Cyramza 10 mg/ml koncentrat till infusionsvätska, lösning
En ml koncentrat till infusionsvätska, lösning innehåller 10 mg ramucirumab.
En injektionsflaska à 10 ml innehåller 100 mg ramucirumab.
En injektionsflaska à 50 ml innehåller 500 mg ramucirumab.
Ramucirumab är en human monoklonal IgG1 antikropp producerad i musceller (NS0) med rekombinant DNA teknologi.
Hjälpämne med känd effekt:
En injektionsflaska à 10 ml innehåller cirka 17 mg natrium och 1 mg polysorbat 80.
En injektionsflaska à 50 ml innehåller cirka 85 mg natrium och 5 mg polysorbat 80.
För fullständig förteckning över hjälpämnen, se avsnitt 6.1.
Koncentrat till infusionsvätska, lösning (sterilt koncentrat).
Koncentratet är en klar till lätt opalescent och färglös till lätt gulaktig lösning, pH 6,0.
Eli Lilly Nederland B.V.
Papendorpseweg 83
3528 BJ Utrecht
Nederländerna
EU/1/14/957/001 EU/1/14/957/002 EU/1/14/957/003
Första godkännandet: Datum för det första godkännandet: 19 december 2014
Förnyat godkännande: 26 september 2019
17 juni 2025
Cyramza i kombination med docetaxel är avsett för behandling av vuxna patienter med lokalt avancerad eller metastaserad icke-småcellig lungcancer med sjukdomsprogression efter platinabaserad kemoterapi.
Hepatocellulärt karcinom
Cyramza monoterapi är avsett för behandling av vuxna patienter med avancerad eller icke‑resecerbart hepatocellulärt karcinom, med serum alfa-fetoprotein (AFP) ≥ 400 ng/ml och som tidigare har behandlats med sorafenib.
Behandling med ramucirumab får endast initieras och kontrolleras av läkare med erfarenhet inom onkologi.
Dosering
Magsäckscancer och adenokarcinom i gastroesofageala övergången
Cyramza i kombination med paklitaxel
Den rekommenderade dosen ramucirumab är 8 mg/kg dag 1 och 15 i en 28 dagarscykel, före infusion av paklitaxel. Den rekommenderade dosen paklitaxel är 80 mg/m2 administrerat som en intravenös infusion under cirka 60 minuter dag 1, 8 och 15 i en 28 dagarscykel. Före varje infusion av paklitaxel ska fullständig blodkroppsräkning och blodkemi utföras för att utvärdera leverfunktion. Kriterier som ska vara uppfyllda före varje infusion av paklitaxel anges i tabell 1.
Cyramza som monoterapi
Den rekommenderade dosen ramucirumab som monoterapi är 8 mg/kg varannan vecka.
Kolorektal cancer
Den rekommenderade dosen ramucirumab är 8 mg/kg varannan vecka administrerat som en intravenös infusion, före administrering av FOLFIRI. Före kemoterapi ska fullständig blodkroppsräkning utföras. Kriterier som ska vara uppfyllda före infusion av FOLFIRI anges i tabell 2.
Tabell 2: Kriterier som ska vara uppfyllda före administrering av FOLFIRI
Icke-småcellig lungcancer (NSCLC)
Cyramza i kombination med erlotinib är avsett för behandling av NSCLC med aktiverande EGFR mutationer. Den rekommenderade dosen ramucirumab i kombination med erlotinib är 10 mg/kg varannan vecka.
EGFR mutations status ska bestämmas med en validerad testmetod innan behandlingsstart med ramucirumab och erlotinib. Se produktresumén för erlotinib för dess specifika doseringsrekommendationer.
Cyrama i kombination med docetaxel för behandling av NSCLC efter platinabaserad kemoterapi
Den rekommenderade dosen ramucirumab är 10 mg/kg dag 1 i en 21-dagarscykel, före infusion av docetaxel. Den rekommenderade dosen docetaxel är 75 mg/m2 administrerat som en intravenös infusion under cirka 60 minuter dag 1 i en 21-dagarscykel. För patienter med östasiatiskt ursprung bör en reducerad startdos av docetaxel på 60 mg/m2 dag 1 i en 21-dagarscykel övervägas. Se produktresumén för docetaxel för specifika doseringsrekommendationer.
Hepatocellulärt karcinom (HCC)
Den rekommenderade dosen av ramucirumab som monoterapi är 8 mg/kg varannan vecka.
Test för alpha-fetoprotein (AFP) vid HCC
Patienter med HCC ska selekteras baserat på serum AFP-koncentration ≥ 400 ng/ml vid användning av ett validerat AFP-test innan behandling med ramucirumab (se avsnitt 5.1).
Behandlingstid
Behandlingen bör pågå fram till sjukdomsprogression eller till dess att oacceptabel toxicitet inträffar.
Premedicinering
Premedicinering med en histamin H1 antagonist (t.ex. difenhydramin) före infusion av ramucirumab rekommenderas. Om en patient drabbas av en infusionsrelaterad reaktion av grad 1 eller 2 måste premedicinering ges vid alla efterföljande infusioner. Om en patient drabbas av en andra infusionsrelaterad reaktion (IRR) av grad 1 eller 2 ska dexametason (eller motsvarande) administreras. Därefter ska premedicinering med följande eller motsvarande läkemedel ges vid efterföljande infusioner: en intravenös H1 antagonist (t.ex. difenhydraminhydroklorid), paracetamol och dexametason.
Se produktresumén för paklitaxel, för substanserna som ingår i FOLFIRI och för docetaxel för behov av premedicinering och ytterligare information.
Dosjusteringar för ramucirumab
Infusionsrelaterade reaktioner
Infusionshastigheten för ramucirumab ska sänkas med 50 % under den tid infusionen pågår och vid alla efterföljande infusioner om patienten drabbas av en IRR av grad 1 eller 2. Behandlingen med ramucirumab ska sättas ut omedelbart och permanent vid en IRR av grad 3 eller 4 (se avsnitt 4.4).
Hypertoni
Patienternas blodtryck ska övervakas före varje administrering av ramucirumab och behandlas enligt klinisk indikation. Behandlingen med ramucirumab ska sättas ut tillfälligt vid allvarlig hypertoni, tills hypertonin är under kontroll med läkemedel. Om en medicinskt signifikant hypertoni inte kan kontrolleras på ett säkert sätt med antihypertensiv behandling, ska behandlingen med ramucirumab sättas ut permanent (se avsnitt 4.4).
Proteinuri
Patienterna ska följas med avseende på utveckling av eller försämring av proteinuri under behandling med ramucirumab. Om proteinnivån i urin är ≥2+ på en urinsticka ska dygnsurin samlas in. Behandling med ramucirumab ska sättas ut tillfälligt om proteinnivnån i urin är ≥2 g/dygn. När proteinnivån i urin har återgått till <2 g/dygn ska behandlingen återupptas med en reducerad dos (se Tabell 3). En andra dosreduktion (se Tabell 3) rekommenderas om en proteinnivå i urin på ≥2 g/dygn återkommer.
Behandling med ramucirumab ska sättas ut permanent om proteinnivån i urin är >3 g/dygn eller vid nefrotiskt syndrom.
Tabell 3: Dosreduktion av ramucirumab vid proteinuri
Elektiv kirurgi eller försämrad sårläkning
Behandlingen med ramucirumab ska sättas ut tillfälligt under minst 4 veckor före elektiv kirurgi. Behandlingen med ramucirumab ska sättas ut tillfälligt vid sårläkningskomplikationer, tills såret är helt läkt (se avsnitt 4.4).
Permanent utsättning
Behandling med ramucirumab ska sättas ut permanent vid:
Allvarliga arteriella tromboemboliska händelser (se avsnitt 4.4)
Gastrointestinala perforationer (se avsnitt 4.4)
Allvarlig blödning: Blödning av grad 3 eller 4 enligt NCI CTCAE (se avsnitt 4.4)
Spontan utveckling av en fistel (se avsnitt 4.4)
Hepatisk encefalopati eller hepatorenalt syndrom (se avsnitt 4.4).
Dosjusteringar av paklitaxel
Dosjusteringar av paklitaxel kan ske baserat på den grad av toxicitet som patienten upplever. Vid hematologisk toxicitet av grad 4 eller paklitaxelrelaterade icke hematologisk toxicitet av grad 3 enligt NCI CTCAE, bör dosen paklitaxel reduceras med 10 mg/m2 för alla efterföljande cykler. En andra reduktion på 10 mg/m2 rekommenderas om dessa toxiciteter kvarstår eller återkommer.
Dosjusteringar av FOLFIRI
Dosjusteringar för var och en av de substanser som ingår i FOLFIRI kan ske vid specifika toxiciteter. Dosjustering av varje ingående substans i FOLFIRI skall ske oberoende av övriga substanser enligt det som anges i tabell 4. I tabell 5 anges information om dosfördröjning och dosreduktioner vid nästkommande cykel för de substanser som ingår i FOLFIRI, baserat på maximal grad av specifika biverkningar.
Tabell 4: Dosreduktion av FOLFIRI
a 5-FU = 5-fluorouracil.
Tabell 5: Dosjustering av substanserna i FOLFIRI på grund av specifika biverkningar
*28-dagars perioden börjar på dag 1 av nästkommande cykel efter biverkningen.
Dosjusteringar av docetaxel
Dosminskning av docetaxel kan ske baserat på den grad av toxicitet som patienten upplever. Patienter som utvecklar antingen febril neutropeni, neutrofiler <500 celler/mm3 i mer än 1 vecka, svåra eller kumulativa hudreaktioner eller annan icke-hematologisk toxicitet av grad 3 eller 4 under behandling med docetaxel ska ha uppehåll i behandlingen tills toxiciteten avtagit. Det är rekommendaerat att dosen docetaxel reduceras med 10 mg/m2 för alla efterföljande cykler. En andra dosreduktion på 15 mg/m2 rekommenderas om dessa toxiciteter kvarstår eller återkommer. I detta fall bör patienter med östasiatiskt ursprung som fått en startdos på 60 mg/m² avbryta docetaxelbehandlingen (se Dosering).
Särskilda patientgrupper
Äldre
I de pivotala studierna finns det begränsad evidens för att patienter som är 65 år eller äldre löper ökad risk för biverkningar jämfört med patienter som är under 65 år. Dosreduktion rekommenderas inte (se avsnitt 4.4 och 5.1).
Nedsatt njurfunktion
Inga specifika studier med Cyramza har utförts på patienter med nedsatt njurfunktion. Kliniska data tyder på att inga dosjusteringar krävs hos patienter med lätt, måttligt eller gravt nedsatt njurfunktion (se avsnitt 4.4 och 5.2). Ingen dosreduktion rekommenderas.
Nedsatt leverfunktion
Inga specifika studier med Cyramza har utförts på patienter med nedsatt leverfunktion. Kliniska data tyder på att inga dosjusteringar krävs hos patienter med lätt eller måttligt nedsatt leverfunktion. Det saknas data på administrering av ramucirumab till patienter med gravt nedsatt leverfunktion (se avsnitt 4.4 och 5.2). Ingen dosreduktion rekommenderas.
Pediatrisk population
Säkerhet och effekt för Cyramza på barn och ungdomar under 18 år har inte fastställts. Tillgänglig data beskrivs i avsnitt 4.8, 5.1 och 5.2, men på grund av begränsad data kan ingen rekommenderad dosering föreslås.
Det finns ingen relevant användning av ramucirumab för en pediatrisk population för indikationerna avancerad magsäckscancer eller adenokarcinom i gastroesofageala övergången, adenokarcinom i kolon och rektum, lungcancer eller hepatocellulärt karcinom.
Administreringssätt
Cyramza är för intrevenös bruk. Efter spädning administreras Cyramza som en intravenös infusion under cirka 60 minuter. Läkemedlet bör inte administreras som en intravenös bolus eller push. För att uppnå önskad infusionstid på cirka 60 minuter, ska den maximala infusionshastigheten på 25 mg/minut inte överskridas, istället ska infusionstiden ökas. Patienten ska övervakas under infusionen för tecken på infusionsrelaterade reaktioner (se avsnitt 4.4) och lämplig akututrustning ska finnas till hands.
Anvisningar om spädning av läkemedlet före administrering finns i avsnitt 6.6.
Överkänslighet mot den aktiva substansen eller mot något hjälpämne som anges i avsnitt 6.1.
För patienter med icke-småcellig lungcancer är ramucirumab kontraindicerat där det finns kaviterande tumörer eller där tumören involverar större blodkärl (se avsnitt 4.4).
Spårbarhet
För att underlätta spårbarhet av biologiska läkemedel ska läkemedlets namn och tillverkningssatsnummer dokumenteras.
Arteriella tromboemboliska händelser
Allvarliga, ibland dödliga, arteriella tromboemboliska händelser (ATE), t.ex. hjärtinfarkt, hjärtstillestånd, cerebrovaskulär händelse och cerebral ischemi har rapporterats i kliniska studier. Ramucirumab ska sättas ut permanent hos patienter som drabbas av en allvarlig ATE (se avsnitt 4.2).
Gastrointestinal perforation
Ramucirumab är en antiangiogenetisk behandling som kan öka risken för gastrointestinala perforationer. Fall av gastrointestinal perforation har rapporterats hos patienter som behandlas med ramucirumab. Ramucirumab ska sättas ut permanent hos patienter som drabbas av en gastrointestinal perforation (se avsnitt 4.2).
Allvarlig blödning
Ramucirumab är en antiangiogenetisk behandling som kan öka risken för allvarlig blödning. Ramucirumab ska sättas ut permanent hos patienter som drabbas av en blödning av grad 3 eller 4 (se avsnitt 4.2). Blodkroppsräkning och koagulationsparametrar ska övervakas hos patienter med tillstånd som predisponerar för blödning, och hos patienter som behandlas med antikoagulantia eller andra samtidiga läkemedel som ökar blödningsrisken. För HCC-patienter med tecken på portahypertension eller tidigare förekomst av blödande esofagusvaricer, ska screening och behandling för esofagusvaricer utföras enligt klinisk praxis innan behandling med ramucirumab påbörjas.
Allvarlig gastrointestinal blödning, inklusive dödsfall, har rapporterats hos patienter med magsäckscancer som behandlats med ramucirumab i kombination med paklitaxel och hos patienter med metastaserad kolorektal cancer som behandlats med ramucirumab i kombination med FOLFIRI.
Pulmonell blödning vid NSCLC
Patienter med skivepitelcancer löper högre risk att utveckla allvarlig pulmonell blödning, dock observerades ingen större mängd pulmonella blödningar av grad 5 för de ramucirumabbehandlade patienterna med skivepitelcancer i REVEL. Patienter med NSCLC som nyligen haft pulmonell blödning (> 2,5 ml eller klarrött blod) samt patienter med tecken på kaviterande tumör, oavsett histologi, eller de med bevis på tumörinvasion eller inneslutning av större blodkärl har exkluderats från kliniska studier (se avsnitt 4.3). Patienter som fick någon form av antikoagulantia exkluderades från REVEL NSCLC kliniska prövningen och patienter med kronisk behandling med icke-steroida antiinflammatoriska läkemedel (NSAID) eller andra läkemedel för att förhindra blodpropp exkluderades från REVEL och RELAY NSCLC klinisk prövningar. Acetylsalicylsyra i doser upp till 325 mg/dag var tillåtet (se avsnitt 5.1).
Infusionsrelaterade reaktioner
Infusionsrelaterade reaktioner har rapporterats i kliniska studier med ramucirumab. De flesta inträffade under eller efter den första eller andra infusionen av ramucirumab. Patienterna ska övervakas under infusionen för tecken på överkänslighet. Symtomen omfattade stelhet/tremor, ryggvärk/spasmer, bröstsmärta och/eller trånghet i bröstet, frossa, blodvallning, dyspné, väsande andning, hypoxi och parestesi. Vid allvarliga fall omfattade symtomen bronkospasm, supraventrikulär takykardi och hypotension. Ramucirumab ska sättas ut omedelbart och permanent hos patienter som drabbas av en IRR av grad 3 eller 4 (se avsnitt 4.2).
Posteriort reversibelt encefalopatisyndrom
Fall av posteriort reversibelt encefalopatisyndrom (PRES), inklusive dödsfall, har i sällsynta fall rapporterats hos patienter som fått ramucirumab. PRES-symtom kan vara kramper, huvudvärk, illamående/kräkningar, blindhet eller förändrat medvetande, med eller utan associerad hypertoni. En diagnos av PRES kan bekräftas genom hjärnavbildning (t.ex. magnetisk resonanstomografi). Avbryt ramucirumabbehandlingen hos patienter som får PRES. Säkerheten vid återinsättande av ramucirumab hos patienter som utvecklar PRES och återhämtar sig är inte känd.
Hypertoni
En ökad incidens av allvarlig hypertoni har rapporterats hos patienter som får ramucirumab jämfört med placebo. I de flesta fall behandlades hypertonin med vanlig antihypertensiv behandling. Patienter med okontrollerad hypertoni var exkluderade från studierna och behandling med ramucirumab ska inte påbörjas hos dessa patienter innan deras befintliga hypertoni är under kontroll. Blodtrycket ska kontrolleras hos patienter som behandlas med ramucirumab. Ramucirumab ska tillfälligt sättas ut vid allvarlig hypertoni, tills hypertonin är under kontroll med läkemedel. Ramucirumab ska sättas ut permanent om medicinskt signifikant hypertoni inte kan kontrolleras med antihypertensiv behandling (se avsnitt 4.2).
Aneurysmer och arteriella dissektioner
Användningen av VEGF-hämmare till patienter med eller utan hypertoni kan främja bildningen av aneurysmer och/eller arteriella dissektioner. Denna risk ska noga övervägas innan Cyramza sätts in hos patienter med riskfaktorer såsom hypertoni eller tidigare aneurysm.
Försämrad sårläkning
Effekten av ramucirumab har inte utvärderats hos patienter med allvarliga eller svårläkta sår. I en studie utförd på djur försämrade inte ramucirumab sårläkning. Eftersom ramucirumab är en antiangiogenetisk behandling och det finns en risk att det har en negativ effekt på sårläkning, ska ramucirumab sättas ut minst 4 veckor före en planerad operation. Beslutet att återinsätta ramucirumab efter ett kirurgiskt ingrepp ska baseras på klinisk bedömning av adekvat sårläkning.
Om patienten utvecklar sårläkningskomplikationer under behandling, ska ramucirumab sättas ut tills såret är helt läkt (se avsnitt 4.2).
Nedsatt leverfunktion
Ramucirumab ska användas med försiktighet till patienter med allvarlig levercirros (Child‑Pugh B eller C), cirros med leverencefalopati, kliniskt signifikant ascites på grund av cirros eller hepatorenalt syndrom. Endast mycket begränsad effekt- och säkerhetsdata finns tillgänglig för dessa patienter. Ramucirumab ska bara användas hos dessa patienter om de eventuella fördelarna av behandlingen bedöms uppväga den eventuella risken för progressiv leversvikt.
Hos HCC-patienter rapporterades hepatisk encefalopati i högre grad hos de patienter som behandlats med ramucirumab jämfört med placebobehandlade patienter (se avsnitt 4.8). Patienter ska övervakas för kliniska tecken och symtom för hepatisk encefalopati. Ramucirumab ska avslutas permanent vid hepatisk encefalopati eller hepatorenalt syndrom (se avnitt 4.2).
Hjärtsvikt
I poolade data från kliniska studier med ramucirumab rapporterades hjärtsvikt med en numeriskt högre incidens hos patienter som fick ramucirumab i kombination med olika kemoterapiregimer, eller erlotinib, jämfört med kemoterapi ensamt eller erlotinib ensamt. Den höjda indicensen observerades inte hos patienter som fick ramucirumab jämfört med placebo inom kliniska prövningar med endast ett läkemedel. Inom klinisk användning (post-market), har hjärtsvikt framförallt setts när ramucirumab ges i kombination med paclitaxel. Patienter bör övervakas under behandling med avseende på kliniska tecken och symtom på hjärtsvikt. Avbrytande av behandlingen bör övervägas om kliniska tecken och symtom på hjärtsvikt utvecklas. Se avsnitt 4.8.
Fistel
Patienter kan löpa ökad risk att utveckla en fistel vid behandling med Cyramza. Behandlingen med ramucirumab ska sättas ut permanent hos patienter som utvecklar en fistel (se avsnitt 4.2).
Proteinuri
En ökad incidens av proteinuri var rapporterat från patienter som fick ramucirumab jämfört med placebo. Patienter ska följas med avseende på utveckling eller försämring av proteinuri under behandling med ramucirumab. Om proteinnivån i urin är ≥2+ på en urinsticka ska dygnsurin samlas in. Behandling med ramucirumab ska sättas ut tillfälligt om proteinnivån i urin är ≥2 g/dygn. När proteinnivån i urin har återgått till <2 g/dygn ska behandlingen med ramucirumab återupptas med en reducerad dos. En andra dosreduktion rekommenderas om proteinnivån i urin på ≥2 g/dygn återkommer. Behandlingen med ramucirumab ska sättas ut permenent om proteinnivån i urin är >3 g/dygn eller vid nefrotiskt syndrom (se avsnitt 4.2).
Stomatit
En ökad incidens av stomatit rapporterades hos patienter som behandlades med ramucirumab i kombination med kemoterapi jämfört med patienter som behandlades med placebo plus kemoterapi. Symtomatisk behandling skall sättas in omedelbart om stomatit uppstår.
Nedsatt njurfunktion
Det finns begränsade data tillgängliga avseende säkerheten för patienter med gravt nedsatt njurfunktion (kreatininclearance 15-29 ml/min) som behandlas med ramucirumab (se avsnitt 4.2 och 5.2).
Äldre med NSCLC
En trend mot mindre effekt med stigande ålder har observerats hos patienter som behandlats med ramucirumab plus docetaxel för behandling av avancerad NSCLC med sjukdomsprogression efter platinabaserad kemoterapi (se avsnitt 5.1).
Komorbiditet förknippad med hög ålder, allmäntillstånd och den sannolika tolerabiliteten för kemoterapi skall därför noggrant utvärderas innan behandlingen inleds hos äldre (se avsnitt 4.2 och 5.1).
Där ramucirumab används i kombination med erlotinib som första linjens behandling av NSCLC med aktiverande EGFR mutationer, där patienter i åldern 70 år och äldre jämfördes med patienter under 70 år, upplevdes en högre incidens av biverkningar av grad ≥3 och allvarliga biverkningar av alla grader.
Natrium
Detta läkemedel innehåller mindre än 1 mmol (23 mg) natrium, per injektionsflaska á 10 ml, dvs. är nästintill ”natriumfritt”.
Detta läkemedel innehåller cirka 85 mg natrium per injektionsflaska à 50 ml. Detta motsvarar cirka 4 % av WHOs högsta rekommenderat dagligt intag för (2 gram natrium för vuxna).
Polysorbat
Detta läkemedel innehåller cirka 1 mg polysorbat 80 per injektionsflaska à 10 ml och 5 mg polysorbat 80 per injektionsflaska à 50 ml.
Inga läkemedelsinteraktioner har observerats mellan ramucirumab och paklitaxel. Farmakokinetiken för paklitaxel påverkades inte vid samtidig administrering med ramucirumab och farmakokinetiken för ramucirumab påverkades inte vid samtidig administrering med paklitaxel. Farmakokinetiken för irinotekan och dess aktiva metabolit, SN-38 påverkades inte vid samtidig administrering med ramucirumab. Farmakokinetiken för docetaxe eller erlotinib påverkades inte vid samtidig administrering med ramucirumab.
Fertila kvinnor/preventivmedel för kvinnor
Fertila kvinnor ska rådas att inte bli gravida under den period de behandlas med Cyramza och ska informeras om den eventuella risken för graviditeten och fostret. Fertila kvinnor ska använda effektiv preventivmetod under och upp till 3 månader efter den sista dosen av ramucirumab.
Graviditet
Det finns inga data från användningen av ramucirumab hos gravida kvinnor. Djurstudier är ofullständiga vad gäller reproduktionstoxikologiska effekter (se avsnitt 5.3). Eftersom angiogenes är viktig för graviditet och fosterutveckling, kan hämning av angiogenes efter administrering av ramucirumab medföra negativa effekter på graviditeten, inklusive på fostret. Cyramza ska bara användas om den eventuella nyttan för mamman överväger den eventuella risken under graviditeten. Om kvinnan blir gravid under behandling med ramucirumab, ska hon informeras om den eventuella risken för graviditeten och risken för fostret. Cyramza rekommenderas inte under graviditet och till fertila kvinnor som inte använder preventivmedel.
Amning
Det är okänt om ramucirumab utsöndras i bröstmjölk. Utsöndring i bröstmjölk och oral absorption förväntas vara låga. Eftersom en risk för ammande nyfödda barn inte kan uteslutas, ska amningen upphöra under behandling med Cyramza och minst 3 månader efter den sista dosen.
Fertilitet
Det finns inga data på effekten av ramucirumab på fertiliteten hos människa. Baserat på djurstudier är det sannolikt att kvinnlig fertilitet påverkas under behandling med ramucirumab (se avsnitt 5.3).
Cyramza har ingen eller endast försumbar effekt på förmågan att framföra fordon och använda maskiner. Om patienterna drabbas av symtom som påverkar deras förmåga att koncentrera sig bör de inte köra bil eller använda maskiner förrän effekterna avtar.
Sammanfattning av säkerhetsprofilen
De allvarligaste biverkningarna som förknippades med behandling med ramucirumab (som monoterapi eller i kombination med cytotoxisk kemoterapi) var:
Gastrointestinal perforation (se avsnitt 4.4)
Allvarlig gastrointestinal blödning (se avsnitt 4.4)
Arteriella tromboemboliska händelser (se avsnitt 4.4)
Posteriort reversibelt encefalopatisyndrom (se avsnitt 4.4)
De vanligaste biverkningarna observerade hos patienter behandlade med ramucirumab som monoterapi är: perifert ödem, hypertension, diarré buksmärta, huvudvärk, proteinuri och trombocytopeni.
De vanligaste biverkningarna observerade hos patienter behandlade med ramucirumab i kombination med kemoterapi är: trötthet/asteni, neutropeni, diarré, näsblödning, och stomatit.
De vanligaste biverkningarna observerade hos patienter behandlade med ramucirumab i kombination med erlotinib är: infektioner, diarré, hypertension, stomatit, proteinuri, alopeci och näsblödning.
Lista över biverkningar i tabellform
Tabell 6 och 7 nedan visar biverkningar från kliniska placebokontrollerade fas 3-studier associerade med ramucirumab, antingen som monoterapibehandling vid magsäckscancer och HCC eller i kombination med olika kemoterapiregimer eller erlotinib vid behandling av magsäckscancer, metastaserad kolorektal cancer (mCRC) och NSCLC. Biverkningar anges nedan enligt MedDRA:s organsystem. Följande system används för att klassificera frekvens i biverkningstabellerna:
Mycket vanliga (≥10)
Vanliga (≥1/100, <1/10)
Mindre vanliga (≥1/1 000, <1/100)
Sällsynta (≥1/10 000, <1/1 000)
Mycket sällsynta (1/10 000)
Har rapporterats (förekommer hos ett okänt antal användare)
Inom varje frekvensgrupp presenteras biverkningarna i fallande allvarlighetsgrad.
Tabell 6: Biverkningar rapporterade hos patienter behandlade med ramucirumab som monoterapi i kliniska fas 3-studier (REGARD, REACH-2 och REACH-patienter med alfa-fetoprotein ≥ 400 ng/ml)
a Termerna representerar en grupp händelser som beskriver ett medicinskt begrepp snarare än en enskild biverkan eller föredragen term.
b Inkluderar: hypokalemi och minskad kaliumnivå i blodet.
c Baserat på studierna REACH-2 and REACH (ramucirumab monoterapi vid HCC). Inkluderar hepatisk encefalopati och hepatisk koma.
d Inkluderar: ökat blodtryck och hypertension.
e Inkluderar: buksmärta, nedre buksmärta, övre buksmärta och hepatisk smärta.
f Inkluderar ett fall av nefrotiskt syndrom.
Tabell 7: Biverkningar rapporterade hos patienter behandlade med ramucirumab i kombination med kemoterapi eller erlotinib i kliniska fas 3 studier (RAINBOW, REVEL, RAISE och RELAY)
a Termerna representerar en grupp händelser som beskriver ett medicinskt begrepp snarare än en enskild biverkan eller föredragen term.
b Baserat på RAINBOW-studien (ramucirumab plus paclitaxel).
c Baserat på RAINBOW-studien (ramucirumab plus paclitaxel). Inkluderar: leukopeni och minskat antal vita blodkroppar.
d Baserat på REVEL-studien (ramucirumab plus docetaxel).
e Inkluderar: ökat blodtryck, hypertension och hypertensiv kardiomyopati.
f Baserat på RAINBOW-studien (ramucirumab plus paclitaxel), REVEL-studien (ramucirumab plus docetaxel) och RAISE-studien (ramucirumab plus FOLFIRI). Inkluderar: anal blödning, diarré med blödning, magblödning, gastrointestinal blödning, hematemes, hematochezi, hemorrojdblödning, Mallory‑Weiss syndrome, melena, esofagal blödning, rektal blödning och övre gastrointestinal blödning.
g Baserat på RAISE-studien (ramucirumab plus FOLFIRI).
h Inkluderar fall av nefrotiskt syndrom.
i Baserat på RAINBOW-studien (ramucirumab plus paclitaxel) och REVEL-studien (ramucirumab plus docetaxel). Inkluderar: trötthet och asteni.
j Baserat på RELAY-studien (ramucirumab plus erlotinib)
k Infektioner inkluderar föredragna termer som är en del av organsystem klassificeringen: Infektioner och infestationer. Mest vanliga (≥1%) Grad ≥3 infektioner inkluderar lunginflammation, cellulit, paronkyi, hudinfektioner och urinvägsinfektion.
l Inkluderar hemoptysis, laryngeal blödning, hemotorax (ett fall med dödlig utgång) och pulmonär blödning.
Kliniskt relevanta biverkningar (inklusive grad ≥3) som förknippades med antiangiogen behandling och observerades hos patienter behandlade med ramucirumab i kliniska studier var: gastrointestinala perforationer, infusionsrelaterade reaktioner och proteinuri (se avsnitt 4.2 och 4.4).
Kolorektal cancer
Ramucirumab i kombination med FOLFIRI
För patienter i RAISE-studien med metastaserad kolorektal cancer som behandlades med ramucirumab plus FOLFIRI var den mest förekommande (≥1%) biverkningen som ledde till avbrytande av ramucirumab proteinuri (1,5 %). De mest förekommande (≥1%) biverkningarna som ledde till avbrytande av en eller flera komponenter i FOLFIRI var: neutropeni (12,5 %), trombocytopeni (4,2 %), diarré (2,3 %) och stomatit (2,3 %). Den komponent i FOLFIRI som oftast avbröts var 5-FU bolus.
Biverkningar från andra källor
Tabell 8: Ramucirumab associerade biverkningar som rapporterats inom kliniska studier och genom klinisk användning
a Inom klinisk användning (post-market), har hjärtsvikt framförallt setts när ramucirumab ges i kombination med paclitaxel. Se avsnitt 4.4.
Pediatrik population
På basis av det begränsade antalet barn som behandlades med ramucirumab som monoterapi i studie I4T-MC-JVDA identifierades inga nya säkerhetsrisker (se avsnitt 5.1). En patient i denna studie hade progressiv utvidgning av distala femurs tillväxtplatta, men dess påverkan på tillväxt är inte känd. Inga nya säkerhetsrisker rapporterades från de begränsade antal pediatriska patienter som behandlades med ramucirumab vid kombinationsbehandling i studierna J1S-MC-JV01 och J1S-MC-JV02 (se avsnitt 5.1).
Det finns inga data om överdosering hos människor. Cyramza har administrerats i doser upp till 10 mg/kg varannan vecka i en fas 1 studie utan att nå en maximal tolererad dos. Vid överdosering ska symtomlindrande behandling sättas in.
Magsäckscancer
Cyramza i kombination med paklitaxel är avsett för behandling av vuxna patienter med avancerad magsäckscancer eller adenokarcinom i gastroesofageala övergången med sjukdomsprogression efter tidigare platina- och fluropyrimidinbaserad kemoterapi (se avsnitt 5.1).
Cyramza monoterapi är avsett för behandling av vuxna patienter med avancerad magsäckscancer eller adenokarcinom i gastroesofageala övergången med sjukdomsprogression efter tidigare platina- eller fluropyrimidinbaserad kemoterapi, för vilka behandling i kombination med paklitaxel är olämplig (se avsnitt 5.1).
Kolorektal cancer
Cyramza i kombination med FOLFIRI (irinotekan, folsyra och 5-fluorouracil) är avsett för behandling av vuxna patienter med metastaserad kolorektal cancer (mCRC) med sjukdomsprogression under eller efter behandling med bevacizumab, oxaliplatin och en fluoropyrimidin.
Icke-småcellig lungcancer
Cyramza i kombination med erlotinib är avsett för första linjens behandling av vuxna patienter med metastaserad icke-småcellig lungcancer med aktiverande epidermal-tillväxtfaktor-receptor (EGFR) mutationer (se avsnitt 5.1).
Cyramza i kombination med docetaxel är avsett för behandling av vuxna patienter med lokalt avancerad eller metastaserad icke-småcellig lungcancer med sjukdomsprogression efter platinabaserad kemoterapi.
Hepatocellulärt karcinom
Cyramza monoterapi är avsett för behandling av vuxna patienter med avancerad eller icke‑resecerbart hepatocellulärt karcinom, med serum alfa-fetoprotein (AFP) ≥ 400 ng/ml och som tidigare har behandlats med sorafenib.
Behandling med ramucirumab får endast initieras och kontrolleras av läkare med erfarenhet inom onkologi.
Dosering
Magsäckscancer och adenokarcinom i gastroesofageala övergången
Cyramza i kombination med paklitaxel
Den rekommenderade dosen ramucirumab är 8 mg/kg dag 1 och 15 i en 28 dagarscykel, före infusion av paklitaxel. Den rekommenderade dosen paklitaxel är 80 mg/m2 administrerat som en intravenös infusion under cirka 60 minuter dag 1, 8 och 15 i en 28 dagarscykel. Före varje infusion av paklitaxel ska fullständig blodkroppsräkning och blodkemi utföras för att utvärdera leverfunktion. Kriterier som ska vara uppfyllda före varje infusion av paklitaxel anges i tabell 1.
Cyramza som monoterapi
Den rekommenderade dosen ramucirumab som monoterapi är 8 mg/kg varannan vecka.
Kolorektal cancer
Den rekommenderade dosen ramucirumab är 8 mg/kg varannan vecka administrerat som en intravenös infusion, före administrering av FOLFIRI. Före kemoterapi ska fullständig blodkroppsräkning utföras. Kriterier som ska vara uppfyllda före infusion av FOLFIRI anges i tabell 2.
Tabell 2: Kriterier som ska vara uppfyllda före administrering av FOLFIRI
Icke-småcellig lungcancer (NSCLC)
Cyramza i kombination med erlotinib är avsett för behandling av NSCLC med aktiverande EGFR mutationer. Den rekommenderade dosen ramucirumab i kombination med erlotinib är 10 mg/kg varannan vecka.
EGFR mutations status ska bestämmas med en validerad testmetod innan behandlingsstart med ramucirumab och erlotinib. Se produktresumén för erlotinib för dess specifika doseringsrekommendationer.
Cyrama i kombination med docetaxel för behandling av NSCLC efter platinabaserad kemoterapi
Den rekommenderade dosen ramucirumab är 10 mg/kg dag 1 i en 21-dagarscykel, före infusion av docetaxel. Den rekommenderade dosen docetaxel är 75 mg/m2 administrerat som en intravenös infusion under cirka 60 minuter dag 1 i en 21-dagarscykel. För patienter med östasiatiskt ursprung bör en reducerad startdos av docetaxel på 60 mg/m2 dag 1 i en 21-dagarscykel övervägas. Se produktresumén för docetaxel för specifika doseringsrekommendationer.
Hepatocellulärt karcinom (HCC)
Den rekommenderade dosen av ramucirumab som monoterapi är 8 mg/kg varannan vecka.
Test för alpha-fetoprotein (AFP) vid HCC
Patienter med HCC ska selekteras baserat på serum AFP-koncentration ≥ 400 ng/ml vid användning av ett validerat AFP-test innan behandling med ramucirumab (se avsnitt 5.1).
Behandlingstid
Behandlingen bör pågå fram till sjukdomsprogression eller till dess att oacceptabel toxicitet inträffar.
Premedicinering
Premedicinering med en histamin H1 antagonist (t.ex. difenhydramin) före infusion av ramucirumab rekommenderas. Om en patient drabbas av en infusionsrelaterad reaktion av grad 1 eller 2 måste premedicinering ges vid alla efterföljande infusioner. Om en patient drabbas av en andra infusionsrelaterad reaktion (IRR) av grad 1 eller 2 ska dexametason (eller motsvarande) administreras. Därefter ska premedicinering med följande eller motsvarande läkemedel ges vid efterföljande infusioner: en intravenös H1 antagonist (t.ex. difenhydraminhydroklorid), paracetamol och dexametason.
Se produktresumén för paklitaxel, för substanserna som ingår i FOLFIRI och för docetaxel för behov av premedicinering och ytterligare information.
Dosjusteringar för ramucirumab
Infusionsrelaterade reaktioner
Infusionshastigheten för ramucirumab ska sänkas med 50 % under den tid infusionen pågår och vid alla efterföljande infusioner om patienten drabbas av en IRR av grad 1 eller 2. Behandlingen med ramucirumab ska sättas ut omedelbart och permanent vid en IRR av grad 3 eller 4 (se avsnitt 4.4).
Hypertoni
Patienternas blodtryck ska övervakas före varje administrering av ramucirumab och behandlas enligt klinisk indikation. Behandlingen med ramucirumab ska sättas ut tillfälligt vid allvarlig hypertoni, tills hypertonin är under kontroll med läkemedel. Om en medicinskt signifikant hypertoni inte kan kontrolleras på ett säkert sätt med antihypertensiv behandling, ska behandlingen med ramucirumab sättas ut permanent (se avsnitt 4.4).
Proteinuri
Patienterna ska följas med avseende på utveckling av eller försämring av proteinuri under behandling med ramucirumab. Om proteinnivån i urin är ≥2+ på en urinsticka ska dygnsurin samlas in. Behandling med ramucirumab ska sättas ut tillfälligt om proteinnivnån i urin är ≥2 g/dygn. När proteinnivån i urin har återgått till <2 g/dygn ska behandlingen återupptas med en reducerad dos (se Tabell 3). En andra dosreduktion (se Tabell 3) rekommenderas om en proteinnivå i urin på ≥2 g/dygn återkommer.
Behandling med ramucirumab ska sättas ut permanent om proteinnivån i urin är >3 g/dygn eller vid nefrotiskt syndrom.
Tabell 3: Dosreduktion av ramucirumab vid proteinuri
Elektiv kirurgi eller försämrad sårläkning
Behandlingen med ramucirumab ska sättas ut tillfälligt under minst 4 veckor före elektiv kirurgi. Behandlingen med ramucirumab ska sättas ut tillfälligt vid sårläkningskomplikationer, tills såret är helt läkt (se avsnitt 4.4).
Permanent utsättning
Behandling med ramucirumab ska sättas ut permanent vid:
Allvarliga arteriella tromboemboliska händelser (se avsnitt 4.4)
Gastrointestinala perforationer (se avsnitt 4.4)
Allvarlig blödning: Blödning av grad 3 eller 4 enligt NCI CTCAE (se avsnitt 4.4)
Spontan utveckling av en fistel (se avsnitt 4.4)
Hepatisk encefalopati eller hepatorenalt syndrom (se avsnitt 4.4).
Dosjusteringar av paklitaxel
Dosjusteringar av paklitaxel kan ske baserat på den grad av toxicitet som patienten upplever. Vid hematologisk toxicitet av grad 4 eller paklitaxelrelaterade icke hematologisk toxicitet av grad 3 enligt NCI CTCAE, bör dosen paklitaxel reduceras med 10 mg/m2 för alla efterföljande cykler. En andra reduktion på 10 mg/m2 rekommenderas om dessa toxiciteter kvarstår eller återkommer.
Dosjusteringar av FOLFIRI
Dosjusteringar för var och en av de substanser som ingår i FOLFIRI kan ske vid specifika toxiciteter. Dosjustering av varje ingående substans i FOLFIRI skall ske oberoende av övriga substanser enligt det som anges i tabell 4. I tabell 5 anges information om dosfördröjning och dosreduktioner vid nästkommande cykel för de substanser som ingår i FOLFIRI, baserat på maximal grad av specifika biverkningar.
Tabell 4: Dosreduktion av FOLFIRI
a 5-FU = 5-fluorouracil.
Tabell 5: Dosjustering av substanserna i FOLFIRI på grund av specifika biverkningar
*28-dagars perioden börjar på dag 1 av nästkommande cykel efter biverkningen.
Dosjusteringar av docetaxel
Dosminskning av docetaxel kan ske baserat på den grad av toxicitet som patienten upplever. Patienter som utvecklar antingen febril neutropeni, neutrofiler <500 celler/mm3 i mer än 1 vecka, svåra eller kumulativa hudreaktioner eller annan icke-hematologisk toxicitet av grad 3 eller 4 under behandling med docetaxel ska ha uppehåll i behandlingen tills toxiciteten avtagit. Det är rekommendaerat att dosen docetaxel reduceras med 10 mg/m2 för alla efterföljande cykler. En andra dosreduktion på 15 mg/m2 rekommenderas om dessa toxiciteter kvarstår eller återkommer. I detta fall bör patienter med östasiatiskt ursprung som fått en startdos på 60 mg/m² avbryta docetaxelbehandlingen (se Dosering).
Särskilda patientgrupper
Äldre
I de pivotala studierna finns det begränsad evidens för att patienter som är 65 år eller äldre löper ökad risk för biverkningar jämfört med patienter som är under 65 år. Dosreduktion rekommenderas inte (se avsnitt 4.4 och 5.1).
Nedsatt njurfunktion
Inga specifika studier med Cyramza har utförts på patienter med nedsatt njurfunktion. Kliniska data tyder på att inga dosjusteringar krävs hos patienter med lätt, måttligt eller gravt nedsatt njurfunktion (se avsnitt 4.4 och 5.2). Ingen dosreduktion rekommenderas.
Nedsatt leverfunktion
Inga specifika studier med Cyramza har utförts på patienter med nedsatt leverfunktion. Kliniska data tyder på att inga dosjusteringar krävs hos patienter med lätt eller måttligt nedsatt leverfunktion. Det saknas data på administrering av ramucirumab till patienter med gravt nedsatt leverfunktion (se avsnitt 4.4 och 5.2). Ingen dosreduktion rekommenderas.
Pediatrisk population
Säkerhet och effekt för Cyramza på barn och ungdomar under 18 år har inte fastställts. Tillgänglig data beskrivs i avsnitt 4.8, 5.1 och 5.2, men på grund av begränsad data kan ingen rekommenderad dosering föreslås.
Det finns ingen relevant användning av ramucirumab för en pediatrisk population för indikationerna avancerad magsäckscancer eller adenokarcinom i gastroesofageala övergången, adenokarcinom i kolon och rektum, lungcancer eller hepatocellulärt karcinom.
Administreringssätt
Cyramza är för intrevenös bruk. Efter spädning administreras Cyramza som en intravenös infusion under cirka 60 minuter. Läkemedlet bör inte administreras som en intravenös bolus eller push. För att uppnå önskad infusionstid på cirka 60 minuter, ska den maximala infusionshastigheten på 25 mg/minut inte överskridas, istället ska infusionstiden ökas. Patienten ska övervakas under infusionen för tecken på infusionsrelaterade reaktioner (se avsnitt 4.4) och lämplig akututrustning ska finnas till hands.
Anvisningar om spädning av läkemedlet före administrering finns i avsnitt 6.6.
Överkänslighet mot den aktiva substansen eller mot något hjälpämne som anges i avsnitt 6.1.
För patienter med icke-småcellig lungcancer är ramucirumab kontraindicerat där det finns kaviterande tumörer eller där tumören involverar större blodkärl (se avsnitt 4.4).
Spårbarhet
För att underlätta spårbarhet av biologiska läkemedel ska läkemedlets namn och tillverkningssatsnummer dokumenteras.
Arteriella tromboemboliska händelser
Allvarliga, ibland dödliga, arteriella tromboemboliska händelser (ATE), t.ex. hjärtinfarkt, hjärtstillestånd, cerebrovaskulär händelse och cerebral ischemi har rapporterats i kliniska studier. Ramucirumab ska sättas ut permanent hos patienter som drabbas av en allvarlig ATE (se avsnitt 4.2).
Gastrointestinal perforation
Ramucirumab är en antiangiogenetisk behandling som kan öka risken för gastrointestinala perforationer. Fall av gastrointestinal perforation har rapporterats hos patienter som behandlas med ramucirumab. Ramucirumab ska sättas ut permanent hos patienter som drabbas av en gastrointestinal perforation (se avsnitt 4.2).
Allvarlig blödning
Ramucirumab är en antiangiogenetisk behandling som kan öka risken för allvarlig blödning. Ramucirumab ska sättas ut permanent hos patienter som drabbas av en blödning av grad 3 eller 4 (se avsnitt 4.2). Blodkroppsräkning och koagulationsparametrar ska övervakas hos patienter med tillstånd som predisponerar för blödning, och hos patienter som behandlas med antikoagulantia eller andra samtidiga läkemedel som ökar blödningsrisken. För HCC-patienter med tecken på portahypertension eller tidigare förekomst av blödande esofagusvaricer, ska screening och behandling för esofagusvaricer utföras enligt klinisk praxis innan behandling med ramucirumab påbörjas.
Allvarlig gastrointestinal blödning, inklusive dödsfall, har rapporterats hos patienter med magsäckscancer som behandlats med ramucirumab i kombination med paklitaxel och hos patienter med metastaserad kolorektal cancer som behandlats med ramucirumab i kombination med FOLFIRI.
Pulmonell blödning vid NSCLC
Patienter med skivepitelcancer löper högre risk att utveckla allvarlig pulmonell blödning, dock observerades ingen större mängd pulmonella blödningar av grad 5 för de ramucirumabbehandlade patienterna med skivepitelcancer i REVEL. Patienter med NSCLC som nyligen haft pulmonell blödning (> 2,5 ml eller klarrött blod) samt patienter med tecken på kaviterande tumör, oavsett histologi, eller de med bevis på tumörinvasion eller inneslutning av större blodkärl har exkluderats från kliniska studier (se avsnitt 4.3). Patienter som fick någon form av antikoagulantia exkluderades från REVEL NSCLC kliniska prövningen och patienter med kronisk behandling med icke-steroida antiinflammatoriska läkemedel (NSAID) eller andra läkemedel för att förhindra blodpropp exkluderades från REVEL och RELAY NSCLC klinisk prövningar. Acetylsalicylsyra i doser upp till 325 mg/dag var tillåtet (se avsnitt 5.1).
Infusionsrelaterade reaktioner
Infusionsrelaterade reaktioner har rapporterats i kliniska studier med ramucirumab. De flesta inträffade under eller efter den första eller andra infusionen av ramucirumab. Patienterna ska övervakas under infusionen för tecken på överkänslighet. Symtomen omfattade stelhet/tremor, ryggvärk/spasmer, bröstsmärta och/eller trånghet i bröstet, frossa, blodvallning, dyspné, väsande andning, hypoxi och parestesi. Vid allvarliga fall omfattade symtomen bronkospasm, supraventrikulär takykardi och hypotension. Ramucirumab ska sättas ut omedelbart och permanent hos patienter som drabbas av en IRR av grad 3 eller 4 (se avsnitt 4.2).
Posteriort reversibelt encefalopatisyndrom
Fall av posteriort reversibelt encefalopatisyndrom (PRES), inklusive dödsfall, har i sällsynta fall rapporterats hos patienter som fått ramucirumab. PRES-symtom kan vara kramper, huvudvärk, illamående/kräkningar, blindhet eller förändrat medvetande, med eller utan associerad hypertoni. En diagnos av PRES kan bekräftas genom hjärnavbildning (t.ex. magnetisk resonanstomografi). Avbryt ramucirumabbehandlingen hos patienter som får PRES. Säkerheten vid återinsättande av ramucirumab hos patienter som utvecklar PRES och återhämtar sig är inte känd.
Hypertoni
En ökad incidens av allvarlig hypertoni har rapporterats hos patienter som får ramucirumab jämfört med placebo. I de flesta fall behandlades hypertonin med vanlig antihypertensiv behandling. Patienter med okontrollerad hypertoni var exkluderade från studierna och behandling med ramucirumab ska inte påbörjas hos dessa patienter innan deras befintliga hypertoni är under kontroll. Blodtrycket ska kontrolleras hos patienter som behandlas med ramucirumab. Ramucirumab ska tillfälligt sättas ut vid allvarlig hypertoni, tills hypertonin är under kontroll med läkemedel. Ramucirumab ska sättas ut permanent om medicinskt signifikant hypertoni inte kan kontrolleras med antihypertensiv behandling (se avsnitt 4.2).
Aneurysmer och arteriella dissektioner
Användningen av VEGF-hämmare till patienter med eller utan hypertoni kan främja bildningen av aneurysmer och/eller arteriella dissektioner. Denna risk ska noga övervägas innan Cyramza sätts in hos patienter med riskfaktorer såsom hypertoni eller tidigare aneurysm.
Försämrad sårläkning
Effekten av ramucirumab har inte utvärderats hos patienter med allvarliga eller svårläkta sår. I en studie utförd på djur försämrade inte ramucirumab sårläkning. Eftersom ramucirumab är en antiangiogenetisk behandling och det finns en risk att det har en negativ effekt på sårläkning, ska ramucirumab sättas ut minst 4 veckor före en planerad operation. Beslutet att återinsätta ramucirumab efter ett kirurgiskt ingrepp ska baseras på klinisk bedömning av adekvat sårläkning.
Om patienten utvecklar sårläkningskomplikationer under behandling, ska ramucirumab sättas ut tills såret är helt läkt (se avsnitt 4.2).
Nedsatt leverfunktion
Ramucirumab ska användas med försiktighet till patienter med allvarlig levercirros (Child‑Pugh B eller C), cirros med leverencefalopati, kliniskt signifikant ascites på grund av cirros eller hepatorenalt syndrom. Endast mycket begränsad effekt- och säkerhetsdata finns tillgänglig för dessa patienter. Ramucirumab ska bara användas hos dessa patienter om de eventuella fördelarna av behandlingen bedöms uppväga den eventuella risken för progressiv leversvikt.
Hos HCC-patienter rapporterades hepatisk encefalopati i högre grad hos de patienter som behandlats med ramucirumab jämfört med placebobehandlade patienter (se avsnitt 4.8). Patienter ska övervakas för kliniska tecken och symtom för hepatisk encefalopati. Ramucirumab ska avslutas permanent vid hepatisk encefalopati eller hepatorenalt syndrom (se avnitt 4.2).
Hjärtsvikt
I poolade data från kliniska studier med ramucirumab rapporterades hjärtsvikt med en numeriskt högre incidens hos patienter som fick ramucirumab i kombination med olika kemoterapiregimer, eller erlotinib, jämfört med kemoterapi ensamt eller erlotinib ensamt. Den höjda indicensen observerades inte hos patienter som fick ramucirumab jämfört med placebo inom kliniska prövningar med endast ett läkemedel. Inom klinisk användning (post-market), har hjärtsvikt framförallt setts när ramucirumab ges i kombination med paclitaxel. Patienter bör övervakas under behandling med avseende på kliniska tecken och symtom på hjärtsvikt. Avbrytande av behandlingen bör övervägas om kliniska tecken och symtom på hjärtsvikt utvecklas. Se avsnitt 4.8.
Fistel
Patienter kan löpa ökad risk att utveckla en fistel vid behandling med Cyramza. Behandlingen med ramucirumab ska sättas ut permanent hos patienter som utvecklar en fistel (se avsnitt 4.2).
Proteinuri
En ökad incidens av proteinuri var rapporterat från patienter som fick ramucirumab jämfört med placebo. Patienter ska följas med avseende på utveckling eller försämring av proteinuri under behandling med ramucirumab. Om proteinnivån i urin är ≥2+ på en urinsticka ska dygnsurin samlas in. Behandling med ramucirumab ska sättas ut tillfälligt om proteinnivån i urin är ≥2 g/dygn. När proteinnivån i urin har återgått till <2 g/dygn ska behandlingen med ramucirumab återupptas med en reducerad dos. En andra dosreduktion rekommenderas om proteinnivån i urin på ≥2 g/dygn återkommer. Behandlingen med ramucirumab ska sättas ut permenent om proteinnivån i urin är >3 g/dygn eller vid nefrotiskt syndrom (se avsnitt 4.2).
Stomatit
En ökad incidens av stomatit rapporterades hos patienter som behandlades med ramucirumab i kombination med kemoterapi jämfört med patienter som behandlades med placebo plus kemoterapi. Symtomatisk behandling skall sättas in omedelbart om stomatit uppstår.
Nedsatt njurfunktion
Det finns begränsade data tillgängliga avseende säkerheten för patienter med gravt nedsatt njurfunktion (kreatininclearance 15-29 ml/min) som behandlas med ramucirumab (se avsnitt 4.2 och 5.2).
Äldre med NSCLC
En trend mot mindre effekt med stigande ålder har observerats hos patienter som behandlats med ramucirumab plus docetaxel för behandling av avancerad NSCLC med sjukdomsprogression efter platinabaserad kemoterapi (se avsnitt 5.1).
Komorbiditet förknippad med hög ålder, allmäntillstånd och den sannolika tolerabiliteten för kemoterapi skall därför noggrant utvärderas innan behandlingen inleds hos äldre (se avsnitt 4.2 och 5.1).
Där ramucirumab används i kombination med erlotinib som första linjens behandling av NSCLC med aktiverande EGFR mutationer, där patienter i åldern 70 år och äldre jämfördes med patienter under 70 år, upplevdes en högre incidens av biverkningar av grad ≥3 och allvarliga biverkningar av alla grader.
Natrium
Detta läkemedel innehåller mindre än 1 mmol (23 mg) natrium, per injektionsflaska á 10 ml, dvs. är nästintill ”natriumfritt”.
Detta läkemedel innehåller cirka 85 mg natrium per injektionsflaska à 50 ml. Detta motsvarar cirka 4 % av WHOs högsta rekommenderat dagligt intag för (2 gram natrium för vuxna).
Polysorbat
Detta läkemedel innehåller cirka 1 mg polysorbat 80 per injektionsflaska à 10 ml och 5 mg polysorbat 80 per injektionsflaska à 50 ml.
Inga läkemedelsinteraktioner har observerats mellan ramucirumab och paklitaxel. Farmakokinetiken för paklitaxel påverkades inte vid samtidig administrering med ramucirumab och farmakokinetiken för ramucirumab påverkades inte vid samtidig administrering med paklitaxel. Farmakokinetiken för irinotekan och dess aktiva metabolit, SN-38 påverkades inte vid samtidig administrering med ramucirumab. Farmakokinetiken för docetaxe eller erlotinib påverkades inte vid samtidig administrering med ramucirumab.
Fertila kvinnor/preventivmedel för kvinnor
Fertila kvinnor ska rådas att inte bli gravida under den period de behandlas med Cyramza och ska informeras om den eventuella risken för graviditeten och fostret. Fertila kvinnor ska använda effektiv preventivmetod under och upp till 3 månader efter den sista dosen av ramucirumab.
Graviditet
Det finns inga data från användningen av ramucirumab hos gravida kvinnor. Djurstudier är ofullständiga vad gäller reproduktionstoxikologiska effekter (se avsnitt 5.3). Eftersom angiogenes är viktig för graviditet och fosterutveckling, kan hämning av angiogenes efter administrering av ramucirumab medföra negativa effekter på graviditeten, inklusive på fostret. Cyramza ska bara användas om den eventuella nyttan för mamman överväger den eventuella risken under graviditeten. Om kvinnan blir gravid under behandling med ramucirumab, ska hon informeras om den eventuella risken för graviditeten och risken för fostret. Cyramza rekommenderas inte under graviditet och till fertila kvinnor som inte använder preventivmedel.
Amning
Det är okänt om ramucirumab utsöndras i bröstmjölk. Utsöndring i bröstmjölk och oral absorption förväntas vara låga. Eftersom en risk för ammande nyfödda barn inte kan uteslutas, ska amningen upphöra under behandling med Cyramza och minst 3 månader efter den sista dosen.
Fertilitet
Det finns inga data på effekten av ramucirumab på fertiliteten hos människa. Baserat på djurstudier är det sannolikt att kvinnlig fertilitet påverkas under behandling med ramucirumab (se avsnitt 5.3).
Cyramza har ingen eller endast försumbar effekt på förmågan att framföra fordon och använda maskiner. Om patienterna drabbas av symtom som påverkar deras förmåga att koncentrera sig bör de inte köra bil eller använda maskiner förrän effekterna avtar.
Sammanfattning av säkerhetsprofilen
De allvarligaste biverkningarna som förknippades med behandling med ramucirumab (som monoterapi eller i kombination med cytotoxisk kemoterapi) var:
Gastrointestinal perforation (se avsnitt 4.4)
Allvarlig gastrointestinal blödning (se avsnitt 4.4)
Arteriella tromboemboliska händelser (se avsnitt 4.4)
Posteriort reversibelt encefalopatisyndrom (se avsnitt 4.4)
De vanligaste biverkningarna observerade hos patienter behandlade med ramucirumab som monoterapi är: perifert ödem, hypertension, diarré buksmärta, huvudvärk, proteinuri och trombocytopeni.
De vanligaste biverkningarna observerade hos patienter behandlade med ramucirumab i kombination med kemoterapi är: trötthet/asteni, neutropeni, diarré, näsblödning, och stomatit.
De vanligaste biverkningarna observerade hos patienter behandlade med ramucirumab i kombination med erlotinib är: infektioner, diarré, hypertension, stomatit, proteinuri, alopeci och näsblödning.
Lista över biverkningar i tabellform
Tabell 6 och 7 nedan visar biverkningar från kliniska placebokontrollerade fas 3-studier associerade med ramucirumab, antingen som monoterapibehandling vid magsäckscancer och HCC eller i kombination med olika kemoterapiregimer eller erlotinib vid behandling av magsäckscancer, metastaserad kolorektal cancer (mCRC) och NSCLC. Biverkningar anges nedan enligt MedDRA:s organsystem. Följande system används för att klassificera frekvens i biverkningstabellerna:
Mycket vanliga (≥10)
Vanliga (≥1/100, <1/10)
Mindre vanliga (≥1/1 000, <1/100)
Sällsynta (≥1/10 000, <1/1 000)
Mycket sällsynta (1/10 000)
Har rapporterats (förekommer hos ett okänt antal användare)
Inom varje frekvensgrupp presenteras biverkningarna i fallande allvarlighetsgrad.
Tabell 6: Biverkningar rapporterade hos patienter behandlade med ramucirumab som monoterapi i kliniska fas 3-studier (REGARD, REACH-2 och REACH-patienter med alfa-fetoprotein ≥ 400 ng/ml)
a Termerna representerar en grupp händelser som beskriver ett medicinskt begrepp snarare än en enskild biverkan eller föredragen term.
b Inkluderar: hypokalemi och minskad kaliumnivå i blodet.
c Baserat på studierna REACH-2 and REACH (ramucirumab monoterapi vid HCC). Inkluderar hepatisk encefalopati och hepatisk koma.
d Inkluderar: ökat blodtryck och hypertension.
e Inkluderar: buksmärta, nedre buksmärta, övre buksmärta och hepatisk smärta.
f Inkluderar ett fall av nefrotiskt syndrom.
Tabell 7: Biverkningar rapporterade hos patienter behandlade med ramucirumab i kombination med kemoterapi eller erlotinib i kliniska fas 3 studier (RAINBOW, REVEL, RAISE och RELAY)
a Termerna representerar en grupp händelser som beskriver ett medicinskt begrepp snarare än en enskild biverkan eller föredragen term.
b Baserat på RAINBOW-studien (ramucirumab plus paclitaxel).
c Baserat på RAINBOW-studien (ramucirumab plus paclitaxel). Inkluderar: leukopeni och minskat antal vita blodkroppar.
d Baserat på REVEL-studien (ramucirumab plus docetaxel).
e Inkluderar: ökat blodtryck, hypertension och hypertensiv kardiomyopati.
f Baserat på RAINBOW-studien (ramucirumab plus paclitaxel), REVEL-studien (ramucirumab plus docetaxel) och RAISE-studien (ramucirumab plus FOLFIRI). Inkluderar: anal blödning, diarré med blödning, magblödning, gastrointestinal blödning, hematemes, hematochezi, hemorrojdblödning, Mallory‑Weiss syndrome, melena, esofagal blödning, rektal blödning och övre gastrointestinal blödning.
g Baserat på RAISE-studien (ramucirumab plus FOLFIRI).
h Inkluderar fall av nefrotiskt syndrom.
i Baserat på RAINBOW-studien (ramucirumab plus paclitaxel) och REVEL-studien (ramucirumab plus docetaxel). Inkluderar: trötthet och asteni.
j Baserat på RELAY-studien (ramucirumab plus erlotinib)
k Infektioner inkluderar föredragna termer som är en del av organsystem klassificeringen: Infektioner och infestationer. Mest vanliga (≥1%) Grad ≥3 infektioner inkluderar lunginflammation, cellulit, paronkyi, hudinfektioner och urinvägsinfektion.
l Inkluderar hemoptysis, laryngeal blödning, hemotorax (ett fall med dödlig utgång) och pulmonär blödning.
Kliniskt relevanta biverkningar (inklusive grad ≥3) som förknippades med antiangiogen behandling och observerades hos patienter behandlade med ramucirumab i kliniska studier var: gastrointestinala perforationer, infusionsrelaterade reaktioner och proteinuri (se avsnitt 4.2 och 4.4).
Kolorektal cancer
Ramucirumab i kombination med FOLFIRI
För patienter i RAISE-studien med metastaserad kolorektal cancer som behandlades med ramucirumab plus FOLFIRI var den mest förekommande (≥1%) biverkningen som ledde till avbrytande av ramucirumab proteinuri (1,5 %). De mest förekommande (≥1%) biverkningarna som ledde till avbrytande av en eller flera komponenter i FOLFIRI var: neutropeni (12,5 %), trombocytopeni (4,2 %), diarré (2,3 %) och stomatit (2,3 %). Den komponent i FOLFIRI som oftast avbröts var 5-FU bolus.
Biverkningar från andra källor
Tabell 8: Ramucirumab associerade biverkningar som rapporterats inom kliniska studier och genom klinisk användning
a Inom klinisk användning (post-market), har hjärtsvikt framförallt setts när ramucirumab ges i kombination med paclitaxel. Se avsnitt 4.4.
Pediatrik population
På basis av det begränsade antalet barn som behandlades med ramucirumab som monoterapi i studie I4T-MC-JVDA identifierades inga nya säkerhetsrisker (se avsnitt 5.1). En patient i denna studie hade progressiv utvidgning av distala femurs tillväxtplatta, men dess påverkan på tillväxt är inte känd. Inga nya säkerhetsrisker rapporterades från de begränsade antal pediatriska patienter som behandlades med ramucirumab vid kombinationsbehandling i studierna J1S-MC-JV01 och J1S-MC-JV02 (se avsnitt 5.1).
Rapportering av misstänkta biverkningar
Det finns inga data om överdosering hos människor. Cyramza har administrerats i doser upp till 10 mg/kg varannan vecka i en fas 1 studie utan att nå en maximal tolererad dos. Vid överdosering ska symtomlindrande behandling sättas in.
En majoritet (75 %) av patienterna randomiserade i studien hade fått tidigare kombinationsbehandling med platina och fluoropyrimidin utan antracyklin. Återstående (25 %) hade fått tidigare kombinationsbehandling med platina och fluoropyrimidin med antracyklin. Två tredjedelar av patienterna drabbades av sjukdomsprogression redan när de stod på första linjens behandling (66,8 %). Patientdemografi och sjukdomskarakteristika vid studiens början var generellt balanserade mellan grupperna: medianåldern var 61 år; 71 % av patienterna var män; 61 % var kaukasier, 35 % asiater; ECOG-PS var 0 för 39 % av patienterna och 1 för 61 % av patienterna; 81 % av patienterna hade mätbar sjukdom och 79 % av patienterna hade magsäckscancer; 21 % hade adenokarcinom i gastroesofageala övergången. Majoriteten av patienterna (76 %) drabbades av sjukdomsprogression inom 6 månader från starten av första linjens behandling. För patienter behandlade med Cyramza plus paklitaxel var medianen för behandlingstid 19 veckor och för patienter behandlade med placebo plus paklitaxel var medianen för behandlingstid 12 veckor. Medianen av relativ dosintensitet för Cyramza var 98,6 % och för placebo 99,6 %. Medianen av relativ dosintensitet för paklitaxel var 87,7 % för gruppen som fick Cyramza plus paklitaxel och 93,2 % för gruppen som fick placebo plus paklitaxel. Den procentandel som avbröt behandlingen på grund av biverkningar var ungefär densamma: 12 % av patienterna behandlade med Cyramza plus paklitaxel jämfört med 11 % av patienterna behandlade med placebo plus paklitaxel. Systemisk cancerbehandling efter utsättande gavs till 47,9 % av patienterna som fick Cyramza plus paklitaxel och 46,0 % av patienterna som fick placebo plus paklitaxel.
Total överlevnad var statistiskt signifikant bättre hos patienter som fick Cyramza plus paklitaxel jämfört med patienter som fick placebo plus paklitaxel (riskkvot [HR] 0,807; 95 % KI: 0,678-0,962; p=0,0169). Det var en ökning av medianöverlevnad på 2,3 månader till fördel för gruppen Cyramza plus paklitaxel: 9,63 månader i gruppen som fick Cyramza plus paklitaxel och 7,36 månader i gruppen som fick placebo plus paklitaxel. Progressionsfri överlevnad var statistiskt signifikant bättre hos patienter som fick Cyramza plus paklitaxel jämfört med patienter som fick placebo plus paklitaxel (riskkvot [HR] 0,635; 95 % KI: 0,536- 0,752; p<0,0001). Det var en ökning av median PFS på 1,5 månader till fördel för gruppen Cyramza plus paklitaxel: 4,4 månader i gruppen som fick Cyramza plus paklitaxel och 2,9 månader i gruppen som fick placebo plus paklitaxel. Objektiv svarsfrekvens, ORR, (fullständigt svar [CR] + partiellt svar [PR]) var signifikant bättre hos patienter som fick Cyramza plus paklitaxel jämfört med patienter som fick placebo plus paklitaxel (oddskvot 2,140; 95 % CI: 1,499 till 3,160; p=0,0001). ORR i gruppen som fick Cyramza plus paklitaxel var 27,9 % och i gruppen som fick placebo plus paklitaxel 16,1 %. Förbättringar av OS och PFS observerades konsekvent i prespecificerade subgrupper baserade på ålder, kön, etnicitet och i de flesta övriga prespecificerade subgrupperna. Effektresultat visas i tabell 9.
Tabell 9: Sammanfattning av effektdata – Intent to treat (ITT) population
Förkortningar: KI = konfidensintervall, CR= fullständigt svar, PR= partiellt svar, CMH= Cochran-Mantel Haenszel
Figur 1: Kaplan Meier kurvor för total överlevnad för Cyramza plus paklitaxel jämfört med placebo plus paklitaxel i RAINBOW
Figur 2: Kaplan-Meier-kurvor för progressionsfri överlevnad för Cyramza plus paklitaxel jämfört med placebo plus paklitaxel i RAINBOW
REGARD
REGARD, en multinationell, randomiserad, dubbelblind studie av Cyramza i tillägg till bästa understödjande vård (BSC) jämfört med placebo plus BSC, utfördes på 355 patienter med lokalt återkommande och icke resecerbar eller metastaserande magsäckscancer (inklusive adenokarcinom i gastroesofageala övergången) efter platina- eller fluoropyrimidinbaserad behandling. Primärt effektmått var total överlevnad (overall survival, OS) och sekundära effektmått inkluderade progressionsfri överlevnad (progression free survival , PFS). Patienterna skulle ha drabbats av sjukdomsprogression under eller inom 4 månader efter den sista dosen av första linjens behandling för metastaserande sjukdom, eller under adjuvant behandling eller inom 6 månader efter den sista dosen av adjuvant behandling, och ha ECOG-PS 0 1. För att inkluderas i studien måste patienternas totala bilirubin vara ≤1,5 mg/dl och ASAT och ALAT ≤3 gånger övre normalgränsen (ULN) eller ≤5 gånger ULN vid levermetastaser.
Patienterna randomiserades i förhållandet 2:1 till intravenös infusion med Cyramza 8 mg/kg (n= 238) eller placebo (n= 117) varannan vecka. Randomiseringen stratifierades efter viktminskning under de föregående 3 månaderna (≥10 % respektive <10 %), geografiskt område och den primära tumörens placering (magsäck respektive gastroesofageala övergången). Demografi och sjukdomskarakteristika vad balanserade vid baseline. ECOG-PS var 1 för 72 % av patienterna. Inga patienter med Child Pugh B eller C levercirros rekryterades till REGARD. 11 % av patienterna behandlade med Cyramza och 6 % av patienterna som fick placebo avbröt behandlingen på grund av biverkningar. Total överlevnad var statistiskt signifikant bättre hos patienter som fick Cyramza jämfört med patienter som fick placebo (riskkvot [HR] 0,776; 95 % KI: 0,603-0,998; p= 0,0473), motsvarande en minskning på 22 % av risken för dödsfall och en ökning av medianöverlevnad till 5,2 månader för Cyramza jämfört med 3,8 månader för placebo. Progressionsfri överlevnad var statistiskt signifikant bättre hos patienter som fick Cyramza jämfört med patienter som fick placebo (riskkvot [HR] 0,483; 95 % KI: 0,376-0,620; p<0,0001), motsvarande en minskning på 52 % av risken för progression eller dödsfall och en ökning av median PFS till 2,1 månader för Cyramza jämfört med 1,3 månader för placebo. Effektresultat visas i tabell 10.
Tabell 10: Sammanfattning av effektdata – ITT population
Förkortningar: KI = konfidensintervall
Figur 3: Kaplan Meier kurvor över total överlevnad för Cyramza jämfört med placebo i REGARD
Baserat på begränsade data från REGARD avseende patienter med HER2-positiv adenokarcinom i magsäcken eller i gastroesofageala övergången och patienter som tidigare behandlats med trastuzumab (i RAINBOW) anses det osannolikt att Cyramza har en skadlig effekt eller ingen effekt på patienter med HER2-positiv magsäckscancer. Icke-stratifierade post hoc subgruppsanalyser från patienter i RAINBOW som tidigare behandlats med trastuzumab (n=39) tyder på en fördel avseende överlevnad för dessa patienter (HR 0,679, 95 % KI 0,327, 1,419) och visade en fördel avseende progressionsfri överlevnad (PFS) (HR 0,399, 95% KI 0,194, 0,822).
Kolorektal cancer
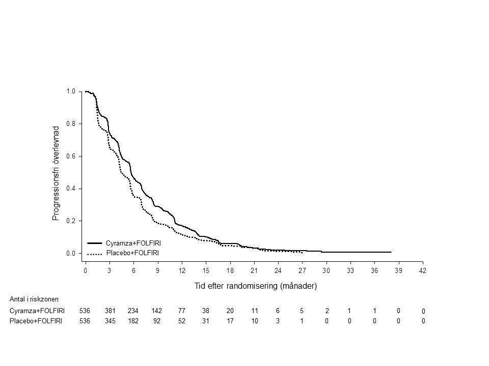
RAISE
RAISE var en global, randomiserad, dubbelblind studie av Cyramza plus FOLFIRI jämfört med placebo plus FOLFIRI på patienter med metastaserad kolorektal cancer som haft sjukdomsprogression under pågående eller efter första linjens behandling med bevacizumab, oxaliplatin och en fluoropyrimidin. Patienterna skulle ha ECOG PS (Performance status) 0 eller 1 och ha drabbats av sjukdomsprogression inom 6 månader efter den sista dosen av första linjens behandling. Patienterna skulle ha adekvat lever-, njur och koagulationsfunktion. Patienter med tidigare okontrollerad ärftlig eller förvärvad blödning eller trombotisk sjukdom, som nyligen haft en allvarlig blödning (av grad ≥3) eller som haft en arteriell trombotisk händelse (ATE) inom de föregående 12 månaderna innan randomiseringen exkluderades. Patienter exkluderades även om de hade haft antingen: en ATE, grad 4 hypertoni, grad 3 proteinuri, grad 3-4 blödning eller tarmperforation under första linjens behandling med bevacizumab.
Totalt 1072 patienter randomiserades (1:1) till att få antingen Cyramza (n= 536) 8 mg/kg eller placebo (n= 536), i kombination med FOLFIRI. Alla läkemedel gavs intravenöst. FOLFIRI regimen var: irinotekan 180 mg/m2 administerat under 90 minuter och folsyra 400 mg/m2 administerat samtidigt under 120 minuter; följt av bolus 5-fluorouracil (5-FU) 400 mg/m2 under 2 till 4 minuter; följt av 5-FU 2400 mg/m2 administerat som kontinuerlig infusion under 46 till 48 timmar. Behandlingscyklerna i både grupperna upprepades varannan vecka. Patienter som avbröt en eller flera komponenter av behandlingen tilläts fortsätta behandlingen med de övriga behandlingskomponenterna till sjukdomsprogression eller oacceptabel toxicitet. Primärt effektmått var total överlevnad (overall survival, OS) och sekundära effektmått inkluderade progressionsfri överlevnad (progression free survival , PFS), objektiv svarsfrekvens (ORR) och livskvalitet (QoL) mätt med European Organisation for Research and Treatment of Cancer (EORTC) QLQ C30. Randomiseringen stratifierades efter geografiskt område, tumörens KRAS status (mutant eller vildtyp) och tid till sjukdomsprogression (TTP) från start av första linjens behandling (<6 månader respektive ≥6 månader).
För ITT populationen var demografi och karakteristika vid studiens början generellt balanserade mellan grupperna. Medianåldern var 62 år och 40 % av patienterna var ≥65 år; 57 % av patienterna var män; 76 % var kaukasier och 20 % asiater; 49 % hade ECOG-PS 0; 49 % av patienterna hade KRAS- muterade tumörer; och 24 % av patienterna hade TTP <6 månader från start av första linjens behandling. Systemisk cancerbehandling efter utsättande gavs till 54 % av patienterna som fick Cyramza plus FOLFIRI och 56 % av patienterna som fick placebo plus FOLFIRI.
Total överlevnad var statistiskt signifikant bättre hos patienter som fick Cyramza plus FOLFIRI jämfört med patienter som fick placebo plus FOLFIRI (riskkvot [HR] 0,844; 95 % KI: 0,730-0,976; p=0,0219). Det var en ökning av medianöverlevnad på 1,6 månader till fördel för gruppen Cyramza plus FOLFIRI: 13,3 månader i gruppen som fick Cyramza plus FOLFIRI och 11,7 månader i gruppen som fick placebo plus FOLFIRI. Progressionsfri överlevnad var statistiskt signifikant bättre hos patienter som fick Cyramza plus FOLFIRI jämfört med patienter som fick placebo plus FOLFIRI (riskkvot [HR] 0,793; 95 % KI: 0,697-0,903; p=0,0005). Det var en ökning av median PFS på 1,2 månader till fördel för gruppen Cyramza plus FOLFIRI: 5,7 månader i gruppen som fick Cyramza plus FOLFIRI och 4,5 månader i gruppen som fick placebo plus p FOLFIRI. Effektresultat visas i tabell 11 samt figurerna 4 och 5.
Förbestämda analyser av OS och PFS utifrån stratifieringsfaktorer utfördes. HR för OS var 0,82 (95 % KI: 0,67-1,0) hos patienter med KRAS vildtyptumör och 0,89 (95 % KI: 0,73-1,09) hos patienter med KRAS-muterade tumörer. För patienter med TTP ≥6 månader från start av första linjens behandling var HR för OS 0,86 (95 % KI: 0,73-1,01) och 0,86 (95 % KI: 0,64-1,13) för patienter med TTP <6 månader från start av första linjens behandling.
Förbestämda analyser av både PFS och OS baserat på ålder (<65 och ≥65 år), kön, etniskt ursprung, ECOG PS (0 eller ≥ 1), antal involverande organ, endast levermetastaser, primärtumörens placering (kolon eller rektum), nivå av carcinoembryonalt antigen (<200 μg/l, ≥200 μg/l) visade samtliga en behandlingseffekt till fördel för behandling med Cyramza plus FOLFIRI jämfört med placebo plus FOLFIRI. I 32 av de 33 förbestämda subgruppsanalyserna av OS var HR <1,0. Den subgrupp med HR >1 innefattade patienter med sjukdomsprogression < 3 månader från start av första linjens behandling med bevacizumab (HR 1,02 [95 % KI: 0,68-1,55]). Detta är en subgrupp som kan anses ha en aggressiv sjukdom som är relativt okänslig för första linjens behandling. I båda behandlingsarmarna, hade patienter som upplevt någon grad av neutropeni en längre överlevnad än de som inte fick neutropeni. Ökningen av medianvärdet för OS mellan patienter med eller utan neutropeni var högre i Cyramza plus FOLFIRI-armen (16,1 månader jämfört med 10,7 månader) jämfört med patienter med eller utan neutropeni i placebo plus FOLFIRI-armen (12,6 månader jämfört med 10,7 månader).
Tabell 11: Sammanfattning av effektdata – ITT-population
Förkortningar: KI = konfidensintervall
Figur 4: Kaplan-Meier-kurvor för total överlevnad för Cyramza plus FOLFIRI jämfört med placebo plus FOLFIRI i RAISE
Figur 5: Kaplan-Meier-kurvor för progressionsfri överlevnad för Cyramza plus FOLFIRI jämfört med placebo plus FOLFIRI i RAISE
ORR var likvärdig för båda behandlingsgrupperna (13,4 % för ramucirumab plus FOLFIRI jämfört med 12,5 % för placebo plus FOLFIRI). Frekvensen för sjukdomskontroll (fullständig respons plus partiell respons plus stabil sjukdom) var numeriskt högre hos patienter i ramucirumab plus FOLFIRI gruppen jämfört med placebo plus FOLFIRI gruppen (74,1 % respektive 68,8 %). För EORTC QLQ-C30 rapporterade patienter i behandlingsgruppen med ramucirumab plus FOLFIRI en övergående minskning av QoL i de flesta skalor jämfört med patienter i behandlingsgruppen med placebo plus FOLFIRI. Färre skillnader mellan grupperna rapporterades efter den första månadens behandling.
NSCLC
RELAY
RELAY var en global, randomiserad, dubbelblind, fas 3 studie av Cyramza plus erlotinib jämfört med placebo plus erlotinib. 449 tidigare obehandlade patienter med metastaserande icke-småcellig lungcancer (NSCLC) med epidermal tillväxtfaktorreceptor (EGFR) exon 19 deletion eller exon 21 (L858R) aktiverande mutationer randomiserades (1:1) vid studiestart. Inkluderbara patienter var ECOG PS 0 eller 1. Patienter med CNS-metastaser eller kända T790M EGFR-mutationer vid baseline exkluderades från studien. Patienter med hög risk för blödning, kardiovaskulära händelser, inklusive de som hade haft någon arteriell tromboembilisk händelse inom 6 månader innan inklusion, exkluderades även från studien.
Demografi och egenskaper vid studiens början balanserades mellan armarna. 77% av patienterna var av asiatiskt ursprung och 22% var av kaukasiskt ursprung. Patienter som behandlades med Cyramza plus erlotinib upplevde statistiskt signifikant samt kliniskt relevant förbättring av progressionsfri överlevnad (PFS) jämfört med patienter som behandlades med placebo plus erlotinib (tabell 12). Resultaten var konsistenta och observerades i alla undergrupper inklusive grupper med exon 19-deletion och exon 21 substitution (L858R), ålder, ras (HR for patienter av kaukasiskt ursprung: 0,618, patienter av asiatisk ursprung HR: 0,638), rökare och aldrig rökare. Totalöverlevnadsdata var omogen vid den primära PFS-analysen (17,6% mognad). RELAY-effektsresultaten visas i tabell 12 och figur 6.
Tabell 12: Summering av effektdata in RELAY – Intent to treat (ITT) population
Förkortningar: KI = konfidens intervall, NR = ej nått Endpoints var alpha-skyddade.
Figur 6: Kaplan-Meier-kurvor över progressionsfri överlevnad för Cyramza plus erlotinib jämfört med placebo plus erlotinib i RELAY
En slutlig analys av total överlevnad, för vilken studien inte hade statistisk styrka utfördes vid 297 händelser händelser/dödsfall (mognad 66,1 %). Den stratifierade överlevnadspulsen var 0,98 [95 % KI 0,78 – 1,24, p = 0,864] med en total överlevnad på 51,1 månader i median [95 % KI 44,85 57,26] för Cyramza plus erlotinib jämfört med 46,0 månader [95 % KI 43,56; 53,03] för placebo plus erlotinib.
REVEL
REVEL, en randomiserad, dubbelblind studie av Cyramza plus docetaxel jämfört med placebo plus docetaxel, utfördes på 1253 patienter med lokalt avancerad eller metastaserad NSCLC av skivepitel- eller icke-skivepiteltyp med sjukdomsprogression under pågående eller efter en platinabaserad behandling. Primärt effektmått var total överlevnad (overall survival, OS). Patienterna randomiserades i förhållandet 1:1 till att få Cyramza plus docetaxel (n=628) eller placebo plus docetaxel (n=625). Randomiseringen stratifierades efter geografiskt område, kön, tidigare underhållsbehandling och ECOG PS. Cyramza 10 mg/kg respektive placebo i kombination med docetaxel 75 mg/m2 administrerades via intravenös infusion dag 1 i en 21-dagarscykel. Studiesite i Östasien administrerade en reducerad dos av docetaxel på 60 mg/m2 var 21:a dag. Patienter som nyligen haft allvarlig lung-, gastrointestinal- eller postoperativ blödning, tecken på CNS-blödning, tumör involverad i större luftväg eller blodkärl, kaviterande tumör, tidigare större blödning eller okontrollerad trombotisk sjukdom exkluderades. Dessutom var patienter som fick någon form av antikoagulantia och/eller kronisk behandling med icke-steroida antiinflammatoriska läkemedel (NSAID) eller andra läkemedel för att förhindra blodpropp, eller de med obehandlade, kliniskt instabila metastaser i hjärna/CNS undantagna. Acetylsalicylsyra i doser upp till 325 mg/dag var tillåtet (se avsnitt 4.4). Ett begränsat antal icke-kaukasiska, därav färgade patienter (2,6%) inkluderades. Därför finns det begränsad erfarenhet av kombinationen av ramucirumab och docetaxel hos dessa patienter med framskriden icke småcellig lungcancer samt hos patienter med nedsatt njurfunktion, hjärt-kärlsjukdom och övervikt.
Patientdemografi och sjukdomskarakteristika vid studiens början var generellt balanserade mellan grupperna: medianåldern var 62 år; 67 % av patienterna var män; 82 % var kaukasier, 13 % asiater; ECOG-PS var 0 för 32 % av patienterna och 1 för 67 % av patienterna; 73 % av patienterna hade icke-skicepitelhistologi och 26 % hade skivepitelhistologi. De vanligaste föregående behandlingarna inkluderade pemetrexed (38 %), gemcitabin (25 %), taxan (24 %) och bevacizumab (14 %); 22 % av patienterna hade tidigare fått underhållsbehandling. Durationen av docetaxelbehandling var i median 14,1 veckor för gruppen som fick ramucirumab och docetaxel (med en median på 4,0 infusioner) och 12,0 veckor för gruppen som fick placebo och docetaxel (med en median på 4,0 infusioner).
Total överlevnad var statistiskt signifikant bättre hos patienter som fick Cyramza plus docetaxel jämfört med patienter som fick placebo plus docetaxel (riskkvot [HR] 0,857; 95 % KI: 0,751-0,979; p=0,024). En ökning av medianöverlevnad på 1,4 månader sågs, till fördel för gruppen Cyramzaplus docetaxel:10,5 månader i gruppen som fick Cyramza plus docetaxel och 9,1 månader i gruppen som fick placebo plus docetaxel. Progressionsfri överlevnad (PFS) var statistiskt signifikant bättre hos patienter som fick Cyramza plus docetaxel jämfört med patienter som fick placebo plus docetaxel (riskkvot [HR] 0,762; 95 % KI: 0,677-0,859; p<0,001). En ökning av median PFS på 1,5 månader sågs, till fördel för gruppen Cyramza plus docetaxel; 4,5 månader i gruppen som fick Cyramza plus docetaxel och 3 månader i gruppen som fick placebo plus docetaxel. Objektiv svarsfrekvens, ORR, (fullständigt svar [CR] + partiellt svar [PR]) var signifikant bättre hos patienter som fick Cyramza plus docetaxel jämfört med patienter som fick placebo plus docetaxel (22,9 % jämfört med 13,6 %, p<0,001). Den primära analysen av livskvalitet visade liknande tid till försämring för samtliga Lung Cancer Symptom Scale (LCSS) poäng mellan behandlingsgrupperna.
En konsekvent förbättring (ramucirumab plus docetaxel jämfört med placebo plus docetaxel) observerades i viktiga subgrupper för PFS och OS. Resultat för OS subgrupper inkluderade följande: icke-skivepitelhistologi (riskkvot [HR] 0,83; 95% KI: 0,71-0,97; median OS [mOS]: 11,1 jämfört med 9,7 månader) och skivepitelhistologi (riskkvot [HR] 0,88; 95% KI: 0,69-1,13; mOS: 9,5 jämfört med 8,2 månader); patienter som tidigare fått underhållsbehandling (riskkvot [HR] 0,69; 95% KI: 0,51-0,93; mOS: 14,4 jämfört med 10,4 månader); tid sedan start av föregående behandling <9 månader (riskkvot [HR] 0,75; 95% KI: 0,64-0,88; mOS: 9,3 jämfört med 7,0 månader); patienter <65 år (riskkvot [HR] 0,74; 95% KI: 0,62-0,87; mOS: 11,3 jämfört med 8,9 månader). En trend mot mindre effekt med stigande ålder har observerats hos patienter som behandlats med ramucirumab plus docetaxel för behandling av avancerad NSCLC med sjukdomsprogression efter platinabaserad kemoterapi (se avsnitt 5.1). Ingen skillnad i effekt mellan behandlingsarmarna har observerats i subgruppen med patienter ≥65 år (OS HR 1,10; 95% KI: 0,89, 1,36; median OS [mOS]: 9.2 jämfört med 9.3 månader, se avsnitt 4.4), patienter som tidigare fått behandling med taxaner (HR 0,81; 95% KI: 0,62-1,07; mOS 10,8 jämfört med 10,4 månader) och de som startat tidigare behandling ≥9 månader (HR 0,95; 95% KI: 0,75-1,2; mOS: 13.7 jämfört med 13,3 månader). Effektresultat visas i tabell 13.
Tabell 13: Sammanfattning av effektdata – ITT population
Förkortningar: KI = konfidensintervall, CR= fullständigt svar, PR= partiellt svar, CMH= Cochran-Mantel-Haenszel
Figur 7: Kaplan-Meier-kurvor för total överlevnad för Cyramza plus docetaxel jämfört med placebo plus docetaxel i REVEL
Figur 8: Kaplan-Meier-kurvor för progressionsfri överlevnad för Cyramza plus docetaxel jämfört med placebo plus docetaxel i REVEL
Hepatocellulärt karcinom
REACH-2
REACH-2 var en global, randomiserad, dubbelblindad studie med Cyramza plus BSC jämfört med placebo plus BSC där 292 HCC-patienter med serum AFP ≥ 400 ng/ml vid studierstart randomiserades (2:1). Patienter som deltog i studien hade sjukdomsprogression på eller efter tidigare sorafenibbehandling eller var intoleranta mot sorafenib. Lämpliga patienter var Child Pugh A (score < 7), kreatininclearance ≥ 60 ml/min och ECOG PS 0 eller 1. Vidare var patienterna antingen i Barcelona Clinic Liver Cancer (BCLC) stadium B och inte längre mottagliga för lokalregionalbehandling eller var BCLC stadium C. Patienter med hjärnmetastaser, leptomeningeal sjukdom, okontrollerad ryggmärgskompression, tidigare eller nuvarande hepatisk encefalopati eller klinisk relevant ascites, allvarlig variceal blödning de 3 senaste månaderna före behandling, eller ventrikel- eller esofagusvaricer med hög blödningsrisk var exkluderade från studien. Det primära effektmåttet var total överlevnad.Tröskeln för förhöjt AFP för inklusion i REACH-2-studien var bestämd utifrån överlevnadsresultatet i en fördefinierad sub-grupp explorativ analys från REACH, en tidigare genomförd, supporterande klinisk fas 3-studie med 565 HCC-patienter som var randomiserade (1:1) antingen till Cyramza plus BSC eller placebo plus BSC, och som hade sjukdomsprogression på eller efter tidigare sorafenibbehandling.
I REACH-2 var basline patientdemografi och sjukdomskarakteristiska generellt balanserat mellan armarna, bortsett från AFP, som var lägre i placeboarmen. Patienter behandlade med Cyramza upplevde en statistiskt signifikant förbättring i OS jämfört med placebo (tabell 14). Det primära effektmåttet i REACH-2 supporterades av en statistikt signifikant förbättring av progressionsfri överlevnad hos patienter behandlade med Cyramza jämfört med placebobehandlade patienter. Den relativa behandlingseffekten (bedömd med HR) av Cyramza jämfört med placebo var generellt konsekvent över subgrupperna, inklusive ålder, etnisk tillhörighet, sjukdomsetiologi och anledning till utsättning av sorafenib (sjukdomsprogression jämfört med intolerans). Ett relevant samband mellan exponering och effekt observerades för ramucirumab i REACH-2 (se avsnitt 5.2). REACH-2 effektresultat visas i tabell 14 och figur 9.
Tabell 14: Sammanfattning av effektdata i REACH-2 – Intent to treat (ITT) population
Förkortningar: KI = konfidensintervall, CR= fullständigt svar, ORR= objektiv svarsfrekvens, PR= partiellt svar
Figur 9: Kaplan-Meier kurvor över total överlevnad för Cyramza jämfört med placebo i REACH-2
Patienter med Eastern Cooperative Oncology Group (ECOG) Performance Status (PS) ≥2
Patienter med ECOG-PS ≥2 exkluderades från de pivotala studierna för alla indikationerna. Säkerheten och effekten för Cyramza hos den här patientpopulationen är således okänd.
Immunogenicitet
Patienter i två fas 3 studier, RAINBOW och REGARD testades ett flertal gånger för antikroppar mot läkemedel (anti drug antibodies, ADA). Prov från 956 patienter testades, 527 patienter behandlade med ramucirumab och 429 patienter behandlade med kontroll. 11 (2,2 %) av patienterna behandlade med ramucirumab och två (0,5 %) av patienterna behandlade med kontroll utvecklade ADA. Inga patienter med ADA drabbades av en infusionsrelaterad reaktion. Inga patienter hade neutraliserande antikroppar mot ramucirumab. Data är otillräckliga för att bedöma effekten av ADA på ramucirumabs effekt eller säkerhet.
Pediatrisk population
Europeiska läkemedelsmyndigheten har beviljat undantag från kravet att skicka in studieresultat för Cyramza för samtliga grupper av den pediatriska populationen för adenokarcinom i magsäcken, adenokarcinom i kolon och rektum, lungcancer och levercancer (information om pediatrisk användning finns i avsnitt 4.2).Säkerhet och farmakokinetik (PK) för ramucirumab som monoterapi har utvärderats i I4T-MC-JVDA, en multicenter öppen fas 1-studie (open-label), på pediatriska och unga vuxna patienter i åldern 1 till 21 år för att bestämma den rekommenderade dosen i fas 2 (RP2D). Studien bestod av två delar. I del A administrerades ramucirumab i en dos av 8 mg/kg eller 12 mg/kg intravenöst under 60 minuter, varannan vecka till 23 patienter med återkommande eller refraktär icke-CNS-tumörer. En maximal tolererad dos uppnåddes inte. RP2D bestämdes vara 12 mg/kg när det gavs varannan vecka. I del B av studien administrerades ramucirumab med RP2D till 6 patienter med recidiverande eller refraktär CNS-tumörer för utvärdering av tolerabilitet i denna population. Inga tumörsvar observerades i varken del A eller B.
Effekt och säkerhet av ramucirumab i kombination med cyklofosfamid och vinorelbin utvärderades mot cyklofosfamid och vinorelbin ensamt i J1S-MCJV01 (JV01), en randomiserad, multicenter, global fas 2-studie på 30 pediatriska patienter och unga vuxna i åldern 36 månader till 29 år med återfallande, återkommande eller refraktär desmoplastisk småcellig tumör (DSRCT). Randomiseringen (2:1) stratifierades genom stadieindelning vid återfall (metastaserad sjukdom kontra lokalt avancerad). JV01 uppfyllde inte förutbestämd endpoint för studien, vilket krävde en 99 % posterior sannolikhet för uppfylla överlägsenhet (HR <1) för att möta kriteriet för interventionen. Vid den slutliga analysen, enligt frekvensistanalysen, var medianen för progressionsfri överlevnad 6,75 månader i den experimentella armen och 1,71 månader i kontrollarmen (HR 0,465 [80 % KI: 0,261; 0,827]). Det var en partiell respons och en fullständig respons i den experimentella armen. En partiell respons och ingen fullständig respons observerades i kontrollarmen. På grund av den begränsade storleken på denna studie är det inte möjligt att dra slutsatsen att fördelarna med användningen överväger riskerna.
Effekt och säkerhet för ramucirumab i kombination med gemcitabin och docetaxel utvärderades mot gemcitabin och docetaxel ensamt i J1S-MC-JV02 (JV02), en randomiserad, multicenter, global fas 2-studie på 23 pediatriska patienter och unga vuxna i åldern 36 månader till 29 år med återfallande, återkommande eller progressivt synovialt sarkom (SS). Randomisering (2:1) stratifierades genom stadieindelning vid återfall (metastaserad sjukdom kontra lokalt avancerad). Studien avslutades utan formell utvärdering av det primära PFS-effektmåttet eftersom JV02 vid den interimistiska futilitetsanalysen inte uppfyllde den förspecifierade konfidensen 60-procent i behandlingsöverlägsenhet (PFS HR på mindre än 1 för SS). Det var en partiell respons och ingen fullständig respons i den experimentella armen. Ingen respons, fullständig eller partiell sådan, observerades i kontrollarmen.
Efter doseringen 8 mg/kg varannan vecka var det geometriska medelvärdet för ramucirumab Cmin i serum före administrering av den fjärde respektive sjunde dosen av ramucirumab, administrerat som monoterapi hos patienter med avancerad magsäckscancer 49,5 μg/ml (intervall 6,3-228 μg/ml) respektive 74,4 μg/ml (intervall 13,8-234 μg/ml). Hos HCC-patienter var det geometrisk medelvärdet för ramucirumab Cmin i serum före administrering av den andra, fjärde och sjunde dosen av ramucirumab 23,5 μg/ml (intervall 2,9‑76,5 μg/ml), 44,1 μg/ml (intervall 4,2‑137 μg/ml) respektive 60,2 μg/ml (intervall 18,3‑123 μg/ml).
Efter doseringen 8 mg/kg varannan vecka i kombination med FOLFIRI var det geometriska medelvärdet för ramucirumab Cmin i serum hos patienter med metastaserad kolorektal cancer 46,3 μg/ml (intervall 7,7-119 μg/ml) respektive 65,1 μg/ml (intervall 14,5-205 μg/ml) före administrering av den tredje respektive den femte dosen av ramucirumab.
Efter doseringen 10 mg/kg var tredje vecka var det geometriska medelvärdet för ramucirumab Cmin i serum hos patienter med NSCLC 28,3 μg/ml (intervall 2,5-108 μg/ml) respektive 38,4 μg/ml (intervall 3,1-128 μg/ml) före administrering av den tredje respektive den femte dosen av ramucirumab, administrerat i kombination med docetaxel.
Efter doseringen 10 mg/kg ramucirumab varannan vecka, var det geometriska medelvärdet för ramucirumab Cmin i serum hos patienter med NSCLC 68,5 μg/ml (intervall 20,3-142 μg/ml) och 85,7 μg/ml (intervall 36,0-197 μg/ml) före administrering av den fjärde respektive sjunde dosen av ramucirumab, administrerat i kombination med erlotinib.
Absorption
Cyramza administreras som en intravenös infusion. Inga studier har utförts med andra administreringssätt.
Distribution
Baserat på populationsfarmakokinetik (PopPK) var den genomsnittliga (% koefficient av variation [CV %]) distributionsvolymen för ramucirumab vid steady state 5,4 l (15 %).
Metabolism
Metabolismen för ramucirumab har inte studerats. Antikroppar elimineras huvudsakligen via katabolism.
Eliminering
Baserat på PopPK var genomsnittlig (CV %) clearance för ramucirumab 0,015 l/timme (30 %) och den genomsnittliga halveringstiden var 14 dagar (20 %).
Tid- och dosberoende
Det fanns ingen tydlig avvikelse från dosproportionalitet i farmakokinetiken för ramucirumab från 6 mg/kg till 20 mg/kg. En ackumuleringskvot på 1,5 observerades för ramucirumab vid dosering varannan vecka. Enligt simuleringar utförda med PopPK-modellen skulle steady-state uppnås vid den sjätte dosen.
Äldre
Baserat på PopPK observerades ingen skillnad i ramucirumabexponering hos patienter ≥65 år jämfört med patienter <65 år.
Nedsatt njurfunktion
Inga specifika studier har utförts för att utvärdera effekt av nedsatt njurfunktion på farmakokinetiken för ramucirumab. Baserat på PopPK var ramucirumabexponeringen likartad hos patienter med lätt nedsatt njurfunktion (kreatininclearance [CrCl] ≥60 till <90 ml/min), måttligt nedsatt njurfunktion (CrCl ≥30 till <60 ml/min) och gravt nedsatt njurfunktion (CrCl 15-29 ml/min) jämfört med patienter med normal njurfunktion (CrCl ≥90 ml/min).
Nedsatt leverfunktion
Inga specifika studier har utförts för att utvärdera effekt av nedsatt leverfunktion på farmakokinetiken för ramucirumab. Baserat på PopPK var ramucirumabexponeringen hos patienter med lätt nedsatt leverfunktion (totalt bilirubin 1,0 1,5 övre normalgränsen (ULN) oavsett ASAT eller totalt bilirubin ≤1,0 ULN och ASAT >ULN) jämförbar med patienter med normal leverfunktion (totalt bilirubin och ASAT ≤ULN). Ramucirumab har inte studerats på patienter med gravt nedsatt leverfunktion (totalt bilirubin >3,0 ULN oavsett ASAT).
Pediatrisk population
Den genomsnittliga maximala koncentrationen var 165 μg/ml efter 8 mg/kg (studie JVDA), 231 μg/ml efter 9 mg/kg (studie JV02), 238 μg/ml (CV % = 35) efter 12 mg/kg (studie JV01) respektive 285 μg/ml (CV % = 26) efter 12 mg/kg (studie JVDA). Dalkoncentrationsvärdet var 41,6 (CV % = 57) och 48,3 μg/ml (CV % = 41) vid dag 15 cykel 1 (n=19) i studie JV01 respektive studie JVDA. Exponering av ramucirumab efter singeldos eller upprepade doser på 8 mg/kg eller 12 mg/kg hos pedriatisk population eller unga vuxna (barn äldre än 12 månader och yngre än 21 år) med refraktära solida tumörer, inclusive CNS-tumörer erhöll liknande exponering som hos vuxna patienter. Vidare var exponeringen av ramucurimab efter en dos på 12 mg/kg liknande mellan åldersintervallen äldre än 12 månader och yngre än 21 år.
Andra särskilda populationer
Baserat på PopPK har följande kovariater ingen påverkan på ramucirumabs disposition: ålder, kön, etnisk tillhörighet, albuminnivå. Dessa och andra undersökta faktorer hade < 20 % effekt på ramucirumabs disposition. Kroppsvikten anses vara en signifikant co-variabel för farmakokinetiken för ramucirumab och stödjer doseringen baserad på kroppsvikt.
Förhållande exponering-respons
Effekt
Analys av exponering-respons indikerar att effekt var korrelerad med exponeringen för ramucirumab i pivotala studier. Effekt, mätt med OS, var associerad med ökad exponering för ramucirumab uppnådd med 8 mg/kg som gavs varannan vecka och med 10 mg/kg ramucirumab som gavs var tredje vecka. En förbättring av PFS associerades med ökad ramucirumab-exponering för avancerad magsäckscancer, NSCLC med sjukdomsprogression efter platinabaserad kemoterapi och mCRC.
I REACH-2-studien med HCC observerades ett relevant samband mellan exponering och effekt för ramucirumab, som visade att endast patienter med en exponering över medianen upplevde en förbättring av OS, jämfört med placebo. Detta förhållande mellan exponering och effekt kvarstod efter att det var justerat för andra prognostiska faktorer. En behandlingseffekt på PFS observerades för alla exponeringsnivåer uppnådd vid administration av 8 mg/kg ramucirumab som gavs varannan vecka. Inget sådant samband observerades i RELAY studien för NSCLC med 10 mg/kg ramucirumab plus erlotinib varannan vecka.
Säkerhet
I RAINBOW ökade incidensen av hypertension, neutropeni och leukopeni av grad ≥3 med högre exponering för ramucirumab.
I RAISE ökade incidensen av neutropeni av grad ≥3 med högre exponering för ramucirumab.
I RELAY sågs inget exponering-säkerhets-samband för de valda säkerhets-endpoints, vilka inkluderade grad ≥3 hypertension, diarré, proteinuri och akneiform dermatit.
I REVEL ökade incidensen av febril neutropeni och hypertension av grad ≥3 med högre exponering för ramucirumab.
I poolad data från REACH-2 och REACH (patienter med alfa-fetaprotein ≥ 400 ng/ml), ökade incidensen av hypertension av grad ≥3 med högre exponering för ramucirumab.
Inga djurstudier har utförts för att testa ramucirumab för eventuell karcinogenicitet eller gentoxicitet.
De målorgan som identifierades i studier av allmäntoxicitet på cynomolgusapor var njurar (glomerulonefrit), skelett (förtjockning av och onormal endokondral benbildning av epifysplatta) och reproduktionsorgan hos honor (minskad vikt på äggstockar och livmoder). En liten inflammation och/eller mononukleär cellinfiltration sågs i flera organ.
Reproduktionsstudier med ramucirumab har inte utförts, men djurmodeller visar en koppling mellan angiogenes, VEGF samt VEGF receptor 2 och viktiga aspekter av reproduktion hos honor, embryofetal och postnatal utveckling. Baserat på verkningsmekanismen för ramucirumab är det troligt att ramucirumab hämmar angiogenes hos djur och får negativa effekter på fertilitet (ovulation), placentautveckling, foster och postnatal utveckling.
En engångsdos av ramucirumab påverkade inte sårläkning hos apor på en incisionsmodell av hud i normal tjocklek.
Farmakoterapeutisk grupp: Antineoplastiska medel, monoklonala antikroppar, ATC-kod: L01XC21.
Verkningsmekanism
Vascular Endothelial Growth Factor (VEGF) receptor 2 är den viktigaste mediatorn av VEGF inducerad angiogenes. Ramucirumab är en human receptorriktad antikropp som specifikt binder till VEGF receptor 2 och blockerar bindning av VEGF A, VEGF C och VEGF D. Som en följd av detta hämmar ramucirumab ligandstimulerad aktivering av VEGF receptor 2 och dess signalvägar, t.ex. p44/p42 mitogenaktiverad proteinkinaser, neutraliserande ligandinducerad proliferation och migration av humana endotelceller.
Klinisk effekt och säkerhet
Magsäckscancer
RAINBOW
RAINBOW, en global, randomiserad, dubbelblind studie av Cyramza plus paklitaxel jämfört med placebo plus paklitaxel, utfördes på 665 patienter med lokalt återkommande och icke resecerbar eller metastaserande magsäckscancer (inklusive adenokarcinom i gastroesofageala övergången) efter platina- och fluoropyrimidinbaserad behandling, med eller utan antracyklin. Primärt effektmått var total överlevnad (overall survival, OS) och sekundära effektmått inkluderade progressionsfri överlevnad (progression free survival , PFS) och total respons (overall response rate, ORR). Patienterna skulle ha drabbats av sjukdomsprogression under eller inom 4 månader efter den sista dosen av första linjens behandling och ha ECOG-PS (Performance status) 0 1. Patienterna randomiserades i förhållandet 1:1 till att få Cyramza plus paklitaxel (n=330) eller placebo plus paklitaxel (n=335). Randomiseringen stratifierades efter geografiskt område, tid till progression från start av första linjens behandling (<6 månader respektive ≥6 månader) och mätbar sjukdom. Cyramza 8 mg/kg eller placebo administrerades via intravenös infusion varannan vecka (dag 1 och 15) i en 28 dagarscykel. Paklitaxel 80 mg/m2 administrerades via intravenös infusion dag 1, 8 och 15 i varje 28 dagarscykel.
En majoritet (75 %) av patienterna randomiserade i studien hade fått tidigare kombinationsbehandling med platina och fluoropyrimidin utan antracyklin. Återstående (25 %) hade fått tidigare kombinationsbehandling med platina och fluoropyrimidin med antracyklin. Två tredjedelar av patienterna drabbades av sjukdomsprogression redan när de stod på första linjens behandling (66,8 %). Patientdemografi och sjukdomskarakteristika vid studiens början var generellt balanserade mellan grupperna: medianåldern var 61 år; 71 % av patienterna var män; 61 % var kaukasier, 35 % asiater; ECOG-PS var 0 för 39 % av patienterna och 1 för 61 % av patienterna; 81 % av patienterna hade mätbar sjukdom och 79 % av patienterna hade magsäckscancer; 21 % hade adenokarcinom i gastroesofageala övergången. Majoriteten av patienterna (76 %) drabbades av sjukdomsprogression inom 6 månader från starten av första linjens behandling. För patienter behandlade med Cyramza plus paklitaxel var medianen för behandlingstid 19 veckor och för patienter behandlade med placebo plus paklitaxel var medianen för behandlingstid 12 veckor. Medianen av relativ dosintensitet för Cyramza var 98,6 % och för placebo 99,6 %. Medianen av relativ dosintensitet för paklitaxel var 87,7 % för gruppen som fick Cyramza plus paklitaxel och 93,2 % för gruppen som fick placebo plus paklitaxel. Den procentandel som avbröt behandlingen på grund av biverkningar var ungefär densamma: 12 % av patienterna behandlade med Cyramza plus paklitaxel jämfört med 11 % av patienterna behandlade med placebo plus paklitaxel. Systemisk cancerbehandling efter utsättande gavs till 47,9 % av patienterna som fick Cyramza plus paklitaxel och 46,0 % av patienterna som fick placebo plus paklitaxel.
Total överlevnad var statistiskt signifikant bättre hos patienter som fick Cyramza plus paklitaxel jämfört med patienter som fick placebo plus paklitaxel (riskkvot [HR] 0,807; 95 % KI: 0,678-0,962; p=0,0169). Det var en ökning av medianöverlevnad på 2,3 månader till fördel för gruppen Cyramza plus paklitaxel: 9,63 månader i gruppen som fick Cyramza plus paklitaxel och 7,36 månader i gruppen som fick placebo plus paklitaxel. Progressionsfri överlevnad var statistiskt signifikant bättre hos patienter som fick Cyramza plus paklitaxel jämfört med patienter som fick placebo plus paklitaxel (riskkvot [HR] 0,635; 95 % KI: 0,536- 0,752; p<0,0001). Det var en ökning av median PFS på 1,5 månader till fördel för gruppen Cyramza plus paklitaxel: 4,4 månader i gruppen som fick Cyramza plus paklitaxel och 2,9 månader i gruppen som fick placebo plus paklitaxel. Objektiv svarsfrekvens, ORR, (fullständigt svar [CR] + partiellt svar [PR]) var signifikant bättre hos patienter som fick Cyramza plus paklitaxel jämfört med patienter som fick placebo plus paklitaxel (oddskvot 2,140; 95 % CI: 1,499 till 3,160; p=0,0001). ORR i gruppen som fick Cyramza plus paklitaxel var 27,9 % och i gruppen som fick placebo plus paklitaxel 16,1 %. Förbättringar av OS och PFS observerades konsekvent i prespecificerade subgrupper baserade på ålder, kön, etnicitet och i de flesta övriga prespecificerade subgrupperna. Effektresultat visas i tabell 9.
Tabell 9: Sammanfattning av effektdata – Intent to treat (ITT) population
Förkortningar: KI = konfidensintervall, CR= fullständigt svar, PR= partiellt svar, CMH= Cochran-Mantel Haenszel
Figur 1: Kaplan Meier kurvor för total överlevnad för Cyramza plus paklitaxel jämfört med placebo plus paklitaxel i RAINBOW
Figur 2: Kaplan-Meier-kurvor för progressionsfri överlevnad för Cyramza plus paklitaxel jämfört med placebo plus paklitaxel i RAINBOW
REGARD
REGARD, en multinationell, randomiserad, dubbelblind studie av Cyramza i tillägg till bästa understödjande vård (BSC) jämfört med placebo plus BSC, utfördes på 355 patienter med lokalt återkommande och icke resecerbar eller metastaserande magsäckscancer (inklusive adenokarcinom i gastroesofageala övergången) efter platina- eller fluoropyrimidinbaserad behandling. Primärt effektmått var total överlevnad (overall survival, OS) och sekundära effektmått inkluderade progressionsfri överlevnad (progression free survival , PFS). Patienterna skulle ha drabbats av sjukdomsprogression under eller inom 4 månader efter den sista dosen av första linjens behandling för metastaserande sjukdom, eller under adjuvant behandling eller inom 6 månader efter den sista dosen av adjuvant behandling, och ha ECOG-PS 0 1. För att inkluderas i studien måste patienternas totala bilirubin vara ≤1,5 mg/dl och ASAT och ALAT ≤3 gånger övre normalgränsen (ULN) eller ≤5 gånger ULN vid levermetastaser.
Patienterna randomiserades i förhållandet 2:1 till intravenös infusion med Cyramza 8 mg/kg (n= 238) eller placebo (n= 117) varannan vecka. Randomiseringen stratifierades efter viktminskning under de föregående 3 månaderna (≥10 % respektive <10 %), geografiskt område och den primära tumörens placering (magsäck respektive gastroesofageala övergången). Demografi och sjukdomskarakteristika vad balanserade vid baseline. ECOG-PS var 1 för 72 % av patienterna. Inga patienter med Child Pugh B eller C levercirros rekryterades till REGARD. 11 % av patienterna behandlade med Cyramza och 6 % av patienterna som fick placebo avbröt behandlingen på grund av biverkningar. Total överlevnad var statistiskt signifikant bättre hos patienter som fick Cyramza jämfört med patienter som fick placebo (riskkvot [HR] 0,776; 95 % KI: 0,603-0,998; p= 0,0473), motsvarande en minskning på 22 % av risken för dödsfall och en ökning av medianöverlevnad till 5,2 månader för Cyramza jämfört med 3,8 månader för placebo. Progressionsfri överlevnad var statistiskt signifikant bättre hos patienter som fick Cyramza jämfört med patienter som fick placebo (riskkvot [HR] 0,483; 95 % KI: 0,376-0,620; p<0,0001), motsvarande en minskning på 52 % av risken för progression eller dödsfall och en ökning av median PFS till 2,1 månader för Cyramza jämfört med 1,3 månader för placebo. Effektresultat visas i tabell 10.
Tabell 10: Sammanfattning av effektdata – ITT population
Förkortningar: KI = konfidensintervall
Figur 3: Kaplan Meier kurvor över total överlevnad för Cyramza jämfört med placebo i REGARD
Baserat på begränsade data från REGARD avseende patienter med HER2-positiv adenokarcinom i magsäcken eller i gastroesofageala övergången och patienter som tidigare behandlats med trastuzumab (i RAINBOW) anses det osannolikt att Cyramza har en skadlig effekt eller ingen effekt på patienter med HER2-positiv magsäckscancer. Icke-stratifierade post hoc subgruppsanalyser från patienter i RAINBOW som tidigare behandlats med trastuzumab (n=39) tyder på en fördel avseende överlevnad för dessa patienter (HR 0,679, 95 % KI 0,327, 1,419) och visade en fördel avseende progressionsfri överlevnad (PFS) (HR 0,399, 95% KI 0,194, 0,822).
Kolorektal cancer
RAISE
RAISE var en global, randomiserad, dubbelblind studie av Cyramza plus FOLFIRI jämfört med placebo plus FOLFIRI på patienter med metastaserad kolorektal cancer som haft sjukdomsprogression under pågående eller efter första linjens behandling med bevacizumab, oxaliplatin och en fluoropyrimidin. Patienterna skulle ha ECOG PS (Performance status) 0 eller 1 och ha drabbats av sjukdomsprogression inom 6 månader efter den sista dosen av första linjens behandling. Patienterna skulle ha adekvat lever-, njur och koagulationsfunktion. Patienter med tidigare okontrollerad ärftlig eller förvärvad blödning eller trombotisk sjukdom, som nyligen haft en allvarlig blödning (av grad ≥3) eller som haft en arteriell trombotisk händelse (ATE) inom de föregående 12 månaderna innan randomiseringen exkluderades. Patienter exkluderades även om de hade haft antingen: en ATE, grad 4 hypertoni, grad 3 proteinuri, grad 3-4 blödning eller tarmperforation under första linjens behandling med bevacizumab.
Totalt 1072 patienter randomiserades (1:1) till att få antingen Cyramza (n= 536) 8 mg/kg eller placebo (n= 536), i kombination med FOLFIRI. Alla läkemedel gavs intravenöst. FOLFIRI regimen var: irinotekan 180 mg/m2 administerat under 90 minuter och folsyra 400 mg/m2 administerat samtidigt under 120 minuter; följt av bolus 5-fluorouracil (5-FU) 400 mg/m2 under 2 till 4 minuter; följt av 5-FU 2400 mg/m2 administerat som kontinuerlig infusion under 46 till 48 timmar. Behandlingscyklerna i både grupperna upprepades varannan vecka. Patienter som avbröt en eller flera komponenter av behandlingen tilläts fortsätta behandlingen med de övriga behandlingskomponenterna till sjukdomsprogression eller oacceptabel toxicitet. Primärt effektmått var total överlevnad (overall survival, OS) och sekundära effektmått inkluderade progressionsfri överlevnad (progression free survival , PFS), objektiv svarsfrekvens (ORR) och livskvalitet (QoL) mätt med European Organisation for Research and Treatment of Cancer (EORTC) QLQ C30. Randomiseringen stratifierades efter geografiskt område, tumörens KRAS status (mutant eller vildtyp) och tid till sjukdomsprogression (TTP) från start av första linjens behandling (<6 månader respektive ≥6 månader).
För ITT populationen var demografi och karakteristika vid studiens början generellt balanserade mellan grupperna. Medianåldern var 62 år och 40 % av patienterna var ≥65 år; 57 % av patienterna var män; 76 % var kaukasier och 20 % asiater; 49 % hade ECOG-PS 0; 49 % av patienterna hade KRAS- muterade tumörer; och 24 % av patienterna hade TTP <6 månader från start av första linjens behandling. Systemisk cancerbehandling efter utsättande gavs till 54 % av patienterna som fick Cyramza plus FOLFIRI och 56 % av patienterna som fick placebo plus FOLFIRI.
Total överlevnad var statistiskt signifikant bättre hos patienter som fick Cyramza plus FOLFIRI jämfört med patienter som fick placebo plus FOLFIRI (riskkvot [HR] 0,844; 95 % KI: 0,730-0,976; p=0,0219). Det var en ökning av medianöverlevnad på 1,6 månader till fördel för gruppen Cyramza plus FOLFIRI: 13,3 månader i gruppen som fick Cyramza plus FOLFIRI och 11,7 månader i gruppen som fick placebo plus FOLFIRI. Progressionsfri överlevnad var statistiskt signifikant bättre hos patienter som fick Cyramza plus FOLFIRI jämfört med patienter som fick placebo plus FOLFIRI (riskkvot [HR] 0,793; 95 % KI: 0,697-0,903; p=0,0005). Det var en ökning av median PFS på 1,2 månader till fördel för gruppen Cyramza plus FOLFIRI: 5,7 månader i gruppen som fick Cyramza plus FOLFIRI och 4,5 månader i gruppen som fick placebo plus p FOLFIRI. Effektresultat visas i tabell 11 samt figurerna 4 och 5.
Förbestämda analyser av OS och PFS utifrån stratifieringsfaktorer utfördes. HR för OS var 0,82 (95 % KI: 0,67-1,0) hos patienter med KRAS vildtyptumör och 0,89 (95 % KI: 0,73-1,09) hos patienter med KRAS-muterade tumörer. För patienter med TTP ≥6 månader från start av första linjens behandling var HR för OS 0,86 (95 % KI: 0,73-1,01) och 0,86 (95 % KI: 0,64-1,13) för patienter med TTP <6 månader från start av första linjens behandling.
Förbestämda analyser av både PFS och OS baserat på ålder (<65 och ≥65 år), kön, etniskt ursprung, ECOG PS (0 eller ≥ 1), antal involverande organ, endast levermetastaser, primärtumörens placering (kolon eller rektum), nivå av carcinoembryonalt antigen (<200 μg/l, ≥200 μg/l) visade samtliga en behandlingseffekt till fördel för behandling med Cyramza plus FOLFIRI jämfört med placebo plus FOLFIRI. I 32 av de 33 förbestämda subgruppsanalyserna av OS var HR <1,0. Den subgrupp med HR >1 innefattade patienter med sjukdomsprogression < 3 månader från start av första linjens behandling med bevacizumab (HR 1,02 [95 % KI: 0,68-1,55]). Detta är en subgrupp som kan anses ha en aggressiv sjukdom som är relativt okänslig för första linjens behandling. I båda behandlingsarmarna, hade patienter som upplevt någon grad av neutropeni en längre överlevnad än de som inte fick neutropeni. Ökningen av medianvärdet för OS mellan patienter med eller utan neutropeni var högre i Cyramza plus FOLFIRI-armen (16,1 månader jämfört med 10,7 månader) jämfört med patienter med eller utan neutropeni i placebo plus FOLFIRI-armen (12,6 månader jämfört med 10,7 månader).
Tabell 11: Sammanfattning av effektdata – ITT-population
Förkortningar: KI = konfidensintervall
Figur 4: Kaplan-Meier-kurvor för total överlevnad för Cyramza plus FOLFIRI jämfört med placebo plus FOLFIRI i RAISE
Figur 5: Kaplan-Meier-kurvor för progressionsfri överlevnad för Cyramza plus FOLFIRI jämfört med placebo plus FOLFIRI i RAISE
ORR var likvärdig för båda behandlingsgrupperna (13,4 % för ramucirumab plus FOLFIRI jämfört med 12,5 % för placebo plus FOLFIRI). Frekvensen för sjukdomskontroll (fullständig respons plus partiell respons plus stabil sjukdom) var numeriskt högre hos patienter i ramucirumab plus FOLFIRI gruppen jämfört med placebo plus FOLFIRI gruppen (74,1 % respektive 68,8 %). För EORTC QLQ-C30 rapporterade patienter i behandlingsgruppen med ramucirumab plus FOLFIRI en övergående minskning av QoL i de flesta skalor jämfört med patienter i behandlingsgruppen med placebo plus FOLFIRI. Färre skillnader mellan grupperna rapporterades efter den första månadens behandling.
NSCLC
RELAY
RELAY var en global, randomiserad, dubbelblind, fas 3 studie av Cyramza plus erlotinib jämfört med placebo plus erlotinib. 449 tidigare obehandlade patienter med metastaserande icke-småcellig lungcancer (NSCLC) med epidermal tillväxtfaktorreceptor (EGFR) exon 19 deletion eller exon 21 (L858R) aktiverande mutationer randomiserades (1:1) vid studiestart. Inkluderbara patienter var ECOG PS 0 eller 1. Patienter med CNS-metastaser eller kända T790M EGFR-mutationer vid baseline exkluderades från studien. Patienter med hög risk för blödning, kardiovaskulära händelser, inklusive de som hade haft någon arteriell tromboembilisk händelse inom 6 månader innan inklusion, exkluderades även från studien.
Demografi och egenskaper vid studiens början balanserades mellan armarna. 77% av patienterna var av asiatiskt ursprung och 22% var av kaukasiskt ursprung. Patienter som behandlades med Cyramza plus erlotinib upplevde statistiskt signifikant samt kliniskt relevant förbättring av progressionsfri överlevnad (PFS) jämfört med patienter som behandlades med placebo plus erlotinib (tabell 12). Resultaten var konsistenta och observerades i alla undergrupper inklusive grupper med exon 19-deletion och exon 21 substitution (L858R), ålder, ras (HR for patienter av kaukasiskt ursprung: 0,618, patienter av asiatisk ursprung HR: 0,638), rökare och aldrig rökare. Totalöverlevnadsdata var omogen vid den primära PFS-analysen (17,6% mognad). RELAY-effektsresultaten visas i tabell 12 och figur 6.
Tabell 12: Summering av effektdata in RELAY – Intent to treat (ITT) population
Förkortningar: KI = konfidens intervall, NR = ej nått Endpoints var alpha-skyddade.
Figur 6: Kaplan-Meier-kurvor över progressionsfri överlevnad för Cyramza plus erlotinib jämfört med placebo plus erlotinib i RELAY
En slutlig analys av total överlevnad, för vilken studien inte hade statistisk styrka utfördes vid 297 händelser händelser/dödsfall (mognad 66,1 %). Den stratifierade överlevnadspulsen var 0,98 [95 % KI 0,78 – 1,24, p = 0,864] med en total överlevnad på 51,1 månader i median [95 % KI 44,85 57,26] för Cyramza plus erlotinib jämfört med 46,0 månader [95 % KI 43,56; 53,03] för placebo plus erlotinib.
REVEL
REVEL, en randomiserad, dubbelblind studie av Cyramza plus docetaxel jämfört med placebo plus docetaxel, utfördes på 1253 patienter med lokalt avancerad eller metastaserad NSCLC av skivepitel- eller icke-skivepiteltyp med sjukdomsprogression under pågående eller efter en platinabaserad behandling. Primärt effektmått var total överlevnad (overall survival, OS). Patienterna randomiserades i förhållandet 1:1 till att få Cyramza plus docetaxel (n=628) eller placebo plus docetaxel (n=625). Randomiseringen stratifierades efter geografiskt område, kön, tidigare underhållsbehandling och ECOG PS. Cyramza 10 mg/kg respektive placebo i kombination med docetaxel 75 mg/m2 administrerades via intravenös infusion dag 1 i en 21-dagarscykel. Studiesite i Östasien administrerade en reducerad dos av docetaxel på 60 mg/m2 var 21:a dag. Patienter som nyligen haft allvarlig lung-, gastrointestinal- eller postoperativ blödning, tecken på CNS-blödning, tumör involverad i större luftväg eller blodkärl, kaviterande tumör, tidigare större blödning eller okontrollerad trombotisk sjukdom exkluderades. Dessutom var patienter som fick någon form av antikoagulantia och/eller kronisk behandling med icke-steroida antiinflammatoriska läkemedel (NSAID) eller andra läkemedel för att förhindra blodpropp, eller de med obehandlade, kliniskt instabila metastaser i hjärna/CNS undantagna. Acetylsalicylsyra i doser upp till 325 mg/dag var tillåtet (se avsnitt 4.4). Ett begränsat antal icke-kaukasiska, därav färgade patienter (2,6%) inkluderades. Därför finns det begränsad erfarenhet av kombinationen av ramucirumab och docetaxel hos dessa patienter med framskriden icke småcellig lungcancer samt hos patienter med nedsatt njurfunktion, hjärt-kärlsjukdom och övervikt.
Patientdemografi och sjukdomskarakteristika vid studiens början var generellt balanserade mellan grupperna: medianåldern var 62 år; 67 % av patienterna var män; 82 % var kaukasier, 13 % asiater; ECOG-PS var 0 för 32 % av patienterna och 1 för 67 % av patienterna; 73 % av patienterna hade icke-skicepitelhistologi och 26 % hade skivepitelhistologi. De vanligaste föregående behandlingarna inkluderade pemetrexed (38 %), gemcitabin (25 %), taxan (24 %) och bevacizumab (14 %); 22 % av patienterna hade tidigare fått underhållsbehandling. Durationen av docetaxelbehandling var i median 14,1 veckor för gruppen som fick ramucirumab och docetaxel (med en median på 4,0 infusioner) och 12,0 veckor för gruppen som fick placebo och docetaxel (med en median på 4,0 infusioner).
Total överlevnad var statistiskt signifikant bättre hos patienter som fick Cyramza plus docetaxel jämfört med patienter som fick placebo plus docetaxel (riskkvot [HR] 0,857; 95 % KI: 0,751-0,979; p=0,024). En ökning av medianöverlevnad på 1,4 månader sågs, till fördel för gruppen Cyramzaplus docetaxel:10,5 månader i gruppen som fick Cyramza plus docetaxel och 9,1 månader i gruppen som fick placebo plus docetaxel. Progressionsfri överlevnad (PFS) var statistiskt signifikant bättre hos patienter som fick Cyramza plus docetaxel jämfört med patienter som fick placebo plus docetaxel (riskkvot [HR] 0,762; 95 % KI: 0,677-0,859; p<0,001). En ökning av median PFS på 1,5 månader sågs, till fördel för gruppen Cyramza plus docetaxel; 4,5 månader i gruppen som fick Cyramza plus docetaxel och 3 månader i gruppen som fick placebo plus docetaxel. Objektiv svarsfrekvens, ORR, (fullständigt svar [CR] + partiellt svar [PR]) var signifikant bättre hos patienter som fick Cyramza plus docetaxel jämfört med patienter som fick placebo plus docetaxel (22,9 % jämfört med 13,6 %, p<0,001). Den primära analysen av livskvalitet visade liknande tid till försämring för samtliga Lung Cancer Symptom Scale (LCSS) poäng mellan behandlingsgrupperna.
En konsekvent förbättring (ramucirumab plus docetaxel jämfört med placebo plus docetaxel) observerades i viktiga subgrupper för PFS och OS. Resultat för OS subgrupper inkluderade följande: icke-skivepitelhistologi (riskkvot [HR] 0,83; 95% KI: 0,71-0,97; median OS [mOS]: 11,1 jämfört med 9,7 månader) och skivepitelhistologi (riskkvot [HR] 0,88; 95% KI: 0,69-1,13; mOS: 9,5 jämfört med 8,2 månader); patienter som tidigare fått underhållsbehandling (riskkvot [HR] 0,69; 95% KI: 0,51-0,93; mOS: 14,4 jämfört med 10,4 månader); tid sedan start av föregående behandling <9 månader (riskkvot [HR] 0,75; 95% KI: 0,64-0,88; mOS: 9,3 jämfört med 7,0 månader); patienter <65 år (riskkvot [HR] 0,74; 95% KI: 0,62-0,87; mOS: 11,3 jämfört med 8,9 månader). En trend mot mindre effekt med stigande ålder har observerats hos patienter som behandlats med ramucirumab plus docetaxel för behandling av avancerad NSCLC med sjukdomsprogression efter platinabaserad kemoterapi (se avsnitt 5.1). Ingen skillnad i effekt mellan behandlingsarmarna har observerats i subgruppen med patienter ≥65 år (OS HR 1,10; 95% KI: 0,89, 1,36; median OS [mOS]: 9.2 jämfört med 9.3 månader, se avsnitt 4.4), patienter som tidigare fått behandling med taxaner (HR 0,81; 95% KI: 0,62-1,07; mOS 10,8 jämfört med 10,4 månader) och de som startat tidigare behandling ≥9 månader (HR 0,95; 95% KI: 0,75-1,2; mOS: 13.7 jämfört med 13,3 månader). Effektresultat visas i tabell 13.
Tabell 13: Sammanfattning av effektdata – ITT population
Förkortningar: KI = konfidensintervall, CR= fullständigt svar, PR= partiellt svar, CMH= Cochran-Mantel-Haenszel
Figur 7: Kaplan-Meier-kurvor för total överlevnad för Cyramza plus docetaxel jämfört med placebo plus docetaxel i REVEL
Figur 8: Kaplan-Meier-kurvor för progressionsfri överlevnad för Cyramza plus docetaxel jämfört med placebo plus docetaxel i REVEL
Hepatocellulärt karcinom
REACH-2
REACH-2 var en global, randomiserad, dubbelblindad studie med Cyramza plus BSC jämfört med placebo plus BSC där 292 HCC-patienter med serum AFP ≥ 400 ng/ml vid studierstart randomiserades (2:1). Patienter som deltog i studien hade sjukdomsprogression på eller efter tidigare sorafenibbehandling eller var intoleranta mot sorafenib. Lämpliga patienter var Child Pugh A (score < 7), kreatininclearance ≥ 60 ml/min och ECOG PS 0 eller 1. Vidare var patienterna antingen i Barcelona Clinic Liver Cancer (BCLC) stadium B och inte längre mottagliga för lokalregionalbehandling eller var BCLC stadium C. Patienter med hjärnmetastaser, leptomeningeal sjukdom, okontrollerad ryggmärgskompression, tidigare eller nuvarande hepatisk encefalopati eller klinisk relevant ascites, allvarlig variceal blödning de 3 senaste månaderna före behandling, eller ventrikel- eller esofagusvaricer med hög blödningsrisk var exkluderade från studien. Det primära effektmåttet var total överlevnad.Tröskeln för förhöjt AFP för inklusion i REACH-2-studien var bestämd utifrån överlevnadsresultatet i en fördefinierad sub-grupp explorativ analys från REACH, en tidigare genomförd, supporterande klinisk fas 3-studie med 565 HCC-patienter som var randomiserade (1:1) antingen till Cyramza plus BSC eller placebo plus BSC, och som hade sjukdomsprogression på eller efter tidigare sorafenibbehandling.
I REACH-2 var basline patientdemografi och sjukdomskarakteristiska generellt balanserat mellan armarna, bortsett från AFP, som var lägre i placeboarmen. Patienter behandlade med Cyramza upplevde en statistiskt signifikant förbättring i OS jämfört med placebo (tabell 14). Det primära effektmåttet i REACH-2 supporterades av en statistikt signifikant förbättring av progressionsfri överlevnad hos patienter behandlade med Cyramza jämfört med placebobehandlade patienter. Den relativa behandlingseffekten (bedömd med HR) av Cyramza jämfört med placebo var generellt konsekvent över subgrupperna, inklusive ålder, etnisk tillhörighet, sjukdomsetiologi och anledning till utsättning av sorafenib (sjukdomsprogression jämfört med intolerans). Ett relevant samband mellan exponering och effekt observerades för ramucirumab i REACH-2 (se avsnitt 5.2). REACH-2 effektresultat visas i tabell 14 och figur 9.
Tabell 14: Sammanfattning av effektdata i REACH-2 – Intent to treat (ITT) population
Förkortningar: KI = konfidensintervall, CR= fullständigt svar, ORR= objektiv svarsfrekvens, PR= partiellt svar
Figur 9: Kaplan-Meier kurvor över total överlevnad för Cyramza jämfört med placebo i REACH-2
Patienter med Eastern Cooperative Oncology Group (ECOG) Performance Status (PS) ≥2
Patienter med ECOG-PS ≥2 exkluderades från de pivotala studierna för alla indikationerna. Säkerheten och effekten för Cyramza hos den här patientpopulationen är således okänd.
Immunogenicitet
Patienter i två fas 3 studier, RAINBOW och REGARD testades ett flertal gånger för antikroppar mot läkemedel (anti drug antibodies, ADA). Prov från 956 patienter testades, 527 patienter behandlade med ramucirumab och 429 patienter behandlade med kontroll. 11 (2,2 %) av patienterna behandlade med ramucirumab och två (0,5 %) av patienterna behandlade med kontroll utvecklade ADA. Inga patienter med ADA drabbades av en infusionsrelaterad reaktion. Inga patienter hade neutraliserande antikroppar mot ramucirumab. Data är otillräckliga för att bedöma effekten av ADA på ramucirumabs effekt eller säkerhet.
Pediatrisk population
Europeiska läkemedelsmyndigheten har beviljat undantag från kravet att skicka in studieresultat för Cyramza för samtliga grupper av den pediatriska populationen för adenokarcinom i magsäcken, adenokarcinom i kolon och rektum, lungcancer och levercancer (information om pediatrisk användning finns i avsnitt 4.2).Säkerhet och farmakokinetik (PK) för ramucirumab som monoterapi har utvärderats i I4T-MC-JVDA, en multicenter öppen fas 1-studie (open-label), på pediatriska och unga vuxna patienter i åldern 1 till 21 år för att bestämma den rekommenderade dosen i fas 2 (RP2D). Studien bestod av två delar. I del A administrerades ramucirumab i en dos av 8 mg/kg eller 12 mg/kg intravenöst under 60 minuter, varannan vecka till 23 patienter med återkommande eller refraktär icke-CNS-tumörer. En maximal tolererad dos uppnåddes inte. RP2D bestämdes vara 12 mg/kg när det gavs varannan vecka. I del B av studien administrerades ramucirumab med RP2D till 6 patienter med recidiverande eller refraktär CNS-tumörer för utvärdering av tolerabilitet i denna population. Inga tumörsvar observerades i varken del A eller B.
Effekt och säkerhet av ramucirumab i kombination med cyklofosfamid och vinorelbin utvärderades mot cyklofosfamid och vinorelbin ensamt i J1S-MCJV01 (JV01), en randomiserad, multicenter, global fas 2-studie på 30 pediatriska patienter och unga vuxna i åldern 36 månader till 29 år med återfallande, återkommande eller refraktär desmoplastisk småcellig tumör (DSRCT). Randomiseringen (2:1) stratifierades genom stadieindelning vid återfall (metastaserad sjukdom kontra lokalt avancerad). JV01 uppfyllde inte förutbestämd endpoint för studien, vilket krävde en 99 % posterior sannolikhet för uppfylla överlägsenhet (HR <1) för att möta kriteriet för interventionen. Vid den slutliga analysen, enligt frekvensistanalysen, var medianen för progressionsfri överlevnad 6,75 månader i den experimentella armen och 1,71 månader i kontrollarmen (HR 0,465 [80 % KI: 0,261; 0,827]). Det var en partiell respons och en fullständig respons i den experimentella armen. En partiell respons och ingen fullständig respons observerades i kontrollarmen. På grund av den begränsade storleken på denna studie är det inte möjligt att dra slutsatsen att fördelarna med användningen överväger riskerna.
Effekt och säkerhet för ramucirumab i kombination med gemcitabin och docetaxel utvärderades mot gemcitabin och docetaxel ensamt i J1S-MC-JV02 (JV02), en randomiserad, multicenter, global fas 2-studie på 23 pediatriska patienter och unga vuxna i åldern 36 månader till 29 år med återfallande, återkommande eller progressivt synovialt sarkom (SS). Randomisering (2:1) stratifierades genom stadieindelning vid återfall (metastaserad sjukdom kontra lokalt avancerad). Studien avslutades utan formell utvärdering av det primära PFS-effektmåttet eftersom JV02 vid den interimistiska futilitetsanalysen inte uppfyllde den förspecifierade konfidensen 60-procent i behandlingsöverlägsenhet (PFS HR på mindre än 1 för SS). Det var en partiell respons och ingen fullständig respons i den experimentella armen. Ingen respons, fullständig eller partiell sådan, observerades i kontrollarmen.
Efter doseringen 8 mg/kg varannan vecka var det geometriska medelvärdet för ramucirumab Cmin i serum före administrering av den fjärde respektive sjunde dosen av ramucirumab, administrerat som monoterapi hos patienter med avancerad magsäckscancer 49,5 μg/ml (intervall 6,3-228 μg/ml) respektive 74,4 μg/ml (intervall 13,8-234 μg/ml). Hos HCC-patienter var det geometrisk medelvärdet för ramucirumab Cmin i serum före administrering av den andra, fjärde och sjunde dosen av ramucirumab 23,5 μg/ml (intervall 2,9‑76,5 μg/ml), 44,1 μg/ml (intervall 4,2‑137 μg/ml) respektive 60,2 μg/ml (intervall 18,3‑123 μg/ml).
Efter doseringen 8 mg/kg varannan vecka i kombination med FOLFIRI var det geometriska medelvärdet för ramucirumab Cmin i serum hos patienter med metastaserad kolorektal cancer 46,3 μg/ml (intervall 7,7-119 μg/ml) respektive 65,1 μg/ml (intervall 14,5-205 μg/ml) före administrering av den tredje respektive den femte dosen av ramucirumab.
Efter doseringen 10 mg/kg var tredje vecka var det geometriska medelvärdet för ramucirumab Cmin i serum hos patienter med NSCLC 28,3 μg/ml (intervall 2,5-108 μg/ml) respektive 38,4 μg/ml (intervall 3,1-128 μg/ml) före administrering av den tredje respektive den femte dosen av ramucirumab, administrerat i kombination med docetaxel.
Efter doseringen 10 mg/kg ramucirumab varannan vecka, var det geometriska medelvärdet för ramucirumab Cmin i serum hos patienter med NSCLC 68,5 μg/ml (intervall 20,3-142 μg/ml) och 85,7 μg/ml (intervall 36,0-197 μg/ml) före administrering av den fjärde respektive sjunde dosen av ramucirumab, administrerat i kombination med erlotinib.
Absorption
Cyramza administreras som en intravenös infusion. Inga studier har utförts med andra administreringssätt.
Distribution
Baserat på populationsfarmakokinetik (PopPK) var den genomsnittliga (% koefficient av variation [CV %]) distributionsvolymen för ramucirumab vid steady state 5,4 l (15 %).
Metabolism
Metabolismen för ramucirumab har inte studerats. Antikroppar elimineras huvudsakligen via katabolism.
Eliminering
Baserat på PopPK var genomsnittlig (CV %) clearance för ramucirumab 0,015 l/timme (30 %) och den genomsnittliga halveringstiden var 14 dagar (20 %).
Tid- och dosberoende
Det fanns ingen tydlig avvikelse från dosproportionalitet i farmakokinetiken för ramucirumab från 6 mg/kg till 20 mg/kg. En ackumuleringskvot på 1,5 observerades för ramucirumab vid dosering varannan vecka. Enligt simuleringar utförda med PopPK-modellen skulle steady-state uppnås vid den sjätte dosen.
Äldre
Baserat på PopPK observerades ingen skillnad i ramucirumabexponering hos patienter ≥65 år jämfört med patienter <65 år.
Nedsatt njurfunktion
Inga specifika studier har utförts för att utvärdera effekt av nedsatt njurfunktion på farmakokinetiken för ramucirumab. Baserat på PopPK var ramucirumabexponeringen likartad hos patienter med lätt nedsatt njurfunktion (kreatininclearance [CrCl] ≥60 till <90 ml/min), måttligt nedsatt njurfunktion (CrCl ≥30 till <60 ml/min) och gravt nedsatt njurfunktion (CrCl 15-29 ml/min) jämfört med patienter med normal njurfunktion (CrCl ≥90 ml/min).
Nedsatt leverfunktion
Inga specifika studier har utförts för att utvärdera effekt av nedsatt leverfunktion på farmakokinetiken för ramucirumab. Baserat på PopPK var ramucirumabexponeringen hos patienter med lätt nedsatt leverfunktion (totalt bilirubin 1,0 1,5 övre normalgränsen (ULN) oavsett ASAT eller totalt bilirubin ≤1,0 ULN och ASAT >ULN) jämförbar med patienter med normal leverfunktion (totalt bilirubin och ASAT ≤ULN). Ramucirumab har inte studerats på patienter med gravt nedsatt leverfunktion (totalt bilirubin >3,0 ULN oavsett ASAT).
Pediatrisk population
Den genomsnittliga maximala koncentrationen var 165 μg/ml efter 8 mg/kg (studie JVDA), 231 μg/ml efter 9 mg/kg (studie JV02), 238 μg/ml (CV % = 35) efter 12 mg/kg (studie JV01) respektive 285 μg/ml (CV % = 26) efter 12 mg/kg (studie JVDA). Dalkoncentrationsvärdet var 41,6 (CV % = 57) och 48,3 μg/ml (CV % = 41) vid dag 15 cykel 1 (n=19) i studie JV01 respektive studie JVDA. Exponering av ramucirumab efter singeldos eller upprepade doser på 8 mg/kg eller 12 mg/kg hos pedriatisk population eller unga vuxna (barn äldre än 12 månader och yngre än 21 år) med refraktära solida tumörer, inclusive CNS-tumörer erhöll liknande exponering som hos vuxna patienter. Vidare var exponeringen av ramucurimab efter en dos på 12 mg/kg liknande mellan åldersintervallen äldre än 12 månader och yngre än 21 år.
Andra särskilda populationer
Baserat på PopPK har följande kovariater ingen påverkan på ramucirumabs disposition: ålder, kön, etnisk tillhörighet, albuminnivå. Dessa och andra undersökta faktorer hade < 20 % effekt på ramucirumabs disposition. Kroppsvikten anses vara en signifikant co-variabel för farmakokinetiken för ramucirumab och stödjer doseringen baserad på kroppsvikt.
Förhållande exponering-respons
Effekt
Analys av exponering-respons indikerar att effekt var korrelerad med exponeringen för ramucirumab i pivotala studier. Effekt, mätt med OS, var associerad med ökad exponering för ramucirumab uppnådd med 8 mg/kg som gavs varannan vecka och med 10 mg/kg ramucirumab som gavs var tredje vecka. En förbättring av PFS associerades med ökad ramucirumab-exponering för avancerad magsäckscancer, NSCLC med sjukdomsprogression efter platinabaserad kemoterapi och mCRC.
I REACH-2-studien med HCC observerades ett relevant samband mellan exponering och effekt för ramucirumab, som visade att endast patienter med en exponering över medianen upplevde en förbättring av OS, jämfört med placebo. Detta förhållande mellan exponering och effekt kvarstod efter att det var justerat för andra prognostiska faktorer. En behandlingseffekt på PFS observerades för alla exponeringsnivåer uppnådd vid administration av 8 mg/kg ramucirumab som gavs varannan vecka. Inget sådant samband observerades i RELAY studien för NSCLC med 10 mg/kg ramucirumab plus erlotinib varannan vecka.
Säkerhet
I RAINBOW ökade incidensen av hypertension, neutropeni och leukopeni av grad ≥3 med högre exponering för ramucirumab.
I RAISE ökade incidensen av neutropeni av grad ≥3 med högre exponering för ramucirumab.
I RELAY sågs inget exponering-säkerhets-samband för de valda säkerhets-endpoints, vilka inkluderade grad ≥3 hypertension, diarré, proteinuri och akneiform dermatit.
I REVEL ökade incidensen av febril neutropeni och hypertension av grad ≥3 med högre exponering för ramucirumab.
I poolad data från REACH-2 och REACH (patienter med alfa-fetaprotein ≥ 400 ng/ml), ökade incidensen av hypertension av grad ≥3 med högre exponering för ramucirumab.
Inga djurstudier har utförts för att testa ramucirumab för eventuell karcinogenicitet eller gentoxicitet.
De målorgan som identifierades i studier av allmäntoxicitet på cynomolgusapor var njurar (glomerulonefrit), skelett (förtjockning av och onormal endokondral benbildning av epifysplatta) och reproduktionsorgan hos honor (minskad vikt på äggstockar och livmoder). En liten inflammation och/eller mononukleär cellinfiltration sågs i flera organ.
Reproduktionsstudier med ramucirumab har inte utförts, men djurmodeller visar en koppling mellan angiogenes, VEGF samt VEGF receptor 2 och viktiga aspekter av reproduktion hos honor, embryofetal och postnatal utveckling. Baserat på verkningsmekanismen för ramucirumab är det troligt att ramucirumab hämmar angiogenes hos djur och får negativa effekter på fertilitet (ovulation), placentautveckling, foster och postnatal utveckling.
En engångsdos av ramucirumab påverkade inte sårläkning hos apor på en incisionsmodell av hud i normal tjocklek.
Efter spädning
Om beredningsföreskrifterna har följts innehåller infusionslösningar av Cyramza inga antimikrobiella konserveringsmedel.
Kemisk och fysikalisk stabilitet för färdigberedd Cyramza i natriumklorid 9 mg/ml (0,9 %) injektionslösning har påvisats i 24 timmar vid 2 ºC till 8 ºC eller i 4 timmar vid 25 ºC. Ur mikrobiologiskt perspektiv ska läkemedlet användas omedelbart. Om det inte används omedelbart är förvaringstid och förvaringsförhållanden före användning användarens ansvar och ska normalt inte överstiga 24 timmar vid 2 ºC till 8 ºC, om inte spädning skett under kontrollerade och validerade aseptiska förhållanden.
Förvaras i kylskåp (2 ºC - 8 ºC).
Får ej frysas.
Förvara injektionsflaskan i ytterkartongen. Ljuskänsligt.
Förvaringsanvisningar för läkemedlet efter spädning finns i avsnitt 6.3.
10 ml lösning i en injektionsflaska (typ I glas) med en propp av klorbutylgummi, en aluminiumförsegling och ett polypropylenlock.
50 ml lösning i en injektionsflaska (typ I glas) med en propp av klorbutylgummi, en aluminiumförsegling och ett polypropylenlock.
Förpackning med 1 injektionsflaska à 10 ml.
Förpackning med 2 injektionsflaskor à 10 ml.
Förpackning med 1 injektionsflaska à 50 ml.
Eventuellt kommer inte alla förpackningsstorlekar att marknadsföras.
Skaka inte injektionsflaskan.
Förbered infusionslösningen med aseptisk teknik för att garantera att den beredda lösningen är steril.
En injektionsflaska är endast avsedd för engångsbruk. Inspektera innehållet i injektionsflaskan för att upptäcka partiklar och missfärgning (koncentratet till infusionslösningen ska vara klart till lätt opalescent och färglöst till lätt gulaktigt utan synliga partiklar) före spädning. Om injektionsflaskan innehåller partiklar eller missfärgning ska den kasseras.
Beräkna den dos och volym av ramucirumab som krävs för att bereda infusionslösningen. Injektionsflaskorna innehåller antingen 100 mg eller 500 mg som en 10 mg/ml lösning av ramucirumab. Använd bara natriumklorid 9 mg/ml (0,9 %) injektionslösning som spädningsmedel.
Vid användning av en förfylld infusionsförpackning för intravenöst bruk
Baserat på beräknad volym av ramucirumab, ta bort motsvarande volym av natriumklorid 9 mg/ml (0,9 %) injektionslösning från den förfyllda 250 ml förpackningen för intravenös infusion. Överför den beräknade volymen av ramucirumab med aspetisk teknik till infusionsförpackningen. Den slutliga volymen i infusionsförpackningen ska vara 250 ml. Infusionsförpackningen ska vändas försiktigt för att säkerställa adekvat blandning. Infusionslösningen får ej frysas eller skakas. Späd inte med andra lösningar och infundera inte tillsammans med andra elektrolyter eller läkemedel.
Vid användning av en tom infusionsförpackning för intravenöst bruk
Överför den beräknade volymen av ramucirumab med aspetisk teknik till den tomma infusionsförpackningen. Tillför tillräcklig mängd natriumklorid 9 mg/ml (0,9 %) injektionslösning till infusionsförpackningen för att erhålla totalvolymen 250 ml. Infusionsförpackningen ska vändas försiktigt för att säkerställa adekvat blandning. Infusionslösningen får ej frysas eller skakas. Späd inte med andra lösningar och infundera inte tillsammans med andra elektrolyter eller läkemedel.
Parenterala läkemedel ska inspekteras visuellt för att upptäcka partiklar före administrering. Om partiklar upptäcks ska infusionslösningen kasseras.
Kassera all oanvänd ramucirumab som är kvar i injektionsflaskan eftersom produkten inte innehåller antimikrobiella konserveringsmedel.
Administrera via infusionspump. En separat infusionsslang med ett proteinbesparande filter med storleken 0,22 mikrometer måste användas för infusionen och slangen måste spolas med natriumklorid 9 mg/ml (0,9 %) injektionslösning efter avslutad infusion.
Ej använt läkemedel och avfall skall kasseras enligt gällande anvisningar.
Histidin
Histidinmonohydroklorid
Natriumklorid
Glycin (E640)
Polysorbat 80 (E433)
Vatten för injektionsvätskor
Cyramza ska inte administreras eller blandas med glukoslösningar.
Detta läkemedel får inte blandas med andra läkemedel förutom de som nämns i avsnitt 6.6.
Oöppnad injektionsflaska
3 år
Efter spädning
Om beredningsföreskrifterna har följts innehåller infusionslösningar av Cyramza inga antimikrobiella konserveringsmedel.
Kemisk och fysikalisk stabilitet för färdigberedd Cyramza i natriumklorid 9 mg/ml (0,9 %) injektionslösning har påvisats i 24 timmar vid 2 ºC till 8 ºC eller i 4 timmar vid 25 ºC. Ur mikrobiologiskt perspektiv ska läkemedlet användas omedelbart. Om det inte används omedelbart är förvaringstid och förvaringsförhållanden före användning användarens ansvar och ska normalt inte överstiga 24 timmar vid 2 ºC till 8 ºC, om inte spädning skett under kontrollerade och validerade aseptiska förhållanden.
Förvaras i kylskåp (2 ºC - 8 ºC).
Får ej frysas.
Förvara injektionsflaskan i ytterkartongen. Ljuskänsligt.
Förvaringsanvisningar för läkemedlet efter spädning finns i avsnitt 6.3.
10 ml lösning i en injektionsflaska (typ I glas) med en propp av klorbutylgummi, en aluminiumförsegling och ett polypropylenlock.
50 ml lösning i en injektionsflaska (typ I glas) med en propp av klorbutylgummi, en aluminiumförsegling och ett polypropylenlock.
Förpackning med 1 injektionsflaska à 10 ml.
Förpackning med 2 injektionsflaskor à 10 ml.
Förpackning med 1 injektionsflaska à 50 ml.
Eventuellt kommer inte alla förpackningsstorlekar att marknadsföras.
Skaka inte injektionsflaskan.
Förbered infusionslösningen med aseptisk teknik för att garantera att den beredda lösningen är steril.
En injektionsflaska är endast avsedd för engångsbruk. Inspektera innehållet i injektionsflaskan för att upptäcka partiklar och missfärgning (koncentratet till infusionslösningen ska vara klart till lätt opalescent och färglöst till lätt gulaktigt utan synliga partiklar) före spädning. Om injektionsflaskan innehåller partiklar eller missfärgning ska den kasseras.
Beräkna den dos och volym av ramucirumab som krävs för att bereda infusionslösningen. Injektionsflaskorna innehåller antingen 100 mg eller 500 mg som en 10 mg/ml lösning av ramucirumab. Använd bara natriumklorid 9 mg/ml (0,9 %) injektionslösning som spädningsmedel.
Vid användning av en förfylld infusionsförpackning för intravenöst bruk
Baserat på beräknad volym av ramucirumab, ta bort motsvarande volym av natriumklorid 9 mg/ml (0,9 %) injektionslösning från den förfyllda 250 ml förpackningen för intravenös infusion. Överför den beräknade volymen av ramucirumab med aspetisk teknik till infusionsförpackningen. Den slutliga volymen i infusionsförpackningen ska vara 250 ml. Infusionsförpackningen ska vändas försiktigt för att säkerställa adekvat blandning. Infusionslösningen får ej frysas eller skakas. Späd inte med andra lösningar och infundera inte tillsammans med andra elektrolyter eller läkemedel.
Vid användning av en tom infusionsförpackning för intravenöst bruk
Överför den beräknade volymen av ramucirumab med aspetisk teknik till den tomma infusionsförpackningen. Tillför tillräcklig mängd natriumklorid 9 mg/ml (0,9 %) injektionslösning till infusionsförpackningen för att erhålla totalvolymen 250 ml. Infusionsförpackningen ska vändas försiktigt för att säkerställa adekvat blandning. Infusionslösningen får ej frysas eller skakas. Späd inte med andra lösningar och infundera inte tillsammans med andra elektrolyter eller läkemedel.
Parenterala läkemedel ska inspekteras visuellt för att upptäcka partiklar före administrering. Om partiklar upptäcks ska infusionslösningen kasseras.
Kassera all oanvänd ramucirumab som är kvar i injektionsflaskan eftersom produkten inte innehåller antimikrobiella konserveringsmedel.
Administrera via infusionspump. En separat infusionsslang med ett proteinbesparande filter med storleken 0,22 mikrometer måste användas för infusionen och slangen måste spolas med natriumklorid 9 mg/ml (0,9 %) injektionslösning efter avslutad infusion.
Ej använt läkemedel och avfall skall kasseras enligt gällande anvisningar.
Produktresumén är företagets information om läkemedlet riktat till förskrivare och personal inom sjukvård och apotek. Dokumentet är godkända av Läkemedelsverket eller den europeiska läkemedelsmyndigheten EMA i samband med att läkemedlet godkänns för marknadsföring.