Lyxumia 10 mikrogram injektionsvätska, lösning
Lyxumia 20 mikrogram injektionsvätska, lösning
Lyxumia 10 mikrogram injektionsvätska, lösning
Varje dos (0,2 ml) innehåller 10 mikrogram (μg) lixisenatid (50 mikrogram per ml).
Lyxumia 20 mikrogram injektionsvätska, lösning
Varje dos (0,2 ml) innehåller 20 mikrogram (μg) lixisenatid (100 mikrogram per ml).
Hjälpämne med känd effekt:Varje dos innehåller 540 mikrogram metakresol.
För fullständig förteckning över hjälpämnen, se avsnitt 6.1.
Injektionsvätska, lösning.Klar, färglös vätska.
Sanofi Winthrop Industrie
82 avenue Raspail
94250 Gentilly
Frankrike
Lyxumia 10 mikrogram injektionsvätska, lösning
EU/1/12/811/001 (1 förfylld penna)
Lyxumia 20 mikrogram injektionsvätska, lösning
EU/1/12/811/002 (1 förfylld penna)
EU/1/12/811/003 (2 förfyllda pennor)
EU/1/12/811/004 (6 förfyllda pennor)
Första godkännandet: 1 februari 2013
Förnyat godkännande: 18 september 2017
2023-05-04
Särskilda patientgrupper
Äldre
Ingen dosjustering behövs på grund av ålder.
Patienter med nedsatt njurfunktion
Ingen dosjustering är nödvändig hos patienter med lätt eller måttligt nedsatt njurfunktion.
Det finns ingen terapeutisk erfarenhet hos patienter med gravt nedsatt njurfunktion (kreatininclearance mindre än 30 ml/min) eller njursjukdom i sluttadiet och därför rekommenderas inte lixisenatid hos dessa patientgrupper (se avsnitt 5.2).
Patienter med nedsatt leverfunktionIngen dosjustering krävs hos patienter med nedsatt leverfunktion (se avsnitt 5.2).
Pediatrisk populationSäkerhet och effekt för lixisenatid hos barn och ungdomar under 18 år har inte fastställts (se avsnitt 5.1.) Inga data finns tillgängliga.
AdministreringssättLyxumia ska injiceras subkutant i låret, buken eller överarmen. Lyxumia ska inte administreras intravenöst eller intramuskulärt.
Injektionen administreras en gång dagligen, inom en timme före valfri måltid under dagen. När den lämpligaste måltiden för dosering har valts är det att föredra att den prandiella injektionen med Lyxumia tas före samma måltid varje dag. Om en dos missas ska den injiceras inom en timme innan nästa måltid.
Överkänslighet mot den aktiva substansen eller mot något hjälpämne som anges i avsnitt 6.1.
Det finns ingen terapeutisk erfarenhet av lixisenatid hos patienter med typ 1-diabetes mellitus och det ska därför inte användas hos dessa patienter. Lixisenatid ska inte användas för behandling av diabetesketoacidos.
Akut pankreatitAnvändning av glukagonliknande peptid‑1 (GLP‑1)-receptoragonister har associerats med risk att utveckla akut pankreatit. Det har förekommit några få rapporterade fall av akut pankreatit med lixisenatid även om ett orsakssamband inte har fastställts. Patienter bör informeras om de karaktäristiska symtomen på akut pankreatit: ihållande, svår magsmärta. Vid misstänkt pankreatit ska behandling med lixisenatid avbrytas. Om akut pankreatit bekräftas ska behandling med lixisenatid inte återupptas. Försiktighet ska iakttas hos patienter med pankreatit i anamnesen.
Svår gastrointestinal sjukdomAnvändning av GLP‑1-receptoragonister kan vara associerat med gastrointestinala biverkningar. Lixisenatid har inte studerats hos patienter med svår gastrointestinal sjukdom, inklusive svår gastropares och därför rekommenderas inte lixisenatid hos dessa patienter.
Nedsatt njurfunktionDet finns ingen terapeutisk erfarenhet hos patienter med gravt nedsatt njurfunktion (kreatininclearance mindre än 30 ml/min) eller njursjukdom i slutstadiet. Användning rekommenderas inte hos patienter med gravt nedsatt njurfunktion eller njursjukdom i slutstadiet (se avsnitt 4.2 och 5.2).
HypoglykemiPatienter som får Lyxumia med en sulfonureid eller ett basinsulin kan ha ökad risk för hypoglykemi.Minskning av dosen sulfonureid eller basinsulin kan övervägas för att minska risken för hypoglykemi (se avsnitt 4.2). Lixisenatid ska inte ges i kombination med basinsulin och sulfonureid på grund av ökad risk för hypoglykemi.
Samtidig användning av andra läkemedelFördröjningen av magtömningen vid lixisenatidbehandling kan minska absorptionshastigheten av oralt administrerade läkemedel. Lixisenatid ska ges med försiktighet hos patienter som får oralt administrerade läkemedel som kräver snabb gastrointestinal absorption, noggrann klinisk övervakning eller som har snävt terapeutiskt index. Särskilda rekommendationer angående sådana läkemedel ges under avsnitt 4.5.
Populationer som inte studeratsLixisenatid har inte studerats i kombination med dipeptidylpeptidas‑4-hämmare.
DehydreringPatienter som behandlas med lixisenatid ska informeras om den potentiella risken för dehydrering i samband med gastrointestinala biverkningar och vidta åtgärder för att undvika vätskebrist.
HjälpämnenDetta läkemedel innehåller metakresol vilket kan orsaka allergiska reaktioner.
Detta läkemedel innehåller mindre än 1 mmol natrium (23 mg) per dos, d.v.s. är näst intill “natriumfritt”.
Lixisenatid är en peptid och metaboliseras inte av cytokrom P450. I in vitro-studier påverkade inte lixisenatid aktiviteten hos cytokrom P450-enzymer eller humana transportpoteiner som testades. Fördröjningen av magtömningen vid lixisenatidbehandling kan minska absorptionshastigheten av oralt administrerade läkemedel. Patienter som får läkemedel med antingen snävt terapeutiskt index eller läkemedel som kräver noggrann klinisk övervakning ska följas noggrant, särskilt vid initiering av behandling med lixisenatid. Dessa läkemedel ska tas på ett standardiserat sätt i förhållande till lixisenatid. Om sådana läkemedel ska ges med mat, ska patienterna rådas att om möjligt ta dem med en måltid då lixisenatid inte tas.För orala läkemedel som är särskilt beroende av tröskelkoncentrationer för effekt, såsom antibiotika, ska patienter rådas att ta dessa läkemedel minst 1 timme innan eller 4 timmar efter lixisenatidinjektion.
Magsaftsresistenta beredningar som innehåller substanser som är känsliga för nedbrytning i magen, ska tas 1 timme före eller 4 timmar efter lixisenatidinjektion.
ParacetamolParacetamol användes som ett modelläkemedel för att utvärdera lixisenatids effekt på magtömning. Efter administrering av 1000 mg paracetamol var AUC och t½ för paracetamol oförändrade oavsett tidpunkt för administrering (före eller efter lixisenatidinjektion). Vid administrering 1 eller 4 timmar efter injektion med 10 mikrogram lixisenatid, minskades Cmax för paracetamol med 29 % respektive 31 % och medianvärdet för tmax fördröjdes med 2,0 respektive 1,75 timmar. En ytterligare fördröjning av tmax och minskning av Cmax för paracetamol har förutsetts med underhållsdosen på 20 mikrogram.Ingen påverkan på Cmax och tmax för paracetamol observerades då paracetamol administrerades 1 timme innan lixisenatid.Baserat på dessa resultat krävs ingen dosjustering av paracetamol men fördröjningen av tmax observerad när paracetamol administreras 1-4 timmar efter lixisenatid ska beaktas när snabbt insättande av effekt krävs.
Orala preventivmedelEfter administrering av en singeldos av ett oralt preventivläkemedel (etinylestradiol 0,03 mg/levonorgestrel 0,15 mg) 1 timme före eller 11 timmar efter 10 mikrogram lixisenatid, var Cmax, AUC, t½ och tmax för etinylestradiol och levonorgestrel oförändrade.Administrering av det orala preventivmedlet 1 timme före eller 4 timmar efter lixisenatid påverkade inte AUC och t½, för etinylestradiol och levonorgestrel, medan Cmax för etinylestradiol minskade med 52 % respektive 39 % och Cmax för levonorgestrel minskade med 46 % respektive 20 % och medianvärdet för tmax fördröjdes med 1 till 3 timmar.Minskning av Cmax har begränsad klinisk relevans och ingen dosjustering av orala preventivmedel krävs.
AtorvastatinNär lixisenatid 20 mikrogram och atorvastatin 40 mg administrerades samtidigt på morgonen i 6 dagar, påverkades inte exponeringen av atorvastatin, medan Cmax minskade med 31 % och tmax fördröjdes med 3,25 timmar. Ingen sådan ökning av tmax observerades när atorvastatin administrerades på kvällen och lixisenatid på morgonen men AUC och Cmax för atorvastatin ökade med 27 % respektive 66 %.Dessa förändringar är inte kliniskt relevanta och därför krävs ingen dosjustering av atorvastatin när det administreras samtidigt med lixisenatid.
Warfarin och andra kumarinderivatEfter samtidig administrering av warfarin 25 mg med upprepad dosering av lixisenatid 20 mikrogram, påverkades inte AUC eller INR (International Normalised Ratio) medan Cmax reducerades med 19 % och tmax fördröjdes med 7 timmar.Baserat på dessa resultat krävs ingen dosjustering av warfarin när det administreras samtidigt med lixisenatid, INR rekommenderas dock att följas noga hos patienter som får warfarin och/eller kumarinderivat vid initiering eller avslutande av behandling med lixisenatid.
DigoxinEfter samtidig administrering av lixisenatid 20 mikrogram och digoxin 0,25 mg vid jämviktskoncentration, påverkades inte AUC för digoxin. tmax för digoxin fördröjdes med 1,5 timmar och Cmax reducerades med 26 %.Baserat på dessa resultat krävs ingen dosjustering av digoxin när det administreras samtidigt med lixisenatid.
RamiprilEfter samtidig administrering av lixisenatid 20 mikrogram och ramipril 5 mg under 6 dagar ökade AUC för ramipril med 21 % medan Cmax minskade med 63 %. AUC och Cmax för den aktiva metaboliten (ramiprilat) påverkades inte. tmax för ramipril och ramiprilat fördröjdes med ca 2,5 timmar.Baserat på dessa resultat krävs ingen dosjustering av ramipril när det administreras samtidigt med lixisenatid.
Fertila kvinnorLyxumia rekommenderas inte hos fertila kvinnor som inte använder preventivmedel.
GraviditetDet finns inte tillräckliga data från användning av Lyxumia hos gravida kvinnor. Djurstudier har visat på reproduktionstoxikologiska effekter (se avsnitt 5.3). Den potentiella risken för människa okänd. Lyxumia ska inte användas under graviditet. Användning av insulin rekommenderas i stället. Om en patient önskar bli gravid, eller blir gravid, ska Lyxumiabehandling avbrytas.
AmningDet är inte känt huruvida Lyxumia utsöndras i bröstmjölk hos människa. Lyxumia ska inte användas vid amning.
FertilitetDjurstudier tyder inte på direkt skadliga effekter med avseende på fertilitet.
Lixisenatid har ingen eller mycket liten effekt på förmågan att framföra fordon och använda maskiner. Då det används i kombination med en sulfonureid eller basinsulin ska patienter rådas att vidta försiktighetsåtgärder för att undvika hypoglykemi vid bilkörning och användning av maskiner.
Sammanfattning av säkerhetsprofilenÖver 2600 patiener har fått Lyxumia antingen ensamt eller i kombination med metformin, en sulfonureid (med eller utan metformin) eller ett basinsulin (med eller utan metformin, eller med eller utan en sulfonureid) i 8 stora placebokontrollerade eller aktivt kontrollerade fas III-studier.
De mest frekvent rapporterade biverkningarna under kliniska studier var illamående, kräkning och diarré. Dessa reaktioner var mestadels lindriga och övergående.Dessutom förekom hypoglykemi (när Lyxumia användes i kombination med en sulfonureid och/eller ett basinsulin) samt huvudvärk.Allergiska reaktioner har rapporterats hos 0,4 % av patienter behandlade med Lyxumia.
Lista över biverkningar i tabellformBiverkningar som rapporterats i placebokontrollerade och aktivt kontrollerade fas III-studier under hela behandlingsperioden presenteras i tabell 1. Tabellen presenterar biverkningar som inträffade med en incidens på >5 % om frekvensen var högre hos patienter behandlade med Lyxumia än hos patienter behandlade med alla jämförelseläkemedel. Tabellen inkluderar också biverkningar med en frekvens på ≥1 % i Lyxumiagruppen om frekvensen var större än dubbla frekvensen för alla i gruppen av jämförelseläkemedel.
Frekvenser för biverkningar definieras som: mycket vanliga (≥1/10), vanliga (≥1/100, <1/10), mindre vanliga (≥1/1 000, <1/100), sällsynta (≥1/10 000, <1/1 000), mycket sällsynta (<1/10 000).Inom varje organklass presenteras biverkningar i fallande frekvensordning.
Tabell 1: Biverkningar som rapporterats i placebo- och aktivt kontrollerade fas III-studier över hela behandlingsperioden (inklusive perioden utöver den huvudsakliga behandlingsperioden på 24 veckor i studier med ≥76 veckors total behandling).
Beskrivning av utvalda biverkningar
HypoglykemiHos patienter som använder Lyxumia som monoterapi, förekom symtomatisk hypoglykemi hos 1,7 % av patienter behandlade med lixisenatid och hos 1,6 % hos patienter behandlade med placebo. När Lyxumia används i kombination med enbart metformin, förekom symtomatisk hypoglykemi hos 7,0 % av lixisenatidpatienterna och hos 4,8 % av placebopatienterna under hela behandlingsperioden.
Hos patienter som tar Lyxumia i kombination med en sulfonureid och metformin, inträffade symtomatisk hypoglykemi hos 22,0 % av patienter behandlade med lixisenatid och hos 18,4 % hos patienter behandlade med placebo under hela behandlingsperioden (3,6 % absolut skillnad). När Lyxumia används i kombination med ett basinsulin med eller utan metformin, inträffade symtomatisk hypoglykemi hos 42,1 % av lixisenatidpatienter och hos 38,9 % hos placebopatienter under hela behandlingsperioden (3,2 % absolut skillnad).
Under hela behandlingsperioden, när Lyxumia gavs med en sulfonureid ensamt, förekom symtomatisk hypoglykemi hos 22,7 % av lixisenatidbehandlade patienter gentemot 15,2 % med placebo (7,5 % absolut skillnad). När Lyxumia gavs med en sulfonureid och ett basinsulin, förekom symtomatisk hypoglykemi hos 47,2 % av lixisenatidbehandlade patienter jämfört med 21,6 % hos placebo (25,6 % absolut skillnad).
Generellt var förekomsten av svår symtomatisk hypoglykemi ovanlig (0,4 % hos lixisenatidpatienter och 0,2 % hos placebopatienter) under hela behandlingsperioden i de placebokontrollerade fas III-studierna.
Gastrointestinala besvärIllamående och kräkningar var de mest frekvent rapporterade biverkningarna under den huvudsakliga behandlingsperioden på 24 veckor. Förekomsten av illamående var högre i lixisenatidgruppen (26,1 %) jämfört med placebogruppen (6,2 %) och förekomsten av kräkningar var högre i lixisenatidgruppen (10,5 %) än i placebogruppen (1,8 %). De var huvudsakligen lindriga och övergående och inträffade under de första 3 veckorna efter behandlingsstart. Därefter avtog de successivt under de efterföljande veckorna.
Reaktioner vid injektionsställetReaktioner vid injektionsstället rapporterades hos 3,9 % av patienterna som fick Lyxumia medan de rapporterades hos 1,4 % av patienterna som fick placebo under den huvudsakliga behandlingsperioden på 24 veckor. Huvuddelen av reaktionerna var lindriga i intensitet och resulterade vanligtvis inte i avbrytande av behandlingen.
ImmunogenicitetI överensstämmelse med de potentiellt immunogena egenskaperna hos läkemedel som innehåller proteiner eller peptider, kan patienter utveckla antikroppar mot lixisenatid vid behandling med Lyxumia och vid slutet av den huvudsakliga huvudbehandlingsperioden på 24 veckor i placebokontrollerade studier hade 69,8 % av lixisenatidpatienterna en positiv antikroppsstatus. Procentandelen patienter med positivt antikroppsstatus var liknande vid slutet av hela behandlingsperioden på 76 veckor. Vid slutet av den huvudsakliga behandlingsperioden på 24 veckor hade 32,2 % av patienterna med positivt antikroppsstatus en antikroppskoncentration som var över den lägre kvantifieringsgränsen och vid slutet av hela behandlingsperioden på 76 veckor hade 44,7 % av patienterna som utvecklat antikroppar en antikroppskoncentration som var över den lägre kvantifieringsgränsen. Efter att behandlingen avslutats, följdes få patienter med positiv antikroppsstatus upp angående antikroppsstatus, procenttalet minskade till ca 90 % inom tre månader och 30 % vid 6 månader eller längre.Förändringen i HbA1c (angivet i DCCT) från baseline var liknande oavsett antikroppsstatus (positiv eller negativ). Av lixisenatidbehandlade patienter med HbA1c värde hade 79,3 % antingen en negativ antikroppsstatus eller en antikroppskoncentration under kvantifieringsgränsen, och de andra 20,7 % av patienterna hade en kvantifierad antikroppskoncentration. I subgruppen patienter (5,2 %) med med de högsta antikroppskoncentrationerna var den genomsnittliga förbättringen i HbA1c vid vecka 24 och vid vecka 76 i ett kliniskt relevant omfång, det fanns dock variabilitet i det glykemiska svaret och 1,9 % hade ingen sänkning i HbA1c.Antikroppsstatus (positivt eller negativt) är inte prediktivt för minskning av HbA1c för en individuell patient.
Det var ingen skillnad i den generella säkerhetsprofilen hos patienter oavsett antikroppsstatus, med undantag för en ökning av förekomsten av reaktioner vid injektionsstället (4,7 % hos patienter med antikroppar jämfört med 2,5 % hos patienter utan antikroppar under hela behandlingsperioden). Huvuddelen av reaktioner vid injektionsstället var lindriga, oavsett antikroppsstatus.
Det fanns ingen korsreaktivitiet gentemot vare sig glukagon eller endogent GLP‑1.
Allergiska reaktionerAllergiska reaktioner sannolikt associerade med lixisenatid (såsom anafylaktisk reaktion, angioödem och urtikaria) har rapporterats hos 0,4 % av lixisenatidpatienter medan sannolikt associerade allergiska reaktioner inträffade hos mindre än 0,1 % hos placebopatienter under den huvudsakliga behandlingsperioden på 24 veckor. Anafylaktiska reaktioner rapporterades hos 0,2 % av lixisenatidbehandlade patienter jämfört med inga i placebogruppen. De flesta av dessa rapporterade allergiska reaktioner var milda i svårighetsgrad.Ett fall av anafylaktisk reaktion rapporterades under klinisk prövning med lixisenatid.
HjärtfrekvensI en studie på friska frivilliga sågs en kortvarig ökning i hjärtfrekvens efter administrering av 20 mikrogram lixisenatid. Hjärtarrytmier speciellt takykardi (0,8 % jämfört med <0,1 %) och palpitationer (1,5 % jämfört med 0,8 %) har rapporterats hos lixisendatidpatienter jämfört med placebopatienter.
UtsättningFörekomsten av avbrytande av behandling på grund av biverkningar var 7,4 % för Lyxumia jämfört med 3,2 % i placebogruppen under den huvudsakliga behandlingsperioden på 24 veckor. Den vanligaste biverkningen som ledde till avbrytande av behandlingen i lixisenatidgruppen var illamående (3,1 %) och kräkningar (1,2 %).
Vid kliniska studier administrerades doser upp till 30 mikrogram lixisenatid två gånger dagligen till typ 2-diabetespatienter i en 13-veckors studie. En ökad förekomst av gastrointestinala besvär observerades.I händelse av överdosering ska lämplig understödjande behandling initieras på grundval av patientens kliniska tecken och symtom och lixisenatiddosen ska reduceras till förskriven dos.
Lyxumia är indicerat för behandling hos vuxna med diabetes mellitus typ 2 för att uppnå glykemisk kontroll i kombination med orala glukossänkande läkemedel och/eller basinsulin när dessa i kombination med diet och motion inte ger tillräcklig glykemisk kontroll (se avsnitt 4.4 och 5.1 för tillgängliga data angående de olika kombinationerna).
Dosering
Startdos: behandlingen initieras med 10 mikrogram lixisenatid en gång dagligen i 14 dagar.Underhållsdos: en fast underhållsdos på 20 mikrogram lixisenatid en gång dagligen startas dag 15.
För startdosen finns Lyxumia 10 mikrogram injektionsvätska, lösning tillgänglig.
För underhållsdosen finns Lyxumia 20 mikrogram injektionsvätska, lösning tillgänglig.
När Lyxumia läggs till befintlig metforminbehandling kan metformindosen behållas oförändrad.När Lyxumia läggs till befintlig sulfonureid- eller basinsulinbehandling, kan en minskning av dosen sulfonureid eller basinsulin övervägas för att minska risken för hypoglykemi. Lyxumia ska inte ges i kombination med basinsulin och sulfonureid på grund av ökad risk för hypoglykemi (se avsnitt 4.4).Användning av Lyxumia kräver ingen särskild blodglukoskontroll. När det används i kombination med sulfonureid eller basinsulin kan dock blodglukoskontroll eller egenkontroll av blodglukos bli nödvändigt för att justera sulfonureid- eller basinsulindosen.
Särskilda patientgrupper
Äldre
Ingen dosjustering behövs på grund av ålder.
Patienter med nedsatt njurfunktion
Ingen dosjustering är nödvändig hos patienter med lätt eller måttligt nedsatt njurfunktion.
Det finns ingen terapeutisk erfarenhet hos patienter med gravt nedsatt njurfunktion (kreatininclearance mindre än 30 ml/min) eller njursjukdom i sluttadiet och därför rekommenderas inte lixisenatid hos dessa patientgrupper (se avsnitt 5.2).
Patienter med nedsatt leverfunktionIngen dosjustering krävs hos patienter med nedsatt leverfunktion (se avsnitt 5.2).
Pediatrisk populationSäkerhet och effekt för lixisenatid hos barn och ungdomar under 18 år har inte fastställts (se avsnitt 5.1.) Inga data finns tillgängliga.
AdministreringssättLyxumia ska injiceras subkutant i låret, buken eller överarmen. Lyxumia ska inte administreras intravenöst eller intramuskulärt.
Injektionen administreras en gång dagligen, inom en timme före valfri måltid under dagen. När den lämpligaste måltiden för dosering har valts är det att föredra att den prandiella injektionen med Lyxumia tas före samma måltid varje dag. Om en dos missas ska den injiceras inom en timme innan nästa måltid.
Överkänslighet mot den aktiva substansen eller mot något hjälpämne som anges i avsnitt 6.1.
Det finns ingen terapeutisk erfarenhet av lixisenatid hos patienter med typ 1-diabetes mellitus och det ska därför inte användas hos dessa patienter. Lixisenatid ska inte användas för behandling av diabetesketoacidos.
Akut pankreatitAnvändning av glukagonliknande peptid‑1 (GLP‑1)-receptoragonister har associerats med risk att utveckla akut pankreatit. Det har förekommit några få rapporterade fall av akut pankreatit med lixisenatid även om ett orsakssamband inte har fastställts. Patienter bör informeras om de karaktäristiska symtomen på akut pankreatit: ihållande, svår magsmärta. Vid misstänkt pankreatit ska behandling med lixisenatid avbrytas. Om akut pankreatit bekräftas ska behandling med lixisenatid inte återupptas. Försiktighet ska iakttas hos patienter med pankreatit i anamnesen.
Svår gastrointestinal sjukdomAnvändning av GLP‑1-receptoragonister kan vara associerat med gastrointestinala biverkningar. Lixisenatid har inte studerats hos patienter med svår gastrointestinal sjukdom, inklusive svår gastropares och därför rekommenderas inte lixisenatid hos dessa patienter.
Nedsatt njurfunktionDet finns ingen terapeutisk erfarenhet hos patienter med gravt nedsatt njurfunktion (kreatininclearance mindre än 30 ml/min) eller njursjukdom i slutstadiet. Användning rekommenderas inte hos patienter med gravt nedsatt njurfunktion eller njursjukdom i slutstadiet (se avsnitt 4.2 och 5.2).
HypoglykemiPatienter som får Lyxumia med en sulfonureid eller ett basinsulin kan ha ökad risk för hypoglykemi.Minskning av dosen sulfonureid eller basinsulin kan övervägas för att minska risken för hypoglykemi (se avsnitt 4.2). Lixisenatid ska inte ges i kombination med basinsulin och sulfonureid på grund av ökad risk för hypoglykemi.
Samtidig användning av andra läkemedelFördröjningen av magtömningen vid lixisenatidbehandling kan minska absorptionshastigheten av oralt administrerade läkemedel. Lixisenatid ska ges med försiktighet hos patienter som får oralt administrerade läkemedel som kräver snabb gastrointestinal absorption, noggrann klinisk övervakning eller som har snävt terapeutiskt index. Särskilda rekommendationer angående sådana läkemedel ges under avsnitt 4.5.
Populationer som inte studeratsLixisenatid har inte studerats i kombination med dipeptidylpeptidas‑4-hämmare.
DehydreringPatienter som behandlas med lixisenatid ska informeras om den potentiella risken för dehydrering i samband med gastrointestinala biverkningar och vidta åtgärder för att undvika vätskebrist.
HjälpämnenDetta läkemedel innehåller metakresol vilket kan orsaka allergiska reaktioner.
Detta läkemedel innehåller mindre än 1 mmol natrium (23 mg) per dos, d.v.s. är näst intill “natriumfritt”.
Lixisenatid är en peptid och metaboliseras inte av cytokrom P450. I in vitro-studier påverkade inte lixisenatid aktiviteten hos cytokrom P450-enzymer eller humana transportpoteiner som testades. Fördröjningen av magtömningen vid lixisenatidbehandling kan minska absorptionshastigheten av oralt administrerade läkemedel. Patienter som får läkemedel med antingen snävt terapeutiskt index eller läkemedel som kräver noggrann klinisk övervakning ska följas noggrant, särskilt vid initiering av behandling med lixisenatid. Dessa läkemedel ska tas på ett standardiserat sätt i förhållande till lixisenatid. Om sådana läkemedel ska ges med mat, ska patienterna rådas att om möjligt ta dem med en måltid då lixisenatid inte tas.För orala läkemedel som är särskilt beroende av tröskelkoncentrationer för effekt, såsom antibiotika, ska patienter rådas att ta dessa läkemedel minst 1 timme innan eller 4 timmar efter lixisenatidinjektion.
Magsaftsresistenta beredningar som innehåller substanser som är känsliga för nedbrytning i magen, ska tas 1 timme före eller 4 timmar efter lixisenatidinjektion.
ParacetamolParacetamol användes som ett modelläkemedel för att utvärdera lixisenatids effekt på magtömning. Efter administrering av 1000 mg paracetamol var AUC och t½ för paracetamol oförändrade oavsett tidpunkt för administrering (före eller efter lixisenatidinjektion). Vid administrering 1 eller 4 timmar efter injektion med 10 mikrogram lixisenatid, minskades Cmax för paracetamol med 29 % respektive 31 % och medianvärdet för tmax fördröjdes med 2,0 respektive 1,75 timmar. En ytterligare fördröjning av tmax och minskning av Cmax för paracetamol har förutsetts med underhållsdosen på 20 mikrogram.Ingen påverkan på Cmax och tmax för paracetamol observerades då paracetamol administrerades 1 timme innan lixisenatid.Baserat på dessa resultat krävs ingen dosjustering av paracetamol men fördröjningen av tmax observerad när paracetamol administreras 1-4 timmar efter lixisenatid ska beaktas när snabbt insättande av effekt krävs.
Orala preventivmedelEfter administrering av en singeldos av ett oralt preventivläkemedel (etinylestradiol 0,03 mg/levonorgestrel 0,15 mg) 1 timme före eller 11 timmar efter 10 mikrogram lixisenatid, var Cmax, AUC, t½ och tmax för etinylestradiol och levonorgestrel oförändrade.Administrering av det orala preventivmedlet 1 timme före eller 4 timmar efter lixisenatid påverkade inte AUC och t½, för etinylestradiol och levonorgestrel, medan Cmax för etinylestradiol minskade med 52 % respektive 39 % och Cmax för levonorgestrel minskade med 46 % respektive 20 % och medianvärdet för tmax fördröjdes med 1 till 3 timmar.Minskning av Cmax har begränsad klinisk relevans och ingen dosjustering av orala preventivmedel krävs.
AtorvastatinNär lixisenatid 20 mikrogram och atorvastatin 40 mg administrerades samtidigt på morgonen i 6 dagar, påverkades inte exponeringen av atorvastatin, medan Cmax minskade med 31 % och tmax fördröjdes med 3,25 timmar. Ingen sådan ökning av tmax observerades när atorvastatin administrerades på kvällen och lixisenatid på morgonen men AUC och Cmax för atorvastatin ökade med 27 % respektive 66 %.Dessa förändringar är inte kliniskt relevanta och därför krävs ingen dosjustering av atorvastatin när det administreras samtidigt med lixisenatid.
Warfarin och andra kumarinderivatEfter samtidig administrering av warfarin 25 mg med upprepad dosering av lixisenatid 20 mikrogram, påverkades inte AUC eller INR (International Normalised Ratio) medan Cmax reducerades med 19 % och tmax fördröjdes med 7 timmar.Baserat på dessa resultat krävs ingen dosjustering av warfarin när det administreras samtidigt med lixisenatid, INR rekommenderas dock att följas noga hos patienter som får warfarin och/eller kumarinderivat vid initiering eller avslutande av behandling med lixisenatid.
DigoxinEfter samtidig administrering av lixisenatid 20 mikrogram och digoxin 0,25 mg vid jämviktskoncentration, påverkades inte AUC för digoxin. tmax för digoxin fördröjdes med 1,5 timmar och Cmax reducerades med 26 %.Baserat på dessa resultat krävs ingen dosjustering av digoxin när det administreras samtidigt med lixisenatid.
RamiprilEfter samtidig administrering av lixisenatid 20 mikrogram och ramipril 5 mg under 6 dagar ökade AUC för ramipril med 21 % medan Cmax minskade med 63 %. AUC och Cmax för den aktiva metaboliten (ramiprilat) påverkades inte. tmax för ramipril och ramiprilat fördröjdes med ca 2,5 timmar.Baserat på dessa resultat krävs ingen dosjustering av ramipril när det administreras samtidigt med lixisenatid.
Fertila kvinnorLyxumia rekommenderas inte hos fertila kvinnor som inte använder preventivmedel.
GraviditetDet finns inte tillräckliga data från användning av Lyxumia hos gravida kvinnor. Djurstudier har visat på reproduktionstoxikologiska effekter (se avsnitt 5.3). Den potentiella risken för människa okänd. Lyxumia ska inte användas under graviditet. Användning av insulin rekommenderas i stället. Om en patient önskar bli gravid, eller blir gravid, ska Lyxumiabehandling avbrytas.
AmningDet är inte känt huruvida Lyxumia utsöndras i bröstmjölk hos människa. Lyxumia ska inte användas vid amning.
FertilitetDjurstudier tyder inte på direkt skadliga effekter med avseende på fertilitet.
Lixisenatid har ingen eller mycket liten effekt på förmågan att framföra fordon och använda maskiner. Då det används i kombination med en sulfonureid eller basinsulin ska patienter rådas att vidta försiktighetsåtgärder för att undvika hypoglykemi vid bilkörning och användning av maskiner.
Sammanfattning av säkerhetsprofilenÖver 2600 patiener har fått Lyxumia antingen ensamt eller i kombination med metformin, en sulfonureid (med eller utan metformin) eller ett basinsulin (med eller utan metformin, eller med eller utan en sulfonureid) i 8 stora placebokontrollerade eller aktivt kontrollerade fas III-studier.
De mest frekvent rapporterade biverkningarna under kliniska studier var illamående, kräkning och diarré. Dessa reaktioner var mestadels lindriga och övergående.Dessutom förekom hypoglykemi (när Lyxumia användes i kombination med en sulfonureid och/eller ett basinsulin) samt huvudvärk.Allergiska reaktioner har rapporterats hos 0,4 % av patienter behandlade med Lyxumia.
Lista över biverkningar i tabellformBiverkningar som rapporterats i placebokontrollerade och aktivt kontrollerade fas III-studier under hela behandlingsperioden presenteras i tabell 1. Tabellen presenterar biverkningar som inträffade med en incidens på >5 % om frekvensen var högre hos patienter behandlade med Lyxumia än hos patienter behandlade med alla jämförelseläkemedel. Tabellen inkluderar också biverkningar med en frekvens på ≥1 % i Lyxumiagruppen om frekvensen var större än dubbla frekvensen för alla i gruppen av jämförelseläkemedel.
Frekvenser för biverkningar definieras som: mycket vanliga (≥1/10), vanliga (≥1/100, <1/10), mindre vanliga (≥1/1 000, <1/100), sällsynta (≥1/10 000, <1/1 000), mycket sällsynta (<1/10 000).Inom varje organklass presenteras biverkningar i fallande frekvensordning.
Tabell 1: Biverkningar som rapporterats i placebo- och aktivt kontrollerade fas III-studier över hela behandlingsperioden (inklusive perioden utöver den huvudsakliga behandlingsperioden på 24 veckor i studier med ≥76 veckors total behandling).
Beskrivning av utvalda biverkningar
HypoglykemiHos patienter som använder Lyxumia som monoterapi, förekom symtomatisk hypoglykemi hos 1,7 % av patienter behandlade med lixisenatid och hos 1,6 % hos patienter behandlade med placebo. När Lyxumia används i kombination med enbart metformin, förekom symtomatisk hypoglykemi hos 7,0 % av lixisenatidpatienterna och hos 4,8 % av placebopatienterna under hela behandlingsperioden.
Hos patienter som tar Lyxumia i kombination med en sulfonureid och metformin, inträffade symtomatisk hypoglykemi hos 22,0 % av patienter behandlade med lixisenatid och hos 18,4 % hos patienter behandlade med placebo under hela behandlingsperioden (3,6 % absolut skillnad). När Lyxumia används i kombination med ett basinsulin med eller utan metformin, inträffade symtomatisk hypoglykemi hos 42,1 % av lixisenatidpatienter och hos 38,9 % hos placebopatienter under hela behandlingsperioden (3,2 % absolut skillnad).
Under hela behandlingsperioden, när Lyxumia gavs med en sulfonureid ensamt, förekom symtomatisk hypoglykemi hos 22,7 % av lixisenatidbehandlade patienter gentemot 15,2 % med placebo (7,5 % absolut skillnad). När Lyxumia gavs med en sulfonureid och ett basinsulin, förekom symtomatisk hypoglykemi hos 47,2 % av lixisenatidbehandlade patienter jämfört med 21,6 % hos placebo (25,6 % absolut skillnad).
Generellt var förekomsten av svår symtomatisk hypoglykemi ovanlig (0,4 % hos lixisenatidpatienter och 0,2 % hos placebopatienter) under hela behandlingsperioden i de placebokontrollerade fas III-studierna.
Gastrointestinala besvärIllamående och kräkningar var de mest frekvent rapporterade biverkningarna under den huvudsakliga behandlingsperioden på 24 veckor. Förekomsten av illamående var högre i lixisenatidgruppen (26,1 %) jämfört med placebogruppen (6,2 %) och förekomsten av kräkningar var högre i lixisenatidgruppen (10,5 %) än i placebogruppen (1,8 %). De var huvudsakligen lindriga och övergående och inträffade under de första 3 veckorna efter behandlingsstart. Därefter avtog de successivt under de efterföljande veckorna.
Reaktioner vid injektionsställetReaktioner vid injektionsstället rapporterades hos 3,9 % av patienterna som fick Lyxumia medan de rapporterades hos 1,4 % av patienterna som fick placebo under den huvudsakliga behandlingsperioden på 24 veckor. Huvuddelen av reaktionerna var lindriga i intensitet och resulterade vanligtvis inte i avbrytande av behandlingen.
ImmunogenicitetI överensstämmelse med de potentiellt immunogena egenskaperna hos läkemedel som innehåller proteiner eller peptider, kan patienter utveckla antikroppar mot lixisenatid vid behandling med Lyxumia och vid slutet av den huvudsakliga huvudbehandlingsperioden på 24 veckor i placebokontrollerade studier hade 69,8 % av lixisenatidpatienterna en positiv antikroppsstatus. Procentandelen patienter med positivt antikroppsstatus var liknande vid slutet av hela behandlingsperioden på 76 veckor. Vid slutet av den huvudsakliga behandlingsperioden på 24 veckor hade 32,2 % av patienterna med positivt antikroppsstatus en antikroppskoncentration som var över den lägre kvantifieringsgränsen och vid slutet av hela behandlingsperioden på 76 veckor hade 44,7 % av patienterna som utvecklat antikroppar en antikroppskoncentration som var över den lägre kvantifieringsgränsen. Efter att behandlingen avslutats, följdes få patienter med positiv antikroppsstatus upp angående antikroppsstatus, procenttalet minskade till ca 90 % inom tre månader och 30 % vid 6 månader eller längre.Förändringen i HbA1c (angivet i DCCT) från baseline var liknande oavsett antikroppsstatus (positiv eller negativ). Av lixisenatidbehandlade patienter med HbA1c värde hade 79,3 % antingen en negativ antikroppsstatus eller en antikroppskoncentration under kvantifieringsgränsen, och de andra 20,7 % av patienterna hade en kvantifierad antikroppskoncentration. I subgruppen patienter (5,2 %) med med de högsta antikroppskoncentrationerna var den genomsnittliga förbättringen i HbA1c vid vecka 24 och vid vecka 76 i ett kliniskt relevant omfång, det fanns dock variabilitet i det glykemiska svaret och 1,9 % hade ingen sänkning i HbA1c.Antikroppsstatus (positivt eller negativt) är inte prediktivt för minskning av HbA1c för en individuell patient.
Det var ingen skillnad i den generella säkerhetsprofilen hos patienter oavsett antikroppsstatus, med undantag för en ökning av förekomsten av reaktioner vid injektionsstället (4,7 % hos patienter med antikroppar jämfört med 2,5 % hos patienter utan antikroppar under hela behandlingsperioden). Huvuddelen av reaktioner vid injektionsstället var lindriga, oavsett antikroppsstatus.
Det fanns ingen korsreaktivitiet gentemot vare sig glukagon eller endogent GLP‑1.
Allergiska reaktionerAllergiska reaktioner sannolikt associerade med lixisenatid (såsom anafylaktisk reaktion, angioödem och urtikaria) har rapporterats hos 0,4 % av lixisenatidpatienter medan sannolikt associerade allergiska reaktioner inträffade hos mindre än 0,1 % hos placebopatienter under den huvudsakliga behandlingsperioden på 24 veckor. Anafylaktiska reaktioner rapporterades hos 0,2 % av lixisenatidbehandlade patienter jämfört med inga i placebogruppen. De flesta av dessa rapporterade allergiska reaktioner var milda i svårighetsgrad.Ett fall av anafylaktisk reaktion rapporterades under klinisk prövning med lixisenatid.
HjärtfrekvensI en studie på friska frivilliga sågs en kortvarig ökning i hjärtfrekvens efter administrering av 20 mikrogram lixisenatid. Hjärtarrytmier speciellt takykardi (0,8 % jämfört med <0,1 %) och palpitationer (1,5 % jämfört med 0,8 %) har rapporterats hos lixisendatidpatienter jämfört med placebopatienter.
UtsättningFörekomsten av avbrytande av behandling på grund av biverkningar var 7,4 % för Lyxumia jämfört med 3,2 % i placebogruppen under den huvudsakliga behandlingsperioden på 24 veckor. Den vanligaste biverkningen som ledde till avbrytande av behandlingen i lixisenatidgruppen var illamående (3,1 %) och kräkningar (1,2 %).
Rapportering av misstänkta biverkningar
Vid kliniska studier administrerades doser upp till 30 mikrogram lixisenatid två gånger dagligen till typ 2-diabetespatienter i en 13-veckors studie. En ökad förekomst av gastrointestinala besvär observerades.I händelse av överdosering ska lämplig understödjande behandling initieras på grundval av patientens kliniska tecken och symtom och lixisenatiddosen ska reduceras till förskriven dos.
Klinisk effekt och säkerhetLyxumias kliniska effekt och säkerhet utvärderades i nio randomiserade dubbelblinda placebokontrollerade kliniska studier. Dessa studier inkluderade 4508 patienter med typ 2-diabetes (2869 patienter randomiserade till lixisenatid), 47,5 % män och 52,5 % kvinnor och 517 var ≥ 65 år gamla.
Lyxumias effekt utvärderades även i två randomiserade öppna studier aktivt kontrollerade (gentemot exenatid eller gentemot insulinglargin) och i måltidsstudie (totalt 1067 patienter randomiserade till lixisenatid).
Lyxumias effekt och säkerhet hos patienter äldre än 70 år togs upp i en speciellt dedikerad placebokontrollerad studie (176 patienter randomiserade till lixisenatid, inklusive 62 patienter ≥ 75 år gamla).
En dubbelblind, placebokontrollerad studie angående kardiovaskulära effekter (ELIXA) inkluderade dessutom 6068 patienter med typ 2-diabetes och tidigare akut koronarsyndrom (3034 randomiserade till lixisenatid, inklusive 198 patienter ≥ 75 år gamla och 655 patienter med måttligt nedsatt njurfunktion).
I de avslutade fas III-studierna observerades att ungefär 90 % av patienterna lyckades kvarstå på underhållsdosen om 20 mikrogram Lyxumia en gång dagligen vid slutet av den huvudsakliga behandlingsperioden på 24 veckor.
Glykemisk kontroll
Tilläggsbehandling i kombination med orala antidiabetika
Lyxumia i kombination med metformin, en sulfonureid, pioglitazon eller kombination av dessa medel visade statistiskt signifikanta minskningar i HbA1c, i fasteplasmaglukos och i postprandiellt glukos 2 timmar efter en testmåltid jämfört med placebo vid slutet av den huvudsakliga behandlingsperioden på 24 veckor (tabell 2 och 3). Minskningen av HbA1c var signifikant med administrering en gång dagligen, antingen administrerat morgon eller kväll.Denna effekt på HbA1c varade i upp till 76 veckor i långtidsstudier.
Tilläggsbehandling till enbart metformin
Tabell 2: Placebokontrollerade studier i kombination med metformin (24-veckorsresultat). HbA1c är angivet i DCCT.
I en aktivt kontrollerad studie visade Lyxumia en gång dagligen en minskning av HbA1c (angivet i DCCT) på -0,79 % jämfört med -0,96 % för exenatid två gånger dagligen vid slutet av den huvudsakliga behandlingsperioden på 24 veckor med en medel behandlingsskillnad på 0,17 % (95 % konfidensintervall: 0,033, 0,297). En liknande procentandel patienter uppnådde ett HbA1c mindre än 7 % i lixisenatidgruppen (48,5 %) och i exenatidgruppen (49,8 %).Förekomsten av illamående var 24,5 % i lixisenatidgruppen jämfört med 35,1 % i gruppen som behandlades med exenatid två gånger dagligen. Förekomsten av symtomatisk hypoglykemi var 2,5 % med lixisenatid under den huvudsakliga behandlingsperioden på 24 veckor jämfört med 7,9 % i exenatidgruppen.
En 24-veckors öppen studie visade att lixisenatid som administreras innan dagens huvudmåltid inte var sämre än lixisenatid som administreras före frukost vad gäller minskning av HbA1c (LS genomsnittlig förändring från baseline: -0.65 % mot -0,74 %). Liknande HbA1c minskningar observerades oavsett vilken måltid som var huvudmåltid (frukost, lunch eller middag). Vid slutet av studien hade 43,6 % (huvudmåltidsgruppen) och 42,8 % (frukostgruppen) av patienterna uppnått ett HbA1c mindre än 7%. Illamående rapporterades hos 14,7 % respektive 15,5 % av patienterna, och symtomatisk hypoglykemi hos 5,8 % respektive 2,2 % av patienterna i vardera grupp, huvudmåltid respektive frukost.
Tilläggsbehandling till en sulfonureid ensamt eller i kombination med metformin
Tabell 3: Placebokontrollerad studie i kombination med en sulfonureid (24-veckorsresultat). HbA1c är angivet i DCCT.
Tilläggsbehandling till pioglitazon ensamt eller i kombination med metformin
I en studie resulterade tillägget av lixisenatid till pioglitazon med eller utan metformin, hos patienter som inte kontrollerades tillräckligt med pioglitazon, i en minskning av HbA1c från baseline på 0,90 % jämfört med en minskning från baseline på 0,34 % i placebogruppen vid slutet av den huvudsakliga behandlingsperioden på 24 veckor. Vid slutet av den huvudsakliga behandlingsperioden på 24 veckor nådde 52,3 % av lixisenatidpatienterna ett HbA1c mindre än 7 % jämfört med 26,4 % i placebogruppen.Under den huvudsakliga behandlingsperioden på 24 veckor rapporterades illamående hos 23,5 % i lixisenatidgruppen jämfört med 10,6 % i placebogruppen och symtomatisk hypoglykemi rapporterades hos 3,4 % av lixisenatidpatienterna jämfört med hos 1,2 % i placebogruppen.
Tilläggsbehandling i kombination med ett basinsulin
Lyxumia givet med enbart ett basinsulin, eller med en kombination av basinsulin och metformin, eller en kombination av basinsulin och en sulfonureid resulterade i statistiskt signifikanta minskningar av HbA1c och av postprandiellt glukos 2 timmar efter en testmåltid jämfört med placebo.
Tabell 4: Placebokontrollerade studier i kombination med ett basinsulin (24-veckorsresultat). HbA1c är angivet i DCCT.
En klinisk studie genomfördes hos insulinnaiva patienter som inte kontrollerades tillräckligt med orala antidiabetika. Studien bestod av en 12-veckors run-in period med introduktion och titrering av insulin glargin och en 24-veckors behandlingsperiod när patienterna fick antingen lixisenatid eller placebo i kombination med insulin glargin och metformin med eller utan tiazolidindioner. Insulin glargin titrerades regelbundet under denna period.Under run-in perioden på 12-veckor resulterade tillägg och titrering av insulinglargin i en ungefärlig minskning av HbA1c på 1 %. Tillägget av lixisenatid ledde till signifikant större minskning av HbA1c på 0,71 % i lixisenatidgruppen jämfört med 0,40 % i placebogruppen. Vid slutet av den huvudsakliga behandlingsperioden på 24 veckor nådde 56,3 % av lixisenatidpatienterna ett HbA1c mindre än 7 % jämfört med 38,5 % i placebogruppen.Under behandlingsperioden på 24 veckor rapporterade 22,4 % av lixisenatidpatienterna minst en symtomatisk hypoglykemi jämfört med 13,5 % i placebogruppen. Förekomsten av hypoglykemi ökade mest i lixisenatidgruppen under de första 6 veckorna och därefter var förekomsten liknande som för placebogruppen.
Patienter med typ 2-diabetes med basinsulin kombinerad med 1-3 orala antidiabetika inkluderades i en öppen, randomiserad studie för insulinintensifiering. Efter 12 veckor med optimal insulin glargin titrering med eller utan metformin, randomiserades patienter som var otillräckligt kontrollerade till lixisenatid en gång dagligen eller insulin glulisin en gång dagligen (båda innan den största måltiden) eller insulin glulisin administrerat tre gånger dagligen i 26 veckor.
HbA1c –nivån var jämförbar mellan grupperna (tabell 5).
I motsats till båda behandlingarna med insulin glulisin, reducerade lixisenatid kroppsvikt (tabell 5). Frekvensen av händelser av symtomatisk hypoglykemi var lägre med lixisenatid (36 %) jämfört med insulin glulisin en gång dagligen och tre gånger dagligen (47 % respektive 52 %).
Tabell 5: Aktivt kontrollerad studie i kombination med basinsulin med eller utan metformin (26 veckors resultat) (MITT analys) och säkerhetspopulation.
Fasteplasmaglukos
Minskningarna av fasteplasmaglukos uppnått med behandling med Lyxumia sträckte sig från 0,42 mmol/l till 1,19 mmol/l (7,6 till 21,4 mg/dl) från baseline vid slutet av den huvudsakliga behandlingsperioden på 24 veckor i placebokontrollerade studier.
Postprandiellt glukos
Behandling med Lyxumia resulterade i signifikant större minskningar av postprandiellt glukos 2 timmar efter en testmåltid jämfört med placebo oavsett bakgrundsbehandling.Minskningarna med Lyxumia varierade från 4,51 till 7,96 mmol/l (81,2 till 143,3 mg/dl) från baseline vid slutet av den huvudsakliga behandlingsperioden på 24 veckor i alla studier i vilka postprandiellt glukos mättes; 26,2 % till 46,8 % av patienterna hade ett postprandiellt glukosvärde som var under 7,8 mmol/l (140,4 mg/dl) efter 2 timmar.
Kroppsvikt
Behandling med Lyxumia i kombination med metformin och/eller en sulfonureid resulterade i en från baseline hållbar viktförändring i alla kontrollerade studier. Viktförändringen varierade från -1,76 kg till -2,96 kg i slutet av den huvudsakliga behandlingsperioden på 24 veckor.Viktförändring i ett intervall från -0,38 kg till -1,80 kg, mätt från baseline, observerades även hos lixisenatidpatienter som fick stabil basinsulindos enbart eller i kombination med metformin eller sulfonureid.Hos patienter som nyligen började med insulin, var kroppsvikten nästan oförändrad i lixisenatidgruppen medan en ökning sågs i placebogruppen.Viktnedgången bibehölls i långtidsstudier upp till 76 veckor.Reduktion av kroppsvikt är oberoende av förekomst av illamående och kräkningar.
Betacellfunktion
Kliniska studier med Lyxumia tyder på förbättrad betacellfunktion mätt genom homeostasmodellen för bedömning av betacellfunktion (HOMA‑β).Återställande av förstafas av insulininsöndring och förbättrad andrafas av insulininsöndring som svar på intravenös glukosbolus demonstrerades hos patienter med typ 2-diabetes (n=20) efter en singeldos Lyxumia.
Kardiovaskulär bedömning
Ingen ökning i medelhjärtfrekvens hos patienter med typ 2-diabetes sågs i någon av alla placebokontrollerade fas III-studier.Minskning av medelblodtrycket, systoliskt och diastoliskt, upp till 2,1 mm Hg respektive upp till 1,5 mm Hg observerades i placebokontrollerade fas III-studier.
ELIXA-studien var en randomiserad, dubbelblind, placebokontrollerad multinationell studie som utvärderade kardiovaskulära effekter under behandling med lixisenatid hos patienter med typ 2-diabetes mellitus efter nyligen genomgången akut koronarsyndrom.
Totalt randomiserades 6068 patienter 1:1 till antingen placebo eller lixisenatid 20 mikrogram (efter en startdos på 10 mikrogram under de första två veckorna).
Nittiosex procent av patienterna i båda behandligsgrupperna genomförde studien i enlighet med protokollet och vitala status var känt vid slutet av studien för 99,0 % av patienterna i lixisenatidgruppen och 98,6 % i placebogruppen. Median behandlingstid var 22,4 månader i lixisenatidgruppen och 23,3 månader i placebogruppen och median behandlingstid i studieuppföljningen var 25,8 respektive 25,7 månader. Medel HbA1c (+SD) i lixisenatid- och placebogruppen var 7,72 (±1,32) % respektive 7,64 (±1,28) % vid baseline och 7,46 (±1,51) % respektive 7,61 (±1,48) % vid 24 månader.
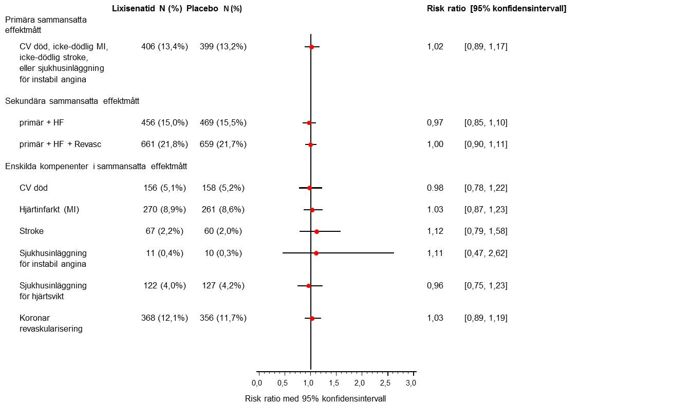
Resultaten av primära och sekundära sammansatta effektmått och resultaten av alla enskilda komponenter i sammansatta effektmått visas i figur 1.
Figur 1: Forest plot: analys av varje individuell kardiovaskulär händelse - ITT‑populationen
CV: kardiovaskulär, MI: hjärtinfarkt, HF: sjukhusinläggning för hjärtsvikt, Revasc: koronar revaskularisering.
Äldre
Personer ≥70 årEffekten och säkerheten av lixisenatid hos personer ≥70 år eller med typ 2-diabetes utvärderades i en dubbelblind, placebokontrollerad studie på 24 veckor. Sköra patienter, inklusive patienter som löper risk för undernäring, patienter med nyligen genomgångna kardiovaskulära händelser och patienter med måttlig till svår kognitiv svikt exkluderades. Totalt 350 patienter randomiserades (randomisering förhållandet 1:1). Totalt var 37 % av patienterna ≥75 år (N=131) och 31 % hade måttligt nedsatt njurfunktion (N = 107). Patienterna fick stabil dos(er) av perorala antidiabetika och/eller basinsulin som bakgrundsterapi. Sulfonylurea och glinider användes inte med basinsulin som bakgrundsterapi.
Lixisenatid gav signifikant förbättring i HbA1c (-0,64 % skillnad jämfört med placebo, 95 % konfidensintervall: -0,810 % till -0,464 %; p <0,0001), från medel baseline HbA1c 0,8 %.
Pediatrisk populationEuropeiska läkemedelsmyndigheten har beviljat undantag från kravet att skicka in studieresultat för Lyxumia för alla grupper av den pediatriska populationen för typ 2-diabetes mellitus (information om pediatrisk användning finns i avsnitt 4.2).
AbsorptionEfter subkutan administrering till patienter med typ 2-diabetes är lixisenatids absorptionshastighet hög och opåverkad av administrerad dos. Oavsett dos och huruvida lixisenatid administrerades som singeldos eller multipeldos är medel tmax 1 till 3,5 timmar hos patienter med typ 2-diabetes. Det finns inga kliniskt relevanta skillnader i absorptionshastighet när lixisenatid administreras subkutant i buk, lår eller arm.
DistributionLixisenatid har en måttlig bindning (55 %) till humana proteiner.Den skenbara distributionsvolymen efter subkutan administrering av lixisenatid (Vz/F) är ca 100 l.
Metabolism och elimineringSåsom en peptid elimineras lixisenatid genom glomerulär filtration, åtföljt av tubulär reabsorption och efterföljande metabolisk nedbrytning, resulterande i mindre peptider och aminosyror, som återinförs i proteinmetabolismen.
Efter administrering av multipla doser hos patienter med typ 2-diabetes, var genomsnittlig terminal halveringstid ca 3 timmar och genomsnittligt skenbart clearance (CL/F) ca 35 l/tim.
Särskilda populationer
Patienter med nedsatt njurfunktionHos försökspersoner med lätt nedsatt njurfunktion (kreatininclearance, beräknat med Cockroft-Gaults formel, 60-90 ml/min), måttligt nedsatt njurfunktion (kreatininclearance 30-60 ml/min) och gravt nedsatt njurfunktion (kreatininclearance 15-30 ml/min) ökades AUC med 46 %, 51 % respektive 87 %.
Patienter med nedsatt leverfunktionEftersom lixisenatid utsöndras huvudsakligen genom njurarna har ingen farmakokinetisk studie hos patienter med akut eller kroniskt nedsatt leverfunktion utförts. Leverdysfunktion förväntas inte påverka lixisenatids farmakokinetik.
KönKön har ingen kliniskt relevant påverkan på lixisenatids farmakokinetik.
RasEtniskt ursprung hade ingen kliniskt relevant påverkan på lixisenatids farmakokinetik baserat på farmakokinetiska studier hos kaukasiska, japanska och kinesiska försökspersoner.
ÄldreÅlder har ingen kliniskt relevant påverkan på lixisenatids farmakokinetik. I en farmakokinetisk studie hos äldre icke-diabetiska försökspersoner, resulterade administrering av 20 mikrogram lixisenatid i en genomsnittlig ökning av AUC för lixisenatid med 29 % hos den äldre populationen (11 försökspersoner i åldern 65-74 år och 7 försökspersoner ≥75 år) jämfört med 18 försökspersoner i åldern 18-45 år, sannolikt relaterat till minskad njurfunktion i gruppen med äldre.
KroppsviktKroppsvikt har ingen kliniskt relevant påverkan på AUC för lixisenatid.
Icke-kliniska data visar inte några särskilda risker för människa baserat på gängse studier avseende säkerhetsfarmakologi och toxikologi.
I 2-årsstudier över subkutan karcinogenicitet observerades icke-dödliga C‑cellstyroidtumörer hos råttor och möss och anses orsakas av en icke-genotoxisk GLP‑1-receptormedierad mekanism för vilken gnagare är särskilt känsliga. C‑cellshyperplasi och adenom observerades vid alla dosnivåer hos råttor och NOAEL (no observed adverse effect level) kunde inte fastställas. Hos möss inträffade dessa nivåer vid över 9,3-faldigt exponeringsförhållanden jämfört med exponering för människa vid terapeutisk dos. Icke-C-cellskarcinom observerades hos möss och C‑cellskarcinom observerades hos råttor med ca 900-faldigt exponeringsförhållanden jämfört med exponering för människa vid terapeutisk dos.I 2-årsstudier över subkutan karcinogenicitet hos möss, observerades 3 fall av adenokarcinom i endometriet i medeldosgruppen med en statistiskt signifikant ökning, motsvarande ett 97-faldigt exponeringsförhållande. Ingen behandlingsrelaterad effekt observerades.
Djurstudier tydde inte på direkt skadliga effekter med hänsyn till manlig och kvinnlig fertilitet hos råttor. Reversibla testikulära och epidermala lesioner observerades hos hundar behandlade med lixisenatid. Inga relaterade effekter på spermiebildning observerades hos friska män. I embryo-fetala utvecklingsstudier observerades missbildningar, tillväxthämning, hämning av benbildning och effekter på skelettet hos råttor vid alla doser lixisenatid (5-faldigt exponeringsförhållande jämfört med exponering för människa) och hos kaniner vid höga doser lixisenatid (32-faldigt exponeringsförhållande jämfört med exponering för människa). Hos båda arterna observerades viss maternell toxicitet bestående av låg matkonsumtion och minskad kroppsvikt. Neonatal tillväxt minskade hos råttor av hankön som exponerades för höga doser lixisenatid under sen gestation och digivning och en lätt ökning av mortalitet hos ungarna observerades.
Farmakoterapeutisk grupp: Diabetesläkemedel, GLP-1-analoger (glukagonlik peptid 1), ATC-kod: A10BJ03.
VerkningsmekanismLixisenatid är en selektiv GLP‑1-receptoragonist. GLP‑1-receptorn är målet för nativt GLP‑1, ett endogent inkretinhormon som förstärker glukosberoende insulininsöndring från betacellerna i pankreas.Lixisenatids verkan medieras genom en specifik interaktion med GLP‑1-receptorer vilket leder till en ökning av intracellulärt cykliskt adenosinmonofosfat (cAMP). Lixisenatid stimulerar insulininsöndring när blodglukoset är förhöjt men inte vid normoglykemi, vilket begränsar riskerna för hypoglykemi. Parallellt undertrycks glukagonsekretion. I fall av hypoglykemi bevaras glukagons räddningsmekanism.Lixisenatid fördröjer magtömningen och minskar därmed hastigheten med vilken måltidsrelaterat glukos kommer ut i cirkulationen.
Farmakodynamisk effektVid administrering en gång dagligen förbättrar lixisenatid glykemisk kontroll genom de omedelbara och fördröjda effekterna av att sänka både postprandiella och fastande glukosvärdet hos patienter med typ 2-diabetes.
Effekten på postprandiellt glukos bekräftades i en 4-veckorsstudie mot liraglutid 1,8 mg en gång dagligen i kombination med metformin. Minskning från baseline av AUC0:30-4:30h för plasmaglukos efter en testmåltid var -12.61 tim*mmol/l ( 227,25 tim*mg/dl i lixisenatidgruppen och -4.04 tim*mmol/l (-72,83 tim*mg/dl) i liraglutidgruppen. Detta bekräftades även i en 8-veckorsstudie mot liraglutid, administrerat före frukost, i kombination med insulinglargin med ellet utan metformin.
Klinisk effekt och säkerhetLyxumias kliniska effekt och säkerhet utvärderades i nio randomiserade dubbelblinda placebokontrollerade kliniska studier. Dessa studier inkluderade 4508 patienter med typ 2-diabetes (2869 patienter randomiserade till lixisenatid), 47,5 % män och 52,5 % kvinnor och 517 var ≥ 65 år gamla.
Lyxumias effekt utvärderades även i två randomiserade öppna studier aktivt kontrollerade (gentemot exenatid eller gentemot insulinglargin) och i måltidsstudie (totalt 1067 patienter randomiserade till lixisenatid).
Lyxumias effekt och säkerhet hos patienter äldre än 70 år togs upp i en speciellt dedikerad placebokontrollerad studie (176 patienter randomiserade till lixisenatid, inklusive 62 patienter ≥ 75 år gamla).
En dubbelblind, placebokontrollerad studie angående kardiovaskulära effekter (ELIXA) inkluderade dessutom 6068 patienter med typ 2-diabetes och tidigare akut koronarsyndrom (3034 randomiserade till lixisenatid, inklusive 198 patienter ≥ 75 år gamla och 655 patienter med måttligt nedsatt njurfunktion).
I de avslutade fas III-studierna observerades att ungefär 90 % av patienterna lyckades kvarstå på underhållsdosen om 20 mikrogram Lyxumia en gång dagligen vid slutet av den huvudsakliga behandlingsperioden på 24 veckor.
Glykemisk kontroll
Tilläggsbehandling i kombination med orala antidiabetika
Lyxumia i kombination med metformin, en sulfonureid, pioglitazon eller kombination av dessa medel visade statistiskt signifikanta minskningar i HbA1c, i fasteplasmaglukos och i postprandiellt glukos 2 timmar efter en testmåltid jämfört med placebo vid slutet av den huvudsakliga behandlingsperioden på 24 veckor (tabell 2 och 3). Minskningen av HbA1c var signifikant med administrering en gång dagligen, antingen administrerat morgon eller kväll.Denna effekt på HbA1c varade i upp till 76 veckor i långtidsstudier.
Tilläggsbehandling till enbart metformin
Tabell 2: Placebokontrollerade studier i kombination med metformin (24-veckorsresultat). HbA1c är angivet i DCCT.
I en aktivt kontrollerad studie visade Lyxumia en gång dagligen en minskning av HbA1c (angivet i DCCT) på -0,79 % jämfört med -0,96 % för exenatid två gånger dagligen vid slutet av den huvudsakliga behandlingsperioden på 24 veckor med en medel behandlingsskillnad på 0,17 % (95 % konfidensintervall: 0,033, 0,297). En liknande procentandel patienter uppnådde ett HbA1c mindre än 7 % i lixisenatidgruppen (48,5 %) och i exenatidgruppen (49,8 %).Förekomsten av illamående var 24,5 % i lixisenatidgruppen jämfört med 35,1 % i gruppen som behandlades med exenatid två gånger dagligen. Förekomsten av symtomatisk hypoglykemi var 2,5 % med lixisenatid under den huvudsakliga behandlingsperioden på 24 veckor jämfört med 7,9 % i exenatidgruppen.
En 24-veckors öppen studie visade att lixisenatid som administreras innan dagens huvudmåltid inte var sämre än lixisenatid som administreras före frukost vad gäller minskning av HbA1c (LS genomsnittlig förändring från baseline: -0.65 % mot -0,74 %). Liknande HbA1c minskningar observerades oavsett vilken måltid som var huvudmåltid (frukost, lunch eller middag). Vid slutet av studien hade 43,6 % (huvudmåltidsgruppen) och 42,8 % (frukostgruppen) av patienterna uppnått ett HbA1c mindre än 7%. Illamående rapporterades hos 14,7 % respektive 15,5 % av patienterna, och symtomatisk hypoglykemi hos 5,8 % respektive 2,2 % av patienterna i vardera grupp, huvudmåltid respektive frukost.
Tilläggsbehandling till en sulfonureid ensamt eller i kombination med metformin
Tabell 3: Placebokontrollerad studie i kombination med en sulfonureid (24-veckorsresultat). HbA1c är angivet i DCCT.
Tilläggsbehandling till pioglitazon ensamt eller i kombination med metformin
I en studie resulterade tillägget av lixisenatid till pioglitazon med eller utan metformin, hos patienter som inte kontrollerades tillräckligt med pioglitazon, i en minskning av HbA1c från baseline på 0,90 % jämfört med en minskning från baseline på 0,34 % i placebogruppen vid slutet av den huvudsakliga behandlingsperioden på 24 veckor. Vid slutet av den huvudsakliga behandlingsperioden på 24 veckor nådde 52,3 % av lixisenatidpatienterna ett HbA1c mindre än 7 % jämfört med 26,4 % i placebogruppen.Under den huvudsakliga behandlingsperioden på 24 veckor rapporterades illamående hos 23,5 % i lixisenatidgruppen jämfört med 10,6 % i placebogruppen och symtomatisk hypoglykemi rapporterades hos 3,4 % av lixisenatidpatienterna jämfört med hos 1,2 % i placebogruppen.
Tilläggsbehandling i kombination med ett basinsulin
Lyxumia givet med enbart ett basinsulin, eller med en kombination av basinsulin och metformin, eller en kombination av basinsulin och en sulfonureid resulterade i statistiskt signifikanta minskningar av HbA1c och av postprandiellt glukos 2 timmar efter en testmåltid jämfört med placebo.
Tabell 4: Placebokontrollerade studier i kombination med ett basinsulin (24-veckorsresultat). HbA1c är angivet i DCCT.
En klinisk studie genomfördes hos insulinnaiva patienter som inte kontrollerades tillräckligt med orala antidiabetika. Studien bestod av en 12-veckors run-in period med introduktion och titrering av insulin glargin och en 24-veckors behandlingsperiod när patienterna fick antingen lixisenatid eller placebo i kombination med insulin glargin och metformin med eller utan tiazolidindioner. Insulin glargin titrerades regelbundet under denna period.Under run-in perioden på 12-veckor resulterade tillägg och titrering av insulinglargin i en ungefärlig minskning av HbA1c på 1 %. Tillägget av lixisenatid ledde till signifikant större minskning av HbA1c på 0,71 % i lixisenatidgruppen jämfört med 0,40 % i placebogruppen. Vid slutet av den huvudsakliga behandlingsperioden på 24 veckor nådde 56,3 % av lixisenatidpatienterna ett HbA1c mindre än 7 % jämfört med 38,5 % i placebogruppen.Under behandlingsperioden på 24 veckor rapporterade 22,4 % av lixisenatidpatienterna minst en symtomatisk hypoglykemi jämfört med 13,5 % i placebogruppen. Förekomsten av hypoglykemi ökade mest i lixisenatidgruppen under de första 6 veckorna och därefter var förekomsten liknande som för placebogruppen.
Patienter med typ 2-diabetes med basinsulin kombinerad med 1-3 orala antidiabetika inkluderades i en öppen, randomiserad studie för insulinintensifiering. Efter 12 veckor med optimal insulin glargin titrering med eller utan metformin, randomiserades patienter som var otillräckligt kontrollerade till lixisenatid en gång dagligen eller insulin glulisin en gång dagligen (båda innan den största måltiden) eller insulin glulisin administrerat tre gånger dagligen i 26 veckor.
HbA1c –nivån var jämförbar mellan grupperna (tabell 5).
I motsats till båda behandlingarna med insulin glulisin, reducerade lixisenatid kroppsvikt (tabell 5). Frekvensen av händelser av symtomatisk hypoglykemi var lägre med lixisenatid (36 %) jämfört med insulin glulisin en gång dagligen och tre gånger dagligen (47 % respektive 52 %).
Tabell 5: Aktivt kontrollerad studie i kombination med basinsulin med eller utan metformin (26 veckors resultat) (MITT analys) och säkerhetspopulation.
Fasteplasmaglukos
Minskningarna av fasteplasmaglukos uppnått med behandling med Lyxumia sträckte sig från 0,42 mmol/l till 1,19 mmol/l (7,6 till 21,4 mg/dl) från baseline vid slutet av den huvudsakliga behandlingsperioden på 24 veckor i placebokontrollerade studier.
Postprandiellt glukos
Behandling med Lyxumia resulterade i signifikant större minskningar av postprandiellt glukos 2 timmar efter en testmåltid jämfört med placebo oavsett bakgrundsbehandling.Minskningarna med Lyxumia varierade från 4,51 till 7,96 mmol/l (81,2 till 143,3 mg/dl) från baseline vid slutet av den huvudsakliga behandlingsperioden på 24 veckor i alla studier i vilka postprandiellt glukos mättes; 26,2 % till 46,8 % av patienterna hade ett postprandiellt glukosvärde som var under 7,8 mmol/l (140,4 mg/dl) efter 2 timmar.
Kroppsvikt
Behandling med Lyxumia i kombination med metformin och/eller en sulfonureid resulterade i en från baseline hållbar viktförändring i alla kontrollerade studier. Viktförändringen varierade från -1,76 kg till -2,96 kg i slutet av den huvudsakliga behandlingsperioden på 24 veckor.Viktförändring i ett intervall från -0,38 kg till -1,80 kg, mätt från baseline, observerades även hos lixisenatidpatienter som fick stabil basinsulindos enbart eller i kombination med metformin eller sulfonureid.Hos patienter som nyligen började med insulin, var kroppsvikten nästan oförändrad i lixisenatidgruppen medan en ökning sågs i placebogruppen.Viktnedgången bibehölls i långtidsstudier upp till 76 veckor.Reduktion av kroppsvikt är oberoende av förekomst av illamående och kräkningar.
Betacellfunktion
Kliniska studier med Lyxumia tyder på förbättrad betacellfunktion mätt genom homeostasmodellen för bedömning av betacellfunktion (HOMA‑β).Återställande av förstafas av insulininsöndring och förbättrad andrafas av insulininsöndring som svar på intravenös glukosbolus demonstrerades hos patienter med typ 2-diabetes (n=20) efter en singeldos Lyxumia.
Kardiovaskulär bedömning
Ingen ökning i medelhjärtfrekvens hos patienter med typ 2-diabetes sågs i någon av alla placebokontrollerade fas III-studier.Minskning av medelblodtrycket, systoliskt och diastoliskt, upp till 2,1 mm Hg respektive upp till 1,5 mm Hg observerades i placebokontrollerade fas III-studier.
ELIXA-studien var en randomiserad, dubbelblind, placebokontrollerad multinationell studie som utvärderade kardiovaskulära effekter under behandling med lixisenatid hos patienter med typ 2-diabetes mellitus efter nyligen genomgången akut koronarsyndrom.
Totalt randomiserades 6068 patienter 1:1 till antingen placebo eller lixisenatid 20 mikrogram (efter en startdos på 10 mikrogram under de första två veckorna).
Nittiosex procent av patienterna i båda behandligsgrupperna genomförde studien i enlighet med protokollet och vitala status var känt vid slutet av studien för 99,0 % av patienterna i lixisenatidgruppen och 98,6 % i placebogruppen. Median behandlingstid var 22,4 månader i lixisenatidgruppen och 23,3 månader i placebogruppen och median behandlingstid i studieuppföljningen var 25,8 respektive 25,7 månader. Medel HbA1c (+SD) i lixisenatid- och placebogruppen var 7,72 (±1,32) % respektive 7,64 (±1,28) % vid baseline och 7,46 (±1,51) % respektive 7,61 (±1,48) % vid 24 månader.
Resultaten av primära och sekundära sammansatta effektmått och resultaten av alla enskilda komponenter i sammansatta effektmått visas i figur 1.
Figur 1: Forest plot: analys av varje individuell kardiovaskulär händelse - ITT‑populationen
CV: kardiovaskulär, MI: hjärtinfarkt, HF: sjukhusinläggning för hjärtsvikt, Revasc: koronar revaskularisering.
Äldre
Personer ≥70 årEffekten och säkerheten av lixisenatid hos personer ≥70 år eller med typ 2-diabetes utvärderades i en dubbelblind, placebokontrollerad studie på 24 veckor. Sköra patienter, inklusive patienter som löper risk för undernäring, patienter med nyligen genomgångna kardiovaskulära händelser och patienter med måttlig till svår kognitiv svikt exkluderades. Totalt 350 patienter randomiserades (randomisering förhållandet 1:1). Totalt var 37 % av patienterna ≥75 år (N=131) och 31 % hade måttligt nedsatt njurfunktion (N = 107). Patienterna fick stabil dos(er) av perorala antidiabetika och/eller basinsulin som bakgrundsterapi. Sulfonylurea och glinider användes inte med basinsulin som bakgrundsterapi.
Lixisenatid gav signifikant förbättring i HbA1c (-0,64 % skillnad jämfört med placebo, 95 % konfidensintervall: -0,810 % till -0,464 %; p <0,0001), från medel baseline HbA1c 0,8 %.
Pediatrisk populationEuropeiska läkemedelsmyndigheten har beviljat undantag från kravet att skicka in studieresultat för Lyxumia för alla grupper av den pediatriska populationen för typ 2-diabetes mellitus (information om pediatrisk användning finns i avsnitt 4.2).
AbsorptionEfter subkutan administrering till patienter med typ 2-diabetes är lixisenatids absorptionshastighet hög och opåverkad av administrerad dos. Oavsett dos och huruvida lixisenatid administrerades som singeldos eller multipeldos är medel tmax 1 till 3,5 timmar hos patienter med typ 2-diabetes. Det finns inga kliniskt relevanta skillnader i absorptionshastighet när lixisenatid administreras subkutant i buk, lår eller arm.
DistributionLixisenatid har en måttlig bindning (55 %) till humana proteiner.Den skenbara distributionsvolymen efter subkutan administrering av lixisenatid (Vz/F) är ca 100 l.
Metabolism och elimineringSåsom en peptid elimineras lixisenatid genom glomerulär filtration, åtföljt av tubulär reabsorption och efterföljande metabolisk nedbrytning, resulterande i mindre peptider och aminosyror, som återinförs i proteinmetabolismen.
Efter administrering av multipla doser hos patienter med typ 2-diabetes, var genomsnittlig terminal halveringstid ca 3 timmar och genomsnittligt skenbart clearance (CL/F) ca 35 l/tim.
Särskilda populationer
Patienter med nedsatt njurfunktionHos försökspersoner med lätt nedsatt njurfunktion (kreatininclearance, beräknat med Cockroft-Gaults formel, 60-90 ml/min), måttligt nedsatt njurfunktion (kreatininclearance 30-60 ml/min) och gravt nedsatt njurfunktion (kreatininclearance 15-30 ml/min) ökades AUC med 46 %, 51 % respektive 87 %.
Patienter med nedsatt leverfunktionEftersom lixisenatid utsöndras huvudsakligen genom njurarna har ingen farmakokinetisk studie hos patienter med akut eller kroniskt nedsatt leverfunktion utförts. Leverdysfunktion förväntas inte påverka lixisenatids farmakokinetik.
KönKön har ingen kliniskt relevant påverkan på lixisenatids farmakokinetik.
RasEtniskt ursprung hade ingen kliniskt relevant påverkan på lixisenatids farmakokinetik baserat på farmakokinetiska studier hos kaukasiska, japanska och kinesiska försökspersoner.
ÄldreÅlder har ingen kliniskt relevant påverkan på lixisenatids farmakokinetik. I en farmakokinetisk studie hos äldre icke-diabetiska försökspersoner, resulterade administrering av 20 mikrogram lixisenatid i en genomsnittlig ökning av AUC för lixisenatid med 29 % hos den äldre populationen (11 försökspersoner i åldern 65-74 år och 7 försökspersoner ≥75 år) jämfört med 18 försökspersoner i åldern 18-45 år, sannolikt relaterat till minskad njurfunktion i gruppen med äldre.
KroppsviktKroppsvikt har ingen kliniskt relevant påverkan på AUC för lixisenatid.
Icke-kliniska data visar inte några särskilda risker för människa baserat på gängse studier avseende säkerhetsfarmakologi och toxikologi.
I 2-årsstudier över subkutan karcinogenicitet observerades icke-dödliga C‑cellstyroidtumörer hos råttor och möss och anses orsakas av en icke-genotoxisk GLP‑1-receptormedierad mekanism för vilken gnagare är särskilt känsliga. C‑cellshyperplasi och adenom observerades vid alla dosnivåer hos råttor och NOAEL (no observed adverse effect level) kunde inte fastställas. Hos möss inträffade dessa nivåer vid över 9,3-faldigt exponeringsförhållanden jämfört med exponering för människa vid terapeutisk dos. Icke-C-cellskarcinom observerades hos möss och C‑cellskarcinom observerades hos råttor med ca 900-faldigt exponeringsförhållanden jämfört med exponering för människa vid terapeutisk dos.I 2-årsstudier över subkutan karcinogenicitet hos möss, observerades 3 fall av adenokarcinom i endometriet i medeldosgruppen med en statistiskt signifikant ökning, motsvarande ett 97-faldigt exponeringsförhållande. Ingen behandlingsrelaterad effekt observerades.
Djurstudier tydde inte på direkt skadliga effekter med hänsyn till manlig och kvinnlig fertilitet hos råttor. Reversibla testikulära och epidermala lesioner observerades hos hundar behandlade med lixisenatid. Inga relaterade effekter på spermiebildning observerades hos friska män. I embryo-fetala utvecklingsstudier observerades missbildningar, tillväxthämning, hämning av benbildning och effekter på skelettet hos råttor vid alla doser lixisenatid (5-faldigt exponeringsförhållande jämfört med exponering för människa) och hos kaniner vid höga doser lixisenatid (32-faldigt exponeringsförhållande jämfört med exponering för människa). Hos båda arterna observerades viss maternell toxicitet bestående av låg matkonsumtion och minskad kroppsvikt. Neonatal tillväxt minskade hos råttor av hankön som exponerades för höga doser lixisenatid under sen gestation och digivning och en lätt ökning av mortalitet hos ungarna observerades.
Cylinderampull av typ I-glas med en kolv i gummi (bromobutyl), flänsad kapsyl (aluminium) med infogade laminerade förslutningsskivor (bromobutyl-gummi på insidan och polyisopren på utsidan).Varje cylinderampull är monterad i en engångspenna.
Lyxumia 10 mikrogram injektionsvätska, lösning
Varje grön förfylld penna innehåller 3 ml lösning och levererar 14 doser à 10 mikrogram.
Förpackningen innehåller 1 grön förfylld penna.
Lyxumia 20 mikrogram injektionsvätska, lösning
Varje lila förfylld penna innehåller 3 ml lösning och levererar 14 doser à 20 mikrogram.Förpackningarna innehåller 1, 2 och 6 lila förfyllda pennor.
Eventuellt kommer inte alla förpackningsstorlekar att marknadsföras.
Lyxumia får inte användas om det varit fryst.
Lyxumia kan användas med engångsnålar till pennor med 29-32 grovlek (gauge). Pennålar är inte inkluderade.Patienten ska instrueras att slänga nålen efter varje användning enligt gällande anvisningar och att förvara pennan utan fastsatt nål. Detta hjälper till att förebygga kontaminering och potentiell blockering av nålen. Pennan ska användas till endast en patient.
Ej använt läkemedel och avfall ska kasseras enligt gällande anvisningar.
Glycerol 85 %NatriumacetattrihydratMetioninMetakresolSaltsyra (för pH-justering)Natriumhydroxidlösning (för pH-justering)Vatten för injektion
Då blandbarhetsstudier saknas får detta läkemedel inte blandas med andra läkemedel.
3 år.
Efter första användning: 14 dagar.
Förvaras i kylskåp (2 °C-8 °C).Får ej frysas.Förvara skyddat från frysfack.
Efter första användning:Förvaras vid högst 30 °C. Får ej frysas.Förvara inte med en nål fastsatt. Behåll skyddslocket på pennan. Ljuskänsligt.
Cylinderampull av typ I-glas med en kolv i gummi (bromobutyl), flänsad kapsyl (aluminium) med infogade laminerade förslutningsskivor (bromobutyl-gummi på insidan och polyisopren på utsidan).Varje cylinderampull är monterad i en engångspenna.
Lyxumia 10 mikrogram injektionsvätska, lösning
Varje grön förfylld penna innehåller 3 ml lösning och levererar 14 doser à 10 mikrogram.
Förpackningen innehåller 1 grön förfylld penna.
Lyxumia 20 mikrogram injektionsvätska, lösning
Varje lila förfylld penna innehåller 3 ml lösning och levererar 14 doser à 20 mikrogram.Förpackningarna innehåller 1, 2 och 6 lila förfyllda pennor.
Eventuellt kommer inte alla förpackningsstorlekar att marknadsföras.
Lyxumia får inte användas om det varit fryst.
Lyxumia kan användas med engångsnålar till pennor med 29-32 grovlek (gauge). Pennålar är inte inkluderade.Patienten ska instrueras att slänga nålen efter varje användning enligt gällande anvisningar och att förvara pennan utan fastsatt nål. Detta hjälper till att förebygga kontaminering och potentiell blockering av nålen. Pennan ska användas till endast en patient.
Ej använt läkemedel och avfall ska kasseras enligt gällande anvisningar.
Produktresumén är företagets information om läkemedlet riktat till förskrivare och personal inom sjukvård och apotek. Dokumentet är godkänt av Läkemedelsverket eller den europeiska läkemedelsmyndigheten EMA i samband med att läkemedlet godkänns för marknadsföring.