Jardiance 10 mg filmdragerade tabletter
Jardiance 25 mg filmdragerade tabletter
Filmdragerad tablett (tablett).
Jardiance 10 mg filmdragerade tabletter
Rund, ljusgul, bikonvex, filmdragerad tablett med fasad kant, präglad med "S10" på ena sidan och Boehringer Ingelheims logotyp på den andra (tablettdiameter: 9,1 mm).
Jardiance 25 mg filmdragerade tabletter
Oval, ljusgul, bikonvex, filmdragerad tablett präglad med "S25" på ena sidan och Boehringer Ingelheims logotyp på den andra (tablettens längd: 11,1 mm, tablettens bredd: 5,6 mm).
Boehringer Ingelheim International GmbH
Binger Str. 173
55216 Ingelheim am Rhein
Tyskland
Första godkännandet: 22 maj 2014
Förnyat godkännande: 14 februari 2019
03/2026
Ytterligare information om detta läkemedel finns på Europeiska läkemedelsmyndighetens webbplats https://www.ema.europa.eu
Jardiance 10 mg filmdragerade tabletter
Varje tablett innehåller 10 mg empagliflozin.
Hjälpämnen med känd effekt
Varje tablett innehåller laktosmonohydrat motsvarande 154,3 mg vattenfri laktos.
Jardiance 25 mg filmdragerade tabletter
Varje tablett innehåller 25 mg empagliflozin.
Hjälpämnen med känd effekt
Varje tablett innehåller laktosmonohydrat motsvarande 107,4 mg vattenfri laktos.
För fullständig förteckning över hjälpämnen, se avsnitt 6.1.
Dosering
Diabetes mellitus typ 2
Rekommenderad startdos är 10 mg empagliflozin en gång dagligen som monoterapi och som tillägg till kombinationsbehandling med andra läkemedel för behandling av diabetes. Hos patienter som tolererar empagliflozin 10 mg en gång dagligen, har ett eGFR ≥60 ml/min/1,73 m2 och behöver striktare glykemisk kontroll kan dosen höjas till 25 mg en gång dagligen. Den maximala dagsdosen är 25 mg (se nedan och avsnitt 4.4).
Hjärtsvikt
Rekommenderad dos är 10 mg empagliflozin en gång dagligen.
Kronisk njursjukdom
Rekommenderad dos är 10 mg empagliflozin en gång dagligen.
Alla indikationer
När empagliflozin används i kombination med en sulfonureid eller med insulin kan en lägre dos av sulfonureid eller insulin övervägas för att minska risken för hypoglykemi (se avsnitt 4.5 och 4.8).
Om en dos har missats, ska den tas så snart patienten kommer ihåg det; dubbel dos ska dock inte tas på samma dag.
Särskilda populationer
Nedsatt njurfunktion
På grund av begränsad erfarenhet är det inte rekommenderat att initiera behandling med empagliflozin hos patienter med eGFR < 20 ml/min/1,73 m2.
Hos patienter med eGFR < 60 ml/min/1,73 m2 är den dagliga dosen empagliflozin 10 mg.
Hos patienter med diabetes mellitus typ 2 är den glukossänkande effekten av empagliflozin nedsatt hos patienter med eGFR < 45 ml/min/1,73 m2 och saknas sannolikt hos patienter med eGFR < 30 ml/min/1,73 m2. Om eGFR sjunker under 45 ml/min/1,73 m2 ska därför ytterligare glukossänkande behandling övervägas vid behov (se avsnitt 4.4, 4.8, 5.1 och 5.2).
Nedsatt leverfunktion
Ingen dosjustering är nödvändig för patienter med nedsatt leverfunktion. Exponeringen av empagliflozin är förhöjd hos patienter med kraftigt nedsatt leverfunktion. Terapeutisk erfarenhet av patienter med kraftigt nedsatt leverfunktion är begränsad, och rekommenderas därför inte för användning i denna population (se avsnitt 5.2).
Äldre
Ingen dosjustering rekommenderas baserat på ålder. Hos patienter 75 år och äldre, ska en ökad risk för volymförlust beaktas (se avsnitt 4.4 och 4.8).
Pediatrisk population
Rekommenderad startdos är 10 mg empagliflozin en gång dagligen. Hos patienter som tolererar empagliflozin 10 mg en gång dagligen och behöver ytterligare glykemisk kontroll kan dosen ökas till 25 mg en gång dagligen (se avsnitt 5.1 och 5.2). Inga data finns tillgängliga för barn med eGFR < 60 ml/min/1,73 m² och barn under 10 år.
Säkerhet och effekt för empagliflozin för behandling av hjärtsvikt eller för behandling av kronisk njursjukdom för barn under 18 år har inte fastställts. Inga data finns tillgängliga.
Administreringssätt
Tabletterna kan tas med eller utan mat, och sväljes hela med vatten.
Överkänslighet mot den aktiva substansen eller mot något hjälpämne som anges i avsnitt 6.1.
Allmänt
Empagliflozin ska inte användas hos patienter med diabetes mellitus typ 1 (se ”Ketoacidos” i avsnitt 4.4).
Ketoacidos
Fall av ketoacidos, inklusive livshotande och fatala fall, har rapporterats hos patienter med diabetes mellitus behandlade med SGLT2‑hämmare, inklusive empagliflozin. I ett antal fall var tillståndet atypiskt med endast måttligt förhöjda blodglukosvärden, under 14 mmol/l (250 mg/dl). Det är inte känt om ketoacidos uppträder med större sannolikhet vid högre doser av empagliflozin. Även om det är mindre sannolikt att ketoacidos uppkommer hos patienter utan diabetes mellitus, har fall rapporterats även hos dessa patienter.
Risken för ketoacidos måste beaktas i händelse av ospecifika symtom såsom illamående, kräkningar, anorexi, buksmärtor, kraftig törst, andningsbesvär, förvirring, ovanlig trötthet eller sömnighet. Patienter ska, oavsett blodglukosvärde, omedelbart bedömas med avseende på ketoacidos om dessa symtom uppträder.
Hos patienter där ketoacidos misstänks eller bekräftas ska behandling med empagliflozin omedelbart avbrytas.
Behandlingen ska avbrytas hos patienter som läggs in på sjukhus för större kirurgiska ingrepp eller akuta allvarliga sjukdomar. Provtagning av ketoner rekommenderas för dessa patienter. Mätning av ketonnivåer i blodet istället för urinen är att föredra.
Behandling med empagliflozin kan återupptas när ketonvärdena är normala och
patientens tillstånd har stabiliserats.
Innan behandling med empagliflozin påbörjas ska faktorer i patientens bakgrund, som kan predisponera för ketoacidos, beaktas.
Långvarig ketoacidos och långvarig glukosuri har observerats med empagliflozin. Ketoacidos kan kvarstå längre efter utsättning av empagliflozin än vad som förväntas med tanke på halveringstiden i plasma (se avsnitt 5.2). Empagliflozin-oberoende faktorer, såsom insulinbrist, kan ha betydelse för långvariga perioder med ketaoacidos.
Patienter som kan ha en förhöjd risk för ketoacidos innefattar patienter med en låg reserv av funktionella betaceller (t.ex. patienter med typ 2‑diabetes med lågt C‑peptidvärde eller latent autoimmun diabetes hos vuxna (LADA) eller patienter med tidigare pankreatit), patienter med tillstånd som medför minskat födointag eller allvarlig vätskebrist, patienter för vilka insulindoser minskats samt patienter med ökat insulinbehov till följd av akut sjukdom, kirurgiskt ingrepp eller alkoholmissbruk. SGLT2‑hämmare ska användas med försiktighet hos dessa patienter.
Patienter som tidigare har drabbats av ketoacidos vid behandling med SGLT2‑hämmare rekommenderas inte att återuppta behandling med SGLT2‑hämmare om inte en annan tydlig utlösande faktor har identifierats och åtgärdats.
Jardiance ska inte användas hos patienter med typ 1‑diabetes. Data från ett kliniskt prövningsprogram med patienter med typ 1‑diabetes visade ökad förekomst av ketoacidos, med frekvensen vanlig, hos patienter behandlade med empagliflozin 10 mg och 25 mg som ett komplement till insulin jämfört med placebo.
Nedsatt njurfunktion
På grund av begränsad erfarenhet är det inte rekommenderat att initiera behandling med empagliflozin hos patienter med eGFR < 20 ml/min/1,73 m2.
Hos patienter med eGFR < 60 ml/min/1,73 m2 är den dagliga dosen empagliflozin 10 mg (se avsnitt 4.2).
Den glukossänkande effekten av empagliflozin är beroende av njurfunktionen och är nedsatt hos patienter med eGFR < 45 ml/min/1,73 m2 och saknas sannolikt hos patienter med eGFR < 30 ml/min/1,73 m2 (se avsnitt 4.2, 5.1 och 5.2)
Övervakning av njurfunktionen
Utvärdering av njurfunktionen rekommenderas enligt följande:
Före behandlingen med empagliflozin och regelbundet under behandlingen, det vill säga minst årligen (se avsnitt 4.2, 4.8, 5.1 och 5.2).
Före samtida behandling med något annat läkemedel som kan ha en negativ effekt på njurfunktionen.
Risk för volymförlust
Baserat på verkningsmekanismen för SGLT2-hämmare, kan osmotisk diures som åtföljer glukosuri leda till en måttlig sänkning av blodtrycket (se avsnitt 5.1). Därför ska försiktighet iakttas hos patienter där ett empagliflozin-inducerat blodtrycksfall skulle kunna utgöra en risk, såsom patienter med känd hjärt-kärlsjukdom, patienter som får blodtryckssänkande behandling med hypotoni i anamnesen eller patienter som är 75 år och äldre.
Vid förhållanden som kan leda till vätskeförlust (t.ex. gastrointestinal sjukdom), rekommenderas noggrann övervakning av volymstatus (t.ex kroppsundersökning, blodtrycksmätningar, laboratorieprover, inklusive hematokrit) och elektrolyter för patienter som får empagliflozin. Tillfällig utsättning av behandling med empagliflozin ska övervägas tills vätskeförlusten har korrigerats.
Äldre
Effekten av empagliflozin på uringlukosutsöndring är förknippad med osmotisk diures, som kan påverka vätskestatus. Patienter i åldern 75 år och äldre kan löpa en ökad risk för volymförlust. Ett större antal av dessa patienter som behandlades med empagliflozin hade biverkningar relaterade till volymförlust jämfört med placebo (se avsnitt 4.8). Därför ska dessa patienters vätskeintag tas i särskilt beaktande vid samtidig administrering av läkemedel som kan orsaka volymförlust (t.ex. diuretika, ACE‑hämmare).
Komplicerade urinvägsinfektioner
Fall av komplicerade urinvägsinfektioner inklusive pyelonefrit och urosepsis har rapporterats hos patienter behandlade med empagliflozin (se avsnitt 4.8). Tillfällig utsättning av empagliflozin ska övervägas hos patienter med komplicerade urinvägsinfektioner.
Nekrotiserande fasciit i perineum (Fourniers gangrän)
Fall av nekrotiserande fasciit i perineum (s.k. Fourniers gangrän) har rapporterats hos kvinnliga och manliga patienter som tagit SGLT2-hämmare, inklusive empagliflozin. Detta är en sällsynt men allvarlig och potentiellt livshotande biverkning som kräver ett kirurgiskt akutingrepp och antibiotikabehandling.
Patienter ska rådas att söka läkarhjälp om de upplever en kombination av symtom som smärta, ömhet, erytem eller svullnad i genital- eller perinealområdet, tillsammans med feber eller sjukdomskänsla. Observera att urogenital infektion eller perineal abscess kan föregå nekrotiserande fasciit. Vid misstanke om Fourniers gangrän ska Jardiance sättas ut och omedelbar behandling (såsom antibiotika och kirurgisk debridering) sättas in.
Amputationer av nedre extremiteter
Ett ökat antal amputationer av nedre extremiteter (framförallt av tår) har observerats i kliniska långtidsstudier med en annan SGLT2-hämmare. Det är inte känt om detta är en klasseffekt. Som till alla patienter med diabetes är det viktigt att ge råd om rutinmässig förebyggande fotvård.
Leverskada
Fall av leverskada har rapporterats med empagliflozin i kliniska prövningar. Något orsakssamband mellan empagliflozin och leverskada har inte fastställts.
Förhöjd hematokrit
En ökning av hematokrit observerades vid empagliflozinbehandling (se avsnitt 4.8).
Patienter med uttalade ökningar av hematokrit ska övervakas och utredas för underliggande hematologisk sjukdom.
Kronisk njursjukdom
Patienter med albuminuri kan ha större nytta av behandling med empagliflozin.
Infiltrativ sjukdom eller takotsubokardiomyopati
Patienter med infiltrativ sjukdom eller med takotsubokardiomyopati har inte studerats specifikt. Således har effekt hos dessa patienter inte fastställts.
Urinprover
Patienter som tar Jardiance testar positivt för glukos i urinen, på grund av verkningsmekanismen.
Interferens med analys av 1,5‑anhydroglucitol (1,5‑AG)
Övervakning av den glykemiska kontrollen med 1,5‑AG‑analys rekommenderas inte eftersom mätningar av 1,5‑AG inte är tillförlitliga för bedömning av den glykemiska kontrollen hos patienter som tar SGLT2‑hämmare. Användning av alternativa metoder för att övervaka den glykemiska kontrollen rekommenderas.
Laktos
Tabletterna innehåller laktos. Patienter med något av följande sällsynta ärftliga tillstånd bör inte använda detta läkemedel: galaktosintolerans, total laktasbrist eller glukos-galaktosmalabsorption.
Natrium
Varje tablett innehåller mindre än 1 mmol (23 mg) natrium, det vill säga är näst intill ”natriumfri”.
Farmakodynamiska interaktioner
Diuretika
Empagliflozin kan bidra till den diuretiska effekten av tiazid- och loopdiuretika och kan öka risken för uttorkning och hypotoni (se avsnitt 4.4).
Insulin och insulinsekretagoger
Insulin och insulinsekretagoger, såsom sulfonureider, kan öka risken för hypoglykemi. För att minska risken för hypoglykemi, kan dosen av insulin eller en insulinsektretagog behöva sänkas när de används i kombination med empagliflozin (se avsnitt 4.2 och 4.8).
Farmakokinetiska interaktioner
Effekter av andra läkemedel på empagliflozin
In vitro-data tyder på att den huvudsakliga metaboliseringsvägen för empagliflozin hos människa är genom glukuronidering av uridin 5’-difosfoglukuronosyltransferaserna UGT1A3, UGT1A8, UGT1A9 och UGT2B7. Empagliflozin är ett substrat för de humana upptagstransportörerna OAT3, OATP1B1 och OATP1B3, men inte OAT1 och OCT2. Empagliflozin är ett substrat för P-glykoprotein (P-gp) och bröstcancerresistensprotein (BCRP).
Samtidig administrering av empagliflozin med probenecid, en hämmare av UGT-enzymer och OAT3, resulterade i 26 % ökning av de högsta plasmakoncentrationerna för empagliflozin (Cmax) och 53 % ökning av arean under koncentration-tidskurvan (AUC). Dessa förändringar ansågs inte vara kliniskt betydelsefulla.
Effekten av UGT-induktion (t.ex. induktion av rifampicin eller fenytoin) på empagliflozin har inte studerats. Samtidig behandling med kända UGT-enzyminducerare rekommenderas inte på grund av en potentiell risk för minskad effekt. Om en UGT-enzyminducerare måste användas samtidigt är det lämpligt att övervaka den glykemiska kontrollen för att bedöma svaret av Jardiance.
En interaktionsstudie med gemfibrozil, en in vitro-hämmare av OAT3- och OATP1B1/1B3- transportörer, visade att Cmax för empagliflozin ökade med 15 % och att AUC ökade med 59 % efter samtidig administrering. Dessa förändringar ansågs inte vara kliniskt betydelsefulla.
Hämning av OATP1B1/1B3-transportörer genom samtidig administrering med rifampicin, resulterade i 75 % ökning av Cmax och 35 % ökning av AUC för empagliflozin. Dessa förändringar ansågs inte vara kliniskt betydelsefulla.
Empagliflozin-exponeringen var likartad med och utan samtidig administrering av verapamil, en P-gp-hämmare, vilket tyder på att hämning av P-gp inte har någon kliniskt relevant effekt på empagliflozin.
Interaktionsstudier tyder på att farmakokinetiken för empagliflozin inte påverkades av samtidig administrering av metformin, glimepirid, pioglitazon, sitagliptin, linagliptin, warfarin, verapamil, ramipril, simvastatin, torasemid och hydroklortiazid.
Effekter av empagliflozin på andra läkemedel
Empagliflozin kan öka renal utsöndring av litium och litiumnivåerna i blodet kan minska. Litiumkoncentration i serum ska övervakas oftare efter insättning av empagliflozin och vid dosändringar. Hänvisa patienten till läkaren som förskrivit litium för övervakning av litiumkoncentration i serum.
Baserat på in vitro-studier, hämmar, inaktiverar eller inducerar empagliflozin inte CYP450-isoformer. Empagliflozin hämmar inte UGT1A1, UGT1A3, UGT1A8, UGT1A9 eller UGT2B7. Läkemedelsinteraktioner som inbegriper de viktigaste CYP450- och UGT-isoformerna mellan empagliflozin och samtidigt administrerade substrat för dessa enzymer är därför osannolika.
Terapeutiska doser av empagliflozin hämmar inte P-gp. Baserat på in vitro-studier anses det osannolikt att empagliflozin orsakar interaktioner med aktiva substanser som är P-gp-substrat. Samtidig administrering av digoxin, ett P-gp-substrat, med empagliflozin resulterade i 6 % ökning av AUC och 14 % ökning av Cmax för digoxin. Dessa förändringar ansågs inte vara kliniskt betydelsefulla.
Empagliflozin hämmar inte humana upptagstransportörer såsom OAT3, OATP1B1 och OATP1B3 in vitro vid kliniskt relevanta plasmakoncentrationer och, som sådan, anses läkemedelsinteraktioner med substrat av dessa upptagstransportörer osannolika.
Interaktionsstudier utförda på friska frivilliga tyder på att empagliflozin inte hade några kliniskt relevanta effekter på farmakokinetiken för metformin, glimepirid, pioglitazon, sitagliptin, linagliptin, simvastatin, warfarin, ramipril, digoxin, diuretika och orala preventivmedel.
Pediatrisk population
Interaktionsstudier har endast utförts på vuxna.
Graviditet
Det finns inga data från användning av empagliflozin hos gravida kvinnor. Data från djurstudier visar att empagliflozin passerar placentan under sen dräktighet i mycket begränsad omfattning, men visar inte några direkta eller indirekta skadliga effekter på tidig embryonal utveckling. Däremot har data från djurstudier visat negativa effekter på postnatal utveckling (se avsnitt 5.3). Som en försiktighetsåtgärd bör man undvika användning av Jardiance under graviditet.
Amning
Det finns inga data för människor om utsöndring av empagliflozin i bröstmjölk. Tillgängliga toxikologiska djurdata har visat att empagliflozin utsöndras i mjölk. En risk för det nyfödda barnet/spädbarnet kan inte uteslutas. Jardiance ska inte användas under amning.
Fertilitet
Inga studier avseende effekten på fertilitet hos människa har utförts för Jardiance. Data från djurstudier tyder inte på några direkta eller indirekta skadliga effekter avseende fertilitet (se avsnitt 5.3).
Jardiance har mindre effekt på förmågan att framföra fordon och använda maskiner. Patienter ska rådas att vidta försiktighetsåtgärder för att undvika hypoglykemi vid framförande av fordon och användning av maskiner, i synnerhet när Jardiance används i kombination med en sulfonureid och/eller insulin.
Sammanfattning av säkerhetsprofilen
Diabetes mellitus typ 2
Totalt 15 582 patienter med diabetes mellitus typ 2 ingick i kliniska studier för att utvärdera säkerheten för empagliflozin, varav 10 004 patienter fick empagliflozin, antingen ensamt eller i kombination med metformin, en sulfonureid, pioglitazon, DPP‑4‑hämmare eller insulin.
I 6 placebokontrollerade studier som pågick i 18 till 24 veckor ingick 3 534 patienter, varav 1 183 behandlades med placebo och 2 351 med empagliflozin. Den totala incidensen av biverkningar hos patienter som behandlades med empagliflozin var likartad med placebo. Den oftast rapporterade biverkningen var hypoglykemi vid användning tillsammans med sulfonureider eller insulin (se beskrivning av valda biverkningar).
Hjärtsvikt
EMPEROR-studierna inkluderade patienter med hjärtsvikt och antingen nedsatt ejektionsfraktion (N=3 726) eller bevarad ejektionsfraktion (N=5 985) som fick behandling med empagliflozin 10 mg eller placebo. Cirka hälften av patienterna hade diabetes mellitus typ 2. Den vanligaste biverkningen i de poolade studierna EMPEROR‑Reduced och EMPEROR‑Preserved var volymförlust (empagliflozin 10 mg: 11,4 %, placebo: 9,7 %).
Kronisk njursjukdom
I studien EMPA-KIDNEY ingick patienter med kronisk njursjukdom (N = 6 609) behandlade med 10 mg empagliflozin eller placebo. Cirka 44 % av patienterna hade diabetes mellitus typ 2. De vanligaste biverkningarna i EMPA-KIDNEY-studien var gikt (empagliflozin 7,0 % kontra placebo 8,0 %) och akut njurskada (empagliflozin 2,8 % kontra placebo 3,5 %), vilka rapporterades oftare hos patienter som fick placebo.
Den totala säkerhetsprofilen för empagliflozin var generellt konsekvent för de studerade indikationerna.
Biverkningar i tabellform
Biverkningar är indelade efter organsystem och MedDRA:s föredragna termer, vilka rapporterats hos patienter som fick empagliflozin i placebokontrollerade studier presenteras i tabellen nedan (tabell 1).
Biverkningarna är listade efter absolut frekvens. Frekvenserna definieras som mycket vanliga (≥1/10), vanliga (≥1/100, <1/10), mindre vanliga (≥1/1 000, <1/100), sällsynta (≥1/10 000, <1/1 000) eller mycket sällsynta (<1/10 000) och ingen känd frekvens (kan inte beräknas från tillgängliga data).
Tabell 1: Biverkningar i tabellform (MedDRA) från placebokontrollerade studier och från erfarenheter efter marknadsintroduktion.
a se underavsnitten nedan för mer information
* se avsnitt 4.4
Beskrivning av valda biverkningar
Hypoglykemi
Hypoglykemifrekvensen berodde på bakgrundsbehandlingen i respektive studie och var likartad för empagliflozin och placebo som monoterapi, som tillägg till metformin, som tillägg till pioglitazon med eller utan metformin, som tillägg till linagliptin och metformin, som komplement till standardbehandling samt för kombinationen av empagliflozin med metformin till tidigare obehandlade patienter, jämfört med dem som behandlats med empagliflozin och metformin som enskilda komponenter. En ökad frekvens noterades när det gavs som tillägg till metformin och en sulfonureid (empagliflozin 10 mg: 16,1 %, empagliflozin 25 mg: 11,5 %, placebo: 8,4 %), som tillägg till basinsulin med eller utan metformin och med eller utan en sulfonureid (empagliflozin 10 mg: 19,5 %, empagliflozin 25 mg: 28,4 %, placebo: 20,6 % under de första 18 veckorna av behandling när insulin inte kunde anpassas; empagliflozin 10 mg och 25 mg: 36,1 %, placebo 35,3 % under 78‑veckorsstudien), och som tillägg till MDI-insulin (flera dagliga injektioner; Multiple Daily Injections) med eller utan metformin (empagliflozin 10 mg: 39,8 %, empagliflozin 25 mg: 41,3 %, placebo: 37,2 % under den initiala 18-veckorsbehandlingen när insulin inte kunde justeras; empagliflozin 10 mg: 51,1 %, empagliflozin 25 mg: 57,7 %, placebo: 58 % under 52-veckorsstudien).
I hjärtsviktsstudierna EMPEROR sågs likartad frekvens av hypoglykemi vid användning som tillägg till sulfonureid eller insulin (empagliflozin 10 mg: 6,5 %, placebo: 6,7 %).
Allvarlig hypoglykemi (händelser som kräver assistans)
Ingen ökning av allvarlig hypoglykemi sågs med empagliflozin jämfört med placebo som monoterapi, som tillägg till metformin, som tillägg till metformin och en sulfonureid, som tillägg till pioglitazon med eller utan metformin, som tillägg till linagliptin och metformin, som komplement till standardbehandling samt för kombinationen av empagliflozin med metformin till tidigare obehandlade patienter jämfört med dem som behandlats med empagliflozin och metformin som enskilda komponenter. En ökad frekvens noterades när det gavs som tillägg till basinsulin med eller utan metformin och med eller utan en sulfonureid (empagliflozin 10 mg: 0 %, empagliflozin 25 mg: 1,3 %, placebo: 0 % under de första 18 veckorna av behandling när insulin inte kunde anpassas; empagliflozin 10 mg: 0 %, empagliflozin 25 mg: 1,3 %, placebo 0 % under 78‑veckorsstudien) och som tillägg till MDI-insulin med eller utan metformin (empagliflozin 10 mg: 0,5 %, empagliflozin 25 mg: 0,5 %, placebo: 0,5 % under den initiala 18-veckorsbehandlingen när insulin inte kunde justeras; empagliflozin 10 mg: 1,6 %, empagliflozin 25 mg: 0,5 %, placebo: 1,6 % under 52-veckorsstudien).
I hjärtsviktsstudierna EMPEROR sågs allvarlig hypoglykemi vid likartade frekvenser hos patienter med diabetes mellitus vid behandling med empagliflozin och placebo som tillägg till sulfonureid eller insulin (empagliflozin 10 mg: 2,2 %, placebo: 1,9 %).
Vaginal kandidos, vulvovaginit, balanit och andra genitala infektioner
Vaginal kandidos, vulvovaginit, balanit och andra genitala infektioner rapporterades oftare hos patienter som behandlades med empagliflozin (empagliflozin 10 mg: 4,0 %, empagliflozin 25 mg: 3,9 %) jämfört med placebo (1,0 %). Dessa infektioner rapporterades oftare hos kvinnor som behandlades med empagliflozin jämfört med placebo, och skillnaden i frekvens var mindre markant hos män. Infektioner i könsdelarna var av lindrig eller måttlig svårighetsgrad.
I hjärtsviktsstudierna EMPEROR var frekvensen av dessa infektioner mer uttalad hos patienter med diabetes mellitus (empagliflozin 10 mg: 2,3 %, placebo: 0,8 %) än hos patienter utan diabetes mellitus (empagliflozin 10 mg: 1,7 %, placebo: 0,7 %) vid behandling med empagliflozin jämfört med placebo.
Fall av fimos/förvärvad fimos har rapporterats samtidigt med genitala infektioner och i vissa fall krävdes omskärelse.
Ökad urinering
Ökad urinering (inbegripet de fördefinierade termerna pollakiuri, polyuri och nokturi) observerades vid högre frekvenser hos patienter som behandlades med empagliflozin (empagliflozin 10 mg: 3,5 %, empagliflozin 25 mg: 3,3 %) jämfört med placebo (1,4 %). Ökad urinering var i de flesta fall av lindrig eller måttlig svårighetsgrad. Frekvensen av rapporterad nokturi var likartad för placebo och empagliflozin (<1 %).
I hjärtsviktsstudierna EMPEROR observerades ökad urinering vid likartade frekvenser hos patienter behandlade med empagliflozin och placebo (empagliflozin 10 mg; 0,9 %, placebo 0,5 %).
Urinvägsinfektioner
Den totala frekvensen av urinvägsinfektioner som rapporterades som biverkning var likartad hos patienter som behandlats med empagliflozin 25 mg och placebo (7,0 % och 7,2 %) och högre för patienter som behandlades med empagliflozin 10 mg (8,8 %). På liknande sätt som för placebo, rapporterades urinvägsinfektioner oftare för empagliflozin hos patienter med en historia av kroniska eller återkommande urinvägsinfektioner. Urinvägsinfektionens svårighetsgrad (mild, måttlig, svår) var likartad hos patienter som behandlades med empagliflozin och placebo. Dessa infektioner rapporterades oftare hos kvinnor som behandlades med empagliflozin jämfört med placebo; ingen skillnad noterades bland män.
Volymförlust
Den totala frekvensen av volymförlust (inklusive de fördefinierade termerna sänkt (ambulatoriskt) blodtryck, sänkt systoliskt blodtryck, uttorkning, hypotoni, hypovolemi, ortostatisk hypotoni och synkope) var likartade hos patienter som behandlades med empagliflozin (empagliflozin 10 mg: 0,6 %, empagliflozin 25 mg: 0,4 %) och placebo (0,3 %). Frekvensen av volymförlust-händelser ökade hos patienter som var 75 år eller äldre vilka behandlades med empagliflozin 10 mg (2,3 %) eller empagliflozin 25 mg (4,3 %) jämfört med placebo (2,1 %).
Ökat blodkreatinin/minskad glomerulär filtrationshastighet
Den totala frekvensen av patienter med ökat blodkreatinin och minskad glomerulär filtrationshastighet var likvärdig för empagliflozin och placebo (ökat blodkreatinin: empagliflozin 10 mg 0,6 %, empagliflozin 25 mg 0,1 %, placebo 0,5 %; minskad glomerulär filtrationshastighet: empagliflozin 10 mg 0,1 %, empagliflozin 25 mg 0 %, placebo 0,3 %).
Initiala kreatininökningar och initiala minskningar i estimerad glomerulär filtrationshastighet hos patienter som behandlas med empagliflozin var generellt sett övergående under kontinuerlig behandling eller reversibla efter utsättning av läkemedelsbehandling.
Genomgående i EMPA‑REG OUTCOME‑studien hade patienter behandlade med empagliflozin ett initialt fall i eGFR (medelvärde 3 ml/min/1,73 m2). Därefter bevarades eGFR-nivån under fortsatt behandling. Medelvärdet för eGFR återgick till baslinjenivån när behandlingen sattes ut vilket antyder att akuta hemodynamiska förändringar kan spela en roll för dessa njurfunktionsförändringar. Detta fenomen observerades också i hjärtsviktsstudierna EMPEROR och i EMPA-KIDNEY-studien.
Ökning av serumlipider
Genomsnittliga procentuella ökningar från baslinjen för empagliflozin 10 mg respektive 25 mg jämfört med placebo var för totalt kolesterol 4,9 % och 5,7 % jämfört med 3,5 %; för HDL‑kolesterol 3,3 % och 3,6 % jämfört med 0,4 %; för LDL‑kolesterol 9,5 % och 10,0 % jämfört med 7,5 %; för triglycerider 9,2 % och 9,9 % jämfört med 10,5 %.
Ökning av hematokrit
Genomsnittlig förändring av hematokrit från baslinjen var 3,4 % och 3,6 % för empagliflozin 10 mg respektive 25 mg, jämfört med 0,1 % för placebo. I EMPA‑REG OUTCOME-studien återgick hematokritnivåerna till baslinjevärdena efter en uppföljningsperiod på 30 dagar efter avslutad behandling.
Pediatrisk population
I DINAMO-studien behandlades 157 barn från 10 års ålder med typ 2-diabetes, varav 52 patienter fick empagliflozin, 52 fick linagliptin och 53 fick placebo (se avsnitt 5.1).
Under den placebokontrollerade fasen var den vanligaste biverkningen hypoglykemi med högre total frekvens hos patienter i den poolade gruppen med empagliflozin jämfört med placebo (empagliflozin 10 mg och 25 mg, poolade: 23,1 %, placebo: 9,4 %). Ingen av dessa händelser var allvarliga eller krävde assistans.
Totalt sett var säkerhetsprofilen hos barn likartad den hos vuxna med diabetes mellitus typ 2.
Symtom
I kontrollerade kliniska studier visade engångsdoser på upp till 800 mg empagliflozin hos friska frivilliga och upprepade doser på upp till 100 mg empagliflozin hos patienter med diabetes mellitus typ 2 ingen toxicitet. Empagliflozin ökade uringlukosutsöndringen vilket ledde till en ökad urinvolym. Den observerade ökningen av urinvolymen var inte dosberoende och är inte kliniskt betydelsefull. Det finns ingen erfarenhet av doser över 800 mg hos människa.
Behandling
Om överdosering inträffar ska lämplig behandling utifrån patientens kliniska status sättas in. Avlägsnande av empagliflozin genom hemodialys har inte studerats.
Diabetes mellitus typ 2
Jardiance är avsett för behandling av vuxna och barn från 10 års ålder med otillräckligt kontrollerad diabetes mellitus typ 2 som ett komplement till diet och motion
som monoterapi när metformin inte anses lämpligt på grund av intolerans.
som tillägg till andra läkemedel för behandling av diabetes.
För studieresultat vad gäller kombination av behandlingar, effekter på glykemisk kontroll, kardiovaskulära händelser och njurhändelser samt vilka populationer som har studerats, se avsnitt 4.4, 4.5 och 5.1.
Hjärtsvikt
Jardiance är avsett för behandling av vuxna med symtomatisk kronisk hjärtsvikt.
Kronisk njursjukdom
Jardiance är avsett för behandling av vuxna med kronisk njursjukdom.
Dosering
Diabetes mellitus typ 2
Rekommenderad startdos är 10 mg empagliflozin en gång dagligen som monoterapi och som tillägg till kombinationsbehandling med andra läkemedel för behandling av diabetes. Hos patienter som tolererar empagliflozin 10 mg en gång dagligen, har ett eGFR ≥60 ml/min/1,73 m2 och behöver striktare glykemisk kontroll kan dosen höjas till 25 mg en gång dagligen. Den maximala dagsdosen är 25 mg (se nedan och avsnitt 4.4).
Hjärtsvikt
Rekommenderad dos är 10 mg empagliflozin en gång dagligen.
Kronisk njursjukdom
Rekommenderad dos är 10 mg empagliflozin en gång dagligen.
Alla indikationer
När empagliflozin används i kombination med en sulfonureid eller med insulin kan en lägre dos av sulfonureid eller insulin övervägas för att minska risken för hypoglykemi (se avsnitt 4.5 och 4.8).
Om en dos har missats, ska den tas så snart patienten kommer ihåg det; dubbel dos ska dock inte tas på samma dag.
Särskilda populationer
Nedsatt njurfunktion
På grund av begränsad erfarenhet är det inte rekommenderat att initiera behandling med empagliflozin hos patienter med eGFR < 20 ml/min/1,73 m2.
Hos patienter med eGFR < 60 ml/min/1,73 m2 är den dagliga dosen empagliflozin 10 mg.
Hos patienter med diabetes mellitus typ 2 är den glukossänkande effekten av empagliflozin nedsatt hos patienter med eGFR < 45 ml/min/1,73 m2 och saknas sannolikt hos patienter med eGFR < 30 ml/min/1,73 m2. Om eGFR sjunker under 45 ml/min/1,73 m2 ska därför ytterligare glukossänkande behandling övervägas vid behov (se avsnitt 4.4, 4.8, 5.1 och 5.2).
Nedsatt leverfunktion
Ingen dosjustering är nödvändig för patienter med nedsatt leverfunktion. Exponeringen av empagliflozin är förhöjd hos patienter med kraftigt nedsatt leverfunktion. Terapeutisk erfarenhet av patienter med kraftigt nedsatt leverfunktion är begränsad, och rekommenderas därför inte för användning i denna population (se avsnitt 5.2).
Äldre
Ingen dosjustering rekommenderas baserat på ålder. Hos patienter 75 år och äldre, ska en ökad risk för volymförlust beaktas (se avsnitt 4.4 och 4.8).
Pediatrisk population
Rekommenderad startdos är 10 mg empagliflozin en gång dagligen. Hos patienter som tolererar empagliflozin 10 mg en gång dagligen och behöver ytterligare glykemisk kontroll kan dosen ökas till 25 mg en gång dagligen (se avsnitt 5.1 och 5.2). Inga data finns tillgängliga för barn med eGFR < 60 ml/min/1,73 m² och barn under 10 år.
Säkerhet och effekt för empagliflozin för behandling av hjärtsvikt eller för behandling av kronisk njursjukdom för barn under 18 år har inte fastställts. Inga data finns tillgängliga.
Administreringssätt
Tabletterna kan tas med eller utan mat, och sväljes hela med vatten.
Överkänslighet mot den aktiva substansen eller mot något hjälpämne som anges i avsnitt 6.1.
Allmänt
Empagliflozin ska inte användas hos patienter med diabetes mellitus typ 1 (se ”Ketoacidos” i avsnitt 4.4).
Ketoacidos
Fall av ketoacidos, inklusive livshotande och fatala fall, har rapporterats hos patienter med diabetes mellitus behandlade med SGLT2‑hämmare, inklusive empagliflozin. I ett antal fall var tillståndet atypiskt med endast måttligt förhöjda blodglukosvärden, under 14 mmol/l (250 mg/dl). Det är inte känt om ketoacidos uppträder med större sannolikhet vid högre doser av empagliflozin. Även om det är mindre sannolikt att ketoacidos uppkommer hos patienter utan diabetes mellitus, har fall rapporterats även hos dessa patienter.
Risken för ketoacidos måste beaktas i händelse av ospecifika symtom såsom illamående, kräkningar, anorexi, buksmärtor, kraftig törst, andningsbesvär, förvirring, ovanlig trötthet eller sömnighet. Patienter ska, oavsett blodglukosvärde, omedelbart bedömas med avseende på ketoacidos om dessa symtom uppträder.
Hos patienter där ketoacidos misstänks eller bekräftas ska behandling med empagliflozin omedelbart avbrytas.
Behandlingen ska avbrytas hos patienter som läggs in på sjukhus för större kirurgiska ingrepp eller akuta allvarliga sjukdomar. Provtagning av ketoner rekommenderas för dessa patienter. Mätning av ketonnivåer i blodet istället för urinen är att föredra.
Behandling med empagliflozin kan återupptas när ketonvärdena är normala och
patientens tillstånd har stabiliserats.
Innan behandling med empagliflozin påbörjas ska faktorer i patientens bakgrund, som kan predisponera för ketoacidos, beaktas.
Långvarig ketoacidos och långvarig glukosuri har observerats med empagliflozin. Ketoacidos kan kvarstå längre efter utsättning av empagliflozin än vad som förväntas med tanke på halveringstiden i plasma (se avsnitt 5.2). Empagliflozin-oberoende faktorer, såsom insulinbrist, kan ha betydelse för långvariga perioder med ketaoacidos.
Patienter som kan ha en förhöjd risk för ketoacidos innefattar patienter med en låg reserv av funktionella betaceller (t.ex. patienter med typ 2‑diabetes med lågt C‑peptidvärde eller latent autoimmun diabetes hos vuxna (LADA) eller patienter med tidigare pankreatit), patienter med tillstånd som medför minskat födointag eller allvarlig vätskebrist, patienter för vilka insulindoser minskats samt patienter med ökat insulinbehov till följd av akut sjukdom, kirurgiskt ingrepp eller alkoholmissbruk. SGLT2‑hämmare ska användas med försiktighet hos dessa patienter.
Patienter som tidigare har drabbats av ketoacidos vid behandling med SGLT2‑hämmare rekommenderas inte att återuppta behandling med SGLT2‑hämmare om inte en annan tydlig utlösande faktor har identifierats och åtgärdats.
Jardiance ska inte användas hos patienter med typ 1‑diabetes. Data från ett kliniskt prövningsprogram med patienter med typ 1‑diabetes visade ökad förekomst av ketoacidos, med frekvensen vanlig, hos patienter behandlade med empagliflozin 10 mg och 25 mg som ett komplement till insulin jämfört med placebo.
Nedsatt njurfunktion
På grund av begränsad erfarenhet är det inte rekommenderat att initiera behandling med empagliflozin hos patienter med eGFR < 20 ml/min/1,73 m2.
Hos patienter med eGFR < 60 ml/min/1,73 m2 är den dagliga dosen empagliflozin 10 mg (se avsnitt 4.2).
Den glukossänkande effekten av empagliflozin är beroende av njurfunktionen och är nedsatt hos patienter med eGFR < 45 ml/min/1,73 m2 och saknas sannolikt hos patienter med eGFR < 30 ml/min/1,73 m2 (se avsnitt 4.2, 5.1 och 5.2)
Övervakning av njurfunktionen
Utvärdering av njurfunktionen rekommenderas enligt följande:
Före behandlingen med empagliflozin och regelbundet under behandlingen, det vill säga minst årligen (se avsnitt 4.2, 4.8, 5.1 och 5.2).
Före samtida behandling med något annat läkemedel som kan ha en negativ effekt på njurfunktionen.
Risk för volymförlust
Baserat på verkningsmekanismen för SGLT2-hämmare, kan osmotisk diures som åtföljer glukosuri leda till en måttlig sänkning av blodtrycket (se avsnitt 5.1). Därför ska försiktighet iakttas hos patienter där ett empagliflozin-inducerat blodtrycksfall skulle kunna utgöra en risk, såsom patienter med känd hjärt-kärlsjukdom, patienter som får blodtryckssänkande behandling med hypotoni i anamnesen eller patienter som är 75 år och äldre.
Vid förhållanden som kan leda till vätskeförlust (t.ex. gastrointestinal sjukdom), rekommenderas noggrann övervakning av volymstatus (t.ex kroppsundersökning, blodtrycksmätningar, laboratorieprover, inklusive hematokrit) och elektrolyter för patienter som får empagliflozin. Tillfällig utsättning av behandling med empagliflozin ska övervägas tills vätskeförlusten har korrigerats.
Äldre
Effekten av empagliflozin på uringlukosutsöndring är förknippad med osmotisk diures, som kan påverka vätskestatus. Patienter i åldern 75 år och äldre kan löpa en ökad risk för volymförlust. Ett större antal av dessa patienter som behandlades med empagliflozin hade biverkningar relaterade till volymförlust jämfört med placebo (se avsnitt 4.8). Därför ska dessa patienters vätskeintag tas i särskilt beaktande vid samtidig administrering av läkemedel som kan orsaka volymförlust (t.ex. diuretika, ACE‑hämmare).
Komplicerade urinvägsinfektioner
Fall av komplicerade urinvägsinfektioner inklusive pyelonefrit och urosepsis har rapporterats hos patienter behandlade med empagliflozin (se avsnitt 4.8). Tillfällig utsättning av empagliflozin ska övervägas hos patienter med komplicerade urinvägsinfektioner.
Nekrotiserande fasciit i perineum (Fourniers gangrän)
Fall av nekrotiserande fasciit i perineum (s.k. Fourniers gangrän) har rapporterats hos kvinnliga och manliga patienter som tagit SGLT2-hämmare, inklusive empagliflozin. Detta är en sällsynt men allvarlig och potentiellt livshotande biverkning som kräver ett kirurgiskt akutingrepp och antibiotikabehandling.
Patienter ska rådas att söka läkarhjälp om de upplever en kombination av symtom som smärta, ömhet, erytem eller svullnad i genital- eller perinealområdet, tillsammans med feber eller sjukdomskänsla. Observera att urogenital infektion eller perineal abscess kan föregå nekrotiserande fasciit. Vid misstanke om Fourniers gangrän ska Jardiance sättas ut och omedelbar behandling (såsom antibiotika och kirurgisk debridering) sättas in.
Amputationer av nedre extremiteter
Ett ökat antal amputationer av nedre extremiteter (framförallt av tår) har observerats i kliniska långtidsstudier med en annan SGLT2-hämmare. Det är inte känt om detta är en klasseffekt. Som till alla patienter med diabetes är det viktigt att ge råd om rutinmässig förebyggande fotvård.
Leverskada
Fall av leverskada har rapporterats med empagliflozin i kliniska prövningar. Något orsakssamband mellan empagliflozin och leverskada har inte fastställts.
Förhöjd hematokrit
En ökning av hematokrit observerades vid empagliflozinbehandling (se avsnitt 4.8).
Patienter med uttalade ökningar av hematokrit ska övervakas och utredas för underliggande hematologisk sjukdom.
Kronisk njursjukdom
Patienter med albuminuri kan ha större nytta av behandling med empagliflozin.
Infiltrativ sjukdom eller takotsubokardiomyopati
Patienter med infiltrativ sjukdom eller med takotsubokardiomyopati har inte studerats specifikt. Således har effekt hos dessa patienter inte fastställts.
Urinprover
Patienter som tar Jardiance testar positivt för glukos i urinen, på grund av verkningsmekanismen.
Interferens med analys av 1,5‑anhydroglucitol (1,5‑AG)
Övervakning av den glykemiska kontrollen med 1,5‑AG‑analys rekommenderas inte eftersom mätningar av 1,5‑AG inte är tillförlitliga för bedömning av den glykemiska kontrollen hos patienter som tar SGLT2‑hämmare. Användning av alternativa metoder för att övervaka den glykemiska kontrollen rekommenderas.
Laktos
Tabletterna innehåller laktos. Patienter med något av följande sällsynta ärftliga tillstånd bör inte använda detta läkemedel: galaktosintolerans, total laktasbrist eller glukos-galaktosmalabsorption.
Natrium
Varje tablett innehåller mindre än 1 mmol (23 mg) natrium, det vill säga är näst intill ”natriumfri”.
Farmakodynamiska interaktioner
Diuretika
Empagliflozin kan bidra till den diuretiska effekten av tiazid- och loopdiuretika och kan öka risken för uttorkning och hypotoni (se avsnitt 4.4).
Insulin och insulinsekretagoger
Insulin och insulinsekretagoger, såsom sulfonureider, kan öka risken för hypoglykemi. För att minska risken för hypoglykemi, kan dosen av insulin eller en insulinsektretagog behöva sänkas när de används i kombination med empagliflozin (se avsnitt 4.2 och 4.8).
Farmakokinetiska interaktioner
Effekter av andra läkemedel på empagliflozin
In vitro-data tyder på att den huvudsakliga metaboliseringsvägen för empagliflozin hos människa är genom glukuronidering av uridin 5’-difosfoglukuronosyltransferaserna UGT1A3, UGT1A8, UGT1A9 och UGT2B7. Empagliflozin är ett substrat för de humana upptagstransportörerna OAT3, OATP1B1 och OATP1B3, men inte OAT1 och OCT2. Empagliflozin är ett substrat för P-glykoprotein (P-gp) och bröstcancerresistensprotein (BCRP).
Samtidig administrering av empagliflozin med probenecid, en hämmare av UGT-enzymer och OAT3, resulterade i 26 % ökning av de högsta plasmakoncentrationerna för empagliflozin (Cmax) och 53 % ökning av arean under koncentration-tidskurvan (AUC). Dessa förändringar ansågs inte vara kliniskt betydelsefulla.
Effekten av UGT-induktion (t.ex. induktion av rifampicin eller fenytoin) på empagliflozin har inte studerats. Samtidig behandling med kända UGT-enzyminducerare rekommenderas inte på grund av en potentiell risk för minskad effekt. Om en UGT-enzyminducerare måste användas samtidigt är det lämpligt att övervaka den glykemiska kontrollen för att bedöma svaret av Jardiance.
En interaktionsstudie med gemfibrozil, en in vitro-hämmare av OAT3- och OATP1B1/1B3- transportörer, visade att Cmax för empagliflozin ökade med 15 % och att AUC ökade med 59 % efter samtidig administrering. Dessa förändringar ansågs inte vara kliniskt betydelsefulla.
Hämning av OATP1B1/1B3-transportörer genom samtidig administrering med rifampicin, resulterade i 75 % ökning av Cmax och 35 % ökning av AUC för empagliflozin. Dessa förändringar ansågs inte vara kliniskt betydelsefulla.
Empagliflozin-exponeringen var likartad med och utan samtidig administrering av verapamil, en P-gp-hämmare, vilket tyder på att hämning av P-gp inte har någon kliniskt relevant effekt på empagliflozin.
Interaktionsstudier tyder på att farmakokinetiken för empagliflozin inte påverkades av samtidig administrering av metformin, glimepirid, pioglitazon, sitagliptin, linagliptin, warfarin, verapamil, ramipril, simvastatin, torasemid och hydroklortiazid.
Effekter av empagliflozin på andra läkemedel
Empagliflozin kan öka renal utsöndring av litium och litiumnivåerna i blodet kan minska. Litiumkoncentration i serum ska övervakas oftare efter insättning av empagliflozin och vid dosändringar. Hänvisa patienten till läkaren som förskrivit litium för övervakning av litiumkoncentration i serum.
Baserat på in vitro-studier, hämmar, inaktiverar eller inducerar empagliflozin inte CYP450-isoformer. Empagliflozin hämmar inte UGT1A1, UGT1A3, UGT1A8, UGT1A9 eller UGT2B7. Läkemedelsinteraktioner som inbegriper de viktigaste CYP450- och UGT-isoformerna mellan empagliflozin och samtidigt administrerade substrat för dessa enzymer är därför osannolika.
Terapeutiska doser av empagliflozin hämmar inte P-gp. Baserat på in vitro-studier anses det osannolikt att empagliflozin orsakar interaktioner med aktiva substanser som är P-gp-substrat. Samtidig administrering av digoxin, ett P-gp-substrat, med empagliflozin resulterade i 6 % ökning av AUC och 14 % ökning av Cmax för digoxin. Dessa förändringar ansågs inte vara kliniskt betydelsefulla.
Empagliflozin hämmar inte humana upptagstransportörer såsom OAT3, OATP1B1 och OATP1B3 in vitro vid kliniskt relevanta plasmakoncentrationer och, som sådan, anses läkemedelsinteraktioner med substrat av dessa upptagstransportörer osannolika.
Interaktionsstudier utförda på friska frivilliga tyder på att empagliflozin inte hade några kliniskt relevanta effekter på farmakokinetiken för metformin, glimepirid, pioglitazon, sitagliptin, linagliptin, simvastatin, warfarin, ramipril, digoxin, diuretika och orala preventivmedel.
Pediatrisk population
Interaktionsstudier har endast utförts på vuxna.
Graviditet
Det finns inga data från användning av empagliflozin hos gravida kvinnor. Data från djurstudier visar att empagliflozin passerar placentan under sen dräktighet i mycket begränsad omfattning, men visar inte några direkta eller indirekta skadliga effekter på tidig embryonal utveckling. Däremot har data från djurstudier visat negativa effekter på postnatal utveckling (se avsnitt 5.3). Som en försiktighetsåtgärd bör man undvika användning av Jardiance under graviditet.
Amning
Det finns inga data för människor om utsöndring av empagliflozin i bröstmjölk. Tillgängliga toxikologiska djurdata har visat att empagliflozin utsöndras i mjölk. En risk för det nyfödda barnet/spädbarnet kan inte uteslutas. Jardiance ska inte användas under amning.
Fertilitet
Inga studier avseende effekten på fertilitet hos människa har utförts för Jardiance. Data från djurstudier tyder inte på några direkta eller indirekta skadliga effekter avseende fertilitet (se avsnitt 5.3).
Jardiance har mindre effekt på förmågan att framföra fordon och använda maskiner. Patienter ska rådas att vidta försiktighetsåtgärder för att undvika hypoglykemi vid framförande av fordon och användning av maskiner, i synnerhet när Jardiance används i kombination med en sulfonureid och/eller insulin.
Sammanfattning av säkerhetsprofilen
Diabetes mellitus typ 2
Totalt 15 582 patienter med diabetes mellitus typ 2 ingick i kliniska studier för att utvärdera säkerheten för empagliflozin, varav 10 004 patienter fick empagliflozin, antingen ensamt eller i kombination med metformin, en sulfonureid, pioglitazon, DPP‑4‑hämmare eller insulin.
I 6 placebokontrollerade studier som pågick i 18 till 24 veckor ingick 3 534 patienter, varav 1 183 behandlades med placebo och 2 351 med empagliflozin. Den totala incidensen av biverkningar hos patienter som behandlades med empagliflozin var likartad med placebo. Den oftast rapporterade biverkningen var hypoglykemi vid användning tillsammans med sulfonureider eller insulin (se beskrivning av valda biverkningar).
Hjärtsvikt
EMPEROR-studierna inkluderade patienter med hjärtsvikt och antingen nedsatt ejektionsfraktion (N=3 726) eller bevarad ejektionsfraktion (N=5 985) som fick behandling med empagliflozin 10 mg eller placebo. Cirka hälften av patienterna hade diabetes mellitus typ 2. Den vanligaste biverkningen i de poolade studierna EMPEROR‑Reduced och EMPEROR‑Preserved var volymförlust (empagliflozin 10 mg: 11,4 %, placebo: 9,7 %).
Kronisk njursjukdom
I studien EMPA-KIDNEY ingick patienter med kronisk njursjukdom (N = 6 609) behandlade med 10 mg empagliflozin eller placebo. Cirka 44 % av patienterna hade diabetes mellitus typ 2. De vanligaste biverkningarna i EMPA-KIDNEY-studien var gikt (empagliflozin 7,0 % kontra placebo 8,0 %) och akut njurskada (empagliflozin 2,8 % kontra placebo 3,5 %), vilka rapporterades oftare hos patienter som fick placebo.
Den totala säkerhetsprofilen för empagliflozin var generellt konsekvent för de studerade indikationerna.
Biverkningar i tabellform
Biverkningar är indelade efter organsystem och MedDRA:s föredragna termer, vilka rapporterats hos patienter som fick empagliflozin i placebokontrollerade studier presenteras i tabellen nedan (tabell 1).
Biverkningarna är listade efter absolut frekvens. Frekvenserna definieras som mycket vanliga (≥1/10), vanliga (≥1/100, <1/10), mindre vanliga (≥1/1 000, <1/100), sällsynta (≥1/10 000, <1/1 000) eller mycket sällsynta (<1/10 000) och ingen känd frekvens (kan inte beräknas från tillgängliga data).
Tabell 1: Biverkningar i tabellform (MedDRA) från placebokontrollerade studier och från erfarenheter efter marknadsintroduktion.
a se underavsnitten nedan för mer information
* se avsnitt 4.4
Beskrivning av valda biverkningar
Hypoglykemi
Hypoglykemifrekvensen berodde på bakgrundsbehandlingen i respektive studie och var likartad för empagliflozin och placebo som monoterapi, som tillägg till metformin, som tillägg till pioglitazon med eller utan metformin, som tillägg till linagliptin och metformin, som komplement till standardbehandling samt för kombinationen av empagliflozin med metformin till tidigare obehandlade patienter, jämfört med dem som behandlats med empagliflozin och metformin som enskilda komponenter. En ökad frekvens noterades när det gavs som tillägg till metformin och en sulfonureid (empagliflozin 10 mg: 16,1 %, empagliflozin 25 mg: 11,5 %, placebo: 8,4 %), som tillägg till basinsulin med eller utan metformin och med eller utan en sulfonureid (empagliflozin 10 mg: 19,5 %, empagliflozin 25 mg: 28,4 %, placebo: 20,6 % under de första 18 veckorna av behandling när insulin inte kunde anpassas; empagliflozin 10 mg och 25 mg: 36,1 %, placebo 35,3 % under 78‑veckorsstudien), och som tillägg till MDI-insulin (flera dagliga injektioner; Multiple Daily Injections) med eller utan metformin (empagliflozin 10 mg: 39,8 %, empagliflozin 25 mg: 41,3 %, placebo: 37,2 % under den initiala 18-veckorsbehandlingen när insulin inte kunde justeras; empagliflozin 10 mg: 51,1 %, empagliflozin 25 mg: 57,7 %, placebo: 58 % under 52-veckorsstudien).
I hjärtsviktsstudierna EMPEROR sågs likartad frekvens av hypoglykemi vid användning som tillägg till sulfonureid eller insulin (empagliflozin 10 mg: 6,5 %, placebo: 6,7 %).
Allvarlig hypoglykemi (händelser som kräver assistans)
Ingen ökning av allvarlig hypoglykemi sågs med empagliflozin jämfört med placebo som monoterapi, som tillägg till metformin, som tillägg till metformin och en sulfonureid, som tillägg till pioglitazon med eller utan metformin, som tillägg till linagliptin och metformin, som komplement till standardbehandling samt för kombinationen av empagliflozin med metformin till tidigare obehandlade patienter jämfört med dem som behandlats med empagliflozin och metformin som enskilda komponenter. En ökad frekvens noterades när det gavs som tillägg till basinsulin med eller utan metformin och med eller utan en sulfonureid (empagliflozin 10 mg: 0 %, empagliflozin 25 mg: 1,3 %, placebo: 0 % under de första 18 veckorna av behandling när insulin inte kunde anpassas; empagliflozin 10 mg: 0 %, empagliflozin 25 mg: 1,3 %, placebo 0 % under 78‑veckorsstudien) och som tillägg till MDI-insulin med eller utan metformin (empagliflozin 10 mg: 0,5 %, empagliflozin 25 mg: 0,5 %, placebo: 0,5 % under den initiala 18-veckorsbehandlingen när insulin inte kunde justeras; empagliflozin 10 mg: 1,6 %, empagliflozin 25 mg: 0,5 %, placebo: 1,6 % under 52-veckorsstudien).
I hjärtsviktsstudierna EMPEROR sågs allvarlig hypoglykemi vid likartade frekvenser hos patienter med diabetes mellitus vid behandling med empagliflozin och placebo som tillägg till sulfonureid eller insulin (empagliflozin 10 mg: 2,2 %, placebo: 1,9 %).
Vaginal kandidos, vulvovaginit, balanit och andra genitala infektioner
Vaginal kandidos, vulvovaginit, balanit och andra genitala infektioner rapporterades oftare hos patienter som behandlades med empagliflozin (empagliflozin 10 mg: 4,0 %, empagliflozin 25 mg: 3,9 %) jämfört med placebo (1,0 %). Dessa infektioner rapporterades oftare hos kvinnor som behandlades med empagliflozin jämfört med placebo, och skillnaden i frekvens var mindre markant hos män. Infektioner i könsdelarna var av lindrig eller måttlig svårighetsgrad.
I hjärtsviktsstudierna EMPEROR var frekvensen av dessa infektioner mer uttalad hos patienter med diabetes mellitus (empagliflozin 10 mg: 2,3 %, placebo: 0,8 %) än hos patienter utan diabetes mellitus (empagliflozin 10 mg: 1,7 %, placebo: 0,7 %) vid behandling med empagliflozin jämfört med placebo.
Fall av fimos/förvärvad fimos har rapporterats samtidigt med genitala infektioner och i vissa fall krävdes omskärelse.
Ökad urinering
Ökad urinering (inbegripet de fördefinierade termerna pollakiuri, polyuri och nokturi) observerades vid högre frekvenser hos patienter som behandlades med empagliflozin (empagliflozin 10 mg: 3,5 %, empagliflozin 25 mg: 3,3 %) jämfört med placebo (1,4 %). Ökad urinering var i de flesta fall av lindrig eller måttlig svårighetsgrad. Frekvensen av rapporterad nokturi var likartad för placebo och empagliflozin (<1 %).
I hjärtsviktsstudierna EMPEROR observerades ökad urinering vid likartade frekvenser hos patienter behandlade med empagliflozin och placebo (empagliflozin 10 mg; 0,9 %, placebo 0,5 %).
Urinvägsinfektioner
Den totala frekvensen av urinvägsinfektioner som rapporterades som biverkning var likartad hos patienter som behandlats med empagliflozin 25 mg och placebo (7,0 % och 7,2 %) och högre för patienter som behandlades med empagliflozin 10 mg (8,8 %). På liknande sätt som för placebo, rapporterades urinvägsinfektioner oftare för empagliflozin hos patienter med en historia av kroniska eller återkommande urinvägsinfektioner. Urinvägsinfektionens svårighetsgrad (mild, måttlig, svår) var likartad hos patienter som behandlades med empagliflozin och placebo. Dessa infektioner rapporterades oftare hos kvinnor som behandlades med empagliflozin jämfört med placebo; ingen skillnad noterades bland män.
Volymförlust
Den totala frekvensen av volymförlust (inklusive de fördefinierade termerna sänkt (ambulatoriskt) blodtryck, sänkt systoliskt blodtryck, uttorkning, hypotoni, hypovolemi, ortostatisk hypotoni och synkope) var likartade hos patienter som behandlades med empagliflozin (empagliflozin 10 mg: 0,6 %, empagliflozin 25 mg: 0,4 %) och placebo (0,3 %). Frekvensen av volymförlust-händelser ökade hos patienter som var 75 år eller äldre vilka behandlades med empagliflozin 10 mg (2,3 %) eller empagliflozin 25 mg (4,3 %) jämfört med placebo (2,1 %).
Ökat blodkreatinin/minskad glomerulär filtrationshastighet
Den totala frekvensen av patienter med ökat blodkreatinin och minskad glomerulär filtrationshastighet var likvärdig för empagliflozin och placebo (ökat blodkreatinin: empagliflozin 10 mg 0,6 %, empagliflozin 25 mg 0,1 %, placebo 0,5 %; minskad glomerulär filtrationshastighet: empagliflozin 10 mg 0,1 %, empagliflozin 25 mg 0 %, placebo 0,3 %).
Initiala kreatininökningar och initiala minskningar i estimerad glomerulär filtrationshastighet hos patienter som behandlas med empagliflozin var generellt sett övergående under kontinuerlig behandling eller reversibla efter utsättning av läkemedelsbehandling.
Genomgående i EMPA‑REG OUTCOME‑studien hade patienter behandlade med empagliflozin ett initialt fall i eGFR (medelvärde 3 ml/min/1,73 m2). Därefter bevarades eGFR-nivån under fortsatt behandling. Medelvärdet för eGFR återgick till baslinjenivån när behandlingen sattes ut vilket antyder att akuta hemodynamiska förändringar kan spela en roll för dessa njurfunktionsförändringar. Detta fenomen observerades också i hjärtsviktsstudierna EMPEROR och i EMPA-KIDNEY-studien.
Ökning av serumlipider
Genomsnittliga procentuella ökningar från baslinjen för empagliflozin 10 mg respektive 25 mg jämfört med placebo var för totalt kolesterol 4,9 % och 5,7 % jämfört med 3,5 %; för HDL‑kolesterol 3,3 % och 3,6 % jämfört med 0,4 %; för LDL‑kolesterol 9,5 % och 10,0 % jämfört med 7,5 %; för triglycerider 9,2 % och 9,9 % jämfört med 10,5 %.
Ökning av hematokrit
Genomsnittlig förändring av hematokrit från baslinjen var 3,4 % och 3,6 % för empagliflozin 10 mg respektive 25 mg, jämfört med 0,1 % för placebo. I EMPA‑REG OUTCOME-studien återgick hematokritnivåerna till baslinjevärdena efter en uppföljningsperiod på 30 dagar efter avslutad behandling.
Pediatrisk population
I DINAMO-studien behandlades 157 barn från 10 års ålder med typ 2-diabetes, varav 52 patienter fick empagliflozin, 52 fick linagliptin och 53 fick placebo (se avsnitt 5.1).
Under den placebokontrollerade fasen var den vanligaste biverkningen hypoglykemi med högre total frekvens hos patienter i den poolade gruppen med empagliflozin jämfört med placebo (empagliflozin 10 mg och 25 mg, poolade: 23,1 %, placebo: 9,4 %). Ingen av dessa händelser var allvarliga eller krävde assistans.
Totalt sett var säkerhetsprofilen hos barn likartad den hos vuxna med diabetes mellitus typ 2.
Rapportering av misstänkta biverkningar
Symtom
I kontrollerade kliniska studier visade engångsdoser på upp till 800 mg empagliflozin hos friska frivilliga och upprepade doser på upp till 100 mg empagliflozin hos patienter med diabetes mellitus typ 2 ingen toxicitet. Empagliflozin ökade uringlukosutsöndringen vilket ledde till en ökad urinvolym. Den observerade ökningen av urinvolymen var inte dosberoende och är inte kliniskt betydelsefull. Det finns ingen erfarenhet av doser över 800 mg hos människa.
Behandling
Om överdosering inträffar ska lämplig behandling utifrån patientens kliniska status sättas in. Avlägsnande av empagliflozin genom hemodialys har inte studerats.
Empagliflozin förbättrar både fastande och postprandiella plasmaglukosnivåer. Empagliflozins verkningsmekanism är oberoende av betacellfunktionen och insulinsekretionen och detta bidrar till låg risk för hypoglykemi. Förbättring av surrogatmarkörer för betacellfunktion, inklusive Homeostasis Model Assessment-β (HOMA-β) noterades. Dessutom utlöser uringlukosutsöndring kaloriförlust, åtföljt av förlust av kroppsfett och sänkt kroppsvikt. Den glukosuri som observeras med empagliflozin, åtföljs av diures, vilket kan bidra till varaktig och måttlig sänkning av blodtrycket.
Empagliflozin minskar också natriumåterupptaget och ökar tillförseln av natrium till distala tubuli. Detta kan påverka flera fysiologiska funktioner inklusive, men inte begränsat till: ökning av tubuloglomerulär feedback och minskat intraglomerulärt tryck, minskning av både pre- och afterload i hjärtat, nedreglering av sympatisk aktivitet och minskning av belastningen på vänsterkammarväggen såsom framgår av lägre NT‑proBNP‑värden vilka kan ha gynnsamma effekter på kardiell remodellering, fyllnadstryck och diastolisk funktion samt för att bevara njurstruktur och -funktion. Andra effekter såsom ökning av hematokrit, minskning av kroppsvikt och blodtryck kan ytterligare bidra till de gynnsamma effekterna på hjärta och njurar.
Klinisk effekt och säkerhet
Diabetes mellitus typ 2
Både förbättrad glykemisk kontroll och reducerad kardiovaskulär morbiditet och mortalitet är viktiga delar i behandlingen av typ 2-diabetes.
Glykemisk effekt och kardiovaskulära utfall har utvärderats hos totalt 14 663 patienter med diabetes mellitus typ 2 som behandlades i 12 dubbelblinda, placebokontrollerade och aktivt kontrollerade kliniska studier, varav 9 295 erhöll empagliflozin (empagliflozin 10 mg: 4 165 patienter; empagliflozin 25 mg: 5 130 patienter). Fem studier hade behandlingstider på 24 veckor, förlängningar av dessa och andra studier hade patienter som exponerades för empagliflozin i upp till 102 veckor.
Behandling med empagliflozin som monoterapi och i kombination med metformin, pioglitazon, en sulfonureid, DPP-4-hämmare, och insulin leder till kliniskt relevanta förbättringar av HbA1c, fasteplasmaglukos (FPG), kroppsvikt och systoliskt och diastoliskt blodtryck. Administrering av empagliflozin 25 mg resulterade i en större andel patienter som uppnådde HbA1c-målet på mindre än 7 % och färre patienter som behöver tilläggsbehandling jämfört med empagliflozin 10 mg och placebo. Högre HbA1c-värde vid baslinjen var associerat med en större sänkning av HbA1c. Empagliflozin som komplement till standardbehandling reducerade dessutom kardiovaskulär mortalitet hos patienter med typ 2-diabetes och etablerad kardiovaskulär sjukdom.
Monoterapi
Effekt och säkerhet för empagliflozin som monoterapi utvärderades i en dubbelblind, placebokontrollerad och aktivt kontrollerad studie på 24 veckor med tidigare obehandlade patienter. Behandling med empagliflozin resulterade i en statistiskt signifikant (p <0,0001) minskning av HbA1c jämfört med placebo (tabell 2) och en kliniskt relevant minskning av FPG.
I en fördefinierad analys av patienter (N=201) med ett utgångsvärde för HbA1c ≥8,5 %, resulterade behandling i en minskning av HbA1c från utgångsvärdet med -1,44 % för empagliflozin 10 mg, -1,43 % för empagliflozin 25 mg, -1,04 % för sitagliptin och en ökning med 0,01% för placebo. I den dubbelblinda placebokontrollerade förlängningen av denna studie bibehölls sänkningar av HbA1c, kroppsvikt och blodtryck fram till vecka 76.
Tabell 2: Effektresultat i en 24-veckors placebokontrollerad studie av empagliflozin som monoterapia
a Fullständig analysuppsättning (FAS) med användning av Last Observation Carried Forward (LOCF) före glykemisk akutbehandling
1 Medelvärde justerat för värdet vid baslinjen
2 Inte utvärderat med avseende på statistisk signifikans på grund av det sekventiella bekräftande testförfarandet
3 95% KI
4 LOCF, värden efter antihypertensiv tilläggsbehandling uteslutna
*p-värde <0,0001
Kombinationsbehandling
Empagliflozin som tillägg till metformin, sulfonureider, pioglitazon
Empagliflozin som tillägg till metformin, metformin och en sulfonureid, eller pioglitazon med eller utan metformin resulterade i statistiskt signifikanta (p <0,0001) sänkningar av HbA1c och kroppsvikt jämfört med placebo (tabell 3). Dessutom resulterade det i en kliniskt betydelsefull minskning av FPG, systoliskt och diastoliskt blodtryck jämfört med placebo.
I den dubbelblinda placebokontrollerade förlängningen av dessa studier bibehölls sänkningar av HbA1c, kroppsvikt och blodtryck fram till vecka 76.
Tabell 3: Effektresultat i 24-veckors placebokontrollerade studiera
a Fullständig analysuppsättning (FAS) med användning av Last Observation Carried Forward (LOCF) före glykemisk akutbehandling
1 Medelvärde justerat för värdet vid baslinjen
2 Inte utvärderat med avseende på statistisk signifikans på grund av det sekventiella bekräftande testförfarandet
3 LOCF, värden efter antihypertensiv tilläggsbehandling uteslutna
*p-värde <0,0001
I kombination med metformin till tidigare obehandlade patienter
En 24 veckor lång studie med faktoriell design utfördes för att utvärdera effekt och säkerhet för empagliflozin hos tidigare obehandlade patienter. Behandling med empagliflozin i kombination med metformin (5 mg och 500 mg; 5 mg och 1 000 mg; 12,5 mg och 500 mg samt 12,5 mg och 1 000 mg 2 gånger dagligen) gav statistiskt signifikanta förbättringar av HbA1c (tabell 4) och medförde större minskningar i FPG (jämfört med de enskilda komponenterna) och kroppsvikt (jämfört med metformin).
Tabell 4: Effektresultat vid vecka 24 vid jämförelse mellan empagliflozin i kombination med metformin och de enskilda komponenternaa
Met = metformin; empa = empagliflozin
1 Medelvärde justerat för värdet vid baslinjen
a Analyserna gjordes på den fullständiga analysuppsättningen (FAS) med användning av observerade fall (OC, Observed Cases)
b Administrerad i två lika delade doser per dag när de gavs tillsammans med metformin
c Administrerad i två lika delade doser per dag
*p≤0,0062 för HbA1c
Empagliflozin hos patienter som är otillräckligt kontrollerade med metformin och linagliptin
Hos patienter som är otillräckligt kontrollerade med metformin och linagliptin 5 mg resulterade behandling med både empagliflozin 10 mg och 25 mg i statistiskt signifikanta (p <0,0001) minskningar av HbA1c och kroppsvikt jämfört med placebo (tabell 5). Dessutom resulterade det i kliniskt meningsfulla minskningar av FPG, systoliskt och diastoliskt blodtryck jämfört med placebo.
Tabell 5: Effektresultat av en 24 veckor lång placebokontrollerad studie hos patienter som är otillräckligt kontrollerade med metformin och linagliptin 5 mg
1 Medelvärde justerat för värdet vid baslinjen
2 Inte utvärderat med avseende på statistisk signifikans; inte del av det sekventiella testförfarandet för sekundära effektmått
3 MMRM-modell av FAS (OC) inkluderade baslinje-HbA1c, baslinje-eGFR (MDRD), geografiskt område, besök, behandling och treatment-by-visit-interaktion. För vikten är baslinjevikten medtagen.
4 MMRM-modell inkluderade systoliskt blodtryck vid baslinjen och HbA1c vid baslinjen som linjär(a) kovariat(er), och baslinje-eGFR, geografiskt område, behandling, besök, och treatment-by-visit-interaktion som fasta effekter.
5 Patienter som randomiserades till placebogruppen fick placebo plus linagliptin 5 mg med metformin som bakgrundsbehandling
6 Patienter som randomiserades till grupperna empagliflozin 10 mg eller 25 mg fick empagliflozin 10 mg eller 25 mg och linagliptin 5 mg med metformin som bakgrundsbehandling
* p-värde <0,0001
I en förspecificerad subgrupp av patienter med baslinje-HbA1c högre än eller lika med 8,5 % var minskningen från baslinjen av HbA1c -1,3 % med empagliflozin 10 mg eller 25 mg vid 24 veckor (p <0,0001) jämfört med placebo.
Empagliflozin 24 månaders data, som tillägg till metformin jämfört med glimepirid
I en studie som undersökte effekt och säkerhet för empagliflozin 25 mg jämfört med glimepirid (upp till 4 mg per dag) hos patienter med otillräcklig glykemisk kontroll med enbart metformin, resulterade behandling med empagliflozin dagligen i överlägsen reduktion av HbA1c (tabell 6), och en kliniskt betydelsefull minskning av FPG jämfört med glimepirid. Empagliflozin dagligen resulterade i en statistiskt signifikant minskning av kroppsvikt, systoliskt och diastoliskt blodtryck samt en statistiskt signifikant mindre andel patienter med hypoglykemiska händelser jämfört med glimepirid (2,5 % för empagliflozin, 24,2 % för glimepirid, p <0,0001).
Tabell 6: Effektresultat vid vecka 104 i en aktivt kontrollerad studie som jämförde empagliflozin med glimepirid som tillägg till metformina
a Fullständig analysuppsättning (FAS) med användning av Last Observation Carried Forward (LOCF) före glykemisk akutbehandling
b Upp till 4 mg glimepirid
1 Medelvärde justerat för värdet vid baslinjen
2 LOCF, värden efter antihypertensiv tilläggsbehandling uteslutna
*p-värde <0,0001 för icke-underlägsenhet (non-inferiority) och p-värde = 0,0153 för överlägsenhet
**p-värde <0,0001
Tillägg till insulinbehandling
Empagliflozin som tillägg till multipelt dagligt insulin
Effekt och säkerhet för empagliflozin som tillägg till multipelt dagligt insulin, med eller utan samtidig metforminbehandling, utvärderades i en dubbelblind, placebokontrollerad studie som pågick under 52 veckor. Under de första 18 veckorna, och de sista 12 veckorna, hölls insulindosen stabil, men justerades för att uppnå preprandiella glukosnivåer <100 mg/dl [5,5 mmol/l], och postprandiella glukosnivåer <140 mg/dl [7,8 mmol/l] mellan vecka 19 och 40.
Vid vecka 18 uppvisade empagliflozin statistiskt signifikant förbättring av HbA1c jämfört med placebo (tabell 7).
Vid vecka 52 resulterade behandling med empagliflozin i en statistiskt signifikant sänkning av HbA1c och minskat insulinbehov jämfört med placebo och en minskning av FPG och kroppsvikt.
Tabell 7: Effektresultat vid vecka 18 och 52 i en placebokontrollerad studie av empagliflozin som tillägg till upprepade dagliga doser av insulin med eller utan metformin
1 Medelvärde justerat för värdet vid baslinjen
2 Vecka 19-40: ’treat-to-target’-regim för dosjustering av insulin för att uppnå fördefinierade glukosmålnivåer (pre-prandiella <100 mg/dl (5,5 mmol/l), postprandiella <140 mg/dl (7,8 mmol/l)
*p-värde <0,0001
**p-värde =0,0003
***p-värde =0,0005
# p-värde =0,0040
Empagliflozin som tillägg till basinsulin
Effekt och säkerhet för empagliflozin som tillägg till basinsulin, med eller utan metforminbehandling och/eller sulfonureid, utvärderades i en dubbelblind, placebokontrollerad studie som pågick under 78 veckor. Under de första 18 veckorna hölls insulindosen stabil, men justerades för att uppnå en FPG <110 mg/dl de följande 60 veckorna.
Vid vecka 18 uppvisade empagliflozin en statistiskt signifikant förbättring av HbA1c (tabell 8).
Vid vecka 78 uppvisade empagliflozin en statistiskt signifikant minskning av HbA1c och minskat insulinbehov jämfört med placebo. Dessutom resulterade empagliflozin i en minskning av FPG, kroppsvikt och blodtryck.
Tabell 8: Effektresultat vid vecka 18 och 78 i en placebokontrollerad studie av empagliflozin som tillägg till basinsulin, med eller utan metforminbehandling eller en sulfonureida
a Fullständig analysuppsättning (FAS) med användning av Last Observation Carried Forward (LOCF) före glykemisk akutbehandling
1 medelvärde justerat för värdet vid baslinjen
*p-värde <0,0001
**p-värde <0,025
Patienter med nedsatt njurfunktion, 52 veckors placebokontrollerade data
Effekt och säkerhet för empagliflozin som tillägg till antidiabetesbehandling utvärderades hos patienter med nedsatt njurfunktion i en dubbelblind, placebokontrollerad studie under 52 veckor. Behandling med empagliflozin ledde till en statistiskt signifikant reduktion av HbA1c (tabell 9) och kliniskt betydelsefull förbättring i FPG jämfört med placebo vid vecka 24. Förbättringen i HbA1c, kroppsvikt och blodtryck bibehölls i 52 veckor.
Tabell 9: Resultat vid vecka 24 i en placebokontrollerad studie av empagliflozin hos typ 2-diabetespatientera med nedsatt njurfunktion
a Fullständig analysuppsättning (FAS) med användning av Last Observation Carried Forward (LOCF) före glykemisk akutbehandling
1 Medelvärde justerat för värdet vid baslinjen
2 Inte utvärderat med avseende på statistisk signifikans på grund av det sekventiella bekräftande testförfarandet
* p<0,0001
Kardiovaskulära händelser
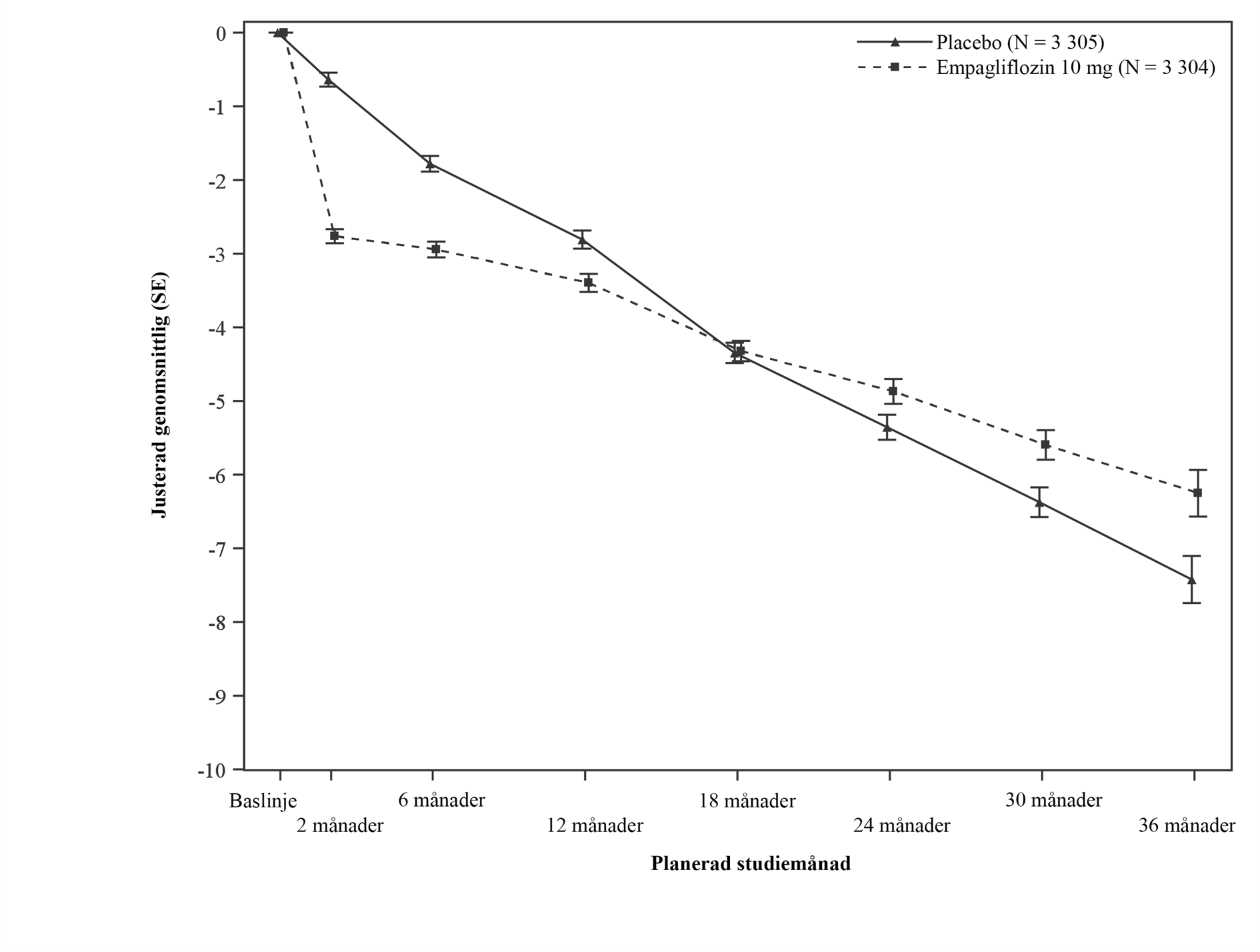
Den dubbelblinda, placebokontrollerade EMPA-REG OUTCOME-studien jämförde poolade doser av empagliflozin 10 mg och 25 mg med placebo som komplement till standardbehandling hos patienter med typ 2-diabetes och etablerad kardiovaskulär sjukdom. Totalt 7 020 patienter behandlades (empagliflozin 10 mg: 2 345, empagliflozin 25 mg: 2 342, placebo: 2 333) och följdes i 3,1 år (median). Genomsnittsåldern var 63 år, genomsnittligt HbA1c var 8,1 %, och 71,5 % var män. Vid baslinjen behandlades 74 % av patienterna med metformin, 48 % med insulin och 43 % med en sulfonureid. Ungefär hälften av patienterna (52,2 %) hade eGFR på 60‑90 ml/min/1,73 m2, 17,8 % på 45‑60 ml/min/1,73 m2 och 7,7 % på 30‑45 ml/min/1,73 m2.
Vid vecka 12 observerades en justerad genomsnittlig (SE) förbättring av HbA1c jämfört med baslinjen på 0,11 % (0,02) i placebogruppen, 0,65 % (0,02) och 0,71 % (0,02) i grupperna som fick 10 mg respektive 25 mg empagliflozin. Efter de första 12 veckorna var den glykemiska kontrollen optimerad oberoende av studiebehandling. Därför dämpades effekten vid vecka 94 med en justerad genomsnittlig (SE) förbättring av HbA1c på 0,08 % (0,02) i placebogruppen, 0,50 % (0,02) och 0,55 % (0,02) i grupperna som fick 10 mg respektive 25 mg empagliflozin.
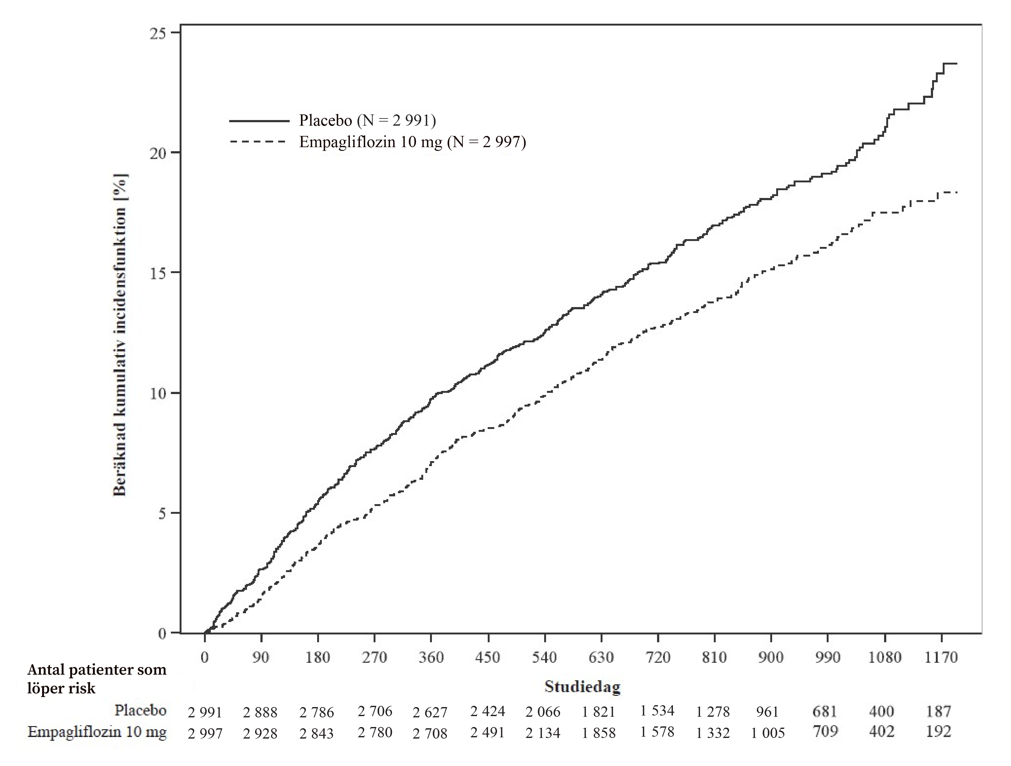
Empagliflozin var överlägset bättre på att förebygga det primära sammansatta utfallsmåttet kardiovaskulär död, icke-fatal hjärtinfarkt eller icke-fatal stroke, jämfört med placebo. Behandlingseffekten drevs av en signifikant minskning av kardiovaskulär död utan någon signifikant förändring av icke-fatal hjärtinfarkt eller icke-fatal stroke. Minskningen av kardiovaskulär död var jämförbar för empagliflozin 10 mg respektive 25 mg (figur 1) och bekräftades av en förbättrad total överlevnad (tabell 10). I EMPA‑REG OUTCOME-studien var effekten av empagliflozin på det primära sammansatta utfallsmåttet kardiovaskulär död, icke-fatal hjärtinfarkt eller icke-fatal stroke till stor del oberoende av glykemisk kontroll eller njurfunktion (eGFR) och i allmänhet konsekvent för de olika eGFR‑kategorierna ner till eGFR 30 ml/min/1,73 m2.
Effekten vad gäller förebyggande av kardiovaskulär mortalitet har inte entydigt kunnat fastställas hos patienter som använder empagliflozin samtidigt med DPP-4-hämmare eller hos svarta patienter, eftersom representationen av dessa grupper var begränsad i EMPA-REG OUTCOME-studien.
Tabell 10: Behandlingseffekt för det primära sammansatta utfallsmåttet, dess komponenter och mortaliteta
a Behandlad grupp (TS – Treated set), dvs. patienter som fick minst en dos studieläkemedel
b Poolade doser av empagliflozin 10 mg och 25 mg
* Eftersom data från studien inkluderades i en interimanalys tillämpades ett tvåsidigt konfidensintervall på 95,02 % vilket motsvarar ett p-värde på mindre än 0,0498 för signifikans.
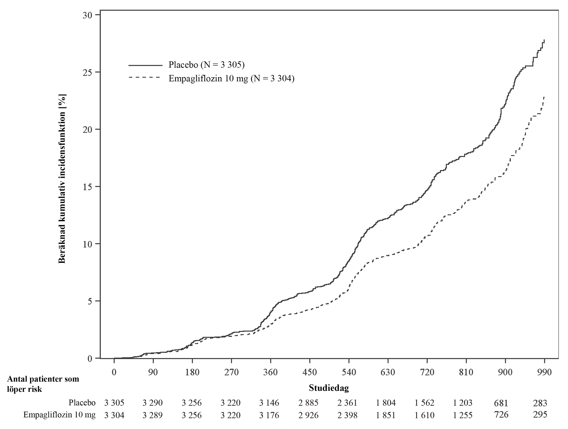
Figur 1 Tid till händelse av kardiovaskulär död i EMPA-REG OUTCOME-studien
Sjukhusinläggningar på grund av hjärtsvikt
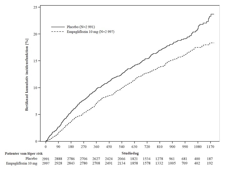
I EMPA‑REG OUTCOME‑studien minskade empagliflozin risken för sjukhusinläggningar på grund av hjärtsvikt jämfört med placebo (empagliflozin 2,7%; placebo 4,1%; riskkvot 0,65, 95 % KI 0,50; 0,85).
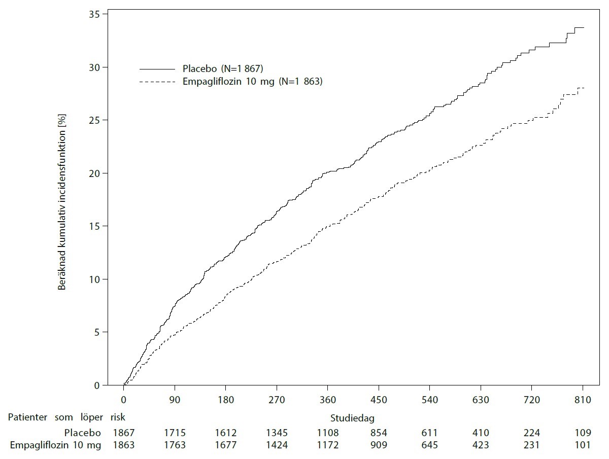
Nefropati
I EMPA‑REG OUTCOME‑studien var riskkvoten för tiden till första nefropatihändelse 0,61 (95 % KI 0,53; 0,70) för empagliflozin (12,7 %) jämfört med placebo (18,8 %).
Empagliflozin visade dessutom en högre (riskkvot 1,82, 95 % KI 1,40; 2,37) incidens av ihållande normo- eller mikroalbuminuri (49,7 %) hos patienter med makroalbuminuri vid baslinjen jämfört med placebo (28,8 %).
Fasteplasmaglukos
I fyra placebokontrollerade studier, resulterade behandling med empagliflozin som monoterapi eller tilläggsbehandling till metformin, pioglitazon, eller metformin plus en sulfonureid i genomsnittliga förändringar i FPG från baslinjen på -20,5 mg/dl [-1,14 mmol/l] för empagliflozin 10 mg och -23,2 mg/dl [-1,29 mmol/l] för empagliflozin 25 mg jämfört med placebo (7,4 mg/dl [0,41 mmol/l]). Denna effekt observerades efter 24 veckor och kvarstod i 76 veckor.
Postprandiellt glukos efter 2 timmar
Behandling med empagliflozin som tillägg till metformin eller metformin och en sulfonureid resulterade i en kliniskt relevant sänkning av 2-timmars postprandiellt glukos (måltidsbelastningstest) efter 24 veckor (tillägg till metformin: placebo +5,9 mg/dl, empagliflozin 10 mg: -46,0 mg/dl, empagliflozin 25 mg: -44,6 mg/dl, tillägg till metformin och en sulfonureid: placebo -2,3 mg/dl, empagliflozin 10 mg: -35,7 mg/dl, empagliflozin 25 mg: -36,6 mg/dl).
Patienter med högt HbA1c vid baslinjen >10%
I en förspecificerad poolad analys av tre fas 3-studier, resulterade öppen behandling med empagliflozin 25 mg hos patienter med svår hyperglykemi (N = 184, genomsnittlig HbA1c vid baslinje 11,15 %) i en kliniskt relevant sänkning av HbA1c från baslinjen med 3,27 % vid vecka 24; inga placebo- eller empagliflozin 10 mg-armar inkluderades i dessa studier.
Kroppsvikt
I en förspecificerad poolad analys av fyra placebokontrollerade studier, resulterade behandling med empagliflozin i minskad kroppsvikt (-0,24 kg för placebo, -2,04 kg för empagliflozin 10 mg och -2,26 kg för empagliflozin 25 mg) vid vecka 24 som upprätthölls till vecka 52 (-0,16 kg för placebo, -1,96 kg för empagliflozin 10 mg och -2,25 kg för empagliflozin 25 mg).
Blodtryck
Effekt och säkerhet för empagliflozin utvärderades i en dubbelblind, placebokontrollerad studie under 12 veckor hos patienter med diabetes mellitus typ 2 och högt blodtryck som fick olika antidiabetika och upp till 2 antihypertensiva behandlingar. Behandling med empagliflozin en gång dagligen resulterade i en statistiskt signifikant förbättring av HbA1c, och 24 timmars genomsnittligt systoliskt och diastoliskt blodtryck uppmätt genom ambulatorisk blodtrycksmätning (tabell 11). Behandling med empagliflozin gav sänkt sittande systoliskt och diastoliskt blodtryck.
Tabell 11: Effektresultat vid vecka 12 i en placebokontrollerad studie av empagliflozin hos patienter med diabetes mellitus typ 2 och okontrollerat blodtrycka
a Fullständig analysuppsättning (FAS)1 LOCF, värden efter tilläggsbehandling med antidiabetika uteslutna
2 Genomsnitt justerat för HbA1c vid baslinjen, eGFR vid baslinjen, geografisk region och antal blodtryckssänkande läkemedel
3 LOCF, värden efter tilläggsbehandling med antidiabetika eller ändrad behandling med antihypertensiva uteslutna
4 Genomsnitt justerat för systoliskt blodtryck vid baslinjen, HbA1c vid baslinjen, eGFR vid baslinjen, geografiskt område och antal blodtryckssänkande läkemedel
5 Genomsnitt justerat för diastoliskt blodtryck vid baslinjen, HbA1c vid baslinjen, eGFR vid baslinjen, geografisk region och antal blodtryckssänkande läkemedel
*p-värde <0,0001
** p-värde <0,001
I en förspecificerad poolad analys av fyra placebokontrollerade studier, resulterade behandling med empagliflozin i en sänkning av det systoliska blodtrycket (empagliflozin 10 mg: -3,9 mmHg; empagliflozin 25 mg: -4,3 mmHg) jämfört med placebo (-0,5 mmHg) och diastoliskt blodtryck (empagliflozin 10 mg: -1,8 mmHg; empagliflozin 25 mg: -2,0 mmHg) jämfört med placebo (-0,5 mmHg) vid vecka 24, som kvarstod fram till vecka 52.
Hjärtsvikt
Empagliflozin hos patienter med hjärtsvikt och nedsatt ejektionsfraktion
En randomiserad, dubbelblind, placebokontrollerad studie (EMPEROR‑Reduced) genomfördes på 3 730 patienter med kronisk hjärtsvikt (New York Heart Association [NYHA] II‑IV) och nedsatt ejektionsfraktion (LVEF ≤40 %) för att utvärdera effekt och säkerhet för empagliflozin 10 mg en gång dagligen som tillägg till standardbehandling vid hjärtsvikt. Primärt effektmått var tid till fastställd första händelse av antingen kardiovaskulär (CV) död eller sjukhusinläggning på grund av hjärtsvikt (HHF). Förekomst av fastställd HHF (första och återkommande) och förändringen av eGFR (CKD-EPI)cr från baslinjen över tid, inkluderades i den bekräftande testningen. Hjärtsviktsbehandling vid baslinjen inkluderade ACE-hämmare/ angiotensinreceptorblockerare/ angiotensinreceptor-neprilysinhämmare (88,3 %), betablockerare (94,7 %), mineralkortikoidreceptorantagonister (71,3 %) och diuretika (95,0 %).
Totalt 1 863 patienter randomiserades till empagliflozin 10 mg (placebo: 1 867) och följdes under en medianperiod på 15,7 månader. Studiepopulationen bestod av 76,1 % män och 23,9 % kvinnor med en genomsnittlig ålder på 66,8 år (intervall: 25‑94 år), 26,8 % var 75 år eller äldre. 70,5 % av studiepopulationen var vita, 18,0 % var asiater och 6,9 % svarta/afroamerikaner. Vid randomiseringen var 75,1 % av patienterna i NYHA‑klass II, 24,4 % klass III och 0,5 % klass IV. Genomsnittlig LVEF var 27,5 %. Vid baslinjen var genomsnittlig eGFR 62,0 ml/min/1,73 m2 och median för kvoten urinalbumin:kreatinin (UACR) var 22 mg/g. Cirka hälften av patienterna (51,7 %) hade eGFR ≥60 ml/min/1,73 m2, 24,1 % 45 till <60 ml/min/1,73 m2, 18,6 % 30 till <45 ml/min/1,73 m2 och 5,3 % 20 till <30 ml/min/1,73 m2.
Jämfört med placebo var empagliflozin överlägset gällande minskning av risken för det primära sammansatta effektmåttet kardiovaskulär död eller sjukhusinläggning på grund av hjärtsvikt. Dessutom minskade empagliflozin signifikant risken för förekomst av HHF (första och återkommande) och minskade signifikant graden av eGFR-försämring över tid (tabell 12; figur 2).
Tabell 12: Behandlingseffekt för det primära sammansatta effektmåttet, dess komponenter och de två viktigaste sekundära effektmåtten i den förspecificerade bekräftande testningen
CV = kardiovaskulär, HHF = sjukhusinläggning på grund av hjärtsvikt, eGFR = uppskattad glomerulär filtrationshastighet, CKD EPI = Chronic kidney disease epidemiology collaboration equation
* CV‑död och HHF‑händelser fastställdes av en oberoende klinisk händelsekommitté och analyserades på basis av randomiserad grupp.
**Förändringsgraden av eGFR analyserades på basis av behandlad grupp. Interceptet är ‑0,95 ml/min/1,73 m2 för placebo och ‑3,02 ml/min/1,73 m2 för empagliflozin. Interceptet representerar den akuta effekten på eGFR medan lutningsgraden representerar den långsiktiga effekten.
Figur 2 Tid till fastställd första händelse av CV‑död eller HHF
Resultaten för det primära sammansatta effektmåttet var generellt sett överensstämmande med en riskkvot (HR) under 1 för alla förspecificerade undergrupper, inklusive patienter med hjärtsvikt, med eller utan diabetes mellitus typ 2 och med eller utan nedsatt njurfunktion (ned till eGFR 20 ml/min/1,73 m2).
Empagliflozin hos patienter med hjärtsvikt och bevarad ejektionsfraktion
En randomiserad, dubbelblind, placebokontrollerad studie (EMPEROR‑Preserved) genomfördes på 5 988 patienter med kronisk hjärtsvikt (NYHA II‑IV) och bevarad ejektionsfraktion (LVEF >40 %) för att utvärdera effekt och säkerhet för empagliflozin 10 mg en gång dagligen som tillägg till standardbehandling. Primärt effektmått var tid till fastställd första händelse av antingen kardiovaskulär (CV) död eller sjukhusinläggning på grund av hjärtsvikt (HHF). Förekomst av fastställd HHF (första och återkommande) och förändringen av eGFR (CKD-EPI)cr från baslinjen över tid, inkluderades i den bekräftande testningen. Baslinjebehandling inkluderade ACE-hämmare/ angiotensinreceptorblockerare/ angiotensinreceptor-neprilysinhämmare (80,7 %), betablockerare (86,3 %), mineralkortikoidreceptorantagonister (37,5 %) och diuretika (86,2 %).
Totalt 2 997 patienter randomiserades till empagliflozin 10 mg (placebo: 2 991) och följdes under en medianperiod på 26,2 månader. Studiepopulationen bestod av 55,3 % män och 44,7 % kvinnor med en genomsnittlig ålder på 71,9 år (intervall: 22‑100 år), 43,0 % var 75 år eller äldre. 75,9 % av studiepopulationen var vita, 13,8 % var asiater och 4,3 % svarta/afroamerikaner. Vid randomiseringen var 81,5 % av patienterna i NYHA‑klass II, 18,1 % i klass III och 0,3 % i klass IV. Studiepopulationen i EMPEROR‑Preserved inkluderade patienter med LVEF <50 % (33,1 %), med LVEF 50 till <60 % (34,4 %) och LVEF ≥60 % (32,5 %). Vid baslinjen var genomsnittlig eGFR 60,6 ml/min/1,73 m2 och median för kvoten urinalbumin:kreatinin (UACR) var 21 mg/g. Cirka hälften av patienterna (50,1 %) hade eGFR ≥60 ml/min/1,73 m2, 26,1 % 45 till <60 ml/min/1,73 m2, 18,6 % 30 till <45 ml/min/1,73 m2 och 4,9 % 20 till <30 ml/min/1,73 m2.
Jämfört med placebo var empagliflozin överlägset gällande minskning av risken för det primära sammansatta effektmåttet kardiovaskulär död eller sjukhusinläggning på grund av hjärtsvikt. Dessutom minskade empagliflozin signifikant risken för förekomst av HHF (första och återkommande) och minskade signifikant graden av eGFR-försämring över tid (tabell 13; figur 3).
Tabell 13: Behandlingseffekt för det primära sammansatta effektmåttet, dess komponenter och de två viktigaste sekundära effektmåtten i den förspecificerade bekräftande testningen.
CV = kardiovaskulär, HHF = sjukhusinläggning på grund av hjärtsvikt, eGFR = uppskattad glomerulär filtrationshastighet, CKD EPI = Chronic kidney disease epidemiology collaboration equation
* CV‑död och HHF‑händelser fastställdes av en oberoende klinisk händelsekommitté och analyserades baserat på randomiserad grupp.
**Förändringsgraden av eGFR analyserades baserat på behandlad grupp. Interceptet är ‑0,18 ml/min/1,73 m2 för placebo och ‑3,02 ml/min/1,73 m2 för empagliflozin. Interceptet representerar den akuta effekten på eGFR medan lutningsgraden representerar den långsiktiga effekten.
Figur 3 Tid till fastställd första händelse av CV‑död eller HHF
Resultaten för det primära sammansatta effektmåttet var överensstämmande för alla
i förväg specificerade undergrupper kategoriserade enligt t.ex. LVEF, diabetesstatus eller njurfunktion (ned till eGFR 20 ml/min/1,73 m2).
Kronisk njursjukdom
En randomiserad, dubbelblind, placebokontrollerad studie av empagliflozin 10 mg en gång dagligen (EMPA‑KIDNEY) utfördes på 6 609 patienter med kronisk njursjukdom (eGFR ≥ 20 ‑ < 45 ml/min/1,73 m2; eller eGFR ≥ 45 ‑ < 90 ml/min/1,73 m2 med en urinalbumin:kreatininkvot [UACR] ≥200 mg/g) för att bedöma kardiorenala resultat som tillägg till standardbehandling. Det primära effektmåttet var tid till första uppkomst av progression av njursjukdom (ihållande ≥ 40 % eGFR-försämring från randomisering, ihållande eGFR < 10 ml/min/1,73 m², terminal njursjukdom eller njurdöd) eller kardiovaskulär död. Första händelse av sjukhusinläggning på grund av hjärtsvikt eller kardiovaskulär död, total sjukhusinläggning oavsett orsak (första och återkommande) och mortalitet oavsett orsak inkluderades i den bekräftande analysen. Basbehandling inkluderade användning av en RAS-hämmare om lämpligt (85,2 % behandlades med ACE-hämmare eller angiotensinreceptorblockerare).
Totalt 3 304 patienter randomiserades till empagliflozin 10 mg (placebo: 3 305) och följdes under 24,3 månader (median). Studiepopulationen bestod av 66,8 % män och 33,2 % kvinnor med en genomsnittlig ålder på 63,3 år (intervall: 18‑94 år), 23,0 % var 75 år eller äldre. 58,4 % av studiepopulationen var vita, 36,2 % var asiater och 4,0 % svarta/afroamerikaner.
Vid baslinjen var genomsnittlig eGFR 37,3 ml/min/1,73 m2, 21,2 % av patienterna hade eGFR ≥ 45 ml/min/1,73 m2, 44,3 % 30 till < 45 ml/min/1,73 m2 och 34,5 % < 30 ml/min/1,73 m2 inklusive 254 patienter med eGFR < 20 ml/min /1,73 m2. Median för UACR var 329 mg/g, 20,1 % av patienterna hade UACR < 30 mg/g, 28,2 % hade UACR 30 till ≤ 300 mg/g och 51,7 % hade UACR > 300 mg/g; 41,1 % av patienterna hade UACR < 200 mg/g. Primära orsaker till kronisk njursjukdom var diabetesnefropati/diabetisk njursjukdom (31 %), glomerulär sjukdom (25 %), hypertensiv/renovaskulär sjukdom (22 %) och övrigt/okänt (22 %).
Empagliflozin var överlägset bättre på att förebygga det primära sammansatta effektmåttet progression av njursjukdom eller kardiovaskulär död, jämfört med placebo (se tabell 14). Dessutom minskade empagliflozin signifikant risken för sjukhusinläggning oavsett orsak (första och återkommande).
Tabell 14: Behandlingseffekt för det primära sammansatta och sekundära effektmåttet inkluderade i den förspecificerade bekräftade testningen och dess komponenter
CV = kardiovaskulär, eGFR = uppskattad glomerulär filtrationshastighet
* Terminal njursjukdom (ESKD) definieras som insättning av underhållsdialys eller mottagande av ett njurtransplantat.
** Det fanns för få händelser av njurdöd för att beräkna en pålitlig riskkvot.
# Fördefinierat som ett av två stoppkriterier i den förplanerade interimsanalysen.
Figur 4 Tid till första händelse av progression av njursjukdom eller fastställd CV-död, beräknad kumulativ incidensfunktion
Resultaten för det primära sammansatta effektmåttet var generellt konsekventa för alla i förväg specificerade subgrupper, inklusive eGFR-kategorier, underliggande orsak till njursjukdom, diabetesstatus eller bakgrundsanvändning av RAS-hämmare. Behandlingsfördelar var tydligare hos patienter med högre halter av albuminuri.
Under behandling var eGFR‑försämring över tid långsammare i empagliflozin-gruppen än i placebogruppen (se figur 5). Empagliflozin minskade den årliga graden av eGFR-försämring jämfört med placebo med 1,37 ml/min/1,73 m2/år (95 % KI 1,16; 1,59), baserat på en i förväg specificerad analys av samtliga eGFR-mätningar gjorda mellan besöket vid 2 månader och det sista uppföljningsbesöket. Patienter behandlade med empagliflozin uppvisade en initial försämring av eGFR som återgick mot baslinjevärdena efter avslutad behandling, vilket påvisats i flera av empagliflozin-studierna och stöder att hemodynamiska förändringar spelar en roll för de akuta effekterna av empagliflozin på eGFR.
Figur 5 Förändring av eGFR över tid*
*eGFR (CKD-EPI) (ml/min/1,73 m2) MMRM‑resultat över tid - randomiserad grupp.
Pediatrisk population
Diabetes mellitus typ 2
Klinisk effekt och säkerhet för empagliflozin (10 mg, med en möjlig dosökning till 25 mg) och linagliptin (5 mg) en gång dagligen, har studerats hos barn och ungdomar från 10 till 17 års ålder med diabetes mellitus typ 2 i en placebokontrollerad studie (DINAMO) under 26 veckor, med en förlängningsperiod på upp till 52 veckor för kontroll av säkerheten. Bakgrundsbehandling som tillägg till kost och motion inkluderade metformin (51 %), en kombination av metformin och insulin (40,1 %), insulin (3,2 %), eller ingenting (5,7 %).
Den justerade genomsnittliga förändringen av HbA1c vid vecka 26 mellan empagliflozin (N = 52) och placebo (N = 53) på ‑0,84 % var kliniskt betydelsefull och statistiskt signifikant (95 % KI ‑1,50; ‑0,19; p = 0,0116). Jämfört med placebo resulterade dessutom behandling med empagliflozin i en kliniskt betydelsefull justerad genomsnittlig förändring av FPG (fasteplasmaglukos) på ‑35,2 mg/dl (95 % KI ‑58,6; ‑11,7) [‑1,95 mmol/l (‑3,25; ‑0,65)].
Hjärtsvikt och kronisk njursjukdom
Europeiska läkemedelsmyndigheten har beviljat undantag från kravet att skicka in studieresultat för Jardiance för alla grupper av den pediatriska populationen för hjärtsvikt och för behandling av kronisk njursjukdom (information om pediatrisk användning finns i avsnitt 4.2).
Absorption
Farmakokinetiken för empagliflozin har undersökts noga hos friska försökspersoner och patienter med diabetes mellitus typ 2. Efter oral administrering absorberades empagliflozin snabbt med maximala plasmakoncentrationer vid ett tmax på i median 1,5 timmar efter dosering. Därefter sjönk plasmakoncentrationerna bifasiskt, med en snabb distributionsfas och en relativt långsam terminal fas. Genomsnittlig AUC och Cmax i plasma vid steady state var 1 870 nmol.h/l respektive 259 nmol/l med empagliflozin 10 mg och 4 740 nmol.h/l och 687 nmol/l med empagliflozin 25 mg en gång dagligen. Den systemiska exponeringen för empagliflozin ökade proportionellt mot dosen. De farmakokinetiska parametrarna för empagliflozin efter en engångsdos och vid steady state var liknade, vilket tyder på linjär farmakokinetik med avseende på tid. Det fanns inga kliniskt relevanta skillnader i farmakokinetiken för empagliflozin mellan friska frivilliga och patienter med typ 2-diabetes.
Administrering av empagliflozin 25 mg efter intag av en fettrik måltid med högt kaloriinnehåll resulterade i något lägre exponering; AUC minskade med cirka 16 % och Cmax med cirka 37 % jämfört med fastande tillstånd. Den observerade effekten av föda på farmakokinetiken för empaglifloziin bedömdes inte vara kliniskt relevant och empagliflozin kan tas antingen med eller utan mat.
Distribution
Den skenbara distributionsvolymen vid steady state uppskattades till 73,8 l baserat på den populationsfarmakokinetiska analysen. Efter administrering av en oral lösning [14C]-empagliflozin till friska frivilliga, var fördelningen till röda blodkroppar cirka 37 % och plasmaproteinbindningen var 86 %.
Metabolism
Inga huvudmetaboliter av empagliflozin detekterades i humanplasma och de mest förekommande metaboliterna var tre glukuronidkonjugat (2-, 3- och 6-O-glukuronid). Den systemiska exponeringen för varje metabolit var mindre än 10 % av totalt läkemedelsrelaterat material. In vitro-studier tyder på att den huvudsakliga metaboliseringsvägen för empagliflozin hos människa är genom glukuronidering av uridin 5’-difosfoglukuronosyltransferaserna UGT2B7, UGT1A3, UGT1A8 och UGT1A9.
Eliminering
Baserat på den populationsfarmakokinetiska analysen uppskattades den skenbara terminala halveringstiden av empagliflozin till 12,4 timmar och skenbar oral clearance var 10,6 l/timme. Interindividuell variabilitet och residualvariabiliteten för oral clearance för empagliflozin var 39,1 % respektive 35,8 %. Med dosering en gång dagligen nåddes steady state-plasmakoncentrationer av empagliflozin vid den femte dosen. I överensstämmelse med halveringstiden observerades upp till 22 % ackumulering, med avseende på AUC, vid steady state. Efter administrering av en oral lösning [14C]-empagliflozin till friska frivilliga, eliminerades cirka 96 % av läkemedelsrelaterad radioaktivitet via feces (41 %) eller urin (54 %). Majoriteten av den läkemedelsrelaterade radioaktiviteten i feces var oförändrad modersubstans och ungefär hälften av den läkemedelsrelaterade radioaktivitet som utsöndrades i urin var oförändrad modersubstans.
Särskilda populationer
Nedsatt njurfunktion
Hos patienter med lätt, måttligt eller kraftigt nedsatt njurfunktion (eGFR <30-<90 ml/min/1,73 m2) och patienter med njursvikt/terminal njursjukdom, ökade AUC för empagliflozin med cirka 18 %, 20 %, 66 % respektive 48 % jämfört med personer med normal njurfunktion. Maximala plasmanivåer av empagliflozin var liknande hos patienter med måttligt nedsatt njurfunktion och njursvikt/terminal njursvikt jämfört med patienter med normal njurfunktion. Maximala plasmanivåer av empagliflozin var ungefär 20 % högre hos patienter med lätt och kraftigt nedsatt njurfunktion jämfört med patienter med normal njurfunktion. En populationsfarmakokinetisk analys visade att skenbar oral clearance för empagliflozin minskade med en minskning av eGFR, vilket leder till en ökad läkemedelsexponering.
Nedsatt leverfunktion
Hos försökspersoner med lätt, måttligt och kraftigt nedsatt leverfunktion, enligt Child-Pugh klassificering, ökade AUC för empagliflozin med ungefär 23 %, 47 % och 75 % och Cmax med cirka 4 %, 23 % respektive 48 % jämfört med personer med normal leverfunktion.
Kroppsmasseindex (BMI)
Baserat på den populationsfarmakokinetiska analysen hade BMI ingen kliniskt relevant effekt på farmakokinetiken för empagliflozin. I denna analys uppskattades AUC vara 5,82 %, 10,4 % och 17,3 % lägre hos patienter med BMI på 30, 35 respektive 45 kg/m2, jämfört med personer med ett BMI på 25 kg/m2.
Kön
Baserat på den populationsfarmakokinetiska analysen hade kön ingen kliniskt relevant effekt på farmakokinetiken för empagliflozin.
Etnicitet
I den populationsfarmakokinetiska analysen uppskattades AUC vara 13,5 % högre hos asiater med ett BMI på 25 kg/m2 jämfört med icke-asiater med ett BMI på 25 kg/m2.
Äldre
Baserat på den populationsfarmakokinetiska analysen hade ålder ingen kliniskt relevant effekt på farmakokinetiken för empagliflozin.
Pediatrisk population
I en pediatrisk fas 1-studie undersöktes farmakokinetiken och farmakodynamiken för empagliflozin (5 mg, 10 mg och 25 mg) hos barn och ungdomar ≥10 till <18 år med typ 2‑diabetes mellitus. De farmakokinetiska och farmakodynamiska svar som observerades överensstämde med de som sågs hos vuxna försökspersoner.
I en pediatrisk fas 3-studie undersöktes farmakokinetiken och farmakodynamiken (förändring av HbA1c från baslinjen) för empagliflozin 10 mg med en möjlig dosökning till 25 mg hos barn och ungdomar i åldern 10 till 17 år med typ 2‑diabetes mellitus. Det observerade förhållandet mellan exponering och behandlingssvar var totalt sett jämförbart hos vuxna och barn och ungdomar. Oral administrering av empagliflozin resulterade i en exponering inom det intervall som observerats hos vuxna patienter.
Det observerade geometriska medelvärdet för dalkoncentrationen och det geometriska medelvärdet för koncentrationen 1,5 timmar efter administrering vid steady state var 26,6 nmol/l och 308 nmol/l med empagliflozin 10 mg en gång dagligen och 67,0 nmol/l och 525 nmol/l med empagliflozin 25 mg en gång dagligen.
Gängse studier avseende säkerhetsfarmakologi, gentoxicitet, fertilitet och tidig embryonal utveckling visade inte några särskilda risker för människa.
I långsiktiga toxicitetsstudier på gnagare och hund observerades tecken på toxicitet vid exponeringar större än eller lika med 10 gånger den kliniska dosen empagliflozin. Det mesta av toxiciteten överensstämde med sekundär farmakologi relaterad till uringlukosförlust och elektrolytobalans, inkluderande minskad kroppsvikt och minskad mängd kroppsfett, ökad matkonsumtion, diarré, uttorkning, sänkt serumglukos, och ökning av andra serumparametrar reflekterande ökad proteinmetabolism och glukoneogenes, urinförändringar såsom polyuri och glukosuri och mikroskopiska förändringar såsom mineralisering i njurarna och vissa mjuk- och kärlvävnader. Mikroskopiska bevis på effekterna av överdriven farmakologi i njure som observerats hos vissa arter inbegrep tubulär dilatation och tubulär och bäckenmineralisering vid ungefär 4 gånger den kliniska AUC-exponeringen av empagliflozin associerad med dosen 25 mg.
Empagliflozin är inte gentoxiskt.
I en två år lång studie avseende karcinogenicitet ökade empagliflozin inte förekomsten av tumörer hos honråttor upp till den högsta dosen på 700 mg/kg/dag, vilket motsvarar cirka 72 gånger maximal klinisk AUC-exponering för empagliflozin. I hanråttor observerades behandlingsrelaterade godartade kärlproliferativa lesioner (hemangiom) i den mesenteriska lymfkörteln vid den högsta dosen, men inte vid 300 mg/kg/dag, vilket motsvarar cirka 26 gånger maximal klinisk exponering för empagliflozin. Interstitiella celltumörer i testiklarna observerades med högre incidens hos råttor vid 300 mg/kg/dag och högre, men inte vid 100 mg/kg/dag vilket motsvarar cirka 18 gånger den maximala kliniska exponeringen av empagliflozin. Båda tumörtyperna är vanliga hos råttor och det är osannolikt att de skulle vara relevanta för människa.
Empagliflozin ökade inte incidensen av tumörer i honmöss vid doser på upp till 1 000 mg/kg/dag, vilket motsvarar cirka 62 gånger maximal klinisk exponering för empagliflozin. Empagliflozin inducerade njurtumörer hos hanmöss vid 1 000 mg/kg/dag, men inte vid 300 mg/kg/dag, vilket motsvarar cirka 11 gånger maximal klinisk exponering för empagliflozin. Dessa tumörers bakomliggande mekanism är beroende av den naturliga predispositionen för njurpatologi hos hanmusen och en metabolisk väg som inte reflekterar den hos människa. Hanmössens njurtumörer anses inte vara relevanta för människa.
Vid exponeringar avsevärt högre än klinisk exponering hos människa efter terapeutiska doser, hade empagliflozin inga negativa effekter på fertilitet eller tidig embryonal utveckling. Empagliflozin administrerat under organogenesen var inte teratogent. Endast vid maternellt toxiska doser orsakade empagliflozin också böjda ben i extremiteter hos råtta och ökad embryofetal förlust hos kanin.
Vid pre- och postnatala toxicitetsstudier på råtta observerades minskad viktökning hos avkomma vid maternella exponeringar på ungefär 4 gånger den maximala kliniska exponeringen för empagliflozin. Ingen sådan effekt sågs vid systemisk exponering motsvarande den maximala kliniska exponeringen för empagliflozin. Relevansen av detta fynd för människa är oklar.
I en studie av juvenil toxicitet hos råtta, då empagliflozin administrerades från dag 21 postnatalt till dag 90 postnatalt, sågs icke-kritisk, minimal till lindrig dilatation av njurtubuli och njurbäcken hos juvenila råttor endast vid 100 mg/kg/dygn, vilket ungefär motsvarar 11 gånger den maximala kliniska dosen på 25 mg. Dessa fynd förelåg ej efter en läkemedelsfri återhämtningsperiod på 13 veckor.
Farmakoterapeutisk grupp: Diabetesmedel, natriumglukoskotransportör 2 (SGLT2)‑hämmare, ATC-kod: A10BK03
Verkningsmekanism
Empagliflozin är en reversibel, mycket potent (IC50 på 1,3 nmol) och selektiv kompetitiv hämmare av natrium-glukos-kotransportör 2 (SGLT2). Empagliflozin inhiberar inte andra glukostransportörer viktiga för glukostransport i perifera vävnader och är 5 000 gånger mer selektivt för SGLT2 kontra SGLT1, den huvudsakliga transportören ansvarig för glukosupptaget i tarmen. SGLT2 uttrycks kraftigt i njuren medan uttryck i andra vävnader är frånvarande eller mycket låg. I egenskap av den dominerande transportören ansvarar den för återupptag av glukos från det glomerulära filtratet tillbaka in i cirkulationen. Hos patienter med diabetes mellitus typ 2 och hyperglykemi filtreras och reabsorberas en större mängd glukos.
Empagliflozin förbättrar den glykemiska kontrollen hos patienter med diabetes mellitus typ 2 genom att minska det renala glukosåterupptaget. Mängden glukos som avlägsnas via njuren genom denna glukuretiska mekanism är beroende av blodglukoskoncentration och GFR. Hämning av SGLT2 hos patienter med diabetes mellitus typ 2 och hyperglykemi leder till att överskott av glukos utsöndras i urinen. Initiering av empagliflozin ökar dessutom utsöndringen av natrium vilket leder till osmotisk diures och minskad intravaskulär volym.
Hos patienter med typ 2-diabetes ökade uringlukosutsöndringen omedelbart efter den första dosen av empagliflozin och är kontinuerlig över det 24 timmar långa doseringsintervallet. En ökad uringlukosutsöndring bibehölls till slutet av den fyra veckor långa behandlingsperioden, på i genomsnitt cirka 78 g/dag. Ökad uringlukosutsöndring resulterade i en omedelbar minskning av plasmaglukosnivåerna hos patienter med typ 2-diabetes.
Empagliflozin förbättrar både fastande och postprandiella plasmaglukosnivåer. Empagliflozins verkningsmekanism är oberoende av betacellfunktionen och insulinsekretionen och detta bidrar till låg risk för hypoglykemi. Förbättring av surrogatmarkörer för betacellfunktion, inklusive Homeostasis Model Assessment-β (HOMA-β) noterades. Dessutom utlöser uringlukosutsöndring kaloriförlust, åtföljt av förlust av kroppsfett och sänkt kroppsvikt. Den glukosuri som observeras med empagliflozin, åtföljs av diures, vilket kan bidra till varaktig och måttlig sänkning av blodtrycket.
Empagliflozin minskar också natriumåterupptaget och ökar tillförseln av natrium till distala tubuli. Detta kan påverka flera fysiologiska funktioner inklusive, men inte begränsat till: ökning av tubuloglomerulär feedback och minskat intraglomerulärt tryck, minskning av både pre- och afterload i hjärtat, nedreglering av sympatisk aktivitet och minskning av belastningen på vänsterkammarväggen såsom framgår av lägre NT‑proBNP‑värden vilka kan ha gynnsamma effekter på kardiell remodellering, fyllnadstryck och diastolisk funktion samt för att bevara njurstruktur och -funktion. Andra effekter såsom ökning av hematokrit, minskning av kroppsvikt och blodtryck kan ytterligare bidra till de gynnsamma effekterna på hjärta och njurar.
Klinisk effekt och säkerhet
Diabetes mellitus typ 2
Både förbättrad glykemisk kontroll och reducerad kardiovaskulär morbiditet och mortalitet är viktiga delar i behandlingen av typ 2-diabetes.
Glykemisk effekt och kardiovaskulära utfall har utvärderats hos totalt 14 663 patienter med diabetes mellitus typ 2 som behandlades i 12 dubbelblinda, placebokontrollerade och aktivt kontrollerade kliniska studier, varav 9 295 erhöll empagliflozin (empagliflozin 10 mg: 4 165 patienter; empagliflozin 25 mg: 5 130 patienter). Fem studier hade behandlingstider på 24 veckor, förlängningar av dessa och andra studier hade patienter som exponerades för empagliflozin i upp till 102 veckor.
Behandling med empagliflozin som monoterapi och i kombination med metformin, pioglitazon, en sulfonureid, DPP-4-hämmare, och insulin leder till kliniskt relevanta förbättringar av HbA1c, fasteplasmaglukos (FPG), kroppsvikt och systoliskt och diastoliskt blodtryck. Administrering av empagliflozin 25 mg resulterade i en större andel patienter som uppnådde HbA1c-målet på mindre än 7 % och färre patienter som behöver tilläggsbehandling jämfört med empagliflozin 10 mg och placebo. Högre HbA1c-värde vid baslinjen var associerat med en större sänkning av HbA1c. Empagliflozin som komplement till standardbehandling reducerade dessutom kardiovaskulär mortalitet hos patienter med typ 2-diabetes och etablerad kardiovaskulär sjukdom.
Monoterapi
Effekt och säkerhet för empagliflozin som monoterapi utvärderades i en dubbelblind, placebokontrollerad och aktivt kontrollerad studie på 24 veckor med tidigare obehandlade patienter. Behandling med empagliflozin resulterade i en statistiskt signifikant (p <0,0001) minskning av HbA1c jämfört med placebo (tabell 2) och en kliniskt relevant minskning av FPG.
I en fördefinierad analys av patienter (N=201) med ett utgångsvärde för HbA1c ≥8,5 %, resulterade behandling i en minskning av HbA1c från utgångsvärdet med -1,44 % för empagliflozin 10 mg, -1,43 % för empagliflozin 25 mg, -1,04 % för sitagliptin och en ökning med 0,01% för placebo. I den dubbelblinda placebokontrollerade förlängningen av denna studie bibehölls sänkningar av HbA1c, kroppsvikt och blodtryck fram till vecka 76.
Tabell 2: Effektresultat i en 24-veckors placebokontrollerad studie av empagliflozin som monoterapia
a Fullständig analysuppsättning (FAS) med användning av Last Observation Carried Forward (LOCF) före glykemisk akutbehandling
1 Medelvärde justerat för värdet vid baslinjen
2 Inte utvärderat med avseende på statistisk signifikans på grund av det sekventiella bekräftande testförfarandet
3 95% KI
4 LOCF, värden efter antihypertensiv tilläggsbehandling uteslutna
*p-värde <0,0001
Kombinationsbehandling
Empagliflozin som tillägg till metformin, sulfonureider, pioglitazon
Empagliflozin som tillägg till metformin, metformin och en sulfonureid, eller pioglitazon med eller utan metformin resulterade i statistiskt signifikanta (p <0,0001) sänkningar av HbA1c och kroppsvikt jämfört med placebo (tabell 3). Dessutom resulterade det i en kliniskt betydelsefull minskning av FPG, systoliskt och diastoliskt blodtryck jämfört med placebo.
I den dubbelblinda placebokontrollerade förlängningen av dessa studier bibehölls sänkningar av HbA1c, kroppsvikt och blodtryck fram till vecka 76.
Tabell 3: Effektresultat i 24-veckors placebokontrollerade studiera
a Fullständig analysuppsättning (FAS) med användning av Last Observation Carried Forward (LOCF) före glykemisk akutbehandling
1 Medelvärde justerat för värdet vid baslinjen
2 Inte utvärderat med avseende på statistisk signifikans på grund av det sekventiella bekräftande testförfarandet
3 LOCF, värden efter antihypertensiv tilläggsbehandling uteslutna
*p-värde <0,0001
I kombination med metformin till tidigare obehandlade patienter
En 24 veckor lång studie med faktoriell design utfördes för att utvärdera effekt och säkerhet för empagliflozin hos tidigare obehandlade patienter. Behandling med empagliflozin i kombination med metformin (5 mg och 500 mg; 5 mg och 1 000 mg; 12,5 mg och 500 mg samt 12,5 mg och 1 000 mg 2 gånger dagligen) gav statistiskt signifikanta förbättringar av HbA1c (tabell 4) och medförde större minskningar i FPG (jämfört med de enskilda komponenterna) och kroppsvikt (jämfört med metformin).
Tabell 4: Effektresultat vid vecka 24 vid jämförelse mellan empagliflozin i kombination med metformin och de enskilda komponenternaa
Met = metformin; empa = empagliflozin
1 Medelvärde justerat för värdet vid baslinjen
a Analyserna gjordes på den fullständiga analysuppsättningen (FAS) med användning av observerade fall (OC, Observed Cases)
b Administrerad i två lika delade doser per dag när de gavs tillsammans med metformin
c Administrerad i två lika delade doser per dag
*p≤0,0062 för HbA1c
Empagliflozin hos patienter som är otillräckligt kontrollerade med metformin och linagliptin
Hos patienter som är otillräckligt kontrollerade med metformin och linagliptin 5 mg resulterade behandling med både empagliflozin 10 mg och 25 mg i statistiskt signifikanta (p <0,0001) minskningar av HbA1c och kroppsvikt jämfört med placebo (tabell 5). Dessutom resulterade det i kliniskt meningsfulla minskningar av FPG, systoliskt och diastoliskt blodtryck jämfört med placebo.
Tabell 5: Effektresultat av en 24 veckor lång placebokontrollerad studie hos patienter som är otillräckligt kontrollerade med metformin och linagliptin 5 mg
1 Medelvärde justerat för värdet vid baslinjen
2 Inte utvärderat med avseende på statistisk signifikans; inte del av det sekventiella testförfarandet för sekundära effektmått
3 MMRM-modell av FAS (OC) inkluderade baslinje-HbA1c, baslinje-eGFR (MDRD), geografiskt område, besök, behandling och treatment-by-visit-interaktion. För vikten är baslinjevikten medtagen.
4 MMRM-modell inkluderade systoliskt blodtryck vid baslinjen och HbA1c vid baslinjen som linjär(a) kovariat(er), och baslinje-eGFR, geografiskt område, behandling, besök, och treatment-by-visit-interaktion som fasta effekter.
5 Patienter som randomiserades till placebogruppen fick placebo plus linagliptin 5 mg med metformin som bakgrundsbehandling
6 Patienter som randomiserades till grupperna empagliflozin 10 mg eller 25 mg fick empagliflozin 10 mg eller 25 mg och linagliptin 5 mg med metformin som bakgrundsbehandling
* p-värde <0,0001
I en förspecificerad subgrupp av patienter med baslinje-HbA1c högre än eller lika med 8,5 % var minskningen från baslinjen av HbA1c -1,3 % med empagliflozin 10 mg eller 25 mg vid 24 veckor (p <0,0001) jämfört med placebo.
Empagliflozin 24 månaders data, som tillägg till metformin jämfört med glimepirid
I en studie som undersökte effekt och säkerhet för empagliflozin 25 mg jämfört med glimepirid (upp till 4 mg per dag) hos patienter med otillräcklig glykemisk kontroll med enbart metformin, resulterade behandling med empagliflozin dagligen i överlägsen reduktion av HbA1c (tabell 6), och en kliniskt betydelsefull minskning av FPG jämfört med glimepirid. Empagliflozin dagligen resulterade i en statistiskt signifikant minskning av kroppsvikt, systoliskt och diastoliskt blodtryck samt en statistiskt signifikant mindre andel patienter med hypoglykemiska händelser jämfört med glimepirid (2,5 % för empagliflozin, 24,2 % för glimepirid, p <0,0001).
Tabell 6: Effektresultat vid vecka 104 i en aktivt kontrollerad studie som jämförde empagliflozin med glimepirid som tillägg till metformina
a Fullständig analysuppsättning (FAS) med användning av Last Observation Carried Forward (LOCF) före glykemisk akutbehandling
b Upp till 4 mg glimepirid
1 Medelvärde justerat för värdet vid baslinjen
2 LOCF, värden efter antihypertensiv tilläggsbehandling uteslutna
*p-värde <0,0001 för icke-underlägsenhet (non-inferiority) och p-värde = 0,0153 för överlägsenhet
**p-värde <0,0001
Tillägg till insulinbehandling
Empagliflozin som tillägg till multipelt dagligt insulin
Effekt och säkerhet för empagliflozin som tillägg till multipelt dagligt insulin, med eller utan samtidig metforminbehandling, utvärderades i en dubbelblind, placebokontrollerad studie som pågick under 52 veckor. Under de första 18 veckorna, och de sista 12 veckorna, hölls insulindosen stabil, men justerades för att uppnå preprandiella glukosnivåer <100 mg/dl [5,5 mmol/l], och postprandiella glukosnivåer <140 mg/dl [7,8 mmol/l] mellan vecka 19 och 40.
Vid vecka 18 uppvisade empagliflozin statistiskt signifikant förbättring av HbA1c jämfört med placebo (tabell 7).
Vid vecka 52 resulterade behandling med empagliflozin i en statistiskt signifikant sänkning av HbA1c och minskat insulinbehov jämfört med placebo och en minskning av FPG och kroppsvikt.
Tabell 7: Effektresultat vid vecka 18 och 52 i en placebokontrollerad studie av empagliflozin som tillägg till upprepade dagliga doser av insulin med eller utan metformin
1 Medelvärde justerat för värdet vid baslinjen
2 Vecka 19-40: ’treat-to-target’-regim för dosjustering av insulin för att uppnå fördefinierade glukosmålnivåer (pre-prandiella <100 mg/dl (5,5 mmol/l), postprandiella <140 mg/dl (7,8 mmol/l)
*p-värde <0,0001
**p-värde =0,0003
***p-värde =0,0005
# p-värde =0,0040
Empagliflozin som tillägg till basinsulin
Effekt och säkerhet för empagliflozin som tillägg till basinsulin, med eller utan metforminbehandling och/eller sulfonureid, utvärderades i en dubbelblind, placebokontrollerad studie som pågick under 78 veckor. Under de första 18 veckorna hölls insulindosen stabil, men justerades för att uppnå en FPG <110 mg/dl de följande 60 veckorna.
Vid vecka 18 uppvisade empagliflozin en statistiskt signifikant förbättring av HbA1c (tabell 8).
Vid vecka 78 uppvisade empagliflozin en statistiskt signifikant minskning av HbA1c och minskat insulinbehov jämfört med placebo. Dessutom resulterade empagliflozin i en minskning av FPG, kroppsvikt och blodtryck.
Tabell 8: Effektresultat vid vecka 18 och 78 i en placebokontrollerad studie av empagliflozin som tillägg till basinsulin, med eller utan metforminbehandling eller en sulfonureida
a Fullständig analysuppsättning (FAS) med användning av Last Observation Carried Forward (LOCF) före glykemisk akutbehandling
1 medelvärde justerat för värdet vid baslinjen
*p-värde <0,0001
**p-värde <0,025
Patienter med nedsatt njurfunktion, 52 veckors placebokontrollerade data
Effekt och säkerhet för empagliflozin som tillägg till antidiabetesbehandling utvärderades hos patienter med nedsatt njurfunktion i en dubbelblind, placebokontrollerad studie under 52 veckor. Behandling med empagliflozin ledde till en statistiskt signifikant reduktion av HbA1c (tabell 9) och kliniskt betydelsefull förbättring i FPG jämfört med placebo vid vecka 24. Förbättringen i HbA1c, kroppsvikt och blodtryck bibehölls i 52 veckor.
Tabell 9: Resultat vid vecka 24 i en placebokontrollerad studie av empagliflozin hos typ 2-diabetespatientera med nedsatt njurfunktion
a Fullständig analysuppsättning (FAS) med användning av Last Observation Carried Forward (LOCF) före glykemisk akutbehandling
1 Medelvärde justerat för värdet vid baslinjen
2 Inte utvärderat med avseende på statistisk signifikans på grund av det sekventiella bekräftande testförfarandet
* p<0,0001
Kardiovaskulära händelser
Den dubbelblinda, placebokontrollerade EMPA-REG OUTCOME-studien jämförde poolade doser av empagliflozin 10 mg och 25 mg med placebo som komplement till standardbehandling hos patienter med typ 2-diabetes och etablerad kardiovaskulär sjukdom. Totalt 7 020 patienter behandlades (empagliflozin 10 mg: 2 345, empagliflozin 25 mg: 2 342, placebo: 2 333) och följdes i 3,1 år (median). Genomsnittsåldern var 63 år, genomsnittligt HbA1c var 8,1 %, och 71,5 % var män. Vid baslinjen behandlades 74 % av patienterna med metformin, 48 % med insulin och 43 % med en sulfonureid. Ungefär hälften av patienterna (52,2 %) hade eGFR på 60‑90 ml/min/1,73 m2, 17,8 % på 45‑60 ml/min/1,73 m2 och 7,7 % på 30‑45 ml/min/1,73 m2.
Vid vecka 12 observerades en justerad genomsnittlig (SE) förbättring av HbA1c jämfört med baslinjen på 0,11 % (0,02) i placebogruppen, 0,65 % (0,02) och 0,71 % (0,02) i grupperna som fick 10 mg respektive 25 mg empagliflozin. Efter de första 12 veckorna var den glykemiska kontrollen optimerad oberoende av studiebehandling. Därför dämpades effekten vid vecka 94 med en justerad genomsnittlig (SE) förbättring av HbA1c på 0,08 % (0,02) i placebogruppen, 0,50 % (0,02) och 0,55 % (0,02) i grupperna som fick 10 mg respektive 25 mg empagliflozin.
Empagliflozin var överlägset bättre på att förebygga det primära sammansatta utfallsmåttet kardiovaskulär död, icke-fatal hjärtinfarkt eller icke-fatal stroke, jämfört med placebo. Behandlingseffekten drevs av en signifikant minskning av kardiovaskulär död utan någon signifikant förändring av icke-fatal hjärtinfarkt eller icke-fatal stroke. Minskningen av kardiovaskulär död var jämförbar för empagliflozin 10 mg respektive 25 mg (figur 1) och bekräftades av en förbättrad total överlevnad (tabell 10). I EMPA‑REG OUTCOME-studien var effekten av empagliflozin på det primära sammansatta utfallsmåttet kardiovaskulär död, icke-fatal hjärtinfarkt eller icke-fatal stroke till stor del oberoende av glykemisk kontroll eller njurfunktion (eGFR) och i allmänhet konsekvent för de olika eGFR‑kategorierna ner till eGFR 30 ml/min/1,73 m2.
Effekten vad gäller förebyggande av kardiovaskulär mortalitet har inte entydigt kunnat fastställas hos patienter som använder empagliflozin samtidigt med DPP-4-hämmare eller hos svarta patienter, eftersom representationen av dessa grupper var begränsad i EMPA-REG OUTCOME-studien.
Tabell 10: Behandlingseffekt för det primära sammansatta utfallsmåttet, dess komponenter och mortaliteta
a Behandlad grupp (TS – Treated set), dvs. patienter som fick minst en dos studieläkemedel
b Poolade doser av empagliflozin 10 mg och 25 mg
* Eftersom data från studien inkluderades i en interimanalys tillämpades ett tvåsidigt konfidensintervall på 95,02 % vilket motsvarar ett p-värde på mindre än 0,0498 för signifikans.
Figur 1 Tid till händelse av kardiovaskulär död i EMPA-REG OUTCOME-studien
Sjukhusinläggningar på grund av hjärtsvikt
I EMPA‑REG OUTCOME‑studien minskade empagliflozin risken för sjukhusinläggningar på grund av hjärtsvikt jämfört med placebo (empagliflozin 2,7%; placebo 4,1%; riskkvot 0,65, 95 % KI 0,50; 0,85).
Nefropati
I EMPA‑REG OUTCOME‑studien var riskkvoten för tiden till första nefropatihändelse 0,61 (95 % KI 0,53; 0,70) för empagliflozin (12,7 %) jämfört med placebo (18,8 %).
Empagliflozin visade dessutom en högre (riskkvot 1,82, 95 % KI 1,40; 2,37) incidens av ihållande normo- eller mikroalbuminuri (49,7 %) hos patienter med makroalbuminuri vid baslinjen jämfört med placebo (28,8 %).
Fasteplasmaglukos
I fyra placebokontrollerade studier, resulterade behandling med empagliflozin som monoterapi eller tilläggsbehandling till metformin, pioglitazon, eller metformin plus en sulfonureid i genomsnittliga förändringar i FPG från baslinjen på -20,5 mg/dl [-1,14 mmol/l] för empagliflozin 10 mg och -23,2 mg/dl [-1,29 mmol/l] för empagliflozin 25 mg jämfört med placebo (7,4 mg/dl [0,41 mmol/l]). Denna effekt observerades efter 24 veckor och kvarstod i 76 veckor.
Postprandiellt glukos efter 2 timmar
Behandling med empagliflozin som tillägg till metformin eller metformin och en sulfonureid resulterade i en kliniskt relevant sänkning av 2-timmars postprandiellt glukos (måltidsbelastningstest) efter 24 veckor (tillägg till metformin: placebo +5,9 mg/dl, empagliflozin 10 mg: -46,0 mg/dl, empagliflozin 25 mg: -44,6 mg/dl, tillägg till metformin och en sulfonureid: placebo -2,3 mg/dl, empagliflozin 10 mg: -35,7 mg/dl, empagliflozin 25 mg: -36,6 mg/dl).
Patienter med högt HbA1c vid baslinjen >10%
I en förspecificerad poolad analys av tre fas 3-studier, resulterade öppen behandling med empagliflozin 25 mg hos patienter med svår hyperglykemi (N = 184, genomsnittlig HbA1c vid baslinje 11,15 %) i en kliniskt relevant sänkning av HbA1c från baslinjen med 3,27 % vid vecka 24; inga placebo- eller empagliflozin 10 mg-armar inkluderades i dessa studier.
Kroppsvikt
I en förspecificerad poolad analys av fyra placebokontrollerade studier, resulterade behandling med empagliflozin i minskad kroppsvikt (-0,24 kg för placebo, -2,04 kg för empagliflozin 10 mg och -2,26 kg för empagliflozin 25 mg) vid vecka 24 som upprätthölls till vecka 52 (-0,16 kg för placebo, -1,96 kg för empagliflozin 10 mg och -2,25 kg för empagliflozin 25 mg).
Blodtryck
Effekt och säkerhet för empagliflozin utvärderades i en dubbelblind, placebokontrollerad studie under 12 veckor hos patienter med diabetes mellitus typ 2 och högt blodtryck som fick olika antidiabetika och upp till 2 antihypertensiva behandlingar. Behandling med empagliflozin en gång dagligen resulterade i en statistiskt signifikant förbättring av HbA1c, och 24 timmars genomsnittligt systoliskt och diastoliskt blodtryck uppmätt genom ambulatorisk blodtrycksmätning (tabell 11). Behandling med empagliflozin gav sänkt sittande systoliskt och diastoliskt blodtryck.
Tabell 11: Effektresultat vid vecka 12 i en placebokontrollerad studie av empagliflozin hos patienter med diabetes mellitus typ 2 och okontrollerat blodtrycka
a Fullständig analysuppsättning (FAS)1 LOCF, värden efter tilläggsbehandling med antidiabetika uteslutna
2 Genomsnitt justerat för HbA1c vid baslinjen, eGFR vid baslinjen, geografisk region och antal blodtryckssänkande läkemedel
3 LOCF, värden efter tilläggsbehandling med antidiabetika eller ändrad behandling med antihypertensiva uteslutna
4 Genomsnitt justerat för systoliskt blodtryck vid baslinjen, HbA1c vid baslinjen, eGFR vid baslinjen, geografiskt område och antal blodtryckssänkande läkemedel
5 Genomsnitt justerat för diastoliskt blodtryck vid baslinjen, HbA1c vid baslinjen, eGFR vid baslinjen, geografisk region och antal blodtryckssänkande läkemedel
*p-värde <0,0001
** p-värde <0,001
I en förspecificerad poolad analys av fyra placebokontrollerade studier, resulterade behandling med empagliflozin i en sänkning av det systoliska blodtrycket (empagliflozin 10 mg: -3,9 mmHg; empagliflozin 25 mg: -4,3 mmHg) jämfört med placebo (-0,5 mmHg) och diastoliskt blodtryck (empagliflozin 10 mg: -1,8 mmHg; empagliflozin 25 mg: -2,0 mmHg) jämfört med placebo (-0,5 mmHg) vid vecka 24, som kvarstod fram till vecka 52.
Hjärtsvikt
Empagliflozin hos patienter med hjärtsvikt och nedsatt ejektionsfraktion
En randomiserad, dubbelblind, placebokontrollerad studie (EMPEROR‑Reduced) genomfördes på 3 730 patienter med kronisk hjärtsvikt (New York Heart Association [NYHA] II‑IV) och nedsatt ejektionsfraktion (LVEF ≤40 %) för att utvärdera effekt och säkerhet för empagliflozin 10 mg en gång dagligen som tillägg till standardbehandling vid hjärtsvikt. Primärt effektmått var tid till fastställd första händelse av antingen kardiovaskulär (CV) död eller sjukhusinläggning på grund av hjärtsvikt (HHF). Förekomst av fastställd HHF (första och återkommande) och förändringen av eGFR (CKD-EPI)cr från baslinjen över tid, inkluderades i den bekräftande testningen. Hjärtsviktsbehandling vid baslinjen inkluderade ACE-hämmare/ angiotensinreceptorblockerare/ angiotensinreceptor-neprilysinhämmare (88,3 %), betablockerare (94,7 %), mineralkortikoidreceptorantagonister (71,3 %) och diuretika (95,0 %).
Totalt 1 863 patienter randomiserades till empagliflozin 10 mg (placebo: 1 867) och följdes under en medianperiod på 15,7 månader. Studiepopulationen bestod av 76,1 % män och 23,9 % kvinnor med en genomsnittlig ålder på 66,8 år (intervall: 25‑94 år), 26,8 % var 75 år eller äldre. 70,5 % av studiepopulationen var vita, 18,0 % var asiater och 6,9 % svarta/afroamerikaner. Vid randomiseringen var 75,1 % av patienterna i NYHA‑klass II, 24,4 % klass III och 0,5 % klass IV. Genomsnittlig LVEF var 27,5 %. Vid baslinjen var genomsnittlig eGFR 62,0 ml/min/1,73 m2 och median för kvoten urinalbumin:kreatinin (UACR) var 22 mg/g. Cirka hälften av patienterna (51,7 %) hade eGFR ≥60 ml/min/1,73 m2, 24,1 % 45 till <60 ml/min/1,73 m2, 18,6 % 30 till <45 ml/min/1,73 m2 och 5,3 % 20 till <30 ml/min/1,73 m2.
Jämfört med placebo var empagliflozin överlägset gällande minskning av risken för det primära sammansatta effektmåttet kardiovaskulär död eller sjukhusinläggning på grund av hjärtsvikt. Dessutom minskade empagliflozin signifikant risken för förekomst av HHF (första och återkommande) och minskade signifikant graden av eGFR-försämring över tid (tabell 12; figur 2).
Tabell 12: Behandlingseffekt för det primära sammansatta effektmåttet, dess komponenter och de två viktigaste sekundära effektmåtten i den förspecificerade bekräftande testningen
CV = kardiovaskulär, HHF = sjukhusinläggning på grund av hjärtsvikt, eGFR = uppskattad glomerulär filtrationshastighet, CKD EPI = Chronic kidney disease epidemiology collaboration equation
* CV‑död och HHF‑händelser fastställdes av en oberoende klinisk händelsekommitté och analyserades på basis av randomiserad grupp.
**Förändringsgraden av eGFR analyserades på basis av behandlad grupp. Interceptet är ‑0,95 ml/min/1,73 m2 för placebo och ‑3,02 ml/min/1,73 m2 för empagliflozin. Interceptet representerar den akuta effekten på eGFR medan lutningsgraden representerar den långsiktiga effekten.
Figur 2 Tid till fastställd första händelse av CV‑död eller HHF
Resultaten för det primära sammansatta effektmåttet var generellt sett överensstämmande med en riskkvot (HR) under 1 för alla förspecificerade undergrupper, inklusive patienter med hjärtsvikt, med eller utan diabetes mellitus typ 2 och med eller utan nedsatt njurfunktion (ned till eGFR 20 ml/min/1,73 m2).
Empagliflozin hos patienter med hjärtsvikt och bevarad ejektionsfraktion
En randomiserad, dubbelblind, placebokontrollerad studie (EMPEROR‑Preserved) genomfördes på 5 988 patienter med kronisk hjärtsvikt (NYHA II‑IV) och bevarad ejektionsfraktion (LVEF >40 %) för att utvärdera effekt och säkerhet för empagliflozin 10 mg en gång dagligen som tillägg till standardbehandling. Primärt effektmått var tid till fastställd första händelse av antingen kardiovaskulär (CV) död eller sjukhusinläggning på grund av hjärtsvikt (HHF). Förekomst av fastställd HHF (första och återkommande) och förändringen av eGFR (CKD-EPI)cr från baslinjen över tid, inkluderades i den bekräftande testningen. Baslinjebehandling inkluderade ACE-hämmare/ angiotensinreceptorblockerare/ angiotensinreceptor-neprilysinhämmare (80,7 %), betablockerare (86,3 %), mineralkortikoidreceptorantagonister (37,5 %) och diuretika (86,2 %).
Totalt 2 997 patienter randomiserades till empagliflozin 10 mg (placebo: 2 991) och följdes under en medianperiod på 26,2 månader. Studiepopulationen bestod av 55,3 % män och 44,7 % kvinnor med en genomsnittlig ålder på 71,9 år (intervall: 22‑100 år), 43,0 % var 75 år eller äldre. 75,9 % av studiepopulationen var vita, 13,8 % var asiater och 4,3 % svarta/afroamerikaner. Vid randomiseringen var 81,5 % av patienterna i NYHA‑klass II, 18,1 % i klass III och 0,3 % i klass IV. Studiepopulationen i EMPEROR‑Preserved inkluderade patienter med LVEF <50 % (33,1 %), med LVEF 50 till <60 % (34,4 %) och LVEF ≥60 % (32,5 %). Vid baslinjen var genomsnittlig eGFR 60,6 ml/min/1,73 m2 och median för kvoten urinalbumin:kreatinin (UACR) var 21 mg/g. Cirka hälften av patienterna (50,1 %) hade eGFR ≥60 ml/min/1,73 m2, 26,1 % 45 till <60 ml/min/1,73 m2, 18,6 % 30 till <45 ml/min/1,73 m2 och 4,9 % 20 till <30 ml/min/1,73 m2.
Jämfört med placebo var empagliflozin överlägset gällande minskning av risken för det primära sammansatta effektmåttet kardiovaskulär död eller sjukhusinläggning på grund av hjärtsvikt. Dessutom minskade empagliflozin signifikant risken för förekomst av HHF (första och återkommande) och minskade signifikant graden av eGFR-försämring över tid (tabell 13; figur 3).
Tabell 13: Behandlingseffekt för det primära sammansatta effektmåttet, dess komponenter och de två viktigaste sekundära effektmåtten i den förspecificerade bekräftande testningen.
CV = kardiovaskulär, HHF = sjukhusinläggning på grund av hjärtsvikt, eGFR = uppskattad glomerulär filtrationshastighet, CKD EPI = Chronic kidney disease epidemiology collaboration equation
* CV‑död och HHF‑händelser fastställdes av en oberoende klinisk händelsekommitté och analyserades baserat på randomiserad grupp.
**Förändringsgraden av eGFR analyserades baserat på behandlad grupp. Interceptet är ‑0,18 ml/min/1,73 m2 för placebo och ‑3,02 ml/min/1,73 m2 för empagliflozin. Interceptet representerar den akuta effekten på eGFR medan lutningsgraden representerar den långsiktiga effekten.
Figur 3 Tid till fastställd första händelse av CV‑död eller HHF
Resultaten för det primära sammansatta effektmåttet var överensstämmande för alla
i förväg specificerade undergrupper kategoriserade enligt t.ex. LVEF, diabetesstatus eller njurfunktion (ned till eGFR 20 ml/min/1,73 m2).
Kronisk njursjukdom
En randomiserad, dubbelblind, placebokontrollerad studie av empagliflozin 10 mg en gång dagligen (EMPA‑KIDNEY) utfördes på 6 609 patienter med kronisk njursjukdom (eGFR ≥ 20 ‑ < 45 ml/min/1,73 m2; eller eGFR ≥ 45 ‑ < 90 ml/min/1,73 m2 med en urinalbumin:kreatininkvot [UACR] ≥200 mg/g) för att bedöma kardiorenala resultat som tillägg till standardbehandling. Det primära effektmåttet var tid till första uppkomst av progression av njursjukdom (ihållande ≥ 40 % eGFR-försämring från randomisering, ihållande eGFR < 10 ml/min/1,73 m², terminal njursjukdom eller njurdöd) eller kardiovaskulär död. Första händelse av sjukhusinläggning på grund av hjärtsvikt eller kardiovaskulär död, total sjukhusinläggning oavsett orsak (första och återkommande) och mortalitet oavsett orsak inkluderades i den bekräftande analysen. Basbehandling inkluderade användning av en RAS-hämmare om lämpligt (85,2 % behandlades med ACE-hämmare eller angiotensinreceptorblockerare).
Totalt 3 304 patienter randomiserades till empagliflozin 10 mg (placebo: 3 305) och följdes under 24,3 månader (median). Studiepopulationen bestod av 66,8 % män och 33,2 % kvinnor med en genomsnittlig ålder på 63,3 år (intervall: 18‑94 år), 23,0 % var 75 år eller äldre. 58,4 % av studiepopulationen var vita, 36,2 % var asiater och 4,0 % svarta/afroamerikaner.
Vid baslinjen var genomsnittlig eGFR 37,3 ml/min/1,73 m2, 21,2 % av patienterna hade eGFR ≥ 45 ml/min/1,73 m2, 44,3 % 30 till < 45 ml/min/1,73 m2 och 34,5 % < 30 ml/min/1,73 m2 inklusive 254 patienter med eGFR < 20 ml/min /1,73 m2. Median för UACR var 329 mg/g, 20,1 % av patienterna hade UACR < 30 mg/g, 28,2 % hade UACR 30 till ≤ 300 mg/g och 51,7 % hade UACR > 300 mg/g; 41,1 % av patienterna hade UACR < 200 mg/g. Primära orsaker till kronisk njursjukdom var diabetesnefropati/diabetisk njursjukdom (31 %), glomerulär sjukdom (25 %), hypertensiv/renovaskulär sjukdom (22 %) och övrigt/okänt (22 %).
Empagliflozin var överlägset bättre på att förebygga det primära sammansatta effektmåttet progression av njursjukdom eller kardiovaskulär död, jämfört med placebo (se tabell 14). Dessutom minskade empagliflozin signifikant risken för sjukhusinläggning oavsett orsak (första och återkommande).
Tabell 14: Behandlingseffekt för det primära sammansatta och sekundära effektmåttet inkluderade i den förspecificerade bekräftade testningen och dess komponenter
CV = kardiovaskulär, eGFR = uppskattad glomerulär filtrationshastighet
* Terminal njursjukdom (ESKD) definieras som insättning av underhållsdialys eller mottagande av ett njurtransplantat.
** Det fanns för få händelser av njurdöd för att beräkna en pålitlig riskkvot.
# Fördefinierat som ett av två stoppkriterier i den förplanerade interimsanalysen.
Figur 4 Tid till första händelse av progression av njursjukdom eller fastställd CV-död, beräknad kumulativ incidensfunktion
Resultaten för det primära sammansatta effektmåttet var generellt konsekventa för alla i förväg specificerade subgrupper, inklusive eGFR-kategorier, underliggande orsak till njursjukdom, diabetesstatus eller bakgrundsanvändning av RAS-hämmare. Behandlingsfördelar var tydligare hos patienter med högre halter av albuminuri.
Under behandling var eGFR‑försämring över tid långsammare i empagliflozin-gruppen än i placebogruppen (se figur 5). Empagliflozin minskade den årliga graden av eGFR-försämring jämfört med placebo med 1,37 ml/min/1,73 m2/år (95 % KI 1,16; 1,59), baserat på en i förväg specificerad analys av samtliga eGFR-mätningar gjorda mellan besöket vid 2 månader och det sista uppföljningsbesöket. Patienter behandlade med empagliflozin uppvisade en initial försämring av eGFR som återgick mot baslinjevärdena efter avslutad behandling, vilket påvisats i flera av empagliflozin-studierna och stöder att hemodynamiska förändringar spelar en roll för de akuta effekterna av empagliflozin på eGFR.
Figur 5 Förändring av eGFR över tid*
*eGFR (CKD-EPI) (ml/min/1,73 m2) MMRM‑resultat över tid - randomiserad grupp.
Pediatrisk population
Diabetes mellitus typ 2
Klinisk effekt och säkerhet för empagliflozin (10 mg, med en möjlig dosökning till 25 mg) och linagliptin (5 mg) en gång dagligen, har studerats hos barn och ungdomar från 10 till 17 års ålder med diabetes mellitus typ 2 i en placebokontrollerad studie (DINAMO) under 26 veckor, med en förlängningsperiod på upp till 52 veckor för kontroll av säkerheten. Bakgrundsbehandling som tillägg till kost och motion inkluderade metformin (51 %), en kombination av metformin och insulin (40,1 %), insulin (3,2 %), eller ingenting (5,7 %).
Den justerade genomsnittliga förändringen av HbA1c vid vecka 26 mellan empagliflozin (N = 52) och placebo (N = 53) på ‑0,84 % var kliniskt betydelsefull och statistiskt signifikant (95 % KI ‑1,50; ‑0,19; p = 0,0116). Jämfört med placebo resulterade dessutom behandling med empagliflozin i en kliniskt betydelsefull justerad genomsnittlig förändring av FPG (fasteplasmaglukos) på ‑35,2 mg/dl (95 % KI ‑58,6; ‑11,7) [‑1,95 mmol/l (‑3,25; ‑0,65)].
Hjärtsvikt och kronisk njursjukdom
Europeiska läkemedelsmyndigheten har beviljat undantag från kravet att skicka in studieresultat för Jardiance för alla grupper av den pediatriska populationen för hjärtsvikt och för behandling av kronisk njursjukdom (information om pediatrisk användning finns i avsnitt 4.2).
Absorption
Farmakokinetiken för empagliflozin har undersökts noga hos friska försökspersoner och patienter med diabetes mellitus typ 2. Efter oral administrering absorberades empagliflozin snabbt med maximala plasmakoncentrationer vid ett tmax på i median 1,5 timmar efter dosering. Därefter sjönk plasmakoncentrationerna bifasiskt, med en snabb distributionsfas och en relativt långsam terminal fas. Genomsnittlig AUC och Cmax i plasma vid steady state var 1 870 nmol.h/l respektive 259 nmol/l med empagliflozin 10 mg och 4 740 nmol.h/l och 687 nmol/l med empagliflozin 25 mg en gång dagligen. Den systemiska exponeringen för empagliflozin ökade proportionellt mot dosen. De farmakokinetiska parametrarna för empagliflozin efter en engångsdos och vid steady state var liknade, vilket tyder på linjär farmakokinetik med avseende på tid. Det fanns inga kliniskt relevanta skillnader i farmakokinetiken för empagliflozin mellan friska frivilliga och patienter med typ 2-diabetes.
Administrering av empagliflozin 25 mg efter intag av en fettrik måltid med högt kaloriinnehåll resulterade i något lägre exponering; AUC minskade med cirka 16 % och Cmax med cirka 37 % jämfört med fastande tillstånd. Den observerade effekten av föda på farmakokinetiken för empaglifloziin bedömdes inte vara kliniskt relevant och empagliflozin kan tas antingen med eller utan mat.
Distribution
Den skenbara distributionsvolymen vid steady state uppskattades till 73,8 l baserat på den populationsfarmakokinetiska analysen. Efter administrering av en oral lösning [14C]-empagliflozin till friska frivilliga, var fördelningen till röda blodkroppar cirka 37 % och plasmaproteinbindningen var 86 %.
Metabolism
Inga huvudmetaboliter av empagliflozin detekterades i humanplasma och de mest förekommande metaboliterna var tre glukuronidkonjugat (2-, 3- och 6-O-glukuronid). Den systemiska exponeringen för varje metabolit var mindre än 10 % av totalt läkemedelsrelaterat material. In vitro-studier tyder på att den huvudsakliga metaboliseringsvägen för empagliflozin hos människa är genom glukuronidering av uridin 5’-difosfoglukuronosyltransferaserna UGT2B7, UGT1A3, UGT1A8 och UGT1A9.
Eliminering
Baserat på den populationsfarmakokinetiska analysen uppskattades den skenbara terminala halveringstiden av empagliflozin till 12,4 timmar och skenbar oral clearance var 10,6 l/timme. Interindividuell variabilitet och residualvariabiliteten för oral clearance för empagliflozin var 39,1 % respektive 35,8 %. Med dosering en gång dagligen nåddes steady state-plasmakoncentrationer av empagliflozin vid den femte dosen. I överensstämmelse med halveringstiden observerades upp till 22 % ackumulering, med avseende på AUC, vid steady state. Efter administrering av en oral lösning [14C]-empagliflozin till friska frivilliga, eliminerades cirka 96 % av läkemedelsrelaterad radioaktivitet via feces (41 %) eller urin (54 %). Majoriteten av den läkemedelsrelaterade radioaktiviteten i feces var oförändrad modersubstans och ungefär hälften av den läkemedelsrelaterade radioaktivitet som utsöndrades i urin var oförändrad modersubstans.
Särskilda populationer
Nedsatt njurfunktion
Hos patienter med lätt, måttligt eller kraftigt nedsatt njurfunktion (eGFR <30-<90 ml/min/1,73 m2) och patienter med njursvikt/terminal njursjukdom, ökade AUC för empagliflozin med cirka 18 %, 20 %, 66 % respektive 48 % jämfört med personer med normal njurfunktion. Maximala plasmanivåer av empagliflozin var liknande hos patienter med måttligt nedsatt njurfunktion och njursvikt/terminal njursvikt jämfört med patienter med normal njurfunktion. Maximala plasmanivåer av empagliflozin var ungefär 20 % högre hos patienter med lätt och kraftigt nedsatt njurfunktion jämfört med patienter med normal njurfunktion. En populationsfarmakokinetisk analys visade att skenbar oral clearance för empagliflozin minskade med en minskning av eGFR, vilket leder till en ökad läkemedelsexponering.
Nedsatt leverfunktion
Hos försökspersoner med lätt, måttligt och kraftigt nedsatt leverfunktion, enligt Child-Pugh klassificering, ökade AUC för empagliflozin med ungefär 23 %, 47 % och 75 % och Cmax med cirka 4 %, 23 % respektive 48 % jämfört med personer med normal leverfunktion.
Kroppsmasseindex (BMI)
Baserat på den populationsfarmakokinetiska analysen hade BMI ingen kliniskt relevant effekt på farmakokinetiken för empagliflozin. I denna analys uppskattades AUC vara 5,82 %, 10,4 % och 17,3 % lägre hos patienter med BMI på 30, 35 respektive 45 kg/m2, jämfört med personer med ett BMI på 25 kg/m2.
Kön
Baserat på den populationsfarmakokinetiska analysen hade kön ingen kliniskt relevant effekt på farmakokinetiken för empagliflozin.
Etnicitet
I den populationsfarmakokinetiska analysen uppskattades AUC vara 13,5 % högre hos asiater med ett BMI på 25 kg/m2 jämfört med icke-asiater med ett BMI på 25 kg/m2.
Äldre
Baserat på den populationsfarmakokinetiska analysen hade ålder ingen kliniskt relevant effekt på farmakokinetiken för empagliflozin.
Pediatrisk population
I en pediatrisk fas 1-studie undersöktes farmakokinetiken och farmakodynamiken för empagliflozin (5 mg, 10 mg och 25 mg) hos barn och ungdomar ≥10 till <18 år med typ 2‑diabetes mellitus. De farmakokinetiska och farmakodynamiska svar som observerades överensstämde med de som sågs hos vuxna försökspersoner.
I en pediatrisk fas 3-studie undersöktes farmakokinetiken och farmakodynamiken (förändring av HbA1c från baslinjen) för empagliflozin 10 mg med en möjlig dosökning till 25 mg hos barn och ungdomar i åldern 10 till 17 år med typ 2‑diabetes mellitus. Det observerade förhållandet mellan exponering och behandlingssvar var totalt sett jämförbart hos vuxna och barn och ungdomar. Oral administrering av empagliflozin resulterade i en exponering inom det intervall som observerats hos vuxna patienter.
Det observerade geometriska medelvärdet för dalkoncentrationen och det geometriska medelvärdet för koncentrationen 1,5 timmar efter administrering vid steady state var 26,6 nmol/l och 308 nmol/l med empagliflozin 10 mg en gång dagligen och 67,0 nmol/l och 525 nmol/l med empagliflozin 25 mg en gång dagligen.
Gängse studier avseende säkerhetsfarmakologi, gentoxicitet, fertilitet och tidig embryonal utveckling visade inte några särskilda risker för människa.
I långsiktiga toxicitetsstudier på gnagare och hund observerades tecken på toxicitet vid exponeringar större än eller lika med 10 gånger den kliniska dosen empagliflozin. Det mesta av toxiciteten överensstämde med sekundär farmakologi relaterad till uringlukosförlust och elektrolytobalans, inkluderande minskad kroppsvikt och minskad mängd kroppsfett, ökad matkonsumtion, diarré, uttorkning, sänkt serumglukos, och ökning av andra serumparametrar reflekterande ökad proteinmetabolism och glukoneogenes, urinförändringar såsom polyuri och glukosuri och mikroskopiska förändringar såsom mineralisering i njurarna och vissa mjuk- och kärlvävnader. Mikroskopiska bevis på effekterna av överdriven farmakologi i njure som observerats hos vissa arter inbegrep tubulär dilatation och tubulär och bäckenmineralisering vid ungefär 4 gånger den kliniska AUC-exponeringen av empagliflozin associerad med dosen 25 mg.
Empagliflozin är inte gentoxiskt.
I en två år lång studie avseende karcinogenicitet ökade empagliflozin inte förekomsten av tumörer hos honråttor upp till den högsta dosen på 700 mg/kg/dag, vilket motsvarar cirka 72 gånger maximal klinisk AUC-exponering för empagliflozin. I hanråttor observerades behandlingsrelaterade godartade kärlproliferativa lesioner (hemangiom) i den mesenteriska lymfkörteln vid den högsta dosen, men inte vid 300 mg/kg/dag, vilket motsvarar cirka 26 gånger maximal klinisk exponering för empagliflozin. Interstitiella celltumörer i testiklarna observerades med högre incidens hos råttor vid 300 mg/kg/dag och högre, men inte vid 100 mg/kg/dag vilket motsvarar cirka 18 gånger den maximala kliniska exponeringen av empagliflozin. Båda tumörtyperna är vanliga hos råttor och det är osannolikt att de skulle vara relevanta för människa.
Empagliflozin ökade inte incidensen av tumörer i honmöss vid doser på upp till 1 000 mg/kg/dag, vilket motsvarar cirka 62 gånger maximal klinisk exponering för empagliflozin. Empagliflozin inducerade njurtumörer hos hanmöss vid 1 000 mg/kg/dag, men inte vid 300 mg/kg/dag, vilket motsvarar cirka 11 gånger maximal klinisk exponering för empagliflozin. Dessa tumörers bakomliggande mekanism är beroende av den naturliga predispositionen för njurpatologi hos hanmusen och en metabolisk väg som inte reflekterar den hos människa. Hanmössens njurtumörer anses inte vara relevanta för människa.
Vid exponeringar avsevärt högre än klinisk exponering hos människa efter terapeutiska doser, hade empagliflozin inga negativa effekter på fertilitet eller tidig embryonal utveckling. Empagliflozin administrerat under organogenesen var inte teratogent. Endast vid maternellt toxiska doser orsakade empagliflozin också böjda ben i extremiteter hos råtta och ökad embryofetal förlust hos kanin.
Vid pre- och postnatala toxicitetsstudier på råtta observerades minskad viktökning hos avkomma vid maternella exponeringar på ungefär 4 gånger den maximala kliniska exponeringen för empagliflozin. Ingen sådan effekt sågs vid systemisk exponering motsvarande den maximala kliniska exponeringen för empagliflozin. Relevansen av detta fynd för människa är oklar.
I en studie av juvenil toxicitet hos råtta, då empagliflozin administrerades från dag 21 postnatalt till dag 90 postnatalt, sågs icke-kritisk, minimal till lindrig dilatation av njurtubuli och njurbäcken hos juvenila råttor endast vid 100 mg/kg/dygn, vilket ungefär motsvarar 11 gånger den maximala kliniska dosen på 25 mg. Dessa fynd förelåg ej efter en läkemedelsfri återhämtningsperiod på 13 veckor.
Ej relevant.
3 år
Inga särskilda förvaringsanvisningar.
Perforerade endosblister av PVC/aluminium.
Förpackningsstorlekar med 7 × 1, 10 × 1, 14 × 1, 28 × 1, 30 × 1, 60 × 1, 70 × 1, 90 × 1 och 100 × 1 filmdragerade tabletter.
Eventuellt kommer inte alla förpackningsstorlekar att marknadsföras.
Ej använt läkemedel och avfall ska kasseras enligt gällande anvisningar.
Tablettkärna
Laktosmonohydrat
Mikrokristallin cellulosa
Hydroxipropylcellulosa
Kroskarmellosnatrium
Vattenfri kolloidal kiseldioxid
Magnesiumstearat
Filmdragering
Hypromellos
Titandioxid (E171)
Talk
Makrogol (400)
Gul järnoxid (E172)
Ej relevant.
3 år
Inga särskilda förvaringsanvisningar.
Perforerade endosblister av PVC/aluminium.
Förpackningsstorlekar med 7 × 1, 10 × 1, 14 × 1, 28 × 1, 30 × 1, 60 × 1, 70 × 1, 90 × 1 och 100 × 1 filmdragerade tabletter.
Eventuellt kommer inte alla förpackningsstorlekar att marknadsföras.
Ej använt läkemedel och avfall ska kasseras enligt gällande anvisningar.
EU/1/14/930/004
EU/1/14/930/005
EU/1/14/930/006
EU/1/14/930/007
EU/1/14/930/008
EU/1/14/930/009
EU/1/14/930/010
EU/1/14/930/011
EU/1/14/930/012
EU/1/14/930/013
EU/1/14/930/014
EU/1/14/930/015
EU/1/14/930/016
EU/1/14/930/017
EU/1/14/930/018
Jardiance 25 mg filmdragerade tabletterEU/1/14/930/001
EU/1/14/930/002
EU/1/14/930/003
EU/1/14/930/004
EU/1/14/930/005
EU/1/14/930/006
EU/1/14/930/007
EU/1/14/930/008
EU/1/14/930/009
Produktresumén är företagets information till hälso- och sjukvårdspersonal. Godkänd av myndighet.