter noggrant övervägande av den möjliga nytta/risk-balansen för den enskilda individen.
Adjuvant behandling av urotelcellscancer
Patienter med nedsatt allmäntillstånd (performance-status ≥ 2) (förutom patienter med nedsatt allmäntillstånd (performance-status 2) som inte har fått neoadjuvant cisplatinbaserad kemoterapi och som inte anses vara lämpade för adjuvant cisplatinkemoterapi), evidens på sjukdom efter kirurgi, aktiv autoimmun sjukdom eller medicinska tillstånd som kräver systemisk immunsuppression exkluderades från den kliniska studien avseende adjuvant behandling av urotelcellscancer (se avsnitt 4.5 och 5.1). I frånvaro av data ska nivolumab användas med försiktighet i dessa populationer efter noggrant övervägande av den möjliga nytta/risk-balansen för den enskilda individen.
dMMR eller MSI-H kolorektalcancer
Patienter med nedsatt allmäntillstånd (performance-status ≥ 2), aktiva hjärnmetastaser eller leptomeningeala metastaser, aktiv autoimmun sjukdom, eller medicinska tillstånd som kräver systemisk immunsuppressiv behandling exkluderades från den kliniska studien på metastaserande dMMR eller MSI‑H kolorektalcancer (se avsnitt 4.5 och 5.1). I frånvaro av data, ska nivolumab i kombination med ipilimumab användas med försiktighet hos dessa populationer efter noggrant övervägande av den möjliga nytta/risk‑balansen för den enskilda individen.
Esofaguscancer av skivepiteltyp
Första linjens behandling av esofaguscancer av skivepiteltyp
Patienter med nedsatt allmäntillstånd (performance-status ≥ 2), samtidiga hjärnmetastaser i anamnesen, aktiv autoimmun sjukdom, medicinska tillstånd som krävde systemisk immunsuppression eller med hög risk för blödningar eller fistlar p.g.a. tydlig tumörinvasion i organ intill den esofageala tumören exkluderades från den kliniska studien på esofaguscancer av skivepiteltyp (se avsnitt 4.5 och 5.1). I frånvaro av data ska nivolumab i kombination med ipilimumab eller kemoterapi användas med försiktighet i dessa populationer efter noggrant övervägande av den möjliga nytta/risk-balansen för den enskilda individen.
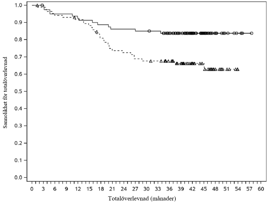
I studien med första linjens behandling av esofaguscancer av skivepiteltyp observerades ett högre antal dödsfall inom fyra månader med nivolumab i kombination med ipilimumab jämfört med kemoterapi. Innan behandling påbörjas hos patienter med sämre prognostiska faktorer och/eller aggressiv sjukdom, ska läkaren överväga den fördröjda effekten av nivolumab i kombination med ipilimumab (se avsnitt 5.1).
Behandling av esofaguscancer av skivepiteltyp efter tidigare första linjens kemoterapi
Majoriteten av tillgänglig klinisk data vid esofaguscancer av skivepiteltyp kommer från behandling av patienter med asiatiskt ursprung (se avsnitt 5.1).
Patienter med nedsatt allmäntillstånd (performance-status ≥ 2), hjärnmetastaser som var symptomatiska eller krävde behandling, tydlig tumörinvasion i esofagus intilliggande organ, (till exempel aortan eller luftvägarna), aktiv autoimmun sjukdom, eller medicinska tillstånd som kräver systemisk immunsuppressiv behandling exkluderades från den kliniska studien på esofaguscancer av skivepiteltyp (se avsnitt 4.5 och 5.1). I frånvaro av data, ska nivolumab användas med försiktighet hos dessa populationer efter noggrant övervägande av den möjliga nytta/risk-balansen för den enskilda individen.
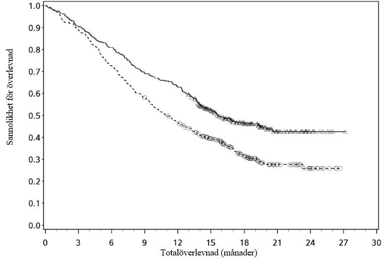
Innan behandling påbörjas hos patienter med esofaguscancer av skivepiteltyp, ska läkaren överväga den fördröjda effekten av nivolumab. Vid 2,5 månader efter randomisering observerades fler dödsfall med nivolumab jämfört med kemoterapi. Ingen specifik faktor associerad med tidig död kunde identifieras (se avsnitt 5.1).
Adjuvant behandling av esofaguscancer eller cancer i gastroesofageala övergången
Patienter med nedsatt allmäntillstånd (performance-status ≥ 2), som inte fick samtidig kemoradioterapi (KRT) före operation, med stadium IV resektabel sjukdom, aktiv autoimmun sjukdom eller medicinska tillstånd som kräver systemisk immunsuppressiv behandling exkluderades från den kliniska studien på esofaguscancer och cancer i gastroesofageala övergången (se avsnitt 4.5 och 5.1). I frånvaro av data, ska nivolumab användas med försiktighet hos dessa populationer efter noggrant övervägande av den möjliga nytta/risk-balansen för den enskilda individen.
Adenocarcinom i ventrikeln, gastroesofageala övergången eller esofagus
Patienter med ECOG performance-status ≥ 2 vid studiestart, obehandlade metastaser i centrala nervsystemet, aktiv, känd eller misstänkt autoimmun sjukdom eller medicinska tillstånd som krävde immunsuppression exkluderades från den kliniska studien avseende adenocarcinom i ventrikeln, GEJ eller esofagus (se avsnitt 4.5 och 5.1). I frånvaro av data ska nivolumab i kombination med kemoterapi användas med försiktighet hos dessa populationer efter noggrant övervägande av den möjliga nyttan/risken för den enskilda individen.
Studie CA209649 exkluderade patienter med känd HER2-positiv status. Patienter med obestämd status tilläts att delta i studien och representerade 40,3 % av patienterna (se avsnitt 5.1).
Hepatocellulärt karcinom
Patienter med ECOG performance status på ≥ 2 vid studiestart, tidigare genomgången levertransplantation, Child-Pugh C-leversjukdom, en historik av samtidiga hjärnmetastaser, en historik av leverencefalopati (inom 12 månader från randomisering), kliniskt signifikant ascites, HIV-infektion eller samtidig aktiv infektion med hepatit B virus (HBV) och hepatit C virus (HCV) eller HBV- och hepatit D virus (HDV), aktiv autoimmun sjukdom eller medicinska tillstånd som krävde systemisk immunsuppression exkluderades från den kliniska studien på hepatocellulärt karcinom (se avsnitt 4.5 och 5.1). Data för patienter med hepatocellulärt karcinom och Child-Pugh B är begränsade. I frånvaro av data ska nivolumab i kombination med ipilimumab följt av nivolumab användas med försiktighet hos dessa populationer efter noggrant övervägande av den möjliga nytta/risk-balansen för den enskilda individen.
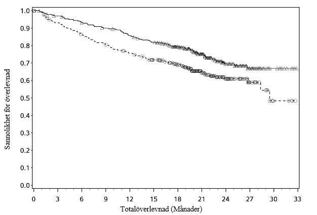
Vid HCC observerades fler dödsfall de första 6 månaderna med nivolumab i kombination med ipilimumab jämfört med lenvatinib eller sorafenib. En högre risk för död kan vara associerat med sämre prognostiska faktorer. Innan behandling med nivolumab i kombination med ipilimumab påbörjas hos patienter med sämre prognostiska faktorer, ska läkaren överväga denna risk.
Patienter med kontrollerad saltdiet
Varje ml av detta läkemedel innehåller 0,1 mmol (eller 2,5 mg) natrium. Detta läkemedel innehåller 10 mg natrium per 4 ml injektionsflaska, 25 mg natrium per 10 ml injektionsflaska, 30 mg natrium per 12 ml injektionsflaska eller 60 mg natrium per 24 ml injektionsflaska, motsvarande 0,5 %, 1,25 %, 1,5 % respektive 3 % av WHOs högsta rekommenderat dagligt intag (2 g natrium för vuxna). Intaget av natrium kan variera om natriumklorid används under spädningsstegen.
OPDIVO innehåller polysorbat 80 (E433)
Detta läkemedel innehåller 0,94 mg polysorbat 80 per 4 ml injektionsflaska; 2,14 mg polysorbat 80 per 10 ml injektionsflaska; 2,6 mg polysorbat 80 per 12 ml injektionsflaska och 5,0 mg polysorbat 80 per 24 ml injektionsflaska. Polysorbater kan orsaka allergiska reaktioner.
Patientkort
Alla som förskriver OPDIVO måste vara insatta i förskrivarinformationen och behandlingsriktlinjerna avseende OPDIVO. Förskrivaren måste diskutera riskerna med OPDIVO-behandling med patienten. Patienten ska förses med ett patientkort vid varje förskrivningstillfälle.
Nivolumab är en human monoklonal antikropp och därför har farmakokinetiska interaktionsstudier inte utförts. Då monoklonala antikroppar inte metaboliseras av cytokrom P450(CYP)-enzymer eller andra läkemedelsmetaboliserande enzymer, förväntas inte samtidig administrering av läkemedel som inhiberar eller inducerar dessa enzymer påverka farmakokinetiken av nivolumab.
Andra former av interaktioner
Systemisk immunsuppression
Användningen av systemiska kortikosteroider och andra immunsuppressiva behandlingar vid start, innan behandling med nivolumab påbörjas, bör undvikas med anledning av dess möjliga påverkan på den farmakodynamiska aktiviteten. Systemiska kortikosteroider och andra immunsuppressiva behandlingar kan dock användas, efter att behandling med nivolumab har påbörjats, för behandling av immunrelaterade biverkningar. De preliminära resultaten visar att systemisk immunsuppression efter att behandling med nivolumab påbörjats inte verkar försämra effekten av nivolumab.
Graviditet
Det finns inga data från användningen av nivolumab hos gravida kvinnor. Djurstudier har visat embryofetala toxikologiska effekter (se avsnitt 5.3). Det är känt att humant IgG4 passerar placentabarriären och då nivolumab är en IgG4 kan nivolumab potentiellt överföras från modern till det växande fostret. Nivolumab rekommenderas inte under graviditet eller till fertila kvinnor som inte använder preventivmedel om inte den kliniska nyttan överväger den möjliga risken. Preventivmedel ska användas i minst 5 månader efter den sista dosen av nivolumab.
Amning
Det är okänt om nivolumab utsöndras i bröstmjölk. Eftersom många läkemedel, inklusive antikroppar, kan utsöndras i bröstmjölk kan en risk för nyfödda barn/spädbarn inte uteslutas. Ett beslut måste fattas om att avbryta amningen eller avbryta behandlingen med nivolumab, beroende på fördelen med amning för barnet och fördelen med behandling för kvinnan.
Fertilitet
Studier som utvärderar effekten av nivolumab på fertilitet har inte utförts. Därmed är effekten av nivolumab på manlig och kvinnlig fertilitet okänd.
Nivolumab eller nivolumab i kombination med ipilimumab eller andra läkemedel kan ha en mindre effekt på förmågan att framföra fordon och använda maskiner. På grund av risken för biverkningar som trötthet (se avsnitt 4.8) ska patienter rådas att vara försiktiga då de framför fordon eller använder maskiner tills de är säkra på att nivolumab inte har negativ inverkan på dem.
Nivolumab som monoterapi (se avsnitt 4.2)
Sammanfattning av säkerhetsprofilen
I den sammanslagna datan från alla tumörtyper med nivolumab som monoterapi (n = 4 646) med en minsta uppföljningstid på 2,3 till 28 månader, var de vanligast (≥ 10 %) förekommande biverkningarna trötthet (44 %), muskuloskeletal smärta (28 %), diarré (26 %), hudutslag (24 %), hosta (22 %), illamående (22 %), klåda (19 %), minskad aptit (17 %), artralgi (17 %), förstoppning (16 %), dyspné (16 %), buksmärta (15 %), övre luftvägsinfektion (15 %), feber (13 %), huvudvärk (13 %), anemi (13 %) och kräkningar (12 %). Majoriteten av biverkningarna var milda till måttliga (grad 1 eller 2). Incidensen av biverkningar av grad 3–5 var 44 %, varav 0,3 % var biverkningar med dödlig utgång som kunde tillskrivas studieläkemedlet. Vid en uppföljningstid på minst 63 månader inom icke‑småcellig lungcancer, sågs inga nya säkerhetssignaler.
Biverkningstabell
Biverkningar som rapporterats i den sammanslagna datan för patienter som behandlats med nivolumab som monoterapi (n = 4 646) presenteras i tabell 17. Biverkningarna är uppdelade efter organsystemklass och frekvens. Frekvenserna definieras som: mycket vanliga (≥ 1/10), vanliga (≥ 1/100, < 1/10), mindre vanliga (≥ 1/1 000, < 1/100), sällsynta (≥ 1/10 000, < 1/1 000), mycket sällsynta (< 1/10 000) och ingen känd frekvens (kan inte beräknas från tillgängliga data). Inom varje frekvensgrupp är biverkningarna presenterade efter fallande allvarlighetsgrad.
Biverkningsfrekvenser som anges i tabell 17 kan inte enbart tillskrivas nivolumab utan kan även ha samband med underliggande sjukdom.
a Fall med dödlig utgång har rapporterats i slutförda eller pågående kliniska studier.
b Frekvenserna av laboratoriefynden motsvarar andelen patienter som fick försämrade laboratorievärden jämfört med utgångsvärdet. Se “Beskrivning av utvalda biverkningar; Onormala laboratorievärden” nedan.
c Hudutslag är en sammansatt term som innefattar makulopapulöst, erytematöst, klådliknande, follikulärt, makulöst, morbilliformt, papulöst, pustulöst, vesikulärt och exfoliativt utslag, dermatit inklusive akneliknande, allergisk, atopisk, bullös, exfoliativ och psoriasiform dermatit, läkemedelsorsakat utslag samt pemfigoid.
d Även rapporterat i studier utanför den sammanslagna datan. Frekvensen är baserad på exponeringen i hela programmet.
e Muskuloskeletal smärta är en sammansatt term som innefattar ryggsmärta, skelettsmärta, muskuloskeletal bröstsmärta, muskuloskeletalt obehag, myalgi, interkostal myalgi, nacksmärta, smärta i extremiteter och spinal smärta.
f Biverkning som rapporterats efter godkännandet för försäljning (se även avsnitt 4.4).
g Rapporterat i kliniska studier och efter godkännandet för försäljning.
h Perikardiella rubbningar är en sammansatt term som innefattar perikardit, perikardiell utgjutning, hjärttamponad och Dresslers syndrom.
i Anemi är en sammansatt term som bland annat innefattar hemolytisk anemi och autoimmun anemi, minskat hemoglobinvärde, järnbristanemi och minskat antal röda blodkroppar.
j Inkluderar binjurebarksvikt, akut binjurebarksvikt och sekundär binjurebarksvikt.
k Inkluderar encefalit och limbisk encefalit.
l Ödem är en sammansatt term som inkluderar generaliserat ödem, perifert ödem, perifer svullnad och svullnad.
Nivolumab i kombination med andra läkemedel (se avsnitt 4.2)
Sammanfattning av säkerhetsprofilen
När nivolumab administreras i kombination med andra läkemedel, se produktresumén för dessa läkemedel för ytterligare information om säkerhetsprofilen innan behandlingen påbörjas.
Nivolumab i kombination med ipilimumab (med eller utan kemoterapi)
I den sammanslagna datan från patienter som behandlats med nivolumab i kombination med ipilimumab (med eller utan kemoterapi) vid olika tumörtyper (n = 2 626), med en minsta uppföljningstid i intervallet 6 till 47 månader, var de vanligast förekommande biverkningarna (≥ 10 %) trötthet (47 %), diarré (35 %), hudutslag (37 %), illamående (27 %), klåda (29 %), muskuloskeletal smärta (26 %), feber (23 %), minskad aptit (22 %), hosta (21 %), buksmärta (18 %), kräkningar (18 %), förstoppning (18 %), artralgi (18 %), dyspné (17 %), hypotyreos (16 %), huvudvärk (15 %), övre luftvägsinfektion (13 %), ödem (13 %) och yrsel (10 %). Incidensen av biverkningar av grad 3–5 var 66 % för nivolumab i kombination med ipilimumab (med eller utan kemoterapi), varav 1,0 % var biverkningar med dödlig utgång som kunde tillskrivas studieläkemedlet. Bland patienter som behandlats med nivolumab 1 mg/kg i kombination med ipilimumab 3 mg/kg för melanom rapporterades trötthet (62 %), hudutslag (57 %), diarré (52 %), illamående (42 %), klåda (40 %), feber (36 %) och huvudvärk (26 %) med en ≥ 10 % högre incidens än i den sammanslagna datan för nivolumab i kombination med ipilimumab (med eller utan kemoterapi). Bland patienter som behandlats med 360 mg nivolumab i kombination med ipilimumab 1 mg/kg och kemoterapi för icke-småcellig lungcancer rapporterades anemi (32 %) och neutropeni (15 %) med en ≥ 10 % högre incidens än i den sammanslagna datan för nivolumab i kombination med ipilimumab (med eller utan kemoterapi).
Nivolumab i kombination med kemoterapi
I den sammanslagna datan från patienter som behandlats med nivolumab 240 mg varannan vecka eller 360 mg var tredje vecka i kombination med kemoterapi vid olika tumörtyper (n = 1 800), med en minsta uppföljningstid i intervallet 7,4 till 23,6 månader eller efter 3 behandlingscykler av resektabel icke‑småcellig lungcancer, var de vanligast förekommande biverkningarna (≥ 10 %) illamående (48 %), trötthet (40 %), perifer neuropati (33 %), minskad aptit (31 %), förstoppning (31 %), diarré (28 %), kräkningar (24 %), hudutslag (19 %), buksmärta (18 %), stomatit (18 %), muskuloskeletal smärta (18 %), feber (16 %), hosta (13 %), ödem (inklusive perifert ödem) (12 %) och klåda (11 %). Incidensen av biverkningar av grad 3–5 var 69 % för nivolumab i kombination med kemoterapi, varav 1,2 % var biverkningar med dödlig utgång som kunde tillskrivas nivolumab i kombination med kemoterapi. Mediantiden för behandling var 6,14 månader (95 % KI: 5,78, 6,60) för nivolumab i kombination med kemoterapi. Vid resektabel icke‑småcellig lungcancer erhöll 93 % av patienterna 3 cykler med nivolumab i kombination med kemoterapi.
Nivolumab i kombination med kabozantinib
Enligt data från patienter som behandlats med nivolumab 240 mg varannan vecka i kombination med kabozantinib 40 mg en gång dagligen vid njurcellscancer (n =320), med en minsta uppföljningstid på 16,0 månader, var de vanligaste biverkningarna (≥ 10 %) diarré (64,7 %), trötthet (51,3 %), palmar‑plantar erytrodysestesi (40,0 %), stomatit (38,8 %), muskuloskeletal smärta (37,5 %), hypertoni (37,2 %), hudutslag (36,3 %), hypotyreos (35,6 %), minskad aptit (30,3 %), illamående (28,8 %), buksmärta (25,0 %), dysgeusi (23,8 %), övre luftvägsinfektion (20,6 %), hosta (20,6 %), klåda (20,6 %), artralgi (19,4 %), kräkningar (18,4 %), dysfoni (17,8 %), huvudvärk (16,3 %), dyspepsi (15,9 %), yrsel (14,1 %), förstoppning (14,1 %), pyrexi (14,1 %), ödem (13,4 %), muskelspasmer (12,2 %), dyspné (11,6 %), proteinuri (10,9 %) och hypertyreos (10,0 %). Incidensen av biverkningar av grad 3–5 var 78 %, varav 0,3 % var biverkningar med dödlig utgång som kunde tillskrivas studieläkemedlet.
Nivolumab i kombination med brentuximab vedotin
I datauppsättningen för 3 mg/kg nivolumab var tredje vecka i kombination med 1,8 mg/kg brentuximab vedotin var tredje vecka hos alla behandlade patienter med recidiverande eller refraktärt klassiskt Hodgkins lymfom (n = 72), med en minsta uppföljningstid på 40,7 månader, var de vanligaste biverkningarna (≥ 10 %) illamående (50,0 %), hudutslag (29,2 %), feber (26,4 %), huvudvärk (25,0 %), diarré (25,0 %), muskuloskeletal smärta (25,0 %), buksmärta (22,2 %), överkänslighet (20,8 %), infusionsrelaterad reaktion (18,1 %), kräkningar (18,1 %), utmattning (18,1 %), förhöjda transaminaser (13,9 %) och förstoppning (11,1 %). Incidensen av biverkningar av grad 3–5 var 36,1 %. Inga dödliga läkemedelsrelaterade biverkningar rapporterades.
Biverkningstabell
Biverkningar som rapporterats i den sammanslagna datan för patienter som behandlats med nivolumab i kombination med ipilimumab (med eller utan kemoterapi) (n = 2 626), nivolumab i kombination med kemoterapi (n = 1 800) och nivolumab i kombination med kabozantinib (n = 320) presenteras i tabell 18. Biverkningarna är uppdelade efter organsystemklass och frekvens. Frekvenserna definieras som: mycket vanliga (≥ 1/10), vanliga (≥ 1/100, < 1/10), mindre vanliga (≥ 1/1 000, < 1/100), sällsynta (≥ 1/10 000, < 1/1 000) och ingen känd frekvens (kan inte beräknas från tillgängliga data). Inom varje frekvensgrupp är biverkningarna presenterade efter fallande allvarlighetsgrad.
Tabell 18: Biverkningar med nivolumab i kombination med andra läkemedel
Biverkningsfrekvenser som anges i tabell 18 kan inte enbart tillskrivas nivolumab ensamt eller i kombination med andra läkemedel utan kan även ha samband med underliggande sjukdom eller andra läkemedel som används samtidigt.
a Fall med dödlig utgång har rapporterats i slutförda eller pågående kliniska studier.
b Frekvenserna av laboratoriefynden motsvarar andelen patienter som fick försämrade laboratorievärden jämfört med utgångsvärdet. Se ”Beskrivning av utvalda biverkningar; Onormala laboratorievärden” nedan.
c Hudutslag är en sammansatt term som innefattar makulopapulöst, erytematöst, klådliknande, follikulärt, makulöst, morbilliformt, papulöst, pustulöst, papuloskvamöst, vesikulärt och generaliserat utslag, exfoliativt utslag, dermatit inklusive akneliknande, allergisk, atopisk, bullös, exfoliativ och psoriasiform dermatit, läkemedelsorsakat utslag, nodulärt utslag samt pemfigoid.
d Lichensjukdomar är en sammansatt term som innefattar lichenoid keratos och lichen planus.
e Även rapporterat i studier utanför den sammanslagna datan. Frekvensen är baserad på exponeringen i hela programmet.
f Muskuloskeletal smärta är en sammansatt term som innefattar ryggsmärta, skelettsmärta, muskuloskeletal bröstsmärta, muskuloskeletalt obehag, myalgi, interkostal myalgi, nacksmärta, smärta i extremiteter och spinal smärta.
g Biverkning som rapporterats efter godkännandet för försäljning (se även avsnitt 4.4).
h Rapporterat i kliniska studier och efter godkännandet för försäljning.
i Perikardiella rubbningar är en sammansatt term som innefattar perikardit, perikardiell utgjutning, hjärttamponad och Dresslers syndrom.
j Anemi är en sammansatt term som bland annat innefattar hemolytisk anemi och autoimmun anemi, minskat hemoglobinvärde, järnbristanemi och minskat antal röda blodkroppar.
k Trombos är en sammansatt term som innefattar portavenstrombos, lungvenstrombos, lungtrombos, aortatrombos, arteriell trombos, djup ventrombos, bäckenvenstrombos, trombos i vena cava, ventrombos, ventrombos i armar och ben.
Biverkningar som har rapporterats för patienter som behandlats med nivolumab i kombination med brentuximab vedotin (n = 72) presenteras i tabell 19. Biverkningarna är uppdelade efter organsystemklass och frekvens. Frekvenserna definieras som mycket vanliga (≥ 1/10) och vanliga (≥ 1/100, < 1/10).
Beskrivning av utvalda biverkningar
Nivolumab ensamt eller i kombination med andra läkemedel är associerat med immunrelaterade biverkningar. Med lämplig medicinsk behandling upphörde de immunrelaterade biverkningarna i de flesta fall. Permanent utsättning av behandlingen krävdes i allmänhet för en större andel av patienterna som fick nivolumab i kombination med andra läkemedel än för de som fick nivolumab som monoterapi. Tabell 20 visar andelen patienter med immunrelaterade biverkningar där behandling sattes ut permanent utifrån doseringsregim. För de patienter som upplevde en biverkning visar tabell 20 även andelen patienter med biverkningar som krävde högdosbehandling med kortikosteroider (motsvarande minst 40 mg prednison dagligen) utifrån doseringsregim. Riktlinjer hur dessa biverkningar ska hanteras beskrivs i avsnitt 4.4.
Tabell 20: Immunrelaterade biverkningar som ledde till permanent utsättning eller krävde högdosbehandling med kortikosteroider uppdelat per doseringsregim (nivolumab som monoterapi, nivolumab i kombination med ipilimumab (med eller utan kemoterapi), nivolumab i kombination med kemoterapi eller nivolumab i kombination med kabozantinib)
a Motsvarande minst 40 mg prednison dagligen
b Frekvensen baseras på antalet patienter som upplevt den immunrelaterade biverkningen.
Immunrelaterad pneumonit
Hos patienter som behandlades med nivolumab som monoterapi var incidensen av pneumonit, inklusive interstitiell lungsjukdom och lunginfiltration, 3,3 % (155/4 646). Majoriteten av fallen var av grad 1 eller 2 i allvarlighetsgrad och rapporterades hos 0,9 % (42/4 646) respektive 1,7 % (77/4 646) av patienterna. Fall av grad 3 och 4 rapporterades hos 0,7 % (33/4 646) respektive < 0,1 % (1/4 646) av patienterna. För sex av patienterna (0,1 %) var utgången dödlig. Mediantiden till debut var 15,1 veckor (intervall: 0,7‑85,1). Hos 107 patienter (69,0 %) upphörde biverkningarna efter 6,7 veckor (medianvärde; intervall: 0,1+–109,1+), + anger att observation är censurerad).
Hos patienter som behandlades med nivolumab i kombination med ipilimumab (med eller utan kemoterapi) var incidensen av pneumonit, inklusive interstitiell lungsjukdom, 6,0 % (157/2 626). Fall av grad 2, grad 3 och grad 4 rapporterades hos 3,0 % (78/2 626), 1,0 % (27/2 626) respektive 0,3 % (8/2 626) av patienterna. För fyra av patienterna (0,2 %) var utgången dödlig. Mediantiden till debut var 2,7 månader (intervall: 0,1–56,8). Biverkningarna upphörde hos 129 patienter (82,2 %) efter 6,1 veckor (medianvärde; intervall: 0,1+–149,3+).
Hos patienter som behandlades med nivolumab i kombination med kemoterapi var incidensen av pneumonit, inklusive interstitiell lungsjukdom, 4,4 % (80/1 800). Fall av grad 2, grad 3 och grad 4 rapporterades hos 2,2 % (40/1 800), 0,9 % (17/1 800) respektive 0,2 % (3/1 800) av patienterna. För tre av patienterna (0,2 %) var utgången dödlig. Mediantiden till debut var 24,6 veckor (intervall: 0,6–96,9). Hos 58 patienter (72,5 %) upphörde biverkningarna efter 10,4 veckor (medianvärde; intervall: 0,3+–171,4+).
Hos patienter som behandlades med nivolumab i kombination med kabozantinib var incidensen av pneumonit, inklusive interstitiell lungsjukdom, 5,6 % (18/320). Fall av grad 2 och grad 3 rapporterades hos 1,9 % (6/320) respektive 1,6 % (5/320) av patienterna. Mediantiden till debut var 26,9 veckor (intervall: 12,3–74,3 veckor). Hos 14 patienter (77,8 %) upphörde biverkningarna efter 7,5 veckor (medianvärde; intervall: 2,1–60,7+ veckor).
Immunrelaterad kolit
Hos patienter som behandlades med nivolumab som monoterapi var incidensen av diarré, kolit eller ökad avföringsfrekvens 15,4 % (716/4 646). Majoriteten av fallen var av grad 1 eller 2 i allvarlighetsgrad och rapporterades hos 9,9 % (462/4 646) respektive 4,0 % (186/4 646) av patienterna. Fall av grad 3 och 4 rapporterades hos 1,4 % (67/4 646) respektive < 0,1 % (1/4 646) av patienterna. Mediantiden till debut var 8,3 veckor (intervall: 0,1–115,6). Hos 639 patienter (90,3 %) upphörde biverkningarna efter 2,9 veckor (medianvärde; intervall: 0,1–124,4+).
Hos patienter som behandlades med nivolumab i kombination med ipilimumab (med eller utan kemoterapi) var incidensen av diarré eller kolit 26,0 % (682/2 626). Fall av grad 2, grad 3 och grad 4 rapporterades hos 8,1 % (212/2 626), 6,4 % (167/2 626) respektive 0,2 % (4/2 626) av patienterna. För två patienter (< 0,1 %) var utgången dödlig. Mediantiden till debut var 1,4 månader (intervall: 0,0–48,9). Biverkningarna upphörde hos 618 patienter (91 %) efter 2,9 veckor (medianvärde; intervall: 0,1–170,0+). Bland patienter som behandlades med 1 mg/kg nivolumab i kombination med 3 mg/kg ipilimumab för melanom var incidensen av diarré eller kolit 46,7 %, inklusive grad 2 (13,6 %), grad 3 (15,8 %) och grad 4 (0,4 %).
Hos patienter som behandlades med nivolumab i kombination med kemoterapi var incidensen av diarré eller kolit 22,5 % (405/1 800). Fall av grad 2, grad 3 och grad 4 rapporterades hos 7,2 % (130/1 800), 3,1 % (56/1 800) respektive 0,3 % (6/1 800) av patienterna. För en patient (< 0,1 %) var utgången dödlig. Mediantiden till debut var 4,4 veckor (intervall: 0,1–93,6). Hos 357 patienter (88,6 %) upphörde biverkningarna efter 1,6 veckor (medianvärde; intervall: 0,1–212,3+).
Hos patienter som behandlades med nivolumab i kombination med kabozantinib var incidensen av diarré, kolit, ökad avföringsfrekvens eller enterit 59,1 % (189/320). Fall av grad 2 och grad 3 rapporterades hos 25,6 % (82/320) respektive 6,3 % (20/320) av patienterna. Grad 4 rapporterades hos 0,6 % (2/320). Mediantiden till debut var 12,9 veckor (intervall: 0,3–110,9 veckor). Hos 143 patienter (76,1 %) upphörde biverkningarna efter 12,9 veckor (medianvärde; intervall: 0,1–139,7+ veckor).
Immunrelaterad hepatit
Hos patienter som behandlades med nivolumab som monoterapi var incidensen av onormala leverfunktionsvärden 8,0 % (371/4 646). Majoriteten av fallen var av grad 1 eller 2 i allvarlighetsgrad och rapporterades hos 4,3 % (200/4 646) respektive 1,8 % (82/4 646) av patienterna. Fall av grad 3 och 4 rapporterades hos 1,6 % (74/4 646) respektive 0,3 % (15/4 646) av patienterna. Mediantiden till debut var 10,6 veckor (intervall: 0,1–132,0). Hos 298 patienter (81,4 %) upphörde biverkningarna efter 6,1 veckor (medianvärde; intervall: 0,1–126,4+).
Hos patienter som behandlades med nivolumab i kombination med ipilimumab (med eller utan kemoterapi) var incidensen av onormala leverfunktionsvärden 21,2 % (556/2 626). Fall av grad 2, grad 3 och grad 4 rapporterades hos 5,0 % (132/2 626), 8,3 % (218/2 626) respektive 1,3 % (34/2 626) av patienterna. För sju patienter (0,3 %) var utgången dödlig. Mediantiden till debut var 1,5 månader (intervall: 0,0–36,6). Biverkningarna upphörde hos 482 patienter (87,0 %) efter 5,9 veckor (medianvärde; intervall: 0,1–175,9+). Bland patienter som behandlades med nivolumab 1 mg/kg i kombination med ipilimumab 3 mg/kg för melanom var incidensen av onormala leverfunktionsvärden 30,1 %, inklusive grad 2 (6,9 %), grad 3 (15,8 %) och grad 4 (1,8 %). Bland patienter som behandlades med nivolumab 1 mg/kg i kombination med ipilimumab 3 mg/kg för hepatocellulärt karcinom var incidensen av onormala leverfunktionsvärden 34,3 % innefattat grad 2 (8,4 %), grad 3 (14,2 %) och grad 4 (2,7 %).
Hos patienter som behandlades med nivolumab i kombination med kemoterapi var incidensen av onormala leverfunktionsvärden 18 % (322/1 800). Fall av grad 2, grad 3 och grad 4 rapporterades hos 5,1 % (92/1 800), 2,6 % (47/1 800) respektive < 0,1 % (1/1 800) av patienterna. Mediantiden till debut var 7,0 veckor (intervall: 0,1–99,0). Hos 258 patienter (81,1 %) upphörde biverkningarna efter 7,4 veckor (medianvärde; intervall: 0,4–240,0+).
Hos patienter som behandlades med nivolumab i kombination med kabozantinib var incidensen av onormala leverfunktionsvärden 41,6 % (133/320). Fall av grad 2, grad 3 och grad 4 rapporterades hos 14,7 % (47/320), 10,3 % (33/320) respektive 0,6 % (2/320) av patienterna. Mediantiden till debut var 8,3 veckor (intervall: 0,1–107,9 veckor). Hos 101 patienter (75,9 %) upphörde biverkningarna efter 9,6 veckor (medianvärde; intervall: 0,1–89,3+ veckor).
Immunrelaterad nefrit och nedsatt njurfunktion
Hos patienter som behandlades med nivolumab som monoterapi var incidensen av nefrit eller nedsatt njurfunktion 2,6 % (121/4 646). Majoriteten av fallen var av grad 1 eller 2 i allvarlighetsgrad och rapporterades hos 1,5 % (69/4 646) respektive 0,7 % (32/4 646) av patienterna. Fall av grad 3 och 4 rapporterades hos 0,4 % (18/4 646) respektive < 0,1 % (2/4 646) av patienterna. Mediantiden till debut var 12,1 veckor (intervall: 0,1–79,1). Hos 80 patienter (69,0 %) upphörde biverkningarna efter 8,0 veckor (medianvärde; intervall: 0,3–79,1+).
Hos patienter som behandlades med nivolumab i kombination med ipilimumab (med eller utan kemoterapi) var incidensen av nefrit eller nedsatt njurfunktion 5,4 % (141/2 626). Fall av grad 2, grad 3 och grad 4 rapporterades hos 2,0 % (52/2 626), 0,8 % (21/2 626) respektive 0,4 % (11/2 626) av patienterna. För två av patienterna (< 0,1 %) var utgången dödlig. Mediantiden till debut var 2,6 månader (intervall: 0,0–34,8). Biverkningarna upphörde hos 110 patienter (78,0 %) efter 5,9 veckor (medianvärde; intervall: 0,1–172,1+).
Hos patienter som behandlades med nivolumab i kombination med kemoterapi var incidensen av nefrit eller nedsatt njurfunktion 10,9 % (196/1 800). Fall av grad 2, grad 3 och grad 4 rapporterades hos 3,7 % (66/1 800), 1,4 % (25/1 800) respektive 0,2 % (3/1 800) av patienterna. För två patienter (0,1 %) var utgången dödlig. Mediantid till debut var 6,7 veckor (intervall: 0,1–60,7). Hos 133 patienter (67,9 %) upphörde biverkningarna efter 9,1 veckor (medianvärde; intervall: 0,1–226,0+).
Hos patienter som behandlades med nivolumab i kombination med kabozantinib var incidensen av nefrit, immunmedierad nefrit, njursvikt, akut njurskada, ökat blodkreatinin eller ökat blodurea 10,0 % (32/320). Fall av grad 2 och grad 3 rapporterades hos 3,4 % (11/320) respektive 1,3 % (4/320) av patienterna. Mediantid till debut var 14,2 veckor (intervall: 2,1–87,1 veckor). Hos 18 patienter (58,1 %) upphörde biverkningarna efter 10,1 veckor (medianvärde; intervall: 0,6–90,9+ veckor).
Immunrelaterad endokrinopati
Hos patienter som behandlades med nivolumab som monoterapi var incidensen av sköldkörtelrubbning, inklusive hypotyreos eller hypertyreos, 13,0 % (603/4 646). Majoriteten av fallen var av grad 1 eller 2 i allvarlighetsgrad och rapporterades hos 6,6 % (305/4 646) respektive 6,2 % (290/4 646) av patienterna. Sköldkörtelrubbning av grad 3 rapporterades hos 0,2 % (8/4 646) av patienterna. Hypofysit (3 grad 1, 7 grad 2, 9 grad 3, och 1 grad 4), hypopituitarism (6 grad 2 och 1 grad 3), binjurebarksvikt (inklusive sekundär binjurebarksvikt, akut binjurebarksvikt och minskat kortikotropin i blodet) (2 grad 1, 23 grad 2 och 11 grad 3), diabetes mellitus (inklusive diabetes mellitus typ 1 och diabetisk ketoacidos) (1 grad 1, 3 grad 2, 8 grad 3 och 2 grad 4) rapporterades. Mediantiden till debut av dessa endokrinopatier var 11,1 veckor (intervall: 0,1–126,7). Biverkningarna upphörde hos 323 patienter (48,7 %). Mediantiden till att biverkningarna upphörde var 48,6 veckor (intervall: 0,4–204,4+).
Hos patienter som behandlades med nivolumab i kombination med ipilimumab (med eller utan kemoterapi) var incidensen av sköldkörtelrubbning 23,2 % (608/2 626). Sköldkörtelrubbning av grad 2 och grad 3 rapporterades hos 12,7 % (333/2 626) respektive 1,0 % (27/2 626) av patienterna. Hypofysit (inklusive lymfocytisk hypofysit) av grad 2 och grad 3 inträffade hos 1,9 % (49/2 626) respektive 1,5 % (40/2 626) av patienterna. Hypopituitarism av grad 2 och grad 3 inträffade hos 0,6 % (16/2 626) respektive 0,5 % (13/2 626) av patienterna. Binjuresvikt (inklusive sekundär binjurebarksvikt, akut binjurebarksvikt, minskat kortikotropin i blodet och immunmedierad binjurebarksvikt) av grad 2, grad 3 och grad 4 inträffade hos 2,7 % (72/2 626), 1,6 % (43/2 626), respektive 0,2 % (4/2 626) av patienterna. Diabetes mellitus (inklusive diabetes mellitus typ 1 och diabetisk ketoacidos) av grad 1, grad 2, grad 3 och grad 4 inträffade hos < 0,1 % (1/2 626), 0,3 % (8/2 626), 0,3 % (7/2 626) respektive 0,2 % (6/2 626) av patienterna. Mediantid till debut för dessa endokrinopatier var 2,1 månader (intervall: 0,0–28,1). Biverkningarna upphörde hos 297 patienter (40,0 %). Tiden till att biverkningarna upphörde varierade mellan 0,3 och 257,1+ veckor.
Hos patienter som behandlades med nivolumab i kombination med kemoterapi var incidensen av sköldkörtelrubbning 12,8 % (230/1 800). Sköldkörtelrubbning av grad 2 och grad 3 rapporterades hos 6,3 % (114/1 800) respektive 0,1 % (2/1 800) av patienterna. Hypofysit av grad 3 inträffade hos 0,1 % (2/1 800) av patienterna. Hypopituitarism av grad 2 och grad 3 inträffade hos vardera 0,2 % (4/1 800) av patienterna. Binjurebarksvikt av grad 2, grad 3 och grad 4 inträffade hos 0,6 % 11/1 800), 0,2 % (3/1 800) respektive < 0,1 % (1/1 800) av patienterna. För en patient (< 0,1 %) var utgången dödlig på grund av binjurebarksvikt. Diabetes mellitus inklusive diabetes mellitus typ I och fulminant diabetes mellitus typ I (4 grad 2, 2 grad 3 och 1 grad 4) och diabetisk ketoacidos (1 grad 2 och 1 grad 4) rapporterades. Mediantid till debut för dessa endokrinopatier var 15,3 veckor (intervall: 1,1–124,3). Biverkningarna upphörde hos 101 patienter (40,1 %). Tiden till att biverkningarna upphörde varierade mellan 0,3+ och 233,6+ veckor.
Hos patienter som behandlades med nivolumab i kombination med kabozantinib var incidensen av sköldkörtelrubbning 43,1 % (138/320). Sköldkörtelrubbning av grad 2 och grad 3 rapporterades hos 23,1 % (74/320) respektive 0,9 % (3/320) av patienterna. Hypofysit inträffade hos 0,6 % (2/320) av patienterna, samtliga av grad 2. Binjurebarksvikt (inklusive sekundär binjurebarksvikt) inträffade hos 4,7 % (15/320) av patienterna. Fall av grad 2 och grad 3 av binnjurebarksvikt rapporterades hos 2,2 % (7/320) respektive 1,9 % (6/320) av patienterna. Mediantid till debut av dessa endokrinopatier var 12,3 veckor (intervall: 2,0–89,7 veckor). Biverkningarna upphörde hos 50 patienter (35,2 %). Tiden till att biverkningarna upphörde varierade mellan 0,9 och 132,0+ veckor.
Immunrelaterade hudbiverkningar
Hos patienter som behandlades med nivolumab som monoterapi var incidensen av hudutslag 30,0 % (1 396/4 646). Majoriteten av fallen var av grad 1 i allvarlighetsgrad och rapporterades hos 22,8 % (1 060/4 646) av patienterna. Fall av grad 2 och 3 rapporterades hos 5,9 % (274/4 646) respektive 1,3 % (62/4 646) av patienterna. Mediantiden till debut var 6,7 veckor (intervall: 0,1–121,1). Biverkningarna upphörde hos 896 patienter (64,6 %) efter 20,1 veckor (medianvärde; intervall: 0,1–192,7+).
Hos patienter som behandlades med nivolumab i kombination med ipilimumab (med eller utan kemoterapi) var incidensen av hudutslag 46,1 % (1 210/2 626). Fall av grad 2, grad 3 och grad 4 rapporterades hos 14,3 % (375/2 626), 4,6 % (120/2 626) respektive 0,1 % (3/2 626) av patienterna. Mediantiden till debut var 0,7 månader (intervall: 0,0–33,8). Biverkningarna upphörde hos 843 patienter (70 %) efter 12,1 veckor (medianvärde; intervall: 0,1–268,7+). Bland patienter som behandlades med nivolumab 1 mg/kg i kombination med ipilimumab 3 mg/kg för melanom var incidensen av hudutslag 65,2 %, inklusive grad 2 (20,3 %) och grad 3 (7,8 %).
Hos patienter som behandlades med nivolumab i kombination med kemoterapi var incidensen av hudutslag 25,4 % (457/1 800). Fall av grad 2 och grad 3 rapporterades hos 6,2 % (111/1 800) respektive 2,3 % (42/1 800) av patienterna. Mediantid till debut var 6,4 veckor (intervall: 0,1–97,4). Biverkningarna upphörde hos 320 patienter (70,2 %) efter 12,1 veckor (medianvärde; intervall: 0,1–258,7+).
Hos patienter som behandlades med nivolumab i kombination med kabozantinib var incidensen av hudutslag 62,8 % (201/320). Fall av grad 2 och grad 3 rapporterades hos 23,1 % (74/320) respektive 10,6 % (34/320) av patienterna. Mediantid till debut var 6,14 veckor (intervall: 0,1–104,4 veckor). Biverkningarna upphörde hos 137 patienter (68,2 %) efter 18,1 veckor (medianvärde; intervall: 0,1–130,6+).
Sällsynta fall av SJS och TEN, inklusive fatala fall, har observerats (se avsnitt 4.2 och 4.4).
Infusionsreaktioner
Hos patienter som behandlades med nivolumab som monoterapi var incidensen av överkänslighets-/infusionsreaktioner 4,0 % (188/4 646) inklusive 9 fall av grad 3 och 3 fall av grad 4.
Hos patienter som behandlades med nivolumab i kombination med ipilimumab (med eller utan kemoterapi) var incidensen av överkänslighets‑/infusionsreaktioner 4,5 % (118/2 626). Fall av grad 1, grad 2, grad 3 och grad 4 rapporterades hos 1,9 % (49/2 626), 2,4 % (62/2 626), 0,2 % (6/2 626) respektive < 0,1 % (1/2 626) av patienterna. Bland patienter med malignt pleuramesoteliom som behandlades med nivolumab 3 mg/kg i kombination med ipilimumab 1 mg/kg var incidensen av överkänslighets‑/infusionsreaktioner 12 %.
Hos patienter som behandlades med nivolumab i kombination med kemoterapi var incidensen av överkänslighets‑/infusionsreaktioner 8,2 % (148/1 800). Fall av grad 2, grad 3 och grad 4 rapporterades hos 4,6 % (83/1 800), 1,1 % (20/1 800) respektive 0,2 % (3/1 800) av patienterna.
Hos patienter som behandlades med nivolumab i kombination med kabozantinib var incidensen av överkänslighets-/infusionsreaktioner 2,5 % (8/320). Allvarlighetsgraden var 1 eller 2 för samtliga 8 patienter. Fall av grad 2 rapporterades hos 0,3 % (1/320) av patienterna.
Komplikationer med allogen hematopoetisk stamcellstransplantation vid klassiskt Hodgkins lymfom
Snabb utveckling av GVHD har rapporterats vid användning av nivolumab före och efter allogen hematopoetisk stamcellstransplantation (se avsnitt 4.4).
Av 62 utvärderade patienter, från två studier vid klassiskt Hodgkins lymfom, som utvärderade behandlingen av vuxna patienter med recidiverande eller refraktärt klassiskt Hodgkins lymfom efter autolog stamcellstransplantation och som genomgick allogen hematopoetisk stamcellstransplantation efter avslutad monoterapi med nivolumab, rapporterades akut GVHD av grad 3 eller 4 hos 17 av de 62 patienterna (27,4 %). Hyperakut GVHD, definierad som akut GVHD som uppträder inom 14 dagar efter stamcellsinfusionen, rapporterades hos fyra patienter (6 %). Steroidkrävande feber, utan identifierad infektionsorsak, rapporterades för sex patienter (12 %) inom de första 6 veckorna efter transplantationen. Steroider användes hos fyra patienter och tre patienter svarade på steroidbehandlingen. Venös ocklusiv leversjukdom uppträdde hos två patienter, varav en dog av GVHD och multiorgansvikt. Nitton av 62 patienter (30,6 %) dog till följd av komplikationer av allogen hematopoetisk stamcellstransplantation efter nivolumab-behandling. För de 62 patienterna var mediantiden för uppföljning efter allogen hematopoetisk stamcellstransplantation 38,5 månader (intervall: 0-68 månader).
Förhöjda värden av leverenzym när nivolumab kombineras med kabozantinib vid njurcellscancer
I en klinisk studie med behandlingsnaiva patienter med njurcellscancer som fick nivolumab i kombination med kabozantinib observerades en högre incidens av ökat ALAT (10,1 %) och ASAT (8,2 %) av grad 3 och 4 jämfört med nivolumab monoterapi hos patienter med avancerad njurcellscancer. Hos patienter med ökat ALAT eller ASAT av grad ≥2 (n = 85): mediantid till debut var 10,1 veckor (intervall: 2,0–106,6 veckor), 26 % fick kortikosteroider under en mediantid på 1,4 veckor (intervall: 0,9–75,3 veckor), och biverkningarna av grad 0–1 upphörde hos 91 % efter 2,3 veckor (medianvärde; intervall: 0,4–108,1+). Bland de 45 patienter med ökat ALAT eller ASAT av grad ≥2 som återinsattes på antingen nivolumab (n=10) eller kabozantinib (n=10) administrerat som enskilt läkemedel eller båda (n=25), observerades återfall till ökat ALAT eller ASAT av grad ≥2 hos tre patienter som fick OPDIVO, fyra patienter som fick kabozantinib, och åtta patienter som fick både OPDIVO och kabozantinib.
Onormala laboratorievärden
Hos patienter som behandlades med nivolumab som monoterapi var andelen patienter som fick en förändring från ursprungsnivån till onormala laboratorievärden av grad 3 eller 4 följande: 3,4 % för anemi (alla grad 3), 0,7 % för trombocytopeni, 0,7 % för leukopeni, 8,7 % för lymfocytopeni, 0,9 % för neutropeni, 1,7 % för ökat alkaliskt fosfatas, 2,6 % för ökat ASAT, 2,3 % för ökat ALAT, 0,8 % för ökat totalbilirubin, 0,7 % för ökat kreatinin, 2,0 % för hyperglykemi, 0,7 % för hypoglykemi, 3,8 % för ökat amylas, 6,9 % för ökat lipas, 4,7 % för hyponatremi, 1,6 % för hyperkalemi, 1,3 % för hypokalemi, 1,1 % för hyperkalcemi, 0,6 % hypermagnesemi, 0,4 % för hypomagnesemi, 0,6 % för hypokalcemi, 0,6 % för hypoalbuminemi och < 0,1 % för hypernatremi.
Hos patienter som behandlades med nivolumab i kombination med ipilimumab (med eller utan kemoterapi) var andelen patienter som fick en försämring från ursprungsnivån till onormala laboratorievärden av grad 3 eller grad 4 följande: 4,8 % för anemi, 1,8 % för trombocytopeni, 2,2 % för leukopeni, 6,9 % för lymfopeni, 3,3 % för neutropeni, 2,7 % för ökat alkaliskt fosfatas, 9,8 % för ökat ASAT, 9,3 % för ökat ALAT, 2,3 % för ökat totalbilirubin 1,8 % för ökat kreatinin,1,4 % för hypoalbuminemi, 7,1 % för hyperglykemi, 0,7 % för hypoglykemi, 7,8 % för ökat amylas, 16,3 % för ökat lipas, 0,8 % för hypokalcemi, 0,2 % för hypernatremi, 0,8 % för hyperkalcemi, 2,0 % för hyperkalemi, 0,8 % för hypermagnesemi, 0,4 % för hypomagnesemi, 3,0 % för hypokalemi och 8,7 % för hyponatremi.
Bland patienter som behandlades med nivolumab 1 mg/kg i kombination med ipilimumab 3 mg/kg för melanom förvärrades biverkningen ökat ALAT till grad 3 eller grad 4 från ursprungsnivån för en högre andel patienter (15,3 %).
Hos patienter som behandlades med nivolumab i kombination med kemoterapi var andelen patienter som fick en försämring från ursprungsnivån till onormala laboratorievärden av grad 3 eller 4 följande: 14,7 % för anemi, 6,2 % för trombocytopeni, 11,7 % för leukopeni, 13,6 % för lymfopeni, 26,3 % för neutropeni, 2,0 % för ökat alkaliskt fosfatas, 3,3 % för ökat ASAT, 2,6 % för ökat ALAT, 1,9 % för ökat bilirubin, 1,3 % för ökat kreatinin, 4,5 % för ökat amylas, 5,2 % för ökat lipas, 0,4 % för hypernatremi, 8,1 % för hyponatremi, 1,8 % för hyperkalemi, 5,1 % för hypokalemi, 0,7 % för hyperkalcemi, 1,8 % för hypokalcemi, 1,5 % för hypermagnesemi, 2,9 % för hypomagnesemi, 3,7 % för hyperglykemi och 0,6 % för hypoglykemi.
Hos patienter som behandlades med nivolumab i kombination med kabozantinib var andelen patienter som fick en försämring från ursprungsnivån till onormala laboratorievärden av grad 3 eller 4 följande: 3,5 % för anemi (samtliga grad 3), 0,3 % för trombocytopeni, 0,3 % för leukopeni, 7,5 % för lymfopeni, 3,5 % för neutropeni, 3,2 % för ökat alkaliskt fosfatas, 8,2 % för ökat ASAT, 10,1 % för ökat ALAT, 1,3 % för ökat totalbilirubin, 1,3 % för ökat kreatinin, 11,9 % för ökat amylas, 15,6 % för ökat lipas, 3,5 % för hyperglykemi, 0,8 % för hypoglykemi, 2,2 % för hypokalcemi, 0,3 % för hyperkalcemi, 5,4 % för hyperkalemi, 4,2 % för hypermagnesemi, 1,9 % för hypomagnesemi, 3,2 % för hypokalemi, 12,3 % för hyponatremi och 21,2 % för hypofosfatemi.
Immunogenicitet
Av de 3 529 patienter som behandlades med nivolumab som monoterapi 3 mg/kg eller 240 mg varannan vecka och som var möjliga att utvärdera för närvaro av antikroppar mot läkemedlet, uppvisade 328 patienter (9,3 %) positiva svar för behandlingsrelaterade antikroppar mot läkemedlet och 21 patienter (0,6 %) uppvisade positiva svar för neutraliserande antikroppar.
Samtidig administrering med kemoterapi påverkade inte immunogeniciteten av nivolumab. Av de 1 407 patienter som behandlades med nivolumab 240 mg varannan vecka eller 360 mg var tredje vecka i kombination med kemoterapi och som var möjliga att utvärdera för närvaro av antikroppar mot läkemedlet, uppvisade 7,2 % positiva svar för behandlingsrelaterade antikroppar mot läkemedlet och 0,5 % uppvisade positiva svar för neutraliserande antikroppar.
Av de patienter som behandlades med nivolumab i kombination med ipilimumab och som var möjliga att utvärdera för närvaro av antikroppar mot nivolumab, var incidensen av antikroppar mot nivolumab 26,0 % för nivolumab 3 mg/kg och ipilimumab 1 mg/kg var 3:e vecka, 24,9 % för nivolumab 3 mg/kg varannan vecka och ipilimumab 1 mg/kg var 6:e vecka och 37,8 % för nivolumab 1 mg/kg och ipilimumab 3 mg/kg var 3:e vecka. Incidensen av neutraliserande antikroppar mot nivolumab var 0,8 % för nivolumab 3 mg/kg och ipilimumab 1 mg/kg var 3:e vecka, 1,5 % för nivolumab 3 mg/kg varannan vecka och ipilimumab 1 mg/kg var 6:e vecka och 4,6 % för nivolumab 1 mg/kg och ipilimumab 3 mg/kg var 3:e vecka. Av de patienter som var möjliga att utvärdera för närvaro av antikroppar mot ipilimumab, varierade incidensen av antikroppar mot ipilimumab från 6,3 % till 13,7 % och neutraliserande antikroppar mot ipilimumab från 0 till 0,4 %.
Hos patienter som behandlats med nivolumab i kombination med ipilimumab och kemoterapi och som var möjliga att utvärdera för närvaro av antikroppar eller neutraliserande antikroppar mot nivolumab, var incidensen av antikroppar mot nivolumab 33,8 % och incidensen av neutraliserade antikroppar mot nivolumab var 2,6 %. Hos patienter som behandlats med nivolumab i kombination med ipilimumab och kemoterapi och som var möjliga att utvärdera för närvaro av antikroppar mot ipilimumab eller neutraliserande antikroppar mot ipilimumab, var incidensen av antikroppar mot ipilimumab 7,5 % och incidensen av neutraliserade antikroppar mot ipilimumab var 1,6 %.
Hos patienter som behandlats med nivolumab i kombination med brentuximab vedotin och som var möjliga att utvärdera för förekomst av antikroppar mot nivolumab var incidensen av antikroppar mot nivolumab hos patienter med låg recidivrisk 36 % och hos patienter med standardrisk för recidiv 12,5 %. Inga patienter uppvisade positivt svar för neutraliserande antikroppar mot nivolumab.
Hos patienter som behandlats med nivolumab i kombination med brentuximab vedotin och som var möjliga att utvärdera för förekomst av antikroppar mot brentuximab vedotin var incidensen av antikroppar mot brentuximab hos patienter med låg recidivrisk 95,8 % och hos patienter med standardrisk för recidiv 58,5 %. Alla patienter som utvecklade antikroppar mot brentuximab vedotin uppvisade också positivt svar för neutraliserande antikroppar mot brentuximab vedotin.
Trots att clearance för nivolumab ökade med 20 % vid förekomst av nivolumabantikroppar, var inte förekomsten av nivolumabantikroppar förknippad med effektförlust eller förändrad toxisk profil baserat på analyser av farmakokinetik och exponeringsrespons för både monoterapi och kombinationen.
Pediatrisk population
Nivolumab som monoterapi eller nivolumab i kombination med ipilimumab
I den kliniska studien CA209070 utvärderades säkerheten för nivolumab som monoterapi (3 mg/kg varannan vecka) och i kombination med ipilimumab (1 mg/kg eller 3 mg/kg nivolumab i kombination med 1 mg/kg ipilimumab var tredje vecka de fyra första doserna, följt av 3 mg/kg nivolumab som monoterapi varannan vecka) hos 97 barn och ungdomar i åldern ≥ 1 år till < 18 år (varav 53 i åldern 12 till < 18 år) med återkommande eller refraktära solida eller hematologiska tumörer, inklusive avancerat melanom. Säkerhetsprofilen för barn och ungdomar liknade generellt den som ses för vuxna som får nivolumab som monoterapi eller i kombination med ipilimumab. Inga nya säkerhetssignaler identifierades. Långtidssäkerhetsdata för användning av nivolumab hos ungdomar 12 år och äldre är inte tillgängliga.
De vanligast rapporterade biverkningarna (rapporterade hos minst 20 %) för nivolumab som monoterapi var trötthet (35,9 %) och minskad aptit (21,9 %). Majoriteten av biverkningarna som rapporterades för nivolumab som monoterapi var av grad 1 eller 2 i svårighetsgrad. En eller flera biverkningar av grad 3 till 4 rapporterades hos tjugoen patienter (33 %).
De vanligast rapporterade biverkningarna (rapporterade hos minst 20 %) för nivolumab i kombination med ipilimumab var trötthet (33,3 %) och makulopapulära hudutslag (21,2 %). Majoriteten av biverkningarna rapporterade för nivolumab i kombination med ipilimumab var av grad 1 eller 2 i svårighetsgrad. En eller flera biverkningar av grad 3 till 4 rapporterades hos tio patienter (30 %).
Säkerheten för nivolumab som monoterapi (3 mg/kg varannan vecka) och i kombination med ipilimumab (3 mg/kg nivolumab följt av 1 mg/kg ipilimumab var tredje vecka i 4 doser, följt av 3 mg/kg nivolumab som monoterapi varannan vecka) utvärderades hos 151 pediatriska patienter i åldern ≥ 6 månader till < 18 år med höggradiga primära CNS-maligniteter. Inga nya säkerhetssignaler identifierades (se avsnitt 5.1) i förhållande till data som finns tillgängliga från studier på vuxna för olika indikationer.
Nivolumab i kombination med brentuximab vedotin
Säkerheten för nivolumab (3 mg/kg var tredje vecka) i kombination med brentuximab vedotin (1,8 mg/kg var tredje vecka) utvärderades hos 49 pediatriska patienter i åldern ≥ 5 till < 18 år med recidiverande eller refraktärt klassiskt Hodgkins lymfom i den kliniska studien CA209744. Inga nya säkerhetssignaler identifierades.
De vanligast rapporterade biverkningarna hos minst 20 % av de pediatriska patienterna som behandlades med nivolumab i kombination med brentuximab vedotin var illamående (57,1 %), feber (30,6 %), buksmärta (26,5 %), hudutslag (24,5 %), huvudvärk (22,4 %), muskuloskeletal smärta (22,4 %), diarré (20,4 %), kräkningar (20,4 %), utmattning (20,4 %), infusionsrelaterad reaktion (20,4 %) och överkänslighet (20,4 %). Majoriteten av biverkningarna rapporterade för nivolumab i kombination med brentuximab vedotin var av grad 1 eller 2 i svårighetsgrad. Biverkningar av grad 3 till 4 rapporterades hos 17 patienter (34,7 %).
Äldre
Ingen generella skillnader avseende säkerhet sågs mellan äldre (≥ 65 år) och yngre patienter (< 65 år). Data för patienter 75 år eller äldre, som behandlats för skivepitelial huvud- och halscancer eller som fått adjuvant behandling för melanom, esofaguscancer eller cancer i gastroesofageala övergången är för begränsade för att kunna dra några slutsatser för denna population (se avsnitt 5.1). Data för patienter 75 år eller äldre, som behandlats för dMMR eller MSI‑H kolorektalcancer, är begränsade (se avsnitt 5.1). Data för patienter 65 år eller äldre med klassiskt Hodgkins lymfom är för begränsade för att kunna dra några slutsatser för denna population (se avsnitt 5.1).
Hos patienter med malignt pleuramesoteliom förekom en högre frekvens av allvarliga biverkningar och behandlingsavbrott på grund av biverkningar hos patienter 75 år eller äldre (68 % respektive 35 %) jämfört med alla patienter som fick nivolumab i kombination med ipilimumab (54 % respektive 28 %). Hos patienter med hepatocellulärt karcinom var frekvensen allvarliga biverkningar och behandlingsavbrott på grund av biverkningar högre hos patienter 75 år eller äldre (67 % respektive 35 %) jämfört med alla patienter som fick nivolumab och ipilimumab (53 % respektive 27 %).
Gällande patienter som behandlats med nivolumab i kombination med kabozantinib är data från patienter 75 år eller äldre med njurcellscancer för begränsade för att kunna dra några slutsatser för denna population (se avsnitt 5.1).
Nedsatt lever- eller njurfunktion
I studien på icke-småcellig lungcancer av icke-skivepiteltyp (CA209057) var säkerhetsprofilen hos patienter med nedsatt njur- eller leverfunktion som utgångsvärde jämförbar med den för hela populationen. Dessa resultat ska tolkas med försiktighet med anledning av den begränsade storleken inom subgrupperna.
Inga fall av överdosering har rapporterats i kliniska studier. Vid händelse av överdosering ska patienten övervakas noga för tecken och symtom på biverkningar och lämplig symtomatisk behandling ska sättas in omedelbart.
Melanom
OPDIVO som monoterapi är indicerat för adjuvant behandling av vuxna och ungdomar 12 år och äldre efter total resektion av melanom i stadium IIB eller IIC, melanom som involverat lymfkörtlar eller som har metastaserat (se avsnitt 5.1).
OPDIVO som monoterapi eller i kombination med ipilimumab är indicerat för behandling av vuxna och ungdomar 12 år och äldre med avancerat (icke‑resektabelt eller metastaserande) melanom.
Jämfört med nivolumab monoterapi har en ökning av progressionsfri överlevnad (PFS) och totalöverlevnad (OS) med kombinationen nivolumab och ipilimumab endast visats hos patienter med lågt tumöruttryck av PD-L1 (se avsnitt 4.4 och 5.1)
Icke-småcellig lungcancer (NSCLC)
OPDIVO i kombination med platinabaserad kemoterapi är indicerat för neoadjuvant behandling av resektabel icke‑småcellig lungcancer med hög risk för återfall hos vuxna vars tumörer har PD‑L1‑uttryck ≥ 1 % (se avsnitt 5.1 för urvalskriterier).
OPDIVO i kombination med platinabaserad kemoterapi för neoadjuvant behandling, följt av OPDIVO som monoterapi för adjuvant behandling, är indicerat för behandling av resektabel icke‑småcellig lungcancer med hög risk för återfall hos vuxna vars tumörer har PD‑L1‑uttryck ≥ 1 % (se avsnitt 5.1 för urvalskriterier).
OPDIVO i kombination med ipilimumab och två behandlingscykler platinabaserad kemoterapi är indicerat för första linjens behandling av vuxna med metastaserande icke-småcellig lungcancer vars tumörer varken har sensibiliserande EGFR-mutation eller ALK-translokation.
OPDIVO som monoterapi är indicerat för behandling av vuxna med lokalt avancerad eller metastaserande icke-småcellig lungcancer efter tidigare kemoterapi.
Malignt pleuramesoteliom (MPM)
OPDIVO i kombination med ipilimumab är indicerat för första linjens behandling av vuxna med icke-resektabelt malignt pleuramesoteliom.
Njurcellscancer (RCC)
OPDIVO i kombination med ipilimumab är indicerat som första linjens behandling av vuxna med avancerad njurcellscancer med intermediär/dålig prognos (se avsnitt 5.1).
OPDIVO i kombination med kabozantinib är indicerat som första linjens behandling av vuxna med avancerad njurcellscancer (se avsnitt 5.1).
OPDIVO som monoterapi är indicerat för behandling av vuxna med avancerad njurcellscancer efter tidigare behandling.
Klassiskt Hodgkins lymfom (cHL)
OPDIVO som monoterapi är indicerat för behandling av vuxna med recidiverande eller refraktär klassiskt Hodgkins lymfom efter autolog stamcellstransplantation (ASCT) och behandling med brentuximab vedotin.
OPDIVO i kombination med brentuximab vedotin är indicerat för behandling av barn från 5 års ålder samt hos ungdomar och vuxna upp till 30 års ålder med recidiverande eller refraktärt klassiskt Hodgkins lymfom efter en tidigare behandling (se avsnitt 5.1).
Skivepitelial huvud- och halscancer (SCCHN)
OPDIVO som monoterapi är indicerat för behandling av återkommande eller metastaserande skivepitelial huvud- och halscancer hos vuxna som progredierat under eller efter platinabaserad behandling (se avsnitt 5.1).
Urotelcellscancer (UC)
OPDIVO som monoterapi är indicerat för adjuvant behandling av vuxna, med muskelinvasiv urotelcellscancer (MIUC) med PD‑L1 tumörcellsuttryck ≥ 1 %, med hög risk för återfall efter radikal resektion av MIUC (se avsnitt 5.1).
OPDIVO i kombination med cisplatin och gemcitabin är indicerat som första linjens behandling av vuxna patienter med icke-resektabel eller metastaserande urotelcellscancer.
OPDIVO som monoterapi är indicerat för behandling av lokalt avancerad icke-resektabel eller metastaserande urotelcellscancer hos vuxna vid otillräcklig effekt av tidigare platinabaserad behandling.
Kolorektalcancer (CRC) som uppvisar defekt mismatch repair (dMMR) eller hög mikrosatellitinstabilitet (MSI‑H)
OPDIVO i kombination med ipilimumab är indicerat för behandling av vuxna med kolorektalcancer som uppvisar defekt mismatch repair eller hög mikrosatellitinstabilitet i följande fall:
första linjens behandling av icke-resektabel eller metastaserande kolorektalcancer
behandling av metastaserande kolorektalcancer efter tidigare fluoropyrimidinbaserad kemoterapi i kombination (se avsnitt 5.1).
Esofaguscancer av skivepiteltyp (OSCC)
OPDIVO i kombination med ipilimumab är indicerat som första linjens behandling av vuxna patienter med icke-resektabel avancerad, återkommande eller metastaserande esofaguscancer av skivepiteltyp med tumörcellsuttryck av PD‑L1 ≥ 1 %.
OPDIVO i kombination med fluoropyrimidin- och platinabaserad kemoterapi är indicerat som första linjens behandling av vuxna patienter med icke-resektabel avancerad, återkommande eller metastaserande esofaguscancer av skivepiteltyp med tumörcellsuttryck av PD‑L1 ≥ 1 %.
OPDIVO som monoterapi är indicerat för behandling av vuxna med icke-resektabel avancerad, återkommande eller metastaserande esofaguscancer av skivepiteltyp efter tidigare fluoropyrimidin- och platinabaserad kemoterapi i kombination.
Adjuvant behandling av esofaguscancer eller cancer i gastroesofageala övergången (OC eller GEJC)
OPDIVO som monoterapi är indicerat för adjuvant behandling av vuxna med esofaguscancer eller cancer i gastroesofageala övergången som har kvarstående mikroskopisk sjukdom efter tidigare neoadjuvant kemoradioterapi (se avsnitt 5.1).
Adenocarcinom i ventrikeln, gastroesofageala övergången (GEJ) eller esofagus
OPDIVO i kombination med fluoropyrimidin- och platinabaserad kemoterapi är indicerat som första linjens behandling av vuxna patienter med HER2‑negativt avancerat eller metastaserande adenocarcinom i ventrikeln, gastroesofageala övergången eller esofagus, vars tumörer uttrycker PD‑L1 ≥ 5 enligt metoden combined positive score (CPS).
Hepatocellulärt karcinom (HCC)
OPDIVO i kombination med ipilimumab är indicerat för första linjens behandling av vuxna med icke‑resektabelt eller avancerat hepatocellulärt karcinom.
Behandling ska initieras och övervakas av läkare med erfarenhet av cancerbehandling.
PD-L1-testning
Om det anges i indikationen ska patienturvalet för behandling med OPDIVO, baserat på tumöruttryck av PD‑L1, bedömas med en CE‑märkt medicinteknisk produkt för in vitro‑diagnostik (IVD). Om en CE‑märkt IVD‑produkt inte är tillgänglig ska ett alternativt validerat test användas (se avsnitt 4.1, 4.4 och 5.1).
MSI/MMR-testning
Om det anges i indikationen ska patienturvalet för behandling med OPDIVO, baserat på tumörstatus avseende MSI‑H/dMMR, bedömas med en CE‑märkt IVD‑produkt (in vitro-diagnostisk) med motsvarande avsedda syfte. Om en CE‑märkt IVD‑produkt inte är tillgänglig ska ett alternativt validerat test användas (se avsnitt 4.1, 4.4 och 5.1).
Dosering
OPDIVO som monoterapi
Rekommenderad dos av OPDIVO är antingen 240 mg nivolumab varannan vecka eller 480 mg var fjärde vecka beroende på indikation och patientgrupp (se avsnitt 5.1 och 5.2), enligt tabell 1.
Om patienter med melanom, njurcellscancer, esofaguscancer, cancer i gastroesofageala övergången eller muskelinvasiv urotelcellscancer (adjuvant behandling) behöver byta från doseringen 240 mg varannan vecka till 480 mg var fjärde vecka ska den första dosen på 480 mg ges två veckor efter den sista dosen på 240 mg. Omvänt gäller att om patienter behöver byta från doseringen 480 mg var fjärde vecka till 240 mg varannan vecka ska den första dosen på 240 mg ges fyra veckor efter den sista dosen på 480 mg.
OPDIVO i kombination med ipilimumab
Melanom
Malignt pleuramesoteliom (MPM)
Tabell 3: Rekommenderade doser och infusionstider för intravenös administrering av nivolumab i kombination med ipilimumab vid MPM
Njurcellscancer (RCC)
Tabell 4: Rekommenderade doser och infusionstider för intravenös administrering av nivolumab i kombination med ipilimumab följt av nivolumab som monoterapi vid njurcellscancer
dMMR eller MSI‑H kolorektalcancer (CRC)
Esofaguscancer av skivepiteltyp (OSCC)
Tabell 6 Rekommenderade doser och infusionstider för intravenös administrering av nivolumab i kombination med ipilimumab vid OSCC
Hepatocellulärt karcinom (HCC)
OPDIVO i kombination med kabozantinib
Njurcellscancer (RCC)
OPDIVO i kombination med ipilimumab och kemoterapi
Icke-småcellig lungcancer (NSCLC)
Tabell 9 Rekommenderade doser och infusionstider för intravenös administrering av nivolumab i kombination med ipilimumab och platinabaserad kemoterapi följt av nivolumab i kombination med ipilimumab vid NSCLC
OPDIVO i kombination med kemoterapi
Neoadjuvant behandling av NSCLC
Tabell 10 Rekommenderade doser och infusionstider för intravenös administrering av nivolumab i kombination med platinabaserad kemoterapi för neoadjuvant behandling av NSCLC (se avsnitt 5.1)
Neoadjuvant och adjuvant behandling av NSCLC
Tabell 11 Rekommenderade doser och infusionstider för intravenös administrering av nivolumab i kombination med platinabaserad kemoterapi för neoadjuvant behandling följt av nivolumab som monoterapi för adjuvant behandling av NSCLC
Esofaguscancer av skivepiteltyp (OSCC)
Tabell 12 Rekommenderade doser och infusionstider för intravenös administrering av nivolumab i kombination med fluoropyrimidin- och platinabaserad kemoterapi vid OSCC (se avsnitt 5.1)*
Adenocarcinom i ventrikeln, gastroesofageala övergången (GEJ) eller esofagus
Tabell 13 Rekommenderade doser och infusionstider för intravenös administrering av nivolumab i kombination med fluoropyrimidin- och platinabaserad kemoterapi vid adenocarcinom i ventrikeln, GEJ eller esofagus (se avsnitt 5.1)*
Urotelcellscancer (UC)
Tabell 14 Rekommenderade doser och infusionstider för intravenös administrering av nivolumab i kombination med cisplatin och gemcitabin följt av nivolumab som monoterapi vid UC (se avsnitt 5.1)
OPDIVO i kombination med brentuximab vedotin
Klassiskt Hodgkins lymfom (cHL)
Behandlingsperiod
Behandling med OPDIVO, antingen som monoterapi eller i kombination med ipilimumab eller andra läkemedel, bör fortsätta så länge som klinisk nytta ses eller tills behandlingen inte längre tolereras av patienten (och upp till maximal behandlingstid om detta specificeras för indikationen).
Atypiska svar (dvs. en initial temporär ökning av tumörstorleken eller tillkomst av små nya lesioner inom de första behandlingsmånaderna följt av tumörkrympning) har observerats. Det rekommenderas att kliniskt stabila patienter med initiala tecken på sjukdomsprogression ska stå kvar på behandling med nivolumab eller nivolumab i kombination med ipilimumab till dess att sjukdomsprogression har bekräftats.
Upptrappning eller nedtrappning av OPDIVO-dosen rekommenderas inte, varken vid monoterapi eller vid kombination med andra läkemedel. Dosuppehåll eller permanent utsättning kan krävas baserat på individuell säkerhet och tolerans. Riktlinjer för permanent utsättning eller dosuppehåll finns beskrivna i tabell 16. Detaljerade riktlinjer för hantering av immunrelaterade biverkningar finns beskrivna i avsnitt 4.4. När nivolumab administreras i kombination med andra läkemedel, se respektive produktresumé för dessa läkemedels dosering.
Observera: Toxicitetsgraderna är i enlighet med ”National Cancer Institute Common Terminology Criteria for Adverse Events Version 4.0 (NCI-CTCAE v4).
a Sätt ut behandlingen permanent om diarré eller kolit av grad 3 uppstår under monoterapifasen med nivolumab (efter kombinationsfasen).
b Rekommendationer för användning av hormonersättningsbehandling finns i avsnitt 4.4.
c Säkerheten för att återuppta behandling med nivolumab eller nivolumab i kombination med ipilimumab hos patienter som tidigare haft immunrelaterad myokardit är inte känd.
OPDIVO som monoterapi eller OPDIVO i kombination med andra läkemedel ska sättas ut permanent vid:
Grad 4- eller återkommande Grad 3-biverkningar
Bestående Grad 2- eller 3-biverkningar trots vidtagna behandlingsjusteringar
Patienter som behandlas med OPDIVO måste få ett patientkort och få information om riskerna med OPDIVO (se även bipacksedeln).
Vid behandlingsuppehåll när OPDIVO administreras i kombination med ipilimumab, görs uppehåll med båda läkemedlen. Om dosering återupptas efter ett avbrott kan behandling, med kombinationen eller OPDIVO monoterapi, återupptas utifrån bedömning av varje enskild patient.
När OPDIVO administreras i kombination med kemoterapi, se respektive produktresumé för dessa läkemedels dosering. Om be
handlingsuppehåll görs för något av läkemedlen kan behandlingen med de andra fortsätta. Om dosering återupptas efter ett avbrott kan behandling med kombinationen, OPDIVO monoterapi eller kemoterapi återupptas utifrån bedömning av varje enskild patient.
OPDIVO i kombination med kabozantinib vid njurcellscancer
När OPDIVO används i kombination med kabozantinib, gäller även de behandlingsjusteringar som anges ovan i tabell 16 för OPDIVO-komponenten. Därtill, gällande leverenzymstegring hos patienter med njurcellscancer som behandlas med OPDIVO i kombination med kabozantinib:
Om ALAT eller ASAT > 3 gånger det övre normala gränsvärdet (upper limit of normal [ULN]) men ≤ 10 gånger ULN utan samtidig totalbilirubin ≥ 2 gånger ULN, gör uppehåll i behandling med både OPDIVO och kabozantinib tills dessa biverkningar återgår till grad 0-1. Behandling med kortikosteroider kan övervägas. Återinsättning av ett av läkemedlen eller båda kan övervägas efter återhämtning. Om kabozantinib återinsätts, se produktresumén för kabozantinib.
Om ALAT eller ASAT > 10 gånger ULN eller > 3 gånger ULN med samtidig totalbilirubin ≥ 2 gånger ULN ska både OPDIVO och kabozantinib sättas ut permanent och behandling med kortikosteroider kan övervägas.
Särskilda populationer
Äldre patienter
Ingen dosjustering krävs för äldre patienter (≥ 65 år) (se avsnitt 5.2).
Nedsatt njurfunktion
Baserat på populationsfarmakokinetiska (PK) resultat, krävs ingen dosjustering för patienter med lätt eller måttligt nedsatt njurfunktion (se avsnitt 5.2). Data från patienter med gravt nedsatt njurfunktion är för begränsade för att dra några slutsatser för den här populationen.
Nedsatt leverfunktion
Baserat på populationsfarmakokinetiska (PK) resultat, krävs ingen dosjustering för patienter med lätt eller måttligt nedsatt leverfunktion (se avsnitt 5.2). Data från patienter med gravt nedsatt leverfunktion är för begränsade för att dra några slutsatser för den här populationen. OPDIVO ska administreras med försiktighet till patienter med gravt nedsatt leverfunktion (totalbilirubin > 3 × ULN och oavsett ASAT-värde).
Pediatrisk population
Säkerhet och effekt för OPDIVO för barn under 18 år har ännu inte fastställts med undantag av ungdomar 12 år och äldre med melanom och pediatriska patienter 5 år och äldre med klassiskt Hodgkins lymfom. Nuvarande tillgängliga data från OPDIVO som monoterapi, i kombination med ipilimumab eller i kombination med brentuximab vedotin beskrivs i avsnitt 4.2, 4.8, 5.1 och 5.2.
Administreringssätt
OPDIVO ska enbart ges som en intravenös infusion och ska administreras under 30 eller 60 minuter beroende på dosen (se tabell 1, 2, 3, 4 och 5). Infusionen ska administreras genom ett sterilt, icke‑pyrogent, inbyggt filter med låg proteinbindningsgrad med en porstorlek på 0,2‑1,2 µm.
OPDIVO ska inte administreras som en intravenös stötdos eller bolusinjektion.
Den totala dosen av OPDIVO kan administreras direkt som en infusion med 10 mg/ml lösning eller kan spädas med 9 mg/ml (0,9 %) natriumkloridlösning för injektion eller 50 mg/ml (5 %) glukoslösning för injektion (se avsnitt 6.6).
Vid administrering i kombination med ipilimumab och/eller kemoterapi, ska läkemedlen ges samma dag med OPDIVO först, följt av ipilimumab (om tillämpligt) och därefter kemoterapi. Vid administrering i kombination med brentuximab vedotin ska brentuximab vedotin ges på dag 1 och OPDIVO på dag 8 för cykel 1. För cykel 2–6 ska OPDIVO ges samma dag och minst 30 minuter efter avslutad infusion av brentuximab vedotin. Använd separata infusionspåsar och filter för varje infusion.
Anvisningar om beredning och spädning av läkemedlet före administrering finns i avsnitt 6.6.
Överkänslighet mot den aktiva substansen eller mot något hjälpämne som anges i avsnitt 6.1.
Spårbarhet
För att underlätta spårbarhet av biologiska läkemedel ska läkemedlets namn och tillverkningssatsnummer dokumenteras.
Bedömning av PD-L1-status
Vid bedömning av tumörens PD-L1-status är det viktigt att en väl validerad och robust metod används.
Bedömning av MSI/MMR-status
Vid bedömning av tumörens MSI‑H- och dMMR‑status är det viktigt att en väl validerad och robust metod används.
Immunrelaterade biverkningar
När nivolumab administreras i kombination, se produktresumén för de andra läkemedlen i kombinationen innan behandlingen påbörjas. Immunrelaterade biverkningar inträffade med högre frekvens när nivolumab administrerades i kombination med ipilimumab jämfört med nivolumab som monoterapi. Immunrelaterade biverkningar inträffade med liknande frekvens när OPDIVO administrerades i kombination med kabozantinib eller i kombination med brentuximab vedotin jämfört med nivolumab som monoterapi. Vägledningen för immunrelaterade biverkningar nedan gäller därför OPDIVO-komponenten i kombinationen, om inte annat anges. De flesta immunrelaterade biverkningar förbättrades eller upphörde med lämplig hantering, inklusive kortikosteroidbehandling och behandlingsjusteringar (se avsnitt 4.2).
Immunrelaterade biverkningar som påverkar fler än ett system i kroppen kan förekomma samtidigt.
Hjärt- och lungbiverkningar inklusive lungemboli har också rapporterats vid kombinationsbehandling. Patienter ska övervakas kontinuerligt för hjärt- och lungbiverkningar så väl som för kliniska tecken, symtom och onormala laboratorievärden som tyder på störningar i elektrolytbalansen och dehydrering innan och regelbundet under behandlingen. Nivolumab i kombination med ipilimumab ska sättas ut vid livshotande eller återkommande allvarliga hjärt- och lungbiverkningar (se avsnitt 4.2).
Patienter ska övervakas kontinuerligt (i minst 5 månader efter sista dosen) då en biverkning av nivolumab eller kombinationen av nivolumab och ipilimumab kan ske när som helst under eller efter avslutad behandling.
Vid misstänkta immunrelaterade biverkningar, ska en adekvat utvärdering göras för att bekräfta etiologi eller utesluta andra orsaker. Baserat på biverkningens allvarlighetsgrad, ska uppehåll med nivolumab eller kombinationen av nivolumab och ipilimumab göras och kortikosteroider administreras. Om immunsuppression med kortikosteroider används för att behandla en biverkning, bör en nedtrappning på åtminstone 1 månad påbörjas vid en förbättring. En snabb nedtrappning kan leda till att biverkningen förvärras eller återkommer. Icke‑kortikosteroid immunsuppressiv behandling ska läggas till om det förvärras eller om förbättring uteblir trots användning av kortikosteroider.
Data från observationsstudier tyder på att risken för immunmedierade biverkningar vid behandling med checkpointhämmare kan vara högre hos patienter med underliggande autoimmun sjukdom, jämfört med risken för patienter utan underliggande autoimmun sjukdom. Dessutom var skov av den underliggande autoimmuna sjukdomen vanliga, men majoriteten var milda och hanterbara.
Behandling med nivolumab eller kombinationen av nivolumab och ipilimumab ska inte återupptas medan patienten får immunsuppressiva doser av kortikosteroider eller annan immunsuppressiv behandling. Profylaktisk antibiotikabehandling ska användas för att förhindra opportunistiska infektioner hos patienter som får immunsuppressiv behandling.
Sätt ut nivolumab eller kombinationen av nivolumab och ipilimumab permanent vid alla allvarliga immunrelaterade biverkningar som återkommer och vid alla livshotande immunrelaterade biverkningar.
Immunrelaterad pneumonit
Allvarlig pneumonit eller interstitiell lungsjukdom, inklusive fall med dödlig utgång, har setts vid behandling med nivolumab som monoterapi eller i kombination med ipilimumab (se avsnitt 4.8). Patienter ska övervakas för tecken och symtom på pneumonit såsom röntgenförändringar (t.ex. fokala GGO ”ground glass opacities”, fläckiga infiltrat), dyspné och hypoxi. Uteslut infektions- och sjukdomsrelaterade etiologier.
Vid pneumonit av grad 3 eller 4, sätt ut nivolumab eller kombinationen av nivolumab och ipilimumab permanent och påbörja behandling med kortikosteroider med en dos på 2 till 4 mg/kg/dag av metylprednisolon eller motsvarande.
Vid pneumonit av grad 2 (symtomatisk), gör uppehåll med nivolumab eller kombinationen av nivolumab och ipilimumab och påbörja behandling med kortikosteroider med en dos på 1 mg/kg/dag av metylprednisolon eller motsvarande. Vid förbättring kan nivolumab eller kombinationen av nivolumab och ipilimumab återupptas efter nedtrappning av kortikosteroidbehandling. Vid försämring eller utebliven förbättring trots påbörjad behandling med kortikosteroider, öka dosen kortikosteroider till 2 till 4 mg/kg/dag av metylprednisolon eller motsvarande och sätt ut nivolumab eller kombinationen av nivolumab och ipilimumab permanent.
Immunrelaterad kolit
Allvarlig diarré eller kolit har setts vid behandling med nivolumab som monoterapi eller kombinationen av nivolumab och ipilimumab (se avsnitt 4.8). Patienter ska övervakas för diarré och ytterligare symtom på kolit, som buksmärta och slem eller blod i avföringen. Infektion/reaktivering av cytomegalovirus (CMV) har rapporterats hos patienter med kortikosteroid‑refraktär immunrelaterad kolit. Uteslut infektions- och sjukdomsrelaterade orsaker till diarrén med adekvata laboratorietester och undersökningar. I de fall då diagnosen kortikosteroid‑refraktär immunrelaterad kolit bekräftats, överväg tillägg av ett alternativt immunosuppressivt medel till kortikosteroidbehandlingen, eller byte av kortikosteroidbehandling.
Vid diarré eller kolit av grad 4, sätt ut nivolumab eller kombinationen av nivolumab och ipilimumab permanent och påbörja behandling med kortikosteroider med en dos på 1 till 2 mg/kg/dag av metylprednisolon eller motsvarande.
Vid diarré eller kolit av grad 3, gör uppehåll med nivolumab som monoterapi och påbörja behandling med kortikosteroider med en dos på 1 till 2 mg/kg/dag av metylprednisolon eller motsvarande. Vid förbättring kan nivolumab monoterapi återupptas efter nedtrappning av kortikosteroidbehandling. Vid försämring eller utebliven förbättring trots påbörjad behandling med kortikosteroider, sätt ut nivolumab monoterapi permanent. Diarré eller kolit av grad 3, som observerats vid behandling med nivolumab i kombination med ipilimumab, kräver att behandlingen sätts ut permanent och att behandling med kortikosteroider påbörjas vid en dos på 1 till 2 mg/kg/dag av metylprednisolon eller motsvarande.
Vid diarré eller kolit av grad 2, gör uppehåll med nivolumab eller kombinationen av nivolumab och ipilimumab. Ihållande diarré eller kolit ska behandlas med kortikosteroider med en dos på 0,5 till 1 mg/kg/dag av metylprednisolon eller motsvarande. Vid förbättring kan nivolumab eller kombinationen av nivolumab och ipilimumab återupptas efter nedtrappning, om så krävs, av kortikosteroidbehandling. Vid försämring eller utebliven förbättring trots påbörjad behandling med kortikosteroider, öka dosen kortikosteroider till 1 till 2 mg/kg/dag av metylprednisolon eller motsvarande och sätt ut nivolumab eller kombinationen av nivolumab och ipilimumab permanent.
Immunrelaterad hepatit
Allvarlig hepatit har setts vid behandling med nivolumab som monoterapi eller i kombination med ipilimumab (se avsnitt 4.8). Patienter ska övervakas för tecken och symtom på hepatit som stegring av transaminas och totalbilirubin. Uteslut infektions- och sjukdomsrelaterade etiologier.
Vid transaminas- eller totalbilirubinstegring av grad 3 eller 4, sätt ut nivolumab eller kombinationen av nivolumab och ipilimumab permanent och påbörja behandling med kortikosteroider med en dos på 1 till 2 mg/kg/dag av metylprednisolon eller motsvarande.
Vid transaminas- eller totalbilirubinstegring av grad 2, gör uppehåll med nivolumab eller kombinationen av nivolumab och ipilimumab. Ihållande stegring av dessa laboratorievärden bör behandlas med kortikosteroider med en dos på 0,5 till 1 mg/kg/dag av metylprednisolon eller motsvarande. Vid förbättring kan nivolumab eller kombination av nivolumab och ipilimumab återupptas efter nedtrappning, om så krävs, av kortikosteroidbehandling. Vid försämring eller utebliven förbättring trots påbörjad behandling med kortikosteroider, öka dosen kortikosteroider till 1 till 2 mg/kg/dag av metylprednisolon eller motsvarande och sätt ut nivolumab eller kombinationen av nivolumab och ipilimumab permanent.
Immunrelaterad nefrit och nedsatt njurfunktion
Allvarlig nefrit och nedsatt njurfunktion har setts vid behandling med nivolumab som monoterapi eller i kombination med ipilimumab (se avsnitt 4.8). Patienter ska övervakas för tecken eller symtom på nefrit eller nedsatt njurfunktion. De flesta patienterna har en asymtomatisk ökning av serumkreatinin. Uteslut sjukdomsrelaterade etiologier.
Vid serumkreatininstegring av grad 4, sätt ut nivolumab eller kombinationen av nivolumab och ipilimumab permanent och påbörja behandling med kortikosteroider med en dos på 1 till 2 mg/kg/dag av metylprednisolon eller motsvarande.
Vid serumkreatininstegring av grad 2 eller 3, gör uppehåll med nivolumab eller kombinationen av nivolumab och ipilimumab och påbörja behandling med kortikosteroider med en dos på 0,5 till 1 mg/kg/dag av metylprednisolon eller motsvarande. Vid förbättring kan nivolumab eller kombinationen av nivolumab och ipilimumab återupptas efter nedtrappning av kortikosteroidbehandling. Vid försämring eller utebliven förbättring trots påbörjad behandling med kortikosteroider, öka dosen kortikosteroider till 1 till 2 mg/kg/dag av metylprednisolon eller motsvarande och nivolumab eller kombinationen av nivolumab och ipilimumab ska sättas ut permanent.
Immunrelaterad endokrinopati
Allvarliga endokrinopatier, inklusive hypotyreos, hypertyreos, binjurebarksvikt (inklusive sekundär binjurebarksvikt), hypofysit (inklusive hypopituitarism), diabetes mellitus och diabetisk ketoacidos (DKA) har setts vid behandling med nivolumab som monoterapi eller kombinationen av nivolumab och ipilimumab (se avsnitt 4.8).
Patienter ska övervakas för tecken och symtom på endokrinopatier och för hyperglykemi och förändringar i sköldkörtelfunktionen (när behandlingen påbörjas och under behandlingen, baserat på klinisk bedömning). Patienter kan ha symtom som trötthet, huvudvärk, ändrad mental status, buksmärta, ovanliga tarmvanor och hypotension eller icke-specifika symtom som kan likna de som ses vid hjärnmetastaser eller underliggande sjukdom. Såvida inte en annan etiologi har identifierats ska tecken eller symtom på endokrinopatier anses vara immunrelaterade.
Vid symtomatisk hypotyreos, gör uppehåll med nivolumab eller kombinationen av nivolumab och ipilimumab och påbörja behandling med hormonersättning, efter behov. Vid symtomatisk hypertyreos, gör uppehåll med nivolumab eller kombinationen av nivolumab och ipilimumab och påbörja behandling med antityreoida läkemedel, efter behov. Kortikosteroider med en dos på 1 till 2 mg/kg/dag av metylprednisolon eller motsvarande bör också övervägas om akut inflammation av sköldkörteln misstänks. Vid förbättring kan nivolumab eller kombinationen av nivolumab och ipilimumab återupptas efter nedtrappning, om så krävs, av kortikosteroidbehandling. Övervakning av sköldkörtelns funktion bör fortsätta för att säkerställa att lämplig hormonersättning ges. Vid livshotande hypertyreos eller hypotyreos ska behandling med nivolumab eller kombinationen av nivolumab och ipilimumab sättas ut permanent.
Vid symtomatisk binjurebarksvikt av grad 2, gör uppehåll med nivolumab eller kombinationen av nivolumab och ipilimumab och påbörja en fysiologisk ersättningsbehandling med kortikosteroider, efter behov. Vid allvarlig (grad 3) eller livshotande (grad 4) binjurebarksvikt ska behandling med nivolumab eller kombinationen av nivolumab och ipilimumab sättas ut permanent. Övervakning av binjurebarkens funktion och hormonnivåer bör fortsätta för att säkerställa att lämplig kortikosteroidbehandling ges.
Vid symtomatisk hypofysit av grad 2 eller 3, gör uppehåll med nivolumab eller kombinationen av nivolumab och ipilimumab och påbörja hormonersättning, efter behov. Kortikosteroider med en dos på 1 till 2 mg/kg/dag av metylprednisolon eller motsvarande ska övervägas om akut inflammation av hypofysen misstänks. Vid förbättring kan nivolumab eller kombinationen av nivolumab och ipilimumab återupptas efter nedtrappning, om så krävs, av kortikosteroidbehandling. Vid livshotande hypofysit (grad 4) ska behandling med nivolumab eller kombinationen av nivolumab och ipilimumab sättas ut permanent. Övervakning av hypofysens funktion och hormonnivåer bör fortsätta för att säkerställa att lämplig hormonersättning ges.
Vid symtomatisk diabetes, gör uppehåll med nivolumab eller kombinationen av nivolumab och ipilimumab och påbörja behandling med insulin, efter behov. Övervakning av blodsocker bör fortsätta för att säkerställa att lämplig insulinbehandling ges. Vid livshotande diabetes ska behandling med nivolumab eller kombinationen av nivolumab och ipilimumab sättas ut permanent.
Immunrelaterade hudbiverkningar
Allvarliga utslag har setts med kombinationen av nivolumab och ipilimumab och, i mindre vanliga fall, med nivolumab som monoterapi (se avsnitt 4.8). Vid utslag av grad 3, gör uppehåll med nivolumab eller kombinationen av nivolumab och ipilimumab och sätt ut behandlingen vid utslag av grad 4. Allvarliga utslag behandlas med en hög dos kortikosteroider på 1 till 2 mg/kg metylprednisolon eller motsvarande.
Sällsynta fall av SJS och TEN inklusive fatala fall har observerats. Om symtom eller tecken på SJS eller TEN uppträder, ska behandlingen med nivolumab eller kombinationen av nivolumab och ipilimumab sättas ut och patienten remitteras till en specialistenhet för utvärdering och behandling. Om patienten har utvecklat SJS eller TEN vid användning av nivolumab eller kombinationen av nivolumab och ipilimumab, rekommenderas att behandlingen sätts ut permanent (se avsnitt 4.2).
Försiktighet ska iakttas när man överväger användning av nivolumab till en patient som tidigare har haft en allvarlig eller livshotande hudreaktion vid tidigare behandling med andra immunstimulerande läkemedel mot cancer.
Övriga immunrelaterade biverkningar
Följande immunrelaterade biverkningar rapporterades hos färre än 1 % av patienterna behandlade med nivolumab som monoterapi eller nivolumab i kombination med ipilimumab i kliniska studier, oavsett dos eller tumörtyp: pankreatit, uveit, demyelinisering, autoimmun neuropati (inklusive ansikts- och abducenspares), Guillain-Barrés syndrom, myastenia gravis, myasteniskt syndrom, aseptisk meningit, encefalit, gastrit, sarkoidos, duodenit, myosit, myokardit, rabdomyolys och myelit. Fall av Vogt‑Koyanagi‑Haradas syndrom, hypoparatyreoidism och icke-infektiös cystit har rapporterats efter godkännandet för försäljning (se avsnitt 4.2 och 4.8).
Vid misstänkta immunrelaterade biverkningar ska adekvat utredning göras för att bekräfta etiologi eller utesluta andra orsaker. Baserat på allvarlighetsgraden av biverkningen, gör uppehåll med nivolumab eller kombinationen av nivolumab och ipilimumab och ge kortikosteroider. Vid förbättring kan nivolumab eller kombinationen av nivolumab och ipilimumab återupptas efter nedtrappning av kortikosteroidbehandling. Nivolumab eller kombinationen av nivolumab och ipilimumab ska sättas ut permanent vid alla allvarliga immunrelaterade biverkningar som inträffar igen och vid alla livshotande immunrelaterade biverkningar.
Fall av myotoxicitet (myosit, myokardit och rabdomyolys), inklusive fatala fall, har rapporterats med nivolumab eller kombinationen av nivolumab och ipilimumab. Om en patient utvecklar tecken eller symtom på myotoxicitet, ska patienten övervakas noga och utan dröjsmål remitteras till specialist för utvärdering och behandling. Beroende på myotoxicitetens allvarlighetsgrad bör man göra ett dosuppehåll eller avbryta behandlingen med nivolumab eller kombinationen av nivolumab och ipilimumab, och sätta in lämplig behandling.
Myokardit ska betraktas som en klart möjlig diagnos. Patienter med hjärt- eller hjärt-lungsymtom bör utvärderas för potentiell myokardit. Om misstanke om myokardit föreligger bör man snabbt initiera behandling med hög dos av steroider (prednison 1‑2 mg/kg/dag eller metylprednisolon 1‑2 mg/kg/dag) och omedelbart initiera kontakt med kardiologkonsult för en noggrann kardiologisk utredning enligt gällande klinisk praxis. När myokardit har fastställts, bör uppehåll göras i behandlingen med nivolumab, eller nivolumab i kombination med ipilimumab, alternativt bör behandlingen sättas ut permanent (se avsnitt 4.2).
Avstötning av organtransplantat har rapporterats efter godkännandet för försäljning hos patienter som behandlas med PD-1-hämmare. Behandling med nivolumab kan öka avstötningsrisken hos organtransplanterade patienter. Nyttan med behandling med nivolumab ska vägas mot risken för möjlig organavstötning hos dessa patienter.
Hemofagocyterande lymfohistiocytos (HLH) har setts med nivolumab som monoterapi och nivolumab i kombination med ipilimumab. Försiktighet bör iakttas när nivolumab administreras som monoterapi eller i kombination med ipilimumab. Vid bekräftad HLH ska administreringen av nivolumab eller nivolumab i kombination med ipilimumab avbrytas och behandling av HLH inledas.
Infusionsreaktioner
Infusionsreaktioner, inklusive allvarliga infusionsreaktioner har rapporterats i kliniska studier med enbart nivolumab, nivolumab i kombination med ipilimumab eller andra läkemedel (se avsnitt 4.8). Vid fall av allvarliga eller livshotande infusionsreaktioner ska infusionen med nivolumab eller kombinationen av nivolumab och ipilimumab eller annat läkemedel avslutas och lämplig medicinsk behandling ges. Patienter med mild eller måttlig infusionsreaktion kan få nivolumab eller kombinationen av nivolumab och ipilimumab eller andra läkemedel under noggrann övervakning och tillsammans med premedicinering i enlighet med lokala riktlinjer för profylax mot infusionsreaktioner.
Sjukdomsspecifik försiktighet
Avancerat melanom
Patienter med nedsatt allmäntillstånd (performance-status ≥ 2), aktiva hjärnmetastaser eller leptomeningeala metastaser, autoimmun sjukdom samt patienter som hade fått systemisk immunsuppressiv behandling innan studiestart, exkluderades från de pivotala kliniska studierna med nivolumab eller nivolumab i kombination med ipilimumab (se avsnitt 4.5 och 5.1). Patienter med okulärt/uvealt melanom exkluderades från de pivotala kliniska studierna vid melanom. Utöver det exkluderades även patienter som haft en biverkning av grad 4 som var relaterad till anti-CTLA-4-behandling i CA209037 (se avsnitt 5.1). Patienter med nedsatt allmäntillstånd (performance-status 2), behandlade leptomeningeala metastaser, okulärt/uvealt melanom, autoimmun sjukdom och patienter som haft en biverkning av grad 3-4 (som var relaterad till tidigare anti-CTLA-4-behandling) inkluderades i studien CA209172 (se avsnitt 5.1). I frånvaro av data på patienter som hade fått systemisk immunsuppressiv behandling innan studiestart och patienter med aktiva hjärnmetastaser eller leptomeningeala metastaser, ska nivolumab användas med försiktighet hos dessa populationer efter noggrant övervägande av den möjliga nytta/risk-balansen för den enskilda individen.
I jämförelse med nivolumab som monoterapi, sågs för nivolumab i kombination med ipilimumab en ökad progressionsfri överlevnad (PFS) endast hos patienter med lågt tumöruttryck av PD-L1. Förbättringen i totalöverlevnad var liknande mellan nivolumab i kombination med ipilimumab och nivolumab som monoterapi hos patienter med högt tumöruttryck av PD‑L1 (PD‑L1 ≥ 1 %). Innan behandling med kombinationen påbörjas, rekommenderas läkare att noggrant utvärdera den enskilda patienten och tumörkarakteristikan samt väga in den observerade effekten och toxiciteten av kombinationen jämfört med nivolumab som monoterapi (se avsnitt 4.8 och 5.1).
Användning av nivolumab till patienter med melanom med snabbt progredierande sjukdom
Innan behandling påbörjas hos patienter med snabbt progredierande sjukdom, ska läkaren överväga den fördröjda effekten av nivolumab (se avsnitt 5.1).
Adjuvant behandling av melanom
Det finns inga data från adjuvant behandling av patienter med melanom med följande riskfaktorer (se avsnitt 4.5 och 5.1):
patienter med tidigare autoimmun sjukdom eller annat tillstånd som kräver systemisk behandling med antingen kortikosteroider (≥ 10 mg prednison dagligen eller motsvarande) eller annan immunsuppressiv medicinering
patienter som tidigare behandlats för melanom (förutom patienter som opererats, erhållit adjuvant strålbehandling efter neurokirurgisk resektion för lesioner i centrala nervsystemet eller erhållit adjuvant interferonbehandling som avslutats ≥ 6 månader före randomisering)
patienter som tidigare behandlats med anti‑PD‑1, anti‑PD‑L1, anti‑PD‑L2, anti‑CD137 eller anti‑CTLA‑4-antikroppar (inklusive ipilimumab eller någon annan antikropp eller läkemedel som specifikt riktar in sig på co-stimulering av T‑celler eller checkpoint-vägar)
patienter under 18 år
I frånvaro av data, ska nivolumab användas med försiktighet hos dessa populationer efter noggrant övervägande av den möjliga nyttan/risken för den enskilda individen.
Icke-småcellig lungcancer
Första linjens behandling av icke-småcellig lungcancer
Patienter med aktiv autoimmun sjukdom, symtomatisk interstitiell lungsjukdom, sjukdomar som kräver systemisk immunsuppressiv behandling, aktiva (obehandlade) hjärnmetastaser, som tidigare erhållit systemisk behandling för avancerad sjukdom, eller som haft sensibiliserande EGFR-mutationer eller ALK-translokationer exkluderades från den pivotala studien vid första linjens behandling av icke-småcellig lungcancer (se avsnitt 4.5 och 5.1). Data för äldre patienter (≥ 75 år) är begränsade (se avsnitt 5.1). Hos dessa patienter ska nivolumab i kombination med ipilimumab och kemoterapi användas med försiktighet efter noggrant övervägande av den möjliga nytta/risk-balansen för den enskilda individen.
Behandling av icke-småcellig lungcancer efter tidigare kemoterapi
Patienter med nedsatt allmäntillstånd (performance-status ≥ 2), aktiva hjärnmetastaser, autoimmun sjukdom, symtomatisk interstitiell lungsjukdom och patienter som hade fått systemisk immunsuppressiv behandling innan studiestart, exkluderades från de pivotala kliniska studierna på icke-småcellig lungcancer (se avsnitt 4.5 och 5.1). Patienter med nedsatt allmäntillstånd (performance-status 2) inkluderades i studien CA209171 (se avsnitt 5.1). I frånvaro av data på patienter med autoimmun sjukdom, symtomatisk interstitiell lungsjukdom, aktiva hjärnmetastaser och patienter som hade fått systemisk immunsuppressiv behandling innan studiestart, ska nivolumab användas med försiktighet hos dessa populationer efter noggrant övervägande av den möjliga nytta/risk-balansen för den enskilda individen.
Innan behandling påbörjas hos patienter med sämre prognostiska faktorer och/eller aggressiv sjukdom, ska läkaren överväga den fördröjda effekten av nivolumab. Vid icke-småcellig lungcancer av icke-skivepiteltyp observerades fler dödsfall de första 3 månaderna för nivolumab jämfört med docetaxel. Faktorer som associerades med tidigt dödsfall var sämre prognostiska faktorer och/eller mer aggressiv sjukdom kombinerat med lågt eller inget uttryck av PD-L1 i tumören (se avsnitt 5.1).
Neoadjuvant behandling av icke‑småcellig lungcancer
Patienter med nedsatt allmäntillstånd (performance-status ≥ 2), aktiv autoimmun sjukdom, symtomatisk interstitiell lungsjukdom, medicinska tillstånd som krävde systemisk immunsuppression eller icke-resektabel eller metastaserad sjukdom vid studiestart och som tidigare hade fått cancerbehandling för resektabel sjukdom eller patienter som hade kända EGFR-mutationer eller ALK-translokationer exkluderades från den pivotala studien av neoadjuvant behandling av resektabel icke‑småcellig lungcancer (se avsnitt 5.1). I frånvaro av data ska nivolumab i kombination med kemoterapi användas med försiktighet hos dessa populationer efter noggrant övervägande av den möjliga nytta/risk-balansen för den enskilda individen.
Neoadjuvant och adjuvant behandling av icke‑småcellig lungcancer
Patienter med nedsatt allmäntillstånd (performance-status ≥ 2), perifer neuropati av grad 2 eller högre, aktiv autoimmun sjukdom, symtomatisk interstitiell lungsjukdom, medicinska tillstånd som krävde systemisk immunsuppression eller icke-resektabel eller metastaserad sjukdom vid studiestart och som tidigare hade fått cancerbehandling för resektabel sjukdom, patienter som hade EGFR-mutationer eller kända ALK-translokationer eller hjärnmetastaser exkluderades från den pivotala studien av neoadjuvant och adjuvant behandling av icke‑småcellig lungcancer (se avsnitt 4.5 och 5.1). I frånvaro av data ska nivolumab i kombination med kemoterapi användas med försiktighet hos dessa populationer efter noggrant övervägande av den möjliga nyttan/risken för den enskilda individen.
Malignt pleuramesoteliom
Patienter med primitivt peritonealt, perikardiellt eller tunica vaginalis mesoteliom, testikelmesoteliom, interstitiell lungsjukdom, aktiv autoimmun sjukdom, medicinska tillstånd som kräver systemisk immunsuppression eller hjärnmetastaser (såvida de inte opererats bort eller behandlats med stereotaktisk strålbehandling och inte vidareutvecklats inom 3 månader före studiestart) exkluderades från den pivotala kliniska studien vid första linjens behandling av malignt pleuramesoteliom (se avsnitt 4.5 och 5.1). I frånvaro av data ska nivolumab i kombination med ipilimumab användas med försiktighet hos dessa populationer efter noggrant övervägande av den möjliga nytta/risk-balansen för den enskilda individen.
Njurcellscancer
Nivolumab eller nivolumab i kombination med ipilimumab
Patienter med tidigare samtidigt förekommande hjärnmetastaser, aktiv autoimmun sjukdom eller medicinska tillstånd som kräver systemisk immunsuppression exkluderades från de kliniska studierna med nivolumab eller nivolumab i kombination med ipilimumab (se avsnitt 4.5 och 5.1). I frånvaro av data, ska nivolumab eller nivolumab i kombination med ipilimumab användas med försiktighet hos dessa populationer efter noggrant övervägande av den möjliga nytta/risk-balansen för den enskilda individen.
Nivolumab i kombination med kabozantinib
Patienter med aktiva hjärnmetastaser, autoimmun sjukdom eller medicinska tillstånd som kräver systemisk immunosuppression exkluderades från de kliniska studierna med nivolumab i kombination med kabozantinib (se avsnitt 4.5 och 5.1). I frånvaro av data, ska nivolumab i kombination med kabozantinib användas med försiktighet hos dessa populationer efter noggrant övervägande av den möjliga nytta/risk-balansen för den enskilda individen.
När nivolumab ges med kabozantinib har högre frekvens av ALAT-och ASAT-stegring, grad 3 och 4, rapporterats jämfört med nivolumab monoterapi hos patienter med avancerad njurcellscancer (se avsnitt 4.8). Leverenzymvärden ska granskas innan behandling påbörjas och regelbundet under pågående behandling. Följ riktlinjerna (se avsnitt 4.2 och produktresumén för kabozantinib) för den medicinska hanteringen av båda läkemedlen.
Klassiskt Hodgkins lymfom
Nivolumab som monoterapi
Patienter med aktiv autoimmun sjukdom och symtomatisk interstitiell lungsjukdom exkluderades från kliniska studier mot klassiskt Hodgkins lymfom (se avsnitt 5.1). I frånvaro av data, ska nivolumab användas med försiktighet hos dessa populationer efter noggrant övervägande av den möjliga nytta/risk-balansen för den enskilda individen.
Nivolumab i kombination med brentuximab vedotin
Patienter med aktiv autoimmun sjukdom, med nodulärt lymfocyt-predominant Hodgkins lymfom och som tidigare hade exponerats för anti‑PD1-, anti‑PDL1-, anti‑PD‑L2-, anti‑CD137- eller anti‑CTLA‑4-antikropp, eller annan antikropp eller annat läkemedel som specifikt riktar in sig på co-stimulering av T‑celler eller checkpoint-vägar, exkluderades från den kliniska prövningen av nivolumab i kombination med brentuximab vedotin för behandling av klassiskt Hodgkins lymfom (se avsnitt 5.1).
Komplikationer med allogen hematopoetisk stamcellstransplantation vid klassiskt Hodgkins lymfom
Fall av akut graft‑versus‑host disease (GVHD) och transplantationsrelaterad dödlighet har observerats vid uppföljning av patienter med klassiskt Hodgkins lymfom som genomgår hematopoetisk stamcellstransplantation efter tidigare exponering för nivolumab. Den möjliga nyttan med hematopoetisk stamcellstransplantation, och den eventuellt ökade risken för transplantationsrelaterade komplikationer, bör noga övervägas från fall till fall (se avsnitt 4.8).
Efter godkännandet för försäljning har rapporter inkommit om snabbt utvecklande och allvarlig GVHD, i vissa fall fatala, hos patienter som behandlats med nivolumab efter allogen hematopoetisk stamcellstransplantation. Risken för allvarlig GVHD och död, speciellt hos dem som redan haft GVHD, kan öka vid behandling med nivolumab hos patienter som genomgått allogen hematopoetisk stamcellstransplantation. För dessa patienter måste nyttan i förhållande till risken med behandlingen övervägas (se avsnitt 4.8).
Huvud- och halscancer
Patienter med nedsatt allmäntillstånd (performance-status ≥ 2), aktiva hjärnmetastaser eller leptomeningeala metastaser, aktiv autoimmun sjukdom, medicinska tillstånd som kräver systemisk immunsuppressiv behandling, eller primär cancer i nasofarynx eller spottkörtlarna exkluderades från den kliniska studien på skivepitelial huvud- och halscancer (se avsnitt 4.5 och 5.1). I frånvaro av data, ska nivolumab användas med försiktighet hos dessa populationer efter noggrant övervägande av den möjliga nytta/risk-balansen för den enskilda individen.
Innan behandling påbörjas hos patienter med sämre prognostiska faktorer och/eller aggressiv sjukdom, ska läkaren överväga den fördröjda effekten av nivolumab. Vid huvud- och halscancer observerades fler dödsfall de första 3 månaderna för nivolumab jämfört med docetaxel. Faktorer som associerades med tidigt dödsfall var ECOG performance-status, snabbt progredierande sjukdom vid tidigare platinabehandling och stor tumörbörda.
Urotelcellscancer
Behandling av avancerad urotelcellscancer
Patienter med nedsatt allmäntillstånd (performance-status ≥ 2), aktiva hjärnmetastaser eller leptomeningeala metastaser, aktiv autoimmun sjukdom, eller medicinska tillstånd som kräver systemisk immunsuppressiv behandling exkluderades från de kliniska studierna på urotelcellscancer (se avsnitt 4.5 och 5.1). I frånvaro av data, ska nivolumab användas med försiktighet hos dessa populationer efter noggrant övervägande av den möjliga nytta/risk-balansen för den enskilda individen.
Adjuvant behandling av urotelcellscancer
Patienter med nedsatt allmäntillstånd (performance-status ≥ 2) (förutom patienter med nedsatt allmäntillstånd (performance-status 2) som inte har fått neoadjuvant cisplatinbaserad kemoterapi och som inte anses vara lämpade för adjuvant cisplatinkemoterapi), evidens på sjukdom efter kirurgi, aktiv autoimmun sjukdom eller medicinska tillstånd som kräver systemisk immunsuppression exkluderades från den kliniska studien avseende adjuvant behandling av urotelcellscancer (se avsnitt 4.5 och 5.1). I frånvaro av data ska nivolumab användas med försiktighet i dessa populationer efter noggrant övervägande av den möjliga nytta/risk-balansen för den enskilda individen.
dMMR eller MSI-H kolorektalcancer
Patienter med nedsatt allmäntillstånd (performance-status ≥ 2), aktiva hjärnmetastaser eller leptomeningeala metastaser, aktiv autoimmun sjukdom, eller medicinska tillstånd som kräver systemisk immunsuppressiv behandling exkluderades från den kliniska studien på metastaserande dMMR eller MSI‑H kolorektalcancer (se avsnitt 4.5 och 5.1). I frånvaro av data, ska nivolumab i kombination med ipilimumab användas med försiktighet hos dessa populationer efter noggrant övervägande av den möjliga nytta/risk‑balansen för den enskilda individen.
Esofaguscancer av skivepiteltyp
Första linjens behandling av esofaguscancer av skivepiteltyp
Patienter med nedsatt allmäntillstånd (performance-status ≥ 2), samtidiga hjärnmetastaser i anamnesen, aktiv autoimmun sjukdom, medicinska tillstånd som krävde systemisk immunsuppression eller med hög risk för blödningar eller fistlar p.g.a. tydlig tumörinvasion i organ intill den esofageala tumören exkluderades från den kliniska studien på esofaguscancer av skivepiteltyp (se avsnitt 4.5 och 5.1). I frånvaro av data ska nivolumab i kombination med ipilimumab eller kemoterapi användas med försiktighet i dessa populationer efter noggrant övervägande av den möjliga nytta/risk-balansen för den enskilda individen.
I studien med första linjens behandling av esofaguscancer av skivepiteltyp observerades ett högre antal dödsfall inom fyra månader med nivolumab i kombination med ipilimumab jämfört med kemoterapi. Innan behandling påbörjas hos patienter med sämre prognostiska faktorer och/eller aggressiv sjukdom, ska läkaren överväga den fördröjda effekten av nivolumab i kombination med ipilimumab (se avsnitt 5.1).
Behandling av esofaguscancer av skivepiteltyp efter tidigare första linjens kemoterapi
Majoriteten av tillgänglig klinisk data vid esofaguscancer av skivepiteltyp kommer från behandling av patienter med asiatiskt ursprung (se avsnitt 5.1).
Patienter med nedsatt allmäntillstånd (performance-status ≥ 2), hjärnmetastaser som var symptomatiska eller krävde behandling, tydlig tumörinvasion i esofagus intilliggande organ, (till exempel aortan eller luftvägarna), aktiv autoimmun sjukdom, eller medicinska tillstånd som kräver systemisk immunsuppressiv behandling exkluderades från den kliniska studien på esofaguscancer av skivepiteltyp (se avsnitt 4.5 och 5.1). I frånvaro av data, ska nivolumab användas med försiktighet hos dessa populationer efter noggrant övervägande av den möjliga nytta/risk-balansen för den enskilda individen.
Innan behandling påbörjas hos patienter med esofaguscancer av skivepiteltyp, ska läkaren överväga den fördröjda effekten av nivolumab. Vid 2,5 månader efter randomisering observerades fler dödsfall med nivolumab jämfört med kemoterapi. Ingen specifik faktor associerad med tidig död kunde identifieras (se avsnitt 5.1).
Adjuvant behandling av esofaguscancer eller cancer i gastroesofageala övergången
Patienter med nedsatt allmäntillstånd (performance-status ≥ 2), som inte fick samtidig kemoradioterapi (KRT) före operation, med stadium IV resektabel sjukdom, aktiv autoimmun sjukdom eller medicinska tillstånd som kräver systemisk immunsuppressiv behandling exkluderades från den kliniska studien på esofaguscancer och cancer i gastroesofageala övergången (se avsnitt 4.5 och 5.1). I frånvaro av data, ska nivolumab användas med försiktighet hos dessa populationer efter noggrant övervägande av den möjliga nytta/risk-balansen för den enskilda individen.
Adenocarcinom i ventrikeln, gastroesofageala övergången eller esofagus
Patienter med ECOG performance-status ≥ 2 vid studiestart, obehandlade metastaser i centrala nervsystemet, aktiv, känd eller misstänkt autoimmun sjukdom eller medicinska tillstånd som krävde immunsuppression exkluderades från den kliniska studien avseende adenocarcinom i ventrikeln, GEJ eller esofagus (se avsnitt 4.5 och 5.1). I frånvaro av data ska nivolumab i kombination med kemoterapi användas med försiktighet hos dessa populationer efter noggrant övervägande av den möjliga nyttan/risken för den enskilda individen.
Studie CA209649 exkluderade patienter med känd HER2-positiv status. Patienter med obestämd status tilläts att delta i studien och representerade 40,3 % av patienterna (se avsnitt 5.1).
Hepatocellulärt karcinom
Patienter med ECOG performance status på ≥ 2 vid studiestart, tidigare genomgången levertransplantation, Child-Pugh C-leversjukdom, en historik av samtidiga hjärnmetastaser, en historik av leverencefalopati (inom 12 månader från randomisering), kliniskt signifikant ascites, HIV-infektion eller samtidig aktiv infektion med hepatit B virus (HBV) och hepatit C virus (HCV) eller HBV- och hepatit D virus (HDV), aktiv autoimmun sjukdom eller medicinska tillstånd som krävde systemisk immunsuppression exkluderades från den kliniska studien på hepatocellulärt karcinom (se avsnitt 4.5 och 5.1). Data för patienter med hepatocellulärt karcinom och Child-Pugh B är begränsade. I frånvaro av data ska nivolumab i kombination med ipilimumab följt av nivolumab användas med försiktighet hos dessa populationer efter noggrant övervägande av den möjliga nytta/risk-balansen för den enskilda individen.
Vid HCC observerades fler dödsfall de första 6 månaderna med nivolumab i kombination med ipilimumab jämfört med lenvatinib eller sorafenib. En högre risk för död kan vara associerat med sämre prognostiska faktorer. Innan behandling med nivolumab i kombination med ipilimumab påbörjas hos patienter med sämre prognostiska faktorer, ska läkaren överväga denna risk.
Patienter med kontrollerad saltdiet
Varje ml av detta läkemedel innehåller 0,1 mmol (eller 2,5 mg) natrium. Detta läkemedel innehåller 10 mg natrium per 4 ml injektionsflaska, 25 mg natrium per 10 ml injektionsflaska, 30 mg natrium per 12 ml injektionsflaska eller 60 mg natrium per 24 ml injektionsflaska, motsvarande 0,5 %, 1,25 %, 1,5 % respektive 3 % av WHOs högsta rekommenderat dagligt intag (2 g natrium för vuxna). Intaget av natrium kan variera om natriumklorid används under spädningsstegen.
OPDIVO innehåller polysorbat 80 (E433)
Detta läkemedel innehåller 0,94 mg polysorbat 80 per 4 ml injektionsflaska; 2,14 mg polysorbat 80 per 10 ml injektionsflaska; 2,6 mg polysorbat 80 per 12 ml injektionsflaska och 5,0 mg polysorbat 80 per 24 ml injektionsflaska. Polysorbater kan orsaka allergiska reaktioner.
Patientkort
Alla som förskriver OPDIVO måste vara insatta i förskrivarinformationen och behandlingsriktlinjerna avseende OPDIVO. Förskrivaren måste diskutera riskerna med OPDIVO-behandling med patienten. Patienten ska förses med ett patientkort vid varje förskrivningstillfälle.
Nivolumab är en human monoklonal antikropp och därför har farmakokinetiska interaktionsstudier inte utförts. Då monoklonala antikroppar inte metaboliseras av cytokrom P450(CYP)-enzymer eller andra läkemedelsmetaboliserande enzymer, förväntas inte samtidig administrering av läkemedel som inhiberar eller inducerar dessa enzymer påverka farmakokinetiken av nivolumab.
Andra former av interaktioner
Systemisk immunsuppression
Användningen av systemiska kortikosteroider och andra immunsuppressiva behandlingar vid start, innan behandling med nivolumab påbörjas, bör undvikas med anledning av dess möjliga påverkan på den farmakodynamiska aktiviteten. Systemiska kortikosteroider och andra immunsuppressiva behandlingar kan dock användas, efter att behandling med nivolumab har påbörjats, för behandling av immunrelaterade biverkningar. De preliminära resultaten visar att systemisk immunsuppression efter att behandling med nivolumab påbörjats inte verkar försämra effekten av nivolumab.
Graviditet
Det finns inga data från användningen av nivolumab hos gravida kvinnor. Djurstudier har visat embryofetala toxikologiska effekter (se avsnitt 5.3). Det är känt att humant IgG4 passerar placentabarriären och då nivolumab är en IgG4 kan nivolumab potentiellt överföras från modern till det växande fostret. Nivolumab rekommenderas inte under graviditet eller till fertila kvinnor som inte använder preventivmedel om inte den kliniska nyttan överväger den möjliga risken. Preventivmedel ska användas i minst 5 månader efter den sista dosen av nivolumab.
Amning
Det är okänt om nivolumab utsöndras i bröstmjölk. Eftersom många läkemedel, inklusive antikroppar, kan utsöndras i bröstmjölk kan en risk för nyfödda barn/spädbarn inte uteslutas. Ett beslut måste fattas om att avbryta amningen eller avbryta behandlingen med nivolumab, beroende på fördelen med amning för barnet och fördelen med behandling för kvinnan.
Fertilitet
Studier som utvärderar effekten av nivolumab på fertilitet har inte utförts. Därmed är effekten av nivolumab på manlig och kvinnlig fertilitet okänd.
Nivolumab eller nivolumab i kombination med ipilimumab eller andra läkemedel kan ha en mindre effekt på förmågan att framföra fordon och använda maskiner. På grund av risken för biverkningar som trötthet (se avsnitt 4.8) ska patienter rådas att vara försiktiga då de framför fordon eller använder maskiner tills de är säkra på att nivolumab inte har negativ inverkan på dem.
Nivolumab som monoterapi (se avsnitt 4.2)
Sammanfattning av säkerhetsprofilen
I den sammanslagna datan från alla tumörtyper med nivolumab som monoterapi (n = 4 646) med en minsta uppföljningstid på 2,3 till 28 månader, var de vanligast (≥ 10 %) förekommande biverkningarna trötthet (44 %), muskuloskeletal smärta (28 %), diarré (26 %), hudutslag (24 %), hosta (22 %), illamående (22 %), klåda (19 %), minskad aptit (17 %), artralgi (17 %), förstoppning (16 %), dyspné (16 %), buksmärta (15 %), övre luftvägsinfektion (15 %), feber (13 %), huvudvärk (13 %), anemi (13 %) och kräkningar (12 %). Majoriteten av biverkningarna var milda till måttliga (grad 1 eller 2). Incidensen av biverkningar av grad 3–5 var 44 %, varav 0,3 % var biverkningar med dödlig utgång som kunde tillskrivas studieläkemedlet. Vid en uppföljningstid på minst 63 månader inom icke‑småcellig lungcancer, sågs inga nya säkerhetssignaler.
Biverkningstabell
Biverkningar som rapporterats i den sammanslagna datan för patienter som behandlats med nivolumab som monoterapi (n = 4 646) presenteras i tabell 17. Biverkningarna är uppdelade efter organsystemklass och frekvens. Frekvenserna definieras som: mycket vanliga (≥ 1/10), vanliga (≥ 1/100, < 1/10), mindre vanliga (≥ 1/1 000, < 1/100), sällsynta (≥ 1/10 000, < 1/1 000), mycket sällsynta (< 1/10 000) och ingen känd frekvens (kan inte beräknas från tillgängliga data). Inom varje frekvensgrupp är biverkningarna presenterade efter fallande allvarlighetsgrad.
Biverkningsfrekvenser som anges i tabell 17 kan inte enbart tillskrivas nivolumab utan kan även ha samband med underliggande sjukdom.
a Fall med dödlig utgång har rapporterats i slutförda eller pågående kliniska studier.
b Frekvenserna av laboratoriefynden motsvarar andelen patienter som fick försämrade laboratorievärden jämfört med utgångsvärdet. Se “Beskrivning av utvalda biverkningar; Onormala laboratorievärden” nedan.
c Hudutslag är en sammansatt term som innefattar makulopapulöst, erytematöst, klådliknande, follikulärt, makulöst, morbilliformt, papulöst, pustulöst, vesikulärt och exfoliativt utslag, dermatit inklusive akneliknande, allergisk, atopisk, bullös, exfoliativ och psoriasiform dermatit, läkemedelsorsakat utslag samt pemfigoid.
d Även rapporterat i studier utanför den sammanslagna datan. Frekvensen är baserad på exponeringen i hela programmet.
e Muskuloskeletal smärta är en sammansatt term som innefattar ryggsmärta, skelettsmärta, muskuloskeletal bröstsmärta, muskuloskeletalt obehag, myalgi, interkostal myalgi, nacksmärta, smärta i extremiteter och spinal smärta.
f Biverkning som rapporterats efter godkännandet för försäljning (se även avsnitt 4.4).
g Rapporterat i kliniska studier och efter godkännandet för försäljning.
h Perikardiella rubbningar är en sammansatt term som innefattar perikardit, perikardiell utgjutning, hjärttamponad och Dresslers syndrom.
i Anemi är en sammansatt term som bland annat innefattar hemolytisk anemi och autoimmun anemi, minskat hemoglobinvärde, järnbristanemi och minskat antal röda blodkroppar.
j Inkluderar binjurebarksvikt, akut binjurebarksvikt och sekundär binjurebarksvikt.
k Inkluderar encefalit och limbisk encefalit.
l Ödem är en sammansatt term som inkluderar generaliserat ödem, perifert ödem, perifer svullnad och svullnad.
Nivolumab i kombination med andra läkemedel (se avsnitt 4.2)
Sammanfattning av säkerhetsprofilen
När nivolumab administreras i kombination med andra läkemedel, se produktresumén för dessa läkemedel för ytterligare information om säkerhetsprofilen innan behandlingen påbörjas.
Nivolumab i kombination med ipilimumab (med eller utan kemoterapi)
I den sammanslagna datan från patienter som behandlats med nivolumab i kombination med ipilimumab (med eller utan kemoterapi) vid olika tumörtyper (n = 2 626), med en minsta uppföljningstid i intervallet 6 till 47 månader, var de vanligast förekommande biverkningarna (≥ 10 %) trötthet (47 %), diarré (35 %), hudutslag (37 %), illamående (27 %), klåda (29 %), muskuloskeletal smärta (26 %), feber (23 %), minskad aptit (22 %), hosta (21 %), buksmärta (18 %), kräkningar (18 %), förstoppning (18 %), artralgi (18 %), dyspné (17 %), hypotyreos (16 %), huvudvärk (15 %), övre luftvägsinfektion (13 %), ödem (13 %) och yrsel (10 %). Incidensen av biverkningar av grad 3–5 var 66 % för nivolumab i kombination med ipilimumab (med eller utan kemoterapi), varav 1,0 % var biverkningar med dödlig utgång som kunde tillskrivas studieläkemedlet. Bland patienter som behandlats med nivolumab 1 mg/kg i kombination med ipilimumab 3 mg/kg för melanom rapporterades trötthet (62 %), hudutslag (57 %), diarré (52 %), illamående (42 %), klåda (40 %), feber (36 %) och huvudvärk (26 %) med en ≥ 10 % högre incidens än i den sammanslagna datan för nivolumab i kombination med ipilimumab (med eller utan kemoterapi). Bland patienter som behandlats med 360 mg nivolumab i kombination med ipilimumab 1 mg/kg och kemoterapi för icke-småcellig lungcancer rapporterades anemi (32 %) och neutropeni (15 %) med en ≥ 10 % högre incidens än i den sammanslagna datan för nivolumab i kombination med ipilimumab (med eller utan kemoterapi).
Nivolumab i kombination med kemoterapi
I den sammanslagna datan från patienter som behandlats med nivolumab 240 mg varannan vecka eller 360 mg var tredje vecka i kombination med kemoterapi vid olika tumörtyper (n = 1 800), med en minsta uppföljningstid i intervallet 7,4 till 23,6 månader eller efter 3 behandlingscykler av resektabel icke‑småcellig lungcancer, var de vanligast förekommande biverkningarna (≥ 10 %) illamående (48 %), trötthet (40 %), perifer neuropati (33 %), minskad aptit (31 %), förstoppning (31 %), diarré (28 %), kräkningar (24 %), hudutslag (19 %), buksmärta (18 %), stomatit (18 %), muskuloskeletal smärta (18 %), feber (16 %), hosta (13 %), ödem (inklusive perifert ödem) (12 %) och klåda (11 %). Incidensen av biverkningar av grad 3–5 var 69 % för nivolumab i kombination med kemoterapi, varav 1,2 % var biverkningar med dödlig utgång som kunde tillskrivas nivolumab i kombination med kemoterapi. Mediantiden för behandling var 6,14 månader (95 % KI: 5,78, 6,60) för nivolumab i kombination med kemoterapi. Vid resektabel icke‑småcellig lungcancer erhöll 93 % av patienterna 3 cykler med nivolumab i kombination med kemoterapi.
Nivolumab i kombination med kabozantinib
Enligt data från patienter som behandlats med nivolumab 240 mg varannan vecka i kombination med kabozantinib 40 mg en gång dagligen vid njurcellscancer (n =320), med en minsta uppföljningstid på 16,0 månader, var de vanligaste biverkningarna (≥ 10 %) diarré (64,7 %), trötthet (51,3 %), palmar‑plantar erytrodysestesi (40,0 %), stomatit (38,8 %), muskuloskeletal smärta (37,5 %), hypertoni (37,2 %), hudutslag (36,3 %), hypotyreos (35,6 %), minskad aptit (30,3 %), illamående (28,8 %), buksmärta (25,0 %), dysgeusi (23,8 %), övre luftvägsinfektion (20,6 %), hosta (20,6 %), klåda (20,6 %), artralgi (19,4 %), kräkningar (18,4 %), dysfoni (17,8 %), huvudvärk (16,3 %), dyspepsi (15,9 %), yrsel (14,1 %), förstoppning (14,1 %), pyrexi (14,1 %), ödem (13,4 %), muskelspasmer (12,2 %), dyspné (11,6 %), proteinuri (10,9 %) och hypertyreos (10,0 %). Incidensen av biverkningar av grad 3–5 var 78 %, varav 0,3 % var biverkningar med dödlig utgång som kunde tillskrivas studieläkemedlet.
Nivolumab i kombination med brentuximab vedotin
I datauppsättningen för 3 mg/kg nivolumab var tredje vecka i kombination med 1,8 mg/kg brentuximab vedotin var tredje vecka hos alla behandlade patienter med recidiverande eller refraktärt klassiskt Hodgkins lymfom (n = 72), med en minsta uppföljningstid på 40,7 månader, var de vanligaste biverkningarna (≥ 10 %) illamående (50,0 %), hudutslag (29,2 %), feber (26,4 %), huvudvärk (25,0 %), diarré (25,0 %), muskuloskeletal smärta (25,0 %), buksmärta (22,2 %), överkänslighet (20,8 %), infusionsrelaterad reaktion (18,1 %), kräkningar (18,1 %), utmattning (18,1 %), förhöjda transaminaser (13,9 %) och förstoppning (11,1 %). Incidensen av biverkningar av grad 3–5 var 36,1 %. Inga dödliga läkemedelsrelaterade biverkningar rapporterades.
Biverkningstabell
Biverkningar som rapporterats i den sammanslagna datan för patienter som behandlats med nivolumab i kombination med ipilimumab (med eller utan kemoterapi) (n = 2 626), nivolumab i kombination med kemoterapi (n = 1 800) och nivolumab i kombination med kabozantinib (n = 320) presenteras i tabell 18. Biverkningarna är uppdelade efter organsystemklass och frekvens. Frekvenserna definieras som: mycket vanliga (≥ 1/10), vanliga (≥ 1/100, < 1/10), mindre vanliga (≥ 1/1 000, < 1/100), sällsynta (≥ 1/10 000, < 1/1 000) och ingen känd frekvens (kan inte beräknas från tillgängliga data). Inom varje frekvensgrupp är biverkningarna presenterade efter fallande allvarlighetsgrad.
Tabell 18: Biverkningar med nivolumab i kombination med andra läkemedel
Biverkningsfrekvenser som anges i tabell 18 kan inte enbart tillskrivas nivolumab ensamt eller i kombination med andra läkemedel utan kan även ha samband med underliggande sjukdom eller andra läkemedel som används samtidigt.
a Fall med dödlig utgång har rapporterats i slutförda eller pågående kliniska studier.
b Frekvenserna av laboratoriefynden motsvarar andelen patienter som fick försämrade laboratorievärden jämfört med utgångsvärdet. Se ”Beskrivning av utvalda biverkningar; Onormala laboratorievärden” nedan.
c Hudutslag är en sammansatt term som innefattar makulopapulöst, erytematöst, klådliknande, follikulärt, makulöst, morbilliformt, papulöst, pustulöst, papuloskvamöst, vesikulärt och generaliserat utslag, exfoliativt utslag, dermatit inklusive akneliknande, allergisk, atopisk, bullös, exfoliativ och psoriasiform dermatit, läkemedelsorsakat utslag, nodulärt utslag samt pemfigoid.
d Lichensjukdomar är en sammansatt term som innefattar lichenoid keratos och lichen planus.
e Även rapporterat i studier utanför den sammanslagna datan. Frekvensen är baserad på exponeringen i hela programmet.
f Muskuloskeletal smärta är en sammansatt term som innefattar ryggsmärta, skelettsmärta, muskuloskeletal bröstsmärta, muskuloskeletalt obehag, myalgi, interkostal myalgi, nacksmärta, smärta i extremiteter och spinal smärta.
g Biverkning som rapporterats efter godkännandet för försäljning (se även avsnitt 4.4).
h Rapporterat i kliniska studier och efter godkännandet för försäljning.
i Perikardiella rubbningar är en sammansatt term som innefattar perikardit, perikardiell utgjutning, hjärttamponad och Dresslers syndrom.
j Anemi är en sammansatt term som bland annat innefattar hemolytisk anemi och autoimmun anemi, minskat hemoglobinvärde, järnbristanemi och minskat antal röda blodkroppar.
k Trombos är en sammansatt term som innefattar portavenstrombos, lungvenstrombos, lungtrombos, aortatrombos, arteriell trombos, djup ventrombos, bäckenvenstrombos, trombos i vena cava, ventrombos, ventrombos i armar och ben.
Biverkningar som har rapporterats för patienter som behandlats med nivolumab i kombination med brentuximab vedotin (n = 72) presenteras i tabell 19. Biverkningarna är uppdelade efter organsystemklass och frekvens. Frekvenserna definieras som mycket vanliga (≥ 1/10) och vanliga (≥ 1/100, < 1/10).
Beskrivning av utvalda biverkningar
Nivolumab ensamt eller i kombination med andra läkemedel är associerat med immunrelaterade biverkningar. Med lämplig medicinsk behandling upphörde de immunrelaterade biverkningarna i de flesta fall. Permanent utsättning av behandlingen krävdes i allmänhet för en större andel av patienterna som fick nivolumab i kombination med andra läkemedel än för de som fick nivolumab som monoterapi. Tabell 20 visar andelen patienter med immunrelaterade biverkningar där behandling sattes ut permanent utifrån doseringsregim. För de patienter som upplevde en biverkning visar tabell 20 även andelen patienter med biverkningar som krävde högdosbehandling med kortikosteroider (motsvarande minst 40 mg prednison dagligen) utifrån doseringsregim. Riktlinjer hur dessa biverkningar ska hanteras beskrivs i avsnitt 4.4.
Tabell 20: Immunrelaterade biverkningar som ledde till permanent utsättning eller krävde högdosbehandling med kortikosteroider uppdelat per doseringsregim (nivolumab som monoterapi, nivolumab i kombination med ipilimumab (med eller utan kemoterapi), nivolumab i kombination med kemoterapi eller nivolumab i kombination med kabozantinib)
a Motsvarande minst 40 mg prednison dagligen
b Frekvensen baseras på antalet patienter som upplevt den immunrelaterade biverkningen.
Immunrelaterad pneumonit
Hos patienter som behandlades med nivolumab som monoterapi var incidensen av pneumonit, inklusive interstitiell lungsjukdom och lunginfiltration, 3,3 % (155/4 646). Majoriteten av fallen var av grad 1 eller 2 i allvarlighetsgrad och rapporterades hos 0,9 % (42/4 646) respektive 1,7 % (77/4 646) av patienterna. Fall av grad 3 och 4 rapporterades hos 0,7 % (33/4 646) respektive < 0,1 % (1/4 646) av patienterna. För sex av patienterna (0,1 %) var utgången dödlig. Mediantiden till debut var 15,1 veckor (intervall: 0,7‑85,1). Hos 107 patienter (69,0 %) upphörde biverkningarna efter 6,7 veckor (medianvärde; intervall: 0,1+–109,1+), + anger att observation är censurerad).
Hos patienter som behandlades med nivolumab i kombination med ipilimumab (med eller utan kemoterapi) var incidensen av pneumonit, inklusive interstitiell lungsjukdom, 6,0 % (157/2 626). Fall av grad 2, grad 3 och grad 4 rapporterades hos 3,0 % (78/2 626), 1,0 % (27/2 626) respektive 0,3 % (8/2 626) av patienterna. För fyra av patienterna (0,2 %) var utgången dödlig. Mediantiden till debut var 2,7 månader (intervall: 0,1–56,8). Biverkningarna upphörde hos 129 patienter (82,2 %) efter 6,1 veckor (medianvärde; intervall: 0,1+–149,3+).
Hos patienter som behandlades med nivolumab i kombination med kemoterapi var incidensen av pneumonit, inklusive interstitiell lungsjukdom, 4,4 % (80/1 800). Fall av grad 2, grad 3 och grad 4 rapporterades hos 2,2 % (40/1 800), 0,9 % (17/1 800) respektive 0,2 % (3/1 800) av patienterna. För tre av patienterna (0,2 %) var utgången dödlig. Mediantiden till debut var 24,6 veckor (intervall: 0,6–96,9). Hos 58 patienter (72,5 %) upphörde biverkningarna efter 10,4 veckor (medianvärde; intervall: 0,3+–171,4+).
Hos patienter som behandlades med nivolumab i kombination med kabozantinib var incidensen av pneumonit, inklusive interstitiell lungsjukdom, 5,6 % (18/320). Fall av grad 2 och grad 3 rapporterades hos 1,9 % (6/320) respektive 1,6 % (5/320) av patienterna. Mediantiden till debut var 26,9 veckor (intervall: 12,3–74,3 veckor). Hos 14 patienter (77,8 %) upphörde biverkningarna efter 7,5 veckor (medianvärde; intervall: 2,1–60,7+ veckor).
Immunrelaterad kolit
Hos patienter som behandlades med nivolumab som monoterapi var incidensen av diarré, kolit eller ökad avföringsfrekvens 15,4 % (716/4 646). Majoriteten av fallen var av grad 1 eller 2 i allvarlighetsgrad och rapporterades hos 9,9 % (462/4 646) respektive 4,0 % (186/4 646) av patienterna. Fall av grad 3 och 4 rapporterades hos 1,4 % (67/4 646) respektive < 0,1 % (1/4 646) av patienterna. Mediantiden till debut var 8,3 veckor (intervall: 0,1–115,6). Hos 639 patienter (90,3 %) upphörde biverkningarna efter 2,9 veckor (medianvärde; intervall: 0,1–124,4+).
Hos patienter som behandlades med nivolumab i kombination med ipilimumab (med eller utan kemoterapi) var incidensen av diarré eller kolit 26,0 % (682/2 626). Fall av grad 2, grad 3 och grad 4 rapporterades hos 8,1 % (212/2 626), 6,4 % (167/2 626) respektive 0,2 % (4/2 626) av patienterna. För två patienter (< 0,1 %) var utgången dödlig. Mediantiden till debut var 1,4 månader (intervall: 0,0–48,9). Biverkningarna upphörde hos 618 patienter (91 %) efter 2,9 veckor (medianvärde; intervall: 0,1–170,0+). Bland patienter som behandlades med 1 mg/kg nivolumab i kombination med 3 mg/kg ipilimumab för melanom var incidensen av diarré eller kolit 46,7 %, inklusive grad 2 (13,6 %), grad 3 (15,8 %) och grad 4 (0,4 %).
Hos patienter som behandlades med nivolumab i kombination med kemoterapi var incidensen av diarré eller kolit 22,5 % (405/1 800). Fall av grad 2, grad 3 och grad 4 rapporterades hos 7,2 % (130/1 800), 3,1 % (56/1 800) respektive 0,3 % (6/1 800) av patienterna. För en patient (< 0,1 %) var utgången dödlig. Mediantiden till debut var 4,4 veckor (intervall: 0,1–93,6). Hos 357 patienter (88,6 %) upphörde biverkningarna efter 1,6 veckor (medianvärde; intervall: 0,1–212,3+).
Hos patienter som behandlades med nivolumab i kombination med kabozantinib var incidensen av diarré, kolit, ökad avföringsfrekvens eller enterit 59,1 % (189/320). Fall av grad 2 och grad 3 rapporterades hos 25,6 % (82/320) respektive 6,3 % (20/320) av patienterna. Grad 4 rapporterades hos 0,6 % (2/320). Mediantiden till debut var 12,9 veckor (intervall: 0,3–110,9 veckor). Hos 143 patienter (76,1 %) upphörde biverkningarna efter 12,9 veckor (medianvärde; intervall: 0,1–139,7+ veckor).
Immunrelaterad hepatit
Hos patienter som behandlades med nivolumab som monoterapi var incidensen av onormala leverfunktionsvärden 8,0 % (371/4 646). Majoriteten av fallen var av grad 1 eller 2 i allvarlighetsgrad och rapporterades hos 4,3 % (200/4 646) respektive 1,8 % (82/4 646) av patienterna. Fall av grad 3 och 4 rapporterades hos 1,6 % (74/4 646) respektive 0,3 % (15/4 646) av patienterna. Mediantiden till debut var 10,6 veckor (intervall: 0,1–132,0). Hos 298 patienter (81,4 %) upphörde biverkningarna efter 6,1 veckor (medianvärde; intervall: 0,1–126,4+).
Hos patienter som behandlades med nivolumab i kombination med ipilimumab (med eller utan kemoterapi) var incidensen av onormala leverfunktionsvärden 21,2 % (556/2 626). Fall av grad 2, grad 3 och grad 4 rapporterades hos 5,0 % (132/2 626), 8,3 % (218/2 626) respektive 1,3 % (34/2 626) av patienterna. För sju patienter (0,3 %) var utgången dödlig. Mediantiden till debut var 1,5 månader (intervall: 0,0–36,6). Biverkningarna upphörde hos 482 patienter (87,0 %) efter 5,9 veckor (medianvärde; intervall: 0,1–175,9+). Bland patienter som behandlades med nivolumab 1 mg/kg i kombination med ipilimumab 3 mg/kg för melanom var incidensen av onormala leverfunktionsvärden 30,1 %, inklusive grad 2 (6,9 %), grad 3 (15,8 %) och grad 4 (1,8 %). Bland patienter som behandlades med nivolumab 1 mg/kg i kombination med ipilimumab 3 mg/kg för hepatocellulärt karcinom var incidensen av onormala leverfunktionsvärden 34,3 % innefattat grad 2 (8,4 %), grad 3 (14,2 %) och grad 4 (2,7 %).
Hos patienter som behandlades med nivolumab i kombination med kemoterapi var incidensen av onormala leverfunktionsvärden 18 % (322/1 800). Fall av grad 2, grad 3 och grad 4 rapporterades hos 5,1 % (92/1 800), 2,6 % (47/1 800) respektive < 0,1 % (1/1 800) av patienterna. Mediantiden till debut var 7,0 veckor (intervall: 0,1–99,0). Hos 258 patienter (81,1 %) upphörde biverkningarna efter 7,4 veckor (medianvärde; intervall: 0,4–240,0+).
Hos patienter som behandlades med nivolumab i kombination med kabozantinib var incidensen av onormala leverfunktionsvärden 41,6 % (133/320). Fall av grad 2, grad 3 och grad 4 rapporterades hos 14,7 % (47/320), 10,3 % (33/320) respektive 0,6 % (2/320) av patienterna. Mediantiden till debut var 8,3 veckor (intervall: 0,1–107,9 veckor). Hos 101 patienter (75,9 %) upphörde biverkningarna efter 9,6 veckor (medianvärde; intervall: 0,1–89,3+ veckor).
Immunrelaterad nefrit och nedsatt njurfunktion
Hos patienter som behandlades med nivolumab som monoterapi var incidensen av nefrit eller nedsatt njurfunktion 2,6 % (121/4 646). Majoriteten av fallen var av grad 1 eller 2 i allvarlighetsgrad och rapporterades hos 1,5 % (69/4 646) respektive 0,7 % (32/4 646) av patienterna. Fall av grad 3 och 4 rapporterades hos 0,4 % (18/4 646) respektive < 0,1 % (2/4 646) av patienterna. Mediantiden till debut var 12,1 veckor (intervall: 0,1–79,1). Hos 80 patienter (69,0 %) upphörde biverkningarna efter 8,0 veckor (medianvärde; intervall: 0,3–79,1+).
Hos patienter som behandlades med nivolumab i kombination med ipilimumab (med eller utan kemoterapi) var incidensen av nefrit eller nedsatt njurfunktion 5,4 % (141/2 626). Fall av grad 2, grad 3 och grad 4 rapporterades hos 2,0 % (52/2 626), 0,8 % (21/2 626) respektive 0,4 % (11/2 626) av patienterna. För två av patienterna (< 0,1 %) var utgången dödlig. Mediantiden till debut var 2,6 månader (intervall: 0,0–34,8). Biverkningarna upphörde hos 110 patienter (78,0 %) efter 5,9 veckor (medianvärde; intervall: 0,1–172,1+).
Hos patienter som behandlades med nivolumab i kombination med kemoterapi var incidensen av nefrit eller nedsatt njurfunktion 10,9 % (196/1 800). Fall av grad 2, grad 3 och grad 4 rapporterades hos 3,7 % (66/1 800), 1,4 % (25/1 800) respektive 0,2 % (3/1 800) av patienterna. För två patienter (0,1 %) var utgången dödlig. Mediantid till debut var 6,7 veckor (intervall: 0,1–60,7). Hos 133 patienter (67,9 %) upphörde biverkningarna efter 9,1 veckor (medianvärde; intervall: 0,1–226,0+).
Hos patienter som behandlades med nivolumab i kombination med kabozantinib var incidensen av nefrit, immunmedierad nefrit, njursvikt, akut njurskada, ökat blodkreatinin eller ökat blodurea 10,0 % (32/320). Fall av grad 2 och grad 3 rapporterades hos 3,4 % (11/320) respektive 1,3 % (4/320) av patienterna. Mediantid till debut var 14,2 veckor (intervall: 2,1–87,1 veckor). Hos 18 patienter (58,1 %) upphörde biverkningarna efter 10,1 veckor (medianvärde; intervall: 0,6–90,9+ veckor).
Immunrelaterad endokrinopati
Hos patienter som behandlades med nivolumab som monoterapi var incidensen av sköldkörtelrubbning, inklusive hypotyreos eller hypertyreos, 13,0 % (603/4 646). Majoriteten av fallen var av grad 1 eller 2 i allvarlighetsgrad och rapporterades hos 6,6 % (305/4 646) respektive 6,2 % (290/4 646) av patienterna. Sköldkörtelrubbning av grad 3 rapporterades hos 0,2 % (8/4 646) av patienterna. Hypofysit (3 grad 1, 7 grad 2, 9 grad 3, och 1 grad 4), hypopituitarism (6 grad 2 och 1 grad 3), binjurebarksvikt (inklusive sekundär binjurebarksvikt, akut binjurebarksvikt och minskat kortikotropin i blodet) (2 grad 1, 23 grad 2 och 11 grad 3), diabetes mellitus (inklusive diabetes mellitus typ 1 och diabetisk ketoacidos) (1 grad 1, 3 grad 2, 8 grad 3 och 2 grad 4) rapporterades. Mediantiden till debut av dessa endokrinopatier var 11,1 veckor (intervall: 0,1–126,7). Biverkningarna upphörde hos 323 patienter (48,7 %). Mediantiden till att biverkningarna upphörde var 48,6 veckor (intervall: 0,4–204,4+).
Hos patienter som behandlades med nivolumab i kombination med ipilimumab (med eller utan kemoterapi) var incidensen av sköldkörtelrubbning 23,2 % (608/2 626). Sköldkörtelrubbning av grad 2 och grad 3 rapporterades hos 12,7 % (333/2 626) respektive 1,0 % (27/2 626) av patienterna. Hypofysit (inklusive lymfocytisk hypofysit) av grad 2 och grad 3 inträffade hos 1,9 % (49/2 626) respektive 1,5 % (40/2 626) av patienterna. Hypopituitarism av grad 2 och grad 3 inträffade hos 0,6 % (16/2 626) respektive 0,5 % (13/2 626) av patienterna. Binjuresvikt (inklusive sekundär binjurebarksvikt, akut binjurebarksvikt, minskat kortikotropin i blodet och immunmedierad binjurebarksvikt) av grad 2, grad 3 och grad 4 inträffade hos 2,7 % (72/2 626), 1,6 % (43/2 626), respektive 0,2 % (4/2 626) av patienterna. Diabetes mellitus (inklusive diabetes mellitus typ 1 och diabetisk ketoacidos) av grad 1, grad 2, grad 3 och grad 4 inträffade hos < 0,1 % (1/2 626), 0,3 % (8/2 626), 0,3 % (7/2 626) respektive 0,2 % (6/2 626) av patienterna. Mediantid till debut för dessa endokrinopatier var 2,1 månader (intervall: 0,0–28,1). Biverkningarna upphörde hos 297 patienter (40,0 %). Tiden till att biverkningarna upphörde varierade mellan 0,3 och 257,1+ veckor.
Hos patienter som behandlades med nivolumab i kombination med kemoterapi var incidensen av sköldkörtelrubbning 12,8 % (230/1 800). Sköldkörtelrubbning av grad 2 och grad 3 rapporterades hos 6,3 % (114/1 800) respektive 0,1 % (2/1 800) av patienterna. Hypofysit av grad 3 inträffade hos 0,1 % (2/1 800) av patienterna. Hypopituitarism av grad 2 och grad 3 inträffade hos vardera 0,2 % (4/1 800) av patienterna. Binjurebarksvikt av grad 2, grad 3 och grad 4 inträffade hos 0,6 % 11/1 800), 0,2 % (3/1 800) respektive < 0,1 % (1/1 800) av patienterna. För en patient (< 0,1 %) var utgången dödlig på grund av binjurebarksvikt. Diabetes mellitus inklusive diabetes mellitus typ I och fulminant diabetes mellitus typ I (4 grad 2, 2 grad 3 och 1 grad 4) och diabetisk ketoacidos (1 grad 2 och 1 grad 4) rapporterades. Mediantid till debut för dessa endokrinopatier var 15,3 veckor (intervall: 1,1–124,3). Biverkningarna upphörde hos 101 patienter (40,1 %). Tiden till att biverkningarna upphörde varierade mellan 0,3+ och 233,6+ veckor.
Hos patienter som behandlades med nivolumab i kombination med kabozantinib var incidensen av sköldkörtelrubbning 43,1 % (138/320). Sköldkörtelrubbning av grad 2 och grad 3 rapporterades hos 23,1 % (74/320) respektive 0,9 % (3/320) av patienterna. Hypofysit inträffade hos 0,6 % (2/320) av patienterna, samtliga av grad 2. Binjurebarksvikt (inklusive sekundär binjurebarksvikt) inträffade hos 4,7 % (15/320) av patienterna. Fall av grad 2 och grad 3 av binnjurebarksvikt rapporterades hos 2,2 % (7/320) respektive 1,9 % (6/320) av patienterna. Mediantid till debut av dessa endokrinopatier var 12,3 veckor (intervall: 2,0–89,7 veckor). Biverkningarna upphörde hos 50 patienter (35,2 %). Tiden till att biverkningarna upphörde varierade mellan 0,9 och 132,0+ veckor.
Immunrelaterade hudbiverkningar
Hos patienter som behandlades med nivolumab som monoterapi var incidensen av hudutslag 30,0 % (1 396/4 646). Majoriteten av fallen var av grad 1 i allvarlighetsgrad och rapporterades hos 22,8 % (1 060/4 646) av patienterna. Fall av grad 2 och 3 rapporterades hos 5,9 % (274/4 646) respektive 1,3 % (62/4 646) av patienterna. Mediantiden till debut var 6,7 veckor (intervall: 0,1–121,1). Biverkningarna upphörde hos 896 patienter (64,6 %) efter 20,1 veckor (medianvärde; intervall: 0,1–192,7+).
Hos patienter som behandlades med nivolumab i kombination med ipilimumab (med eller utan kemoterapi) var incidensen av hudutslag 46,1 % (1 210/2 626). Fall av grad 2, grad 3 och grad 4 rapporterades hos 14,3 % (375/2 626), 4,6 % (120/2 626) respektive 0,1 % (3/2 626) av patienterna. Mediantiden till debut var 0,7 månader (intervall: 0,0–33,8). Biverkningarna upphörde hos 843 patienter (70 %) efter 12,1 veckor (medianvärde; intervall: 0,1–268,7+). Bland patienter som behandlades med nivolumab 1 mg/kg i kombination med ipilimumab 3 mg/kg för melanom var incidensen av hudutslag 65,2 %, inklusive grad 2 (20,3 %) och grad 3 (7,8 %).
Hos patienter som behandlades med nivolumab i kombination med kemoterapi var incidensen av hudutslag 25,4 % (457/1 800). Fall av grad 2 och grad 3 rapporterades hos 6,2 % (111/1 800) respektive 2,3 % (42/1 800) av patienterna. Mediantid till debut var 6,4 veckor (intervall: 0,1–97,4). Biverkningarna upphörde hos 320 patienter (70,2 %) efter 12,1 veckor (medianvärde; intervall: 0,1–258,7+).
Hos patienter som behandlades med nivolumab i kombination med kabozantinib var incidensen av hudutslag 62,8 % (201/320). Fall av grad 2 och grad 3 rapporterades hos 23,1 % (74/320) respektive 10,6 % (34/320) av patienterna. Mediantid till debut var 6,14 veckor (intervall: 0,1–104,4 veckor). Biverkningarna upphörde hos 137 patienter (68,2 %) efter 18,1 veckor (medianvärde; intervall: 0,1–130,6+).
Sällsynta fall av SJS och TEN, inklusive fatala fall, har observerats (se avsnitt 4.2 och 4.4).
Infusionsreaktioner
Hos patienter som behandlades med nivolumab som monoterapi var incidensen av överkänslighets-/infusionsreaktioner 4,0 % (188/4 646) inklusive 9 fall av grad 3 och 3 fall av grad 4.
Hos patienter som behandlades med nivolumab i kombination med ipilimumab (med eller utan kemoterapi) var incidensen av överkänslighets‑/infusionsreaktioner 4,5 % (118/2 626). Fall av grad 1, grad 2, grad 3 och grad 4 rapporterades hos 1,9 % (49/2 626), 2,4 % (62/2 626), 0,2 % (6/2 626) respektive < 0,1 % (1/2 626) av patienterna. Bland patienter med malignt pleuramesoteliom som behandlades med nivolumab 3 mg/kg i kombination med ipilimumab 1 mg/kg var incidensen av överkänslighets‑/infusionsreaktioner 12 %.
Hos patienter som behandlades med nivolumab i kombination med kemoterapi var incidensen av överkänslighets‑/infusionsreaktioner 8,2 % (148/1 800). Fall av grad 2, grad 3 och grad 4 rapporterades hos 4,6 % (83/1 800), 1,1 % (20/1 800) respektive 0,2 % (3/1 800) av patienterna.
Hos patienter som behandlades med nivolumab i kombination med kabozantinib var incidensen av överkänslighets-/infusionsreaktioner 2,5 % (8/320). Allvarlighetsgraden var 1 eller 2 för samtliga 8 patienter. Fall av grad 2 rapporterades hos 0,3 % (1/320) av patienterna.
Komplikationer med allogen hematopoetisk stamcellstransplantation vid klassiskt Hodgkins lymfom
Snabb utveckling av GVHD har rapporterats vid användning av nivolumab före och efter allogen hematopoetisk stamcellstransplantation (se avsnitt 4.4).
Av 62 utvärderade patienter, från två studier vid klassiskt Hodgkins lymfom, som utvärderade behandlingen av vuxna patienter med recidiverande eller refraktärt klassiskt Hodgkins lymfom efter autolog stamcellstransplantation och som genomgick allogen hematopoetisk stamcellstransplantation efter avslutad monoterapi med nivolumab, rapporterades akut GVHD av grad 3 eller 4 hos 17 av de 62 patienterna (27,4 %). Hyperakut GVHD, definierad som akut GVHD som uppträder inom 14 dagar efter stamcellsinfusionen, rapporterades hos fyra patienter (6 %). Steroidkrävande feber, utan identifierad infektionsorsak, rapporterades för sex patienter (12 %) inom de första 6 veckorna efter transplantationen. Steroider användes hos fyra patienter och tre patienter svarade på steroidbehandlingen. Venös ocklusiv leversjukdom uppträdde hos två patienter, varav en dog av GVHD och multiorgansvikt. Nitton av 62 patienter (30,6 %) dog till följd av komplikationer av allogen hematopoetisk stamcellstransplantation efter nivolumab-behandling. För de 62 patienterna var mediantiden för uppföljning efter allogen hematopoetisk stamcellstransplantation 38,5 månader (intervall: 0-68 månader).
Förhöjda värden av leverenzym när nivolumab kombineras med kabozantinib vid njurcellscancer
I en klinisk studie med behandlingsnaiva patienter med njurcellscancer som fick nivolumab i kombination med kabozantinib observerades en högre incidens av ökat ALAT (10,1 %) och ASAT (8,2 %) av grad 3 och 4 jämfört med nivolumab monoterapi hos patienter med avancerad njurcellscancer. Hos patienter med ökat ALAT eller ASAT av grad ≥2 (n = 85): mediantid till debut var 10,1 veckor (intervall: 2,0–106,6 veckor), 26 % fick kortikosteroider under en mediantid på 1,4 veckor (intervall: 0,9–75,3 veckor), och biverkningarna av grad 0–1 upphörde hos 91 % efter 2,3 veckor (medianvärde; intervall: 0,4–108,1+). Bland de 45 patienter med ökat ALAT eller ASAT av grad ≥2 som återinsattes på antingen nivolumab (n=10) eller kabozantinib (n=10) administrerat som enskilt läkemedel eller båda (n=25), observerades återfall till ökat ALAT eller ASAT av grad ≥2 hos tre patienter som fick OPDIVO, fyra patienter som fick kabozantinib, och åtta patienter som fick både OPDIVO och kabozantinib.
Onormala laboratorievärden
Hos patienter som behandlades med nivolumab som monoterapi var andelen patienter som fick en förändring från ursprungsnivån till onormala laboratorievärden av grad 3 eller 4 följande: 3,4 % för anemi (alla grad 3), 0,7 % för trombocytopeni, 0,7 % för leukopeni, 8,7 % för lymfocytopeni, 0,9 % för neutropeni, 1,7 % för ökat alkaliskt fosfatas, 2,6 % för ökat ASAT, 2,3 % för ökat ALAT, 0,8 % för ökat totalbilirubin, 0,7 % för ökat kreatinin, 2,0 % för hyperglykemi, 0,7 % för hypoglykemi, 3,8 % för ökat amylas, 6,9 % för ökat lipas, 4,7 % för hyponatremi, 1,6 % för hyperkalemi, 1,3 % för hypokalemi, 1,1 % för hyperkalcemi, 0,6 % hypermagnesemi, 0,4 % för hypomagnesemi, 0,6 % för hypokalcemi, 0,6 % för hypoalbuminemi och < 0,1 % för hypernatremi.
Hos patienter som behandlades med nivolumab i kombination med ipilimumab (med eller utan kemoterapi) var andelen patienter som fick en försämring från ursprungsnivån till onormala laboratorievärden av grad 3 eller grad 4 följande: 4,8 % för anemi, 1,8 % för trombocytopeni, 2,2 % för leukopeni, 6,9 % för lymfopeni, 3,3 % för neutropeni, 2,7 % för ökat alkaliskt fosfatas, 9,8 % för ökat ASAT, 9,3 % för ökat ALAT, 2,3 % för ökat totalbilirubin 1,8 % för ökat kreatinin,1,4 % för hypoalbuminemi, 7,1 % för hyperglykemi, 0,7 % för hypoglykemi, 7,8 % för ökat amylas, 16,3 % för ökat lipas, 0,8 % för hypokalcemi, 0,2 % för hypernatremi, 0,8 % för hyperkalcemi, 2,0 % för hyperkalemi, 0,8 % för hypermagnesemi, 0,4 % för hypomagnesemi, 3,0 % för hypokalemi och 8,7 % för hyponatremi.
Bland patienter som behandlades med nivolumab 1 mg/kg i kombination med ipilimumab 3 mg/kg för melanom förvärrades biverkningen ökat ALAT till grad 3 eller grad 4 från ursprungsnivån för en högre andel patienter (15,3 %).
Hos patienter som behandlades med nivolumab i kombination med kemoterapi var andelen patienter som fick en försämring från ursprungsnivån till onormala laboratorievärden av grad 3 eller 4 följande: 14,7 % för anemi, 6,2 % för trombocytopeni, 11,7 % för leukopeni, 13,6 % för lymfopeni, 26,3 % för neutropeni, 2,0 % för ökat alkaliskt fosfatas, 3,3 % för ökat ASAT, 2,6 % för ökat ALAT, 1,9 % för ökat bilirubin, 1,3 % för ökat kreatinin, 4,5 % för ökat amylas, 5,2 % för ökat lipas, 0,4 % för hypernatremi, 8,1 % för hyponatremi, 1,8 % för hyperkalemi, 5,1 % för hypokalemi, 0,7 % för hyperkalcemi, 1,8 % för hypokalcemi, 1,5 % för hypermagnesemi, 2,9 % för hypomagnesemi, 3,7 % för hyperglykemi och 0,6 % för hypoglykemi.
Hos patienter som behandlades med nivolumab i kombination med kabozantinib var andelen patienter som fick en försämring från ursprungsnivån till onormala laboratorievärden av grad 3 eller 4 följande: 3,5 % för anemi (samtliga grad 3), 0,3 % för trombocytopeni, 0,3 % för leukopeni, 7,5 % för lymfopeni, 3,5 % för neutropeni, 3,2 % för ökat alkaliskt fosfatas, 8,2 % för ökat ASAT, 10,1 % för ökat ALAT, 1,3 % för ökat totalbilirubin, 1,3 % för ökat kreatinin, 11,9 % för ökat amylas, 15,6 % för ökat lipas, 3,5 % för hyperglykemi, 0,8 % för hypoglykemi, 2,2 % för hypokalcemi, 0,3 % för hyperkalcemi, 5,4 % för hyperkalemi, 4,2 % för hypermagnesemi, 1,9 % för hypomagnesemi, 3,2 % för hypokalemi, 12,3 % för hyponatremi och 21,2 % för hypofosfatemi.
Immunogenicitet
Av de 3 529 patienter som behandlades med nivolumab som monoterapi 3 mg/kg eller 240 mg varannan vecka och som var möjliga att utvärdera för närvaro av antikroppar mot läkemedlet, uppvisade 328 patienter (9,3 %) positiva svar för behandlingsrelaterade antikroppar mot läkemedlet och 21 patienter (0,6 %) uppvisade positiva svar för neutraliserande antikroppar.
Samtidig administrering med kemoterapi påverkade inte immunogeniciteten av nivolumab. Av de 1 407 patienter som behandlades med nivolumab 240 mg varannan vecka eller 360 mg var tredje vecka i kombination med kemoterapi och som var möjliga att utvärdera för närvaro av antikroppar mot läkemedlet, uppvisade 7,2 % positiva svar för behandlingsrelaterade antikroppar mot läkemedlet och 0,5 % uppvisade positiva svar för neutraliserande antikroppar.
Av de patienter som behandlades med nivolumab i kombination med ipilimumab och som var möjliga att utvärdera för närvaro av antikroppar mot nivolumab, var incidensen av antikroppar mot nivolumab 26,0 % för nivolumab 3 mg/kg och ipilimumab 1 mg/kg var 3:e vecka, 24,9 % för nivolumab 3 mg/kg varannan vecka och ipilimumab 1 mg/kg var 6:e vecka och 37,8 % för nivolumab 1 mg/kg och ipilimumab 3 mg/kg var 3:e vecka. Incidensen av neutraliserande antikroppar mot nivolumab var 0,8 % för nivolumab 3 mg/kg och ipilimumab 1 mg/kg var 3:e vecka, 1,5 % för nivolumab 3 mg/kg varannan vecka och ipilimumab 1 mg/kg var 6:e vecka och 4,6 % för nivolumab 1 mg/kg och ipilimumab 3 mg/kg var 3:e vecka. Av de patienter som var möjliga att utvärdera för närvaro av antikroppar mot ipilimumab, varierade incidensen av antikroppar mot ipilimumab från 6,3 % till 13,7 % och neutraliserande antikroppar mot ipilimumab från 0 till 0,4 %.
Hos patienter som behandlats med nivolumab i kombination med ipilimumab och kemoterapi och som var möjliga att utvärdera för närvaro av antikroppar eller neutraliserande antikroppar mot nivolumab, var incidensen av antikroppar mot nivolumab 33,8 % och incidensen av neutraliserade antikroppar mot nivolumab var 2,6 %. Hos patienter som behandlats med nivolumab i kombination med ipilimumab och kemoterapi och som var möjliga att utvärdera för närvaro av antikroppar mot ipilimumab eller neutraliserande antikroppar mot ipilimumab, var incidensen av antikroppar mot ipilimumab 7,5 % och incidensen av neutraliserade antikroppar mot ipilimumab var 1,6 %.
Hos patienter som behandlats med nivolumab i kombination med brentuximab vedotin och som var möjliga att utvärdera för förekomst av antikroppar mot nivolumab var incidensen av antikroppar mot nivolumab hos patienter med låg recidivrisk 36 % och hos patienter med standardrisk för recidiv 12,5 %. Inga patienter uppvisade positivt svar för neutraliserande antikroppar mot nivolumab.
Hos patienter som behandlats med nivolumab i kombination med brentuximab vedotin och som var möjliga att utvärdera för förekomst av antikroppar mot brentuximab vedotin var incidensen av antikroppar mot brentuximab hos patienter med låg recidivrisk 95,8 % och hos patienter med standardrisk för recidiv 58,5 %. Alla patienter som utvecklade antikroppar mot brentuximab vedotin uppvisade också positivt svar för neutraliserande antikroppar mot brentuximab vedotin.
Trots att clearance för nivolumab ökade med 20 % vid förekomst av nivolumabantikroppar, var inte förekomsten av nivolumabantikroppar förknippad med effektförlust eller förändrad toxisk profil baserat på analyser av farmakokinetik och exponeringsrespons för både monoterapi och kombinationen.
Pediatrisk population
Nivolumab som monoterapi eller nivolumab i kombination med ipilimumab
I den kliniska studien CA209070 utvärderades säkerheten för nivolumab som monoterapi (3 mg/kg varannan vecka) och i kombination med ipilimumab (1 mg/kg eller 3 mg/kg nivolumab i kombination med 1 mg/kg ipilimumab var tredje vecka de fyra första doserna, följt av 3 mg/kg nivolumab som monoterapi varannan vecka) hos 97 barn och ungdomar i åldern ≥ 1 år till < 18 år (varav 53 i åldern 12 till < 18 år) med återkommande eller refraktära solida eller hematologiska tumörer, inklusive avancerat melanom. Säkerhetsprofilen för barn och ungdomar liknade generellt den som ses för vuxna som får nivolumab som monoterapi eller i kombination med ipilimumab. Inga nya säkerhetssignaler identifierades. Långtidssäkerhetsdata för användning av nivolumab hos ungdomar 12 år och äldre är inte tillgängliga.
De vanligast rapporterade biverkningarna (rapporterade hos minst 20 %) för nivolumab som monoterapi var trötthet (35,9 %) och minskad aptit (21,9 %). Majoriteten av biverkningarna som rapporterades för nivolumab som monoterapi var av grad 1 eller 2 i svårighetsgrad. En eller flera biverkningar av grad 3 till 4 rapporterades hos tjugoen patienter (33 %).
De vanligast rapporterade biverkningarna (rapporterade hos minst 20 %) för nivolumab i kombination med ipilimumab var trötthet (33,3 %) och makulopapulära hudutslag (21,2 %). Majoriteten av biverkningarna rapporterade för nivolumab i kombination med ipilimumab var av grad 1 eller 2 i svårighetsgrad. En eller flera biverkningar av grad 3 till 4 rapporterades hos tio patienter (30 %).
Säkerheten för nivolumab som monoterapi (3 mg/kg varannan vecka) och i kombination med ipilimumab (3 mg/kg nivolumab följt av 1 mg/kg ipilimumab var tredje vecka i 4 doser, följt av 3 mg/kg nivolumab som monoterapi varannan vecka) utvärderades hos 151 pediatriska patienter i åldern ≥ 6 månader till < 18 år med höggradiga primära CNS-maligniteter. Inga nya säkerhetssignaler identifierades (se avsnitt 5.1) i förhållande till data som finns tillgängliga från studier på vuxna för olika indikationer.
Nivolumab i kombination med brentuximab vedotin
Säkerheten för nivolumab (3 mg/kg var tredje vecka) i kombination med brentuximab vedotin (1,8 mg/kg var tredje vecka) utvärderades hos 49 pediatriska patienter i åldern ≥ 5 till < 18 år med recidiverande eller refraktärt klassiskt Hodgkins lymfom i den kliniska studien CA209744. Inga nya säkerhetssignaler identifierades.
De vanligast rapporterade biverkningarna hos minst 20 % av de pediatriska patienterna som behandlades med nivolumab i kombination med brentuximab vedotin var illamående (57,1 %), feber (30,6 %), buksmärta (26,5 %), hudutslag (24,5 %), huvudvärk (22,4 %), muskuloskeletal smärta (22,4 %), diarré (20,4 %), kräkningar (20,4 %), utmattning (20,4 %), infusionsrelaterad reaktion (20,4 %) och överkänslighet (20,4 %). Majoriteten av biverkningarna rapporterade för nivolumab i kombination med brentuximab vedotin var av grad 1 eller 2 i svårighetsgrad. Biverkningar av grad 3 till 4 rapporterades hos 17 patienter (34,7 %).
Äldre
Ingen generella skillnader avseende säkerhet sågs mellan äldre (≥ 65 år) och yngre patienter (< 65 år). Data för patienter 75 år eller äldre, som behandlats för skivepitelial huvud- och halscancer eller som fått adjuvant behandling för melanom, esofaguscancer eller cancer i gastroesofageala övergången är för begränsade för att kunna dra några slutsatser för denna population (se avsnitt 5.1). Data för patienter 75 år eller äldre, som behandlats för dMMR eller MSI‑H kolorektalcancer, är begränsade (se avsnitt 5.1). Data för patienter 65 år eller äldre med klassiskt Hodgkins lymfom är för begränsade för att kunna dra några slutsatser för denna population (se avsnitt 5.1).
Hos patienter med malignt pleuramesoteliom förekom en högre frekvens av allvarliga biverkningar och behandlingsavbrott på grund av biverkningar hos patienter 75 år eller äldre (68 % respektive 35 %) jämfört med alla patienter som fick nivolumab i kombination med ipilimumab (54 % respektive 28 %). Hos patienter med hepatocellulärt karcinom var frekvensen allvarliga biverkningar och behandlingsavbrott på grund av biverkningar högre hos patienter 75 år eller äldre (67 % respektive 35 %) jämfört med alla patienter som fick nivolumab och ipilimumab (53 % respektive 27 %).
Gällande patienter som behandlats med nivolumab i kombination med kabozantinib är data från patienter 75 år eller äldre med njurcellscancer för begränsade för att kunna dra några slutsatser för denna population (se avsnitt 5.1).
Nedsatt lever- eller njurfunktion
I studien på icke-småcellig lungcancer av icke-skivepiteltyp (CA209057) var säkerhetsprofilen hos patienter med nedsatt njur- eller leverfunktion som utgångsvärde jämförbar med den för hela populationen. Dessa resultat ska tolkas med försiktighet med anledning av den begränsade storleken inom subgrupperna.
Rapportering av misstänkta biverkningar
Inga fall av överdosering har rapporterats i kliniska studier. Vid händelse av överdosering ska patienten övervakas noga för tecken och symtom på biverkningar och lämplig symtomatisk behandling ska sättas in omedelbart.
Melanom
Adjuvant behandling av melanom
Randomiserad fas 3‑studie med nivolumab jämfört med placebo (CA20976K)
Säkerhet och effekt för nivolumab 480 mg som monoterapi för behandling av patienter med totalt resekterat melanom utvärderades i en randomiserad, dubbelblind fas 3‑studie (CA20976K). I studien ingick patienter med en ECOG performance‑status på 0 eller 1, med stadium IIB eller IIC enligt American Joint Committee on Cancer (AJCC), åttonde upplagan, histologiskt bekräftat melanom som kirurgiskt totalt resekterats. För inklusion krävdes total resektion av det primära melanomet med negativ marginal och en negativ portvaktskörtelbiopsi inom 12 veckor före randomiseringen. Patienter inkluderades oavsett tumörens PD‑L1‑status. Studien exkluderade patienter med okulärt/uvealt eller mukosalt melanom, aktiv autoimmun sjukdom, tillstånd som krävde systemisk behandling med antingen kortikosteroider (≥ 10 mg prednison eller motsvarande per dag) eller andra immunsuppressiva läkemedel, liksom patienter som, med undantag för kirurgi, tidigare hade behandlats för melanom.
Totalt randomiserades 790 patienter (2:1) till att få antingen 480 mg nivolumab (n = 526) administrerat intravenöst under 30 minuter var fjärde vecka eller placebo (n = 264) i upp till 1 år eller tills sjukdomsåterfall eller oacceptabel toxicitet. Randomiseringen stratifierades enligt T‑kategori i åttonde upplagan av AJCC (T3b kontra T4a kontra T4b). Tumörutvärderingar gjordes var 26:e vecka under år 1–3 och var 52:e vecka från år 3 till år 5. Det primära effektmåttet var återfallsfri överlevnad. Återfallsfri överlevnad, utvärderad av prövaren, definierades som tiden mellan randomiseringsdatum och datum för första återfall (lokala, regionala eller distala metastaser), nytt primärt melanom eller död oavsett orsak, beroende på vilket som inträffade först. Sekundära effektmått inkluderade totalöverlevnad och fjärrmetastasfri överlevnad.
Karakteristika vid studiestart var likvärdiga mellan de två grupperna. Medianåldern var 62 år (intervall: 19–92), 61 % var män och 98 % var vita. ECOG performance‑status vid studiestart var 0 (94 %) eller 1 (6 %). Sextio procent hade stadium IIB och 40 % hade stadium IIC.
Vid en primär förhandsspecificerad interimsanalys (minsta uppföljningstid 7,8 månader) sågs en statistiskt signifikant förbättring av återfallsfri överlevnad med nivolumab jämfört med placebo, med en riskkvot på 0,42 (95 % KI: 0,30, 0,59, p < 0,0001). Vid en uppdaterad deskriptiv analys av återfallsfri överlevnad (minsta uppföljningstid 15,6 månader) sågs fortsatt en förbättring av återfallsfri överlevnad med nivolumab, med en riskkvot på 0,53 (95 % KI: 0,40, 0,71). Data för totalöverlevnad var inte mogna. Vid ytterligare en deskriptiv analys av återfallsfri överlevnad (minsta uppföljningstid 26,9 månader) sågs fortsatt en förbättring av återfallsfri överlevnad med nivolumab, med en riskkvot på 0,62 (95 % KI: 0,47, 0,80). Medianuppföljningstiden var 34,25 månader för nivolumab-armen och 33,92 månader för placeboarmen. Resultaten överensstämde med den formella interimsanalysen. Resultaten av analyserna med en minsta uppföljningstid på 15,6 månader sammanfattas i tabell 21 och figur 1.
Tabell 21: Effektresultat (CA20976K)
Fördelen i återfallsfri överlevnad sågs genomgående i alla viktiga subgrupper, som sjukdomsstadium, T‑kategori och ålder.
Figur 1: Återfallsfri överlevnad (CA20976K)
Data utifrån tumöruttryck av PD‑L1 var tillgängliga för 302 av 790 (38,2 %) randomiserade patienter (36,3 % och 42,0 % i nivolumab- respektive placeboarmen) då PD‑L1-uttryck inte var någon stratifieringsfaktor för randomisering. Explorativa analyser av återfallsfri överlevnad utifrån PD‑L1-uttryck visade en riskkvot för nivolumab jämfört med placebo på 0,43 (95 % KI: 0,22, 0,84) hos patienter med PD‑L1-uttryck ≥ 1 % (n = 167), 0,82 (95 % KI: 0,44, 1,54) hos patienter med PD‑L1-uttryck < 1 % (n = 135) och 0,50 (95 % KI: 0,34, 0,73) hos patienter med PD‑L1-uttryck som var obestämbart/inte hade rapporterats/inte var möjligt att utvärdera (n = 488).
Randomiserad fas 3‑studie med nivolumab jämfört med ipilimumab 10 mg/kg (CA209238)
Säkerhet och effekt för nivolumab 3 mg/kg som monoterapi för behandling av patienter med totalt resekterat melanom utvärderades i en randomiserad, dubbelblind fas 3‑studie (CA209238). I studien ingick vuxna patienter med en ECOG performance‑status på 0 eller 1, med stadium IIIB/C eller stadium IV enligt American Joint Committee on cancer (AJCC), sjunde upplagan, histologiskt bekräftat melanom som kirurgiskt totalt resekterats. Enligt AJCC, åttonde upplagan, motsvarar detta patienter med involverade lymfkörtlar eller med metastaser. Patienter inkluderades oavsett tumörens PD‑L1‑status. Patienter med tidigare autoimmun sjukdom eller annat tillstånd som kräver systemisk behandling med antingen kortikosteroider (≥ 10 mg prednison dagligen eller motsvarande) eller annan immunsuppressiv behandling, liksom patienter med tidigare behandling för melanom (förutom patienter som opererats, erhållit adjuvant strålbehandling efter neurokirurgisk resektion för lesioner i centrala nervsystemet eller erhållit adjuvant interferonbehandling som avslutats ≥ 6 månader före randomisering), tidigare behandling med anti‑PD‑1, anti‑PD‑L1, anti‑PD‑L2, anti‑CD137, eller anti‑CTLA‑4‑antikroppar (inklusive ipilimumab eller någon annan antikropp eller läkemedel som specifikt riktar in sig på co‑stimulering av T‑celler eller checkpointvägar), exkluderades från studien.
Totalt randomiserades 906 patienter till att få antingen nivolumab 3 mg/kg (n = 453) administrerat varannan vecka, eller ipilimumab 10 mg/kg (n = 453) administrerat var 3:e vecka de 4 första doserna och därefter var 12:e vecka med start vecka 24, i upp till 1 år. Randomiseringen stratifierades med avseende på tumörens PD‑L1 uttryck (≥ 5 % jämfört med < 5 %/obestämbar), och sjukdomsstadium enligt AJCCs bedömningssystem. Tumörutvärdering utfördes var 12:e vecka de första 2 åren och därefter var 6:e månad. Primärt effektmått var återfallsfri överlevnad (RFS). Återfallsfri överlevnad, utvärderad av prövare, definierades som tiden mellan randomiseringsdatum och datum för första återfall (lokala, regionala eller distala metastaser), nytt primärt melanom eller död oavsett orsak, beroende på vilket som inträffade först.
Karakteristika vid studiestart var balanserade mellan de två de grupperna. Medianåldern var 55 år (intervall: 18–86), 58 % var män och 95 % var vita. ECOG performance‑status vid studiestart var 0 (90 %) eller 1 (10 %). Majoriteten av patienterna hade AJCC sjukdomsstadium III (81 %) och 19 % hade sjukdomsstadium IV. Fyrtioåtta procent av patienterna hade makroskopiska lymfkörtlar och 32 % hade tumörulceration. Fyrtiotvå procent av patienterna hade positiv BRAF V600‑mutation medan 45 % hade BRAF‑vildtyp och 13 % hade okänd BRAF‑status. Gällande PD‑L1 tumöruttryck hade 34 % av patienterna ett PD‑L1‑uttryck ≥ 5 % och 62 % hade < 5 %, fastställt genom testet som användes i den kliniska prövningen. Bland patienter med kvantifierbara PD‑L1 tumöruttryck, var fördelningen av patienter balanserad mellan behandlingsgrupperna. PD‑L1 tumöruttryck fastställdes genom att använda testet PD‑L1 IHC 28‑8 pharmDx.
En primär förhandsspecificerad interimsanalys (minsta uppföljningstid 18 månader) visade på en statistiskt signifikant förbättring i återfallsfri överlevnad med nivolumab jämfört med ipilimumab med en riskkvot på 0,65 (97,56 % KI: 0,51, 0,83; stratifierad log-rank p < 0,0001). I en uppdaterad deskriptiv analys av återfallsfri överlevnad, med minsta uppföljningstid på 24 månader, bekräftades förbättringen med en riskkvot på 0,66 (95 % Kl: 0,54, 0,81; p < 0,0001), data för totalöverlevnad var inte mogna vid tidpunkten för denna analys. Effektresultaten, med en minsta uppföljningstid på 36 månader (förhandsspecificerad final analys av återfallsfri överlevnad) och 48 månader (förhandsspecificerad final analys av totalöverlevnad), visas i tabell 22 och i figur 2 och 3 (alla randomiserade patienter).
Tabell 22: Effektresultat (CA209238)
Med en minsta uppföljningstid på 36 månader, visade studien en statistiskt signifikant förbättring i återfallsfri överlevnad hos patienter som randomiserats till nivolumab-armen jämfört med armen med ipilimumab 10 mg/kg. Fördelen i återfallsfri överlevnad visades genomgående för alla subgrupper, inklusive PD‑L1-tumöruttryck, BRAF-status och sjukdomsstadium. Med en minsta uppföljningstid på 48 månader, se i figur 2, visade studien fortsatt förbättring i återfallsfri överlevnad i nivolumab-armen jämfört med ipilimumab-armen. Fördelen i återfallsfri överlevnad bibehölls för alla subgrupper.
Figur 2: Återfallsfri överlevnad (CA209238)
Figur 3: Totalöverlevnad (CA209238)
Median totalöverlevad, vid en minsta uppföljningstid på 48 månader, uppnåddes inte i någon grupp (riskkvot = 0,87, 95,03 % KI: 0,66, 1,14; p‑värde: 0,3148),se figur 3. Resultatet för totalöverlevnad kan vara missvisande på grund av effekten av efterföljande effektiva behandlingar mot cancer. Efterföljande systemisk behandling erhölls av 33 % respektive 42 % av patienterna i nivolumab‑ och ipilimumab-armen. Efterföljande immunterapi (inklusive anti‑PD1‑behandling, anti‑CTLA‑4‑antikropp eller annan immunterapi) erhölls av 23 % respektive 34 % av patienterna i nivolumab‑ och ipilimumab-armen.
Livskvaliteten (QoL) vid behandling med nivolumab förblev stabil och nära de värden som sågs vid studiestart, fastställt av valida och tillförlitliga skalor som European Organisation for Research and Treatment of Cancer (EORTC) QLQ‑C30 och EQ‑5D utility index och visual analog scale (VAS).
Behandling av avancerat melanom
Randomiserad fas 3-studie jämfört med dakarbazin (CA209066)
Säkerhet och effekt för nivolumab 3 mg/kg för behandling av avancerat (icke-resektabelt eller metastaserande) melanom utvärderades i en randomiserad, dubbelblind fas 3-studie (CA209066). I studien ingick vuxna patienter (18 år eller äldre) med bekräftad, behandlingsnaiv melanomsjukdom av BRAF-vildtyp i stadium III eller IV och med en ECOG performance-status på 0 eller 1. Patienter med aktiv autoimmun sjukdom, okulärt melanom eller aktiva hjärnmetastaser eller leptomeningeala metastaser exkluderades från studien.
Totalt 418 patienter randomiserades till att få antingen 3 mg/kg nivolumab (n = 210) administrerat intravenöst under 60 minuter varannan vecka eller 1 000 mg/m2 dakarbazin (n = 208) var 3:e vecka. Randomiseringen stratifierades med avseende på tumörens PD-L1-status och M-stadium (M0/M1a/M1b jämfört med M1c). Behandlingen fortsatte så länge klinisk nytta sågs eller tills behandlingen inte längre tolererades. Behandling efter sjukdomsprogress var tillåten för patienter med en klinisk nytta och som inte hade betydande biverkningar av studieläkemedlet enligt prövarens bedömning. Tumörutvärdering, enligt Response Evaluation Criteria in Solid Tumours (RECIST), version 1.1, utfördes 9 veckor efter randomisering och fortsatte var 6:e vecka under det första året och därefter var 12:e vecka. Primärt effektmått var totalöverlevnad (OS). De viktigaste sekundära effektmåtten var prövarbedömd progressionsfri överlevnad (PFS) och objektiv responsfrekvens (ORR).
Karakteristika vid studiestart var balanserad mellan de två grupperna. Medianåldern var 65 år (intervall: 18-87), 59 % var män och 99,5 % var vita. De flesta patienterna hade ECOG performance-status 0 (64 %) eller 1 (34 %). Sextioen procent av patienterna hade M1c-melanom vid studiestart. Sjuttiofyra procent av patienterna hade kutant melanom och 11 % hade mukosalt melanom; 35 % av patienterna hade PD-L1-positivt melanom (≥ 5 % uttryck på tumörcellernas membran). Sexton procent av patienterna hade fått tidigare adjuvant behandling och interferon var vanligast (9 %). Fyra procent av patienterna hade en anamnes av hjärnmetastaser och 37 % av patienterna hade en LDH-nivå högre än ULN vid studiestart.
Kaplan-Meier-kurvor för totalöverlevnad visas i figur 4.
Figur 4: Kaplan‑Meier-kurvor för totalöverlevnad (CA209066)
—Δ— Nivolumab (händelser: 50/210), median och 95 % KI: Ej tillämpbart---О--- Dakarbazin (händelser: 96/208), median och 95 % KI: 10,84 (9,33, 12,09)
Den observerade fördelen i totalöverlevnad var genomgående för alla subgrupper av patienter oavsett utgångsvärde för ECOG-performance status, M-stadium, tidigare hjärnmetastaser och utgångsvärde för LDH-nivå. Överlevnadsvinst visades oavsett om patienterna hade tumörer som var PD-L1-negativa eller PD-L1-positiva (cut-off för uttryck på cellmembran var 5 % eller 10 %).
Tillgängliga data tyder på att effekten av nivolumab kan vara fördröjd vilket gör att fördelen jämfört med kemoterapi kan ta 2-3 månader.
Effektresultat visas i tabell 23.
Tabell 23: Effektresultat (CA209066)
Randomiserad fas 3-studie jämfört med kemoterapi (CA209037)
Säkerhet och effekt för nivolumab 3 mg/kg vid behandling av avancerat (icke-resektabelt eller metastaserande) melanom utvärderades i en randomiserad, öppen, fas 3-studie (CA209037). I studien ingick vuxna patienter som progredierat under eller efter behandling med ipilimumab och om positiv BRAF V600-mutation, även progredierat under eller efter behandling med en BRAF‑hämmare. Patienter med aktiv autoimmun sjukdom, okulärt melanom, aktiva hjärnmetastaser eller leptomeningeala metastaser, eller en tidigare bakgrund med allvarliga (grad 4 enligt CTCAE v4.0) ipilimumabrelaterade biverkningar, med undantag för övergående illamående, trötthet, infusionsreaktioner eller endokrinopatier, exkluderades från studien.
Totalt randomiserades 405 patienter till att få antingen 3 mg/kg nivolumab (n = 272) administrerat intravenöst under 60 minuter varannan vecka eller kemoterapi (n = 133) vilket bestod av prövarens val av antingen dakarbazin (1 000 mg/m2 var tredje vecka) eller karboplatin (AUC 6 var tredje vecka) och paklitaxel (175 mg/m2 var tredje vecka). Randomiseringen stratifierades med avseende på BRAF- och tumörens PD-L1-status och bästa respons av tidigare ipilimumab-behandling.
Co-primärt effektmått var bekräftad objektiv responsfrekvens hos de första 120 patienterna behandlade nivolumab, mätt av en oberoende radiologisk granskningskommitté (IRRC) genom att använda RECIST version 1.1, och jämföra totalöverlevnad för nivolumab mot kemoterapi. Ytterligare effektmått inkluderade varaktigheten av och tid till respons.
Medianåldern var 60 år (intervall: 23‑88). Sextiofyra procent av patienterna var män och 98 % var vita. ECOG performance-status var 0 för 61 % av patienterna och 1 för 39 % av patienterna. Majoriteten (75 %) hade stadium M1c vid studiestart. Sjuttiotre procent hade kutant melanom och 10 % hade mukosalt melanom. Antalet tidigare systemiska behandlingar var 1 för 27 % av patienterna, 2 för 51 % av patienterna och > 2 för 21 % av patienterna. Tjugotvå procent av patienterna hade tumörer med en positiv BRAF-mutation och 50 % av patienterna hade tumörer som ansågs PD‑L1-positiva. Sextiofyra procent av patienterna hade ingen tidigare klinisk nytta (CR/PR eller SD) av ipilimumab. Karakteristika vid studiestart var balanserade mellan grupperna förutom andelen av patienter som hade en bakgrund med tidigare hjärnmetastaser (19 % i nivolumabgruppen respektive 13 % i kemoterapigruppen) och patienter med ett högre LDH än ULN vid studiestart (51 % respektive 35 %).
Vid tidpunkten för denna slutliga analys av objektiv responsfrekvens, analyserades resultat från 120 patienter behandlade med nivolumab och 47 patienter behandlade med kemoterapi och som hade minst 6 månaders uppföljning. Effektresultat presenteras i tabell 24.
Tabell 24: Bästa objektiva respons (BOR), tid och varaktighet av respons (CA209037)
Tillgängliga data tyder på att effekten av nivolumab kan vara fördröjd vilket gör att fördelen jämfört med kemoterapi kan ta 2-3 månader.
Uppdaterad analys (24 månaders uppföljning)
För alla randomiserade patienter var den objektiva svarsfrekvensen 27,2 % (95 % KI: 22,0, 32,9) i nivolumabgruppen och 9,8 % (95 % KI: 5,3, 16,1) i kemoterapigruppen. Responsens varaktighet (medianvärde) var 31,9 månader (intervall: 1,4+-31,9) respektive 12,8 månader (intervall: 1,3+-13,6+). Riskkvoten för progressionsfri överlevnad för nivolumab jämfört med kemoterapi var 1,03 (95 % KI: 0,78, 1,36). Objektiv responsfrekvens och progressionsfri överlevnad bedömdes genom IRRC enligt RECIST version 1.1.
Det var ingen statistiskt signifikant skillnad mellan nivolumab och kemoterapi i den finala analysen av totalöverlevnad. Den primära analysen av totalöverlevnad justerades inte för att ta hänsyn till efterföljande behandlingar och 54 patienter (40,6 %) i kemoterapiarmen fick senare anti-PD1-behandling. Resultatet för totalöverlevnad kan vara missvisande på grund av studieavhopp, obalans av efterföljande behandlingar samt skillnader baslinjekarakteristika. Fler patienter i nivolumab-armen hade sämre prognostiska faktorer (förhöjt LDH och hjärnmetastaser) än i kemoterapiarmen.
Effekt enligt BRAF-status: Objektiva responser av nivolumab (enligt definitionen av co-primärt effektmått) sågs hos både patienter med en positiv BRAF-mutation och patienter utan positiv BRAF-mutation. Den objektiva responsfrekvensen i subgruppen med positiv BRAF-mutation var 17 % (95 % KI: 8,4, 29,0) för nivolumab och 11 % (95 % KI: 2,4, 29,2) för kemoterapi, och för subgruppen av patienter med BRAF-vildtyp var den 30 % (95 % KI: 24,0, 36,7) respektive 9 % (95 % KI: 4,6, 16,7).
Riskkvoten för progressionsfri överlevnad för nivolumab jämfört med kemoterapi var 1,58 (95 % KI: 0,87, 2,87) för patienter med positiv BRAF-mutation och 0,82 (95 % KI: 0,60, 1,12) för patienter med BRAF-vildtyp. Riskkvoten för totalöverlevnad för nivolumab jämfört med kemoterapi var 1,32 (95 % KI: 0,75, 2,32) för patienter med positiv BRAF-mutation och 0,83 (95 % KI: 0,62, 1,11) för patienter med BRAF-vildtyp.
Effekt beroende på tumörens PD-L1-uttryck: Objektiv respons av nivolumab sågs oavsett tumörens PD-L1-uttryck. Emellertid har rollen av denna biomarkör (tumörens PD-L1-uttryck) inte fullt utvärderats.
Hos patienter med tumöruttryck av PD-L1 ≥ 1 % var den objektiva responsfrekvensen 33,5 % för nivolumab (n = 179; 95 % KI: 26,7, 40,9) respektive 13,5 % för kemoterapi (n = 74; 95 % KI: 6,7, 23,5). Hos patienter med tumöruttryck av PD-L1 < 1 % var den objektiva responsfrekvensen enligt IRRC 13,0 % (n = 69; 95 % KI: 6,1, 23,3) respektive 12,0 % (n = 25; 95 % KI: 2,5, 31,2).
Riskkvoten för progressionsfria överlevnad för nivolumab jämfört med kemoterapi var 0,76 (95 % KI: 0,54, 1,07) hos patienter med tumöruttryck av PD-L1 ≥ 1 % och 1,92 (95 % KI: 1,05, 3,5) hos patienter med PD-L1 < 1 %.
Riskkvoten för totalöverlevnaden för nivolumab jämfört med kemoterapi var 0,69 (95 % KI: 0,49, 0,96) hos patienter med tumöruttryck av PD-L1 ≥ 1 % och 1,52 (95 % KI: 0,89, 2,57) hos patienter med PD-L1 < 1 %.
Dessa subgruppsanalyser ska tolkas med försiktighet med tanke på subgruppernas storlek och bristen på statistisk signifikant skillnad i totalöverlevnad i gruppen alla randomiserade patienter.
Öppen dosökningsstudie i fas I (MDX1106-03)
Säkerhet och tolerabilitet av nivolumab undersöktes i en öppen dosökningsstudie i fas I på olika tumörtyper, inklusive malignt melanom. Av de 306 tidigare behandlade patienterna enrollerade i studien hade 107 melanom och fick nivolumab i doser om 0,1 mg/kg, 0,3 mg/kg, 1 mg/kg, 3 mg/kg eller 10 mg/kg i maximalt 2 år. I denna patientpopulation rapporterades objektiv responsfrekvens hos 33 patienter (31 %) med en varaktighet (medianvärde) på 22,9 månader (95 % KI: 17,0, ej uppnått). Mediantiden för progressionsfri överlevnad var 3,7 månader (95 % KI: 1,9, 9,3). Mediantiden för totalöverlevnad var 17,3 månader (95 % KI: 12,5, 37,8) och den beräknade frekvensen för totalöverlevnad var 42 % (95 % KI: 32, 51) vid 3 år, 35 % (95 % KI: 26, 44) vid 4 år och 34 % (95 % KI: 25, 43) vid 5 år (uppföljning på minst 45 månader).
Enarmad fas 2-studie (CA209172)
Studie CA209172 var en enarmad, öppen studie med nivolumab som monoterapi för patienter med stadium III (icke-resektabel) eller metastaserande stadium IV melanom efter tidigare behandling med anti-CTLA-4 monoklonal antikropp. Säkerhet var det primära effektmåttet och effekt var ett sekundärt effektmått. Av de 1 008 behandlade patienterna hade 103 ( 10%) okulärt/uvealt melanom, 66 ( 7%) ECOG performance-status 2, 165 (16 %) behandlade och obehandlade asymtomatiska CNS-metastaser, 13 (1,3 %) behandlade leptomeningeala metastaser, 25 ( 2%) en autoimmun sjukdom, och 84 ( 8%) immunrelaterade biverkningar av grad 3-4 i samband med tidigare anti-CTLA-4-behandling. Inga nya säkerhetssignaler identifierades utifrån de behandlade patienterna och den övergripande säkerhetsprofilen för nivolumab var liknande mellan de olika subgrupperna. Effektresultat, som baserades på prövarbedömd responsfrekvens vid vecka 12, presenteras i tabell 25 nedan.
Tabell 25: Responsfrekvens vid vecka 12 – Responderande och utvärderingsbara patienter per subgrupp (CA209172)
a Responser mättes med RECIST, version 1.1 för 588/1 008 (58,3 %) av patienterna som kvarstod på behandling vid vecka 12 och som genomgick en utvärdering (DT eller MR) i 12:e veckan.
Randomiserad fas 3-studie med nivolumab i kombination med ipilimumab eller nivolumab som monoterapi jämfört med ipilimumab som monoterapi (CA209067)
Säkerhet och effekt av nivolumab 1 mg/kg i kombination med ipilimumab 3 mg/kg eller nivolumab 3 mg/kg jämfört med ipilimumab 3 mg/kg som monoterapi för behandling av avancerat (icke-resektabelt eller metastaserande) melanom utvärderades i en randomiserad, dubbelblind fas 3-studie (CA209067). Skillnaden mellan de två nivolumab-innehållande grupperna utvärderades deskriptivt. I studien ingick vuxna patienter med bekräftat icke-resektabelt melanom i stadium III eller stadium IV. Patienterna hade en ECOG performance-status på 0 eller 1. Patienter som inte tidigare hade erhållit systemisk cancerbehandling för icke-resektabelt melanom ingick i studien. Tidigare adjuvant eller neoadjuvant behandling var tillåten om den avslutats minst 6 veckor innan randomisering. Patienter med aktiv autoimmun sjukdom, okulärt/uvealt melanom, eller aktiva hjärn- eller leptomeningiala metastaser ingick inte i studien.
Totalt randomiserades 945 patienter till att få kombinationen av nivolumab och ipilimumab (n = 314), nivolumab som monoterapi (n = 316) eller ipilimumab som monoterapi (n = 315). Patienterna i kombinationsarmen fick nivolumab 1 mg/kg under 60 minuter och ipilimumab 3 mg/kg under 90 minuter administrerat var 3:e vecka för de fyra första doserna, därefter nivolumab 3 mg/kg som monoterapi varannan vecka. Patienterna i nivolumab monoterapiarmen fick 3 mg/kg nivolumab varannan vecka. Patienterna i den jämförande armen fick 4 doser ipilimumab 3 mg/kg och nivolumab-matchad placebo intravenöst var 3:e vecka, därefter placebo varannan vecka. Randomiseringen var stratifierad med avseende på uttryck av PD-L1 (≥ 5 % jämfört med < 5 % uttryck på tumörcellmembran), BRAF-status och M-stadium enligt American Joint Committee on Cancer (AJCC) bedömningssystem. Behandlingen fortsatte så länge klinisk nytta sågs eller tills behandlingen inte längre tolererades. Tumörutvärdering utfördes 12 veckor efter randomisering och därefter var 6:e vecka under det första året och därefter var 12:e vecka. Det primära effektmåttet var progressionsfri överlevnad och totalöverlevnad. Objektiv responsfrekvens och responsens varaktighet studerades också.
Patientkarakteristika vid studiestart var balanserad mellan de tre behandlingsgrupperna. Medianålder var 61 år (intervall: 18‑90 år), 65 % var män och 97 % var vita. ECOG performance-status var 0 (73 %) eller 1 (27 %). Majoriteten av patienterna hade AJCC sjukdomsstadium IV (93 %); 58 % hade M1c-sjukdom vid studiestart. Tjugotvå procent av patienterna hade tidigare fått adjuvant behandling. Trettiotvå procent av patienterna hade melanom positivt för BRAF-mutation, 26,5 % av patienterna hade ett PD‑L1‑uttryck på tumörcellernas membran som var ≥ 5 %). Fyra % av patienterna hade hjärnmetastaser i anamnesen och 36 % av patienterna hade ett utgångsvärde för LDH högre än ULN vid studiestart. Fördelningen av patienter med kvantifierbart PD-L1-tumöruttryck, var balanserad mellan de tre behandlingsgrupperna. Tumöruttryck av PD-L1 fastställdes genom att använda testet PD-L1 IHC 28-8 pharmDx.
Vid primär analys (med en minsta uppföljningstid på 9 månader) var mediantiden för progressionsfri överlevnad 6,9 månader i nivolumab-gruppen jämfört med 2,9 månader i ipilimumab-gruppen (riskkvot = 0,57, 99,5 % KI: 0,43, 0,76; p < 0,0001). Mediantiden för progressionsfri överlevnad var 11,5 månader i gruppen med nivolumab i kombination med ipilimumab, jämfört med 2,9 månader i ipilimumab-gruppen (riskkvot = 0,42, 99,5 % KI: 0,31, 0,57; p < 0,0001).
Resultaten för progressionsfri överlevnad utifrån deskriptiv analys (med en minsta uppföljningstid på 90 månader) visas i figur 5 (alla randomiserade patienter), figur 6 (vid 5 % cut-off för PD-L1-tumöruttryck) och figur 7 (vid 1 % cut-off för PD-L1-tumöruttryck).
Figur 5: Progressionsfri överlevnad (CA209067)
Figur 6: Progressionsfri överlevnad per PD-L1-uttryck: 5 % cut-off (CA209067)
Figur 7: Progressionsfri överlevnad per PD-L1-uttryck: 1 % cut-off (CA209067)
Den primära analysen av totalöverlevnad genomfördes när alla patienter hade en minsta uppföljningstid på 28 månader. Vid 28 månader uppnåddes inte mediantiden för totalöverlevnad i nivolumab-gruppen (HR = 0,63, 98 % KI: 0,48, 0,81; p-värde: < 0,0001) eller i gruppen med nivolumab i kombination med ipilimumab (HR = 0,55, 98 % KI: 0,42, 0,72; p-värde: < 0,0001) medan mediantiden för totalöverlevnad i ipilimumab-gruppen fastställdes till 19,98 månader.
Resultat för totalöverlevnad från en ytterligare deskriptiv analys som gjordes vid en minsta uppföljning på 90 månader överensstämmer med primära ursprungsanalysen. Resultat för totalöverlevnad från denna uppföljningsanalys visas i figur 8 (alla randomiserade patienter), figur 9 och figur 10 (5 % och 1 % cut-off för PD‑L1).
Analysen av totalöverlevnad justerades inte för att ta hänsyn till efterföljande behandlingar. Efterföljande systemisk behandling erhölls av 36,0 % av patienterna i kombinationsarmen, 49,1 % av patienterna i nivolumab monoterapiarmen och 66,3 % av patienterna i ipilimumab-armen. Efterföljande immunterapi (inklusive anti‑PD1-behandling, anti‑CTLA‑4-antikroppar eller andra immunterapier) erhölls av 19,1 % av patienterna i kombinationsarmen, 34,2 % av patienterna i nivolumab monoterapiarmen och 48,3 % av patienterna ipilimumab-armen.
Figur 8: Totalöverlevnad (CA209067) - Uppföljning på minst 90 månader
Figur 9: Totalöverlevnad utifrån PD-L1 uttryck: 5 % cut-off (CA209067) - Uppföljning på minst 90 månader
Minsta uppföljningstid för analys av objektiv responsfrekvens (ORR) var 90 månader. Resultaten summeras i tabell 26.
Båda studiearmarna med nivolumab visade en signifikant fördel för progressionsfri överlevnad och totalöverlevnad samt högre objektiv responsfrekvens jämfört med ipilimumab. De observerade resultaten för progressionsfri överlevnad vid 18 månaders uppföljning samt objektiv responsfrekvens och totalöverlevnad vid 28 månaders uppföljning visades genomgående i alla undergrupper av patienter inklusive ECOG performance-status, BRAF-status, M-stadium, ålder, tidigare hjärnmetastaser och LDH-status vid studiestart. Dessa resultat bibehölls även när resultaten för totalöverlevnad med minst 90 månaders uppföljning blev tillgängliga.
Vid 28 månaders uppföljning av de 131 patienter där kombinationen sattes ut på grund av biverkningar var den totala responsfrekvensen 71 % (93/131) varav 20 % (19/128) uppnådde komplett respons medan mediantiden för totalöverlevnad inte hade uppnåtts.
Båda studiearmarna med nivolumab visade högre objektiva responsfrekvenser än ipilimumab oavsett uttrycksnivåer av PD-L1. De objektiva responsfrekvenserna var högre för kombinationen av nivolumab och ipilimumab jämfört med nivolumab som monoterapi för samtliga nivåer av tumöruttryck av PD‑L1 (tabell 26) efter 90 månaders uppföljning, där komplett respons utgjorde den bästa responsen (BOR) och korrelerade till en bättre överlevnad.
För patienter med ett tumöruttryck av PD‑L1 på ≥ 5 % var mediantiden för varaktighet av responsen efter 90 månaders uppföljning 78,19 månader i kombinationsarmen (intervall: 18,07-ej tillämpbart), 77,21 månader i nivolumab monoterapiarmen (intervall: 26,25-ej tillämpbart) och 31,28 månader (intervall: 6,08-ej tillämpbart) i ipilimumab-armen. Vid ett tumöruttryck av PD-L1 på < 5 %, uppnåddes inte mediantiden för varaktighet av responsen i kombinationsarmen (intervall: 61,93-ej tillämpbart), men var 90,84 månader i nivolumab monoterapiarmen (intervall: 50,43-ej tillämpbart) och 19,25 månader (intervall: 5,32-47,44) i ipilimumab monoterapiarmen.
Inget tydligt cut-off-värde för PD-L1-uttryck kan fastställas med tillförlitlighet, med avseende på relevanta effektmått för tumörrespons och progressionsfri överlevnad och totalöverlevnad. Resultat från exploratoriska multivariatanalyser identifierade patient- och tumörkarakteristika (ECOG performance-status, M-stadium, utgångsvärde för LDH, BRAF-mutationsstatus, PD‑L1-status och kön) vilka kan bidra till överlevnadsresultatet.
Effekt med avseende på BRAF-status:
Efter 90 månaders uppföljning, hade patienter med positiv BRAF[V600]-mutation och patienter med BRAF-vildtyp som randomiserades till nivolumab i kombination med ipilimumab ett medianvärde för progressionsfri överlevnad på 16,76 månader (95 % KI: 8,28, 32,0 respektive 11,7 månader (95 % KI: 7,0, 19,32), medan de i nivolumab monoterapiarmen hade ett medianvärde för progressionsfri överlevnad (PFS) på 5,62 månader (95 % KI: 2,79, 9,46 respektive 8,18 månader (95 % KI: 5,13, 19,55). Patienter med positiv BRAF[V600]-mutation och patienter med BRAF-vildtyp randomiserade till ipilimumab monoterapi hade ett medianvärde för progressionsfri överlevnad på 3,09 månader (95 % KI: 2,79, 5,19) respektive 2,83 månader (95 % KI: 2,76, 3,06).
Efter 90 månaders uppföljning, hade patienter med positiv BRAF[V600]-mutation och patienter med BRAF-vildtyp, som randomiserades till nivolumab i kombination med ipilimumab, en objektiv responsfrekvens på 67,0 % (95 % KI: 57,0, 75,9, n = 103) respektive 54,0 % (95 % KI: 47,1, 60,9; n = 211) medan de som randomiserades till nivolumab monoterapiarmen hade en objektiv responsfrekvens på 37,87 % (95 % KI: 28,2, 48,1; n = 98) respektive 48,2 % (95 % KI: 41,4, 55,0; n = 218). Patienter med positiv BRAF[V600]-mutation och patienter med BRAF-vildtyp randomiserade till ipilimumab monoterapi hade en objektiv responsfrekvens på 23,0 % (95 % KI: 15,2, 32,5; n = 100) och 17,2 % (95 % KI: 12,4, 22,9; n = 215).
Efter 90 månaders uppföljning var mediantiden för totalöverlevnad hos patienter med positiv BRAF[V600]-mutation ej uppnådd i kombinationsarmen och 45,5 månader i nivolumab monoterapiarmen. Mediantiden för totalöverlevnad för patienter med positiv BRAF[V600]-mutation i ipilimumab monoterapiarmen var 24,6 månader. Hos patienter med BRAF-vildtyp var mediantiden för totalöverlevnad 39,06 månader i kombinationsarmen, 34,37 månader i nivolumab monoterapiarmen och 18,5 månader i ipilimumab monoterapiarmen. Riskkvoten för totalöverlevnad för nivolumab i kombination med ipilimumab jämfört med nivolumab som monoterapi var 0,66 (95 % KI: 0,44, 0,98 för BRAF[V600]-mutation-positiva patienter och 0,95 (95 % KI: 0,74, 1,22 för BRAF-vildtypspatienter.
Randomiserad fas 2-studie med nivolumab i kombination med ipilimumab och ipilimumab (CA209069)
Studie CA209069 var en randomiserad, dubbelblind fas 2-studie för att jämföra kombinationen av nivolumab och ipilimumab med endast ipilimumab hos 142 patienter med avancerat (icke-resektabelt eller metastaserande) melanom med liknande inklusionskriterier som studie CA209067 och den primära analysen av patienter med melanom av BRAF-vildtyp (77 % av patienterna). Prövarbedömd objektiv responsfrekvens var 61 % (95 % KI: 48,9, 72,4) i kombinationsarmen (n = 72) jämfört med 11 % (95 % KI: 3,0, 25,4) för ipilimumab-armen (n = 37). Den uppskattade totalöverlevnaden vid 2 och 3 år var 68 % (95 % KI: 56, 78) respektive 61 % (95 % KI: 49, 71) för kombinationen (n = 73) och 53 % (95 % KI: 36, 68) respektive 44 % (95 % KI: 28, 60) för ipilimumab (n = 37).
Icke-småcellig lungcancer
Neoadjuvant behandling av icke‑småcellig lungcancer
Randomiserad, öppen fas 3-studie av nivolumab i kombination med platinabaserad kemoterapi jämfört med platinabaserad kemoterapi (CA209816)
Säkerhet och effekt för nivolumab i kombination med platinabaserad kemoterapi i 3 cykler utvärderades i en randomiserad, öppen fas 3-studie (CA209816). I studien ingick patienter med ECOG performance-status 0 eller 1, mätbar sjukdom (enligt RECIST-version 1.1) och vars tumörer var resektabla, histologiskt bekräftat icke‑småcellig lungcancer i stadium IB (≥ 4 cm), II eller IIIA (enligt 7:e upplagan av kriterierna för stadieindelning från AJCC/UICC, Union for International Cancer Control).
Följande urvalskriterier definierar patienter med hög risk för återfall som ingår i den terapeutiska indikationen och som återspeglar en patientpopulation med sjukdom i stadium II till IIIA enligt 7:e upplagan av AJCC/UICC-kriterier för stadieindelning: patienter med en tumörstorlek ≥ 5 cm, patienter med N1- eller N2-sjukdom (oavsett storlek på primärtumör), patienter med multipla tumörnoduli i antingen samma lob eller olika ipsilaterala lober, patienter med tumörer som är invasiva i bröstkorgsstrukturerna (som direkt invaderar visceral pleura, parietal pleura, bröstväggen, diafragman, diafragmanerven, pleura mediastinalis, parietala delen av perikardium, mediastinum, hjärtat, de stora kärlen, trakea, recurrensnerven, esofagus, kotkroppen eller carina), tumörer som involverar huvudbronkerna, tumörer som är associerade med lungkollaps eller obstruktiv pneumonit som sträcker sig till den hilära regionen eller involverar hela lungan.
I studien ingick inte patienter som hade N2-status med tumörer som även invaderade mediastinum, hjärtat, de stora kärlen, trakea, recurrensnerven, esofagus, kotkroppen eller carina eller med separata tumörnoduli i en annan ipsilateral lob.
Patienter med icke‑resektabel eller metastaserad icke‑småcellig lungcancer, kända EGFR-mutationer eller ALK-translokationer (testning för EGFR-mutationer eller ALK-translokationer var inte obligatoriskt vid studiestart), perifer neuropati av grad 2 eller högre, aktiv autoimmun sjukdom eller medicinska tillstånd som krävde systemisk immunsuppression exkluderades från studien.Randomiseringen stratifierades utifrån tumöruttryck av PD‑L1 (≥ 1 % jämfört med < 1 % eller ej kvantifierbar), sjukdomsstadium (IB/II jämfört med IIIA) och kön (man jämfört med kvinna). Patienterna inkluderades oavsett tumörens PD‑L1‑status. Tumörens PD‑L1‑uttryck fastställdes med PD‑L1 IHC 28‑8 pharmDx‑analys.
Totalt randomiserades 358 patienter till antingen nivolumab i kombination med platinabaserad kemoterapi (n = 179) eller platinabaserad kemoterapi (n = 179).
Patienterna som fick nivolumab i kombination med kemoterapi fick 360 mg nivolumab administrerat intravenöst under 30 minuter i kombination med platinabaserad kemoterapi var 3:e vecka i upp till 3 cykler. Patienterna i kemoterapigruppen fick platinabaserad kemoterapi administrerad var 3:e vecka i upp till 3 cykler. Den platinabaserade kemoterapin bestod av prövarens val: 175 mg/m2 eller 200 mg/m2 paklitaxel och AUC 5 eller AUC 6 karboplatin (oavsett histologi), 500 mg/m2 pemetrexed och 75 mg/m2 cisplatin (icke‑skivepitelhistologi) eller 1 000 mg/m2 eller 1 250 mg/m2 gemcitabin och 75 mg/m2 cisplatin (skivepitelhistologi). I kemoterapigruppen var två ytterligare möjliga behandlingsregimer 25 mg/m2 eller 30 mg/m2 vinorelbin och 75 mg/m2 cisplatin eller 60 mg/m2 eller 75 mg/m2 docetaxel och 75 mg/m2 cisplatin (oavsett histologi).
Tumörutvärdering utfördes vid studiestart, inom 14 dagar efter operationen, var 12:e vecka efter operationen i 2 år, därefter var 6:e månad i 3 år och varje år i 5 år tills sjukdomsåterfall eller ‑progression. De primära effektmåtten var händelsefri överlevnad (EFS) baserat på BICR-bedömning och patologisk komplett respons (pCR) enligt blindad, oberoende patologisk granskning (BIPR). Totalöverlevnad var ett viktigt sekundärt effektmått och explorativa effektmått innefattade genomförbarhet av operation.
Karakteristika vid studiestart i ITT-populationen var balanserade mellan behandlingsgrupperna. Medianåldern var 65 år (intervall: 34–84), 51 % av patienterna var ≥ 65 år, 7 % var ≥ 75 år och 50 % av patienterna var asiatiska, 47 % var vita och 71 % var män. Utgångsvärdet för ECOG performance‑status var 0 (67 %) eller 1 (33 %), 50 % av patienterna hade PD‑L1 ≥ 1 % och 43 % PD‑L1 < 1 %, 5 % hade sjukdom i stadium IB, 17 % stadium IIA, 13 % stadium IIB och 64 % stadium IIIA, 51 % hade skivepitelhistologi, 49 % icke‑skivepitelhistologi och 89 % var tidigare eller nuvarande rökare. Definitiv kirurgi utfördes på 83 % av patienterna som fick nivolumab i kombination med kemoterapi och på 75 % av patienterna i kemoterapigruppen. Adjuvant systemisk behandling gavs till 14,8 % av patienterna som fick nivolumab i kombination med kemoterapi och till 25 % av patienterna i kemoterapigruppen.
Vid den slutliga analysen avseende patologisk komplett respons och den förspecificerade interimsanalysen avseende händelsefri överlevnad (minsta uppföljningstid 21 månader), hos alla randomiserade patienter, påvisades en statistiskt signifikant förbättring av patologisk komplett respons och händelsefri överlevnad för patienter som hade randomiserats att få nivolumab i kombination med kemoterapi jämfört med enbart kemoterapi. Patologisk komplett respons uppnåddes hos 24 % i gruppen som fick nivolumab i kombination med kemoterapi och hos 2,2 % i gruppen som fick kemoterapi (skillnad för patologisk komplett respons 21,6, 99 % KI: 13,0, 30,3; oddskvot för patologisk komplett respons 13,9, 99 % KI: 3,49, 55,75; stratifierat p‑värde < 0,0001). Händelsefri överlevnad var i median 31,6 månader i gruppen som fick nivolumab i kombination med kemoterapi och 20,8 månader i gruppen som fick kemoterapi (riskkvot = 0,63, 97,38 % KI: 0,43, 0,91; stratifierat logrank p‑värde 0,0052). Vid en förhandsspecificerad interimsanalys var riskkvoten för totalöverlevnad (minsta uppföljningstid 21 månader) 0,57 (99,67 % KI: 0,30, 1,07) för nivolumab i kombination med kemoterapi jämfört med kemoterapi.
Vid den slutliga analysen av totalöverlevnad med en minsta uppföljningstid på 59,9 månader var riskkvoten för totalöverlevnad 0,72 (95,18 % KI: 0,52, 1,00) med ett statistiskt signifikant p‑värde på 0,0479 (stratifierat logrank‑test) för nivolumab i kombination med kemoterapi jämfört med kemoterapi.
Explorativ subgruppsanalys utifrån tumöruttryck av PD‑L1 och sjukdomsstadium
De viktigaste effektresultaten för subgruppen av patienter med tumöruttryck av PD‑L1 ≥ 1 % och sjukdomsstadium II–IIIA från en explorativ analys med en minsta uppföljningstid på 32,9 månader sammanfattas i tabell 27.
Tabell 27: Effektresultat för patienter med tumöruttryck av PD‑L1 ≥ 1 % och sjukdomsstadium II–IIIA* (CA209816)
a Baserat på en ostratifierad Cox‑proportionell riskmodell.
b Kaplan-Meier-uppskattning.
c Baserad på Clopper- och Pearson‑metoden.
d Det tvåsidiga 95 %-konfidensintervallet för oviktad skillnad beräknades med Newcombe‑metoden.
* Kriterier för stadieindelning från 7:e upplagan av AJCC/UICC.
Minsta uppföljningstid för händelsefri överlevnad var 32,9 månader, data cut-off: 6 september 2022
Data cut-off för patologisk komplett respons: 28 juli 2020
Kaplan-Meier-kurvorna för händelsefri överlevnad för subgruppen av patienter med tumöruttryck av PD‑L1 ≥ 1 % och sjukdomsstadium II–IIIA, med en minsta uppföljningstid på 32,9 månader, visas i figur 11.
Figur 11: Kaplan-Meier-kurvor för händelsefri överlevnad hos patienter med tumöruttryck av PD‑L1 ≥ 1 % och sjukdomsstadium II–IIIA (CA209816)
Antal patienter i studien
—О— Nivolumab + kemoterapi (händelser: 22/81), median och 95 % KI: ej uppnått (44,42, ej uppnått)
---Δ--- Kemoterapi (händelser: 39/86), median och 95 % KI: 26,71 (13,40, ej uppnått)
Baserad på data cut-off: 6 september 2022, minsta uppföljningstid 32,9 månader
Vid tidpunkten för den uppdaterade analysen avseende händelsefri överlevnad utfördes en interimsanalys avseende totalöverlevnad (minsta uppföljningstid på 32,9 månader). Den explorativa, deskriptiva riskkvoten för totalöverlevnad hos patienter med tumöruttryck av PD‑L1 ≥ 1 % och sjukdomsstadium II–IIIA var 0,43 (95 % KI: 0,22, 0,83) för nivolumab i kombination med kemoterapi jämfört med kemoterapi.
Vid den slutliga analysen (minsta uppföljningstid 59,9 månader) var riskkvoten för totalöverlevnad hos patienter med tumöruttryck av PD‑L1 ≥ 1 % och sjukdomsstadium II–IIIA 0,59 (95 % KI: 0,35, 0,98) för nivolumab i kombination med kemoterapi jämfört med kemoterapi. Motsvarande Kaplan‑Meier‑kurvor för totalöverlevnad visas i figur 12.
Figur 12: Kaplan-Meier-kurvor för totalöverlevnad hos patienter med tumöruttryck av PD‑L1 ≥ 1 % och sjukdomsstadium II–IIIA (CA209816)
Neoadjuvant och adjuvant behandling av icke‑småcellig lungcancer
Randomiserad, dubbelblind fas 3-studie av neoadjuvant nivolumab i kombination med platinabaserad kemoterapi jämfört med platinabaserad kemoterapi samt adjuvant nivolumab som monoterapi jämfört med placebo (CA20977T)
Säkerhet och effekt för nivolumab i kombination med platinabaserad kemoterapi i 4 cykler, följt av nivolumab som monoterapi, utvärderades i en randomiserad, dubbelblind studie (CA20977T). I studien ingick patienter med ECOG performance-status 0 eller 1 vars tumörer (icke-småcellig lungcancer) var resektabla och misstänkt eller histologiskt bekräftade stadium IIA (> 4 cm) till IIIB (T3‑T4 N2) (enligt 8:e utgåvan av American Joint Committee on Cancers (AJCC) stadieindelningshandbok). Patienter inkluderades oavsett tumörens PD‑L1‑status.
Följande urvalskriterier definierar patienter med hög risk för återfall som ingår i den terapeutiska indikationen och som återspeglar en patientpopulation med sjukdom i stadium IIA till IIIB enligt 8:e upplagan av AJCC/UICC-kriterier för stadieindelning: patienter med en tumörstorlek > 4 cm, patienter med N1- eller N2-sjukdom (oavsett storlek på primärtumör), patienter med multipla tumörnoduli i antingen samma lob eller olika ipsilaterala lober, patienter med tumörer som är invasiva i bröstkorgsstrukturerna (som direkt invaderar visceral pleura, parietal pleura, bröstväggen, diafragman, diafragmanerven, pleura mediastinalis, parietala delen av perikardium, mediastinum, hjärtat, de stora kärlen, trakea, recurrensnerven, esofagus, kotkroppen eller carina), tumörer som involverar huvudbronkerna, tumörer som är associerade med lungkollaps eller obstruktiv pneumonit som sträcker sig till den hilära regionen eller involverar hela lungan.
Patienter med icke‑resektabel eller metastaserad icke‑småcellig lungcancer, EGFR-mutationer eller kända ALK-translokationer (testning för ALK-translokationer var inte obligatoriskt vid studiestart), hjärnmetastaser, perifer neuropati av grad 2 eller högre, interstitiell lungsjukdom eller aktiv, icke-infektiös pneumonit (symtomatisk eller som krävde behandling), aktiv autoimmun sjukdom eller medicinska tillstånd som krävde systemisk immunsuppression exkluderades från studien.
Totalt randomiserades 461 patienter till antingen nivolumab i kombination med platinabaserad kemoterapi följt av nivolumab som monoterapi (n = 229) eller platinabaserad kemoterapi följt av placebo (n = 232). I den neoadjuvanta fasen fick patienterna antingen 360 mg nivolumab administrerat intravenöst under 30 minuter och kemoterapi som platinadubblett administrerad var tredje vecka eller placebo och kemoterapi som platinadubblett administrerad var tredje vecka fram till sjukdomsprogression eller oacceptabel toxicitet, i upp till 4 cykler. Patienter i båda behandlingsgrupperna kunde få postoperativ strålbehandling som standardbehandling. I den adjuvanta fasen, inom 90 dagar efter operationen, fick patienterna antingen 480 mg nivolumab administrerat intravenöst under 30 minuter var fjärde vecka eller placebo administrerat var fjärde vecka fram till sjukdomsprogression, återfall eller oacceptabel toxicitet, i upp till 13 cykler. Den platinabaserade kemoterapin bestod av 175 mg/m2 eller 200 mg/m2 paklitaxel och AUC 5 eller AUC 6 karboplatin (oavsett histologi), 500 mg/m2 pemetrexed och 75 mg/m2 cisplatin eller AUC 5 eller AUC 6 karboplatin (icke‑skivepitelhistologi) eller 75 mg/m2 cisplatin och 75 mg/m2 docetaxel (skivepitelhistologi).
Stratifieringsfaktorerna för randomisering var tumöruttryck av PD‑L1 (≥ 1 % jämfört med < 1 % eller obestämbar/ej utvärderbar), sjukdomsstadium (stadium II jämfört med stadium III) och tumörhistologi (skivepitel jämfört med icke-skivepitel). Tumöruttrycket av PD-L1 bedömdes med testet PD‑L1 IHC 28‑8 pharmDx. Tumörbedömningar utfördes vid studiestart, inom 14 dagar efter den sista dosen av neoadjuvant behandling och före operation, inom 7 dagar före start av adjuvant behandling efter operation, var tolfte vecka efter den första dosen av adjuvant behandling i 2 år, därefter var 24:e vecka i upp till 5 år fram tills sjukdomsåterfall eller sjukdomsprogression bedömd enligt BICR.
Av de 442 patienterna i CA20977T hade 256 patienter (58 %) ett tumöruttryck av PD‑L1 på ≥ 1 % baserat på testet PD‑L1 IHC 28‑8 pharmDx. Medianåldern var 66 år (intervall: 35 till 86), 55 % av patienterna var ≥ 65 år, 7 % av patienterna var ≥ 75 år, 69 % var vita, 28 % var asiater, 2 % var svarta och 75 % var män. Utgångsvärdet för ECOG performance‑status var 0 (59 %) eller 1 (41 %), 36 % hade stadium II-sjukdom och 63 % hade stadium III-sjukdom; 24 % hade N1‑sjukdom och 39 % hade N2‑sjukdom; 25 % hade en lokalisation och 14 % hade i flera lokalisationer; 61 % hade tumörer med skivepitelhistologi, 39 % hade tumörer med icke-skivepitelhistologi och 91 % var tidigare eller nuvarande rökare.
Sjuttioåtta procent av patienterna i gruppen som fick neoadjuvant nivolumab i kombination med kemoterapi som platinadubblett följt av adjuvant nivolumab genomgick definitiv kirurgi jämfört med 77 % av patienterna i gruppen som fick neoadjuvant placebo och kemoterapi som platinadubblett följt av placebo. Ungefär 5 % av patienterna i varje behandlingsgrupp fick postoperativ strålbehandling.
Det primära effektmåttet var händelsefri överlevnad (EFS) baserat på BICR-bedömning. Ytterligare effektmått var totalöverlevnad (OS), patologisk komplett respons (pCR) och betydande (major) patologisk respons enligt blindad, oberoende patologisk granskning (BIPR).
I en förspecificerad interimsanalys av alla randomiserade patienter med en uppföljningstid på 25,4 månader i median (intervall: 15,7–44,2 månader) visade studien statistiskt signifikant förbättrad händelsefri överlevnad. Medianvärdet för händelsefri överlevnad uppnåddes inte (95 % KI: 28,94, NE) i gruppen som fick nivolumab i kombination med kemoterapi/nivolumab och var 18,43 månader (95 % KI: 13,63, 28,06) i gruppen som fick placebo med kemoterapi/placebo (riskkvot = 0,58, 97,36 % KI: 0,42, 0,81; stratifierat logrank p‑värde 0,00025). I en förspecificerad interimsanalys av alla randomiserade patienter med en uppföljningstid på 41 månader i median (intervall: 31,3–59,8 månader) uppnåddes inte medianvärdet för totalöverlevnad varken i gruppen som fick nivolumab i kombination med kemoterapi/nivolumab eller i gruppen som fick placebo med kemoterapi/placebo (riskkvot = 0,85, 97,63 % KI: 0,58, 1,25).
Explorativ subgruppsanalys utifrån tumöruttryck av PD‑L1
Händelsefri överlevnad för subgruppen av patienter med PD‑L1-tumöruttryck ≥ 1 %, med en uppföljningstid på 41 månader i median (intervall: 31,3–59,8 månader), presenteras i tabell 28 och figur 13.
Tabell 28: Effektresultat hos patienter med tumöruttryck av PD‑L1 ≥ 1 % (CA20977T)
NE = icke uppskattningsbar
Minsta uppföljningstid för händelsefri överlevnad var 31,3 månader, data cut-off: 11 november 2024.
a Kaplan‑Meier‑uppskattning.
b Baserat på en ostratifierad Cox‑proportionell riskmodell.
Figur 13: Kaplan‑Meier‑kurvor för händelsefri överlevnad hos patienter med tumöruttryck av PD‑L1 ≥ 1 % (CA20977T)
Antal patienter i studien
—Δ— Nivolumab + kemoterapi/nivolumab (händelser: 47/128), median och 95 % KI: 46,55 (35,81, NE)
---О--- Placebo + kemoterapi/placebo (händelser: 70/128), median och 95 % KI: 15,08 (9,33, 31,41)
Baserad på data cut-off: 11 november 2024, minsta uppföljningstid 31,3 månader
Vid tidpunkten för den uppdaterade analysen för händelsefri överlevnad utfördes en interimsanalys avseende totalöverlevnad (minsta uppföljningstid på 31,3 månader). Den explorativa, deskriptiva riskkvoten för totalöverlevnad hos patienter med PD‑L1-tumöruttryck ≥ 1 % var 0,61 (95 % KI: 0,39, 0,97) för gruppen som fick nivolumab i kombination med kemoterapi/nivolumab jämfört med gruppen som fick placebo med kemoterapi/placebo. Kaplan‑Meier‑kurvorna för totalöverlevnad för subgruppen av patienter med PD‑L1-tumöruttryck ≥ 1 % visas i figur 14.
Figur 14: Kaplan‑Meier‑kurvor för totalöverlevnad hos patienter med tumöruttryck av PD‑L1 ≥ 1 % (CA20977T)
Antal patienter i studien
—Δ— Nivolumab + kemoterapi/nivolumab (händelser: 31/128), median och 95 % KI: ej uppnått
---О--- Placebo + kemoterapi/placebo (händelser: 46/128), median och 95 % KI: ej uppnått (38,08, NE)
Baserad på data cut-off: 11 november 2024, minsta uppföljningstid 31,3 månader
Första linjens behandling av icke-småcellig lungcancer
Randomiserad fas 3-studie med nivolumab i kombination med ipilimumab och två cykler med platinabaserad kemoterapi jämfört med fyra cykler med platinabaserad kemoterapi (CA2099LA)
Säkerhet och effekt för nivolumab 360 mg var tredje vecka i kombination med ipilimumab 1 mg/kg var sjätte vecka och två cykler med platinabaserad kemoterapi utvärderades i en randomiserad, öppen fas 3-studie (CA2099LA). I studien ingick patienter (18 år eller äldre) med histologiskt bekräftad icke-småcellig lungcancer av icke-skivepitel- eller skivepiteltyp i stadium IV eller återkommande (enligt version 7 av klassificeringssystemet från International Association for the Study of Lung Cancer), ECOG performance-status på 0 eller 1 och ingen tidigare cancerbehandling (inklusive EGFR- och ALK-hämmare). Patienter inkluderades oavsett tumörens PD-L1-status.
Patienter med sensibiliserande EGFR-mutationer eller ALK-translokationer, aktiva (obehandlade) hjärnmetastaser, karcinomatös meningit, aktiv autoimmun sjukdom eller medicinska tillstånd som krävde systemisk immunsuppression exkluderades från studien. Patienter med behandlade hjärnmetastaser inkluderades om de neurologiskt återgått till utgångsvärdet minst två veckor innan inklusion och antingen inte stod på kortikosteroider eller stod på en stabil eller minskande dos av prednison < 10 mg dagligen eller motsvarande. Randomisering stratifierades utifrån histologi (skivepitel jämfört med icke-skivepitel), tumöruttryck av PD‑L1 (≥ 1 % jämfört med < 1 %) och kön (man jämfört med kvinna).
Totalt randomiserades 719 patienter till att få antingen nivolumab i kombination med ipilimumab och platinabaserad kemoterapi (n = 361) eller platinabaserad kemoterapi (n = 358). Patienter i armen som fick nivolumab i kombination med ipilimumab och platinabaserad kemoterapi fick nivolumab 360 mg administrerat intravenöst under 30 minuter var tredje vecka i kombination med ipilimumab 1 mg/kg administrerat intravenöst under 30 minuter var sjätte vecka och platinabaserad kemoterapi administrerad var tredje vecka i två cykler. Patienter i kemoterapiarmen fick platinabaserad kemoterapi administrerad var tredje vecka i fyra cykler; icke-skivepitel-patienter kunde få pemetrexed som underhållsbehandling.
För icke-småcellig lungcancer av icke-skivepiteltyp bestod den platinabaserad kemoterapin av karboplatin (AUC 5 eller 6) och pemetrexed 500 mg/m2, eller cisplatin 75 mg/m2 och pemetrexed 500 mg/m2, och för icke-småcellig lungcancer av skivepiteltyp av karboplatin (AUC 6) och paklitaxel 200 mg/m2.
Behandling fortsatte till sjukdomsprogression, oacceptabel toxicitet eller upp till 24 månader. Behandlingen kunde fortsätta efter sjukdomsprogression om patienten var kliniskt stabil och prövaren ansåg att den gav klinisk nytta. Patienter som avbröt kombinationsbehandling på grund av en biverkning tillskriven ipilimumab hade möjlighet att fortsätta med nivolumab som monoterapi. Tumörutvärdering utfördes var 6 vecka efter första dosen under de första 12 månaderna, därefter var 12 vecka till sjukdomsprogression eller till att behandlingen avslutades.
Karakteristika var balanserade i alla behandlingsgrupper vid studiestart av CA2099LA. Medianåldern var 65 år (intervall : 26‑86) med 51 % ≥ 65 år och 10 % ≥ 75 år. Majoriteten av patienterna var vita (89 %) och män (70 %). Utgångsvärde för ECOG performance-status var 0 (31 %) eller 1 (68 %), 57 % av patienterna hade PD-L1 ≥ 1 % och 37 % PD-L1 < 1 %, 31 % hade en histologi av icke-småcellig lungcancer av skivepiteltyp och 69 % hade icke-småcellig lungcancer av icke-skivepiteltyp, 17 % hade hjärnmetastaser och 86 % var tidigare/nuvarande rökare. Inga patienter hade tidigare fått behandling med immunterapi.
CA2099LA-studiens primära effektmått var totalöverlevnad (OS). Övriga effektmått var progressionsfri överlevnad (PFS), objektiv responsfrekvens (ORR) och varaktighet av respons (DOR) enligt BICR.
Studien visade en statistiskt signifikant fördel i totalöverlevnad, progressionsfri överlevnad och objektiv responsfrekvens för patienter randomiserade till nivolumab i kombination med ipilimumab och platinabaserad kemoterapi jämfört med enbart platinabaserad kemoterapi vid den förhandsspecificerade interimsanalysen när 351 händelser inträffat (87 % av det planerade antalet händelser för slutanalys). Minsta uppföljningstid för totalöverlevnad var 8,1 månader.
Effektresultaten visas i figur 15 (uppdaterad analys av totalöverlevnad med en minsta uppföljningstid på 12,7 månader) och tabell 29 (primär analys med en minsta uppföljningstid på 8,1 månader).
En uppdaterad effektanalys utfördes när alla patienter hade en minsta uppföljningstid på 12,7 månader (se figur 15). Vid tidpunkten för denna analys var riskkvoten för totalöverlevnad 0,66 (95 % KI: 0,55, 0,80) och riskkvoten för progressionsfri överlevnad var 0,68 (95 % KI: 0,57, 0,82).
Figur 15: Kaplan-Meier-kurvor för totalöverlevnad (CA2099LA)
—Δ— Nivolumab + ipilimumab + kemoterapi (händelser: 190/361), median och 95 % KI: 15,64 (13,93, 19,98)
---О--- Kemoterapi (händelser: 242/358), median och 95 % KI: 10,91 (9,46, 12,55)
a Baserat på en stratifierad Cox-proportionell riskmodell.
b p-värdet jämfördes med ett allokerat alfavärde på 0,0329 vid denna interimsanalys.
c p-värdet jämfördes med ett allokerat alfavärde på 0,0252 vid denna interimsanalys.
d Kaplan-Meier-uppskattning.
e Andel med komplett eller partiell respons; KI baserad på Clopper och Pearson-metoden.
f p-värdet jämfördes med ett allokerat alfavärde på 0,025 vid denna interimsanalys.
g Baserat på Kaplan-Meier-uppskattningar av varaktighet av respons.
CMH = Cochran-Mantel-Haenszel
Efterföljande systemisk behandling erhölls av 28,8 % av patienterna i kombinationsarmen och av 41,1 % av patienterna i kemoterapiarmen. Efterföljande immunterapi (inklusive anti‑PD-1-behandling, anti‑PD-L1-behandling och anti‑CTLA‑4-antikroppar) erhölls av 3,9 % av patienterna i kombinationsarmen och av 27,9 % av patienterna i kemoterapiarmen.
I studien CA2099LA visade en deskriptiv subgruppsanalys på en fördel i totalöverlevnad för patienter med skivepitel-histologi (HR [95 % KI] 0,65 [0,46, 0,93], n = 227) och för patienter med icke‑skivepitel-histologi (HR [95 % KI] 0,72 [0,55, 0,93], n = 492) som behandlades med nivolumab i kombination med ipilimumab och kemoterapi, jämfört med de som behandlades med kemoterapi.
Tabell 30 sammanfattar effektresultat av totalöverlevnad, progressionsfri överlevnad och objektiv responsfrekvens utifrån tumöruttryck av PD-L1 enligt förhandsspecificerade subgruppsanalyser.
Tabell 30: Effektresultat utifrån PD-L1‑uttryck i tumören (CA2099LA)
a Riskkvot baserad på ostratifierad Cox-proportionell riskmodell.
Totalt 70 patienter med icke-småcellig lungcancer i åldern ≥ 75 år inkluderades i studien CA2099LA (37 patienter i armen som kombinerade nivolumab, ipilimumab och kemoterapi och 33 patienter i kemoterapi-armen). Inom denna subgrupp av studien observerades en riskkvot på 1,36 (95 % KI: 0,74, 2,52) för totalöverlevnad och en riskkvot på 1,12 (95 % KI: 0,64, 1,96) för progressionsfri överlevnad för nivolumab i kombination med ipilimumab och kemoterapi jämfört med kemoterapi. Den objektiva responsfrekvensen var 27,0 % i armen med nivolumab i kombination med ipilimumab och kemoterapi och 15,2 % i kemoterapiarmen. Fyrtiotre procent av patienterna i åldern ≥ 75 år avbröt behandlingen med nivolumab i kombination med ipilimumab och kemoterapi. Data för effekt och säkerhet för nivolumab i kombination med ipilimumab och kemoterapi är begränsade i denna patientpopulation.
I en subgruppsanalys observerades en minskad överlevnadsfördel för nivolumab i kombination med ipilimumab och kemoterapi jämfört med kemoterapi hos patienter som aldrig rökt. På grund av det lilla antalet patienter kan dock inga definitiva slutsatser dras från dessa data.
Behandling av icke-småcellig lungcancer efter tidigare kemoterapi
Icke-småcellig lungcancer av skivepiteltyp
Randomiserad fas 3-studie jämfört med docetaxel (CA209017)
Säkerhet och effekt för nivolumab 3 mg/kg som monoterapi för behandling av avancerad eller metastaserande icke-småcellig lungcancer av skivepiteltyp utvärderades i en randomiserad, öppen fas 3-studie (CA209017). I studien ingick patienter (18 år eller äldre) som hade progredierat under eller efter en tidigare platinabaserad kemoterapi och hade en ECOG performance-status på 0 eller 1. Patienterna inkluderades oavsett tumörens PD-L1-status. Patienter med aktiv autoimmun sjukdom, symtomatisk interstitiell lungsjukdom eller aktiva hjärnmetastaser exkluderas från studien. Patienter med behandlade hjärnmetastaser inkluderades om de neurologiskt återgått till utgångsvärdet minst 2 veckor innan enrollering och antingen inte stod på kortikosteroider eller stod på en stabil eller minskande dos av prednison < 10 mg dagligen eller motsvarande.
Totalt randomiserades 272 patienter till att få antingen 3 mg/kg nivolumab (n = 135) administrerat intravenöst under 60 minuter varannan vecka eller 75 mg/m2 docetaxel (n = 137) var 3:e vecka. Behandlingen fortsatte så länge klinisk nytta sågs eller tills behandlingen inte längre tolererades. Tumörutvärdering, enligt RECIST, version 1.1, utfördes 9 veckor efter randomisering och fortsatte därefter var 6:e vecka. Det primära effektmåttet var totalöverlevnad. De sekundära effektmåtten var prövarbedömd responsfrekvens och progressionsfri överlevnad. Dessutom utvärderades symtomförbättring och allmänna hälsotillståndet enligt Lung cancer symptom score (LCSS) genomsnittliga symtombörda index respektive EQ-5D Visual Analog Scale (EQ-VAS).
Patientkarakteristika vid studiestart var likvärdiga mellan de två grupperna. Medianåldern var 63 år (intervall: 39-85) med 44 % ≥ 65 år och 11 % ≥ 75 år. Majoriteten av patienterna var vita (93 %) och manliga (76 %). Trettioen procent hade progressiv sjukdom rapporterat som bästa respons på deras senaste behandling och 45 % erhöll nivolumab inom 3 månader efter senast avslutad behandling. Utgångsvärde för ECOG performance-status var 0 (24 %) eller 1 (76 %).
Kaplan-Meier-kurvor för totalöverlevnad visas i figur 16.
Figur 16: Kaplan‑Meier-kurvor för totalöverlevnad (CA209017)
—Δ— Nivolumab 3 mg/kg (händelser: 86/135), median och 95 % KI: 9,23 (7,33, 13,27)---О--- Docetaxel (händelser: 113/137), median och 95 % KI: 6,01 (5,13, 7,33)
Den observerade fördelen i totalöverlevnad var genomgående för alla subgrupper av patienter. Överlevnadsvinst visades oavsett om patienterna hade tumörer som var PD-L1-negativa eller PD-L1-positiva (cut-off för uttryck på cellmembran var 1 %, 5 % eller 10 %). Emellertid har rollen av denna biomarkör (tumörens PD-L1-uttryck) inte fullt utvärderats. Vid en uppföljningstid på minst 62,6 månader, bibehölls fördelen i totalöverlevnad för alla subgrupper.
I studie CA209017 inkluderades ett begränsat antal patienter ≥ 75 år (11 i nivolumabgruppen och 18 i docetaxelgruppen). Nivolumab visade numeriskt mindre effekt på totalöverlevnad (HR 1,85: 95 % KI: 0,76, 4,51), progressionsfri överlevnad (HR 1,76: 95 % KI: 0,77, 4,05) och total responsfrekvens (9,1 % jämfört med 16,7 %). Eftersom antalet patienter är så få kan inga definitiva slutsatser dras från dessa data.
Effektresultat visas i tabell 31.
Tabell 31: Effektresultat (CA209017)
a Sex patienter (4 %) som randomiserades till docetaxel gick vid någon tidpunkt över till behandling med nivolumab.
“+” Anger att observationen är censurerad.
Frekvensen av sjukdomsrelaterade symtomförbättringar, mätt med LCSS, var likartad mellan nivolumabgruppen (18,5 %) och docetaxelgruppen (21,2 %). Genomsnittlig EQ-VAS ökade över tid för båda behandlingsgrupperna, vilket tyder på bättre övergripande hälsostatus för patienter som står kvar på behandlingen.
Enarmad fas 2-studie (CA209063)
Studie CA209063 var en enarmad, öppen studie på 117 patienter med lokalt avancerad eller metastaserande icke-småcellig lungcancer av skivepiteltyp efter två eller flera linjers behandling. I övrigt liknande inklusionskriterier som för studie CA209017. Nivolumab 3 mg/kg visade en total responsfrekvens (ORR) på 14,5 % (95 % KI: 8,7, 22,2), en medianöverlevnad på 8,21 månader (95 % KI; 6,05, 10,9 månader) och en progressionsfri överlevnad (medianvärde) på 1,87 månader (95 % KI 1,77, 3,15 månader). Den progressionsfria överlevnaden mättes med RECIST, version 1.1. Den uppskattade frekvensen för 1-års överlevnad var 41 %.
Enarmad fas 2-studie (CA209171)
Studie CA209171 var en enarmad, öppen studie med nivolumab som monoterapi för patienter med tidigare behandlad avancerad eller metastaserande icke-småcellig lungcancer av skivepiteltyp. Säkerhet var det primära effektmåttet och effekt var ett sekundärt effektmått. Av de 811 behandlade patienterna hade 103 (13 %) ECOG performance-status 2, 686 (85 %) var < 75 år och 125 (15 %) var ≥ 75 år. Inga nya säkerhetssignaler identifierades utifrån de behandlade patienterna och den övergripande säkerhetsprofilen för nivolumab var liknande mellan de olika subgrupperna. Effektresultat, som baserades på prövarbedömd total responsfrekvens (ORR), presenteras i tabell 32 nedan.
Tabell 32: Total responsfrekvens (ORR) baserad på responderande och utvärderingsbara patienter – totalt och per subgrupp (CA209171)
a inkluderar konfirmerade and okonfirmerade responser, röntgenutvärdering var endast obligatoriskt vid vecka 8/9 och vecka 52.
b Komplett respons + Partiell respons, konfidensintervall baserat på Clopper-Pearson metoden
Icke-småcellig lungcancer av icke-skivepiteltyp
Randomiserad fas 3‑studie jämfört med docetaxel (CA209057)
Säkerhet och effekt för nivolumab 3 mg/kg som monoterapi för behandling av avancerad eller metastaserande icke-småcellig lungcancer av icke-skivepiteltyp utvärderades i en randomiserad, öppen fas 3-studie (CA209057). I studien ingick patienter (18 år eller äldre) som hade progredierat under eller efter en tidigare platinabaserad kemoterapi, vilken kunde omfatta underhållsbehandling, och som hade en ECOG performance-status på 0 eller 1. Ytterligare en behandling med TKI tilläts för patienter med känd EGFR-mutation eller ALK-translokation. Patienterna inkluderades oavsett tumörens PD-L1-status. Patienter med aktiv autoimmun sjukdom, symtomatisk interstitiell lungsjukdom eller aktiva hjärnmetastaser exkluderas från studien. Patienter med behandlade hjärnmetastaser inkluderades om de neurologiskt återgått till utgångsvärdet minst 2 veckor innan enrollering i studien och som antingen inte stod på kortikosteroider eller stod på en stabil eller minskande dos av prednison eller motsvarande, < 10 mg per dag.
Totalt randomiserades 582 patienter till att få antingen 3 mg/kg nivolumab administrerat intravenöst under 60 minuter varannan vecka (n = 292) eller 75 mg/m2 docetaxel var 3:e vecka (n = 290). Behandlingen fortsatte så länge klinisk nytta sågs eller tills behandlingen inte längre tolererades. Tumörutvärdering genomfördes enligt RECIST version 1.1. Det primära effektmåttet var totalöverlevnad. De viktigaste sekundära effektmåtten var prövarbedömd responsfrekvens och progressionsfri överlevnad. Ytterligare förhandsspecificerade subgruppsanalyser utfördes för att utvärdera effekten av tumörens PD‑L1-uttryck vid förhandsdefinierade nivåer på 1 %, 5 % och 10 %. Bedömningar av de diskreta intervallen för tumörens uttrycksnivå för PD-L1 togs inte med i dom på förhand specificerade analyserna då urvalet var för litet inom varje intervall.
Innan randomisering, samlades vävnadsprover från tumören systematiskt in för att kunna utföra planerade effektanalyser utifrån tumörens PD‑L1-uttryck. Tumörens PD‑L1‑uttryck fastställdes med PD-L1 IHC 28-8 pharmDx‑analys.
Medianåldern var 62 år (intervall: 21-85) med 34 % ≥ 65 år och 7 % ≥ 75 år. Majoriteten av patienterna var vita (92 %) och män (55 %). Utgångsvärde för ECOG performance-status var 0 (31 %) eller 1 (69 %). Sjuttionio procent av patienterna var tidigare/nuvarande rökare.
Kaplan-Meier-kurvor för totalöverlevnad visas i figur 17.
Figur 17: Kaplan-Meier kurvor för totalöverlevnad (CA209057)
—Δ— Nivolumab 3 mg/kg (händelser: 190/292), median och 95 % KI: 12,19 (9,66, 14,98)
---О--- Docetaxel (händelser: 223/290), median och 95 % KI: 9,36 (8,05, 10,68)
Studien visade en statistiskt signifikant förbättring i totalöverlevnad för patienter som randomiserats till nivolumab jämfört med docetaxel i den förhandsspecificerade interimsanalysen när 413 händelser inträffat (93 % av de planerade antalet händelser för final analys). Effektresultat visas i tabell 33.
Tabell 33: Effektresultat (CA209057)
a Hämtad från en stratifierad proportionell riskmodell.
b P-värdet hämtas från ett log-rank-test stratifierat genom tidigare underhållsbehandling och behandlingsregim, motsvarande O’Brien-Fleming effektgräns för signifikant nivå är 0,0408.
c Sexton patienter (6 %) som randomiserades till docetaxel gick vid någon tidpunkt över till behandling med nivolumab.
d Sjutton patienter (6 %) som randomiserades till docetaxel gick vid någon tidpunkt över till behandling med nivolumab.
“+” Anger att observationen är censurerad.
Kvantifierbart PD‑L1‑uttryck i tumören uppmättes hos 79 % av patienterna i nivolumab-gruppen och hos 77 % i docetaxelgruppen. Nivån av tumörens PD‑L1‑uttryck var balanserat mellan de två behandlingsgrupperna (nivolumab jämfört med docetaxel) för varje förhandsdefinierad nivå av PD‑L1‑uttryck, ≥ 1 % (53 % jämfört med 55 %), ≥ 5 % (41 % jämfört med 38 %) eller ≥ 10 % (37 % jämfört med 35 %).
Patienter i nivolumab-gruppen hade, vid alla förhandsdefinierade nivåer av PD‑L1 i tumören, en större sannolikhet för förbättrad överlevnad jämfört med docetaxel-gruppen, medan överlevnaden var jämförbar med docetaxel hos patienter med lågt eller inget uttryck av PD‑L1 i tumören. Vad gäller responsfrekvens var ett ökat uttryck av PD‑L1 förknippat med en högre responsfrekvens.
Jämfört med hela populationen var varaktigheten av responsen (medianvärdet) längre med nivolumab jämfört med docetaxel för patienter utan PD‑L1‑uttryck (18,3 månader jämfört med 5,6 månader) samt för patienter med PD‑L1-uttryck (16,0 månader jämfört med 5,6 månader).
Tabell 34 summerar resultat för responsfrekvens och totalöverlevnad utifrån PD‑L1‑uttryck i tumören.
Tabell 34: Responsfrekvens och totalöverlevnad utifrån PD-L1‑uttryck i tumören (CA209057)
* Post-hoc analys: resultaten ska tolkas med försiktighet eftersom storleken på subgruppen är liten och vid tidpunkten för analys, var testet PD-L1 IHC 28-8 pharmDx inte analytiskt validerat vid uttrycksnivån 10 % eller 50 %.
En högre andel patienter dog inom de första 3 månaderna i nivolumabgruppen (59/292, 20,2 %) jämfört med docetaxelgruppen (44/290, 15,2 %). Resultat från en post-hoc, exploratorisk multivariatanalys indikerar att nivolumab-behandlade patienter med sämre prognostiska faktorer och/eller aggressiv sjukdom, kombinerat med lägre (t.ex. < 50 %) eller inget uttryck av PD-L1 i tumören kan löpa en högre risk att avlida inom de första 3 månaderna.
I subgruppsanalyser, sågs ingen överlevnadsfördel jämfört med docetaxel för patienter som aldrig rökt eller vars tumörer hade EGFR-aktiverande mutationer, men med anledning av det låga antalet patienter kan inga definitiva slutsatser dras från dessa data.
Malignt pleuramesoteliom
Randomiserad fas 3-studie med nivolumab i kombination med ipilimumab jämfört med kemoterapi (CA209743)
Säkerhet och effekt för nivolumab 3 mg/kg varannan vecka i kombination med ipilimumab 1 mg/kg var sjätte vecka utvärderades i en randomiserad, öppen fas 3-studie (CA209743). I studien ingick patienter (18 år eller äldre) med histologiskt bekräftad och tidigare obehandlad malignt pleuramesoteliom med epitelioid eller icke-epitelioid histologi, ECOG performance-status på 0 eller 1 och ingen palliativ strålbehandling inom 14 dagar före första behandlingen i studien. Patienter inkluderades oavsett tumörens PD-L1-status.
Patienter med primitivt peritonealt, perikardiellt eller tunica vaginalis mesoteliom, testikelmesoteliom, interstitiell lungsjukdom, aktiv autoimmun sjukdom, medicinska tillstånd som krävde systemisk immunsuppression eller hjärnmetastaser (såvida de inte opererats bort eller behandlats med stereotaktisk strålbehandling och inte vidareutvecklats inom 3 månader före studiestart) exkluderades från studien. Randomiseringen stratifierades med avseende på histologi (epitelioid respektive sarkomatoid eller blandade histologiska subtyper) och kön (man jämfört med kvinna).
Totalt randomiserades 605 patienter till att få antingen nivolumab i kombination med ipilimumab (n = 303) eller kemoterapi (n = 302). Patienter i armen som fick nivolumab i kombination med ipilimumab fick nivolumab 3 mg/kg administrerat intravenöst under 30 minuter varannan vecka i kombination med ipilimumab 1 mg/kg administerat intravenöst under 30 minuter var sjätte vecka i upp till 2 år. Patienter i kemoterapiarmen fick kemoterapi i upp till 6 cykler (varje cykel var 21 dagar). Kemoterapin bestod av cisplatin 75 mg/m2 och pemetrexed 500 mg/m2 eller karboplatin 5 AUC och pemetrexed 500 mg/m2.
Behandlingen fortsatte till sjukdomsprogression, oacceptabel toxicitet eller upp till 24 månader. Behandlingen kunde fortsätta efter sjukdomsprogression om patienten var kliniskt stabil och prövaren ansåg att den fortfarande gav klinisk nytta. Patienter som avbröt kombinationsbehandling på grund av en biverkning tillskriven ipilimumab hade möjlighet att fortsätta med nivolumab som monoterapi. Tumörutvärdering utfördes var 6:e vecka efter första dosen under de första 12 månaderna, därefter var 12:e vecka till sjukdomsprogression eller till att behandlingen avslutades.
Patientkarakteristika var över lag balanserade i alla behandlingsgrupper vid studiestart av CA209743. Medianåldern var 69 år (intervall: 25-89) med 72 % ≥ 65 år och 26 % ≥ 75 år. Majoriteten av patienterna var vita (85 %) och män (77 %). Utgångsvärde för ECOG performance-status var 0 (40 %) eller 1 (60 %), 80 % av patienterna hade PD-L1 ≥ 1 % och 20 % PD-L1 < 1 %, 75 % hade epitelioid och 25 % hade icke-epitelioid histologi.
CA209743-studiens primära effektmått var totalöverlevnad (OS). De viktigaste sekundära effektmåtten var progressionsfri överlevnad (PFS), objektiv responsfrekvens (ORR) och varaktighet av respons (DOR) enligt Blinded Independent Central Review (BICR) enligt modifierade RECIST‑kriterier för pleuralt mesoteliom. En deskriptiv analys av dessa sekundära effektmått visas i tabell 33.
Studien visade en statistiskt signifikant förbättring i totalöverlevnad för patienter randomiserade till nivolumab i kombination med ipilimumab jämfört med kemoterapi vid den förhandsspecificerade interimsanalysen när 419 händelser hade inträffat (89 % av de planerade antalet händelser för slutlig analys). Minsta uppföljningstid för totalöverlevnad var 22 månader.
Effektresultaten visas i figur 18 och tabell 35.
Antal patienter i studien
--О-- Nivolumab + ipilimumab (händelser: 200/303), median och 95 % KI: 18,07 (16,82, 21,45)
--+-- Kemoterapi (händelser: 219/302), median och 95 % KI: 14,09 (12,45, 16,23)
a Stratifierad Cox-proportionell riskmodell.
b p-värdet jämfördes med ett allokerat alfavärde på 0,0345 vid denna interimsanalys.
c Kaplan-Meier-uppskattning.
Efterföljande systemisk behandling erhölls av 44,2 % av patienterna i kombinationsarmen och av 40,7 % av patienterna i kemoterapiarmen. Efterföljande immunterapi (inklusive behandling med anti‑PD-1-, anti‑PD-L1- och anti‑CTLA-4-antikroppar) erhölls av 3,3 % av patienterna i kombinationsarmen och 20,2 % av patienterna i kemoterapiarmen.
Tabell 36 sammanfattar effektresultaten av totalöverlevnad, progressionsfri överlevnad och objektiv responsfrekvens utifrån histologi i förhandspecificerade subgruppsanalyser.
a Riskkvot baserat på en ostratifierad Cox-proportionell riskmodell.
b Konfidensintervall baserat på Clopper-och Pearson-metoden.
c Medianvärde beräknad med Kaplan-Meier-metoden.
Tabell 37 sammanfattar effektresultaten av totalöverlevnad, progressionsfri överlevnad och objektiv responsfrekvens utifrån utgångsvärdet av tumöruttrycket av PD-L1 i förhandspecificerade subgruppsanalyser.
a Riskkvot baserat på en ostratifierad Cox-proportionell riskmodell.
b Medianvärde beräknad med Kaplan-Meier-metoden.
c Konfidensintervall baserat på Clopper-och Pearson-metoden.
Totalt inkluderades 157 patienter ≥ 75 år med malignt pleuramesoteliom i studien CA209743 (78 i armen som kombinerade nivolumab med ipilimumab och 79 i kemoterapiarmen). I denna subgrupp var riskkvoten för totalöverlevnad 1,02 (95 % KI: 0,70, 1,48) för nivolumab i kombination med ipilimumab jämfört med kemoterapi. Patienter som var 75 år eller äldre uppvisade en högre frekvens av allvarliga biverkningar och behandlingsavbrott på grund av biverkningar jämfört med alla patienter som fick nivolumab i kombination med ipilimumab (se avsnitt 4.8). På grund av att subgruppsanalysen var exploratorisk kan dock ingen definitiv slutsats dras.
Randomisad fas 3‑studie med nivolumab i kombination med ipilimumab jämfört med sunitinib (CA209214)
Säkerhet och effekt för nivolumab 3 mg/kg i kombination med ipilimumab 1 mg/kg för behandling av avancerad/metastaserande njurcellscancer utvärderades i en randomiserad, öppen fas 3‑studie (CA209‑214). I studien ingick patienter (18 år eller äldre) med tidigare obehandlad, avancerad eller metastaserande, njurcellscancer med en klarcellig komponent. Populationen för det primära effektmåttet inkluderade patienter med intermediär/dålig prognos med minst 1 eller fler av 6 prognostiska faktorer enligt IMDC:s kriterier (International Metastatic RCC Database Consortium) (mindre än ett år från tidpunkten för initial diagnos av njurcellscarcinom till randomisering, ett värde på Karnofskys skattningsskala < 80 %, hemoglobin lägre än lägsta gränsen för normal, korrigerat kalcium högre än 10 mg/dl, blodplättar och absolut neutrofiltal högre än den övre gränsen för normalt). Patienterna inkluderades oavsett tumörens PD-L1-status. Patienter med ett värde på Karnofskys skattningsskala < 70 % och patienter med tidigare eller samtidigt förekommande hjärnmetastaser, aktiv autoimmun sjukdom eller medicinska tillstånd som kräver systemisk immunsuppression exkluderades från studien. Patienter stratifierades med avseende på IMDC prognostisk status och region.
Totalt 1096 patienter randomiserades i studien, varav 847 patienter med intermediär/dålig prognos och de fick antingen (n = 425) nivolumab 3 mg/kg administrerad intravenöst under 60 minuter i kombination med ipilimumab 1 mg/kg administrerad intravenöst under 30 minuter var tredje vecka i 4 doser följt av nivolumab monoterapi 3 mg/kg varannan vecka eller (n = 422) sunitinib 50 mg dagligen administrerad oralt under 4 veckor följt av 2 veckors uppehåll vid varje cykel. Behandlingen fortsatte så länge klinisk nytta sågs eller tills behandlingen inte längre tolererades. De första tumörutvärderingarna gjordes 12 veckor efter randomisering och fortsatte var 6:e vecka under det första året och därefter var 12:e vecka tills sjukdomsprogress eller utsättande av behandling, beroende på vilket som inträffade sist. Behandling efter initial prövarbedömd progression enligt RECIST, version 1.1, tilläts om prövaren bedömde att patienten hade en klinisk nytta av, och tolererade studieläkemedlet. Primärt effektmått var totalöverlevnad (OS), objektiv responsfrekvens (ORR) och progressionsfri överlevnad (PFS) enligt BICR hos patienter med intermediär/dålig prognos.
Patientkarakteristika vid studiestart var likvärdiga mellan de två grupperna. Medianåldern var 61 år (intervall: 21-85) med 38 % ≥ 65 år och 8 % ≥ 75 år. Majoriteten av patienterna var män (73 %) och vita (87 %), och 31 % och 69 % av patienterna hade vid studiestart ett värde på Karnofskys skattningsskala 70 till 80 % respektive 90 till 100 %. Mediantiden från initial diagnos till randomisering var 0,4 år hos både gruppen med nivolumab 3 mg/kg i kombination med ipilimumab 1 mg/kg och med sunitinib. Medianlängden för behandlingen var 7,9 månader (intervall: 1 dag-21,4+ månader) hos patienter behandlade med nivolumab i kombination med ipilimumab och 7,8 månader (intervall: 1 dag-20,2+ månader) hos sunitinibbehandlade patienter. Behandlingen med nivolumab med ipilimumab fortsatte efter progression hos 29 % av patienterna.
Effektresultaten för patienter med intermediär/dålig prognos visas i tabell 38
(primär analys med en minsta uppföljningstid på 17,5 månader och uppdaterad analys med en minsta uppföljningstid på 60 månader) och i figur 19 (minsta uppföljningstid 60 månader).
Resultat för totalöverlevnad vid en ytterligare deskriptiv analys utförd vid en uppföljning på minst 60 månader överensstämmer med den primära analysen.
Tabell 38: Effektresultat hos patienter med intermediär/dålig prognos (CA209214)
a Baserad på en stratifierad proportionell riskmodell.
b Baserad på ett stratifierat log-rank test.
c p-värde är jämfört mot alfa 0,002 för att uppnå statistisk signifikans.
d Stratajusterad skillnad.
e Baserad på stratifierat DerSimonian-Laird test.
f p-värde är jämfört mot alfa 0,001 för att uppnå statistisk signifikans.
g Beräknat med Kaplan-Meier metoden.
h p-värde är jämfört mot alfa 0,009 för att uppnå statistisk signifikans.
“+” anger en censurerad observation.
NE = icke uppskattningsbar
* Deskriptiv analys baserad på data cut-off: 26 februari 2021.
—Δ— Nivolumab + ipilimumab (händelser: 242/425), medianvärde och 95,0 % KI: 46,95 (35,35, 57,43)
---О--- Sunitinib (händelser: 282/422), medianvärde och 95,0 % KI: 26,64 (22,08, 33,54)
En uppdaterad deskriptiv analys av totalöverlevnad utfördes när alla patienter hade en minsta uppföljningstid på 24 månader. Vid tidpunkten för denna analys var riskkvoten 0,66 (99,8 % KI 0,48‑0,91) med 166/425 händelser i kombinationsarmen och 209/422 händelser i sunitinib-armen. Hos patienter med intermediär/dålig prognos sågs fördel i totalöverlevnad för nivolumab i kombination med ipilimumab jämfört med sunitinib oavsett tumöruttryck av PD‑L1. Totalöverlevnad (median) vid PD-L1 tumöruttryck ≥ 1 % uppnåddes inte för nivolumab i kombination med ipilimumab och var 19,61 månader för sunitinib (riskkvot = 0,52; 95 % KI: 0,34, 0,78). För PD-L1 tumöruttryck < 1 % var totalöverlevnad (median) 34,7 månader för nivolumab i kombination med ipilimumab och 32,2 månader för sunitinib (riskkvot = 0,70; 95 % KI: 0,54, 0,92).
I studien CA209214 randomiserades också 249 patienter med god prognos enligt IMDC-kriterierna till nivolumab plus ipilimumab (n = 125) eller till sunitinib (n = 124). Dessa patienter utvärderades inte som en del av den primära effektpopulationen. Vid en minsta uppföljningstid på 24 månader var riskkvoten för totalöverlevnad 1,13 (95 % KI: 0,64, 1,99; p = 0,6710) hos patienter med god prognos som fick nivolumab plus ipilimumab jämfört med sunitinib. Vid en minsta uppföljningstid på 60 månader var riskkvoten för totalöverlevnad 0,94 (95 % KI: 0,65, 1,37).
Det finns inga data om användningen av nivolumab i kombination med ipilimumab hos patienter med icke-klarcellig histologi vid första linjens njurcellscancer.
Patienter ≥ 75 år utgjorde 8 % av alla patienter med intermediär/dålig prognos i CA209214, och kombinationen av nivolumab och ipilimumab visade numeriskt mindre effekt på totalöverlevnad (riskkvot 0,97, 95 % KI: 0,48, 1,95) i denna subgrupp jämfört med den totala populationen vid en minsta uppföljningstid på 17,5 månader. På grund av subgruppens ringa storlek kan inga slutgiltiga slutsatser dras av dessa resultat.
Randomiserad fas 3‑studie med nivolumab i kombination med kabozantinib jämfört med sunitinib (CA2099ER)
Säkerhet och effekt för nivolumab 240 mg i kombination med kabozantinib 40 mg för första linjens behandling av avancerad/metastaserande njurcellscancer utvärderades i en randomiserad, öppen fas 3‑studie (CA2099ER). I studien ingick patienter (18 år eller äldre) med avancerad eller metastaserande njurcellscancer med en klarcellig komponent, ett värde på Karnofskys skattningsskala ≥ 70 % och mätbar sjukdom enligt RECIST v1.1, oavsett PD‑L1-status eller riskgrupp enligt IMDC (International Metastatic RCC Database Consortium). Exkluderade från studien var patienter med autoimmun sjukdom eller andra medicinska tillstånd som kräver systemisk immunsuppresion, patienter som tidigare behandlats med en anti‑PD‑1-, anti‑PD‑L1-, anti‑PD‑L2-, anti‑CD‑137- eller anti‑CTLA‑4-antikropp, patienter med dåligt kontrollerad hypertoni trots blodtryckssänkande behandling, patienter med aktiva hjärnmetastaser och patienter med okontrollerad binjurebarksvikt. Patienter stratifierades med avseende på IMDC prognostisk status, tumöruttryck av PD‑L1 och region.
Totalt 651 patienter randomiserades till att antingen få nivolumab 240 mg (n = 323) intravenöst varannan vecka i kombination med kabozantinib 40 mg oralt en gång daligen, eller sunitinib 50 mg dagligen (n = 328) administrerad oralt under 4 veckor följt av 2 veckors uppehåll. Behandlingen fortsatte till sjukdomsprogress eller oacceptabel toxicitet med administrering av nivolumab i upp till 24 månader. Behandling efter initial prövarbedömd progression enligt RECIST version 1.1 tilläts om prövaren bedömde att patienten hade en klinisk nytta av, och tolererade studieläkemedlet. Den första tumörutvärderingen genomfördes 12 veckor (± 7 days) efter behandlingsstart. Efterföljande tumörutvärderingar genomfördes var 6:e vecka (± 7 days) till och med vecka 60, därefter var 12:e vecka (± 14 days) till radiologisk progress bekräftad av BICR (Blinded Independent Central Review). Det primära effektmåttet var progressionsfri överlevnad (PFS) enligt BICR. Ytterligare effektmått inkluderade totalöverlevnad (OS) och objektiv responsfrekvens (ORR) som viktiga sekundära effektmått.
Patientkarakteristika vid studiestart var likvärdiga mellan de två grupperna. Medianåldern var 61 år (intervall: 28‑90) med 38,4 % ≥ 65 år och 9,5 % ≥ 75 år. Majoriteten av patienterna var män (73,9 %) och vita (81,9 %). Åtta procent av patienterna var av asiatiskt ursprung, och 23,2 % respektive 76,5 % av patienterna hade vid studiestart ett värde på Karnofskys skattningsskala på 70‑80 % respektive 90‑100 %. Fördelningen av patienterna enligt IMDC:s riskkategorier var: god prognos 22,6 %; intermediär prognos 57,6 %; dålig prognos 19,7 %. För tumöruttrycket av PD‑L1 hade 72,5 % av patienterna PD‑L1‑uttryck < 1 % eller obestämbar och 24,9 % av patienterna hade PD‑L1‑uttryck ≥ 1 %. Sarkomatoid tumör påvisades hos 11,5 % av patienterna. Mediantiden för behandling var 14,26 månader (intervall: 0,2‑27,3 månader) hos patienter behandlade med nivolumab och kabozantinib och 9,23 månader (intervall: 0,8‑27,6 månader) hos patienter behandlade med sunitinib.
Studien visade en statistiskt signifikant fördel i progressionsfri överlevnad, totalöverlevnad och objektiv responsfrekvens för patienter randomiserade till nivolumab i kombination med kabozantinib jämfört med sunitinib. Effektresultaten från primäranalysen (minsta uppföljningstid 10,6 månader, median uppföljningstid 18,1 månader) visas i tabell 39.
Tabell 39: Effektresultat (CA2099ER)
a Stratifierad Cox-proportionell riskmodell. Riskkvoten är nivolumab och kabozantinib över sunitinib.
b Log-rank test stratifierat av IMDC prognostisk riskpoäng (0, 1‑2, 3‑6), tumöruttryck av PD‑L1 (≥ 1 % jämfört med < 1 % eller obestämbar) och region (USA/Kanada/Västeuropa/Nordeuropa, övriga världen) enligt vad som matats in i IVRS.
c Tvåsidiga p‑värden från stratifierat regelbundet log-rank-test.
d Baserat på Kaplan-Meier-uppskattningar.
e Gräns för statistiskt signifikant p‑värde < 0,0111.
f KI baserad på Clopper-och Pearson-metoden.
g Stratajusterad skillnad i objektiv responsfrekvens (nivolumab + kabozantinib - sunitinib) baserat på DerSimonian-Laird test.
h Tvåsidigt p‑värde från CMH-test.
NE = icke uppskattningsbar
Den primära analysen av progressionsfri överlevnad inkluderade censurering för ny cancerbehandling (tabell 39). Resultaten för progressionsfri överlevnad med och utan censurering för ny cancerbehandling var konsekventa.
En fördel i progressionsfri överlevnad observerades för armen med nivolumab i kombination med kabozantinib jämfört med suntinib oavsett IMDC-riskkategori. Medianvärdet för progressionsfri överlevnad i riskgruppen med god prognos uppnåddes inte för nivolumab i kombination med kabozantinib och var 12,81 månader i sunitinib-armen (riskkvot = 0,60; 95 % KI: 0,37, 0,98). Medianvärdet för progressionsfri överlevnad i riskgruppen med intermediär prognos var 17,71 månader för nivolumab i kombination med kabozantinib och var 8,38 månader i sunitinib-armen (riskkvot = 0,54; 95 % KI: 0,41, 0,73). Medianvärdet för progressionsfri överlevnad i riskgruppen med dålig prognos var 12,29 månader för nivolumab i kombination med kabozantinib och var 4,21 månader i sunitinib-armen (riskkvot = 0,36; 95 % KI: 0,23, 0,58).
En fördel i progressionsfri överlevnad observerades för armen med nivolumab i kombination med kabozantinib jämfört med sunitinib oavsett tumöruttryck av PD‑L1. Medianvärdet för progressionsfri överlevnad vid PD-L1 tumöruttryck ≥ 1 % var 13,08 månader för nivolumab i kombination med kabozantinib och var 4,67 månader i sunitinib-armen (riskkvot = 0,45; 95 % KI: 0,29, 0,68). Vid PD‑L1 tumöruttryck < 1 % var medianvärdet för progressionsfri överlevnad 19,84 månader för nivolumab i kombination med kabozantinib och 9,26 månader i sunitinib-armen (riskkvot = 0,50; 95 % KI: 0,38, 0,65).
En uppdaterad analys av progressionsfri överlevnad och totalöverlevnad utfördes när alla patienter haft en minsta uppföljningstid på 16,0 månader och ett medianvärde för uppföljningstiden på 23,5 månader (se figur 20 och 21). Riskkvoten för progressionsfri överlevnad var 0,52 (95 % KI: 0,43, 0,64). Riskkvoten för totalöverlevnad var 0,66 (95 % KI: 0,50, 0,87). Uppdaterade effektdata (progressionsffri överlevnad och totalöverlevnad) i undergrupper för IMDC-riskkategorier och PD‑L1-uttrycksnivåer bekräftade de ursprungliga resultaten. Vid den uppdaterade analysen uppnåddes medianvärdet för progressionsfri överlevnad i riskgruppen med god prognos.
Figur 20: Kaplan-Meier-kurvor för progressionsfri överlevnad (CA2099ER)
Antal patienter i studien
—Δ— Nivolumab + kabozantinib (händelser: 175/323), median, 95,0 % KI: 16,95 (12,58, 19,38)
---О--- Sunitinib (händelser: 206/328), median, 95,0 % KI: 8,31 (6,93, 9,69)
Figur 21: Kaplan-Meier-kurvor för totalöverlevnad (CA2099ER)
Antal patienter i studien
—Δ— Nivolumab + kabozantinib (händelser: 86/323), median, 95 % KI: NE
---О--- Sunitinib (händelser: 116/328), median, 95 % KI: 29,47 (28,35, NE)
Njurcellscancer
Randomiserad fas 3‑studie med nivolumab som monoterapi jämfört med everolimus (CA209025)
Säkerhet och effekt för nivolumab 3 mg/kg som monoterapi för behandling av avancerad njurcellscancer med en klarcellig komponent utvärderades i en randomiserad, öppen fas 3‑studie (CA209025). I studien ingick patienter (18 år eller äldre) som hade progredierat under eller efter en eller två tidigare behandlingar med angiogeneshämmare och inte genomgått fler än totalt 3 tidigare systemiska behandlingar. Patienter behövde ha ett värde på Karnofskys skattningsskala (KPS) ≥ 70 %. Patienterna inkluderades oavsett tumörens PD‑L1‑status. Patienter med tidigare eller samtidigt förekommande hjärnmetastaser, tidigare behandling med hämmare av mTOR (mammalian target of rapamycin), aktiv autoimmun sjukdom eller medicinska tillstånd som kräver systemisk immunsuppression exkluderades från studien.
Totalt randomiserades 821 patienter till att få antingen 3 mg/kg nivolumab (n = 410) administrerat intravenöst under 60 minuter varannan vecka eller 10 mg everolimus (n = 411) per dag, administrerat oralt. Behandlingen fortsatte så länge klinisk nytta sågs eller tills behandlingen inte längre tolererades. De första tumörutvärderingarna gjordes 8 veckor efter randomisering och fortsatte var åttonde vecka under det första året och därefter var tolfte vecka tills sjukdomsprogress eller behandlingen inte längre tolererades, beroende på vilket som inträffade sist. Tumörutvärderingar fortsatte efter att behandlingen satts ut hos patienter där behandlingen sattes ut av andra anledningar än sjukdomsprogression. Behandling efter initial prövarbedömd progression enligt RECIST, version 1.1, tilläts om prövaren bedömde att patienten hade en klinisk nytta av, och tolererade studieläkemedlet. Det primära effektmåttet var totalöverlevnad. De sekundära effektmåtten inkluderade prövarbedömd objektiv responsfrekvens och progressionsfri överlevnad.
Patientkarakteristika vid studiestart var likvärdiga mellan de två grupperna. Medianåldern var 62 år (intervall: 18–88) med 40 % ≥ 65 år och 9 % ≥ 75 år. Majoriteten av patienterna var män (75 %) och vita (88 %), alla riskgrupper enligt Memorial Sloan Ketterin Cancer Center (MSKCC) var representerade, och 34 % respektive 66 % av patienterna hade vid studiestart ett värde på Karnofskys skattningsskala 70 till 80 % respektive 90 till 100 %. Majoriteten av patienterna (72 %) hade fått 1 tidigare behandling med angiogeneshämmare. Mediantiden från initial diagnos till randomisering var 2,6 år i både nivolumabgruppen och everolimusgruppen. Medianlängden på behandlingen var 5,5 månader (intervall: 0–29,6+ månader) hos nivolumabbehandlade patienter och 3,7 månader (intervall: 6 dagar–25,7+ månader) hos everolimusbehandlade patienter.
Nivolumab-behandling fortsatte efter progression hos 44 % av patienterna.
Kaplan‑Meier‑kurvor för totalöverlevnad visas i figur 22.
Figur 22: Kaplan Meier‑kurvor för totalöverlevnad (CA209025)
Studien visade en statistiskt signifikant förbättring i totalöverlevnad för patienter som randomiserades till nivolumab jämfört med everolimus i den förhandsspecificerade interimsanalysen när 398 händelser hade inträffat (70 % av de planerade antalet händelser för slutlig analys) (tabell 40 och figur 22). Fördel i totalöverlevnad observerades oberoende av nivån av PD‑L1‑uttryck i tumören.
Effektresultat visas i tabell 40.
Tabell 40: Effektresultat (CA209025)
Mediantiden till debut av objektiv respons var 3,5 månader (intervall: 1,4–24,8 månader) efter insättning av nivolumab. Fyrtionio (47,6 %) av de patienter som svarade på behandlingen hade pågående respons med en varaktighet från 0,0‑27,6+ månader.
Totalöverlevnad kan åtföljas av en förbättring över tid i sjukdomsrelaterade symtom och icke‑sjukdomsspecifik livskvalité (QoL), vilket utvärderades med hjälp av giltiga och tillförlitliga skalor från Functional Assessment of Cancer Therapy‑Kidney Symptom Index‑Disease Related Symptoms (FKSI‑DRS) och EuroQoL EQ‑5D. En tydlig meningsfull förbättring av symtom (MID = 2 punkters förändring i FKSI‑DRS‑värde; p < 0,001) och tid till förbättring (HR = 1,66 (1,33, 2,08) p < 0,001) var signifikant bättre för patienter i nivolumabgruppen. Även om båda grupperna i studien fick aktiv behandling bör QoL‑datan tolkas med försiktighet mot bakgrund av den öppna studiedesignen.
Säkerhetsstudie fas 3b/4 (CA209374)
Det finns ytterligare data avseende säkerhet och deskriptiv effekt från studien CA209374, en öppen säkerhetsstudie i fas 3b/4 med nivolumab som monoterapi (240 mg varannan vecka) vid behandling av patienter med avancerad eller metastaserad njurcellscancer (n = 142), inklusive 44 patienter med icke‑klarcellig histologi.
Hos patienter med icke‑klarcellig histologi, med en minsta uppföljningstid på 16,7 månader, var den objektiva responsfrekvensen 13,6 % och responsens varaktighet 10,2 månader. Klinisk aktivitet sågs oavsett tumörens PD‑L1‑uttryck.
Klassiskt Hodgkins lymfom
Öppen fas 2-studie (CA209205) och öppen fas 1b-studie (CA209039) med nivolumab som monoterapi
Säkerhet och effekt av nivolumab 3 mg/kg som monoterapi för behandling av recidiverande eller refraktär klassiskt Hodgkins lymfom efter autolog stamcellstransplantation utvärderades i två öppna, enarmade multicenterstudier (CA209205 och CA209039).
CA209205 är en öppen, multi-kohort, enarmad, fas 2-studie med nivolumab-behandling vid klassiskt Hodgkins lymfom. Den omfattar 243 patienter som genomgått autolog stamcellstransplantation; kohort A omfattade 63 (26 %) patienter som var behandlingsnaiva till brentuximab vedotin; kohort B omfattade 80 (33 %) patienter som fick brentuximab vedotin efter utebliven effekt av autolog stamcellstransplantation; kohort C omfattade 100 (41 %) patienter som fick brentuximab vedotin före och/eller efter autolog stamcellstransplantation, varav 33 (14 %) patienter endast fick brentuximab vedotin före autolog stamcellstransplantation. Alla patienter fick nivolumab 3 mg/kg som monoterapi, intravenöst under 60 minuter varannan vecka. De första tumörutvärderingarna genomfördes 9 veckor efter behandlingsstart och fortsatte till sjukdomsprogress eller avslutad behandling. Det primära effektmåttet var objektiv responsfrekvens bestämd av en IRRC. Ytterligare effektmått inkluderade varaktighet av respons, progressionsfri överlevnad och totalöverlevnad.
CA209039 är en fas 1b, öppen, multi-center, multi-dos och doseskaleringsstudie med nivolumab vid recidiverande/refraktära hematologiska maligniteter inkluderande 23 patienter med klassiskt Hodgkins lymfom som behandlades med nivolumab 3 mg/kg som monoterapi, av vilka 15 patienter, i likhet med kohort B i studien CA209205, hade fått tidigare behandling med brentuximab vedotin som salvage-behandling efter autolog stamcellstransplantation. De första tumörutvärderingarna genomfördes 4 veckor efter behandlingsstart och fortsatte till sjukdomsprogress eller avslutad behandling. Effektutvärderingarna inkluderade prövarbedömd objektiv responsfrekvens, retrospektivt utvärderad av IRRC, och varaktighet av respons.
Data från 80 patienter i kohort B i studien CA209205 integrerades med data från 15 patienter i studien CA209039, som tidigare fått behandling med brentuximab vedotin efter autolog stamcellstransplantation. Även data från 100 patienter i kohort C i studien CA209205, som fick brentuximab vedotin före och/eller efter autolog stamcellstransplantation, presenteras. Karakteristika vid studiestart var liknande mellan de två studierna och kohorterna (se tabell 41 nedan).
Tabell 41: Patientkarakteristika vid studiestart för patienter i CA209205, kohort B och C, och CA209039
a 18/80 (22,5 %) av patienterna i CA209205, kohort B, uppvisade B‑symtom vid studiestart.
b 25/100 (25 %) av patienterna i CA209205, kohort C, uppvisade B‑symtom vid studiestart
Effektresultaten från båda studierna utvärderades av samma IRRC. Resultaten presenteras i tabell 42.
Tabell 42: Effektresultat för patienter med recidiverande/refraktär klassiskt Hodgkins lymfom
“+” anger en censurerad observation
a Uppföljning pågick vid tidpunkten för inskick av data
b Data är instabila på grund av begränsad varaktighet av respons i kohort B, som en följd av censurering.
NE = icke uppskattningsbar
Uppdaterade effektresultat efter längre tids uppföljning av kohort B (minst 68,7 månader) och kohort C (minst 61,9 månader) från studien CA209205 presenteras i tabell 43 nedan.
Tabell 43: Uppdaterade effektresultat för patienter med recidiverande/refraktär klassiskt Hodgkins lymfom efter längre tids uppföljning i studien CA209205
“+” anger en censurerad observation
a Patienter i kohort C (n = 33) som endast fick brentuximab vedotin innan autolog stamcellstransplantation hade en objektiv responsfrekvens på 73 % (95 % KI: 55, 87), en fullständig respons på 21 % (95 % KI: 9, 39), en partiell respons på 52 % (95 % KI: 34, 69). Medianvärdet för varaktighet av respons var 13,5 månader (95 % KI: 9,4, 30,9)
b Fastställd för patienter med komplett respons eller partiell respons.
NE = icke uppskattningsbar
I studien CA209205 uppvisade 22 % (53/243) av patienterna B‑symtom vid studiestart. Nivolumab-behandling resulterade i en snabb återgång av B-symtomen hos 88,7 % (47/53) av patienterna, efter en mediantid på 1,9 månader.
Vid en post-hoc-analys av de 80 patienterna i kohort B i studien CA209205, hade 37 patienter inte svarat på föregående behandling med brentuximabvedotin. Hos dessa 37 patienter gav behandling med nivolumab en objektiv responsfrekvens på 62,2 % (23/37). Medianvärdet för varaktigheten av responsen var 25,6 månader (10,6, 56,5) för de 23 patienter som svarade på nivolumab-behandlingen men som inte svarat på tidigare behandling med brentuximab vedotin.
Öppen fas 2‑studie med nivolumab i kombination med brentuximab vedotin (CA209744)
Säkerhet och effekt av nivolumab 3 mg/kg i kombination med brentuximab vedotin 1,8 mg/kg för behandling av recidiverande eller refraktärt klassiskt Hodgkins lymfom efter en tidigare behandling utvärderades i en riskbaserad, responsanpassad, öppen fas 2-studie. I kohort R1 ingick 28 patienter med låg recidivrisk och i kohort R2 ingick 44 patienter med standardrisk för recidiv. Riskstratifieringen baserades på stadium vid initial diagnos, tid till recidiv (från avslutad behandling), B-symtom eller extranodal sjukdom vid recidiv, utbredd sjukdom där strålbehandling var kontraindicerad vid recidiv eller recidiv i ett tidigare strålfält, se tabell 44. CD30‑uttryck mättes inte före enrollering i studien.
De första tumörutvärderingarna genomfördes 6 veckor efter behandlingsstart och fortsatte därefter till sjukdomsprogress, slutförd eller avbruten behandling. De primära effektmåtten i kohort R1 var frekvensen av komplett metabol respons (CMR) enligt BICR vid någon tidpunkt före strålbehandling och frekvens av händelsefri överlevnad (EFS) enligt BICR vid 3 år. Det primära effektmåttet i kohort R2 var frekvens av komplett metabol respons enligt BICR vid någon tidpunkt före högdoskemoterapi (HDCT/ASCT). Ytterligare effektmått var total responsfrekvens (ORR) per BICR efter 4 cykler nivolumab i kombination med brentuximab vedotin och frekvens av progressionsfri överlevnad (PFS) enligt BICR vid 3 år. Patienter med tidigare exponering för anti‑PD(L) 1/2 eller brentuximab vedotin exkluderades från studien.
Alla patienter gick in i induktionsfasen och fick behandling med nivolumab i kombination med brentuximab vedotin. Patienter med prövarbedömd tumörprogression efter två cykler fick avbryta behandlingen. Patienter som inte uppnådde CMR efter 4 cykler nivolumab i kombination med brentuximab vedotin övergick till fasen med intensifierad behandling och fick 2 cykler (kohort R1) eller 2–4 cykler (kohort R2) brentuximab vedotin med 90 mg/m2/dag bendamustin. Patienter som uppnådde CMR efter 4 cykler nivolumab i kombination med brentuximab vedotin i kohort R1 fick 2 ytterligare cykler nivolumab i kombination med brentuximab vedotin före konsolideringsfasen. Patienter som uppnådde CMR efter induktionsbehandling eller intensifierad behandling övergick till konsolideringsfasen där de fick strålbehandling (kohort R1) eller HDCT/ASCT (kohort R2).
Karakteristika vid studiestart var balanserade i behandlingsgrupperna. De flesta patienter var i åldersgruppen ≥ 5 år till < 18 år i både R1- och R2‑kohorterna (64,3 % respektive 70,5 %). I kohort R1 behandlades 3 barn (5–11 år), 15 ungdomar (12–17 år) och 10 vuxna (18–30 år), och i kohort R2 behandlades 4 barn (5–11 år), 27 ungdomar (12–17 år) och 13 vuxna (18–30 år). I kohort R1 var 64,3 % flickor/kvinnor, och i kohort R2 var 65,9 % pojkar/män. I kohort R1 hade 64,3 % sjukdom i stadium IIA vid studiestart, och i kohort R2 hade 25 %, 22,7 % och 25 % sjukdom i stadium IIA, IIB respektive IVA vid studiestart. Karnofskys och Lanskys genomsnittliga prestationsstatus var > 95 % i båda kohorterna. I kohort R1 hade 82,1 % en tid från avslutad föregående behandling till recidiv på ≥ 12 månader. I kohort R2 hade 36,4 % en tid från avslutad föregående behandling till recidiv på < 3 månader, medan 40,9 % hade en tid från avslutad tidigare behandling till recidiv på ≥ 3 månader till < 12 månader. I kohort R1 hade 96,4 % recidiverat efter föregående behandling, medan kohort R2 uppvisade en i huvudsak jämn fördelning mellan recidiverad (45,5 %) och refraktär (54,5 %) sjukdom efter respons på föregående behandling.
Alla patienter hade fått tidigare cancerbehandling i kohorterna R1 och R2. Den vanligaste tidigare cancerbehandlingen var OEPA/COPDAC i både kohort R1 (42,9 %) och kohort R2 (45,5 %).
Karakteristika vid studiestart och tidigare cancerbehandlingar hos behandlade pediatriska patienter överensstämde med dem hos alla behandlade patienter i CA209744.
Effektresultaten visas i tabell 45.
Skivepitelial huvud- och halscancer
Säkerhet och effekt för nivolumab 3 mg/kg som monoterapi för behandling av metastaserande eller återkommande skivepitelial huvud- och halscancer utvärderades i en randomiserad, öppen fas 3-studie (CA209141). I studien ingick patienter (18 år eller äldre) med histologiskt bekräftad återkommande eller metastaserande skivepitelial huvud- och halscancer (munhåla, farynx, larynx) i stadium III/IV, där lokal behandling i kurativt syfte (kirurgi eller strålning med eller utan kemoterapi) inte ansågs vara möjlig, och patienterna hade progredierat under eller inom 6 månader efter tidigare platinabaserad kemoterapi samt hade ett ECOG performance-status på 0 eller 1. Tidigare platinabaserad kemoterapi gavs antingen som neo-adjuvant, adjuvant eller primär behandling samt som behandling vid återkommande eller vid metastaserande sjukdom. Patienter inkluderades oavsett tumörens PD-L1- status eller humant papillomvirusstatus (HPV). Patienter med aktiv autoimmun sjukdom, medicinska tillstånd som kräver immunsuppression, återkommande eller metastaserande nasofarynxcancer, skivepitelcancer med okänd primärhistologi, spottkörtelcancer eller histologier av icke-skivepiteltyp (t.ex. mukosalt melanom) eller aktiva hjärnmetastaser eller leptomeningeala metastaser exkluderades från studien. Patienter med behandlade hjärnmetastaser inkluderades om de neurologiskt återgått till utgångsvärdet minst 2 veckor innan enrollering och antingen inte stod på kortikosteroider eller stod på en stabil eller minskande dos av prednison < 10 mg dagligen eller motsvarande.
Totalt randomiserades 361 patienter till att få antingen nivolumab 3 mg/kg (n = 240) administrerat intravenöst under 60 minuter varannan vecka eller prövarens val av antingen cetuximab (n = 15), 400 mg/m2 som startdos följt av 250 mg/m2 per vecka, eller metotrexat (n = 52) 40‑60 mg/m2 per vecka eller docetaxel (n = 54) 30‑40 mg/m2 per vecka. Randomiseringen stratifierades med avseende på tidigare cetuximab-behandling. Behandlingen fortsatte så länge klinisk nytta sågs eller tills behandlingen inte längre tolererades. Tumörutvärdering, enligt RECIST, version 1.1, utfördes 9 veckor efter randomisering och fortsatte därefter var 6:e vecka. Fortsatt behandling efter initial prövarbedömd progression enligt RECIST, version 1.1, tilläts för patienter som fick nivolumab om prövaren bedömde att patienten hade en klinisk nytta av och tolererade studieläkemedlet. Det primära effektmåttet var totalöverlevnad. De sekundära effektmåtten var prövarbedömd, progressionsfri överlevnad och responsfrekvens. Ytterligare förhandsspecificerade subgruppsanalyser utfördes för att utvärdera effekten av tumörens PD-L1-uttryck vid förhandsdefinierade nivåer på 1 %, 5 % och 10 %.
Innan randomisering, samlades tumörvävnadsprover systematiskt in för att kunna utföra planerade effektanalyser utifrån tumörens PD‑L1-uttryck. Tumörens PD‑L1‑uttryck fastställdes med PD-L1 IHC 28-8 pharmDx‑analys.
Patientkarakteristika vid studiestart var likvärdiga mellan de två grupperna. Medianåldern var 60 år (intervall: 28-83) med 31 % ≥ 65 år och 5 % ≥ 75 år, 83 % var män och 83 % var vita. Utgångsvärde för ECOG performance-status var 0 (20 %) eller 1 (78 %). Sjuttiosju procent var tidigare/nuvarande rökare, 90 % hade sjukdom stadium 4, 66 % hade mer än två lesioner, 45 %, 34 % respektive 20 % hade fått 1, 2 respektive 3 eller fler tidigare behandlingar och 25 % var HPV-16-positiva.
Med en minsta uppföljning på 11,4 månader visade studien signifikant förbättrad totalöverlevnad för patienter randomiserade till nivolumab jämfört med prövarens val. Kaplan-Meier-kurvor för totalöverlevnad visas i figur 23. Effektresultat visas i tabell 46.
Figur 23: Kaplan-Meier kurvor för totalöverlevnad (CA209141)
Nivolumab 3 mg/kg (händelser: 184/240), median och 95 % KI: 7,72 (5,68, 8,77)
Prövarens val (händelser: 105/121), median och 95 % KI: 5,06 (4,04, 6,24)
Tabell 46: Effektresultat (CA209141)
a Hämtad från en stratifierad proportionell riskmodell.
b P-värdet hämtas från ett log-rank-test stratifierat genom tidigare underhållsbehandling och behandlingsregim, motsvarande O’Brien-Fleming effektgräns för signifikant nivå är 0,0227.
c I nivolumabgruppen var det två patienter med CR och sju patienter med PR som hade PD-L1 tumöruttryck på < 1 %.
Kvantifierbart PD‑L1‑uttryck i tumören uppmättes hos 67 % av patienterna i nivolumab-gruppen och hos 82 % i docetaxelgruppen. Nivån av tumörens PD‑L1‑uttryck var balanserad mellan de två behandlingsgrupperna (nivolumab jämfört med docetaxel) för varje förhandsdefinierad nivå av PD‑L1‑uttryck, ≥ 1 % (55 % jämfört med 62 %), ≥ 5 % (34 % jämfört med 43 %) eller ≥ 10 % (27 % jämfört med 34 %).
Patienter i nivolumab-gruppen hade, vid alla förhandsdefinierade nivåer av PD‑L1-uttryck i tumören, uppvisade en högre sannolikhet för förbättrad överlevnad jämfört med de som behandlades med prövarens val. Den högre sannolikheten för förbättrad totalöverlevnad var genomgående för PD-L1-uttrycksnivåerna ≥ 1 %, ≥ 5 % eller ≥ 10 % (se tabell 47).
Tabell 47: Totalöverlevnad utifrån PD-L1‑uttryck i tumören (CA209141)
I en exploratorisk post-hoc-analys med en icke-validerad metod, analyserades både tumörcellens PD‑L1-uttryck och tumörassocierat immuncellsuttryck (TAIC) av PD‑L1 i förhållande till magnituden av behandlingseffekten av nivolumab jämfört med prövarens val. Den här analysen visade att inte bara PD-L1 uttryck på tumörceller utan också PD-L1 uttryck på tumörassocierade immunceller (TAIC) verkar vara associerat med en fördel för nivolumab jämfört med prövarens val (se tabell 48). På grund av det låga antalet patienter i de olika subgrupperna och att analysen var exploratorisk, kan ingen definitiv slutsats dras från dessa data.
Tabell 48: Effekt per PD-L1-uttryck i tumörcell och TAIC (CA209141)
a Totalöverlevnad och progressionsfri överlevnad uppskattades genom Kaplan-Meier-metod.b Riskkvoten i varje subgrupp kommer från en Cox-proportionell riskmodell med behandling som den enda ko-variabeln.c Konfidensintervallet för total responsfrekvens beräknades genom Clopper-Pearson-metoden.d PD-L1+ TAIC i tumörens mikroomgivning utvärderades kvalitativt och karakteriserades som ”mycket”, ”mellan” och ”sällsynt” baserat på patologens bedömning. Grupperna ”mycket” och ”mellan” slogs ihop till en grupp med definitionen ”rikligt”.
Patienter med prövarbedömd primär orofarynxcancer testades med avseende på HPV (bestämd genom p16 immunhistokemi [IHC]). Fördelen i överlevnad sågs oavsett HPV-status (HPV-positiv: HR = 0,63; 95 % KI: 0,38, 1,04, HPV-negativ: HR = 0,64; 95 % KI: 0,40, 1,03 och HPV okänd: HR = 0,78; 95 % KI: 0,55; 1,10).
Patientrapporterade utfallsmått (PRO) utvärderas genom EORTC QLQ-C30, EORTC QLQ-H&N35 och nivå-3 EQ-5D. Under 15 veckors uppföljning hade patienter behandlade med nivolumab stabila patientrapporterade utfallsmått medan de som behandlades med prövarens val antingen uppvisade signifikant minskning av funktion (t.ex. fysisk, i sin roll, socialt) och hälsostatus såväl som ökade symtom (t.ex. trötthet, dyspné, minskad aptit, smärta, sensoriska problem, sociala kontaktproblem). Patientrapporterade utfallsmått ska med anledning av den öppna studiedesignen tolkas med försiktighet.
Avancerad urotelcellscancer
Adjuvant behandling av urotelcellscancer
Randomiserad fas 3‑studie med adjuvant nivolumab jämfört med placebo (CA209274)
Säkerhet och effekt av nivolumab monoterapi vid adjuvant behandling av urotelcellscancer utvärderades i en fas 3, randomiserad, placebokontrollerad, dubbelblind multicenterstudie (CA209274). Studien inkluderade patienter (18 år och äldre) som hade genomgått radikal resektion av muskelinvasiv urotelcellscancer (MIUC) härrörande från urinblåsan eller de övre urinvägarna (njurbäckenet eller urinledaren) med hög risk för återfall. De patologiska kriterierna för indelning i stadier av MIUC som definierar högriskpatienter var ypT2‑ypT4a eller ypN+ för vuxna patienter som fick neoadjuvant behandling med cisplatinkemoterapi, och pT3‑pT4a eller pN+ för vuxna patienter som inte fick neoadjuvant behandling med cisplatinkemoterapi och som inte var lämpade för eller vägrade adjuvant cisplatinkemoterapi. Studien inkluderade patienter som hade en ECOG performance‑status på 0 eller 1 (en ECOG performance‑status på 2 var tillåten för patienter som inte var lämpade för neoadjuvant cisplatinkemoterapi), oavsett PD‑L1‑status. Tumörcellsuttryck av PD‑L1 fastställdes genom att använda testet PD‑L1 IHC 28‑8 pharmDx. Studien exkluderade patienter med aktiv, känd eller misstänkt autoimmun sjukdom, patienter som fick behandling med någon kemoterapi, strålbehandling, biologiska läkemedel mot cancer, intravesikal behandling eller studiebehandling inom 28 dagar före första administreringen av studieläkemedlet.
Totalt 709 patienter randomiserades till att få antingen nivolumab 240 mg (n = 353) varannan vecka eller placebo (n = 356) varannan vecka fram till återfall eller oacceptabel toxicitet under en maximal behandlingsperiod på ett år. Av dessa hade 282 patienter tumörcellsuttryck av PD‑L1 ≥ 1 %; 140 i nivolumab-armen och 142 i placeboarmen. Randomisering stratifierades med avseende på patologisk nodal status (N+ jämfört med N0/x med < 10 noder borttagna jämfört med N0 med ≥ 10 noder borttagna), tumörcellsuttryck av PD‑L1 (≥ 1 % jämfört med < 1 %/obestämbar) och användning av neoadjuvant cisplatinkemoterapi. Radiologisk tumörutvärdering utfördes var 12:e vecka från datumet för den första dosen till vecka 96, sedan var 16:e vecka från vecka 96 till vecka 160, sedan var 24:e vecka fram till återfall utanför urinvägarna eller tills behandlingen avbröts (vilket som inträffade sist) i högst 5 år. De primära effektmåtten var sjukdomsfri överlevnad (DFS) för alla randomiserade patienter och sjukdomsfri överlevnad för randomiserade patienter med tumörcellsuttryck av PD‑L1 ≥ 1 %. Sjukdomsfri överlevnad definierades som tiden mellan datumet för randomisering och datumet för det första dokumenterade prövarbedömda återfallet (lokalt i urinvägarna, lokalt utanför urinvägarna eller distalt) eller död (oavsett orsak), vilket som inträffade först. Sekundära effektmått inkluderade totalöverlevnad (OS).
Karakteristika vid studiestart var generellt sett balanserade mellan de olika behandlingsgrupperna. Hos patienter med tumörcellsuttryck av PD‑L1 ≥ 1 % var medianåldern 66 år (intervall: 34–92 år), 76 % var män och 76 % var vita. Åttiotvå procent hade muskelinvasiv blåscancer (MIBC), 18 % hade urotelcellscancer i övre urinvägarna (UTUC) (njurbäcken och urinledare), 42 % av patienterna hade tidigare fått neoadjuvant cisplatinbehandling, 45 % av patienterna var N+ vid radikal resektion. Patienterna hade ECOG perfomance‑status på 0 (61 %), 1 (37 %) eller 2 (2 %), och 7 % av patienterna hade ett hemoglobin på < 10 g/dl.
Vid den förhandsspecificerade interimsanalysen hos patienter med tumörcellsuttryck av PD‑L1 ≥ 1 % (minsta uppföljningstid på 6,3 månader och medianuppföljningstid på 22,1 månader för nivolumab-armen), visade studien en statistiskt signifikant förbättring i sjukdomsfri överlevnad för patienter som randomiserades till nivolumab jämfört med placebo. Medianvärdet för sjukdomsfri överlevnad enligt prövarens bedömning uppnåddes inte (95 % KI: 21,19, ej uppnått) för nivolumab jämfört med 8,41 månader (95 % KI: 5,59, 21,19) för placebo, HR 0,55 (98,72 % KI: 0,35, 0,85), p‑värde = 0,0005. Den primära analysen av sjukdomsfri överlevnad inkluderade censurering för ny cancerbehandling. Resultaten för sjukdomsfri överlevnad med och utan censurering för ny cancerbehandling var överensstämmande.
I en uppdaterad deskriptiv analys av sjukdomsfri överlevnad hos patienter med tumörcellsuttryck av PD‑L1 ≥ 1 % (minsta uppföljningstid på 11,4 månader och medianuppföljningstid på 25,5 månader för nivolumab-armen) bekräftades förbättring i sjukdomsfri överlevnad.
Effektresultat från denna deskriptiva analys visas i tabell 49 och figur 24.
Tabell 49: Effektresultat hos patienter med tumörcell PD‑L1 ≥ 1 % (CA209274)
Figur 24: Kaplan‑Meier‑kurvor för DFS hos patienter med tumörcellsuttryck av PD‑L1 ≥ 1 % (CA209274)
Förhandsspecificerade, exploratoriska, deskriptiva analyser av subgrupperna utfördes hos patienter baserat på tidigare neoadjuvant cisplatinbehandling.
I subgruppen av patienter med tumörcellsuttryck av PD‑L1 ≥ 1 % som tidigare fått neoadjuvant cisplatinbehandling (n = 118) var riskkvoten för sjukdomsfri överlevnad 0,37 (95 % KI: 0,22, 0,64), där medianvärdet för sjukdomsfri överlevnad inte uppnåddes och var 8,41 månader för nivolumab‑ respektive placeboarmarna. I subgruppen av patienter med tumörcellsuttryck av PD‑L1 ≥ 1 % som inte tidigare fått neoadjuvant cisplatinbehandling (n = 164) var riskkvoten för sjukdomsfri överlevnad 0,69 (95 % KI: 0,44, 1,08) med ett medianvärde för sjukdomsfri överlevnad på 29,67 och 11,37 månader för nivolumab‑ respektive placeboarmarna.
Randomiserad, öppen fas 3‑studie med nivolumab i kombination med kemoterapi jämfört med kemoterapi (CA209901)
Säkerhet och effekt för nivolumab i kombination med cisplatin och gemcitabin följt av nivolumab som monoterapi utvärderades i en randomiserad, öppen studie, CA209901, av patienter lämpade för cisplatin med icke-resektabel eller metastaserande urotelcellscancer. I studien ingick patienter (18 år eller äldre) med histologiska eller cytologiska tecken på metastaserande eller kirurgiskt icke-resektabel övergångsepitelcancer i urotelet som involverade njurbäckenet, urinledaren, urinblåsan eller urinröret och som var lämpade för cisplatin och gemcitabin. Mindre histologiska varianter (< 50 % totalt) var acceptabla (övergångsepitelcancer skulle vara den dominerande histologin). Patienterna skulle ha mätbar sjukdom med datortomografi (DT) eller magnetresonanstomografi (MR) enligt RECIST 1.1-kriterierna. Ingen tidigare systemisk cancerbehandling mot metastaserande eller kirurgiskt icke-resektabel urotelcellscancer var tillåten. Tidigare neoadjuvant kemoterapi eller tidigare adjuvant platinabaserad kemoterapi efter radikal cystektomi var tillåten förutsatt att ett sjukdomsåterfall hade inträffat ≥ 12 månader efter avslutad behandling. Tidigare intravesikal behandling var tillåten om den hade genomförts minst 4 veckor innan studiebehandlingen påbörjades. Strålbehandling (med eller utan kemoterapi) med kurativt syfte var tillåten om behandlingen hade avslutats ≥ 12 månader före inklusion. Palliativ strålbehandling var tillåten förutsatt att den hade avslutats minst 2 veckor före behandlingen.
Totalt 608 patienter randomiserades till antingen nivolumab i kombination med cisplatin och gemcitabin (n = 304) eller cisplatin och gemcitabin (n = 304). Randomiseringen stratifierades med avseende på tumörens PD-L1-status (≥ 1 % jämfört med < 1 % eller obestämbar) och levermetastaser (ja jämfört med nej). Medianåldern var 65 år (intervall: 32 till 86), 51 % av patienterna var ≥ 65 år, 12 % var ≥ 75 år, 23 % var asiatiska, 72 % var vita, 0,3 % var svarta, 77 % var män och 23 % var kvinnor. Utgångsvärde för ECOG performance-status var 0 (53 %) eller 1 (46 %). Patienterna i gruppen som fick nivolumab i kombination med cisplatin och gemcitabin behandlades med 360 mg nivolumab var tredje vecka i kombination med cisplatin och gemcitabin i högst 6 cykler. Därefter fick patienterna 480 mg nivolumab som monoterapi var fjärde vecka i upp till 24 månader. Patienterna fick gemcitabin 1 000 mg/m2 intravenöst under 30 minuter dag 1 och 8 av varje 3‑veckors behandlingscykel och cisplatin 70 mg/m2 intravenöst under 30 till 120 minuter dag 1 av varje 3‑veckors behandlingscykel. Totalt 92 patienter (49 i gruppen som fick nivolumab i kombination med cisplatin och gemcitabin och 43 i gruppen som fick cisplatin och gemcitabin) bytte från cisplatin till karboplatin efter minst en behandlingscykel med cisplatin.
Studien visade en statistiskt signifikant fördel avseende totalöverlevnad (OS) och progressionsfri överlevnad (PFS) för patienterna som hade randomiserats till att få nivolumab i kombination med cisplatin och gemcitabin jämfört med enbart cisplatin och gemcitabin. Effektresultat visas i tabell 50 och figur 25 och 26.
Tabell 50: Effektresultat (CA209901)
Figur 26: Kaplan-Meier-kurvor för progressionsfri överlevnad (CA209901)
Den primära analysen av progressionsfri överlevnad inkluderade censurering för ny cancerbehandling före sjukdomsprogression (tabell 50). Resultaten för progressionsfri överlevnad med och utan censurering för ny cancerbehandling före sjukdomsprogression var konsekventa.
Öppen fas 2-studie (CA209275)
Säkerhet och effekt för nivolumab 3 mg/kg som monoterapi för behandling av patienter med lokalt avancerad eller metastaserande urotelcellscancer utvärderades i en öppen, enarmad, multicenter fas 2- studie (CA209275).
I studien ingick vuxna patienter (18 år eller äldre) som hade progredierat under eller efter behandling med platinainnehållande kemoterapi för avancerad eller metastaserad sjukdom eller som hade sjukdomsprogression inom 12 månader efter neoadjuvant eller adjuvant behandling med platinainnehållande kemoterapi. Patienterna hade en ECOG performance-status på 0 eller 1 och inkluderades oavsett tumörens PD-L1-status. Patienter med aktiva hjärnmetastaser eller leptomeningeala metastaser, aktiv autoimmun sjukdom eller medicinska tillstånd som kräver systemisk immunsuppression exkluderades från studien. Patienter som hade fått fler än två tidigare behandlingar med kemoterapi för levermetastaser exkluderades.
Totalt 270 patienter (som fick nivolumab 3 mg/kg administrerat intravenöst under 60 minuter varannan vecka) med en minsta uppföljningstid på 8,3 månader kunde utvärderas avseende effekt. Behandlingen fortsatte så länge klinisk nytta sågs eller till behandlingen inte längre tolererades. De första tumörutvärderingarna gjordes 8 veckor efter behandlingsstart och fortsatte var 8:e vecka i 48 veckor och därefter var 12:e vecka fram till sjukdomsprogression eller behandlingen avslutades, beroende på vilket som inträffade sist. Tumörutvärderingar fortgick efter att behandlingen satts ut hos patienter där behandlingen sattes ut av andra anledningar än sjukdomsprogression. Fortsatt behandling efter initial prövarbedömd progression enligt RECIST, version 1.1, tilläts om prövaren bedömde att patienten hade en klinisk nytta av eller inte hade snabb sjukdomsprogression samt tolererade nivolumab. Det primära effektmåttet var objektiv responsfrekvens enligt BICR. Ytterligare effektmått var varaktighet av respons, progressionsfri överlevnad och totalöverlevnad.
Medianåldern var 66 år (intervall: 38 till 90) med 55 % ≥ 65 år och 14 % ≥ 75 år. Majoriteten av patienterna var vita (86 %) och män (78 %). Utgångsvärde för ECOG performance-status var 0 (54 %) eller 1 (46 %).
Tabell 51: Effektresultat (CA209275)a
“+” anger att observationen är censurerad.
a mediantid för uppföljning 11,5 månader.
b Data är instabila på grund av begränsad varaktighet av respons.
c inkluderar 4 läkemedelsrelaterade dödsfall: 1 pneumonit, 1 akut andningssvikt, 1 andningssvikt och 1 hjärtsvikt.
NE: icke uppskattningsbar
Resultat från post-hoc, exploratoriska analyser indikerar att hos patienter med lågt (t.ex. < 1 %) eller inget uttryck av PD-L1 kan andra patientkarakteristika (t.ex. levermetastaser, viscerala metastaser, utgångsvärde för hemoglobin på < 10 g/dl och ECOG performance-status = 1) bidra till det kliniska resultatet.
Öppen fas 1/2-studie (CA209032)
CA209032 var en öppen, multikohort fas 1/2-studie som inkluderade en kohort på 78 patienter (inklusive 18 patienter som fick en planerad kombination med nivolumab 3 mg/kg plus ipilimumab 1 mg/kg vid crossover) med liknande inklusionskriterier som i studie CA209275 och behandling med nivolumab monoterapi 3 mg/kg för urotelcellscancer. Vid en minsta uppföljningstid på 9 månader, var den bekräftade, objektiva responsfrekvensen 24,4 % (95 % KI: 15,3, 35,4). Medianvärdet för varaktighet av respons uppnåddes inte (intervall: 4,4-16,6 månader). Medianvärdet för totalöverlevnad var 9,7 månader (95 % KI: 7,26, 16,16) och den uppskattade överlevnadsfrekvensen var 69,2 % (KI: 57,7, 78,2) vid 6 månader och 45,6 (KI: 34,2, 56,3) vid 12 månader.
dMMR eller MSI‑H kolorektalcancer
Öppen studie av nivolumab i kombination med ipilimumab jämfört med kemoterapi hos behandlingsnaiva patienter med dMMR eller MSI‑H kolorektalcancer vid metastaserad sjukdom
Säkerhet och effekt för nivolumab 240 mg i kombination med ipilimumab 1 mg/kg var tredje vecka i högst 4 doser, följt av 480 mg nivolumab som monoterapi var fjärde vecka som första linjens behandling av icke‑resektabel eller metastaserande kolorektalcancer med känd tumörstatus avseende MSI‑H eller dMMR utvärderades i en randomiserad, flerarmad, öppen fas 3‑studie (CA2098HW). Studiens behandlingsarmar bestod av nivolumab som monoterapi, nivolumab i kombination med ipilimumab eller prövarens val av kemoterapi. Tumörstatus avseende MSI‑H eller dMMR fastställdes i enlighet med lokal standardpraxis genom PCR-, NGS- eller IHC-analys. Central bedömning av MSI‑H-status med hjälp av PCR-test (Idylla MSI) och dMMR-status med hjälp av IHC-test (Omnis MMR) utfördes retrospektivt på de tumörprover från patienten som användes för lokal bedömning av MSI‑H/dMMR-status. Patienter med bekräftad MSI‑H/dMMR-status med något av de centrala testen utgjorde den primära effektpopulationen. Patienter med symtomatiska hjärnmetastaser, aktiv autoimmun sjukdom, som använde systemiska kortikosteroider eller immunsuppressiva läkemedel, eller som hade behandlats med checkpointhämmare exkluderades från studien. Randomiseringen stratifierades med avseende på tumörens placering (höger eller vänster). Patienter som randomiserades till kemoterapiarmen kunde få nivolumab plus ipilimumab i kombination vid progression bedömd enligt BICR.
Totalt 303 behandlingsnaiva patienter med metastaserande sjukdom randomiserades i studien, varav 202 patienter till nivolumab i kombination med ipilimumab och 101 patienter till kemoterapi. Av dem hade 255 centralt bekräftad MSI‑H/dMMR-status, varav 171 i armen nivolumab i kombination med ipilimumab och 84 i kemoterapiarmen. Patienterna i armen nivolumab plus ipilimumab fick nivolumab 240 mg var tredje vecka i kombination med ipilimumab 1 mg/kg var tredje vecka i högst 4 doser, följt av 480 mg nivolumab som monoterapi var fjärde vecka. Patienterna i kemoterapiarmen fick följande: mFOLFOX6 (oxaliplatin, leukovorin och fluorouracil) med eller utan antingen bevacizumab eller cetuximab: Oxaliplatin 85 mg/m2, leukovorin 400 mg/m2 och fluorouracil 400 mg/m2 som bolus följt av fluorouracil 2 400 mg/m2 under 46 timmar varannan vecka. Bevacizumab 5 mg/kg eller cetuximab 500 mg/m2 som gavs före mFOLFOX6 varannan vecka; eller FOLFIRI (irinotecan, leukovorin och fluorouracil) med eller utan antingen bevacizumab eller cetuximab: Irinotecan 180 mg/m2, leukovorin 400 mg/m2 och fluorouracil 400 mg/m2 som bolus och fluorouracil 2 400 mg/m2 under 46 timmar varannan vecka. Bevacizumab 5 mg/kg eller cetuximab 500 mg/m2 som gavs före FOLFIRI varannan vecka. Behandlingen fortsatte till sjukdomsprogression, oacceptabel toxicitet eller för nivolumab i kombination med ipilimumab upp till 24 månader. Patienter som avbröt kombinationsbehandling på grund av en biverkning tillskriven ipilimumab hade möjlighet att fortsätta med nivolumab som enda läkemedel. Tumörbedömningar enligt RECIST v1.1 utfördes var sjätte vecka under de första 24 veckorna, därefter var åttonde vecka fram till vecka 96, därefter var sextonde vecka fram till vecka 146 och därefter var tjugofjärde vecka.
Karakteristika vid studiestart för alla randomiserade patienter med tidigare obehandlad metastaserande sjukdom var följande: medianåldern var 63 år (intervall: 21 till 87), 46 % var ≥ 65 år och 18 % var ≥ 75 år; 46 % var män och 86 % var vita. ECOG performance status vid studiestart var 0 (54 %) och ≥ 1 (46 %); tumörplaceringen var höger sida eller vänster sida för 68 % respektive 32 % av patienterna och 39 patienter av de 223 patienterna med känd status hade bekräftat Lynchs syndrom. Karakteristika vid studiestart för patienter med tidigare obehandlad metastaserande sjukdom med centralt bekräftad MSI‑H/dMMR överensstämde med gruppen med alla randomiserade patienter med tidigare obehandlad sjukdom. Av de 101 patienter som randomiserades att få kemoterapi fick 88 kemoterapi enligt protokollet, inklusive behandling innehållande oxaliplatin (58 %) och behandling innehållande irinotecan (42 %). Dessutom fick 66 patienter ett riktat läkemedel, antingen bevacizumab (64 %) eller cetuximab (11 %).
Ett av studiens primära effektmått var BICR-bedömd progressionsfri överlevnad (PFS) enligt RECIST 1.1. Ytterligare effektmått var objektiv responsfrekvens (ORR) enligt BICR, totalöverlevnad (OS) och varaktighet av respons.
Studiens primära effektmått uppnåddes vid den planerade interimsanalysen och påvisade en statistiskt signifikant förbättring av progressionsfri överlevnad enligt BICR för patienter med centralt bekräftad MSIH/dMMR i armen nivolumab i kombination med ipilimumab jämfört med kemoterapiarmen. Resultaten för progressionsfri överlevnad enligt BICR visas i tabell 52 och figur 27. På grund av testhierarkin analyserades inte övriga effektmått, inklusive data från nivolumab monoterapiarmen, vid tidpunkten för interimsanalysen.
a Mediantid för uppföljning 31,5 månader (intervall: 6,1 till 48,4 månader).
b Baserad på ett stratifierat tvåsidigt log‑rank-test
Figur 27: Kaplan‑Meier-kurva för progressionsfri överlevnad hos första linjens patienter med centralt bekräftad MSI‑H/dMMR kolorektalcancer (CA2098HW)
—+— Nivolumab + ipilimumab (händelser: 48/171), median och 95 % KI: ej tillämpbart (38,44, ej tillämpbart)
---О--- Kemoterapi (händelser: 52/84), median och 95 % KI: 5,85 (4,37, 7,79)
Öppen studie av nivolumab i kombination med ipilimumab vid dMMR eller MSI‑H kolorektalcancer hos patienter som tidigare har fått fluoropyrimidinbaserad kemoterapi i kombination
Säkerhet och effekt för nivolumab 3 mg/kg i kombination med ipilimumab 1 mg/kg för behandling av metastaserande dMMR eller MSI‑H kolorektalcancer utvärderades i en öppen, enarmad, multicenter fas 2-studie (CA209142).
Studien inkluderade patienter (18 år eller äldre) med lokalt bestämd dMMR‑ eller MSI‑H‑status, som hade sjukdomsprogression under eller efter, eller var intoleranta mot, tidigare behandling med fluoropyrimidin och oxaliplatin eller irinotekan. Patienter som hade fått sin senaste föregående behandling som adjuvant behandling skulle ha progredierat vid eller inom 6 månader efter avslutad adjuvant kemoterapi. Patienterna hade en ECOG performance-status på 0 eller 1 och inkluderades oavsett tumörens PD‑L1‑status. Patienter med aktiva hjärnmetastaser, aktiv autoimmun sjukdom eller medicinska tillstånd som kräver systemisk immunsuppression exkluderades från studien.
Totalt 119 patienter behandlades med nivolumab 3 mg/kg administrerat intravenöst under 60 minuter i kombination med ipilimumab 1 mg/kg administrerat intravenöst under 90 minuter var 3:e vecka i 4 doser följt av nivolumab monoterapi 3 mg/kg varannan vecka. Behandlingen fortsatte så länge klinisk nytta sågs eller tills behandlingen inte längre tolererades. Tumörutvärdering enligt RECIST version 1.1 utfördes var 6:e vecka de första 24 veckorna och därefter var 12:e vecka. Det primära effektmåttet var prövarbedömd objektiv responsfrekvens (ORR). Sekundärt effektmått var objektiv responsfrekvens enligt BICR och grad av sjukdomskontroll. Analysen av objektiv responsfrekvens inkluderade varaktighet av och tid till respons. Explorativa effektmått inkluderade progressionsfri överlevnad (PFS) och totalöverlevnad (OS).
Medianåldern var 58 år (intervall: 21‑88) med 32 % ≥ 65 år och 9 % ≥ 75 år, 59 % var män och 92 % var vita. Utgångsvärde för ECOG performance-status var 0 (45 %) eller 1 (55 %), 25 % av patienterna hade BRAF‑mutationer, 37 % hade KRAS‑mutationer och 12 % var okända. Av de 119 behandlade patienterna hade 109 fått tidigare fluoropyrimidinbaserad kemoterapi för metastaserande sjukdom och 9 som adjuvant behandling. Av de 119 behandlade patienterna hade 118 (99 %) fått fluorouracil, 111 (93 %) hade fått oxaliplatin och 87 (73 %) hade fått irinotekan som del av tidigare behandlingar, innan de inkluderades i studien. Åttiotvå patienter (69 %) hade fått tidigare behandling med fluoropyrimidin, oxaliplatin och irinotekan. Tjugotre procent, 36 %, 24 % respektive 16 % hade fått 1, 2, 3, 4 eller fler tidigare behandlingar och 29 % av patienterna hade fått en EGFR‑hämmare.
Effektresultat (minsta uppföljningstid 46,9 månader, median uppföljningstid 51,1 månader) visas i tabell 53.
Tabell 53: Effektresultat (CA209142)*
* Prövarbedömd
“+” Anger att observationen är censurerad
Den objektiva responsfrekvensen enligt BICR var 61,3 % (95% KI: 52,0, 70,1), med komplett respons hos 20,2 % (95 % KI: 13,4, 28,5), partiell respons hos 41,2 % (95 % KI: 32,2, 50,6) och stabil sjukdom hos 22,7 %. Bedömningar enligt BICR överensstämde i allmänhet med prövarens bedömning. Bekräftade responser observerades oavsett BRAF‑ eller KRAS‑mutationsstatus och nivåer av tumöruttryck av PD‑L1.
Av 119 patienter var 11 patienter (9,2 %) ≥ 75 år. Den prövarbedömda objektiva responsfrekvensen hos patienter ≥ 75 år var 45,5 % (95 % KI: 16,7, 76,6).
Esofaguscancer av skivepiteltyp
Randomiserad fas 3-studie med nivolumab i kombination med ipilimumab jämfört med kemoterapi och nivolumab i kombination med kemoterapi jämfört med kemoterapi som första linjens behandling (CA209648)
Säkerhet och effekt av nivolumab i kombination med ipilimumab och nivolumab i kombination med kemoterapi utvärderades i en randomiserad, öppen studie med aktiv kontroll (CA209648). Studien inkluderade vuxna patienter (18 år och äldre) med tidigare obehandlad, icke-resektabel avancerad återkommande eller metastaserande esofaguscancer av skivepiteltyp. Patienterna inkluderades oavsett tumörens PD‑L1‑status, och PD‑L1 tumörcellsuttryck fastställdes genom att använda testet PD‑L1 IHC 28‑8 pharmDx. Patienterna skulle ha esofaguscancer av skivepiteltyp eller adenoskvamös esofaguscancer som inte var mottaglig för kemoradioterapi och/eller kirurgi. Tidigare adjuvant, neoadjuvant eller slutgiltig kemoterapi, radioterapi eller kemoradioterapi var tillåten om den gavs som del av en regim med kurativt syfte före inklusion i studien. Patienter med nedsatt allmäntillstånd (performance-status ≥ 2), symtomatiska hjärnmetastaser, aktiv autoimmun sjukdom, som använde systemiska kortikosteroider eller immunsuppressiva läkemedel, eller patienter med hög risk för blödning eller fistlar på grund av tydlig tumörinvasion i organ intill den esofageala tumören, exkluderades från studien. Randomiseringen stratifierades med avseende på tumörens PD‑L1-status (≥ 1 % jämfört med < 1 % eller obestämbar), region (Ostasien jämfört med övriga Asien jämfört med övriga världen), ECOG performance-status (0 jämfört med 1) och antal organ med metastaser (≤1 jämfört med ≥2).
Totalt 970 patienter randomiserades till att få antingen nivolumab i kombination med ipilimumab (n = 325), nivolumab i kombination med kemoterapi (n = 321) eller kemoterapi (n = 324). Av dessa hade 473 patienter tumörcellsuttryck av PD‑L1 ≥ 1 %, 158 i nivolumab- plus ipilimumab-armen, 158 i nivolumab- plus kemoterapiarmen och 157 i kemoterapiarmen. Patienterna i nivolumab- plus ipilimumab-armen fick nivolumab 3 mg/kg varannan vecka i kombination med ipilimumab 1 mg/kg var sjätte vecka, och patienterna i nivolumab- plus kemoterapiarmen fick nivolumab 240 mg varannan vecka dag 1 och 15, fluorouracil 800 mg/m2/dag intravenöst dag 1 till 5 (i 5 dagar), och cisplatin 80 mg/m2 intravenöst dag 1 (i en 4-veckorscykel). Patienterna i kemoterapiarmen fick fluorouracil 800 mg/m2/dag intravenöst dag 1 till 5 (i 5 dagar) och cisplatin 80 mg/m2 intravenöst dag 1 (i en 4‑veckorscykel). Behandling fortsatte fram till sjukdomsprogression, oacceptabel toxicitet eller upp till 24 månader. Patienterna i nivolumab- plus ipilimumab-armen som avbröt kombinationsbehandlingen på grund av en biverkning tillskriven ipilimumab, tilläts att fortsätta med nivolumab som enda läkemedel. Patienterna i nivolumab- plus kemoterapiarmen, för vilka behandling med antingen fluorouracil och/eller cisplatin avbröts, tilläts att fortsätta behandlingen med andra komponenter av behandlingsregimen.
Karakteristika vid studiestart var generellt sett balanserade mellan de olika behandlingsgrupperna. Hos patienter med tumörcellsuttryck av PD‑L1 ≥ 1 % var medianåldern 63 år (intervall: 26–85), 8,2 % var ≥ 75 år, 81,8 % var män, 73,1 % var asiater och 23,3 % var vita. Patienterna hade histologiskt bekräftad esofaguscancer av skivepiteltyp (98,9 %) eller adenoskvamös esofaguscancer (1,1 %). ECOG performance-status vid studiestart var 0 (45,2 %) eller 1 (54,8 %).
Nivolumab i kombination med ipilimumab jämfört med kemoterapi
De primära effektmåtten var progressionsfri överlevnad (PFS) (enligt BICR) och totalöverlevnad (OS) utvärderade hos patienter med tumörcellsuttryck av PD‑L1 ≥ 1 %. Sekundära effektmått enligt förhandsspecificerad hierarkisk testning inkluderade totalöverlevnad, progressionsfri överlevnad (enligt BICR) och objektiv responsfrekvens (ORR) (enligt BICR) hos alla randomiserade patienter. Tumörbedömningen enligt RECIST v1.1 utfördes var sjätte vecka fram till och med vecka 48, därefter var tolfte vecka.
Vid den primära förhandsspecificerade analysen med en minsta uppföljningstid på 13,1 månader visade studien en statistiskt signifikant förbättring i totalöverlevnad hos patienter med tumörcellsuttryck av PD‑L1 ≥ 1 %. Effektresultaten visas i tabell 54.
Tabell 54: Effektresultat hos patienter med tumörcellsuttryck av PD‑L1 ≥ 1 % (CA209648)
a Fluorouracil och cisplatin.
b Baserad på en stratifierad Cox-proportionell riskmodell.
c Baserad på ett stratifierat tvåsidigt log-rank test.
d Baserad på Kaplan-Meier-uppskattningar.
e Bedömd enligt BICR.
Vid en uppdaterad deskriptiv analys med en minsta uppföljningstid på 20 månader var förbättring i totalöverlevnad överensstämmande med den primära analysen. Medianvärdet för totalöverlevnad var 13,70 månader (95 % KI: 11,24, 17,41) för nivolumab plus ipilimumab jämfört med 9,07 månader (95 % KI: 7,69, 10,02) för kemoterapi (HR = 0,63; 95 % KI: 0,49, 0,82). Medianvärdet för progressionsfri överlevnad var 4,04 månader (95 % KI: 2,40, 4,93) för nivolumab plus ipilimumab jämfört med 4,44 månader (95 % KI: 2,89, 5,82) för kemoterapi (HR = 1,02; 95 % KI: 0,77, 1,34). Den objektiva responsfrekvensen var 35,4 % (95 % KI: 28,0, 43,4) för nivolumab plus ipilimumab jämfört med 19,7 % (95 % KI: 13,8, 26,8) för kemoterapi.
Kaplan-Meier-kurvorna för totalöverlevnad med en minsta uppföljningstid på 20 månader visas i figur 28.
Figur 28: Kaplan-Meier-kurvor för totalöverlevnad hos patienter med tumörcellsuttryck av PD‑L1 ≥ 1% (CA209648)
Nivolumab i kombination med kemoterapi jämfört med kemoterapi
De primära effektmåtten var progressionsfri överlevnad (PFS) (enligt BICR) och totalöverlevnad (OS) hos patienter med tumörcellsuttryck av PD‑L1 ≥ 1 %. Sekundära effektmått enligt förhandsspecificerad hierarkisk testning inkluderade totalöverlevnad, progressionsfri överlevnad (enligt BICR) och objektiv responsfrekvens (ORR) (enligt BICR) hos alla randomiserade patienter. Tumörbedömningen enligt RECIST v1.1 utfördes var sjätte vecka fram till och med vecka 48, därefter var tolfte vecka.
Vid den förhandsspecificerade analysen med en minsta uppföljningstid på 12,9 månader visade studien en statistiskt signifikant förbättring i totalöverlevnad och progressionsfri överlevnad hos patienter med tumörcellsuttryck av PD‑L1 ≥ 1 %. Effektresultaten visas i tabell 55.
Tabell 55: Effektresultat hos patienter med tumörcellsuttryck av PD‑L1 ≥ 1 % (CA209648)
a Fluorouracil och cisplatin.
b Baserad på en stratifierad Cox-proportionell riskmodell.
c Baserad på ett stratifierat tvåsidigt log-rank test.
d Baserad på Kaplan-Meier-uppskattningar.
e Bedömd enligt BICR.
Vid en uppdaterad deskriptiv analys med en minsta uppföljningstid på 20 månader var förbättring i totalöverlevnad överensstämmande med den primära analysen. Medianvärdet för totalöverlevnad var 15,05 månader (95 % KI: 11,93, 18,63) för nivolumab plus kemoterapi jämfört med 9,07 månader (95 % KI: 7,69, 10,02) för kemoterapi (HR = 0,59; 95 % KI: 0,46, 0,76). Medianvärdet för progressionsfri överlevnad var 6,93 månader (95 % KI: 5,68, 8,35) för nivolumab plus kemoterapi jämfört med 4,44 månader (95 % KI: 2,89, 5,82) för kemoterapi (HR = 0,66; 95 % KI: 0,50, 0,87). Den objektiva responsfrekvensen var 53,2 % (95 % KI: 45,1, 61,1) för nivolumab plus kemoterapi jämfört med 19,7 % (95 % KI: 13,8, 26,8) för kemoterapi.
Kaplan-Meier-kurvorna för totalöverlevnad och progressionsfri överlevnad med en minsta uppföljningstid på 20 månader visas i figur 29 och 30.
Figur 30: Kaplan-Meier-kurvor för progressionsfri överlevnad hos patienter med tumörcellsuttryck av PD‑L1 ≥ 1% (CA209648)
Randomiserad fas 3‑studie med nivolumab monoterapi i tidigare behandlade patienter (ONO‑4538‑24/ CA209473)
Säkerhet och effekt för nivolumab 240 mg som monoterapi för behandling av icke‑resektabel avancerad, återkommande eller metastaserande esofaguscancer av skivepiteltyp (OSCC) utvärderades i en randomiserad, aktivt kontrollerad, öppen fas 3‑studie (ONO‑4538‑24/CA209473). Studien inkluderade vuxna patienter (20 år eller äldre) som inte tolererade eller var refraktära mot minst en fluoropyrimidin‑ och platinabaserad kombinationsbehandling, och patienter enrollerades oavsett tumöruttryck av PD‑L1. Patienter som var refraktära mot eller inte tolererade behandling med taxaner, hade hjärnmetastaser som var symptomatiska eller krävde behandling, hade aktiv autoimmun sjukdom, medicinska tillstånd som krävde systemisk immunosupprimerande behandling, och patienter med tydlig tumörinvasion i esofagus intilliggande organ (till exempel aortan eller luftvägarna), exkluderades från studien.
Totalt randomiserades 419 patienter 1:1 till att antingen få nivolumab 240 mg administrerad intravenöst under 30 minuter varannan vecka (n = 210) eller prövarens val av kemoterapi med taxan: antingen docetaxel (n = 65) 75 mg/m2 intravenöst var tredje vecka, eller paclitaxel (n = 144) 100 mg/m2 intravenöst en gång per vecka i sex veckor följt av en veckas uppehåll. Randomiseringen stratifierades med avseende på lokalisering (Japan jämfört med övriga världen), antal organ med metastaser (≤ 1 jämfört med ≥ 2) och tumöruttryck av PD‑L1 (≥ 1 % jämfört med < 1 % eller obestämbar). Behandlingen fortsatte till sjukdomsprogression, utvärderad av prövaren enligt RECIST version 1.1, eller oacceptabel toxicitet. Tumörutvärderingar genomfördes var sjätte vecka under ett år, och därefter var tolfte vecka. Fortsatt behandling efter initial prövarbedömd progression tilläts hos patienter som fick nivolumab utan snabb progression, hade prövarutvärderad nytta av behandlingen, tolererade behandlingen, hade stabilt allmäntillstånd (performance‑status), och där behandling efter progression inte skulle fördröja en förestående intervention för att förhindra allvarliga komplikationer associerade med sjukdomsprogression (till exempel hjärnmetastaser). Primärt effektmått var totalöverlevnad (OS). De viktigaste sekundära effektmåtten var prövarutvärderad objektiv responsfrekvens (ORR) och progressionsfri överlevnad (PFS). Ytterligare förhandsspecificerade subgruppsanalyser genomfördes för att utvärdera effekten av tumörens PD‑L1‑uttryck vid en förhandsdefinierad nivå på 1 %. Tumörens PD‑L1‑uttryck fastställdes med PD‑L1 IHC 28‑8 pharmDx‑analys.
Patientkarakteristika vid studiestart var likvärdiga mellan de två grupperna. Medianåldern var 65 år (intervall: 33–87), 53 % var ≥ 65 år gamla, 10 % var ≥ 75 år, 87 % var män, 96 % hade asiatiskt ursprung och 4 % var vita. ECOG performance‑status vid studiestart var 0 (50 %) eller 1 (50 %).
Med en minsta uppföljning på 17,6 månader, visade studien en statistiskt signifikant förbättring i totalöverlevnad hos patienter randomiserade till nivolumab jämfört med prövarens val av kemoterapi med taxan. Effektresultaten visas i tabell 56 och figur 31.
En högre andel patienter dog inom de första 2,5 månaderna i nivolumab-armen (32/210, 15,2 %) jämfört med kemoterapiarmen (15/209, 7,2 %). Ingen specifik faktor associerad med tidig död kunde identifieras.
Tabell 56: Effektresultat (ONO‑4538‑24/CA209473)
Figur 31: Kaplan Meier‑kurvor för totalöverlevnad (ONO‑4538‑24/CA209473)
Av de 419 patienterna, hade 48 % PD‑L1‑uttryck ≥ 1 % i tumören. De återstående 52 % av patienterna hade PD‑L1‑uttryck < 1 % i tumören. Riskkvoten (HR) för totalöverlevnad var 0,69 (95 % KI: 0,51, 0,94) med mediantid för överlevnad på 10,9 månader för nivolumab-armen respektive 8,1 månader för armen med prövarens val av kemoterapi med taxan i subgruppen med PD‑L1‑positiv tumör. I subgruppen med esofaguscancer av skivepiteltyp med PD‑L1‑negativ tumör, var riskkvoten för totalöverlevnad 0,84 (95 % KI: 0,62, 1,14) med mediantid för överlevnad 10,9 månader för nivolumab-armen respektive 9,3 månader för kemoterapiarmen.
Adjuvant behandling av esofaguscancer eller cancer i gastroesofageala övergången
Säkerhet och effekt för nivolumab som monoterapi för adjuvant behandling av esofaguscancer eller cancer i gastroesofageala övergången utvärderades i en multicenter, randomiserad, placebokontrollerad, dubbelblind fas 3-studie (CA209577). Studien inkluderade vuxna patienter som fått kemoradioterapi (KRT), följt av komplett kirurgisk carcinomresektion inom 16 veckor före randomiseringen, och som hade kvarstående patologisk sjukdom bekräftad av prövaren med minst ypN1 eller ypT1. Patienter med nedsatt allmäntillstånd (performance-status ≥ 2), som inte fick samtidig kemoradioterapi (KRT) före operation, med stadium IV resektabel sjukdom, aktiv autoimmun sjukdom eller medicinska tillstånd som krävde systemisk immunsuppressiv behandling exkluderades från studien. Patienterna inkluderas oavsett PD-L1-uttryck i tumören.
Totalt randomiserades 794 patienter 2:1 till att antingen få nivolumab 240 mg (n = 532) eller placebo (n =262). Patienterna fick nivolumab administrerad intravenöst under 30 minuter varannan vecka i 16 veckor följt av 480 mg som infusion under 30 minuter var fjärde vecka, med start vecka 17. Patienter administrerades placebo under 30 minuter med samma doseringsintervall som för nivolumab. Randomiseringen stratifierades med avseende på tumöruttryck av PD-L1 (≥ 1 % jämfört med < 1 % eller obestämbar eller icke utvärderbar), patologisk lymfkörtelstatus (positiv ≥ ypN1 jämfört med negativ ypN0) och histologi (skivepitelcarcinom jämfört med adenocarcinom). Behandlingen fortsatte till sjukdomåterfall, oacceptabel toxicitet eller som längst 1 år. Primärt effektmått var sjukdomsfri överlevnad (DFS) utvärderad av prövare, definierad som tiden mellan randomiseringsdatumet och datumet för första återfallet (lokalt, regionalt eller distalt från den primära resektionspunkten) eller död oavsett orsak, beroende på vilket som inträffade först. Patienter under behandling fick genomgå scanning för tumöråterfall var 12:e vecka under 2 år och minst en scanning var 6:e till 12:e månad år 3 till 5.
Karakteristika vid studiestart var likvärdiga mellan de två grupperna. Medianåldern var 62 år (intervall: 26‑86), 36 % var ≥ 65 år gamla och 5 % var ≥ 75 år. Majoriteten av patienterna var vita (82 %) och män (85 %). ECOG performance-status vid studiestart var 0 (58 %) eller 1 (42 %).
En primär förhandsspecificerad interimsanalys (minsta uppföljningstid 6,2 månader, median uppföljningstid 24,4 månader), visade på en statistiskt signifikant förbättring i sjukdomsfri överlevnad för patienter som randomiserats till nivolumab jämfört med placebo. Median sjukdomsfri överlevnad, bestämd av prövaren, var 22,41 månader (95 % KI: 16,62, 34,00) för nivolumab jämfört med 11,04 månader (95 % KI: 8,34, 14,32) för placebo, riskkvot 0,69 (96,4 % KI: 0,56, 0,86), p‑värde < 0,0003. Primär analys av sjukdomsfri överlevnad inkluderade censurering för ny cancerbehandling. Resultaten för sjukdomsfri överlevnad med eller utan censurering för ny cancerbehandling var konsekventa. I en uppdaterad deskriptiv analys av sjukdomsfri överlevnad med minsta uppföljningstid på 14 månader och en median uppföljningstid på 32,2 månader, bekräftades förbättringen av sjukdomsfri överlevnad. Effektresultat för denna deskriptiva sekundära analysen visas i tabell 57 och figur 32.
Tabell 57: Effektresultat (CA209577)
a Baserad på alla randomiserade patienter.
b Baserad på en stratifierad cox proportionalitets riskmodell.
c Deskriptiv analys baserad på data cut-off 18 februari 2021.
Figur 32: Kaplan Meier-kurvor för sjukdomsfri överlevnad (CA209577)
Vid den slutliga OS-analysen med en minsta uppföljningstid på 60 månader var HR för OS 0,85 (95,87 % KI: 0,70, 1,04), p‑värde = 0,1064. Median-OS var 51,71 (95 % KI: 41,03, 61,63) månader i nivolumab-armen jämfört med 35,25 (95 % KI: 30,72, 48,76) månader i placeboarmen. Kaplan‑Meier‑kurvorna för totalöverlevnad med en minsta uppföljningstid på 60 månader visas i figur 33.
Figur 33: Kaplan‑Meier-kurvor för totalöverlevnad (CA209577)
Adenocarcinom i ventrikeln, gastroesofageala övergången eller esofagus
Säkerhet och effekt för nivolumab 240 mg varannan vecka eller 360 mg var tredje vecka i kombination med kemoterapi (dos och doseringsschema för nivolumab valdes beroende på vilken kemoterapi‑regim som användes, se nedan) utvärderades i en öppen, randomiserad, fas 3‑studie (CA209649). Studien inkluderade vuxna patienter (18 år eller äldre) med tidigare obehandlat, avancerat eller metastaserande adenocarcinom i ventrikeln, gastroesofageala övergången (GEJ) eller esofagus, utan tidigare systemisk behandling (inklusive HER2‑hämmare), och med ECOG performance‑status på 0 eller 1. Patienterna inkluderades oavsett tumörens PD‑L1‑status, och tumörcellsuttryck av PD‑L1 fastställdes genom att använda testet PD‑L1 IHC 28‑8 pharmDx. En retrospektiv omvärdering av en patients PD‑L1‑status för tumören enligt CPS genomfördes med hjälp av de PD‑L1‑infärgade tumörproverna som användes vid randomisering. Patienter med kända HER2‑positiva tumörer, ECOG performance‑status ≥ 2 vid studiestart, obehandlade metastaser i centrala nervsystemet eller aktiv, känd eller misstänkt, autoimmun sjukdom eller medicinska tillstånd som krävde systemisk immunsuppressiv behandling exkluderades från studien. Totalt inkluderades 643 patienter med obestämd HER2‑status (40,3 % av studiepopulationen) i studien. Randomiseringen stratifierades med avseende på PD‑L1-status för tumörcellen (≥ 1 % jämfört med < 1 % eller obestämd), region (Asien jämfört med USA jämfört med övriga världen), ECOG performance‑status (0 jämfört med 1), och kemoterapi‑regim. Kemoterapi bestod av FOLFOX (fluorouracil, leukovorin och oxaliplatin) eller CapeOX (kapecitabin och oxaliplatin).
Totalt randomiserades 1581 patienter till att få antingen nivolumab i kombination med kemoterapi eller kemoterapi. Av dessa hade 955 patienter PD‑L1 CPS ≥ 5; 473 i kombinationsarmen (nivolumab plus kemoterapi) och 482 i kemoterapiarmen. Patienter i armen som fick nivolumab plus kemoterapi fick antingen 240 mg nivolumab som en intravenös infusion under 30 minuter i kombination med FOLFOX (oxaliplatin 85 mg/m2, leukovorin 400 mg/m2 och fluorouracil 400 mg/m2 intravenöst på dag 1 och fluorouracil 1200 mg/m2 intravenöst som en kontinuerlig infusion under 24 timmar dagligen eller enligt lokal standard på dag 1 och 2) varannan vecka, eller 360 mg nivolumab administrerat som en intravenös infusion under 30 minuter i kombination med CapeOX (oxaliplatin 130 mg/m2 intravenöst på dag 1 och kapecitabin 1000 mg/m2 oralt två gånger dagligen på dag 1‑14) var tredje vecka. Behandlingen fortsatte fram till sjukdomsprogression, oacceptabel toxicitet eller i upp till 24 månader för nivolumab enbart. Hos patienter som fick nivolumab plus kemoterapi, och hos vilka behandling med kemoterapi avbröts, fick monoterapi med nivolumab ges med 240 mg varannan vecka, 360 mg var tredje vecka eller 480 mg var fjärde vecka upp till 24 månader efter behandlingsstart. Tumörutvärderingar genomfördes var sjätte vecka fram till och inklusive vecka 48, därefter var 12:e vecka.
Karakteristika vid studiestart var generellt sett balanserade mellan de olika behandlingsgrupperna. Hos patienter med PD‑L1 CPS ≥ 5 var medianåldern 62 år (intervall: 18‑90), 11 % var ≥ 75 år gamla, 71 % var män, 25 % var asiater och 69 % var vita. ECOG performance-status vid studiestart var 0 (42 %) eller 1 (58 %). Tumörplacering fördelades som adenocarcinom i ventrikeln (70 %), GEJ (18 %) och esofagus (12 %).
Primärt effektmått var progressionsfri överlevnad (PFS) (enligt BICR) och totalöverlevnad (OS) utvärderat för patienter med PD-L1 CPS ≥ 5 baserat på PD-L1 IHC 28-8 pharmDx. Sekundära effektmått enligt den förhandsspecificerade hierarkiska testningen var totalöverlevnad för patienter med PD-L1 CPS ≥ 1 och för alla randomiserade patienter; ytterligare effektmått inkluderade objektiv responsfrekvens (ORR) (BICR) för patienter med PD-L1 CPS ≥ 5 och för alla randomiserade patienter. Vid den primära förhandsspecificerade analysen, med en minsta uppföljningstid på 12,1 månader, visade studien en statistiskt signifikant förbättring i totalöverlevnad och progressionsfri överlevnad för patienter med PD L1 CPS ≥ 5. Medianvärdet för totalöverlevnad var 14,4 månader (95 % KI: 13,1, 16,2) för nivolumab i kombination med kemoterapi jämfört med 11,1 månader (95 % KI: 10,0, 12,1) för kemoterapi (HR = 0,71; 98,4 % KI: 0,59, 0,86; p‑värde < 0,0001). Medianvärdet för progressionsfri överlevnad var 7,69 månader (95 % KI: 7,03, 9,17) för nivolumab i kombination med kemoterapi jämfört med 6,05 månader (95 % KI: 5,55, 6,90) för kemoterapi (HR = 0,68; 98 % KI: 0,56, 0,81; p‑värde < 0,0001). Objektiv responsfrekvens var 60 % (95 % KI: 55, 65) för nivolumab i kombination med kemoterapi jämfört med 45 % (95 % KI: 40, 50) för kemoterapi.
I en uppdaterad deskriptiv analys med en minsta uppföljningstid på 19,4 månader var förbättring i totalöverlevnad överensstämmande med den primära analysen. Effektresultat visas i tabell 58 och figur 34 och 35.
a Deskriptiv analys baserad på data cut-off 4 januari 2021.
b Baserad på stratifierad cox proportionalitets riskmodell.
c Kaplan-Meier‑uppskattning.
d Bekräftad enligt BICR.
e Baserad på patienter med mätbar sjukdom vid studiestart.
Figur 34: Kaplan‑Meier-kurvor för totalöverlevnad hos patienter med PD‑L1 CPS ≥ 5 (CA209649)
Hepatocellulärt karcinom
Säkerhet och effekt för nivolumab 1 mg/kg i kombination med ipilimumab 3 mg/kg var tredje vecka i högst 4 doser, följt av 480 mg nivolumab som monoterapi var fjärde vecka som första linjens behandling av icke‑resektabelt eller avancerat hepatocellulärt karcinom (HCC) utvärderades i en randomiserad, aktivt kontrollerad, öppen fas 3‑studie (CA2099DW). I studien ingick vuxna patienter (18 år eller äldre) med histologiskt bekräftad HCC, Child-Pugh-klass A, ECOG performance-status 0 eller 1 och ingen tidigare systemisk behandling för framskriden sjukdom. Esofagogastroduodenoskopi var inte obligatorisk före inklusion i studien. I studien ingick vuxna med sjukdom som inte var mottaglig för eller fortskred efter kirurgisk och/eller lokoregional behandling. Tidigare neoadjuvant eller adjuvant systemisk behandling var tillåten. Patienter med aktiv autoimmun sjukdom, hjärn- eller leptomeningeala metastaser, tidigare genomgången levertransplantation, en historik av leverencefalopati (inom 12 månader från randomiseringen), kliniskt signifikant ascites, medicinska tillstånd som krävde systemisk immunsuppressiv behandling, HIV-infektion eller samtidig aktiv infektion med hepatit B-virus (HBV) och hepatit C-virus (HCV) eller HBV- och hepatit D-virus (HDV) exkluderades från studien. Randomiseringen stratifierades enligt etiologi (HBV, HCV eller ickeviral), makrovaskulär invasion eller extrahepatisk spridning (befintlig eller icke befintlig) och alfafetoproteinnivåer (≥ 400 eller < 400 ng/ml).
Totalt randomiserades 668 patienter till nivolumab i kombination med ipilimumab (n = 335) eller prövarens val (n = 333) av lenvatinib eller sorafenib. I armen med prövarens val fick 85 % av de behandlade patienterna lenvatinib och 15 % sorafenib. Patienterna i armen med nivolumab plus ipilimumab fick 1 mg/kg nivolumab var tredje vecka i kombination med 3 mg/kg ipilimumab var tredje vecka i högst 4 doser, följt av 480 mg nivolumab som monoterapi var fjärde vecka. Patienterna i armen med prövarens val fick 8 mg lenvatinib peroralt dagligen (om kroppsvikten var < 60 kg), 12 mg lenvatinib peroralt dagligen (om kroppsvikten var ≥ 60 kg) eller 400 mg sorafenib peroralt två gånger dagligen. Behandlingen fortsatte till sjukdomsprogression, oacceptabel toxicitet eller upp till 24 månader. Patienter som avbröt kombinationsbehandlingen på grund av en biverkning som tillskrevs ipilimumab hade möjlighet att fortsätta med nivolumab som enda läkemedel. Tumörbedömningar utfördes vid studiestart, efter randomisering vid vecka 9 och vecka 16, därefter var 8:e vecka fram till 48 veckor och därefter var 12:e vecka till sjukdomsprogress, utsättning av behandlingen eller påbörjande av efterföljande behandling.
Karakteristika vid studiestart var generellt sett balanserade mellan de båda behandlingsgrupperna. Medianåldern var 66 år (intervall: 20 till 89), 53 % var ≥ 65 år, 16 % var ≥ 75 år, 53 % var vita, 44 % var asiater, 2,2 % var svarta och 82 % var män. ECOG performance-status vid studiestart var 0 (71 %) eller 1 (29 %). Trettiofyra procent (34 %) av patienterna hade HBV‑infektion, 28 % hade HCV‑infektion och 36 % hade inga tecken på HBV‑ eller HCV‑infektion. Nitton procent (19 %) av patienterna hade alkoholorsakad leversjukdom och 11 % hade icke‑alkoholorsakad fettleversjukdom. Majoriteten av patienterna hade sjukdom i BCLC‑stadium C (73 %) vid studiestart, 19 % var i stadium B och 6 % var i stadium A. Patienter med Child‑Pugh-poäng på 5, 6 och ≥ 7 var 77 %, 20 % respektive 3 %. Totalt 54 % av patienterna hade extrahepatisk spridning; 25 % makrovaskulär invasion och 33 % AFP‑nivåer ≥ 400 µg/l.
Studien visade en statistiskt signifikant fördel avseende totalöverlevnad (OS) och total responsfrekvens (ORR) för patienterna som randomiserats till att få nivolumab i kombination med ipilimumab jämfört med prövarens val av lenvatinib eller sorafenib. Effektresultaten visas i tabell 59 och figur 36.
a Minsta uppföljningstid 26,8 månader. Medianuppföljningstid 35,2 månader.
b Baserat på den stratifierade proportionella Cox-riskmodellen.
c Baserat på ett tvåsidigt stratifierat logrank‑test. Gräns för statistisk signifikans: p‑värde ≤ 0,0257.
d Bedömt enligt BICR med RECIST 1.1.
e Baserat på ett tvåsidigt stratifierat Cochran‑Mantel‑Haenszel-test. Gräns för statistisk signifikans: p‑värde ≤ 0,025.
Figur 36: Kaplan‑Meier-kurva för totalöverlevnad hos patienter med hepatocellulärt karcinom behandlade i första linjen (CA2099DW)
Pediatrisk population
Öppen fas 1/2‑studie (CA209070)
Studie CA209070 var en öppen, enarmad fas 1/2-studie med en dosbekräftande fas och en dosexpansionsfas av nivolumab som monoterapi och i kombination med ipilimumab till barn och ungdomar med återkommande eller refraktära solida eller hematologiska tumörer, inklusive neuroblastom, osteosarkom, rabdomyosarkom, Ewings sarkom, avancerat melanom, klassiskt Hodgkins lymfom och non-Hodgkins lymfom. Bland de 126 behandlade patienterna var 97 barn och ungdomar från 12 månader till < 18 år. Av de 97 patienterna behandlades 64 med nivolumab som monoterapi (3 mg/kg intravenöst under 60 minuter varannan vecka) och 33 behandlades med nivolumab i kombination med ipilimumab (nivolumab 1 mg/kg eller 3 mg/kg intravenöst under 60 minuter i kombination med ipilimumab 1 mg/kg intravenöst under 90 minuter var tredje vecka de fyra första doserna, följt av nivolumab 3 mg/kg som monoterapi varannan vecka). Patienterna fick antingen nivolumab som monoterapi, 2 doser i median (intervall: 1‑89), eller nivolumab i kombination med ipilimumab, 2 doser i median (intervall: 1‑24). De huvudsakliga primära effektmåtten var säkerhet, tolerabilitet och antitumöraktivitet utvärderat enligt deskriptiv objektiv responsfrekvens (ORR) och totalöverlevnad (OS).
Bland de 64 patienterna som fick nivolumab som monoterapi var svaren från 60 patienter möjliga att utvärdera (melanom n = 1, solida tumörer n = 47 och hematologiska tumörer n = 12). Hos de 48 patienterna med melanom eller solida tumörer, och med svar möjliga att utvärdera, observerades inga objektiva responser.
Hos de 12 patienterna med hematologiska tumörer, och med svar möjliga att utvärdera, var den objektiva responsfrekvensen 25,0 % (95 % KI: 5,5, 57,2), varav 1 fullständig respons för klassiskt Hodgkins lymfom och 2 partiella responser, en för klassiskt Hodgkins lymfom och en för non-Hodgkins lymfom. I de deskriptiva analyserna för de 64 patienterna som fick nivolumab som monoterapi var medianvärdet för totalöverlevnad 6,67 månader (95 % KI: 5,98, ej tillämpbart), 6,14 månader (95 % KI: 5,39, 24,67) för patienter med melanom eller solida tumörer och ännu ej uppnått för patienter med hematologiska tumörer.
Bland de 30 patienterna som fick nivolumab i kombination med ipilimumab (solida tumörer utöver enbart melanom), och med svar möjliga att utvärdera, observerades inga objektiva responser. Hos de 33 patienterna som fick nivolumab i kombination med ipilimumab var medianvärdet för totalöverlevnad 8,25 månader (95 % KI: 5,45, 16,95) i en deskriptiv analys.
Öppen fas 1b/2‑studie (CA209908)
Studien CA209908 var en öppen, sekventiell, fas1b/2 klinisk studie med nivolumab som monoterapi och nivolumab i kombination med ipilimumab hos pediatriska och unga vuxna patienter med höggradiga primära maligniteter i CNS, inklusive diffust infiltrerat ponsgliom (DIPG), höggradigt gliom, medulloblastom, ependymom och andra återkommande subtyper av höggradig CNS-malignitet (t.ex. pineoblastom, atypisk teratoid/rhabdoid tumör och embryonala CNS-tumörer). Av de 151 pediatriska patienterna (från ≥ 6 månader till < 18 år) som inkluderades i studien behandlades 77 med nivolumab som monoterapi (3 mg/kg varannan vecka) och 74 behandlades med nivolumab i kombination med ipilimumab (nivolumab 3 mg/kg följt av ipilimumab 1 mg/kg var 3:e vecka i 4 doser, följt av nivolumab som monoterapi 3 mg/kg varannan vecka). Det primära effektmåttet var totalöverlevnad (OS) i DIPG-kohorten och prövarbedömd progressionsfri överlevnad (PFS) baserat på RANO-kritierier för alla andra typer av tumörer. Medianvärdet för totalöverlevnad i DIPG-kohorten var 10,97 månader (80 % KI: 9,92, 12,16) hos patienter behandlade med nivolumab som monoterapi och 10,50 månader (80 % KI: 9,10, 12,32) hos patienter behandlade med nivolumab i kombination med ipilimumab. För alla andra studerade typer av pediatriska CNS-tumörer varierade medianvärdet för progressionsfri överlevnad från 1,23 till 2,35 månader hos patienter behandlade med nivolumab som monoterapi och från 1,45 till 3,09 månader hos patienter behandlade med nivolumab i kombination med ipilimumab. Inga objektiva svar observerades i studien med undantag för en patient med ependymom som behandlades med nivolumab som monoterapi och som fick en partiell respons. Resultaten för totalöverlevnad, progressionsfri överlevnad och objektiv responsfrekvens som observerades i studie CA209908 tyder inte på kliniskt betydelsefulla fördelar jämfört med vad som kan förväntas i dessa patientpopulationer.
Europeiska läkemedelsmyndigheten har senarelagt kravet att skicka in studieresultat för nivolumab för alla grupper av den pediatriska populationen för behandling av maligna neoplasier i lymfvävnad (information om pediatrisk användning finns i avsnitt 4.2).
Säkerhet och effekt hos äldre
Ingen skillnad i säkerhet eller effekt rapporterades hos äldre (> 65 år) och yngre patienter (< 65 år). Data från patienter ≥ 75 år, som behandlats för skivepitelial huvud- och halscancer eller som fått adjuvant behandling för melanom, esofaguscancer eller cancer i gastroesofageala övergången är för begränsade för att kunna dra några slutsatser för denna population. Data från patienter med klassiskt Hodgkins lymfom ≥ 65 år är för begränsade för att kunna dra några slutsatser för denna population. Data från patienter som var 75 år eller äldre med malignt pleuramesoteliom uppvisade en högre frekvens av allvarliga biverkningar och behandlingsavbrott på grund av biverkningar (68 % respektive 35 %) jämfört med alla patienter som fick nivolumab i kombination med ipilimumab (54 % respektive 28 %).
Nivolumab monoterapi
Farmakokinetiken (PK) för nivolumab är linjär i dosintervallet 0,1 till 10 mg/kg. Medelvärdet för geometriskt clearance (CL) var 7,9 ml/h, terminal halveringstid var 25,0 dagar och genomsnittlig exponering vid steady state (nivolumab 3 mg/kg varannan vecka) var 86,6 μg/ml, baserat på populationsfarmakokinetisk analys.
Clearence för nivolumab hos patienter med klassiskt Hodgkins lymfom var cirka 32 % lägre jämfört med icke-småcellig lungcancer. Hos patienter som fick adjuvant behandling av melanom var clearence för nivolumab vid behandlingsstart cirka 40 % lägre än vid avancerat melanom, och cirka 20 % lägre vid steady state. Med hänsyn till tillgängliga säkerhetsdata, saknar dessa minskningar i clearence klinisk betydelse.
Metabolismen för nivolumab har ännu inte karakteriserats. Nivolumab förväntas brytas ned till små peptider och aminosyror via katabola vägar på samma sätt som endogena IgG.
Nivolumab i kombination med ipilimumab
När nivolumab 1 mg/kg administrerades i kombination med ipilimumab 3 mg/kg ökade clearence för nivolumab med 29 % och clearence ökade för ipilimumab med 9 % vilket inte ansågs vara kliniskt relevant. När nivolumab 3 mg/kg administrerades i kombination med ipilimumab 1 mg/kg ökade clearence för nivolumab med 1 % och clearence minskade för ipilimumab med 1,5 % vilket inte ansågs vara kliniskt relevant.
Vid administrering av kombinationsbehandlingen med ipilimumab ökade clearence för nivolumab med 20 % vid närvaro av anti-nivolumab-antikroppar och för ipilimumab ökade clearence med 5,7 % i närvaro av anti-ipilimumab-antikroppar. Dessa förändringar ansågs inte vara kliniskt relevanta.
Nivolumab i kombination med ipilimumab och kemoterapi
När nivolumab 360 mg administrerades var tredje vecka i kombination med ipilimumab 1 mg/kg var sjätte vecka och två cykler med kemoterapi minskade clearance för nivolumab med cirka 10 % och clearance för ipilimumab ökade med cirka 22 %, vilket inte ansågs vara kliniskt relevant.
Särskilda populationer
En populationsfarmakokinetisk analys tyder inte på några skillnader i clearence för nivolumab baserat på ålder, kön, etnicitet, solid tumörtyp, tumörstorlek och nedsatt leverfunktion. Även om ECOG-status, utgångsvärdet av glomerulär filtrationshastighet (GFR), albumin, kroppsvikt och lätt nedsatt leverfunktion hade effekt på clearence för nivolumab, var effekten inte kliniskt betydelsefull.
Pediatrisk population
För nivolumab som monoterapi förväntas exponeringen för nivolumab hos ungdomar 12 år och äldre som väger 50 kg eller mer vara jämförbar med den hos vuxna som får den rekommenderade dosen. Dosering baserad på kroppsvikt rekommenderas för ungdomar 12 år och äldre som väger mindre än 50 kg.
För nivolumab i kombination med ipilimumab förväntas exponeringen för nivolumab och ipilimumab hos ungdomar 12 år och äldre vara jämförbar med den hos vuxna vid rekommenderad dosering.
I likhet med den vuxna populationen var nivolumabs clearance lägre hos pediatriska patienter med klassiskt Hodgkins lymfom jämfört med hos patienter med solida tumörer. Storleken på minskningen av clearance var likartad för pediatriska och vuxna patienter med klassiskt Hodgkins lymfom. Exponeringen för nivolumab var likartad (< 20 % skillnad i geometriskt medelvärde) hos pediatriska patienter med klassiskt Hodgkins lymfom som fick nivolumab 3 mg/kg intravenöst var tredje vecka och vuxna patienter med klassiskt Hodgkins lymfom som fick nivolumab 3 mg/kg intravenöst var tredje vecka, eller vuxna patienter med solida tumörer som fick nivolumab 3 mg/kg intravenöst varannan vecka.
Nedsatt njurfunktion
Effekten av nedsatt njurfunktion på clearence för nivolumab utvärderades hos patienter med lätt (GFR < 90 och ≥ 60 ml/min/1,73 m2; n = 379), måttligt (GFR < 60 och ≥ 30 ml/min/1,73 m2; n = 179) eller gravt (GFR < 30 och ≥ 15 ml/min/1,73 m2; n = 2) nedsatt njurfunktion jämfört med patienter med normal njurfunktion (GFR ≥ 90 ml/min/1,73 m2; n = 342) i populationsfarmakokinetiska analyser. Inga kliniskt betydelsefulla skillnader i clearence för nivolumab sågs mellan patienter med lätt eller måttligt nedsatt njurfunktion och patienter med normal njurfunktion. Data från patienter med gravt nedsatt njurfunktion är för begränsade för att kunna dra några slutsatser för denna population (se avsnitt 4.2).
Nedsatt leverfunktion
Effekten av nedsatt leverfunktion på clearence för nivolumab utvärderades i en populationsfarmakokinetisk analys hos patienter med olika tumörtyper (NSCLC, SCLC, melanom, RCC, SCCHN, UC, GC och cHL) med lätt nedsatt leverfunktion (totalbilirubin 1,0 × till 1,5 × ULN eller ASAT > ULN som definierat enligt ”National Cancer Institute criteria of hepatic dysfunction” n = 351) och hos patienter med måttligt nedsatt leverfunktion (totalbilirubin > 1,5 × till 3 × ULN och oavsett ASAT; n = 10) jämfört med patienter med normal leverfunktion (totalbilirubin och ASAT ≤ ULN; n = 3 096). Inga kliniskt betydelsefulla skillnader i clearence för nivolumab sågs mellan patienter med lätt eller måttligt nedsatt leverfunktion och patienter med normal leverfunktion. Liknande resultat observerades hos patienter med hepatocellulärt karcinom (lätt nedsatt leverfunktion: n = 152, måttligt nedsatt leverfunktion: n = 13). Nivolumab har inte studerats hos patienter med gravt nedsatt leverfunktion (totalbilirubin > 3 × ULN och oavsett ASAT) (se avsnitt 4.2).
I modeller med dräktiga möss har det visats att blockering av PD-L1-signalering stör toleransen till fostret och ökar förlust av foster. Effekterna av nivolumab på prenatal och postnatal utveckling utvärderades hos apor som fick nivolumab två gånger i veckan från påbörjad organogenes i första trimestern fram till nedkomsten, vid exponeringsnivåer som antingen var 8 eller 35 gånger högre än de som setts med den kliniska dosen 3 mg/kg nivolumab (baserat på AUC). Det var en dosberoende ökning av förlust av foster och ökad neonatal dödlighet med början i den tredje trimestern.
Den kvarvarande avkomman från nivolumabbehandlade honor överlevde till planerad avlivning, utan några behandlingsrelaterade kliniska fynd, utan förändring från normal utveckling, utan effekt på organens vikt eller synliga och mikroskopiska patologiska förändringar. Resultat av tillväxtindex så väl som teratogena, neurobeteendemässiga, immunologiska och kliniskt patologiska parametrar under den 6 månader långa postnatala perioden var jämförbara med kontrollgruppen. Baserat på verkningsmekanismen kan emellertid exponering av nivolumab för foster ändå öka risken att utveckla immunrelaterade sjukdomar eller förändra den normala immunresponsen. Immunrelaterade sjukdomar har rapporterats hos PD-1-knockout möss.
Fertilitetsstudier har inte utförts med nivolumab.
Farmakoterapeutisk grupp: antineoplastiska medel, monoklonala antikroppar och antikroppsläkemedelskonjugat, PD‑1/PDL‑1 (Programmerad celldödsprotein 1/dödsligand 1) hämmare ATC-kod: L01FF01.
Verkningsmekanism
Nivolumab är en human immunoglobulin G4 (IgG4) monoklonal antikropp (HuMAb) som binder till PD‑1 (programmerad död‑1) receptorn och blockerar dess interaktion med PD-L1 och PD-L2. PD‑1‑receptorn är en negativ reglerare av T‑cellsaktivitet och har visats vara involverad i kontrollen av T‑cellsimmunsvar. Bindning av PD‑1 till liganderna PD-L1 och PD-L2, som kan uttryckas på antigenpresenterande celler, tumörceller eller andra celler i tumörens närområde, resulterar i att T-cellsproliferation och cytokinsekretion hämmas. Nivolumab förstärker T-cellssvar, inklusive antitumörsvar, genom att blockera bindningen av PD‑1‑ till PD‑L1‑ och PD‑L2‑liganderna. I syngena musmodeller resulterade blockering av PD‑1‑aktivitet till minskad tumörtillväxt.
Den av nivolumab (anti-PD-1) och ipilimumab (anti-CTLA-4) kombinerade hämningen leder till ökade anti-tumörsvar vid metastaserande melanom. I syngena tumörmusmodeller resulterade blockering av både PD-1 och CTLA-4 till synergistisk anti-tumöraktivitet.
Klinisk effekt och säkerhet
Baserat på modellering av förhållandet mellan dos/exponering och effekt och säkerhet är det inga kliniskt signifikanta skillnader i säkerhet och effekt mellan en dos av nivolumab på 240 mg varannan vecka eller 3 mg/kg varannan vecka. Baserat på samma förhållande var det vid adjuvant behandling av melanom, avancerat melanom och avancerad njurcellscancer inte heller några kliniskt signifikanta skillnader mellan en dos av nivolumab på 480 mg var fjärde vecka eller 3 mg/kg varannan vecka.
Melanom
Adjuvant behandling av melanom
Randomiserad fas 3‑studie med nivolumab jämfört med placebo (CA20976K)
Säkerhet och effekt för nivolumab 480 mg som monoterapi för behandling av patienter med totalt resekterat melanom utvärderades i en randomiserad, dubbelblind fas 3‑studie (CA20976K). I studien ingick patienter med en ECOG performance‑status på 0 eller 1, med stadium IIB eller IIC enligt American Joint Committee on Cancer (AJCC), åttonde upplagan, histologiskt bekräftat melanom som kirurgiskt totalt resekterats. För inklusion krävdes total resektion av det primära melanomet med negativ marginal och en negativ portvaktskörtelbiopsi inom 12 veckor före randomiseringen. Patienter inkluderades oavsett tumörens PD‑L1‑status. Studien exkluderade patienter med okulärt/uvealt eller mukosalt melanom, aktiv autoimmun sjukdom, tillstånd som krävde systemisk behandling med antingen kortikosteroider (≥ 10 mg prednison eller motsvarande per dag) eller andra immunsuppressiva läkemedel, liksom patienter som, med undantag för kirurgi, tidigare hade behandlats för melanom.
Totalt randomiserades 790 patienter (2:1) till att få antingen 480 mg nivolumab (n = 526) administrerat intravenöst under 30 minuter var fjärde vecka eller placebo (n = 264) i upp till 1 år eller tills sjukdomsåterfall eller oacceptabel toxicitet. Randomiseringen stratifierades enligt T‑kategori i åttonde upplagan av AJCC (T3b kontra T4a kontra T4b). Tumörutvärderingar gjordes var 26:e vecka under år 1–3 och var 52:e vecka från år 3 till år 5. Det primära effektmåttet var återfallsfri överlevnad. Återfallsfri överlevnad, utvärderad av prövaren, definierades som tiden mellan randomiseringsdatum och datum för första återfall (lokala, regionala eller distala metastaser), nytt primärt melanom eller död oavsett orsak, beroende på vilket som inträffade först. Sekundära effektmått inkluderade totalöverlevnad och fjärrmetastasfri överlevnad.
Karakteristika vid studiestart var likvärdiga mellan de två grupperna. Medianåldern var 62 år (intervall: 19–92), 61 % var män och 98 % var vita. ECOG performance‑status vid studiestart var 0 (94 %) eller 1 (6 %). Sextio procent hade stadium IIB och 40 % hade stadium IIC.
Vid en primär förhandsspecificerad interimsanalys (minsta uppföljningstid 7,8 månader) sågs en statistiskt signifikant förbättring av återfallsfri överlevnad med nivolumab jämfört med placebo, med en riskkvot på 0,42 (95 % KI: 0,30, 0,59, p < 0,0001). Vid en uppdaterad deskriptiv analys av återfallsfri överlevnad (minsta uppföljningstid 15,6 månader) sågs fortsatt en förbättring av återfallsfri överlevnad med nivolumab, med en riskkvot på 0,53 (95 % KI: 0,40, 0,71). Data för totalöverlevnad var inte mogna. Vid ytterligare en deskriptiv analys av återfallsfri överlevnad (minsta uppföljningstid 26,9 månader) sågs fortsatt en förbättring av återfallsfri överlevnad med nivolumab, med en riskkvot på 0,62 (95 % KI: 0,47, 0,80). Medianuppföljningstiden var 34,25 månader för nivolumab-armen och 33,92 månader för placeboarmen. Resultaten överensstämde med den formella interimsanalysen. Resultaten av analyserna med en minsta uppföljningstid på 15,6 månader sammanfattas i tabell 21 och figur 1.
Tabell 21: Effektresultat (CA20976K)
Fördelen i återfallsfri överlevnad sågs genomgående i alla viktiga subgrupper, som sjukdomsstadium, T‑kategori och ålder.
Figur 1: Återfallsfri överlevnad (CA20976K)
Data utifrån tumöruttryck av PD‑L1 var tillgängliga för 302 av 790 (38,2 %) randomiserade patienter (36,3 % och 42,0 % i nivolumab- respektive placeboarmen) då PD‑L1-uttryck inte var någon stratifieringsfaktor för randomisering. Explorativa analyser av återfallsfri överlevnad utifrån PD‑L1-uttryck visade en riskkvot för nivolumab jämfört med placebo på 0,43 (95 % KI: 0,22, 0,84) hos patienter med PD‑L1-uttryck ≥ 1 % (n = 167), 0,82 (95 % KI: 0,44, 1,54) hos patienter med PD‑L1-uttryck < 1 % (n = 135) och 0,50 (95 % KI: 0,34, 0,73) hos patienter med PD‑L1-uttryck som var obestämbart/inte hade rapporterats/inte var möjligt att utvärdera (n = 488).
Randomiserad fas 3‑studie med nivolumab jämfört med ipilimumab 10 mg/kg (CA209238)
Säkerhet och effekt för nivolumab 3 mg/kg som monoterapi för behandling av patienter med totalt resekterat melanom utvärderades i en randomiserad, dubbelblind fas 3‑studie (CA209238). I studien ingick vuxna patienter med en ECOG performance‑status på 0 eller 1, med stadium IIIB/C eller stadium IV enligt American Joint Committee on cancer (AJCC), sjunde upplagan, histologiskt bekräftat melanom som kirurgiskt totalt resekterats. Enligt AJCC, åttonde upplagan, motsvarar detta patienter med involverade lymfkörtlar eller med metastaser. Patienter inkluderades oavsett tumörens PD‑L1‑status. Patienter med tidigare autoimmun sjukdom eller annat tillstånd som kräver systemisk behandling med antingen kortikosteroider (≥ 10 mg prednison dagligen eller motsvarande) eller annan immunsuppressiv behandling, liksom patienter med tidigare behandling för melanom (förutom patienter som opererats, erhållit adjuvant strålbehandling efter neurokirurgisk resektion för lesioner i centrala nervsystemet eller erhållit adjuvant interferonbehandling som avslutats ≥ 6 månader före randomisering), tidigare behandling med anti‑PD‑1, anti‑PD‑L1, anti‑PD‑L2, anti‑CD137, eller anti‑CTLA‑4‑antikroppar (inklusive ipilimumab eller någon annan antikropp eller läkemedel som specifikt riktar in sig på co‑stimulering av T‑celler eller checkpointvägar), exkluderades från studien.
Totalt randomiserades 906 patienter till att få antingen nivolumab 3 mg/kg (n = 453) administrerat varannan vecka, eller ipilimumab 10 mg/kg (n = 453) administrerat var 3:e vecka de 4 första doserna och därefter var 12:e vecka med start vecka 24, i upp till 1 år. Randomiseringen stratifierades med avseende på tumörens PD‑L1 uttryck (≥ 5 % jämfört med < 5 %/obestämbar), och sjukdomsstadium enligt AJCCs bedömningssystem. Tumörutvärdering utfördes var 12:e vecka de första 2 åren och därefter var 6:e månad. Primärt effektmått var återfallsfri överlevnad (RFS). Återfallsfri överlevnad, utvärderad av prövare, definierades som tiden mellan randomiseringsdatum och datum för första återfall (lokala, regionala eller distala metastaser), nytt primärt melanom eller död oavsett orsak, beroende på vilket som inträffade först.
Karakteristika vid studiestart var balanserade mellan de två de grupperna. Medianåldern var 55 år (intervall: 18–86), 58 % var män och 95 % var vita. ECOG performance‑status vid studiestart var 0 (90 %) eller 1 (10 %). Majoriteten av patienterna hade AJCC sjukdomsstadium III (81 %) och 19 % hade sjukdomsstadium IV. Fyrtioåtta procent av patienterna hade makroskopiska lymfkörtlar och 32 % hade tumörulceration. Fyrtiotvå procent av patienterna hade positiv BRAF V600‑mutation medan 45 % hade BRAF‑vildtyp och 13 % hade okänd BRAF‑status. Gällande PD‑L1 tumöruttryck hade 34 % av patienterna ett PD‑L1‑uttryck ≥ 5 % och 62 % hade < 5 %, fastställt genom testet som användes i den kliniska prövningen. Bland patienter med kvantifierbara PD‑L1 tumöruttryck, var fördelningen av patienter balanserad mellan behandlingsgrupperna. PD‑L1 tumöruttryck fastställdes genom att använda testet PD‑L1 IHC 28‑8 pharmDx.
En primär förhandsspecificerad interimsanalys (minsta uppföljningstid 18 månader) visade på en statistiskt signifikant förbättring i återfallsfri överlevnad med nivolumab jämfört med ipilimumab med en riskkvot på 0,65 (97,56 % KI: 0,51, 0,83; stratifierad log-rank p < 0,0001). I en uppdaterad deskriptiv analys av återfallsfri överlevnad, med minsta uppföljningstid på 24 månader, bekräftades förbättringen med en riskkvot på 0,66 (95 % Kl: 0,54, 0,81; p < 0,0001), data för totalöverlevnad var inte mogna vid tidpunkten för denna analys. Effektresultaten, med en minsta uppföljningstid på 36 månader (förhandsspecificerad final analys av återfallsfri överlevnad) och 48 månader (förhandsspecificerad final analys av totalöverlevnad), visas i tabell 22 och i figur 2 och 3 (alla randomiserade patienter).
Tabell 22: Effektresultat (CA209238)
Med en minsta uppföljningstid på 36 månader, visade studien en statistiskt signifikant förbättring i återfallsfri överlevnad hos patienter som randomiserats till nivolumab-armen jämfört med armen med ipilimumab 10 mg/kg. Fördelen i återfallsfri överlevnad visades genomgående för alla subgrupper, inklusive PD‑L1-tumöruttryck, BRAF-status och sjukdomsstadium. Med en minsta uppföljningstid på 48 månader, se i figur 2, visade studien fortsatt förbättring i återfallsfri överlevnad i nivolumab-armen jämfört med ipilimumab-armen. Fördelen i återfallsfri överlevnad bibehölls för alla subgrupper.
Figur 2: Återfallsfri överlevnad (CA209238)
Figur 3: Totalöverlevnad (CA209238)
Median totalöverlevad, vid en minsta uppföljningstid på 48 månader, uppnåddes inte i någon grupp (riskkvot = 0,87, 95,03 % KI: 0,66, 1,14; p‑värde: 0,3148),se figur 3. Resultatet för totalöverlevnad kan vara missvisande på grund av effekten av efterföljande effektiva behandlingar mot cancer. Efterföljande systemisk behandling erhölls av 33 % respektive 42 % av patienterna i nivolumab‑ och ipilimumab-armen. Efterföljande immunterapi (inklusive anti‑PD1‑behandling, anti‑CTLA‑4‑antikropp eller annan immunterapi) erhölls av 23 % respektive 34 % av patienterna i nivolumab‑ och ipilimumab-armen.
Livskvaliteten (QoL) vid behandling med nivolumab förblev stabil och nära de värden som sågs vid studiestart, fastställt av valida och tillförlitliga skalor som European Organisation for Research and Treatment of Cancer (EORTC) QLQ‑C30 och EQ‑5D utility index och visual analog scale (VAS).
Behandling av avancerat melanom
Randomiserad fas 3-studie jämfört med dakarbazin (CA209066)
Säkerhet och effekt för nivolumab 3 mg/kg för behandling av avancerat (icke-resektabelt eller metastaserande) melanom utvärderades i en randomiserad, dubbelblind fas 3-studie (CA209066). I studien ingick vuxna patienter (18 år eller äldre) med bekräftad, behandlingsnaiv melanomsjukdom av BRAF-vildtyp i stadium III eller IV och med en ECOG performance-status på 0 eller 1. Patienter med aktiv autoimmun sjukdom, okulärt melanom eller aktiva hjärnmetastaser eller leptomeningeala metastaser exkluderades från studien.
Totalt 418 patienter randomiserades till att få antingen 3 mg/kg nivolumab (n = 210) administrerat intravenöst under 60 minuter varannan vecka eller 1 000 mg/m2 dakarbazin (n = 208) var 3:e vecka. Randomiseringen stratifierades med avseende på tumörens PD-L1-status och M-stadium (M0/M1a/M1b jämfört med M1c). Behandlingen fortsatte så länge klinisk nytta sågs eller tills behandlingen inte längre tolererades. Behandling efter sjukdomsprogress var tillåten för patienter med en klinisk nytta och som inte hade betydande biverkningar av studieläkemedlet enligt prövarens bedömning. Tumörutvärdering, enligt Response Evaluation Criteria in Solid Tumours (RECIST), version 1.1, utfördes 9 veckor efter randomisering och fortsatte var 6:e vecka under det första året och därefter var 12:e vecka. Primärt effektmått var totalöverlevnad (OS). De viktigaste sekundära effektmåtten var prövarbedömd progressionsfri överlevnad (PFS) och objektiv responsfrekvens (ORR).
Karakteristika vid studiestart var balanserad mellan de två grupperna. Medianåldern var 65 år (intervall: 18-87), 59 % var män och 99,5 % var vita. De flesta patienterna hade ECOG performance-status 0 (64 %) eller 1 (34 %). Sextioen procent av patienterna hade M1c-melanom vid studiestart. Sjuttiofyra procent av patienterna hade kutant melanom och 11 % hade mukosalt melanom; 35 % av patienterna hade PD-L1-positivt melanom (≥ 5 % uttryck på tumörcellernas membran). Sexton procent av patienterna hade fått tidigare adjuvant behandling och interferon var vanligast (9 %). Fyra procent av patienterna hade en anamnes av hjärnmetastaser och 37 % av patienterna hade en LDH-nivå högre än ULN vid studiestart.
Kaplan-Meier-kurvor för totalöverlevnad visas i figur 4.
Figur 4: Kaplan‑Meier-kurvor för totalöverlevnad (CA209066)
—Δ— Nivolumab (händelser: 50/210), median och 95 % KI: Ej tillämpbart---О--- Dakarbazin (händelser: 96/208), median och 95 % KI: 10,84 (9,33, 12,09)
Den observerade fördelen i totalöverlevnad var genomgående för alla subgrupper av patienter oavsett utgångsvärde för ECOG-performance status, M-stadium, tidigare hjärnmetastaser och utgångsvärde för LDH-nivå. Överlevnadsvinst visades oavsett om patienterna hade tumörer som var PD-L1-negativa eller PD-L1-positiva (cut-off för uttryck på cellmembran var 5 % eller 10 %).
Tillgängliga data tyder på att effekten av nivolumab kan vara fördröjd vilket gör att fördelen jämfört med kemoterapi kan ta 2-3 månader.
Effektresultat visas i tabell 23.
Tabell 23: Effektresultat (CA209066)
Randomiserad fas 3-studie jämfört med kemoterapi (CA209037)
Säkerhet och effekt för nivolumab 3 mg/kg vid behandling av avancerat (icke-resektabelt eller metastaserande) melanom utvärderades i en randomiserad, öppen, fas 3-studie (CA209037). I studien ingick vuxna patienter som progredierat under eller efter behandling med ipilimumab och om positiv BRAF V600-mutation, även progredierat under eller efter behandling med en BRAF‑hämmare. Patienter med aktiv autoimmun sjukdom, okulärt melanom, aktiva hjärnmetastaser eller leptomeningeala metastaser, eller en tidigare bakgrund med allvarliga (grad 4 enligt CTCAE v4.0) ipilimumabrelaterade biverkningar, med undantag för övergående illamående, trötthet, infusionsreaktioner eller endokrinopatier, exkluderades från studien.
Totalt randomiserades 405 patienter till att få antingen 3 mg/kg nivolumab (n = 272) administrerat intravenöst under 60 minuter varannan vecka eller kemoterapi (n = 133) vilket bestod av prövarens val av antingen dakarbazin (1 000 mg/m2 var tredje vecka) eller karboplatin (AUC 6 var tredje vecka) och paklitaxel (175 mg/m2 var tredje vecka). Randomiseringen stratifierades med avseende på BRAF- och tumörens PD-L1-status och bästa respons av tidigare ipilimumab-behandling.
Co-primärt effektmått var bekräftad objektiv responsfrekvens hos de första 120 patienterna behandlade nivolumab, mätt av en oberoende radiologisk granskningskommitté (IRRC) genom att använda RECIST version 1.1, och jämföra totalöverlevnad för nivolumab mot kemoterapi. Ytterligare effektmått inkluderade varaktigheten av och tid till respons.
Medianåldern var 60 år (intervall: 23‑88). Sextiofyra procent av patienterna var män och 98 % var vita. ECOG performance-status var 0 för 61 % av patienterna och 1 för 39 % av patienterna. Majoriteten (75 %) hade stadium M1c vid studiestart. Sjuttiotre procent hade kutant melanom och 10 % hade mukosalt melanom. Antalet tidigare systemiska behandlingar var 1 för 27 % av patienterna, 2 för 51 % av patienterna och > 2 för 21 % av patienterna. Tjugotvå procent av patienterna hade tumörer med en positiv BRAF-mutation och 50 % av patienterna hade tumörer som ansågs PD‑L1-positiva. Sextiofyra procent av patienterna hade ingen tidigare klinisk nytta (CR/PR eller SD) av ipilimumab. Karakteristika vid studiestart var balanserade mellan grupperna förutom andelen av patienter som hade en bakgrund med tidigare hjärnmetastaser (19 % i nivolumabgruppen respektive 13 % i kemoterapigruppen) och patienter med ett högre LDH än ULN vid studiestart (51 % respektive 35 %).
Vid tidpunkten för denna slutliga analys av objektiv responsfrekvens, analyserades resultat från 120 patienter behandlade med nivolumab och 47 patienter behandlade med kemoterapi och som hade minst 6 månaders uppföljning. Effektresultat presenteras i tabell 24.
Tabell 24: Bästa objektiva respons (BOR), tid och varaktighet av respons (CA209037)
Tillgängliga data tyder på att effekten av nivolumab kan vara fördröjd vilket gör att fördelen jämfört med kemoterapi kan ta 2-3 månader.
Uppdaterad analys (24 månaders uppföljning)
För alla randomiserade patienter var den objektiva svarsfrekvensen 27,2 % (95 % KI: 22,0, 32,9) i nivolumabgruppen och 9,8 % (95 % KI: 5,3, 16,1) i kemoterapigruppen. Responsens varaktighet (medianvärde) var 31,9 månader (intervall: 1,4+-31,9) respektive 12,8 månader (intervall: 1,3+-13,6+). Riskkvoten för progressionsfri överlevnad för nivolumab jämfört med kemoterapi var 1,03 (95 % KI: 0,78, 1,36). Objektiv responsfrekvens och progressionsfri överlevnad bedömdes genom IRRC enligt RECIST version 1.1.
Det var ingen statistiskt signifikant skillnad mellan nivolumab och kemoterapi i den finala analysen av totalöverlevnad. Den primära analysen av totalöverlevnad justerades inte för att ta hänsyn till efterföljande behandlingar och 54 patienter (40,6 %) i kemoterapiarmen fick senare anti-PD1-behandling. Resultatet för totalöverlevnad kan vara missvisande på grund av studieavhopp, obalans av efterföljande behandlingar samt skillnader baslinjekarakteristika. Fler patienter i nivolumab-armen hade sämre prognostiska faktorer (förhöjt LDH och hjärnmetastaser) än i kemoterapiarmen.
Effekt enligt BRAF-status: Objektiva responser av nivolumab (enligt definitionen av co-primärt effektmått) sågs hos både patienter med en positiv BRAF-mutation och patienter utan positiv BRAF-mutation. Den objektiva responsfrekvensen i subgruppen med positiv BRAF-mutation var 17 % (95 % KI: 8,4, 29,0) för nivolumab och 11 % (95 % KI: 2,4, 29,2) för kemoterapi, och för subgruppen av patienter med BRAF-vildtyp var den 30 % (95 % KI: 24,0, 36,7) respektive 9 % (95 % KI: 4,6, 16,7).
Riskkvoten för progressionsfri överlevnad för nivolumab jämfört med kemoterapi var 1,58 (95 % KI: 0,87, 2,87) för patienter med positiv BRAF-mutation och 0,82 (95 % KI: 0,60, 1,12) för patienter med BRAF-vildtyp. Riskkvoten för totalöverlevnad för nivolumab jämfört med kemoterapi var 1,32 (95 % KI: 0,75, 2,32) för patienter med positiv BRAF-mutation och 0,83 (95 % KI: 0,62, 1,11) för patienter med BRAF-vildtyp.
Effekt beroende på tumörens PD-L1-uttryck: Objektiv respons av nivolumab sågs oavsett tumörens PD-L1-uttryck. Emellertid har rollen av denna biomarkör (tumörens PD-L1-uttryck) inte fullt utvärderats.
Hos patienter med tumöruttryck av PD-L1 ≥ 1 % var den objektiva responsfrekvensen 33,5 % för nivolumab (n = 179; 95 % KI: 26,7, 40,9) respektive 13,5 % för kemoterapi (n = 74; 95 % KI: 6,7, 23,5). Hos patienter med tumöruttryck av PD-L1 < 1 % var den objektiva responsfrekvensen enligt IRRC 13,0 % (n = 69; 95 % KI: 6,1, 23,3) respektive 12,0 % (n = 25; 95 % KI: 2,5, 31,2).
Riskkvoten för progressionsfria överlevnad för nivolumab jämfört med kemoterapi var 0,76 (95 % KI: 0,54, 1,07) hos patienter med tumöruttryck av PD-L1 ≥ 1 % och 1,92 (95 % KI: 1,05, 3,5) hos patienter med PD-L1 < 1 %.
Riskkvoten för totalöverlevnaden för nivolumab jämfört med kemoterapi var 0,69 (95 % KI: 0,49, 0,96) hos patienter med tumöruttryck av PD-L1 ≥ 1 % och 1,52 (95 % KI: 0,89, 2,57) hos patienter med PD-L1 < 1 %.
Dessa subgruppsanalyser ska tolkas med försiktighet med tanke på subgruppernas storlek och bristen på statistisk signifikant skillnad i totalöverlevnad i gruppen alla randomiserade patienter.
Öppen dosökningsstudie i fas I (MDX1106-03)
Säkerhet och tolerabilitet av nivolumab undersöktes i en öppen dosökningsstudie i fas I på olika tumörtyper, inklusive malignt melanom. Av de 306 tidigare behandlade patienterna enrollerade i studien hade 107 melanom och fick nivolumab i doser om 0,1 mg/kg, 0,3 mg/kg, 1 mg/kg, 3 mg/kg eller 10 mg/kg i maximalt 2 år. I denna patientpopulation rapporterades objektiv responsfrekvens hos 33 patienter (31 %) med en varaktighet (medianvärde) på 22,9 månader (95 % KI: 17,0, ej uppnått). Mediantiden för progressionsfri överlevnad var 3,7 månader (95 % KI: 1,9, 9,3). Mediantiden för totalöverlevnad var 17,3 månader (95 % KI: 12,5, 37,8) och den beräknade frekvensen för totalöverlevnad var 42 % (95 % KI: 32, 51) vid 3 år, 35 % (95 % KI: 26, 44) vid 4 år och 34 % (95 % KI: 25, 43) vid 5 år (uppföljning på minst 45 månader).
Enarmad fas 2-studie (CA209172)
Studie CA209172 var en enarmad, öppen studie med nivolumab som monoterapi för patienter med stadium III (icke-resektabel) eller metastaserande stadium IV melanom efter tidigare behandling med anti-CTLA-4 monoklonal antikropp. Säkerhet var det primära effektmåttet och effekt var ett sekundärt effektmått. Av de 1 008 behandlade patienterna hade 103 ( 10%) okulärt/uvealt melanom, 66 ( 7%) ECOG performance-status 2, 165 (16 %) behandlade och obehandlade asymtomatiska CNS-metastaser, 13 (1,3 %) behandlade leptomeningeala metastaser, 25 ( 2%) en autoimmun sjukdom, och 84 ( 8%) immunrelaterade biverkningar av grad 3-4 i samband med tidigare anti-CTLA-4-behandling. Inga nya säkerhetssignaler identifierades utifrån de behandlade patienterna och den övergripande säkerhetsprofilen för nivolumab var liknande mellan de olika subgrupperna. Effektresultat, som baserades på prövarbedömd responsfrekvens vid vecka 12, presenteras i tabell 25 nedan.
Tabell 25: Responsfrekvens vid vecka 12 – Responderande och utvärderingsbara patienter per subgrupp (CA209172)
a Responser mättes med RECIST, version 1.1 för 588/1 008 (58,3 %) av patienterna som kvarstod på behandling vid vecka 12 och som genomgick en utvärdering (DT eller MR) i 12:e veckan.
Randomiserad fas 3-studie med nivolumab i kombination med ipilimumab eller nivolumab som monoterapi jämfört med ipilimumab som monoterapi (CA209067)
Säkerhet och effekt av nivolumab 1 mg/kg i kombination med ipilimumab 3 mg/kg eller nivolumab 3 mg/kg jämfört med ipilimumab 3 mg/kg som monoterapi för behandling av avancerat (icke-resektabelt eller metastaserande) melanom utvärderades i en randomiserad, dubbelblind fas 3-studie (CA209067). Skillnaden mellan de två nivolumab-innehållande grupperna utvärderades deskriptivt. I studien ingick vuxna patienter med bekräftat icke-resektabelt melanom i stadium III eller stadium IV. Patienterna hade en ECOG performance-status på 0 eller 1. Patienter som inte tidigare hade erhållit systemisk cancerbehandling för icke-resektabelt melanom ingick i studien. Tidigare adjuvant eller neoadjuvant behandling var tillåten om den avslutats minst 6 veckor innan randomisering. Patienter med aktiv autoimmun sjukdom, okulärt/uvealt melanom, eller aktiva hjärn- eller leptomeningiala metastaser ingick inte i studien.
Totalt randomiserades 945 patienter till att få kombinationen av nivolumab och ipilimumab (n = 314), nivolumab som monoterapi (n = 316) eller ipilimumab som monoterapi (n = 315). Patienterna i kombinationsarmen fick nivolumab 1 mg/kg under 60 minuter och ipilimumab 3 mg/kg under 90 minuter administrerat var 3:e vecka för de fyra första doserna, därefter nivolumab 3 mg/kg som monoterapi varannan vecka. Patienterna i nivolumab monoterapiarmen fick 3 mg/kg nivolumab varannan vecka. Patienterna i den jämförande armen fick 4 doser ipilimumab 3 mg/kg och nivolumab-matchad placebo intravenöst var 3:e vecka, därefter placebo varannan vecka. Randomiseringen var stratifierad med avseende på uttryck av PD-L1 (≥ 5 % jämfört med < 5 % uttryck på tumörcellmembran), BRAF-status och M-stadium enligt American Joint Committee on Cancer (AJCC) bedömningssystem. Behandlingen fortsatte så länge klinisk nytta sågs eller tills behandlingen inte längre tolererades. Tumörutvärdering utfördes 12 veckor efter randomisering och därefter var 6:e vecka under det första året och därefter var 12:e vecka. Det primära effektmåttet var progressionsfri överlevnad och totalöverlevnad. Objektiv responsfrekvens och responsens varaktighet studerades också.
Patientkarakteristika vid studiestart var balanserad mellan de tre behandlingsgrupperna. Medianålder var 61 år (intervall: 18‑90 år), 65 % var män och 97 % var vita. ECOG performance-status var 0 (73 %) eller 1 (27 %). Majoriteten av patienterna hade AJCC sjukdomsstadium IV (93 %); 58 % hade M1c-sjukdom vid studiestart. Tjugotvå procent av patienterna hade tidigare fått adjuvant behandling. Trettiotvå procent av patienterna hade melanom positivt för BRAF-mutation, 26,5 % av patienterna hade ett PD‑L1‑uttryck på tumörcellernas membran som var ≥ 5 %). Fyra % av patienterna hade hjärnmetastaser i anamnesen och 36 % av patienterna hade ett utgångsvärde för LDH högre än ULN vid studiestart. Fördelningen av patienter med kvantifierbart PD-L1-tumöruttryck, var balanserad mellan de tre behandlingsgrupperna. Tumöruttryck av PD-L1 fastställdes genom att använda testet PD-L1 IHC 28-8 pharmDx.
Vid primär analys (med en minsta uppföljningstid på 9 månader) var mediantiden för progressionsfri överlevnad 6,9 månader i nivolumab-gruppen jämfört med 2,9 månader i ipilimumab-gruppen (riskkvot = 0,57, 99,5 % KI: 0,43, 0,76; p < 0,0001). Mediantiden för progressionsfri överlevnad var 11,5 månader i gruppen med nivolumab i kombination med ipilimumab, jämfört med 2,9 månader i ipilimumab-gruppen (riskkvot = 0,42, 99,5 % KI: 0,31, 0,57; p < 0,0001).
Resultaten för progressionsfri överlevnad utifrån deskriptiv analys (med en minsta uppföljningstid på 90 månader) visas i figur 5 (alla randomiserade patienter), figur 6 (vid 5 % cut-off för PD-L1-tumöruttryck) och figur 7 (vid 1 % cut-off för PD-L1-tumöruttryck).
Figur 5: Progressionsfri överlevnad (CA209067)
Figur 6: Progressionsfri överlevnad per PD-L1-uttryck: 5 % cut-off (CA209067)
Figur 7: Progressionsfri överlevnad per PD-L1-uttryck: 1 % cut-off (CA209067)
Den primära analysen av totalöverlevnad genomfördes när alla patienter hade en minsta uppföljningstid på 28 månader. Vid 28 månader uppnåddes inte mediantiden för totalöverlevnad i nivolumab-gruppen (HR = 0,63, 98 % KI: 0,48, 0,81; p-värde: < 0,0001) eller i gruppen med nivolumab i kombination med ipilimumab (HR = 0,55, 98 % KI: 0,42, 0,72; p-värde: < 0,0001) medan mediantiden för totalöverlevnad i ipilimumab-gruppen fastställdes till 19,98 månader.
Resultat för totalöverlevnad från en ytterligare deskriptiv analys som gjordes vid en minsta uppföljning på 90 månader överensstämmer med primära ursprungsanalysen. Resultat för totalöverlevnad från denna uppföljningsanalys visas i figur 8 (alla randomiserade patienter), figur 9 och figur 10 (5 % och 1 % cut-off för PD‑L1).
Analysen av totalöverlevnad justerades inte för att ta hänsyn till efterföljande behandlingar. Efterföljande systemisk behandling erhölls av 36,0 % av patienterna i kombinationsarmen, 49,1 % av patienterna i nivolumab monoterapiarmen och 66,3 % av patienterna i ipilimumab-armen. Efterföljande immunterapi (inklusive anti‑PD1-behandling, anti‑CTLA‑4-antikroppar eller andra immunterapier) erhölls av 19,1 % av patienterna i kombinationsarmen, 34,2 % av patienterna i nivolumab monoterapiarmen och 48,3 % av patienterna ipilimumab-armen.
Figur 8: Totalöverlevnad (CA209067) - Uppföljning på minst 90 månader
Figur 9: Totalöverlevnad utifrån PD-L1 uttryck: 5 % cut-off (CA209067) - Uppföljning på minst 90 månader
Minsta uppföljningstid för analys av objektiv responsfrekvens (ORR) var 90 månader. Resultaten summeras i tabell 26.
Båda studiearmarna med nivolumab visade en signifikant fördel för progressionsfri överlevnad och totalöverlevnad samt högre objektiv responsfrekvens jämfört med ipilimumab. De observerade resultaten för progressionsfri överlevnad vid 18 månaders uppföljning samt objektiv responsfrekvens och totalöverlevnad vid 28 månaders uppföljning visades genomgående i alla undergrupper av patienter inklusive ECOG performance-status, BRAF-status, M-stadium, ålder, tidigare hjärnmetastaser och LDH-status vid studiestart. Dessa resultat bibehölls även när resultaten för totalöverlevnad med minst 90 månaders uppföljning blev tillgängliga.
Vid 28 månaders uppföljning av de 131 patienter där kombinationen sattes ut på grund av biverkningar var den totala responsfrekvensen 71 % (93/131) varav 20 % (19/128) uppnådde komplett respons medan mediantiden för totalöverlevnad inte hade uppnåtts.
Båda studiearmarna med nivolumab visade högre objektiva responsfrekvenser än ipilimumab oavsett uttrycksnivåer av PD-L1. De objektiva responsfrekvenserna var högre för kombinationen av nivolumab och ipilimumab jämfört med nivolumab som monoterapi för samtliga nivåer av tumöruttryck av PD‑L1 (tabell 26) efter 90 månaders uppföljning, där komplett respons utgjorde den bästa responsen (BOR) och korrelerade till en bättre överlevnad.
För patienter med ett tumöruttryck av PD‑L1 på ≥ 5 % var mediantiden för varaktighet av responsen efter 90 månaders uppföljning 78,19 månader i kombinationsarmen (intervall: 18,07-ej tillämpbart), 77,21 månader i nivolumab monoterapiarmen (intervall: 26,25-ej tillämpbart) och 31,28 månader (intervall: 6,08-ej tillämpbart) i ipilimumab-armen. Vid ett tumöruttryck av PD-L1 på < 5 %, uppnåddes inte mediantiden för varaktighet av responsen i kombinationsarmen (intervall: 61,93-ej tillämpbart), men var 90,84 månader i nivolumab monoterapiarmen (intervall: 50,43-ej tillämpbart) och 19,25 månader (intervall: 5,32-47,44) i ipilimumab monoterapiarmen.
Inget tydligt cut-off-värde för PD-L1-uttryck kan fastställas med tillförlitlighet, med avseende på relevanta effektmått för tumörrespons och progressionsfri överlevnad och totalöverlevnad. Resultat från exploratoriska multivariatanalyser identifierade patient- och tumörkarakteristika (ECOG performance-status, M-stadium, utgångsvärde för LDH, BRAF-mutationsstatus, PD‑L1-status och kön) vilka kan bidra till överlevnadsresultatet.
Effekt med avseende på BRAF-status:
Efter 90 månaders uppföljning, hade patienter med positiv BRAF[V600]-mutation och patienter med BRAF-vildtyp som randomiserades till nivolumab i kombination med ipilimumab ett medianvärde för progressionsfri överlevnad på 16,76 månader (95 % KI: 8,28, 32,0 respektive 11,7 månader (95 % KI: 7,0, 19,32), medan de i nivolumab monoterapiarmen hade ett medianvärde för progressionsfri överlevnad (PFS) på 5,62 månader (95 % KI: 2,79, 9,46 respektive 8,18 månader (95 % KI: 5,13, 19,55). Patienter med positiv BRAF[V600]-mutation och patienter med BRAF-vildtyp randomiserade till ipilimumab monoterapi hade ett medianvärde för progressionsfri överlevnad på 3,09 månader (95 % KI: 2,79, 5,19) respektive 2,83 månader (95 % KI: 2,76, 3,06).
Efter 90 månaders uppföljning, hade patienter med positiv BRAF[V600]-mutation och patienter med BRAF-vildtyp, som randomiserades till nivolumab i kombination med ipilimumab, en objektiv responsfrekvens på 67,0 % (95 % KI: 57,0, 75,9, n = 103) respektive 54,0 % (95 % KI: 47,1, 60,9; n = 211) medan de som randomiserades till nivolumab monoterapiarmen hade en objektiv responsfrekvens på 37,87 % (95 % KI: 28,2, 48,1; n = 98) respektive 48,2 % (95 % KI: 41,4, 55,0; n = 218). Patienter med positiv BRAF[V600]-mutation och patienter med BRAF-vildtyp randomiserade till ipilimumab monoterapi hade en objektiv responsfrekvens på 23,0 % (95 % KI: 15,2, 32,5; n = 100) och 17,2 % (95 % KI: 12,4, 22,9; n = 215).
Efter 90 månaders uppföljning var mediantiden för totalöverlevnad hos patienter med positiv BRAF[V600]-mutation ej uppnådd i kombinationsarmen och 45,5 månader i nivolumab monoterapiarmen. Mediantiden för totalöverlevnad för patienter med positiv BRAF[V600]-mutation i ipilimumab monoterapiarmen var 24,6 månader. Hos patienter med BRAF-vildtyp var mediantiden för totalöverlevnad 39,06 månader i kombinationsarmen, 34,37 månader i nivolumab monoterapiarmen och 18,5 månader i ipilimumab monoterapiarmen. Riskkvoten för totalöverlevnad för nivolumab i kombination med ipilimumab jämfört med nivolumab som monoterapi var 0,66 (95 % KI: 0,44, 0,98 för BRAF[V600]-mutation-positiva patienter och 0,95 (95 % KI: 0,74, 1,22 för BRAF-vildtypspatienter.
Randomiserad fas 2-studie med nivolumab i kombination med ipilimumab och ipilimumab (CA209069)
Studie CA209069 var en randomiserad, dubbelblind fas 2-studie för att jämföra kombinationen av nivolumab och ipilimumab med endast ipilimumab hos 142 patienter med avancerat (icke-resektabelt eller metastaserande) melanom med liknande inklusionskriterier som studie CA209067 och den primära analysen av patienter med melanom av BRAF-vildtyp (77 % av patienterna). Prövarbedömd objektiv responsfrekvens var 61 % (95 % KI: 48,9, 72,4) i kombinationsarmen (n = 72) jämfört med 11 % (95 % KI: 3,0, 25,4) för ipilimumab-armen (n = 37). Den uppskattade totalöverlevnaden vid 2 och 3 år var 68 % (95 % KI: 56, 78) respektive 61 % (95 % KI: 49, 71) för kombinationen (n = 73) och 53 % (95 % KI: 36, 68) respektive 44 % (95 % KI: 28, 60) för ipilimumab (n = 37).
Icke-småcellig lungcancer
Neoadjuvant behandling av icke‑småcellig lungcancer
Randomiserad, öppen fas 3-studie av nivolumab i kombination med platinabaserad kemoterapi jämfört med platinabaserad kemoterapi (CA209816)
Säkerhet och effekt för nivolumab i kombination med platinabaserad kemoterapi i 3 cykler utvärderades i en randomiserad, öppen fas 3-studie (CA209816). I studien ingick patienter med ECOG performance-status 0 eller 1, mätbar sjukdom (enligt RECIST-version 1.1) och vars tumörer var resektabla, histologiskt bekräftat icke‑småcellig lungcancer i stadium IB (≥ 4 cm), II eller IIIA (enligt 7:e upplagan av kriterierna för stadieindelning från AJCC/UICC, Union for International Cancer Control).
Följande urvalskriterier definierar patienter med hög risk för återfall som ingår i den terapeutiska indikationen och som återspeglar en patientpopulation med sjukdom i stadium II till IIIA enligt 7:e upplagan av AJCC/UICC-kriterier för stadieindelning: patienter med en tumörstorlek ≥ 5 cm, patienter med N1- eller N2-sjukdom (oavsett storlek på primärtumör), patienter med multipla tumörnoduli i antingen samma lob eller olika ipsilaterala lober, patienter med tumörer som är invasiva i bröstkorgsstrukturerna (som direkt invaderar visceral pleura, parietal pleura, bröstväggen, diafragman, diafragmanerven, pleura mediastinalis, parietala delen av perikardium, mediastinum, hjärtat, de stora kärlen, trakea, recurrensnerven, esofagus, kotkroppen eller carina), tumörer som involverar huvudbronkerna, tumörer som är associerade med lungkollaps eller obstruktiv pneumonit som sträcker sig till den hilära regionen eller involverar hela lungan.
I studien ingick inte patienter som hade N2-status med tumörer som även invaderade mediastinum, hjärtat, de stora kärlen, trakea, recurrensnerven, esofagus, kotkroppen eller carina eller med separata tumörnoduli i en annan ipsilateral lob.
Patienter med icke‑resektabel eller metastaserad icke‑småcellig lungcancer, kända EGFR-mutationer eller ALK-translokationer (testning för EGFR-mutationer eller ALK-translokationer var inte obligatoriskt vid studiestart), perifer neuropati av grad 2 eller högre, aktiv autoimmun sjukdom eller medicinska tillstånd som krävde systemisk immunsuppression exkluderades från studien.Randomiseringen stratifierades utifrån tumöruttryck av PD‑L1 (≥ 1 % jämfört med < 1 % eller ej kvantifierbar), sjukdomsstadium (IB/II jämfört med IIIA) och kön (man jämfört med kvinna). Patienterna inkluderades oavsett tumörens PD‑L1‑status. Tumörens PD‑L1‑uttryck fastställdes med PD‑L1 IHC 28‑8 pharmDx‑analys.
Totalt randomiserades 358 patienter till antingen nivolumab i kombination med platinabaserad kemoterapi (n = 179) eller platinabaserad kemoterapi (n = 179).
Patienterna som fick nivolumab i kombination med kemoterapi fick 360 mg nivolumab administrerat intravenöst under 30 minuter i kombination med platinabaserad kemoterapi var 3:e vecka i upp till 3 cykler. Patienterna i kemoterapigruppen fick platinabaserad kemoterapi administrerad var 3:e vecka i upp till 3 cykler. Den platinabaserade kemoterapin bestod av prövarens val: 175 mg/m2 eller 200 mg/m2 paklitaxel och AUC 5 eller AUC 6 karboplatin (oavsett histologi), 500 mg/m2 pemetrexed och 75 mg/m2 cisplatin (icke‑skivepitelhistologi) eller 1 000 mg/m2 eller 1 250 mg/m2 gemcitabin och 75 mg/m2 cisplatin (skivepitelhistologi). I kemoterapigruppen var två ytterligare möjliga behandlingsregimer 25 mg/m2 eller 30 mg/m2 vinorelbin och 75 mg/m2 cisplatin eller 60 mg/m2 eller 75 mg/m2 docetaxel och 75 mg/m2 cisplatin (oavsett histologi).
Tumörutvärdering utfördes vid studiestart, inom 14 dagar efter operationen, var 12:e vecka efter operationen i 2 år, därefter var 6:e månad i 3 år och varje år i 5 år tills sjukdomsåterfall eller ‑progression. De primära effektmåtten var händelsefri överlevnad (EFS) baserat på BICR-bedömning och patologisk komplett respons (pCR) enligt blindad, oberoende patologisk granskning (BIPR). Totalöverlevnad var ett viktigt sekundärt effektmått och explorativa effektmått innefattade genomförbarhet av operation.
Karakteristika vid studiestart i ITT-populationen var balanserade mellan behandlingsgrupperna. Medianåldern var 65 år (intervall: 34–84), 51 % av patienterna var ≥ 65 år, 7 % var ≥ 75 år och 50 % av patienterna var asiatiska, 47 % var vita och 71 % var män. Utgångsvärdet för ECOG performance‑status var 0 (67 %) eller 1 (33 %), 50 % av patienterna hade PD‑L1 ≥ 1 % och 43 % PD‑L1 < 1 %, 5 % hade sjukdom i stadium IB, 17 % stadium IIA, 13 % stadium IIB och 64 % stadium IIIA, 51 % hade skivepitelhistologi, 49 % icke‑skivepitelhistologi och 89 % var tidigare eller nuvarande rökare. Definitiv kirurgi utfördes på 83 % av patienterna som fick nivolumab i kombination med kemoterapi och på 75 % av patienterna i kemoterapigruppen. Adjuvant systemisk behandling gavs till 14,8 % av patienterna som fick nivolumab i kombination med kemoterapi och till 25 % av patienterna i kemoterapigruppen.
Vid den slutliga analysen avseende patologisk komplett respons och den förspecificerade interimsanalysen avseende händelsefri överlevnad (minsta uppföljningstid 21 månader), hos alla randomiserade patienter, påvisades en statistiskt signifikant förbättring av patologisk komplett respons och händelsefri överlevnad för patienter som hade randomiserats att få nivolumab i kombination med kemoterapi jämfört med enbart kemoterapi. Patologisk komplett respons uppnåddes hos 24 % i gruppen som fick nivolumab i kombination med kemoterapi och hos 2,2 % i gruppen som fick kemoterapi (skillnad för patologisk komplett respons 21,6, 99 % KI: 13,0, 30,3; oddskvot för patologisk komplett respons 13,9, 99 % KI: 3,49, 55,75; stratifierat p‑värde < 0,0001). Händelsefri överlevnad var i median 31,6 månader i gruppen som fick nivolumab i kombination med kemoterapi och 20,8 månader i gruppen som fick kemoterapi (riskkvot = 0,63, 97,38 % KI: 0,43, 0,91; stratifierat logrank p‑värde 0,0052). Vid en förhandsspecificerad interimsanalys var riskkvoten för totalöverlevnad (minsta uppföljningstid 21 månader) 0,57 (99,67 % KI: 0,30, 1,07) för nivolumab i kombination med kemoterapi jämfört med kemoterapi.
Vid den slutliga analysen av totalöverlevnad med en minsta uppföljningstid på 59,9 månader var riskkvoten för totalöverlevnad 0,72 (95,18 % KI: 0,52, 1,00) med ett statistiskt signifikant p‑värde på 0,0479 (stratifierat logrank‑test) för nivolumab i kombination med kemoterapi jämfört med kemoterapi.
Explorativ subgruppsanalys utifrån tumöruttryck av PD‑L1 och sjukdomsstadium
De viktigaste effektresultaten för subgruppen av patienter med tumöruttryck av PD‑L1 ≥ 1 % och sjukdomsstadium II–IIIA från en explorativ analys med en minsta uppföljningstid på 32,9 månader sammanfattas i tabell 27.
Tabell 27: Effektresultat för patienter med tumöruttryck av PD‑L1 ≥ 1 % och sjukdomsstadium II–IIIA* (CA209816)
a Baserat på en ostratifierad Cox‑proportionell riskmodell.
b Kaplan-Meier-uppskattning.
c Baserad på Clopper- och Pearson‑metoden.
d Det tvåsidiga 95 %-konfidensintervallet för oviktad skillnad beräknades med Newcombe‑metoden.
* Kriterier för stadieindelning från 7:e upplagan av AJCC/UICC.
Minsta uppföljningstid för händelsefri överlevnad var 32,9 månader, data cut-off: 6 september 2022
Data cut-off för patologisk komplett respons: 28 juli 2020
Kaplan-Meier-kurvorna för händelsefri överlevnad för subgruppen av patienter med tumöruttryck av PD‑L1 ≥ 1 % och sjukdomsstadium II–IIIA, med en minsta uppföljningstid på 32,9 månader, visas i figur 11.
Figur 11: Kaplan-Meier-kurvor för händelsefri överlevnad hos patienter med tumöruttryck av PD‑L1 ≥ 1 % och sjukdomsstadium II–IIIA (CA209816)
Antal patienter i studien
—О— Nivolumab + kemoterapi (händelser: 22/81), median och 95 % KI: ej uppnått (44,42, ej uppnått)
---Δ--- Kemoterapi (händelser: 39/86), median och 95 % KI: 26,71 (13,40, ej uppnått)
Baserad på data cut-off: 6 september 2022, minsta uppföljningstid 32,9 månader
Vid tidpunkten för den uppdaterade analysen avseende händelsefri överlevnad utfördes en interimsanalys avseende totalöverlevnad (minsta uppföljningstid på 32,9 månader). Den explorativa, deskriptiva riskkvoten för totalöverlevnad hos patienter med tumöruttryck av PD‑L1 ≥ 1 % och sjukdomsstadium II–IIIA var 0,43 (95 % KI: 0,22, 0,83) för nivolumab i kombination med kemoterapi jämfört med kemoterapi.
Vid den slutliga analysen (minsta uppföljningstid 59,9 månader) var riskkvoten för totalöverlevnad hos patienter med tumöruttryck av PD‑L1 ≥ 1 % och sjukdomsstadium II–IIIA 0,59 (95 % KI: 0,35, 0,98) för nivolumab i kombination med kemoterapi jämfört med kemoterapi. Motsvarande Kaplan‑Meier‑kurvor för totalöverlevnad visas i figur 12.
Figur 12: Kaplan-Meier-kurvor för totalöverlevnad hos patienter med tumöruttryck av PD‑L1 ≥ 1 % och sjukdomsstadium II–IIIA (CA209816)
Neoadjuvant och adjuvant behandling av icke‑småcellig lungcancer
Randomiserad, dubbelblind fas 3-studie av neoadjuvant nivolumab i kombination med platinabaserad kemoterapi jämfört med platinabaserad kemoterapi samt adjuvant nivolumab som monoterapi jämfört med placebo (CA20977T)
Säkerhet och effekt för nivolumab i kombination med platinabaserad kemoterapi i 4 cykler, följt av nivolumab som monoterapi, utvärderades i en randomiserad, dubbelblind studie (CA20977T). I studien ingick patienter med ECOG performance-status 0 eller 1 vars tumörer (icke-småcellig lungcancer) var resektabla och misstänkt eller histologiskt bekräftade stadium IIA (> 4 cm) till IIIB (T3‑T4 N2) (enligt 8:e utgåvan av American Joint Committee on Cancers (AJCC) stadieindelningshandbok). Patienter inkluderades oavsett tumörens PD‑L1‑status.
Följande urvalskriterier definierar patienter med hög risk för återfall som ingår i den terapeutiska indikationen och som återspeglar en patientpopulation med sjukdom i stadium IIA till IIIB enligt 8:e upplagan av AJCC/UICC-kriterier för stadieindelning: patienter med en tumörstorlek > 4 cm, patienter med N1- eller N2-sjukdom (oavsett storlek på primärtumör), patienter med multipla tumörnoduli i antingen samma lob eller olika ipsilaterala lober, patienter med tumörer som är invasiva i bröstkorgsstrukturerna (som direkt invaderar visceral pleura, parietal pleura, bröstväggen, diafragman, diafragmanerven, pleura mediastinalis, parietala delen av perikardium, mediastinum, hjärtat, de stora kärlen, trakea, recurrensnerven, esofagus, kotkroppen eller carina), tumörer som involverar huvudbronkerna, tumörer som är associerade med lungkollaps eller obstruktiv pneumonit som sträcker sig till den hilära regionen eller involverar hela lungan.
Patienter med icke‑resektabel eller metastaserad icke‑småcellig lungcancer, EGFR-mutationer eller kända ALK-translokationer (testning för ALK-translokationer var inte obligatoriskt vid studiestart), hjärnmetastaser, perifer neuropati av grad 2 eller högre, interstitiell lungsjukdom eller aktiv, icke-infektiös pneumonit (symtomatisk eller som krävde behandling), aktiv autoimmun sjukdom eller medicinska tillstånd som krävde systemisk immunsuppression exkluderades från studien.
Totalt randomiserades 461 patienter till antingen nivolumab i kombination med platinabaserad kemoterapi följt av nivolumab som monoterapi (n = 229) eller platinabaserad kemoterapi följt av placebo (n = 232). I den neoadjuvanta fasen fick patienterna antingen 360 mg nivolumab administrerat intravenöst under 30 minuter och kemoterapi som platinadubblett administrerad var tredje vecka eller placebo och kemoterapi som platinadubblett administrerad var tredje vecka fram till sjukdomsprogression eller oacceptabel toxicitet, i upp till 4 cykler. Patienter i båda behandlingsgrupperna kunde få postoperativ strålbehandling som standardbehandling. I den adjuvanta fasen, inom 90 dagar efter operationen, fick patienterna antingen 480 mg nivolumab administrerat intravenöst under 30 minuter var fjärde vecka eller placebo administrerat var fjärde vecka fram till sjukdomsprogression, återfall eller oacceptabel toxicitet, i upp till 13 cykler. Den platinabaserade kemoterapin bestod av 175 mg/m2 eller 200 mg/m2 paklitaxel och AUC 5 eller AUC 6 karboplatin (oavsett histologi), 500 mg/m2 pemetrexed och 75 mg/m2 cisplatin eller AUC 5 eller AUC 6 karboplatin (icke‑skivepitelhistologi) eller 75 mg/m2 cisplatin och 75 mg/m2 docetaxel (skivepitelhistologi).
Stratifieringsfaktorerna för randomisering var tumöruttryck av PD‑L1 (≥ 1 % jämfört med < 1 % eller obestämbar/ej utvärderbar), sjukdomsstadium (stadium II jämfört med stadium III) och tumörhistologi (skivepitel jämfört med icke-skivepitel). Tumöruttrycket av PD-L1 bedömdes med testet PD‑L1 IHC 28‑8 pharmDx. Tumörbedömningar utfördes vid studiestart, inom 14 dagar efter den sista dosen av neoadjuvant behandling och före operation, inom 7 dagar före start av adjuvant behandling efter operation, var tolfte vecka efter den första dosen av adjuvant behandling i 2 år, därefter var 24:e vecka i upp till 5 år fram tills sjukdomsåterfall eller sjukdomsprogression bedömd enligt BICR.
Av de 442 patienterna i CA20977T hade 256 patienter (58 %) ett tumöruttryck av PD‑L1 på ≥ 1 % baserat på testet PD‑L1 IHC 28‑8 pharmDx. Medianåldern var 66 år (intervall: 35 till 86), 55 % av patienterna var ≥ 65 år, 7 % av patienterna var ≥ 75 år, 69 % var vita, 28 % var asiater, 2 % var svarta och 75 % var män. Utgångsvärdet för ECOG performance‑status var 0 (59 %) eller 1 (41 %), 36 % hade stadium II-sjukdom och 63 % hade stadium III-sjukdom; 24 % hade N1‑sjukdom och 39 % hade N2‑sjukdom; 25 % hade en lokalisation och 14 % hade i flera lokalisationer; 61 % hade tumörer med skivepitelhistologi, 39 % hade tumörer med icke-skivepitelhistologi och 91 % var tidigare eller nuvarande rökare.
Sjuttioåtta procent av patienterna i gruppen som fick neoadjuvant nivolumab i kombination med kemoterapi som platinadubblett följt av adjuvant nivolumab genomgick definitiv kirurgi jämfört med 77 % av patienterna i gruppen som fick neoadjuvant placebo och kemoterapi som platinadubblett följt av placebo. Ungefär 5 % av patienterna i varje behandlingsgrupp fick postoperativ strålbehandling.
Det primära effektmåttet var händelsefri överlevnad (EFS) baserat på BICR-bedömning. Ytterligare effektmått var totalöverlevnad (OS), patologisk komplett respons (pCR) och betydande (major) patologisk respons enligt blindad, oberoende patologisk granskning (BIPR).
I en förspecificerad interimsanalys av alla randomiserade patienter med en uppföljningstid på 25,4 månader i median (intervall: 15,7–44,2 månader) visade studien statistiskt signifikant förbättrad händelsefri överlevnad. Medianvärdet för händelsefri överlevnad uppnåddes inte (95 % KI: 28,94, NE) i gruppen som fick nivolumab i kombination med kemoterapi/nivolumab och var 18,43 månader (95 % KI: 13,63, 28,06) i gruppen som fick placebo med kemoterapi/placebo (riskkvot = 0,58, 97,36 % KI: 0,42, 0,81; stratifierat logrank p‑värde 0,00025). I en förspecificerad interimsanalys av alla randomiserade patienter med en uppföljningstid på 41 månader i median (intervall: 31,3–59,8 månader) uppnåddes inte medianvärdet för totalöverlevnad varken i gruppen som fick nivolumab i kombination med kemoterapi/nivolumab eller i gruppen som fick placebo med kemoterapi/placebo (riskkvot = 0,85, 97,63 % KI: 0,58, 1,25).
Explorativ subgruppsanalys utifrån tumöruttryck av PD‑L1
Händelsefri överlevnad för subgruppen av patienter med PD‑L1-tumöruttryck ≥ 1 %, med en uppföljningstid på 41 månader i median (intervall: 31,3–59,8 månader), presenteras i tabell 28 och figur 13.
Tabell 28: Effektresultat hos patienter med tumöruttryck av PD‑L1 ≥ 1 % (CA20977T)
NE = icke uppskattningsbar
Minsta uppföljningstid för händelsefri överlevnad var 31,3 månader, data cut-off: 11 november 2024.
a Kaplan‑Meier‑uppskattning.
b Baserat på en ostratifierad Cox‑proportionell riskmodell.
Figur 13: Kaplan‑Meier‑kurvor för händelsefri överlevnad hos patienter med tumöruttryck av PD‑L1 ≥ 1 % (CA20977T)
Antal patienter i studien
—Δ— Nivolumab + kemoterapi/nivolumab (händelser: 47/128), median och 95 % KI: 46,55 (35,81, NE)
---О--- Placebo + kemoterapi/placebo (händelser: 70/128), median och 95 % KI: 15,08 (9,33, 31,41)
Baserad på data cut-off: 11 november 2024, minsta uppföljningstid 31,3 månader
Vid tidpunkten för den uppdaterade analysen för händelsefri överlevnad utfördes en interimsanalys avseende totalöverlevnad (minsta uppföljningstid på 31,3 månader). Den explorativa, deskriptiva riskkvoten för totalöverlevnad hos patienter med PD‑L1-tumöruttryck ≥ 1 % var 0,61 (95 % KI: 0,39, 0,97) för gruppen som fick nivolumab i kombination med kemoterapi/nivolumab jämfört med gruppen som fick placebo med kemoterapi/placebo. Kaplan‑Meier‑kurvorna för totalöverlevnad för subgruppen av patienter med PD‑L1-tumöruttryck ≥ 1 % visas i figur 14.
Figur 14: Kaplan‑Meier‑kurvor för totalöverlevnad hos patienter med tumöruttryck av PD‑L1 ≥ 1 % (CA20977T)
Antal patienter i studien
—Δ— Nivolumab + kemoterapi/nivolumab (händelser: 31/128), median och 95 % KI: ej uppnått
---О--- Placebo + kemoterapi/placebo (händelser: 46/128), median och 95 % KI: ej uppnått (38,08, NE)
Baserad på data cut-off: 11 november 2024, minsta uppföljningstid 31,3 månader
Första linjens behandling av icke-småcellig lungcancer
Randomiserad fas 3-studie med nivolumab i kombination med ipilimumab och två cykler med platinabaserad kemoterapi jämfört med fyra cykler med platinabaserad kemoterapi (CA2099LA)
Säkerhet och effekt för nivolumab 360 mg var tredje vecka i kombination med ipilimumab 1 mg/kg var sjätte vecka och två cykler med platinabaserad kemoterapi utvärderades i en randomiserad, öppen fas 3-studie (CA2099LA). I studien ingick patienter (18 år eller äldre) med histologiskt bekräftad icke-småcellig lungcancer av icke-skivepitel- eller skivepiteltyp i stadium IV eller återkommande (enligt version 7 av klassificeringssystemet från International Association for the Study of Lung Cancer), ECOG performance-status på 0 eller 1 och ingen tidigare cancerbehandling (inklusive EGFR- och ALK-hämmare). Patienter inkluderades oavsett tumörens PD-L1-status.
Patienter med sensibiliserande EGFR-mutationer eller ALK-translokationer, aktiva (obehandlade) hjärnmetastaser, karcinomatös meningit, aktiv autoimmun sjukdom eller medicinska tillstånd som krävde systemisk immunsuppression exkluderades från studien. Patienter med behandlade hjärnmetastaser inkluderades om de neurologiskt återgått till utgångsvärdet minst två veckor innan inklusion och antingen inte stod på kortikosteroider eller stod på en stabil eller minskande dos av prednison < 10 mg dagligen eller motsvarande. Randomisering stratifierades utifrån histologi (skivepitel jämfört med icke-skivepitel), tumöruttryck av PD‑L1 (≥ 1 % jämfört med < 1 %) och kön (man jämfört med kvinna).
Totalt randomiserades 719 patienter till att få antingen nivolumab i kombination med ipilimumab och platinabaserad kemoterapi (n = 361) eller platinabaserad kemoterapi (n = 358). Patienter i armen som fick nivolumab i kombination med ipilimumab och platinabaserad kemoterapi fick nivolumab 360 mg administrerat intravenöst under 30 minuter var tredje vecka i kombination med ipilimumab 1 mg/kg administrerat intravenöst under 30 minuter var sjätte vecka och platinabaserad kemoterapi administrerad var tredje vecka i två cykler. Patienter i kemoterapiarmen fick platinabaserad kemoterapi administrerad var tredje vecka i fyra cykler; icke-skivepitel-patienter kunde få pemetrexed som underhållsbehandling.
För icke-småcellig lungcancer av icke-skivepiteltyp bestod den platinabaserad kemoterapin av karboplatin (AUC 5 eller 6) och pemetrexed 500 mg/m2, eller cisplatin 75 mg/m2 och pemetrexed 500 mg/m2, och för icke-småcellig lungcancer av skivepiteltyp av karboplatin (AUC 6) och paklitaxel 200 mg/m2.
Behandling fortsatte till sjukdomsprogression, oacceptabel toxicitet eller upp till 24 månader. Behandlingen kunde fortsätta efter sjukdomsprogression om patienten var kliniskt stabil och prövaren ansåg att den gav klinisk nytta. Patienter som avbröt kombinationsbehandling på grund av en biverkning tillskriven ipilimumab hade möjlighet att fortsätta med nivolumab som monoterapi. Tumörutvärdering utfördes var 6 vecka efter första dosen under de första 12 månaderna, därefter var 12 vecka till sjukdomsprogression eller till att behandlingen avslutades.
Karakteristika var balanserade i alla behandlingsgrupper vid studiestart av CA2099LA. Medianåldern var 65 år (intervall : 26‑86) med 51 % ≥ 65 år och 10 % ≥ 75 år. Majoriteten av patienterna var vita (89 %) och män (70 %). Utgångsvärde för ECOG performance-status var 0 (31 %) eller 1 (68 %), 57 % av patienterna hade PD-L1 ≥ 1 % och 37 % PD-L1 < 1 %, 31 % hade en histologi av icke-småcellig lungcancer av skivepiteltyp och 69 % hade icke-småcellig lungcancer av icke-skivepiteltyp, 17 % hade hjärnmetastaser och 86 % var tidigare/nuvarande rökare. Inga patienter hade tidigare fått behandling med immunterapi.
CA2099LA-studiens primära effektmått var totalöverlevnad (OS). Övriga effektmått var progressionsfri överlevnad (PFS), objektiv responsfrekvens (ORR) och varaktighet av respons (DOR) enligt BICR.
Studien visade en statistiskt signifikant fördel i totalöverlevnad, progressionsfri överlevnad och objektiv responsfrekvens för patienter randomiserade till nivolumab i kombination med ipilimumab och platinabaserad kemoterapi jämfört med enbart platinabaserad kemoterapi vid den förhandsspecificerade interimsanalysen när 351 händelser inträffat (87 % av det planerade antalet händelser för slutanalys). Minsta uppföljningstid för totalöverlevnad var 8,1 månader.
Effektresultaten visas i figur 15 (uppdaterad analys av totalöverlevnad med en minsta uppföljningstid på 12,7 månader) och tabell 29 (primär analys med en minsta uppföljningstid på 8,1 månader).
En uppdaterad effektanalys utfördes när alla patienter hade en minsta uppföljningstid på 12,7 månader (se figur 15). Vid tidpunkten för denna analys var riskkvoten för totalöverlevnad 0,66 (95 % KI: 0,55, 0,80) och riskkvoten för progressionsfri överlevnad var 0,68 (95 % KI: 0,57, 0,82).
Figur 15: Kaplan-Meier-kurvor för totalöverlevnad (CA2099LA)
—Δ— Nivolumab + ipilimumab + kemoterapi (händelser: 190/361), median och 95 % KI: 15,64 (13,93, 19,98)
---О--- Kemoterapi (händelser: 242/358), median och 95 % KI: 10,91 (9,46, 12,55)
a Baserat på en stratifierad Cox-proportionell riskmodell.
b p-värdet jämfördes med ett allokerat alfavärde på 0,0329 vid denna interimsanalys.
c p-värdet jämfördes med ett allokerat alfavärde på 0,0252 vid denna interimsanalys.
d Kaplan-Meier-uppskattning.
e Andel med komplett eller partiell respons; KI baserad på Clopper och Pearson-metoden.
f p-värdet jämfördes med ett allokerat alfavärde på 0,025 vid denna interimsanalys.
g Baserat på Kaplan-Meier-uppskattningar av varaktighet av respons.
CMH = Cochran-Mantel-Haenszel
Efterföljande systemisk behandling erhölls av 28,8 % av patienterna i kombinationsarmen och av 41,1 % av patienterna i kemoterapiarmen. Efterföljande immunterapi (inklusive anti‑PD-1-behandling, anti‑PD-L1-behandling och anti‑CTLA‑4-antikroppar) erhölls av 3,9 % av patienterna i kombinationsarmen och av 27,9 % av patienterna i kemoterapiarmen.
I studien CA2099LA visade en deskriptiv subgruppsanalys på en fördel i totalöverlevnad för patienter med skivepitel-histologi (HR [95 % KI] 0,65 [0,46, 0,93], n = 227) och för patienter med icke‑skivepitel-histologi (HR [95 % KI] 0,72 [0,55, 0,93], n = 492) som behandlades med nivolumab i kombination med ipilimumab och kemoterapi, jämfört med de som behandlades med kemoterapi.
Tabell 30 sammanfattar effektresultat av totalöverlevnad, progressionsfri överlevnad och objektiv responsfrekvens utifrån tumöruttryck av PD-L1 enligt förhandsspecificerade subgruppsanalyser.
Tabell 30: Effektresultat utifrån PD-L1‑uttryck i tumören (CA2099LA)
a Riskkvot baserad på ostratifierad Cox-proportionell riskmodell.
Totalt 70 patienter med icke-småcellig lungcancer i åldern ≥ 75 år inkluderades i studien CA2099LA (37 patienter i armen som kombinerade nivolumab, ipilimumab och kemoterapi och 33 patienter i kemoterapi-armen). Inom denna subgrupp av studien observerades en riskkvot på 1,36 (95 % KI: 0,74, 2,52) för totalöverlevnad och en riskkvot på 1,12 (95 % KI: 0,64, 1,96) för progressionsfri överlevnad för nivolumab i kombination med ipilimumab och kemoterapi jämfört med kemoterapi. Den objektiva responsfrekvensen var 27,0 % i armen med nivolumab i kombination med ipilimumab och kemoterapi och 15,2 % i kemoterapiarmen. Fyrtiotre procent av patienterna i åldern ≥ 75 år avbröt behandlingen med nivolumab i kombination med ipilimumab och kemoterapi. Data för effekt och säkerhet för nivolumab i kombination med ipilimumab och kemoterapi är begränsade i denna patientpopulation.
I en subgruppsanalys observerades en minskad överlevnadsfördel för nivolumab i kombination med ipilimumab och kemoterapi jämfört med kemoterapi hos patienter som aldrig rökt. På grund av det lilla antalet patienter kan dock inga definitiva slutsatser dras från dessa data.
Behandling av icke-småcellig lungcancer efter tidigare kemoterapi
Icke-småcellig lungcancer av skivepiteltyp
Randomiserad fas 3-studie jämfört med docetaxel (CA209017)
Säkerhet och effekt för nivolumab 3 mg/kg som monoterapi för behandling av avancerad eller metastaserande icke-småcellig lungcancer av skivepiteltyp utvärderades i en randomiserad, öppen fas 3-studie (CA209017). I studien ingick patienter (18 år eller äldre) som hade progredierat under eller efter en tidigare platinabaserad kemoterapi och hade en ECOG performance-status på 0 eller 1. Patienterna inkluderades oavsett tumörens PD-L1-status. Patienter med aktiv autoimmun sjukdom, symtomatisk interstitiell lungsjukdom eller aktiva hjärnmetastaser exkluderas från studien. Patienter med behandlade hjärnmetastaser inkluderades om de neurologiskt återgått till utgångsvärdet minst 2 veckor innan enrollering och antingen inte stod på kortikosteroider eller stod på en stabil eller minskande dos av prednison < 10 mg dagligen eller motsvarande.
Totalt randomiserades 272 patienter till att få antingen 3 mg/kg nivolumab (n = 135) administrerat intravenöst under 60 minuter varannan vecka eller 75 mg/m2 docetaxel (n = 137) var 3:e vecka. Behandlingen fortsatte så länge klinisk nytta sågs eller tills behandlingen inte längre tolererades. Tumörutvärdering, enligt RECIST, version 1.1, utfördes 9 veckor efter randomisering och fortsatte därefter var 6:e vecka. Det primära effektmåttet var totalöverlevnad. De sekundära effektmåtten var prövarbedömd responsfrekvens och progressionsfri överlevnad. Dessutom utvärderades symtomförbättring och allmänna hälsotillståndet enligt Lung cancer symptom score (LCSS) genomsnittliga symtombörda index respektive EQ-5D Visual Analog Scale (EQ-VAS).
Patientkarakteristika vid studiestart var likvärdiga mellan de två grupperna. Medianåldern var 63 år (intervall: 39-85) med 44 % ≥ 65 år och 11 % ≥ 75 år. Majoriteten av patienterna var vita (93 %) och manliga (76 %). Trettioen procent hade progressiv sjukdom rapporterat som bästa respons på deras senaste behandling och 45 % erhöll nivolumab inom 3 månader efter senast avslutad behandling. Utgångsvärde för ECOG performance-status var 0 (24 %) eller 1 (76 %).
Kaplan-Meier-kurvor för totalöverlevnad visas i figur 16.
Figur 16: Kaplan‑Meier-kurvor för totalöverlevnad (CA209017)
—Δ— Nivolumab 3 mg/kg (händelser: 86/135), median och 95 % KI: 9,23 (7,33, 13,27)---О--- Docetaxel (händelser: 113/137), median och 95 % KI: 6,01 (5,13, 7,33)
Den observerade fördelen i totalöverlevnad var genomgående för alla subgrupper av patienter. Överlevnadsvinst visades oavsett om patienterna hade tumörer som var PD-L1-negativa eller PD-L1-positiva (cut-off för uttryck på cellmembran var 1 %, 5 % eller 10 %). Emellertid har rollen av denna biomarkör (tumörens PD-L1-uttryck) inte fullt utvärderats. Vid en uppföljningstid på minst 62,6 månader, bibehölls fördelen i totalöverlevnad för alla subgrupper.
I studie CA209017 inkluderades ett begränsat antal patienter ≥ 75 år (11 i nivolumabgruppen och 18 i docetaxelgruppen). Nivolumab visade numeriskt mindre effekt på totalöverlevnad (HR 1,85: 95 % KI: 0,76, 4,51), progressionsfri överlevnad (HR 1,76: 95 % KI: 0,77, 4,05) och total responsfrekvens (9,1 % jämfört med 16,7 %). Eftersom antalet patienter är så få kan inga definitiva slutsatser dras från dessa data.
Effektresultat visas i tabell 31.
Tabell 31: Effektresultat (CA209017)
a Sex patienter (4 %) som randomiserades till docetaxel gick vid någon tidpunkt över till behandling med nivolumab.
“+” Anger att observationen är censurerad.
Frekvensen av sjukdomsrelaterade symtomförbättringar, mätt med LCSS, var likartad mellan nivolumabgruppen (18,5 %) och docetaxelgruppen (21,2 %). Genomsnittlig EQ-VAS ökade över tid för båda behandlingsgrupperna, vilket tyder på bättre övergripande hälsostatus för patienter som står kvar på behandlingen.
Enarmad fas 2-studie (CA209063)
Studie CA209063 var en enarmad, öppen studie på 117 patienter med lokalt avancerad eller metastaserande icke-småcellig lungcancer av skivepiteltyp efter två eller flera linjers behandling. I övrigt liknande inklusionskriterier som för studie CA209017. Nivolumab 3 mg/kg visade en total responsfrekvens (ORR) på 14,5 % (95 % KI: 8,7, 22,2), en medianöverlevnad på 8,21 månader (95 % KI; 6,05, 10,9 månader) och en progressionsfri överlevnad (medianvärde) på 1,87 månader (95 % KI 1,77, 3,15 månader). Den progressionsfria överlevnaden mättes med RECIST, version 1.1. Den uppskattade frekvensen för 1-års överlevnad var 41 %.
Enarmad fas 2-studie (CA209171)
Studie CA209171 var en enarmad, öppen studie med nivolumab som monoterapi för patienter med tidigare behandlad avancerad eller metastaserande icke-småcellig lungcancer av skivepiteltyp. Säkerhet var det primära effektmåttet och effekt var ett sekundärt effektmått. Av de 811 behandlade patienterna hade 103 (13 %) ECOG performance-status 2, 686 (85 %) var < 75 år och 125 (15 %) var ≥ 75 år. Inga nya säkerhetssignaler identifierades utifrån de behandlade patienterna och den övergripande säkerhetsprofilen för nivolumab var liknande mellan de olika subgrupperna. Effektresultat, som baserades på prövarbedömd total responsfrekvens (ORR), presenteras i tabell 32 nedan.
Tabell 32: Total responsfrekvens (ORR) baserad på responderande och utvärderingsbara patienter – totalt och per subgrupp (CA209171)
a inkluderar konfirmerade and okonfirmerade responser, röntgenutvärdering var endast obligatoriskt vid vecka 8/9 och vecka 52.
b Komplett respons + Partiell respons, konfidensintervall baserat på Clopper-Pearson metoden
Icke-småcellig lungcancer av icke-skivepiteltyp
Randomiserad fas 3‑studie jämfört med docetaxel (CA209057)
Säkerhet och effekt för nivolumab 3 mg/kg som monoterapi för behandling av avancerad eller metastaserande icke-småcellig lungcancer av icke-skivepiteltyp utvärderades i en randomiserad, öppen fas 3-studie (CA209057). I studien ingick patienter (18 år eller äldre) som hade progredierat under eller efter en tidigare platinabaserad kemoterapi, vilken kunde omfatta underhållsbehandling, och som hade en ECOG performance-status på 0 eller 1. Ytterligare en behandling med TKI tilläts för patienter med känd EGFR-mutation eller ALK-translokation. Patienterna inkluderades oavsett tumörens PD-L1-status. Patienter med aktiv autoimmun sjukdom, symtomatisk interstitiell lungsjukdom eller aktiva hjärnmetastaser exkluderas från studien. Patienter med behandlade hjärnmetastaser inkluderades om de neurologiskt återgått till utgångsvärdet minst 2 veckor innan enrollering i studien och som antingen inte stod på kortikosteroider eller stod på en stabil eller minskande dos av prednison eller motsvarande, < 10 mg per dag.
Totalt randomiserades 582 patienter till att få antingen 3 mg/kg nivolumab administrerat intravenöst under 60 minuter varannan vecka (n = 292) eller 75 mg/m2 docetaxel var 3:e vecka (n = 290). Behandlingen fortsatte så länge klinisk nytta sågs eller tills behandlingen inte längre tolererades. Tumörutvärdering genomfördes enligt RECIST version 1.1. Det primära effektmåttet var totalöverlevnad. De viktigaste sekundära effektmåtten var prövarbedömd responsfrekvens och progressionsfri överlevnad. Ytterligare förhandsspecificerade subgruppsanalyser utfördes för att utvärdera effekten av tumörens PD‑L1-uttryck vid förhandsdefinierade nivåer på 1 %, 5 % och 10 %. Bedömningar av de diskreta intervallen för tumörens uttrycksnivå för PD-L1 togs inte med i dom på förhand specificerade analyserna då urvalet var för litet inom varje intervall.
Innan randomisering, samlades vävnadsprover från tumören systematiskt in för att kunna utföra planerade effektanalyser utifrån tumörens PD‑L1-uttryck. Tumörens PD‑L1‑uttryck fastställdes med PD-L1 IHC 28-8 pharmDx‑analys.
Medianåldern var 62 år (intervall: 21-85) med 34 % ≥ 65 år och 7 % ≥ 75 år. Majoriteten av patienterna var vita (92 %) och män (55 %). Utgångsvärde för ECOG performance-status var 0 (31 %) eller 1 (69 %). Sjuttionio procent av patienterna var tidigare/nuvarande rökare.
Kaplan-Meier-kurvor för totalöverlevnad visas i figur 17.
Figur 17: Kaplan-Meier kurvor för totalöverlevnad (CA209057)
—Δ— Nivolumab 3 mg/kg (händelser: 190/292), median och 95 % KI: 12,19 (9,66, 14,98)
---О--- Docetaxel (händelser: 223/290), median och 95 % KI: 9,36 (8,05, 10,68)
Studien visade en statistiskt signifikant förbättring i totalöverlevnad för patienter som randomiserats till nivolumab jämfört med docetaxel i den förhandsspecificerade interimsanalysen när 413 händelser inträffat (93 % av de planerade antalet händelser för final analys). Effektresultat visas i tabell 33.
Tabell 33: Effektresultat (CA209057)
a Hämtad från en stratifierad proportionell riskmodell.
b P-värdet hämtas från ett log-rank-test stratifierat genom tidigare underhållsbehandling och behandlingsregim, motsvarande O’Brien-Fleming effektgräns för signifikant nivå är 0,0408.
c Sexton patienter (6 %) som randomiserades till docetaxel gick vid någon tidpunkt över till behandling med nivolumab.
d Sjutton patienter (6 %) som randomiserades till docetaxel gick vid någon tidpunkt över till behandling med nivolumab.
“+” Anger att observationen är censurerad.
Kvantifierbart PD‑L1‑uttryck i tumören uppmättes hos 79 % av patienterna i nivolumab-gruppen och hos 77 % i docetaxelgruppen. Nivån av tumörens PD‑L1‑uttryck var balanserat mellan de två behandlingsgrupperna (nivolumab jämfört med docetaxel) för varje förhandsdefinierad nivå av PD‑L1‑uttryck, ≥ 1 % (53 % jämfört med 55 %), ≥ 5 % (41 % jämfört med 38 %) eller ≥ 10 % (37 % jämfört med 35 %).
Patienter i nivolumab-gruppen hade, vid alla förhandsdefinierade nivåer av PD‑L1 i tumören, en större sannolikhet för förbättrad överlevnad jämfört med docetaxel-gruppen, medan överlevnaden var jämförbar med docetaxel hos patienter med lågt eller inget uttryck av PD‑L1 i tumören. Vad gäller responsfrekvens var ett ökat uttryck av PD‑L1 förknippat med en högre responsfrekvens.
Jämfört med hela populationen var varaktigheten av responsen (medianvärdet) längre med nivolumab jämfört med docetaxel för patienter utan PD‑L1‑uttryck (18,3 månader jämfört med 5,6 månader) samt för patienter med PD‑L1-uttryck (16,0 månader jämfört med 5,6 månader).
Tabell 34 summerar resultat för responsfrekvens och totalöverlevnad utifrån PD‑L1‑uttryck i tumören.
Tabell 34: Responsfrekvens och totalöverlevnad utifrån PD-L1‑uttryck i tumören (CA209057)
* Post-hoc analys: resultaten ska tolkas med försiktighet eftersom storleken på subgruppen är liten och vid tidpunkten för analys, var testet PD-L1 IHC 28-8 pharmDx inte analytiskt validerat vid uttrycksnivån 10 % eller 50 %.
En högre andel patienter dog inom de första 3 månaderna i nivolumabgruppen (59/292, 20,2 %) jämfört med docetaxelgruppen (44/290, 15,2 %). Resultat från en post-hoc, exploratorisk multivariatanalys indikerar att nivolumab-behandlade patienter med sämre prognostiska faktorer och/eller aggressiv sjukdom, kombinerat med lägre (t.ex. < 50 %) eller inget uttryck av PD-L1 i tumören kan löpa en högre risk att avlida inom de första 3 månaderna.
I subgruppsanalyser, sågs ingen överlevnadsfördel jämfört med docetaxel för patienter som aldrig rökt eller vars tumörer hade EGFR-aktiverande mutationer, men med anledning av det låga antalet patienter kan inga definitiva slutsatser dras från dessa data.
Malignt pleuramesoteliom
Randomiserad fas 3-studie med nivolumab i kombination med ipilimumab jämfört med kemoterapi (CA209743)
Säkerhet och effekt för nivolumab 3 mg/kg varannan vecka i kombination med ipilimumab 1 mg/kg var sjätte vecka utvärderades i en randomiserad, öppen fas 3-studie (CA209743). I studien ingick patienter (18 år eller äldre) med histologiskt bekräftad och tidigare obehandlad malignt pleuramesoteliom med epitelioid eller icke-epitelioid histologi, ECOG performance-status på 0 eller 1 och ingen palliativ strålbehandling inom 14 dagar före första behandlingen i studien. Patienter inkluderades oavsett tumörens PD-L1-status.
Patienter med primitivt peritonealt, perikardiellt eller tunica vaginalis mesoteliom, testikelmesoteliom, interstitiell lungsjukdom, aktiv autoimmun sjukdom, medicinska tillstånd som krävde systemisk immunsuppression eller hjärnmetastaser (såvida de inte opererats bort eller behandlats med stereotaktisk strålbehandling och inte vidareutvecklats inom 3 månader före studiestart) exkluderades från studien. Randomiseringen stratifierades med avseende på histologi (epitelioid respektive sarkomatoid eller blandade histologiska subtyper) och kön (man jämfört med kvinna).
Totalt randomiserades 605 patienter till att få antingen nivolumab i kombination med ipilimumab (n = 303) eller kemoterapi (n = 302). Patienter i armen som fick nivolumab i kombination med ipilimumab fick nivolumab 3 mg/kg administrerat intravenöst under 30 minuter varannan vecka i kombination med ipilimumab 1 mg/kg administerat intravenöst under 30 minuter var sjätte vecka i upp till 2 år. Patienter i kemoterapiarmen fick kemoterapi i upp till 6 cykler (varje cykel var 21 dagar). Kemoterapin bestod av cisplatin 75 mg/m2 och pemetrexed 500 mg/m2 eller karboplatin 5 AUC och pemetrexed 500 mg/m2.
Behandlingen fortsatte till sjukdomsprogression, oacceptabel toxicitet eller upp till 24 månader. Behandlingen kunde fortsätta efter sjukdomsprogression om patienten var kliniskt stabil och prövaren ansåg att den fortfarande gav klinisk nytta. Patienter som avbröt kombinationsbehandling på grund av en biverkning tillskriven ipilimumab hade möjlighet att fortsätta med nivolumab som monoterapi. Tumörutvärdering utfördes var 6:e vecka efter första dosen under de första 12 månaderna, därefter var 12:e vecka till sjukdomsprogression eller till att behandlingen avslutades.
Patientkarakteristika var över lag balanserade i alla behandlingsgrupper vid studiestart av CA209743. Medianåldern var 69 år (intervall: 25-89) med 72 % ≥ 65 år och 26 % ≥ 75 år. Majoriteten av patienterna var vita (85 %) och män (77 %). Utgångsvärde för ECOG performance-status var 0 (40 %) eller 1 (60 %), 80 % av patienterna hade PD-L1 ≥ 1 % och 20 % PD-L1 < 1 %, 75 % hade epitelioid och 25 % hade icke-epitelioid histologi.
CA209743-studiens primära effektmått var totalöverlevnad (OS). De viktigaste sekundära effektmåtten var progressionsfri överlevnad (PFS), objektiv responsfrekvens (ORR) och varaktighet av respons (DOR) enligt Blinded Independent Central Review (BICR) enligt modifierade RECIST‑kriterier för pleuralt mesoteliom. En deskriptiv analys av dessa sekundära effektmått visas i tabell 33.
Studien visade en statistiskt signifikant förbättring i totalöverlevnad för patienter randomiserade till nivolumab i kombination med ipilimumab jämfört med kemoterapi vid den förhandsspecificerade interimsanalysen när 419 händelser hade inträffat (89 % av de planerade antalet händelser för slutlig analys). Minsta uppföljningstid för totalöverlevnad var 22 månader.
Effektresultaten visas i figur 18 och tabell 35.
Antal patienter i studien
--О-- Nivolumab + ipilimumab (händelser: 200/303), median och 95 % KI: 18,07 (16,82, 21,45)
--+-- Kemoterapi (händelser: 219/302), median och 95 % KI: 14,09 (12,45, 16,23)
a Stratifierad Cox-proportionell riskmodell.
b p-värdet jämfördes med ett allokerat alfavärde på 0,0345 vid denna interimsanalys.
c Kaplan-Meier-uppskattning.
Efterföljande systemisk behandling erhölls av 44,2 % av patienterna i kombinationsarmen och av 40,7 % av patienterna i kemoterapiarmen. Efterföljande immunterapi (inklusive behandling med anti‑PD-1-, anti‑PD-L1- och anti‑CTLA-4-antikroppar) erhölls av 3,3 % av patienterna i kombinationsarmen och 20,2 % av patienterna i kemoterapiarmen.
Tabell 36 sammanfattar effektresultaten av totalöverlevnad, progressionsfri överlevnad och objektiv responsfrekvens utifrån histologi i förhandspecificerade subgruppsanalyser.
a Riskkvot baserat på en ostratifierad Cox-proportionell riskmodell.
b Konfidensintervall baserat på Clopper-och Pearson-metoden.
c Medianvärde beräknad med Kaplan-Meier-metoden.
Tabell 37 sammanfattar effektresultaten av totalöverlevnad, progressionsfri överlevnad och objektiv responsfrekvens utifrån utgångsvärdet av tumöruttrycket av PD-L1 i förhandspecificerade subgruppsanalyser.
a Riskkvot baserat på en ostratifierad Cox-proportionell riskmodell.
b Medianvärde beräknad med Kaplan-Meier-metoden.
c Konfidensintervall baserat på Clopper-och Pearson-metoden.
Totalt inkluderades 157 patienter ≥ 75 år med malignt pleuramesoteliom i studien CA209743 (78 i armen som kombinerade nivolumab med ipilimumab och 79 i kemoterapiarmen). I denna subgrupp var riskkvoten för totalöverlevnad 1,02 (95 % KI: 0,70, 1,48) för nivolumab i kombination med ipilimumab jämfört med kemoterapi. Patienter som var 75 år eller äldre uppvisade en högre frekvens av allvarliga biverkningar och behandlingsavbrott på grund av biverkningar jämfört med alla patienter som fick nivolumab i kombination med ipilimumab (se avsnitt 4.8). På grund av att subgruppsanalysen var exploratorisk kan dock ingen definitiv slutsats dras.
Randomisad fas 3‑studie med nivolumab i kombination med ipilimumab jämfört med sunitinib (CA209214)
Säkerhet och effekt för nivolumab 3 mg/kg i kombination med ipilimumab 1 mg/kg för behandling av avancerad/metastaserande njurcellscancer utvärderades i en randomiserad, öppen fas 3‑studie (CA209‑214). I studien ingick patienter (18 år eller äldre) med tidigare obehandlad, avancerad eller metastaserande, njurcellscancer med en klarcellig komponent. Populationen för det primära effektmåttet inkluderade patienter med intermediär/dålig prognos med minst 1 eller fler av 6 prognostiska faktorer enligt IMDC:s kriterier (International Metastatic RCC Database Consortium) (mindre än ett år från tidpunkten för initial diagnos av njurcellscarcinom till randomisering, ett värde på Karnofskys skattningsskala < 80 %, hemoglobin lägre än lägsta gränsen för normal, korrigerat kalcium högre än 10 mg/dl, blodplättar och absolut neutrofiltal högre än den övre gränsen för normalt). Patienterna inkluderades oavsett tumörens PD-L1-status. Patienter med ett värde på Karnofskys skattningsskala < 70 % och patienter med tidigare eller samtidigt förekommande hjärnmetastaser, aktiv autoimmun sjukdom eller medicinska tillstånd som kräver systemisk immunsuppression exkluderades från studien. Patienter stratifierades med avseende på IMDC prognostisk status och region.
Totalt 1096 patienter randomiserades i studien, varav 847 patienter med intermediär/dålig prognos och de fick antingen (n = 425) nivolumab 3 mg/kg administrerad intravenöst under 60 minuter i kombination med ipilimumab 1 mg/kg administrerad intravenöst under 30 minuter var tredje vecka i 4 doser följt av nivolumab monoterapi 3 mg/kg varannan vecka eller (n = 422) sunitinib 50 mg dagligen administrerad oralt under 4 veckor följt av 2 veckors uppehåll vid varje cykel. Behandlingen fortsatte så länge klinisk nytta sågs eller tills behandlingen inte längre tolererades. De första tumörutvärderingarna gjordes 12 veckor efter randomisering och fortsatte var 6:e vecka under det första året och därefter var 12:e vecka tills sjukdomsprogress eller utsättande av behandling, beroende på vilket som inträffade sist. Behandling efter initial prövarbedömd progression enligt RECIST, version 1.1, tilläts om prövaren bedömde att patienten hade en klinisk nytta av, och tolererade studieläkemedlet. Primärt effektmått var totalöverlevnad (OS), objektiv responsfrekvens (ORR) och progressionsfri överlevnad (PFS) enligt BICR hos patienter med intermediär/dålig prognos.
Patientkarakteristika vid studiestart var likvärdiga mellan de två grupperna. Medianåldern var 61 år (intervall: 21-85) med 38 % ≥ 65 år och 8 % ≥ 75 år. Majoriteten av patienterna var män (73 %) och vita (87 %), och 31 % och 69 % av patienterna hade vid studiestart ett värde på Karnofskys skattningsskala 70 till 80 % respektive 90 till 100 %. Mediantiden från initial diagnos till randomisering var 0,4 år hos både gruppen med nivolumab 3 mg/kg i kombination med ipilimumab 1 mg/kg och med sunitinib. Medianlängden för behandlingen var 7,9 månader (intervall: 1 dag-21,4+ månader) hos patienter behandlade med nivolumab i kombination med ipilimumab och 7,8 månader (intervall: 1 dag-20,2+ månader) hos sunitinibbehandlade patienter. Behandlingen med nivolumab med ipilimumab fortsatte efter progression hos 29 % av patienterna.
Effektresultaten för patienter med intermediär/dålig prognos visas i tabell 38
(primär analys med en minsta uppföljningstid på 17,5 månader och uppdaterad analys med en minsta uppföljningstid på 60 månader) och i figur 19 (minsta uppföljningstid 60 månader).
Resultat för totalöverlevnad vid en ytterligare deskriptiv analys utförd vid en uppföljning på minst 60 månader överensstämmer med den primära analysen.
Tabell 38: Effektresultat hos patienter med intermediär/dålig prognos (CA209214)
a Baserad på en stratifierad proportionell riskmodell.
b Baserad på ett stratifierat log-rank test.
c p-värde är jämfört mot alfa 0,002 för att uppnå statistisk signifikans.
d Stratajusterad skillnad.
e Baserad på stratifierat DerSimonian-Laird test.
f p-värde är jämfört mot alfa 0,001 för att uppnå statistisk signifikans.
g Beräknat med Kaplan-Meier metoden.
h p-värde är jämfört mot alfa 0,009 för att uppnå statistisk signifikans.
“+” anger en censurerad observation.
NE = icke uppskattningsbar
* Deskriptiv analys baserad på data cut-off: 26 februari 2021.
—Δ— Nivolumab + ipilimumab (händelser: 242/425), medianvärde och 95,0 % KI: 46,95 (35,35, 57,43)
---О--- Sunitinib (händelser: 282/422), medianvärde och 95,0 % KI: 26,64 (22,08, 33,54)
En uppdaterad deskriptiv analys av totalöverlevnad utfördes när alla patienter hade en minsta uppföljningstid på 24 månader. Vid tidpunkten för denna analys var riskkvoten 0,66 (99,8 % KI 0,48‑0,91) med 166/425 händelser i kombinationsarmen och 209/422 händelser i sunitinib-armen. Hos patienter med intermediär/dålig prognos sågs fördel i totalöverlevnad för nivolumab i kombination med ipilimumab jämfört med sunitinib oavsett tumöruttryck av PD‑L1. Totalöverlevnad (median) vid PD-L1 tumöruttryck ≥ 1 % uppnåddes inte för nivolumab i kombination med ipilimumab och var 19,61 månader för sunitinib (riskkvot = 0,52; 95 % KI: 0,34, 0,78). För PD-L1 tumöruttryck < 1 % var totalöverlevnad (median) 34,7 månader för nivolumab i kombination med ipilimumab och 32,2 månader för sunitinib (riskkvot = 0,70; 95 % KI: 0,54, 0,92).
I studien CA209214 randomiserades också 249 patienter med god prognos enligt IMDC-kriterierna till nivolumab plus ipilimumab (n = 125) eller till sunitinib (n = 124). Dessa patienter utvärderades inte som en del av den primära effektpopulationen. Vid en minsta uppföljningstid på 24 månader var riskkvoten för totalöverlevnad 1,13 (95 % KI: 0,64, 1,99; p = 0,6710) hos patienter med god prognos som fick nivolumab plus ipilimumab jämfört med sunitinib. Vid en minsta uppföljningstid på 60 månader var riskkvoten för totalöverlevnad 0,94 (95 % KI: 0,65, 1,37).
Det finns inga data om användningen av nivolumab i kombination med ipilimumab hos patienter med icke-klarcellig histologi vid första linjens njurcellscancer.
Patienter ≥ 75 år utgjorde 8 % av alla patienter med intermediär/dålig prognos i CA209214, och kombinationen av nivolumab och ipilimumab visade numeriskt mindre effekt på totalöverlevnad (riskkvot 0,97, 95 % KI: 0,48, 1,95) i denna subgrupp jämfört med den totala populationen vid en minsta uppföljningstid på 17,5 månader. På grund av subgruppens ringa storlek kan inga slutgiltiga slutsatser dras av dessa resultat.
Randomiserad fas 3‑studie med nivolumab i kombination med kabozantinib jämfört med sunitinib (CA2099ER)
Säkerhet och effekt för nivolumab 240 mg i kombination med kabozantinib 40 mg för första linjens behandling av avancerad/metastaserande njurcellscancer utvärderades i en randomiserad, öppen fas 3‑studie (CA2099ER). I studien ingick patienter (18 år eller äldre) med avancerad eller metastaserande njurcellscancer med en klarcellig komponent, ett värde på Karnofskys skattningsskala ≥ 70 % och mätbar sjukdom enligt RECIST v1.1, oavsett PD‑L1-status eller riskgrupp enligt IMDC (International Metastatic RCC Database Consortium). Exkluderade från studien var patienter med autoimmun sjukdom eller andra medicinska tillstånd som kräver systemisk immunsuppresion, patienter som tidigare behandlats med en anti‑PD‑1-, anti‑PD‑L1-, anti‑PD‑L2-, anti‑CD‑137- eller anti‑CTLA‑4-antikropp, patienter med dåligt kontrollerad hypertoni trots blodtryckssänkande behandling, patienter med aktiva hjärnmetastaser och patienter med okontrollerad binjurebarksvikt. Patienter stratifierades med avseende på IMDC prognostisk status, tumöruttryck av PD‑L1 och region.
Totalt 651 patienter randomiserades till att antingen få nivolumab 240 mg (n = 323) intravenöst varannan vecka i kombination med kabozantinib 40 mg oralt en gång daligen, eller sunitinib 50 mg dagligen (n = 328) administrerad oralt under 4 veckor följt av 2 veckors uppehåll. Behandlingen fortsatte till sjukdomsprogress eller oacceptabel toxicitet med administrering av nivolumab i upp till 24 månader. Behandling efter initial prövarbedömd progression enligt RECIST version 1.1 tilläts om prövaren bedömde att patienten hade en klinisk nytta av, och tolererade studieläkemedlet. Den första tumörutvärderingen genomfördes 12 veckor (± 7 days) efter behandlingsstart. Efterföljande tumörutvärderingar genomfördes var 6:e vecka (± 7 days) till och med vecka 60, därefter var 12:e vecka (± 14 days) till radiologisk progress bekräftad av BICR (Blinded Independent Central Review). Det primära effektmåttet var progressionsfri överlevnad (PFS) enligt BICR. Ytterligare effektmått inkluderade totalöverlevnad (OS) och objektiv responsfrekvens (ORR) som viktiga sekundära effektmått.
Patientkarakteristika vid studiestart var likvärdiga mellan de två grupperna. Medianåldern var 61 år (intervall: 28‑90) med 38,4 % ≥ 65 år och 9,5 % ≥ 75 år. Majoriteten av patienterna var män (73,9 %) och vita (81,9 %). Åtta procent av patienterna var av asiatiskt ursprung, och 23,2 % respektive 76,5 % av patienterna hade vid studiestart ett värde på Karnofskys skattningsskala på 70‑80 % respektive 90‑100 %. Fördelningen av patienterna enligt IMDC:s riskkategorier var: god prognos 22,6 %; intermediär prognos 57,6 %; dålig prognos 19,7 %. För tumöruttrycket av PD‑L1 hade 72,5 % av patienterna PD‑L1‑uttryck < 1 % eller obestämbar och 24,9 % av patienterna hade PD‑L1‑uttryck ≥ 1 %. Sarkomatoid tumör påvisades hos 11,5 % av patienterna. Mediantiden för behandling var 14,26 månader (intervall: 0,2‑27,3 månader) hos patienter behandlade med nivolumab och kabozantinib och 9,23 månader (intervall: 0,8‑27,6 månader) hos patienter behandlade med sunitinib.
Studien visade en statistiskt signifikant fördel i progressionsfri överlevnad, totalöverlevnad och objektiv responsfrekvens för patienter randomiserade till nivolumab i kombination med kabozantinib jämfört med sunitinib. Effektresultaten från primäranalysen (minsta uppföljningstid 10,6 månader, median uppföljningstid 18,1 månader) visas i tabell 39.
Tabell 39: Effektresultat (CA2099ER)
a Stratifierad Cox-proportionell riskmodell. Riskkvoten är nivolumab och kabozantinib över sunitinib.
b Log-rank test stratifierat av IMDC prognostisk riskpoäng (0, 1‑2, 3‑6), tumöruttryck av PD‑L1 (≥ 1 % jämfört med < 1 % eller obestämbar) och region (USA/Kanada/Västeuropa/Nordeuropa, övriga världen) enligt vad som matats in i IVRS.
c Tvåsidiga p‑värden från stratifierat regelbundet log-rank-test.
d Baserat på Kaplan-Meier-uppskattningar.
e Gräns för statistiskt signifikant p‑värde < 0,0111.
f KI baserad på Clopper-och Pearson-metoden.
g Stratajusterad skillnad i objektiv responsfrekvens (nivolumab + kabozantinib - sunitinib) baserat på DerSimonian-Laird test.
h Tvåsidigt p‑värde från CMH-test.
NE = icke uppskattningsbar
Den primära analysen av progressionsfri överlevnad inkluderade censurering för ny cancerbehandling (tabell 39). Resultaten för progressionsfri överlevnad med och utan censurering för ny cancerbehandling var konsekventa.
En fördel i progressionsfri överlevnad observerades för armen med nivolumab i kombination med kabozantinib jämfört med suntinib oavsett IMDC-riskkategori. Medianvärdet för progressionsfri överlevnad i riskgruppen med god prognos uppnåddes inte för nivolumab i kombination med kabozantinib och var 12,81 månader i sunitinib-armen (riskkvot = 0,60; 95 % KI: 0,37, 0,98). Medianvärdet för progressionsfri överlevnad i riskgruppen med intermediär prognos var 17,71 månader för nivolumab i kombination med kabozantinib och var 8,38 månader i sunitinib-armen (riskkvot = 0,54; 95 % KI: 0,41, 0,73). Medianvärdet för progressionsfri överlevnad i riskgruppen med dålig prognos var 12,29 månader för nivolumab i kombination med kabozantinib och var 4,21 månader i sunitinib-armen (riskkvot = 0,36; 95 % KI: 0,23, 0,58).
En fördel i progressionsfri överlevnad observerades för armen med nivolumab i kombination med kabozantinib jämfört med sunitinib oavsett tumöruttryck av PD‑L1. Medianvärdet för progressionsfri överlevnad vid PD-L1 tumöruttryck ≥ 1 % var 13,08 månader för nivolumab i kombination med kabozantinib och var 4,67 månader i sunitinib-armen (riskkvot = 0,45; 95 % KI: 0,29, 0,68). Vid PD‑L1 tumöruttryck < 1 % var medianvärdet för progressionsfri överlevnad 19,84 månader för nivolumab i kombination med kabozantinib och 9,26 månader i sunitinib-armen (riskkvot = 0,50; 95 % KI: 0,38, 0,65).
En uppdaterad analys av progressionsfri överlevnad och totalöverlevnad utfördes när alla patienter haft en minsta uppföljningstid på 16,0 månader och ett medianvärde för uppföljningstiden på 23,5 månader (se figur 20 och 21). Riskkvoten för progressionsfri överlevnad var 0,52 (95 % KI: 0,43, 0,64). Riskkvoten för totalöverlevnad var 0,66 (95 % KI: 0,50, 0,87). Uppdaterade effektdata (progressionsffri överlevnad och totalöverlevnad) i undergrupper för IMDC-riskkategorier och PD‑L1-uttrycksnivåer bekräftade de ursprungliga resultaten. Vid den uppdaterade analysen uppnåddes medianvärdet för progressionsfri överlevnad i riskgruppen med god prognos.
Figur 20: Kaplan-Meier-kurvor för progressionsfri överlevnad (CA2099ER)
Antal patienter i studien
—Δ— Nivolumab + kabozantinib (händelser: 175/323), median, 95,0 % KI: 16,95 (12,58, 19,38)
---О--- Sunitinib (händelser: 206/328), median, 95,0 % KI: 8,31 (6,93, 9,69)
Figur 21: Kaplan-Meier-kurvor för totalöverlevnad (CA2099ER)
Antal patienter i studien
—Δ— Nivolumab + kabozantinib (händelser: 86/323), median, 95 % KI: NE
---О--- Sunitinib (händelser: 116/328), median, 95 % KI: 29,47 (28,35, NE)
Njurcellscancer
Randomiserad fas 3‑studie med nivolumab som monoterapi jämfört med everolimus (CA209025)
Säkerhet och effekt för nivolumab 3 mg/kg som monoterapi för behandling av avancerad njurcellscancer med en klarcellig komponent utvärderades i en randomiserad, öppen fas 3‑studie (CA209025). I studien ingick patienter (18 år eller äldre) som hade progredierat under eller efter en eller två tidigare behandlingar med angiogeneshämmare och inte genomgått fler än totalt 3 tidigare systemiska behandlingar. Patienter behövde ha ett värde på Karnofskys skattningsskala (KPS) ≥ 70 %. Patienterna inkluderades oavsett tumörens PD‑L1‑status. Patienter med tidigare eller samtidigt förekommande hjärnmetastaser, tidigare behandling med hämmare av mTOR (mammalian target of rapamycin), aktiv autoimmun sjukdom eller medicinska tillstånd som kräver systemisk immunsuppression exkluderades från studien.
Totalt randomiserades 821 patienter till att få antingen 3 mg/kg nivolumab (n = 410) administrerat intravenöst under 60 minuter varannan vecka eller 10 mg everolimus (n = 411) per dag, administrerat oralt. Behandlingen fortsatte så länge klinisk nytta sågs eller tills behandlingen inte längre tolererades. De första tumörutvärderingarna gjordes 8 veckor efter randomisering och fortsatte var åttonde vecka under det första året och därefter var tolfte vecka tills sjukdomsprogress eller behandlingen inte längre tolererades, beroende på vilket som inträffade sist. Tumörutvärderingar fortsatte efter att behandlingen satts ut hos patienter där behandlingen sattes ut av andra anledningar än sjukdomsprogression. Behandling efter initial prövarbedömd progression enligt RECIST, version 1.1, tilläts om prövaren bedömde att patienten hade en klinisk nytta av, och tolererade studieläkemedlet. Det primära effektmåttet var totalöverlevnad. De sekundära effektmåtten inkluderade prövarbedömd objektiv responsfrekvens och progressionsfri överlevnad.
Patientkarakteristika vid studiestart var likvärdiga mellan de två grupperna. Medianåldern var 62 år (intervall: 18–88) med 40 % ≥ 65 år och 9 % ≥ 75 år. Majoriteten av patienterna var män (75 %) och vita (88 %), alla riskgrupper enligt Memorial Sloan Ketterin Cancer Center (MSKCC) var representerade, och 34 % respektive 66 % av patienterna hade vid studiestart ett värde på Karnofskys skattningsskala 70 till 80 % respektive 90 till 100 %. Majoriteten av patienterna (72 %) hade fått 1 tidigare behandling med angiogeneshämmare. Mediantiden från initial diagnos till randomisering var 2,6 år i både nivolumabgruppen och everolimusgruppen. Medianlängden på behandlingen var 5,5 månader (intervall: 0–29,6+ månader) hos nivolumabbehandlade patienter och 3,7 månader (intervall: 6 dagar–25,7+ månader) hos everolimusbehandlade patienter.
Nivolumab-behandling fortsatte efter progression hos 44 % av patienterna.
Kaplan‑Meier‑kurvor för totalöverlevnad visas i figur 22.
Figur 22: Kaplan Meier‑kurvor för totalöverlevnad (CA209025)
Studien visade en statistiskt signifikant förbättring i totalöverlevnad för patienter som randomiserades till nivolumab jämfört med everolimus i den förhandsspecificerade interimsanalysen när 398 händelser hade inträffat (70 % av de planerade antalet händelser för slutlig analys) (tabell 40 och figur 22). Fördel i totalöverlevnad observerades oberoende av nivån av PD‑L1‑uttryck i tumören.
Effektresultat visas i tabell 40.
Tabell 40: Effektresultat (CA209025)
Mediantiden till debut av objektiv respons var 3,5 månader (intervall: 1,4–24,8 månader) efter insättning av nivolumab. Fyrtionio (47,6 %) av de patienter som svarade på behandlingen hade pågående respons med en varaktighet från 0,0‑27,6+ månader.
Totalöverlevnad kan åtföljas av en förbättring över tid i sjukdomsrelaterade symtom och icke‑sjukdomsspecifik livskvalité (QoL), vilket utvärderades med hjälp av giltiga och tillförlitliga skalor från Functional Assessment of Cancer Therapy‑Kidney Symptom Index‑Disease Related Symptoms (FKSI‑DRS) och EuroQoL EQ‑5D. En tydlig meningsfull förbättring av symtom (MID = 2 punkters förändring i FKSI‑DRS‑värde; p < 0,001) och tid till förbättring (HR = 1,66 (1,33, 2,08) p < 0,001) var signifikant bättre för patienter i nivolumabgruppen. Även om båda grupperna i studien fick aktiv behandling bör QoL‑datan tolkas med försiktighet mot bakgrund av den öppna studiedesignen.
Säkerhetsstudie fas 3b/4 (CA209374)
Det finns ytterligare data avseende säkerhet och deskriptiv effekt från studien CA209374, en öppen säkerhetsstudie i fas 3b/4 med nivolumab som monoterapi (240 mg varannan vecka) vid behandling av patienter med avancerad eller metastaserad njurcellscancer (n = 142), inklusive 44 patienter med icke‑klarcellig histologi.
Hos patienter med icke‑klarcellig histologi, med en minsta uppföljningstid på 16,7 månader, var den objektiva responsfrekvensen 13,6 % och responsens varaktighet 10,2 månader. Klinisk aktivitet sågs oavsett tumörens PD‑L1‑uttryck.
Klassiskt Hodgkins lymfom
Öppen fas 2-studie (CA209205) och öppen fas 1b-studie (CA209039) med nivolumab som monoterapi
Säkerhet och effekt av nivolumab 3 mg/kg som monoterapi för behandling av recidiverande eller refraktär klassiskt Hodgkins lymfom efter autolog stamcellstransplantation utvärderades i två öppna, enarmade multicenterstudier (CA209205 och CA209039).
CA209205 är en öppen, multi-kohort, enarmad, fas 2-studie med nivolumab-behandling vid klassiskt Hodgkins lymfom. Den omfattar 243 patienter som genomgått autolog stamcellstransplantation; kohort A omfattade 63 (26 %) patienter som var behandlingsnaiva till brentuximab vedotin; kohort B omfattade 80 (33 %) patienter som fick brentuximab vedotin efter utebliven effekt av autolog stamcellstransplantation; kohort C omfattade 100 (41 %) patienter som fick brentuximab vedotin före och/eller efter autolog stamcellstransplantation, varav 33 (14 %) patienter endast fick brentuximab vedotin före autolog stamcellstransplantation. Alla patienter fick nivolumab 3 mg/kg som monoterapi, intravenöst under 60 minuter varannan vecka. De första tumörutvärderingarna genomfördes 9 veckor efter behandlingsstart och fortsatte till sjukdomsprogress eller avslutad behandling. Det primära effektmåttet var objektiv responsfrekvens bestämd av en IRRC. Ytterligare effektmått inkluderade varaktighet av respons, progressionsfri överlevnad och totalöverlevnad.
CA209039 är en fas 1b, öppen, multi-center, multi-dos och doseskaleringsstudie med nivolumab vid recidiverande/refraktära hematologiska maligniteter inkluderande 23 patienter med klassiskt Hodgkins lymfom som behandlades med nivolumab 3 mg/kg som monoterapi, av vilka 15 patienter, i likhet med kohort B i studien CA209205, hade fått tidigare behandling med brentuximab vedotin som salvage-behandling efter autolog stamcellstransplantation. De första tumörutvärderingarna genomfördes 4 veckor efter behandlingsstart och fortsatte till sjukdomsprogress eller avslutad behandling. Effektutvärderingarna inkluderade prövarbedömd objektiv responsfrekvens, retrospektivt utvärderad av IRRC, och varaktighet av respons.
Data från 80 patienter i kohort B i studien CA209205 integrerades med data från 15 patienter i studien CA209039, som tidigare fått behandling med brentuximab vedotin efter autolog stamcellstransplantation. Även data från 100 patienter i kohort C i studien CA209205, som fick brentuximab vedotin före och/eller efter autolog stamcellstransplantation, presenteras. Karakteristika vid studiestart var liknande mellan de två studierna och kohorterna (se tabell 41 nedan).
Tabell 41: Patientkarakteristika vid studiestart för patienter i CA209205, kohort B och C, och CA209039
a 18/80 (22,5 %) av patienterna i CA209205, kohort B, uppvisade B‑symtom vid studiestart.
b 25/100 (25 %) av patienterna i CA209205, kohort C, uppvisade B‑symtom vid studiestart
Effektresultaten från båda studierna utvärderades av samma IRRC. Resultaten presenteras i tabell 42.
Tabell 42: Effektresultat för patienter med recidiverande/refraktär klassiskt Hodgkins lymfom
“+” anger en censurerad observation
a Uppföljning pågick vid tidpunkten för inskick av data
b Data är instabila på grund av begränsad varaktighet av respons i kohort B, som en följd av censurering.
NE = icke uppskattningsbar
Uppdaterade effektresultat efter längre tids uppföljning av kohort B (minst 68,7 månader) och kohort C (minst 61,9 månader) från studien CA209205 presenteras i tabell 43 nedan.
Tabell 43: Uppdaterade effektresultat för patienter med recidiverande/refraktär klassiskt Hodgkins lymfom efter längre tids uppföljning i studien CA209205
“+” anger en censurerad observation
a Patienter i kohort C (n = 33) som endast fick brentuximab vedotin innan autolog stamcellstransplantation hade en objektiv responsfrekvens på 73 % (95 % KI: 55, 87), en fullständig respons på 21 % (95 % KI: 9, 39), en partiell respons på 52 % (95 % KI: 34, 69). Medianvärdet för varaktighet av respons var 13,5 månader (95 % KI: 9,4, 30,9)
b Fastställd för patienter med komplett respons eller partiell respons.
NE = icke uppskattningsbar
I studien CA209205 uppvisade 22 % (53/243) av patienterna B‑symtom vid studiestart. Nivolumab-behandling resulterade i en snabb återgång av B-symtomen hos 88,7 % (47/53) av patienterna, efter en mediantid på 1,9 månader.
Vid en post-hoc-analys av de 80 patienterna i kohort B i studien CA209205, hade 37 patienter inte svarat på föregående behandling med brentuximabvedotin. Hos dessa 37 patienter gav behandling med nivolumab en objektiv responsfrekvens på 62,2 % (23/37). Medianvärdet för varaktigheten av responsen var 25,6 månader (10,6, 56,5) för de 23 patienter som svarade på nivolumab-behandlingen men som inte svarat på tidigare behandling med brentuximab vedotin.
Öppen fas 2‑studie med nivolumab i kombination med brentuximab vedotin (CA209744)
Säkerhet och effekt av nivolumab 3 mg/kg i kombination med brentuximab vedotin 1,8 mg/kg för behandling av recidiverande eller refraktärt klassiskt Hodgkins lymfom efter en tidigare behandling utvärderades i en riskbaserad, responsanpassad, öppen fas 2-studie. I kohort R1 ingick 28 patienter med låg recidivrisk och i kohort R2 ingick 44 patienter med standardrisk för recidiv. Riskstratifieringen baserades på stadium vid initial diagnos, tid till recidiv (från avslutad behandling), B-symtom eller extranodal sjukdom vid recidiv, utbredd sjukdom där strålbehandling var kontraindicerad vid recidiv eller recidiv i ett tidigare strålfält, se tabell 44. CD30‑uttryck mättes inte före enrollering i studien.
De första tumörutvärderingarna genomfördes 6 veckor efter behandlingsstart och fortsatte därefter till sjukdomsprogress, slutförd eller avbruten behandling. De primära effektmåtten i kohort R1 var frekvensen av komplett metabol respons (CMR) enligt BICR vid någon tidpunkt före strålbehandling och frekvens av händelsefri överlevnad (EFS) enligt BICR vid 3 år. Det primära effektmåttet i kohort R2 var frekvens av komplett metabol respons enligt BICR vid någon tidpunkt före högdoskemoterapi (HDCT/ASCT). Ytterligare effektmått var total responsfrekvens (ORR) per BICR efter 4 cykler nivolumab i kombination med brentuximab vedotin och frekvens av progressionsfri överlevnad (PFS) enligt BICR vid 3 år. Patienter med tidigare exponering för anti‑PD(L) 1/2 eller brentuximab vedotin exkluderades från studien.
Alla patienter gick in i induktionsfasen och fick behandling med nivolumab i kombination med brentuximab vedotin. Patienter med prövarbedömd tumörprogression efter två cykler fick avbryta behandlingen. Patienter som inte uppnådde CMR efter 4 cykler nivolumab i kombination med brentuximab vedotin övergick till fasen med intensifierad behandling och fick 2 cykler (kohort R1) eller 2–4 cykler (kohort R2) brentuximab vedotin med 90 mg/m2/dag bendamustin. Patienter som uppnådde CMR efter 4 cykler nivolumab i kombination med brentuximab vedotin i kohort R1 fick 2 ytterligare cykler nivolumab i kombination med brentuximab vedotin före konsolideringsfasen. Patienter som uppnådde CMR efter induktionsbehandling eller intensifierad behandling övergick till konsolideringsfasen där de fick strålbehandling (kohort R1) eller HDCT/ASCT (kohort R2).
Karakteristika vid studiestart var balanserade i behandlingsgrupperna. De flesta patienter var i åldersgruppen ≥ 5 år till < 18 år i både R1- och R2‑kohorterna (64,3 % respektive 70,5 %). I kohort R1 behandlades 3 barn (5–11 år), 15 ungdomar (12–17 år) och 10 vuxna (18–30 år), och i kohort R2 behandlades 4 barn (5–11 år), 27 ungdomar (12–17 år) och 13 vuxna (18–30 år). I kohort R1 var 64,3 % flickor/kvinnor, och i kohort R2 var 65,9 % pojkar/män. I kohort R1 hade 64,3 % sjukdom i stadium IIA vid studiestart, och i kohort R2 hade 25 %, 22,7 % och 25 % sjukdom i stadium IIA, IIB respektive IVA vid studiestart. Karnofskys och Lanskys genomsnittliga prestationsstatus var > 95 % i båda kohorterna. I kohort R1 hade 82,1 % en tid från avslutad föregående behandling till recidiv på ≥ 12 månader. I kohort R2 hade 36,4 % en tid från avslutad föregående behandling till recidiv på < 3 månader, medan 40,9 % hade en tid från avslutad tidigare behandling till recidiv på ≥ 3 månader till < 12 månader. I kohort R1 hade 96,4 % recidiverat efter föregående behandling, medan kohort R2 uppvisade en i huvudsak jämn fördelning mellan recidiverad (45,5 %) och refraktär (54,5 %) sjukdom efter respons på föregående behandling.
Alla patienter hade fått tidigare cancerbehandling i kohorterna R1 och R2. Den vanligaste tidigare cancerbehandlingen var OEPA/COPDAC i både kohort R1 (42,9 %) och kohort R2 (45,5 %).
Karakteristika vid studiestart och tidigare cancerbehandlingar hos behandlade pediatriska patienter överensstämde med dem hos alla behandlade patienter i CA209744.
Effektresultaten visas i tabell 45.
Skivepitelial huvud- och halscancer
Säkerhet och effekt för nivolumab 3 mg/kg som monoterapi för behandling av metastaserande eller återkommande skivepitelial huvud- och halscancer utvärderades i en randomiserad, öppen fas 3-studie (CA209141). I studien ingick patienter (18 år eller äldre) med histologiskt bekräftad återkommande eller metastaserande skivepitelial huvud- och halscancer (munhåla, farynx, larynx) i stadium III/IV, där lokal behandling i kurativt syfte (kirurgi eller strålning med eller utan kemoterapi) inte ansågs vara möjlig, och patienterna hade progredierat under eller inom 6 månader efter tidigare platinabaserad kemoterapi samt hade ett ECOG performance-status på 0 eller 1. Tidigare platinabaserad kemoterapi gavs antingen som neo-adjuvant, adjuvant eller primär behandling samt som behandling vid återkommande eller vid metastaserande sjukdom. Patienter inkluderades oavsett tumörens PD-L1- status eller humant papillomvirusstatus (HPV). Patienter med aktiv autoimmun sjukdom, medicinska tillstånd som kräver immunsuppression, återkommande eller metastaserande nasofarynxcancer, skivepitelcancer med okänd primärhistologi, spottkörtelcancer eller histologier av icke-skivepiteltyp (t.ex. mukosalt melanom) eller aktiva hjärnmetastaser eller leptomeningeala metastaser exkluderades från studien. Patienter med behandlade hjärnmetastaser inkluderades om de neurologiskt återgått till utgångsvärdet minst 2 veckor innan enrollering och antingen inte stod på kortikosteroider eller stod på en stabil eller minskande dos av prednison < 10 mg dagligen eller motsvarande.
Totalt randomiserades 361 patienter till att få antingen nivolumab 3 mg/kg (n = 240) administrerat intravenöst under 60 minuter varannan vecka eller prövarens val av antingen cetuximab (n = 15), 400 mg/m2 som startdos följt av 250 mg/m2 per vecka, eller metotrexat (n = 52) 40‑60 mg/m2 per vecka eller docetaxel (n = 54) 30‑40 mg/m2 per vecka. Randomiseringen stratifierades med avseende på tidigare cetuximab-behandling. Behandlingen fortsatte så länge klinisk nytta sågs eller tills behandlingen inte längre tolererades. Tumörutvärdering, enligt RECIST, version 1.1, utfördes 9 veckor efter randomisering och fortsatte därefter var 6:e vecka. Fortsatt behandling efter initial prövarbedömd progression enligt RECIST, version 1.1, tilläts för patienter som fick nivolumab om prövaren bedömde att patienten hade en klinisk nytta av och tolererade studieläkemedlet. Det primära effektmåttet var totalöverlevnad. De sekundära effektmåtten var prövarbedömd, progressionsfri överlevnad och responsfrekvens. Ytterligare förhandsspecificerade subgruppsanalyser utfördes för att utvärdera effekten av tumörens PD-L1-uttryck vid förhandsdefinierade nivåer på 1 %, 5 % och 10 %.
Innan randomisering, samlades tumörvävnadsprover systematiskt in för att kunna utföra planerade effektanalyser utifrån tumörens PD‑L1-uttryck. Tumörens PD‑L1‑uttryck fastställdes med PD-L1 IHC 28-8 pharmDx‑analys.
Patientkarakteristika vid studiestart var likvärdiga mellan de två grupperna. Medianåldern var 60 år (intervall: 28-83) med 31 % ≥ 65 år och 5 % ≥ 75 år, 83 % var män och 83 % var vita. Utgångsvärde för ECOG performance-status var 0 (20 %) eller 1 (78 %). Sjuttiosju procent var tidigare/nuvarande rökare, 90 % hade sjukdom stadium 4, 66 % hade mer än två lesioner, 45 %, 34 % respektive 20 % hade fått 1, 2 respektive 3 eller fler tidigare behandlingar och 25 % var HPV-16-positiva.
Med en minsta uppföljning på 11,4 månader visade studien signifikant förbättrad totalöverlevnad för patienter randomiserade till nivolumab jämfört med prövarens val. Kaplan-Meier-kurvor för totalöverlevnad visas i figur 23. Effektresultat visas i tabell 46.
Figur 23: Kaplan-Meier kurvor för totalöverlevnad (CA209141)
Nivolumab 3 mg/kg (händelser: 184/240), median och 95 % KI: 7,72 (5,68, 8,77)
Prövarens val (händelser: 105/121), median och 95 % KI: 5,06 (4,04, 6,24)
Tabell 46: Effektresultat (CA209141)
a Hämtad från en stratifierad proportionell riskmodell.
b P-värdet hämtas från ett log-rank-test stratifierat genom tidigare underhållsbehandling och behandlingsregim, motsvarande O’Brien-Fleming effektgräns för signifikant nivå är 0,0227.
c I nivolumabgruppen var det två patienter med CR och sju patienter med PR som hade PD-L1 tumöruttryck på < 1 %.
Kvantifierbart PD‑L1‑uttryck i tumören uppmättes hos 67 % av patienterna i nivolumab-gruppen och hos 82 % i docetaxelgruppen. Nivån av tumörens PD‑L1‑uttryck var balanserad mellan de två behandlingsgrupperna (nivolumab jämfört med docetaxel) för varje förhandsdefinierad nivå av PD‑L1‑uttryck, ≥ 1 % (55 % jämfört med 62 %), ≥ 5 % (34 % jämfört med 43 %) eller ≥ 10 % (27 % jämfört med 34 %).
Patienter i nivolumab-gruppen hade, vid alla förhandsdefinierade nivåer av PD‑L1-uttryck i tumören, uppvisade en högre sannolikhet för förbättrad överlevnad jämfört med de som behandlades med prövarens val. Den högre sannolikheten för förbättrad totalöverlevnad var genomgående för PD-L1-uttrycksnivåerna ≥ 1 %, ≥ 5 % eller ≥ 10 % (se tabell 47).
Tabell 47: Totalöverlevnad utifrån PD-L1‑uttryck i tumören (CA209141)
I en exploratorisk post-hoc-analys med en icke-validerad metod, analyserades både tumörcellens PD‑L1-uttryck och tumörassocierat immuncellsuttryck (TAIC) av PD‑L1 i förhållande till magnituden av behandlingseffekten av nivolumab jämfört med prövarens val. Den här analysen visade att inte bara PD-L1 uttryck på tumörceller utan också PD-L1 uttryck på tumörassocierade immunceller (TAIC) verkar vara associerat med en fördel för nivolumab jämfört med prövarens val (se tabell 48). På grund av det låga antalet patienter i de olika subgrupperna och att analysen var exploratorisk, kan ingen definitiv slutsats dras från dessa data.
Tabell 48: Effekt per PD-L1-uttryck i tumörcell och TAIC (CA209141)
a Totalöverlevnad och progressionsfri överlevnad uppskattades genom Kaplan-Meier-metod.b Riskkvoten i varje subgrupp kommer från en Cox-proportionell riskmodell med behandling som den enda ko-variabeln.c Konfidensintervallet för total responsfrekvens beräknades genom Clopper-Pearson-metoden.d PD-L1+ TAIC i tumörens mikroomgivning utvärderades kvalitativt och karakteriserades som ”mycket”, ”mellan” och ”sällsynt” baserat på patologens bedömning. Grupperna ”mycket” och ”mellan” slogs ihop till en grupp med definitionen ”rikligt”.
Patienter med prövarbedömd primär orofarynxcancer testades med avseende på HPV (bestämd genom p16 immunhistokemi [IHC]). Fördelen i överlevnad sågs oavsett HPV-status (HPV-positiv: HR = 0,63; 95 % KI: 0,38, 1,04, HPV-negativ: HR = 0,64; 95 % KI: 0,40, 1,03 och HPV okänd: HR = 0,78; 95 % KI: 0,55; 1,10).
Patientrapporterade utfallsmått (PRO) utvärderas genom EORTC QLQ-C30, EORTC QLQ-H&N35 och nivå-3 EQ-5D. Under 15 veckors uppföljning hade patienter behandlade med nivolumab stabila patientrapporterade utfallsmått medan de som behandlades med prövarens val antingen uppvisade signifikant minskning av funktion (t.ex. fysisk, i sin roll, socialt) och hälsostatus såväl som ökade symtom (t.ex. trötthet, dyspné, minskad aptit, smärta, sensoriska problem, sociala kontaktproblem). Patientrapporterade utfallsmått ska med anledning av den öppna studiedesignen tolkas med försiktighet.
Avancerad urotelcellscancer
Adjuvant behandling av urotelcellscancer
Randomiserad fas 3‑studie med adjuvant nivolumab jämfört med placebo (CA209274)
Säkerhet och effekt av nivolumab monoterapi vid adjuvant behandling av urotelcellscancer utvärderades i en fas 3, randomiserad, placebokontrollerad, dubbelblind multicenterstudie (CA209274). Studien inkluderade patienter (18 år och äldre) som hade genomgått radikal resektion av muskelinvasiv urotelcellscancer (MIUC) härrörande från urinblåsan eller de övre urinvägarna (njurbäckenet eller urinledaren) med hög risk för återfall. De patologiska kriterierna för indelning i stadier av MIUC som definierar högriskpatienter var ypT2‑ypT4a eller ypN+ för vuxna patienter som fick neoadjuvant behandling med cisplatinkemoterapi, och pT3‑pT4a eller pN+ för vuxna patienter som inte fick neoadjuvant behandling med cisplatinkemoterapi och som inte var lämpade för eller vägrade adjuvant cisplatinkemoterapi. Studien inkluderade patienter som hade en ECOG performance‑status på 0 eller 1 (en ECOG performance‑status på 2 var tillåten för patienter som inte var lämpade för neoadjuvant cisplatinkemoterapi), oavsett PD‑L1‑status. Tumörcellsuttryck av PD‑L1 fastställdes genom att använda testet PD‑L1 IHC 28‑8 pharmDx. Studien exkluderade patienter med aktiv, känd eller misstänkt autoimmun sjukdom, patienter som fick behandling med någon kemoterapi, strålbehandling, biologiska läkemedel mot cancer, intravesikal behandling eller studiebehandling inom 28 dagar före första administreringen av studieläkemedlet.
Totalt 709 patienter randomiserades till att få antingen nivolumab 240 mg (n = 353) varannan vecka eller placebo (n = 356) varannan vecka fram till återfall eller oacceptabel toxicitet under en maximal behandlingsperiod på ett år. Av dessa hade 282 patienter tumörcellsuttryck av PD‑L1 ≥ 1 %; 140 i nivolumab-armen och 142 i placeboarmen. Randomisering stratifierades med avseende på patologisk nodal status (N+ jämfört med N0/x med < 10 noder borttagna jämfört med N0 med ≥ 10 noder borttagna), tumörcellsuttryck av PD‑L1 (≥ 1 % jämfört med < 1 %/obestämbar) och användning av neoadjuvant cisplatinkemoterapi. Radiologisk tumörutvärdering utfördes var 12:e vecka från datumet för den första dosen till vecka 96, sedan var 16:e vecka från vecka 96 till vecka 160, sedan var 24:e vecka fram till återfall utanför urinvägarna eller tills behandlingen avbröts (vilket som inträffade sist) i högst 5 år. De primära effektmåtten var sjukdomsfri överlevnad (DFS) för alla randomiserade patienter och sjukdomsfri överlevnad för randomiserade patienter med tumörcellsuttryck av PD‑L1 ≥ 1 %. Sjukdomsfri överlevnad definierades som tiden mellan datumet för randomisering och datumet för det första dokumenterade prövarbedömda återfallet (lokalt i urinvägarna, lokalt utanför urinvägarna eller distalt) eller död (oavsett orsak), vilket som inträffade först. Sekundära effektmått inkluderade totalöverlevnad (OS).
Karakteristika vid studiestart var generellt sett balanserade mellan de olika behandlingsgrupperna. Hos patienter med tumörcellsuttryck av PD‑L1 ≥ 1 % var medianåldern 66 år (intervall: 34–92 år), 76 % var män och 76 % var vita. Åttiotvå procent hade muskelinvasiv blåscancer (MIBC), 18 % hade urotelcellscancer i övre urinvägarna (UTUC) (njurbäcken och urinledare), 42 % av patienterna hade tidigare fått neoadjuvant cisplatinbehandling, 45 % av patienterna var N+ vid radikal resektion. Patienterna hade ECOG perfomance‑status på 0 (61 %), 1 (37 %) eller 2 (2 %), och 7 % av patienterna hade ett hemoglobin på < 10 g/dl.
Vid den förhandsspecificerade interimsanalysen hos patienter med tumörcellsuttryck av PD‑L1 ≥ 1 % (minsta uppföljningstid på 6,3 månader och medianuppföljningstid på 22,1 månader för nivolumab-armen), visade studien en statistiskt signifikant förbättring i sjukdomsfri överlevnad för patienter som randomiserades till nivolumab jämfört med placebo. Medianvärdet för sjukdomsfri överlevnad enligt prövarens bedömning uppnåddes inte (95 % KI: 21,19, ej uppnått) för nivolumab jämfört med 8,41 månader (95 % KI: 5,59, 21,19) för placebo, HR 0,55 (98,72 % KI: 0,35, 0,85), p‑värde = 0,0005. Den primära analysen av sjukdomsfri överlevnad inkluderade censurering för ny cancerbehandling. Resultaten för sjukdomsfri överlevnad med och utan censurering för ny cancerbehandling var överensstämmande.
I en uppdaterad deskriptiv analys av sjukdomsfri överlevnad hos patienter med tumörcellsuttryck av PD‑L1 ≥ 1 % (minsta uppföljningstid på 11,4 månader och medianuppföljningstid på 25,5 månader för nivolumab-armen) bekräftades förbättring i sjukdomsfri överlevnad.
Effektresultat från denna deskriptiva analys visas i tabell 49 och figur 24.
Tabell 49: Effektresultat hos patienter med tumörcell PD‑L1 ≥ 1 % (CA209274)
Figur 24: Kaplan‑Meier‑kurvor för DFS hos patienter med tumörcellsuttryck av PD‑L1 ≥ 1 % (CA209274)
Förhandsspecificerade, exploratoriska, deskriptiva analyser av subgrupperna utfördes hos patienter baserat på tidigare neoadjuvant cisplatinbehandling.
I subgruppen av patienter med tumörcellsuttryck av PD‑L1 ≥ 1 % som tidigare fått neoadjuvant cisplatinbehandling (n = 118) var riskkvoten för sjukdomsfri överlevnad 0,37 (95 % KI: 0,22, 0,64), där medianvärdet för sjukdomsfri överlevnad inte uppnåddes och var 8,41 månader för nivolumab‑ respektive placeboarmarna. I subgruppen av patienter med tumörcellsuttryck av PD‑L1 ≥ 1 % som inte tidigare fått neoadjuvant cisplatinbehandling (n = 164) var riskkvoten för sjukdomsfri överlevnad 0,69 (95 % KI: 0,44, 1,08) med ett medianvärde för sjukdomsfri överlevnad på 29,67 och 11,37 månader för nivolumab‑ respektive placeboarmarna.
Randomiserad, öppen fas 3‑studie med nivolumab i kombination med kemoterapi jämfört med kemoterapi (CA209901)
Säkerhet och effekt för nivolumab i kombination med cisplatin och gemcitabin följt av nivolumab som monoterapi utvärderades i en randomiserad, öppen studie, CA209901, av patienter lämpade för cisplatin med icke-resektabel eller metastaserande urotelcellscancer. I studien ingick patienter (18 år eller äldre) med histologiska eller cytologiska tecken på metastaserande eller kirurgiskt icke-resektabel övergångsepitelcancer i urotelet som involverade njurbäckenet, urinledaren, urinblåsan eller urinröret och som var lämpade för cisplatin och gemcitabin. Mindre histologiska varianter (< 50 % totalt) var acceptabla (övergångsepitelcancer skulle vara den dominerande histologin). Patienterna skulle ha mätbar sjukdom med datortomografi (DT) eller magnetresonanstomografi (MR) enligt RECIST 1.1-kriterierna. Ingen tidigare systemisk cancerbehandling mot metastaserande eller kirurgiskt icke-resektabel urotelcellscancer var tillåten. Tidigare neoadjuvant kemoterapi eller tidigare adjuvant platinabaserad kemoterapi efter radikal cystektomi var tillåten förutsatt att ett sjukdomsåterfall hade inträffat ≥ 12 månader efter avslutad behandling. Tidigare intravesikal behandling var tillåten om den hade genomförts minst 4 veckor innan studiebehandlingen påbörjades. Strålbehandling (med eller utan kemoterapi) med kurativt syfte var tillåten om behandlingen hade avslutats ≥ 12 månader före inklusion. Palliativ strålbehandling var tillåten förutsatt att den hade avslutats minst 2 veckor före behandlingen.
Totalt 608 patienter randomiserades till antingen nivolumab i kombination med cisplatin och gemcitabin (n = 304) eller cisplatin och gemcitabin (n = 304). Randomiseringen stratifierades med avseende på tumörens PD-L1-status (≥ 1 % jämfört med < 1 % eller obestämbar) och levermetastaser (ja jämfört med nej). Medianåldern var 65 år (intervall: 32 till 86), 51 % av patienterna var ≥ 65 år, 12 % var ≥ 75 år, 23 % var asiatiska, 72 % var vita, 0,3 % var svarta, 77 % var män och 23 % var kvinnor. Utgångsvärde för ECOG performance-status var 0 (53 %) eller 1 (46 %). Patienterna i gruppen som fick nivolumab i kombination med cisplatin och gemcitabin behandlades med 360 mg nivolumab var tredje vecka i kombination med cisplatin och gemcitabin i högst 6 cykler. Därefter fick patienterna 480 mg nivolumab som monoterapi var fjärde vecka i upp till 24 månader. Patienterna fick gemcitabin 1 000 mg/m2 intravenöst under 30 minuter dag 1 och 8 av varje 3‑veckors behandlingscykel och cisplatin 70 mg/m2 intravenöst under 30 till 120 minuter dag 1 av varje 3‑veckors behandlingscykel. Totalt 92 patienter (49 i gruppen som fick nivolumab i kombination med cisplatin och gemcitabin och 43 i gruppen som fick cisplatin och gemcitabin) bytte från cisplatin till karboplatin efter minst en behandlingscykel med cisplatin.
Studien visade en statistiskt signifikant fördel avseende totalöverlevnad (OS) och progressionsfri överlevnad (PFS) för patienterna som hade randomiserats till att få nivolumab i kombination med cisplatin och gemcitabin jämfört med enbart cisplatin och gemcitabin. Effektresultat visas i tabell 50 och figur 25 och 26.
Tabell 50: Effektresultat (CA209901)
Figur 26: Kaplan-Meier-kurvor för progressionsfri överlevnad (CA209901)
Den primära analysen av progressionsfri överlevnad inkluderade censurering för ny cancerbehandling före sjukdomsprogression (tabell 50). Resultaten för progressionsfri överlevnad med och utan censurering för ny cancerbehandling före sjukdomsprogression var konsekventa.
Öppen fas 2-studie (CA209275)
Säkerhet och effekt för nivolumab 3 mg/kg som monoterapi för behandling av patienter med lokalt avancerad eller metastaserande urotelcellscancer utvärderades i en öppen, enarmad, multicenter fas 2- studie (CA209275).
I studien ingick vuxna patienter (18 år eller äldre) som hade progredierat under eller efter behandling med platinainnehållande kemoterapi för avancerad eller metastaserad sjukdom eller som hade sjukdomsprogression inom 12 månader efter neoadjuvant eller adjuvant behandling med platinainnehållande kemoterapi. Patienterna hade en ECOG performance-status på 0 eller 1 och inkluderades oavsett tumörens PD-L1-status. Patienter med aktiva hjärnmetastaser eller leptomeningeala metastaser, aktiv autoimmun sjukdom eller medicinska tillstånd som kräver systemisk immunsuppression exkluderades från studien. Patienter som hade fått fler än två tidigare behandlingar med kemoterapi för levermetastaser exkluderades.
Totalt 270 patienter (som fick nivolumab 3 mg/kg administrerat intravenöst under 60 minuter varannan vecka) med en minsta uppföljningstid på 8,3 månader kunde utvärderas avseende effekt. Behandlingen fortsatte så länge klinisk nytta sågs eller till behandlingen inte längre tolererades. De första tumörutvärderingarna gjordes 8 veckor efter behandlingsstart och fortsatte var 8:e vecka i 48 veckor och därefter var 12:e vecka fram till sjukdomsprogression eller behandlingen avslutades, beroende på vilket som inträffade sist. Tumörutvärderingar fortgick efter att behandlingen satts ut hos patienter där behandlingen sattes ut av andra anledningar än sjukdomsprogression. Fortsatt behandling efter initial prövarbedömd progression enligt RECIST, version 1.1, tilläts om prövaren bedömde att patienten hade en klinisk nytta av eller inte hade snabb sjukdomsprogression samt tolererade nivolumab. Det primära effektmåttet var objektiv responsfrekvens enligt BICR. Ytterligare effektmått var varaktighet av respons, progressionsfri överlevnad och totalöverlevnad.
Medianåldern var 66 år (intervall: 38 till 90) med 55 % ≥ 65 år och 14 % ≥ 75 år. Majoriteten av patienterna var vita (86 %) och män (78 %). Utgångsvärde för ECOG performance-status var 0 (54 %) eller 1 (46 %).
Tabell 51: Effektresultat (CA209275)a
“+” anger att observationen är censurerad.
a mediantid för uppföljning 11,5 månader.
b Data är instabila på grund av begränsad varaktighet av respons.
c inkluderar 4 läkemedelsrelaterade dödsfall: 1 pneumonit, 1 akut andningssvikt, 1 andningssvikt och 1 hjärtsvikt.
NE: icke uppskattningsbar
Resultat från post-hoc, exploratoriska analyser indikerar att hos patienter med lågt (t.ex. < 1 %) eller inget uttryck av PD-L1 kan andra patientkarakteristika (t.ex. levermetastaser, viscerala metastaser, utgångsvärde för hemoglobin på < 10 g/dl och ECOG performance-status = 1) bidra till det kliniska resultatet.
Öppen fas 1/2-studie (CA209032)
CA209032 var en öppen, multikohort fas 1/2-studie som inkluderade en kohort på 78 patienter (inklusive 18 patienter som fick en planerad kombination med nivolumab 3 mg/kg plus ipilimumab 1 mg/kg vid crossover) med liknande inklusionskriterier som i studie CA209275 och behandling med nivolumab monoterapi 3 mg/kg för urotelcellscancer. Vid en minsta uppföljningstid på 9 månader, var den bekräftade, objektiva responsfrekvensen 24,4 % (95 % KI: 15,3, 35,4). Medianvärdet för varaktighet av respons uppnåddes inte (intervall: 4,4-16,6 månader). Medianvärdet för totalöverlevnad var 9,7 månader (95 % KI: 7,26, 16,16) och den uppskattade överlevnadsfrekvensen var 69,2 % (KI: 57,7, 78,2) vid 6 månader och 45,6 (KI: 34,2, 56,3) vid 12 månader.
dMMR eller MSI‑H kolorektalcancer
Öppen studie av nivolumab i kombination med ipilimumab jämfört med kemoterapi hos behandlingsnaiva patienter med dMMR eller MSI‑H kolorektalcancer vid metastaserad sjukdom
Säkerhet och effekt för nivolumab 240 mg i kombination med ipilimumab 1 mg/kg var tredje vecka i högst 4 doser, följt av 480 mg nivolumab som monoterapi var fjärde vecka som första linjens behandling av icke‑resektabel eller metastaserande kolorektalcancer med känd tumörstatus avseende MSI‑H eller dMMR utvärderades i en randomiserad, flerarmad, öppen fas 3‑studie (CA2098HW). Studiens behandlingsarmar bestod av nivolumab som monoterapi, nivolumab i kombination med ipilimumab eller prövarens val av kemoterapi. Tumörstatus avseende MSI‑H eller dMMR fastställdes i enlighet med lokal standardpraxis genom PCR-, NGS- eller IHC-analys. Central bedömning av MSI‑H-status med hjälp av PCR-test (Idylla MSI) och dMMR-status med hjälp av IHC-test (Omnis MMR) utfördes retrospektivt på de tumörprover från patienten som användes för lokal bedömning av MSI‑H/dMMR-status. Patienter med bekräftad MSI‑H/dMMR-status med något av de centrala testen utgjorde den primära effektpopulationen. Patienter med symtomatiska hjärnmetastaser, aktiv autoimmun sjukdom, som använde systemiska kortikosteroider eller immunsuppressiva läkemedel, eller som hade behandlats med checkpointhämmare exkluderades från studien. Randomiseringen stratifierades med avseende på tumörens placering (höger eller vänster). Patienter som randomiserades till kemoterapiarmen kunde få nivolumab plus ipilimumab i kombination vid progression bedömd enligt BICR.
Totalt 303 behandlingsnaiva patienter med metastaserande sjukdom randomiserades i studien, varav 202 patienter till nivolumab i kombination med ipilimumab och 101 patienter till kemoterapi. Av dem hade 255 centralt bekräftad MSI‑H/dMMR-status, varav 171 i armen nivolumab i kombination med ipilimumab och 84 i kemoterapiarmen. Patienterna i armen nivolumab plus ipilimumab fick nivolumab 240 mg var tredje vecka i kombination med ipilimumab 1 mg/kg var tredje vecka i högst 4 doser, följt av 480 mg nivolumab som monoterapi var fjärde vecka. Patienterna i kemoterapiarmen fick följande: mFOLFOX6 (oxaliplatin, leukovorin och fluorouracil) med eller utan antingen bevacizumab eller cetuximab: Oxaliplatin 85 mg/m2, leukovorin 400 mg/m2 och fluorouracil 400 mg/m2 som bolus följt av fluorouracil 2 400 mg/m2 under 46 timmar varannan vecka. Bevacizumab 5 mg/kg eller cetuximab 500 mg/m2 som gavs före mFOLFOX6 varannan vecka; eller FOLFIRI (irinotecan, leukovorin och fluorouracil) med eller utan antingen bevacizumab eller cetuximab: Irinotecan 180 mg/m2, leukovorin 400 mg/m2 och fluorouracil 400 mg/m2 som bolus och fluorouracil 2 400 mg/m2 under 46 timmar varannan vecka. Bevacizumab 5 mg/kg eller cetuximab 500 mg/m2 som gavs före FOLFIRI varannan vecka. Behandlingen fortsatte till sjukdomsprogression, oacceptabel toxicitet eller för nivolumab i kombination med ipilimumab upp till 24 månader. Patienter som avbröt kombinationsbehandling på grund av en biverkning tillskriven ipilimumab hade möjlighet att fortsätta med nivolumab som enda läkemedel. Tumörbedömningar enligt RECIST v1.1 utfördes var sjätte vecka under de första 24 veckorna, därefter var åttonde vecka fram till vecka 96, därefter var sextonde vecka fram till vecka 146 och därefter var tjugofjärde vecka.
Karakteristika vid studiestart för alla randomiserade patienter med tidigare obehandlad metastaserande sjukdom var följande: medianåldern var 63 år (intervall: 21 till 87), 46 % var ≥ 65 år och 18 % var ≥ 75 år; 46 % var män och 86 % var vita. ECOG performance status vid studiestart var 0 (54 %) och ≥ 1 (46 %); tumörplaceringen var höger sida eller vänster sida för 68 % respektive 32 % av patienterna och 39 patienter av de 223 patienterna med känd status hade bekräftat Lynchs syndrom. Karakteristika vid studiestart för patienter med tidigare obehandlad metastaserande sjukdom med centralt bekräftad MSI‑H/dMMR överensstämde med gruppen med alla randomiserade patienter med tidigare obehandlad sjukdom. Av de 101 patienter som randomiserades att få kemoterapi fick 88 kemoterapi enligt protokollet, inklusive behandling innehållande oxaliplatin (58 %) och behandling innehållande irinotecan (42 %). Dessutom fick 66 patienter ett riktat läkemedel, antingen bevacizumab (64 %) eller cetuximab (11 %).
Ett av studiens primära effektmått var BICR-bedömd progressionsfri överlevnad (PFS) enligt RECIST 1.1. Ytterligare effektmått var objektiv responsfrekvens (ORR) enligt BICR, totalöverlevnad (OS) och varaktighet av respons.
Studiens primära effektmått uppnåddes vid den planerade interimsanalysen och påvisade en statistiskt signifikant förbättring av progressionsfri överlevnad enligt BICR för patienter med centralt bekräftad MSIH/dMMR i armen nivolumab i kombination med ipilimumab jämfört med kemoterapiarmen. Resultaten för progressionsfri överlevnad enligt BICR visas i tabell 52 och figur 27. På grund av testhierarkin analyserades inte övriga effektmått, inklusive data från nivolumab monoterapiarmen, vid tidpunkten för interimsanalysen.
a Mediantid för uppföljning 31,5 månader (intervall: 6,1 till 48,4 månader).
b Baserad på ett stratifierat tvåsidigt log‑rank-test
Figur 27: Kaplan‑Meier-kurva för progressionsfri överlevnad hos första linjens patienter med centralt bekräftad MSI‑H/dMMR kolorektalcancer (CA2098HW)
—+— Nivolumab + ipilimumab (händelser: 48/171), median och 95 % KI: ej tillämpbart (38,44, ej tillämpbart)
---О--- Kemoterapi (händelser: 52/84), median och 95 % KI: 5,85 (4,37, 7,79)
Öppen studie av nivolumab i kombination med ipilimumab vid dMMR eller MSI‑H kolorektalcancer hos patienter som tidigare har fått fluoropyrimidinbaserad kemoterapi i kombination
Säkerhet och effekt för nivolumab 3 mg/kg i kombination med ipilimumab 1 mg/kg för behandling av metastaserande dMMR eller MSI‑H kolorektalcancer utvärderades i en öppen, enarmad, multicenter fas 2-studie (CA209142).
Studien inkluderade patienter (18 år eller äldre) med lokalt bestämd dMMR‑ eller MSI‑H‑status, som hade sjukdomsprogression under eller efter, eller var intoleranta mot, tidigare behandling med fluoropyrimidin och oxaliplatin eller irinotekan. Patienter som hade fått sin senaste föregående behandling som adjuvant behandling skulle ha progredierat vid eller inom 6 månader efter avslutad adjuvant kemoterapi. Patienterna hade en ECOG performance-status på 0 eller 1 och inkluderades oavsett tumörens PD‑L1‑status. Patienter med aktiva hjärnmetastaser, aktiv autoimmun sjukdom eller medicinska tillstånd som kräver systemisk immunsuppression exkluderades från studien.
Totalt 119 patienter behandlades med nivolumab 3 mg/kg administrerat intravenöst under 60 minuter i kombination med ipilimumab 1 mg/kg administrerat intravenöst under 90 minuter var 3:e vecka i 4 doser följt av nivolumab monoterapi 3 mg/kg varannan vecka. Behandlingen fortsatte så länge klinisk nytta sågs eller tills behandlingen inte längre tolererades. Tumörutvärdering enligt RECIST version 1.1 utfördes var 6:e vecka de första 24 veckorna och därefter var 12:e vecka. Det primära effektmåttet var prövarbedömd objektiv responsfrekvens (ORR). Sekundärt effektmått var objektiv responsfrekvens enligt BICR och grad av sjukdomskontroll. Analysen av objektiv responsfrekvens inkluderade varaktighet av och tid till respons. Explorativa effektmått inkluderade progressionsfri överlevnad (PFS) och totalöverlevnad (OS).
Medianåldern var 58 år (intervall: 21‑88) med 32 % ≥ 65 år och 9 % ≥ 75 år, 59 % var män och 92 % var vita. Utgångsvärde för ECOG performance-status var 0 (45 %) eller 1 (55 %), 25 % av patienterna hade BRAF‑mutationer, 37 % hade KRAS‑mutationer och 12 % var okända. Av de 119 behandlade patienterna hade 109 fått tidigare fluoropyrimidinbaserad kemoterapi för metastaserande sjukdom och 9 som adjuvant behandling. Av de 119 behandlade patienterna hade 118 (99 %) fått fluorouracil, 111 (93 %) hade fått oxaliplatin och 87 (73 %) hade fått irinotekan som del av tidigare behandlingar, innan de inkluderades i studien. Åttiotvå patienter (69 %) hade fått tidigare behandling med fluoropyrimidin, oxaliplatin och irinotekan. Tjugotre procent, 36 %, 24 % respektive 16 % hade fått 1, 2, 3, 4 eller fler tidigare behandlingar och 29 % av patienterna hade fått en EGFR‑hämmare.
Effektresultat (minsta uppföljningstid 46,9 månader, median uppföljningstid 51,1 månader) visas i tabell 53.
Tabell 53: Effektresultat (CA209142)*
* Prövarbedömd
“+” Anger att observationen är censurerad
Den objektiva responsfrekvensen enligt BICR var 61,3 % (95% KI: 52,0, 70,1), med komplett respons hos 20,2 % (95 % KI: 13,4, 28,5), partiell respons hos 41,2 % (95 % KI: 32,2, 50,6) och stabil sjukdom hos 22,7 %. Bedömningar enligt BICR överensstämde i allmänhet med prövarens bedömning. Bekräftade responser observerades oavsett BRAF‑ eller KRAS‑mutationsstatus och nivåer av tumöruttryck av PD‑L1.
Av 119 patienter var 11 patienter (9,2 %) ≥ 75 år. Den prövarbedömda objektiva responsfrekvensen hos patienter ≥ 75 år var 45,5 % (95 % KI: 16,7, 76,6).
Esofaguscancer av skivepiteltyp
Randomiserad fas 3-studie med nivolumab i kombination med ipilimumab jämfört med kemoterapi och nivolumab i kombination med kemoterapi jämfört med kemoterapi som första linjens behandling (CA209648)
Säkerhet och effekt av nivolumab i kombination med ipilimumab och nivolumab i kombination med kemoterapi utvärderades i en randomiserad, öppen studie med aktiv kontroll (CA209648). Studien inkluderade vuxna patienter (18 år och äldre) med tidigare obehandlad, icke-resektabel avancerad återkommande eller metastaserande esofaguscancer av skivepiteltyp. Patienterna inkluderades oavsett tumörens PD‑L1‑status, och PD‑L1 tumörcellsuttryck fastställdes genom att använda testet PD‑L1 IHC 28‑8 pharmDx. Patienterna skulle ha esofaguscancer av skivepiteltyp eller adenoskvamös esofaguscancer som inte var mottaglig för kemoradioterapi och/eller kirurgi. Tidigare adjuvant, neoadjuvant eller slutgiltig kemoterapi, radioterapi eller kemoradioterapi var tillåten om den gavs som del av en regim med kurativt syfte före inklusion i studien. Patienter med nedsatt allmäntillstånd (performance-status ≥ 2), symtomatiska hjärnmetastaser, aktiv autoimmun sjukdom, som använde systemiska kortikosteroider eller immunsuppressiva läkemedel, eller patienter med hög risk för blödning eller fistlar på grund av tydlig tumörinvasion i organ intill den esofageala tumören, exkluderades från studien. Randomiseringen stratifierades med avseende på tumörens PD‑L1-status (≥ 1 % jämfört med < 1 % eller obestämbar), region (Ostasien jämfört med övriga Asien jämfört med övriga världen), ECOG performance-status (0 jämfört med 1) och antal organ med metastaser (≤1 jämfört med ≥2).
Totalt 970 patienter randomiserades till att få antingen nivolumab i kombination med ipilimumab (n = 325), nivolumab i kombination med kemoterapi (n = 321) eller kemoterapi (n = 324). Av dessa hade 473 patienter tumörcellsuttryck av PD‑L1 ≥ 1 %, 158 i nivolumab- plus ipilimumab-armen, 158 i nivolumab- plus kemoterapiarmen och 157 i kemoterapiarmen. Patienterna i nivolumab- plus ipilimumab-armen fick nivolumab 3 mg/kg varannan vecka i kombination med ipilimumab 1 mg/kg var sjätte vecka, och patienterna i nivolumab- plus kemoterapiarmen fick nivolumab 240 mg varannan vecka dag 1 och 15, fluorouracil 800 mg/m2/dag intravenöst dag 1 till 5 (i 5 dagar), och cisplatin 80 mg/m2 intravenöst dag 1 (i en 4-veckorscykel). Patienterna i kemoterapiarmen fick fluorouracil 800 mg/m2/dag intravenöst dag 1 till 5 (i 5 dagar) och cisplatin 80 mg/m2 intravenöst dag 1 (i en 4‑veckorscykel). Behandling fortsatte fram till sjukdomsprogression, oacceptabel toxicitet eller upp till 24 månader. Patienterna i nivolumab- plus ipilimumab-armen som avbröt kombinationsbehandlingen på grund av en biverkning tillskriven ipilimumab, tilläts att fortsätta med nivolumab som enda läkemedel. Patienterna i nivolumab- plus kemoterapiarmen, för vilka behandling med antingen fluorouracil och/eller cisplatin avbröts, tilläts att fortsätta behandlingen med andra komponenter av behandlingsregimen.
Karakteristika vid studiestart var generellt sett balanserade mellan de olika behandlingsgrupperna. Hos patienter med tumörcellsuttryck av PD‑L1 ≥ 1 % var medianåldern 63 år (intervall: 26–85), 8,2 % var ≥ 75 år, 81,8 % var män, 73,1 % var asiater och 23,3 % var vita. Patienterna hade histologiskt bekräftad esofaguscancer av skivepiteltyp (98,9 %) eller adenoskvamös esofaguscancer (1,1 %). ECOG performance-status vid studiestart var 0 (45,2 %) eller 1 (54,8 %).
Nivolumab i kombination med ipilimumab jämfört med kemoterapi
De primära effektmåtten var progressionsfri överlevnad (PFS) (enligt BICR) och totalöverlevnad (OS) utvärderade hos patienter med tumörcellsuttryck av PD‑L1 ≥ 1 %. Sekundära effektmått enligt förhandsspecificerad hierarkisk testning inkluderade totalöverlevnad, progressionsfri överlevnad (enligt BICR) och objektiv responsfrekvens (ORR) (enligt BICR) hos alla randomiserade patienter. Tumörbedömningen enligt RECIST v1.1 utfördes var sjätte vecka fram till och med vecka 48, därefter var tolfte vecka.
Vid den primära förhandsspecificerade analysen med en minsta uppföljningstid på 13,1 månader visade studien en statistiskt signifikant förbättring i totalöverlevnad hos patienter med tumörcellsuttryck av PD‑L1 ≥ 1 %. Effektresultaten visas i tabell 54.
Tabell 54: Effektresultat hos patienter med tumörcellsuttryck av PD‑L1 ≥ 1 % (CA209648)
a Fluorouracil och cisplatin.
b Baserad på en stratifierad Cox-proportionell riskmodell.
c Baserad på ett stratifierat tvåsidigt log-rank test.
d Baserad på Kaplan-Meier-uppskattningar.
e Bedömd enligt BICR.
Vid en uppdaterad deskriptiv analys med en minsta uppföljningstid på 20 månader var förbättring i totalöverlevnad överensstämmande med den primära analysen. Medianvärdet för totalöverlevnad var 13,70 månader (95 % KI: 11,24, 17,41) för nivolumab plus ipilimumab jämfört med 9,07 månader (95 % KI: 7,69, 10,02) för kemoterapi (HR = 0,63; 95 % KI: 0,49, 0,82). Medianvärdet för progressionsfri överlevnad var 4,04 månader (95 % KI: 2,40, 4,93) för nivolumab plus ipilimumab jämfört med 4,44 månader (95 % KI: 2,89, 5,82) för kemoterapi (HR = 1,02; 95 % KI: 0,77, 1,34). Den objektiva responsfrekvensen var 35,4 % (95 % KI: 28,0, 43,4) för nivolumab plus ipilimumab jämfört med 19,7 % (95 % KI: 13,8, 26,8) för kemoterapi.
Kaplan-Meier-kurvorna för totalöverlevnad med en minsta uppföljningstid på 20 månader visas i figur 28.
Figur 28: Kaplan-Meier-kurvor för totalöverlevnad hos patienter med tumörcellsuttryck av PD‑L1 ≥ 1% (CA209648)
Nivolumab i kombination med kemoterapi jämfört med kemoterapi
De primära effektmåtten var progressionsfri överlevnad (PFS) (enligt BICR) och totalöverlevnad (OS) hos patienter med tumörcellsuttryck av PD‑L1 ≥ 1 %. Sekundära effektmått enligt förhandsspecificerad hierarkisk testning inkluderade totalöverlevnad, progressionsfri överlevnad (enligt BICR) och objektiv responsfrekvens (ORR) (enligt BICR) hos alla randomiserade patienter. Tumörbedömningen enligt RECIST v1.1 utfördes var sjätte vecka fram till och med vecka 48, därefter var tolfte vecka.
Vid den förhandsspecificerade analysen med en minsta uppföljningstid på 12,9 månader visade studien en statistiskt signifikant förbättring i totalöverlevnad och progressionsfri överlevnad hos patienter med tumörcellsuttryck av PD‑L1 ≥ 1 %. Effektresultaten visas i tabell 55.
Tabell 55: Effektresultat hos patienter med tumörcellsuttryck av PD‑L1 ≥ 1 % (CA209648)
a Fluorouracil och cisplatin.
b Baserad på en stratifierad Cox-proportionell riskmodell.
c Baserad på ett stratifierat tvåsidigt log-rank test.
d Baserad på Kaplan-Meier-uppskattningar.
e Bedömd enligt BICR.
Vid en uppdaterad deskriptiv analys med en minsta uppföljningstid på 20 månader var förbättring i totalöverlevnad överensstämmande med den primära analysen. Medianvärdet för totalöverlevnad var 15,05 månader (95 % KI: 11,93, 18,63) för nivolumab plus kemoterapi jämfört med 9,07 månader (95 % KI: 7,69, 10,02) för kemoterapi (HR = 0,59; 95 % KI: 0,46, 0,76). Medianvärdet för progressionsfri överlevnad var 6,93 månader (95 % KI: 5,68, 8,35) för nivolumab plus kemoterapi jämfört med 4,44 månader (95 % KI: 2,89, 5,82) för kemoterapi (HR = 0,66; 95 % KI: 0,50, 0,87). Den objektiva responsfrekvensen var 53,2 % (95 % KI: 45,1, 61,1) för nivolumab plus kemoterapi jämfört med 19,7 % (95 % KI: 13,8, 26,8) för kemoterapi.
Kaplan-Meier-kurvorna för totalöverlevnad och progressionsfri överlevnad med en minsta uppföljningstid på 20 månader visas i figur 29 och 30.
Figur 30: Kaplan-Meier-kurvor för progressionsfri överlevnad hos patienter med tumörcellsuttryck av PD‑L1 ≥ 1% (CA209648)
Randomiserad fas 3‑studie med nivolumab monoterapi i tidigare behandlade patienter (ONO‑4538‑24/ CA209473)
Säkerhet och effekt för nivolumab 240 mg som monoterapi för behandling av icke‑resektabel avancerad, återkommande eller metastaserande esofaguscancer av skivepiteltyp (OSCC) utvärderades i en randomiserad, aktivt kontrollerad, öppen fas 3‑studie (ONO‑4538‑24/CA209473). Studien inkluderade vuxna patienter (20 år eller äldre) som inte tolererade eller var refraktära mot minst en fluoropyrimidin‑ och platinabaserad kombinationsbehandling, och patienter enrollerades oavsett tumöruttryck av PD‑L1. Patienter som var refraktära mot eller inte tolererade behandling med taxaner, hade hjärnmetastaser som var symptomatiska eller krävde behandling, hade aktiv autoimmun sjukdom, medicinska tillstånd som krävde systemisk immunosupprimerande behandling, och patienter med tydlig tumörinvasion i esofagus intilliggande organ (till exempel aortan eller luftvägarna), exkluderades från studien.
Totalt randomiserades 419 patienter 1:1 till att antingen få nivolumab 240 mg administrerad intravenöst under 30 minuter varannan vecka (n = 210) eller prövarens val av kemoterapi med taxan: antingen docetaxel (n = 65) 75 mg/m2 intravenöst var tredje vecka, eller paclitaxel (n = 144) 100 mg/m2 intravenöst en gång per vecka i sex veckor följt av en veckas uppehåll. Randomiseringen stratifierades med avseende på lokalisering (Japan jämfört med övriga världen), antal organ med metastaser (≤ 1 jämfört med ≥ 2) och tumöruttryck av PD‑L1 (≥ 1 % jämfört med < 1 % eller obestämbar). Behandlingen fortsatte till sjukdomsprogression, utvärderad av prövaren enligt RECIST version 1.1, eller oacceptabel toxicitet. Tumörutvärderingar genomfördes var sjätte vecka under ett år, och därefter var tolfte vecka. Fortsatt behandling efter initial prövarbedömd progression tilläts hos patienter som fick nivolumab utan snabb progression, hade prövarutvärderad nytta av behandlingen, tolererade behandlingen, hade stabilt allmäntillstånd (performance‑status), och där behandling efter progression inte skulle fördröja en förestående intervention för att förhindra allvarliga komplikationer associerade med sjukdomsprogression (till exempel hjärnmetastaser). Primärt effektmått var totalöverlevnad (OS). De viktigaste sekundära effektmåtten var prövarutvärderad objektiv responsfrekvens (ORR) och progressionsfri överlevnad (PFS). Ytterligare förhandsspecificerade subgruppsanalyser genomfördes för att utvärdera effekten av tumörens PD‑L1‑uttryck vid en förhandsdefinierad nivå på 1 %. Tumörens PD‑L1‑uttryck fastställdes med PD‑L1 IHC 28‑8 pharmDx‑analys.
Patientkarakteristika vid studiestart var likvärdiga mellan de två grupperna. Medianåldern var 65 år (intervall: 33–87), 53 % var ≥ 65 år gamla, 10 % var ≥ 75 år, 87 % var män, 96 % hade asiatiskt ursprung och 4 % var vita. ECOG performance‑status vid studiestart var 0 (50 %) eller 1 (50 %).
Med en minsta uppföljning på 17,6 månader, visade studien en statistiskt signifikant förbättring i totalöverlevnad hos patienter randomiserade till nivolumab jämfört med prövarens val av kemoterapi med taxan. Effektresultaten visas i tabell 56 och figur 31.
En högre andel patienter dog inom de första 2,5 månaderna i nivolumab-armen (32/210, 15,2 %) jämfört med kemoterapiarmen (15/209, 7,2 %). Ingen specifik faktor associerad med tidig död kunde identifieras.
Tabell 56: Effektresultat (ONO‑4538‑24/CA209473)
Figur 31: Kaplan Meier‑kurvor för totalöverlevnad (ONO‑4538‑24/CA209473)
Av de 419 patienterna, hade 48 % PD‑L1‑uttryck ≥ 1 % i tumören. De återstående 52 % av patienterna hade PD‑L1‑uttryck < 1 % i tumören. Riskkvoten (HR) för totalöverlevnad var 0,69 (95 % KI: 0,51, 0,94) med mediantid för överlevnad på 10,9 månader för nivolumab-armen respektive 8,1 månader för armen med prövarens val av kemoterapi med taxan i subgruppen med PD‑L1‑positiv tumör. I subgruppen med esofaguscancer av skivepiteltyp med PD‑L1‑negativ tumör, var riskkvoten för totalöverlevnad 0,84 (95 % KI: 0,62, 1,14) med mediantid för överlevnad 10,9 månader för nivolumab-armen respektive 9,3 månader för kemoterapiarmen.
Adjuvant behandling av esofaguscancer eller cancer i gastroesofageala övergången
Säkerhet och effekt för nivolumab som monoterapi för adjuvant behandling av esofaguscancer eller cancer i gastroesofageala övergången utvärderades i en multicenter, randomiserad, placebokontrollerad, dubbelblind fas 3-studie (CA209577). Studien inkluderade vuxna patienter som fått kemoradioterapi (KRT), följt av komplett kirurgisk carcinomresektion inom 16 veckor före randomiseringen, och som hade kvarstående patologisk sjukdom bekräftad av prövaren med minst ypN1 eller ypT1. Patienter med nedsatt allmäntillstånd (performance-status ≥ 2), som inte fick samtidig kemoradioterapi (KRT) före operation, med stadium IV resektabel sjukdom, aktiv autoimmun sjukdom eller medicinska tillstånd som krävde systemisk immunsuppressiv behandling exkluderades från studien. Patienterna inkluderas oavsett PD-L1-uttryck i tumören.
Totalt randomiserades 794 patienter 2:1 till att antingen få nivolumab 240 mg (n = 532) eller placebo (n =262). Patienterna fick nivolumab administrerad intravenöst under 30 minuter varannan vecka i 16 veckor följt av 480 mg som infusion under 30 minuter var fjärde vecka, med start vecka 17. Patienter administrerades placebo under 30 minuter med samma doseringsintervall som för nivolumab. Randomiseringen stratifierades med avseende på tumöruttryck av PD-L1 (≥ 1 % jämfört med < 1 % eller obestämbar eller icke utvärderbar), patologisk lymfkörtelstatus (positiv ≥ ypN1 jämfört med negativ ypN0) och histologi (skivepitelcarcinom jämfört med adenocarcinom). Behandlingen fortsatte till sjukdomåterfall, oacceptabel toxicitet eller som längst 1 år. Primärt effektmått var sjukdomsfri överlevnad (DFS) utvärderad av prövare, definierad som tiden mellan randomiseringsdatumet och datumet för första återfallet (lokalt, regionalt eller distalt från den primära resektionspunkten) eller död oavsett orsak, beroende på vilket som inträffade först. Patienter under behandling fick genomgå scanning för tumöråterfall var 12:e vecka under 2 år och minst en scanning var 6:e till 12:e månad år 3 till 5.
Karakteristika vid studiestart var likvärdiga mellan de två grupperna. Medianåldern var 62 år (intervall: 26‑86), 36 % var ≥ 65 år gamla och 5 % var ≥ 75 år. Majoriteten av patienterna var vita (82 %) och män (85 %). ECOG performance-status vid studiestart var 0 (58 %) eller 1 (42 %).
En primär förhandsspecificerad interimsanalys (minsta uppföljningstid 6,2 månader, median uppföljningstid 24,4 månader), visade på en statistiskt signifikant förbättring i sjukdomsfri överlevnad för patienter som randomiserats till nivolumab jämfört med placebo. Median sjukdomsfri överlevnad, bestämd av prövaren, var 22,41 månader (95 % KI: 16,62, 34,00) för nivolumab jämfört med 11,04 månader (95 % KI: 8,34, 14,32) för placebo, riskkvot 0,69 (96,4 % KI: 0,56, 0,86), p‑värde < 0,0003. Primär analys av sjukdomsfri överlevnad inkluderade censurering för ny cancerbehandling. Resultaten för sjukdomsfri överlevnad med eller utan censurering för ny cancerbehandling var konsekventa. I en uppdaterad deskriptiv analys av sjukdomsfri överlevnad med minsta uppföljningstid på 14 månader och en median uppföljningstid på 32,2 månader, bekräftades förbättringen av sjukdomsfri överlevnad. Effektresultat för denna deskriptiva sekundära analysen visas i tabell 57 och figur 32.
Tabell 57: Effektresultat (CA209577)
a Baserad på alla randomiserade patienter.
b Baserad på en stratifierad cox proportionalitets riskmodell.
c Deskriptiv analys baserad på data cut-off 18 februari 2021.
Figur 32: Kaplan Meier-kurvor för sjukdomsfri överlevnad (CA209577)
Vid den slutliga OS-analysen med en minsta uppföljningstid på 60 månader var HR för OS 0,85 (95,87 % KI: 0,70, 1,04), p‑värde = 0,1064. Median-OS var 51,71 (95 % KI: 41,03, 61,63) månader i nivolumab-armen jämfört med 35,25 (95 % KI: 30,72, 48,76) månader i placeboarmen. Kaplan‑Meier‑kurvorna för totalöverlevnad med en minsta uppföljningstid på 60 månader visas i figur 33.
Figur 33: Kaplan‑Meier-kurvor för totalöverlevnad (CA209577)
Adenocarcinom i ventrikeln, gastroesofageala övergången eller esofagus
Säkerhet och effekt för nivolumab 240 mg varannan vecka eller 360 mg var tredje vecka i kombination med kemoterapi (dos och doseringsschema för nivolumab valdes beroende på vilken kemoterapi‑regim som användes, se nedan) utvärderades i en öppen, randomiserad, fas 3‑studie (CA209649). Studien inkluderade vuxna patienter (18 år eller äldre) med tidigare obehandlat, avancerat eller metastaserande adenocarcinom i ventrikeln, gastroesofageala övergången (GEJ) eller esofagus, utan tidigare systemisk behandling (inklusive HER2‑hämmare), och med ECOG performance‑status på 0 eller 1. Patienterna inkluderades oavsett tumörens PD‑L1‑status, och tumörcellsuttryck av PD‑L1 fastställdes genom att använda testet PD‑L1 IHC 28‑8 pharmDx. En retrospektiv omvärdering av en patients PD‑L1‑status för tumören enligt CPS genomfördes med hjälp av de PD‑L1‑infärgade tumörproverna som användes vid randomisering. Patienter med kända HER2‑positiva tumörer, ECOG performance‑status ≥ 2 vid studiestart, obehandlade metastaser i centrala nervsystemet eller aktiv, känd eller misstänkt, autoimmun sjukdom eller medicinska tillstånd som krävde systemisk immunsuppressiv behandling exkluderades från studien. Totalt inkluderades 643 patienter med obestämd HER2‑status (40,3 % av studiepopulationen) i studien. Randomiseringen stratifierades med avseende på PD‑L1-status för tumörcellen (≥ 1 % jämfört med < 1 % eller obestämd), region (Asien jämfört med USA jämfört med övriga världen), ECOG performance‑status (0 jämfört med 1), och kemoterapi‑regim. Kemoterapi bestod av FOLFOX (fluorouracil, leukovorin och oxaliplatin) eller CapeOX (kapecitabin och oxaliplatin).
Totalt randomiserades 1581 patienter till att få antingen nivolumab i kombination med kemoterapi eller kemoterapi. Av dessa hade 955 patienter PD‑L1 CPS ≥ 5; 473 i kombinationsarmen (nivolumab plus kemoterapi) och 482 i kemoterapiarmen. Patienter i armen som fick nivolumab plus kemoterapi fick antingen 240 mg nivolumab som en intravenös infusion under 30 minuter i kombination med FOLFOX (oxaliplatin 85 mg/m2, leukovorin 400 mg/m2 och fluorouracil 400 mg/m2 intravenöst på dag 1 och fluorouracil 1200 mg/m2 intravenöst som en kontinuerlig infusion under 24 timmar dagligen eller enligt lokal standard på dag 1 och 2) varannan vecka, eller 360 mg nivolumab administrerat som en intravenös infusion under 30 minuter i kombination med CapeOX (oxaliplatin 130 mg/m2 intravenöst på dag 1 och kapecitabin 1000 mg/m2 oralt två gånger dagligen på dag 1‑14) var tredje vecka. Behandlingen fortsatte fram till sjukdomsprogression, oacceptabel toxicitet eller i upp till 24 månader för nivolumab enbart. Hos patienter som fick nivolumab plus kemoterapi, och hos vilka behandling med kemoterapi avbröts, fick monoterapi med nivolumab ges med 240 mg varannan vecka, 360 mg var tredje vecka eller 480 mg var fjärde vecka upp till 24 månader efter behandlingsstart. Tumörutvärderingar genomfördes var sjätte vecka fram till och inklusive vecka 48, därefter var 12:e vecka.
Karakteristika vid studiestart var generellt sett balanserade mellan de olika behandlingsgrupperna. Hos patienter med PD‑L1 CPS ≥ 5 var medianåldern 62 år (intervall: 18‑90), 11 % var ≥ 75 år gamla, 71 % var män, 25 % var asiater och 69 % var vita. ECOG performance-status vid studiestart var 0 (42 %) eller 1 (58 %). Tumörplacering fördelades som adenocarcinom i ventrikeln (70 %), GEJ (18 %) och esofagus (12 %).
Primärt effektmått var progressionsfri överlevnad (PFS) (enligt BICR) och totalöverlevnad (OS) utvärderat för patienter med PD-L1 CPS ≥ 5 baserat på PD-L1 IHC 28-8 pharmDx. Sekundära effektmått enligt den förhandsspecificerade hierarkiska testningen var totalöverlevnad för patienter med PD-L1 CPS ≥ 1 och för alla randomiserade patienter; ytterligare effektmått inkluderade objektiv responsfrekvens (ORR) (BICR) för patienter med PD-L1 CPS ≥ 5 och för alla randomiserade patienter. Vid den primära förhandsspecificerade analysen, med en minsta uppföljningstid på 12,1 månader, visade studien en statistiskt signifikant förbättring i totalöverlevnad och progressionsfri överlevnad för patienter med PD L1 CPS ≥ 5. Medianvärdet för totalöverlevnad var 14,4 månader (95 % KI: 13,1, 16,2) för nivolumab i kombination med kemoterapi jämfört med 11,1 månader (95 % KI: 10,0, 12,1) för kemoterapi (HR = 0,71; 98,4 % KI: 0,59, 0,86; p‑värde < 0,0001). Medianvärdet för progressionsfri överlevnad var 7,69 månader (95 % KI: 7,03, 9,17) för nivolumab i kombination med kemoterapi jämfört med 6,05 månader (95 % KI: 5,55, 6,90) för kemoterapi (HR = 0,68; 98 % KI: 0,56, 0,81; p‑värde < 0,0001). Objektiv responsfrekvens var 60 % (95 % KI: 55, 65) för nivolumab i kombination med kemoterapi jämfört med 45 % (95 % KI: 40, 50) för kemoterapi.
I en uppdaterad deskriptiv analys med en minsta uppföljningstid på 19,4 månader var förbättring i totalöverlevnad överensstämmande med den primära analysen. Effektresultat visas i tabell 58 och figur 34 och 35.
a Deskriptiv analys baserad på data cut-off 4 januari 2021.
b Baserad på stratifierad cox proportionalitets riskmodell.
c Kaplan-Meier‑uppskattning.
d Bekräftad enligt BICR.
e Baserad på patienter med mätbar sjukdom vid studiestart.
Figur 34: Kaplan‑Meier-kurvor för totalöverlevnad hos patienter med PD‑L1 CPS ≥ 5 (CA209649)
Hepatocellulärt karcinom
Säkerhet och effekt för nivolumab 1 mg/kg i kombination med ipilimumab 3 mg/kg var tredje vecka i högst 4 doser, följt av 480 mg nivolumab som monoterapi var fjärde vecka som första linjens behandling av icke‑resektabelt eller avancerat hepatocellulärt karcinom (HCC) utvärderades i en randomiserad, aktivt kontrollerad, öppen fas 3‑studie (CA2099DW). I studien ingick vuxna patienter (18 år eller äldre) med histologiskt bekräftad HCC, Child-Pugh-klass A, ECOG performance-status 0 eller 1 och ingen tidigare systemisk behandling för framskriden sjukdom. Esofagogastroduodenoskopi var inte obligatorisk före inklusion i studien. I studien ingick vuxna med sjukdom som inte var mottaglig för eller fortskred efter kirurgisk och/eller lokoregional behandling. Tidigare neoadjuvant eller adjuvant systemisk behandling var tillåten. Patienter med aktiv autoimmun sjukdom, hjärn- eller leptomeningeala metastaser, tidigare genomgången levertransplantation, en historik av leverencefalopati (inom 12 månader från randomiseringen), kliniskt signifikant ascites, medicinska tillstånd som krävde systemisk immunsuppressiv behandling, HIV-infektion eller samtidig aktiv infektion med hepatit B-virus (HBV) och hepatit C-virus (HCV) eller HBV- och hepatit D-virus (HDV) exkluderades från studien. Randomiseringen stratifierades enligt etiologi (HBV, HCV eller ickeviral), makrovaskulär invasion eller extrahepatisk spridning (befintlig eller icke befintlig) och alfafetoproteinnivåer (≥ 400 eller < 400 ng/ml).
Totalt randomiserades 668 patienter till nivolumab i kombination med ipilimumab (n = 335) eller prövarens val (n = 333) av lenvatinib eller sorafenib. I armen med prövarens val fick 85 % av de behandlade patienterna lenvatinib och 15 % sorafenib. Patienterna i armen med nivolumab plus ipilimumab fick 1 mg/kg nivolumab var tredje vecka i kombination med 3 mg/kg ipilimumab var tredje vecka i högst 4 doser, följt av 480 mg nivolumab som monoterapi var fjärde vecka. Patienterna i armen med prövarens val fick 8 mg lenvatinib peroralt dagligen (om kroppsvikten var < 60 kg), 12 mg lenvatinib peroralt dagligen (om kroppsvikten var ≥ 60 kg) eller 400 mg sorafenib peroralt två gånger dagligen. Behandlingen fortsatte till sjukdomsprogression, oacceptabel toxicitet eller upp till 24 månader. Patienter som avbröt kombinationsbehandlingen på grund av en biverkning som tillskrevs ipilimumab hade möjlighet att fortsätta med nivolumab som enda läkemedel. Tumörbedömningar utfördes vid studiestart, efter randomisering vid vecka 9 och vecka 16, därefter var 8:e vecka fram till 48 veckor och därefter var 12:e vecka till sjukdomsprogress, utsättning av behandlingen eller påbörjande av efterföljande behandling.
Karakteristika vid studiestart var generellt sett balanserade mellan de båda behandlingsgrupperna. Medianåldern var 66 år (intervall: 20 till 89), 53 % var ≥ 65 år, 16 % var ≥ 75 år, 53 % var vita, 44 % var asiater, 2,2 % var svarta och 82 % var män. ECOG performance-status vid studiestart var 0 (71 %) eller 1 (29 %). Trettiofyra procent (34 %) av patienterna hade HBV‑infektion, 28 % hade HCV‑infektion och 36 % hade inga tecken på HBV‑ eller HCV‑infektion. Nitton procent (19 %) av patienterna hade alkoholorsakad leversjukdom och 11 % hade icke‑alkoholorsakad fettleversjukdom. Majoriteten av patienterna hade sjukdom i BCLC‑stadium C (73 %) vid studiestart, 19 % var i stadium B och 6 % var i stadium A. Patienter med Child‑Pugh-poäng på 5, 6 och ≥ 7 var 77 %, 20 % respektive 3 %. Totalt 54 % av patienterna hade extrahepatisk spridning; 25 % makrovaskulär invasion och 33 % AFP‑nivåer ≥ 400 µg/l.
Studien visade en statistiskt signifikant fördel avseende totalöverlevnad (OS) och total responsfrekvens (ORR) för patienterna som randomiserats till att få nivolumab i kombination med ipilimumab jämfört med prövarens val av lenvatinib eller sorafenib. Effektresultaten visas i tabell 59 och figur 36.
a Minsta uppföljningstid 26,8 månader. Medianuppföljningstid 35,2 månader.
b Baserat på den stratifierade proportionella Cox-riskmodellen.
c Baserat på ett tvåsidigt stratifierat logrank‑test. Gräns för statistisk signifikans: p‑värde ≤ 0,0257.
d Bedömt enligt BICR med RECIST 1.1.
e Baserat på ett tvåsidigt stratifierat Cochran‑Mantel‑Haenszel-test. Gräns för statistisk signifikans: p‑värde ≤ 0,025.
Figur 36: Kaplan‑Meier-kurva för totalöverlevnad hos patienter med hepatocellulärt karcinom behandlade i första linjen (CA2099DW)
Pediatrisk population
Öppen fas 1/2‑studie (CA209070)
Studie CA209070 var en öppen, enarmad fas 1/2-studie med en dosbekräftande fas och en dosexpansionsfas av nivolumab som monoterapi och i kombination med ipilimumab till barn och ungdomar med återkommande eller refraktära solida eller hematologiska tumörer, inklusive neuroblastom, osteosarkom, rabdomyosarkom, Ewings sarkom, avancerat melanom, klassiskt Hodgkins lymfom och non-Hodgkins lymfom. Bland de 126 behandlade patienterna var 97 barn och ungdomar från 12 månader till < 18 år. Av de 97 patienterna behandlades 64 med nivolumab som monoterapi (3 mg/kg intravenöst under 60 minuter varannan vecka) och 33 behandlades med nivolumab i kombination med ipilimumab (nivolumab 1 mg/kg eller 3 mg/kg intravenöst under 60 minuter i kombination med ipilimumab 1 mg/kg intravenöst under 90 minuter var tredje vecka de fyra första doserna, följt av nivolumab 3 mg/kg som monoterapi varannan vecka). Patienterna fick antingen nivolumab som monoterapi, 2 doser i median (intervall: 1‑89), eller nivolumab i kombination med ipilimumab, 2 doser i median (intervall: 1‑24). De huvudsakliga primära effektmåtten var säkerhet, tolerabilitet och antitumöraktivitet utvärderat enligt deskriptiv objektiv responsfrekvens (ORR) och totalöverlevnad (OS).
Bland de 64 patienterna som fick nivolumab som monoterapi var svaren från 60 patienter möjliga att utvärdera (melanom n = 1, solida tumörer n = 47 och hematologiska tumörer n = 12). Hos de 48 patienterna med melanom eller solida tumörer, och med svar möjliga att utvärdera, observerades inga objektiva responser.
Hos de 12 patienterna med hematologiska tumörer, och med svar möjliga att utvärdera, var den objektiva responsfrekvensen 25,0 % (95 % KI: 5,5, 57,2), varav 1 fullständig respons för klassiskt Hodgkins lymfom och 2 partiella responser, en för klassiskt Hodgkins lymfom och en för non-Hodgkins lymfom. I de deskriptiva analyserna för de 64 patienterna som fick nivolumab som monoterapi var medianvärdet för totalöverlevnad 6,67 månader (95 % KI: 5,98, ej tillämpbart), 6,14 månader (95 % KI: 5,39, 24,67) för patienter med melanom eller solida tumörer och ännu ej uppnått för patienter med hematologiska tumörer.
Bland de 30 patienterna som fick nivolumab i kombination med ipilimumab (solida tumörer utöver enbart melanom), och med svar möjliga att utvärdera, observerades inga objektiva responser. Hos de 33 patienterna som fick nivolumab i kombination med ipilimumab var medianvärdet för totalöverlevnad 8,25 månader (95 % KI: 5,45, 16,95) i en deskriptiv analys.
Öppen fas 1b/2‑studie (CA209908)
Studien CA209908 var en öppen, sekventiell, fas1b/2 klinisk studie med nivolumab som monoterapi och nivolumab i kombination med ipilimumab hos pediatriska och unga vuxna patienter med höggradiga primära maligniteter i CNS, inklusive diffust infiltrerat ponsgliom (DIPG), höggradigt gliom, medulloblastom, ependymom och andra återkommande subtyper av höggradig CNS-malignitet (t.ex. pineoblastom, atypisk teratoid/rhabdoid tumör och embryonala CNS-tumörer). Av de 151 pediatriska patienterna (från ≥ 6 månader till < 18 år) som inkluderades i studien behandlades 77 med nivolumab som monoterapi (3 mg/kg varannan vecka) och 74 behandlades med nivolumab i kombination med ipilimumab (nivolumab 3 mg/kg följt av ipilimumab 1 mg/kg var 3:e vecka i 4 doser, följt av nivolumab som monoterapi 3 mg/kg varannan vecka). Det primära effektmåttet var totalöverlevnad (OS) i DIPG-kohorten och prövarbedömd progressionsfri överlevnad (PFS) baserat på RANO-kritierier för alla andra typer av tumörer. Medianvärdet för totalöverlevnad i DIPG-kohorten var 10,97 månader (80 % KI: 9,92, 12,16) hos patienter behandlade med nivolumab som monoterapi och 10,50 månader (80 % KI: 9,10, 12,32) hos patienter behandlade med nivolumab i kombination med ipilimumab. För alla andra studerade typer av pediatriska CNS-tumörer varierade medianvärdet för progressionsfri överlevnad från 1,23 till 2,35 månader hos patienter behandlade med nivolumab som monoterapi och från 1,45 till 3,09 månader hos patienter behandlade med nivolumab i kombination med ipilimumab. Inga objektiva svar observerades i studien med undantag för en patient med ependymom som behandlades med nivolumab som monoterapi och som fick en partiell respons. Resultaten för totalöverlevnad, progressionsfri överlevnad och objektiv responsfrekvens som observerades i studie CA209908 tyder inte på kliniskt betydelsefulla fördelar jämfört med vad som kan förväntas i dessa patientpopulationer.
Europeiska läkemedelsmyndigheten har senarelagt kravet att skicka in studieresultat för nivolumab för alla grupper av den pediatriska populationen för behandling av maligna neoplasier i lymfvävnad (information om pediatrisk användning finns i avsnitt 4.2).
Säkerhet och effekt hos äldre
Ingen skillnad i säkerhet eller effekt rapporterades hos äldre (> 65 år) och yngre patienter (< 65 år). Data från patienter ≥ 75 år, som behandlats för skivepitelial huvud- och halscancer eller som fått adjuvant behandling för melanom, esofaguscancer eller cancer i gastroesofageala övergången är för begränsade för att kunna dra några slutsatser för denna population. Data från patienter med klassiskt Hodgkins lymfom ≥ 65 år är för begränsade för att kunna dra några slutsatser för denna population. Data från patienter som var 75 år eller äldre med malignt pleuramesoteliom uppvisade en högre frekvens av allvarliga biverkningar och behandlingsavbrott på grund av biverkningar (68 % respektive 35 %) jämfört med alla patienter som fick nivolumab i kombination med ipilimumab (54 % respektive 28 %).
Nivolumab monoterapi
Farmakokinetiken (PK) för nivolumab är linjär i dosintervallet 0,1 till 10 mg/kg. Medelvärdet för geometriskt clearance (CL) var 7,9 ml/h, terminal halveringstid var 25,0 dagar och genomsnittlig exponering vid steady state (nivolumab 3 mg/kg varannan vecka) var 86,6 μg/ml, baserat på populationsfarmakokinetisk analys.
Clearence för nivolumab hos patienter med klassiskt Hodgkins lymfom var cirka 32 % lägre jämfört med icke-småcellig lungcancer. Hos patienter som fick adjuvant behandling av melanom var clearence för nivolumab vid behandlingsstart cirka 40 % lägre än vid avancerat melanom, och cirka 20 % lägre vid steady state. Med hänsyn till tillgängliga säkerhetsdata, saknar dessa minskningar i clearence klinisk betydelse.
Metabolismen för nivolumab har ännu inte karakteriserats. Nivolumab förväntas brytas ned till små peptider och aminosyror via katabola vägar på samma sätt som endogena IgG.
Nivolumab i kombination med ipilimumab
När nivolumab 1 mg/kg administrerades i kombination med ipilimumab 3 mg/kg ökade clearence för nivolumab med 29 % och clearence ökade för ipilimumab med 9 % vilket inte ansågs vara kliniskt relevant. När nivolumab 3 mg/kg administrerades i kombination med ipilimumab 1 mg/kg ökade clearence för nivolumab med 1 % och clearence minskade för ipilimumab med 1,5 % vilket inte ansågs vara kliniskt relevant.
Vid administrering av kombinationsbehandlingen med ipilimumab ökade clearence för nivolumab med 20 % vid närvaro av anti-nivolumab-antikroppar och för ipilimumab ökade clearence med 5,7 % i närvaro av anti-ipilimumab-antikroppar. Dessa förändringar ansågs inte vara kliniskt relevanta.
Nivolumab i kombination med ipilimumab och kemoterapi
När nivolumab 360 mg administrerades var tredje vecka i kombination med ipilimumab 1 mg/kg var sjätte vecka och två cykler med kemoterapi minskade clearance för nivolumab med cirka 10 % och clearance för ipilimumab ökade med cirka 22 %, vilket inte ansågs vara kliniskt relevant.
Särskilda populationer
En populationsfarmakokinetisk analys tyder inte på några skillnader i clearence för nivolumab baserat på ålder, kön, etnicitet, solid tumörtyp, tumörstorlek och nedsatt leverfunktion. Även om ECOG-status, utgångsvärdet av glomerulär filtrationshastighet (GFR), albumin, kroppsvikt och lätt nedsatt leverfunktion hade effekt på clearence för nivolumab, var effekten inte kliniskt betydelsefull.
Pediatrisk population
För nivolumab som monoterapi förväntas exponeringen för nivolumab hos ungdomar 12 år och äldre som väger 50 kg eller mer vara jämförbar med den hos vuxna som får den rekommenderade dosen. Dosering baserad på kroppsvikt rekommenderas för ungdomar 12 år och äldre som väger mindre än 50 kg.
För nivolumab i kombination med ipilimumab förväntas exponeringen för nivolumab och ipilimumab hos ungdomar 12 år och äldre vara jämförbar med den hos vuxna vid rekommenderad dosering.
I likhet med den vuxna populationen var nivolumabs clearance lägre hos pediatriska patienter med klassiskt Hodgkins lymfom jämfört med hos patienter med solida tumörer. Storleken på minskningen av clearance var likartad för pediatriska och vuxna patienter med klassiskt Hodgkins lymfom. Exponeringen för nivolumab var likartad (< 20 % skillnad i geometriskt medelvärde) hos pediatriska patienter med klassiskt Hodgkins lymfom som fick nivolumab 3 mg/kg intravenöst var tredje vecka och vuxna patienter med klassiskt Hodgkins lymfom som fick nivolumab 3 mg/kg intravenöst var tredje vecka, eller vuxna patienter med solida tumörer som fick nivolumab 3 mg/kg intravenöst varannan vecka.
Nedsatt njurfunktion
Effekten av nedsatt njurfunktion på clearence för nivolumab utvärderades hos patienter med lätt (GFR < 90 och ≥ 60 ml/min/1,73 m2; n = 379), måttligt (GFR < 60 och ≥ 30 ml/min/1,73 m2; n = 179) eller gravt (GFR < 30 och ≥ 15 ml/min/1,73 m2; n = 2) nedsatt njurfunktion jämfört med patienter med normal njurfunktion (GFR ≥ 90 ml/min/1,73 m2; n = 342) i populationsfarmakokinetiska analyser. Inga kliniskt betydelsefulla skillnader i clearence för nivolumab sågs mellan patienter med lätt eller måttligt nedsatt njurfunktion och patienter med normal njurfunktion. Data från patienter med gravt nedsatt njurfunktion är för begränsade för att kunna dra några slutsatser för denna population (se avsnitt 4.2).
Nedsatt leverfunktion
Effekten av nedsatt leverfunktion på clearence för nivolumab utvärderades i en populationsfarmakokinetisk analys hos patienter med olika tumörtyper (NSCLC, SCLC, melanom, RCC, SCCHN, UC, GC och cHL) med lätt nedsatt leverfunktion (totalbilirubin 1,0 × till 1,5 × ULN eller ASAT > ULN som definierat enligt ”National Cancer Institute criteria of hepatic dysfunction” n = 351) och hos patienter med måttligt nedsatt leverfunktion (totalbilirubin > 1,5 × till 3 × ULN och oavsett ASAT; n = 10) jämfört med patienter med normal leverfunktion (totalbilirubin och ASAT ≤ ULN; n = 3 096). Inga kliniskt betydelsefulla skillnader i clearence för nivolumab sågs mellan patienter med lätt eller måttligt nedsatt leverfunktion och patienter med normal leverfunktion. Liknande resultat observerades hos patienter med hepatocellulärt karcinom (lätt nedsatt leverfunktion: n = 152, måttligt nedsatt leverfunktion: n = 13). Nivolumab har inte studerats hos patienter med gravt nedsatt leverfunktion (totalbilirubin > 3 × ULN och oavsett ASAT) (se avsnitt 4.2).
I modeller med dräktiga möss har det visats att blockering av PD-L1-signalering stör toleransen till fostret och ökar förlust av foster. Effekterna av nivolumab på prenatal och postnatal utveckling utvärderades hos apor som fick nivolumab två gånger i veckan från påbörjad organogenes i första trimestern fram till nedkomsten, vid exponeringsnivåer som antingen var 8 eller 35 gånger högre än de som setts med den kliniska dosen 3 mg/kg nivolumab (baserat på AUC). Det var en dosberoende ökning av förlust av foster och ökad neonatal dödlighet med början i den tredje trimestern.
Den kvarvarande avkomman från nivolumabbehandlade honor överlevde till planerad avlivning, utan några behandlingsrelaterade kliniska fynd, utan förändring från normal utveckling, utan effekt på organens vikt eller synliga och mikroskopiska patologiska förändringar. Resultat av tillväxtindex så väl som teratogena, neurobeteendemässiga, immunologiska och kliniskt patologiska parametrar under den 6 månader långa postnatala perioden var jämförbara med kontrollgruppen. Baserat på verkningsmekanismen kan emellertid exponering av nivolumab för foster ändå öka risken att utveckla immunrelaterade sjukdomar eller förändra den normala immunresponsen. Immunrelaterade sjukdomar har rapporterats hos PD-1-knockout möss.
Fertilitetsstudier har inte utförts med nivolumab.
Efter beredning av infusionen
Kemisk och fysikalisk stabilitet under användning från tidpunkten för beredning har visats enligt följande (tiderna inkluderar administreringstiden):
Ur mikrobiologisk synvinkel bör utspädd infusionslösning, oavsett spädningsmedel, användas omedelbart. Om lösningen inte används omedelbart, ansvarar användaren för förvaringstid och förvaringsförhållanden innan användning. Dessa bör normalt inte vara längre än 7 dagar vid 2 °C-8 °C eller 8 timmar (av totalt 7 dagars förvaringstid) vid rumstemperatur (≤ 25 °C). Aseptisk hantering bör säkerställas under beredningen av infusionen (se avsnitt 6.6).
Förvaras i kylskåp (2 °C-8 °C).
Får ej frysas.
Förvaras i originalförpackningen. Ljuskänsligt.
Den oöppnade injektionsflaskan kan förvaras i kontrollerad rumstemperatur (upp till 25°C) och rumsbelysning i upp till 48 timmar.
Förvaringsanvisningar för läkemedlet efter beredning av infusionen finns i avsnitt 6.3.
4 ml koncentrat i en 10 ml injektionsflaska (typ I-glas) med en propp (belagt butylgummi) och en mörkblå flip-off kapsyl (aluminium). Varje förpackning innehåller 1 injektionsflaska.
10 ml koncentrat i en 10 ml injektionsflaska (typ I-glas) med en propp (belagt butylgummi) och en grå flip-off kapsyl (aluminium). Varje förpackning innehåller 1 injektionsflaska.
12 ml koncentrat i en 25 ml injektionsflaska (typ I‑glas) med en propp (belagt butylgummi) och en blå flip‑off kapsyl (aluminium). Varje förpackning innehåller 1 injektionsflaska.
24 ml koncentrat i en 25 ml injektionsflaska (typ I‑glas) med en propp (belagt butylgummi) och en matt röd flip‑off kapsyl (aluminium). Varje förpackning innehåller 1 injektionsflaska.
Eventuellt kommer inte alla förpackningsstorlekar att marknadsföras.
Beredning ska utföras av utbildad personal i enlighet med god klinisk praxis, särskilt med avseende på aseptiska förhållanden.
Beredning och administrering
Beräkna dosen
Det kan behövas mer än en injektionsflaska av OPDIVO för att ge den totala dosen till patienten.
Nivolumab monoterapi
Doseringen för vuxna är 240 mg eller 480 mg beroende på indikation men oberoende av kroppsvikt (se avsnitt 4.2).
Melanom (avancerat melanom eller adjuvant behandling) hos ungdomar. Den förskrivna dosen till ungdomar 12 år och äldre som väger 50 kg eller mer är 240 mg eller 480 mg. Till ungdomar 12 år och äldre som väger mindre än 50 kg anges den förskrivna dosen i mg/kg. Beräkna den totala dosen som ska ges baserat på den förskrivna dosen.
Den totala dosen nivolumab i mg = patientens vikt i kg × den förskrivna dosen i mg/kg.
Volymen OPDIVO‑koncentrat som krävs för att bereda dosen (ml) = den totala dosen i mg, dividerat med 10 (styrkan av OPDIVO‑koncentratet är 10 mg/ml).
Nivolumab i kombination med ipilimumab
Den förskrivna dosen anges i mg/kg. Beräkna den totala dosen som ska ges baserat på den förskrivna dosen (se ovan).
Nivolumab i kombination med ipilimumab vid malignt pleuramesoteliom
Doseringen är 360 mg oberoende av kroppsvikt.
Nivolumab i kombination med ipilimumab vid avancerad kolorektalcancer
Doseringen är antingen baserad på kroppsvikt (3 mg/kg) eller 240 mg oberoende av kroppsvikt.
Nivolumab i kombination med ipilimumab vid esofaguscancer av skivepiteltyp
Doseringen är antingen baserad på kroppsvikt (3 mg/kg) eller 360 mg oberoende av kroppsvikt.
Nivolumab i kombination med kemoterapi vid resektabel icke‑småcellig lungcancer
Doseringen är 360 mg oberoende av kroppsvikt.
Nivolumab i kombination med kemoterapi vid esofaguscancer av skivepiteltyp
Doseringen är 240 mg eller 480 mg oberoende av kroppsvikt.
Nivolumab i kombination med kemoterapi vid adenocarcinom i ventrikeln, GEJ eller esofagus
Doseringen är 360 mg eller 240 mg oberoende av kroppsvikt.
Nivolumab i kombination med ipilimumab och kemoterapi
Doseringen är 360 mg oberoende av kroppsvikt.
Nivolumab i kombination med kabozantinib
Doseringen av nivolumab är 240 mg eller 480 mg oberoende av kroppsvikt.
Nivolumab i kombination med brentuximab vedotin
Den förskrivna dosen anges i mg/kg. Beräkna den totala dosen som ska ges baserat på den förskrivna dosen (se ovan).
Beredning av infusionen
Säkerställ aseptiska förhållanden vid beredning av infusionslösningen.
OPDIVO kan användas för intravenös administrering antingen:
utan spädning, efter överföring via en steril spruta till en infusionsbehållare, eller
efter spädning, enligt följande instruktioner:
Slutkoncentrationen av infusionen bör vara mellan 1 och 10 mg/ml.
Den totala infusionsvolymen får inte överstiga 160 ml. För patienter som väger mindre än 40 kg får den totala infusionsvolymen inte överstiga 4 ml/kg kroppsvikt.
OPDIVO-koncentrat kan spädas med antingen:
9 mg/ml (0,9 %) natriumkloridlösning för injektion, eller
50 mg/ml (5 %) glukoslösning för injektion.
STEG 1
Inspektera OPDIVO-koncentratet avseende partiklar eller missfärgning. Skaka inte injektionsflaskan. OPDIVO-koncentrat är en klar till opalescent, ofärgad till ljusgul vätska. Använd inte injektionsflaskan om lösningen är grumlig, missfärgad eller om den innehåller partiklar utöver ett fåtal genomskinliga till vita partiklar.
Dra upp den volym OPDIVO-koncentrat som krävs genom att använda en lämplig steril spruta.
STEG 2
Överför koncentratet till en steril lufttom glasflaska eller intravenös behållare (PVC eller polyolefin).
Om tillämpligt, späd med den volym som krävs av 9 mg/ml (0,9 %) natriumkloridlösning för injektion eller 50 mg/ml (5 %) glukoslösning för injektion. För att underlätta beredningen kan koncentratet istället föras över direkt till en förfylld påse med rätt volym av 9 mg/ml (0,9 %) natriumkloridlösning för injektion eller 50 mg/ml (5 %) glukoslösning för injektion.
Blanda försiktigt genom att rotera flaskan för hand. Skaka inte.
Administrering
Infusion med OPDIVO får inte administreras som en intravenös stötdos eller bolusinjektion.
Administrera OPDIVO intravenöst under 30 eller 60 minuter beroende på dosen.
Infusion med OPDIVO får inte ske i samma intravenösa infart samtidigt med andra substanser. Använd en separat infart för infusionen.
Använd ett infusionsset och ett inbyggt, sterilt, icke-pyrogent filter med låg proteinbindningsgrad (porstorlek 0,2 µm till 1,2 µm).
Infusion med OPDIVO är kompatibel med PVC- och polyolefin-behållare, glasflaskor, PVC-infusionsset och inbyggda filter med polyetersulfonmembran med en porstorlek på 0,2 µm till 1,2 µm.
Efter att dosen av nivolumab har administrerats, skölj infarten med 9 mg/ml (0,9 %) natriumkloridlösning för injektion eller 50 mg/ml (5 %) glukoslösning för injektion.
Destruktion
Spara inte oanvänd del av infusionslösningen för att använda senare. Ej använt läkemedel och avfall ska kasseras enligt gällande anvisningar.
Natriumcitratdihydrat
Natriumklorid
Mannitol (E421)
Pentetsyra (dietylentriamin pentaättiksyra)
Polysorbat 80 (E433)
Natriumhydroxid (för pH-justering)
Saltsyra (för pH-justering)
Vatten för injektionsvätskor
Då blandbarhetsstudier saknas får detta läkemedel inte blandas med andra läkemedel. Infusion med OPDIVO får inte ske i samma intravenösa infart samtidigt med andra läkemedel.
Oöppnad injektionsflaska
3 år
Efter beredning av infusionen
Kemisk och fysikalisk stabilitet under användning från tidpunkten för beredning har visats enligt följande (tiderna inkluderar administreringstiden):
Ur mikrobiologisk synvinkel bör utspädd infusionslösning, oavsett spädningsmedel, användas omedelbart. Om lösningen inte används omedelbart, ansvarar användaren för förvaringstid och förvaringsförhållanden innan användning. Dessa bör normalt inte vara längre än 7 dagar vid 2 °C-8 °C eller 8 timmar (av totalt 7 dagars förvaringstid) vid rumstemperatur (≤ 25 °C). Aseptisk hantering bör säkerställas under beredningen av infusionen (se avsnitt 6.6).
Förvaras i kylskåp (2 °C-8 °C).
Får ej frysas.
Förvaras i originalförpackningen. Ljuskänsligt.
Den oöppnade injektionsflaskan kan förvaras i kontrollerad rumstemperatur (upp till 25°C) och rumsbelysning i upp till 48 timmar.
Förvaringsanvisningar för läkemedlet efter beredning av infusionen finns i avsnitt 6.3.
4 ml koncentrat i en 10 ml injektionsflaska (typ I-glas) med en propp (belagt butylgummi) och en mörkblå flip-off kapsyl (aluminium). Varje förpackning innehåller 1 injektionsflaska.
10 ml koncentrat i en 10 ml injektionsflaska (typ I-glas) med en propp (belagt butylgummi) och en grå flip-off kapsyl (aluminium). Varje förpackning innehåller 1 injektionsflaska.
12 ml koncentrat i en 25 ml injektionsflaska (typ I‑glas) med en propp (belagt butylgummi) och en blå flip‑off kapsyl (aluminium). Varje förpackning innehåller 1 injektionsflaska.
24 ml koncentrat i en 25 ml injektionsflaska (typ I‑glas) med en propp (belagt butylgummi) och en matt röd flip‑off kapsyl (aluminium). Varje förpackning innehåller 1 injektionsflaska.
Eventuellt kommer inte alla förpackningsstorlekar att marknadsföras.
Beredning ska utföras av utbildad personal i enlighet med god klinisk praxis, särskilt med avseende på aseptiska förhållanden.
Beredning och administrering
Beräkna dosen
Det kan behövas mer än en injektionsflaska av OPDIVO för att ge den totala dosen till patienten.
Nivolumab monoterapi
Doseringen för vuxna är 240 mg eller 480 mg beroende på indikation men oberoende av kroppsvikt (se avsnitt 4.2).
Melanom (avancerat melanom eller adjuvant behandling) hos ungdomar. Den förskrivna dosen till ungdomar 12 år och äldre som väger 50 kg eller mer är 240 mg eller 480 mg. Till ungdomar 12 år och äldre som väger mindre än 50 kg anges den förskrivna dosen i mg/kg. Beräkna den totala dosen som ska ges baserat på den förskrivna dosen.
Den totala dosen nivolumab i mg = patientens vikt i kg × den förskrivna dosen i mg/kg.
Volymen OPDIVO‑koncentrat som krävs för att bereda dosen (ml) = den totala dosen i mg, dividerat med 10 (styrkan av OPDIVO‑koncentratet är 10 mg/ml).
Nivolumab i kombination med ipilimumab
Den förskrivna dosen anges i mg/kg. Beräkna den totala dosen som ska ges baserat på den förskrivna dosen (se ovan).
Nivolumab i kombination med ipilimumab vid malignt pleuramesoteliom
Doseringen är 360 mg oberoende av kroppsvikt.
Nivolumab i kombination med ipilimumab vid avancerad kolorektalcancer
Doseringen är antingen baserad på kroppsvikt (3 mg/kg) eller 240 mg oberoende av kroppsvikt.
Nivolumab i kombination med ipilimumab vid esofaguscancer av skivepiteltyp
Doseringen är antingen baserad på kroppsvikt (3 mg/kg) eller 360 mg oberoende av kroppsvikt.
Nivolumab i kombination med kemoterapi vid resektabel icke‑småcellig lungcancer
Doseringen är 360 mg oberoende av kroppsvikt.
Nivolumab i kombination med kemoterapi vid esofaguscancer av skivepiteltyp
Doseringen är 240 mg eller 480 mg oberoende av kroppsvikt.
Nivolumab i kombination med kemoterapi vid adenocarcinom i ventrikeln, GEJ eller esofagus
Doseringen är 360 mg eller 240 mg oberoende av kroppsvikt.
Nivolumab i kombination med ipilimumab och kemoterapi
Doseringen är 360 mg oberoende av kroppsvikt.
Nivolumab i kombination med kabozantinib
Doseringen av nivolumab är 240 mg eller 480 mg oberoende av kroppsvikt.
Nivolumab i kombination med brentuximab vedotin
Den förskrivna dosen anges i mg/kg. Beräkna den totala dosen som ska ges baserat på den förskrivna dosen (se ovan).
Beredning av infusionen
Säkerställ aseptiska förhållanden vid beredning av infusionslösningen.
OPDIVO kan användas för intravenös administrering antingen:
utan spädning, efter överföring via en steril spruta till en infusionsbehållare, eller
efter spädning, enligt följande instruktioner:
Slutkoncentrationen av infusionen bör vara mellan 1 och 10 mg/ml.
Den totala infusionsvolymen får inte överstiga 160 ml. För patienter som väger mindre än 40 kg får den totala infusionsvolymen inte överstiga 4 ml/kg kroppsvikt.
OPDIVO-koncentrat kan spädas med antingen:
9 mg/ml (0,9 %) natriumkloridlösning för injektion, eller
50 mg/ml (5 %) glukoslösning för injektion.
STEG 1
Inspektera OPDIVO-koncentratet avseende partiklar eller missfärgning. Skaka inte injektionsflaskan. OPDIVO-koncentrat är en klar till opalescent, ofärgad till ljusgul vätska. Använd inte injektionsflaskan om lösningen är grumlig, missfärgad eller om den innehåller partiklar utöver ett fåtal genomskinliga till vita partiklar.
Dra upp den volym OPDIVO-koncentrat som krävs genom att använda en lämplig steril spruta.
STEG 2
Överför koncentratet till en steril lufttom glasflaska eller intravenös behållare (PVC eller polyolefin).
Om tillämpligt, späd med den volym som krävs av 9 mg/ml (0,9 %) natriumkloridlösning för injektion eller 50 mg/ml (5 %) glukoslösning för injektion. För att underlätta beredningen kan koncentratet istället föras över direkt till en förfylld påse med rätt volym av 9 mg/ml (0,9 %) natriumkloridlösning för injektion eller 50 mg/ml (5 %) glukoslösning för injektion.
Blanda försiktigt genom att rotera flaskan för hand. Skaka inte.
Administrering
Infusion med OPDIVO får inte administreras som en intravenös stötdos eller bolusinjektion.
Administrera OPDIVO intravenöst under 30 eller 60 minuter beroende på dosen.
Infusion med OPDIVO får inte ske i samma intravenösa infart samtidigt med andra substanser. Använd en separat infart för infusionen.
Använd ett infusionsset och ett inbyggt, sterilt, icke-pyrogent filter med låg proteinbindningsgrad (porstorlek 0,2 µm till 1,2 µm).
Infusion med OPDIVO är kompatibel med PVC- och polyolefin-behållare, glasflaskor, PVC-infusionsset och inbyggda filter med polyetersulfonmembran med en porstorlek på 0,2 µm till 1,2 µm.
Efter att dosen av nivolumab har administrerats, skölj infarten med 9 mg/ml (0,9 %) natriumkloridlösning för injektion eller 50 mg/ml (5 %) glukoslösning för injektion.
Destruktion
Spara inte oanvänd del av infusionslösningen för att använda senare. Ej använt läkemedel och avfall ska kasseras enligt gällande anvisningar.