Soliris 300 mg koncentrat till infusionsvätska, lösning
Ekulizumab är en humaniserad monoklonal IgG2/4κ-antikropp som producerats i en NS0-cellinje med rekombinant DNA-teknik.
En 30 ml flaska innehåller 300 mg ekulizumab (10 mg/ml).
Efter spädning är slutkoncentrationen av den lösning som ska användas för infusion 5 mg/ml.
Hjälpämnen med känd effekt: natrium (5 mmol per flaska), polysorbat 80 (6,6 mg per flaska)
För fullständig förteckning över hjälpämnen, se avsnitt 6.1.
Koncentrat till infusionsvätska, lösning.
Klar och färglös vätska, pH 7,0 och osmolalitet på cirka 290‑310 mOsm/kg.
Alexion Europe SAS
103-105 rue Anatole France
92300 Levallois-Perret
FRANKRIKE
EU/1/07/393/001
Första godkännandet: 20 juni 2007
Förnyat godkännande: 18 juni 2012
17 juli 2025 Ytterligare information om detta läkemedel finns på Europeiska läkemedelsmyndighetens webbplats https://www.ema.europa.eu.
Infusioner i hemmet kan övervägas för patienter som har tolererat infusionerna på kliniken väl. För att en patient ska kunna få heminfusioner krävs utvärdering och rekommendation av behandlande läkare. Heminfusioner ska utföras av utbildad hälso- och sjukvårdspersonal.
Dosering
Paroxysmal nokturn hemoglobinuri (PNH) hos vuxna
Doseringsregimen för vuxna PNH‑patienter (≥ 18 år) består av en 4 veckor lång initial fas som följs av en underhållsfas.
Initialfas: 600 mg Soliris administreras som en 25-45 minuters (35 minuter ± 10 minuter) intravenös infusion varje vecka under de första 4 veckorna.
Underhållsfas: 900 mg Soliris administreras som en 25-45 minuters (35 minuter ± 10 minuter) intravenös infusion den femte veckan, följt av 900 mg Soliris som 25-45 minuters (35 minuter ± 10 minuter) intravenös infusion var 14:e dag (± 2 dagar) (se avsnitt 5.1).
Atypiskt hemolytiskt uremiskt syndrom (aHUS), refraktär generaliserad myasthenia gravis (gMG) och neuromyelitis optica‑spektrumtillstånd (NMOSD) hos vuxna
Doseringsregimen för vuxna patienter (≥ 18 år) med aHUS, refraktär gMG och NMOSD består av en 4-veckors initial fas följt av en underhållsfas:
Initial fas: 900 mg Soliris administreras som en 25–45 minuters (35 minuter ± 10 minuter) intravenös infusion varje vecka under de första 4 veckorna
Underhållsfas: 1 200 mg Soliris administreras som en 25–45 minuters (35 minuter ± 10 minuter) intravenös infusion den femte veckan, följt av 1 200 mg Soliris som 25–45 minuters (35 minuter ± 10 minuter) intravenös infusion var 14:e dag (± 2 dagar) (se avsnitt 5.1).
Refraktär gMG
Tillgängliga data tyder på att kliniskt svar vanligen uppnås efter 12 veckors behandling med Soliris. Utsättning av behandlingen bör övervägas hos patienter som inte visar några tecken på terapeutisk nytta efter 12 veckor.
Pediatrisk population med PNH, aHUS eller refraktär gMG
Pediatriska patienter med PNH, aHUS eller refraktär gMG med en kroppsvikt ≥ 40 kg behandlas enligt doseringsregimen för vuxna patienter.
Hos pediatriska patienter med PNH, aHUS eller refraktär gMG med en kroppsvikt på under 40 kg, består Soliris‑doseringsregimen av:
Soliris har inte studerats hos patienter med PNH eller refraktär gMG som väger under 40 kg. Doseringen av Soliris som ska användas för pediatriska patienter med PNH eller refraktär gMG som väger under 40 kg är identisk med den viktbaserade dosrekommendation som anges för pediatriska patienter med aHUS. Baserat på tillgängliga farmakokinetiska (PK)/farmakodynamiska (PD) data från patienter med aHUS eller PNH som behandlats med Soliris, förväntas denna kroppsviktbaserade dosregim för pediatriska patienter resultera i en effekt- och säkerhetsprofil som motsvarar den för vuxna. Denna kroppsviktbaserade doseringsregim förväntas också resultera i en effekt- och säkerhetsprofil som liknar den för vuxna hos patienter med refraktär gMG som väger under 40 kg.
Kompletterande dosering av Soliris krävs vid samtidig plasmaferes (PF), plasmautbyte (PE) eller infusion av färskfrusen plasma (PI) enligt beskrivningen nedan:
Förkortningar: PF/PE/PI = plasmaferes/plasmautbyte/plasmainfusion
En kompletterande Soliris-dos krävs vid samtidig behandling med intravenöst immunglobulin (IVIg) enligt beskrivningen nedan (se även avsnitt 4.5):
Förkortning: IVIg = intravenöst immunglobulin
Övervakning av behandling
aHUS-patienter ska följas med avseende på tecken och symtom på trombotisk mikroangiopati (TMA) (se avsnitt 4.4 aHUS laboratorieövervakning).
Behandling med Soliris rekommenderas vara livslång, om inte avbrytande av behandlingen är kliniskt indicerat (se avsnitt 4.4).
Äldre
Soliris kan administreras till patienter som är 65 år och äldre. Inga rön tyder på att några särskilda försiktighetsmått är nödvändiga vid behandling av äldre – även om erfarenheten av Soliris-behandling av denna patientpopulation ännu är begränsad.
Nedsatt njurfunktion
Ingen dosjustering krävs för patienter med nedsatt njurfunktion (se avsnitt 5.1).
Nedsatt leverfunktion
Säkerhet och effekt av Soliris har inte studerats på patienter med nedsatt leverfunktion.
Pediatrisk population
Säkerhet och effekt för Soliris hos barn med refraktär gMG under 6 års ålder har inte fastställts.
Säkerhet och effekt för Soliris hos barn med NMOSD under 18 års ålder har inte fastställts.
Administreringssätt
Administrera inte som en intravenös snabbinjektion eller bolusinjektion. Soliris ska endast administreras via intravenös infusion enligt beskrivningen nedan.
Anvisningar om spädning av läkemedlet före administrering finns i avsnitt 6.6.
Den spädda lösningen av Soliris ska administreras som intravenös infusion under 25‑45 minuter (35 minuter ± 10 minuter) till vuxna och 1-4 timmar till pediatriska patienter under 18 år genom självtryck, med en sprutpump eller med en infusionspump. Den spädda lösningen av Soliris behöver inte skyddas från ljus under administreringen till patienten.
Patienterna bör övervakas under en timme efter infusionen. Om en oönskad händelse inträffar under administreringen av Soliris kan behandlande läkare avgöra om infusionshastigheten ska sänkas eller om infusionen ska stoppas helt. Om infusionshastigheten sänks får den totala infusionstiden inte överstiga två timmar hos vuxna och fyra timmar hos pediatriska patienter under 18 år.
Det finns begränsad säkerhetsdata som stödjer infusioner i hemmet, ytterligare försiktighetsåtgärder i hemmet så som tillgänglig akutbehandling för infusionsreaktioner eller anafylaxi rekommenderas. Infusionsreaktioner beskrivs i produktresuméns avsnitt 4.4 och 4.8.
Överkänslighet mot ekulizumab, mot murina proteiner eller mot något hjälpämne som anges i avsnitt 6.1.
Soliris-behandling får inte påbörjas hos patienter (se avsnitt 4.4):
med pågående Neisseria meningitidis-infektion
som vid tidpunkten i fråga inte är vaccinerade mot Neisseria meningitidis, om de inte får profylaktisk behandling med lämplig antibiotika tills 2 veckor efter vaccinationen.
Spårbarhet
För att underlätta spårbarhet av biologiska läkemedel ska läkemedlets namn och tillverkningssatsnummer dokumenteras.
Soliris förväntas inte påverka den aplastiska komponenten av anemin hos patienter med PNH.
Meningokockinfektion
På grund av Soliris verkningsmekanism ökar patientens mottaglighet för meningokockinfektion (Neisseria meningitidis). Meningokocksjukdom orsakad av vilken serogrupp som helst kan uppstå. För att minska risken för infektion måste alla patienter vaccineras minst 2 veckor innan de får Soliris om inte risken med att fördröja behandlingen med Soliris överväger riskerna av att utveckla en meningokockinfektion. Patienter som påbörjar behandling med Soliris mindre än 2 veckor efter att ha fått tetravalent meningokockvaccin måste behandlas med lämpligt antibiotika-profylax tills 2 veckor efter vaccinationen. Vacciner mot alla tillgängliga serogrupper, inklusive A, C, Y, W 135 och B, rekommenderas för att förhindra de vanligtvis patogena serogrupperna av meningokocker. Patienter måste vaccineras och omvaccineras enligt gällande nationella riktlinjer för vaccinering.
Vaccination kan aktivera komplement ytterligare. Detta kan resultera i att patienter med komplement-medierade sjukdomar, inklusive PNH, aHUS, refraktär gMG och NMOSD, kan uppleva ökade tecken och symtom av sin underliggande sjukdom, såsom hemolys (PNH), TMA (aHUS), MG med exacerbationer (refraktär gMG) eller recidiv (NMOSD). Därför ska patienterna noggrant övervakas för sjukdomssymtom efter rekommenderad vaccination.
Det finns risk för att vaccinering inte räcker för att förhindra meningokockinfektion. Hänsyn bör tas till officiella riktlinjer för korrekt användning av antibakteriella agens. Fall av allvarlig eller livshotande meningokockinfektion har rapporterats hos patienter som behandlats med Soliris. Sepsis är ett vanligt tecken på meningokockinfektioner hos patienter som behandlas med Soliris (se avsnitt 4.8). Alla patienter ska följas med avseende på tidiga tecken på meningokockinfektion, bedömas omedelbart om misstanke föreligger om infektion, och behandlas med lämplig antibiotika vid behov. Patienterna ska informeras om dessa symtom och de åtgärder som ska vidtas för att omedelbart söka vård. Läkaren måste diskutera fördelar och risker med Soliris-behandlingen med patienterna och ge dem en patientguide och ett patientkort. (Se bipacksedeln för en beskrivning.)
Andra systemiska infektioner
På grund av Soliris verkningsmekanism ska Soliris administreras med försiktighet till patienter med aktiva systemiska infektioner. Patienternas infektionskänslighet kan öka, särskilt för Neisseria och kapslade bakterier. Det har inrapporterats allvarliga infektioner orsakade av Neisseria-arter (andra än Neisseria meningitidis), inklusive disseminerade gonokockinfektioner. Patienterna ska få information från bipacksedeln för att öka deras medvetenhet om potentiellt allvarliga infektioner och tecken och symtom på sådana. Läkaren ska ge patienterna råd om förebyggande av gonorré.
Infusionsreaktioner
Soliris kan vid administrering ge upphov till infusionsreaktioner eller immunogenicitet som kan leda till allergisk reaktion eller överkänslighetsreaktion (inklusive anafylaxi). I kliniska studier fick 1 (0,9 %) patient med refraktär gMG en infusionsreaktion som ledde till att Soliris-behandlingen måste avbrytas. Inga pediatriska patienter med PNH, aHUS, refraktär gMG eller NMOSD har drabbats av någon infusionsreaktion som har inneburit att Soliris-behandlingen måste avbrytas. Soliris-administrering ska avbrytas för alla patienter som upplever allvarliga infusionsreaktioner och lämplig medicinsk behandling ska sättas in.
Immunogenicitet
Antikroppssvar har i sällsynta fall påvisats hos Soliris-behandlade patienter i alla kliniska studier. I placebokontrollerade studier av PNH rapporterades lågt antikroppssvar med frekvensen 3,4 %, vilket är ungefär som för placebo (4,8 %).
Hos aHUS-patienter som behandlades med Soliris påvisades antikroppar mot Soliris hos 3/100 (3 %) i den ECL-överbryggande formatanalysen. 1/100 (1 %) aHUS‑patienter hade låga positiva värden för neutraliserande antikroppar.
I en placebokontrollerad studie av refraktär gMG visade inga (0/62) av de Soliris‑behandlade patienterna antikroppssvar mot läkemedel under den aktiva behandlingen på 26 veckor, medan totalt 3/117 (2,6 %) i förlängningsstudien av refraktär gMG var positiva för ADA vid något besök efter baslinjen. Positiva ADA‑resultat verkade vara övergående eftersom inga positiva titrar sågs vid efterföljande besök. Inga kliniska fynd förelåg hos dessa patienter som kunde tyda på en effekt av positiva ADA-titrar.
I en placebokontrollerad studie av NMOSD uppvisade 2/95 (2,1 %) av patienterna som behandlades med Soliris antikroppar mot läkemedlet efter baslinjen. Båda patienterna var negativa för neutraliserande antikroppar. Positiva ADA-prover hade låg titer och var övergående. Ingen korrelation har observerats mellan antikroppsutveckling och klinisk respons eller biverkningar.
Immunisering
Innan Soliris-behandling inleds rekommenderas det att patienter med PNH, aHUS, refraktär gMG eller NMOSD påbörjar immuniseringar enligt gällande immuniseringsriktlinjer. Dessutom måste alla patienter vaccineras mot meningokockinfektioner minst 2 veckor innan de får Soliris om inte risken med att fördröja behandlingen med Soliris överväger riskerna av att utveckla en meningokockinfektion. Patienter som påbörjar behandling med Soliris mindre än 2 veckor efter att ha fått tetravalent meningokockvaccin måste få behandling med lämplig antibiotika profylaktiskt tills 2 veckor efter vaccinationen. Vacciner mot alla tillgängliga serogrupper, inklusive A, C, Y, W 135 och B, rekommenderas för att förhindra de vanligtvis patogena serogrupperna av meningokocker. Patienter måste vaccineras och omvaccineras enligt gällande nationella riktlinjer för vaccinering (se meningokockinfektion).
Patienter yngre än 18 år måste vaccineras mot Haemophilus influenzae och pneumokockinfektioner och strikt följa det nationella vaccinationsprogrammets rekommendationer för varje åldersgrupp.
Vaccination kan aktivera komplement ytterligare och resultera i att patienter med komplement-medierade sjukdomar, inklusive PNH, aHUS, refraktär gMG eller NMOSD, kan uppleva ökade tecken och symtom av sin underliggande sjukdom, såsom hemolys (PNH), TMA (aHUS), MG med exacerbationer (refraktär gMG) eller recidiv (NMOSD). Därför ska patienterna noggrant övervakas för sjukdomssymtom efter rekommenderad vaccination.
Behandling med antikoagulantia
Behandling med Soliris ska inte påverka användning av antikoagulantia.
Behandlingar med immunhämmande och antikolinesterasmedel
Refraktär gMG
När behandlingar med immunhämmande och antikolinesterasmedel minskas eller avbryts ska patienterna övervakas noga för tecken på sjukdomsexacerbation.
Neuromyelitis optica‑spektrumtillstånd
När behandling med immunhämmande medel minskas eller avbryts ska patienterna övervakas noga avseende tecken och symtom på eventuellt recidiv i NMOSD.
PNH laboratorieövervakning
PNH-patienter ska följas med avseende på tecken och symtom på intravaskulär hemolys, inbegripet kontroll av laktatdehydrogenashalter (LDH-halter) i serum. PNH-patienter som får Soliris-behandling ska på motsvarande sätt följas för tecken på intravaskulär hemolys genom mätning av LDH-halterna. De kan behöva dosjustering inom ramen för det rekommenderade 14±2-dagars doseringsschemat under underhållsfasen (upp till var tolfte dag).
aHUS laboratorieövervakning
aHUS-patienter som får Soliris-behandling ska följas med avseende på trombotisk mikroangiopati (TMA) genom att mäta trombocyter, serum LDH och serumkreatinin och kan behöva dosjustering inom ramen för det rekommenderade 14±2-dagars doseringsschemat under underhållsfasen (upp till var tolfte dag).
Behandlingsavbrott för PNH
Ifall PNH-patienter avbryter behandlingen med Soliris ska de följas noga med avseende på tecken och symtom på allvarlig intravaskulär hemolys. Allvarlig hemolys identifieras genom LDH-halter i serum som överstiger halten före behandling, tillsammans med något av följande: en minskning i absoluta tal som överstiger 25 % av PNH-klonens storlek (utan utspädning på grund av transfusion) på en vecka eller mindre; en hemoglobinkoncentration på <5 g/dl eller en minskning på >4 g/dl på en vecka eller mindre; angina; förändringar av patientens mentala status; en ökning av serumkreatinin på 50 %; trombos. Alla patienter som avbryter Soliris-behandling ska följas i minst 8 veckor med avseende på svår hemolys och andra reaktioner.
Om svår hemolys uppträder efter det att en patient har avbrutit behandling med Soliris ska följande förfaranden/behandlingar övervägas: blodtransfusion (koncentrerade röda blodkroppar) eller utbytestransfusion om PNH-blodkropparna utgör >50 % av alla röda blodkroppar enligt flödescytometri; antikoagulationsbehandling; kortikosteroider; återinsättning av Soliris. I kliniska PNH‑studier avbröt 16 patienter behandlingen med Soliris. Ingen allvarlig hemolys observerades.
Behandlingsavbrott för aHUS
Trombotiska mikroangiopati (TMA)-komplikationer har observerats så tidigt som 4 veckor och upp till 127 veckor efter avbrytande av behandlingen med Soliris hos vissa patienter. Behandlingsavbrott ska endast övervägas om det är medicinskt motiverat.
I kliniska aHUS-studier avbröt 61 patienter (21 pediatriska patienter) behandlingen med Soliris med en median uppföljningsperiod på 24 veckor. Femton allvarliga trombotiska mikroangiopati (TMA)-komplikationer observerades hos 12 patienter efter behandlingsavbrott och 2 allvarliga TMA‑komplikationer förekom hos ytterligare 2 patienter som fick en reducerad dosering av Soliris som gick utanför det godkända doseringsintervallet (se avsnitt 4.2). Allvarliga TMA‑komplikationer förekom hos patienter oavsett om de hade en identifierad genetisk mutation, högrisk polymorfism eller auto‑antikroppar. Ytterligare allvarliga medicinska komplikationer förekom hos dessa patienter inklusive allvarlig försämring av njurfunktionen, sjukdomsrelaterad sjukhusvistelse och progression till terminal njursjukdom som kräver dialys. Trots återinsättning av Soliris efter utsättandet uppstod progression till terminal njursjukdom hos en patient.
Om aHUS-patienter avbryter behandlingen med Soliris ska de följas noga för tecken och symtom på allvarliga trombotisk mikroangiopati-komplikationer. Övervakning kan vara otillräckligt för att förutsäga eller förhindra allvarliga trombotiska mikroangiopati‑komplikationer hos patienter med aHUS efter utsättande av Soliris.
Svåra trombotisk mikroangiopati-komplikationer efter utsättande kan identifieras genom (i) två eller upprepade mätningar av något av följande: en minskning i trombocytantal på 25 % eller mer jämfört med antingen baslinjevärdet eller högsta trombocyttalet vid Soliris-behandlingen; en ökning av serumkreatinin med 25 % eller mer jämfört med baslinjevärdet eller lägsta nivå under behandling med Soliris, eller en ökning av serum LDH på 25 % eller mer jämfört med baslinjevärdet eller lägsta nivå under Soliris-behandlingen, eller (ii) något av följande: en förändring i mental status eller kramper, kärlkramp eller dyspné, eller trombos.
Om allvarliga trombotisk mikroangiopati-komplikationer uppstår efter utsättande av Soliris, överväg återinsättande av behandling med Soliris, understödjande behandling med plasmaterapi (PE/PI), eller lämpliga organspecifika stödjande åtgärder, inklusive njurunderstödjande behandling med dialys, andningshjälp med mekanisk ventilation eller antikoagulantia.
Behandlingsavbrott för refraktär gMG
Användning av Soliris i behandlingen av refraktär gMG har endast studerats i den kroniska administreringsmiljön. Patienter som avbryter behandlingen med Soliris ska övervakas noga för tecken och symtom på sjukdomsexacerbation.
Behandlingsavbrott för NMOSD
Användning av Soliris i behandlingen av NMOSD har endast studerats vid långtidsadministrering och effekten av att sätta ut Soliris har inte klarlagts. Patienter som avbryter behandlingen med Soliris ska övervakas noga avseende tecken och symtom på eventuellt recidiv i NMOSD.
Utbildningsmaterial
Alla läkare som avser att förskriva Soliris måste vara insatt i förskrivningsguiden för hälso- och sjukvårdspersonal. Läkaren måste diskutera fördelar och risker med Soliris-behandlingen med patienterna och ge dem en patientguide och ett patientkort.
Patienterna ska informeras att om de får feber, huvudvärk tillsammans med feber och/eller nackstelhet eller ljuskänslighet ska de omedelbart söka vård eftersom dessa tecken kan tyda på meningokockinfektion.
Hjälpämnen med känd effekt
Natrium
När detta läkemedel har spätts med natriumklorid 9 mg/ml (0,9 %) injektionsvätska innehåller det 0,88 g natrium per 240 ml vid den högsta dosen, motsvarande 44,0 % av WHO:s högsta rekommenderat dagligt intag (2 g natrium för vuxna).
När detta läkemedel har spätts med natriumklorid 4,5 mg/ml (0,45 %) injektionsvätska innehåller det 0,67 g natrium per 240 ml vid den högsta dosen, motsvarande 33,5 % av WHO:s högsta rekommenderat dagligt intag (2 g natrium för vuxna).
Polysorbat 80
Detta läkemedel innehåller 6,6 mg polysorbat 80 per flaska (30 ml-flaska) vilket motsvarar 0,66 mg/kg eller mindre vid den maximala dosen för vuxna patienter och pediatriska patienter med en kroppsvikt över 10 kg. Detta motsvarar 1,32 mg/kg eller mindre vid den maximala dosen för pediatriska patienter med en kroppsvikt på 5 till < 10 kg. Polysorbater kan orsaka allergiska reaktioner.
Inga interaktionsstudier har utförts. Beroende på den potentiella hämmande effekten av ekulizumab på rituximabs komplementberoende cytotoxicitet kan ekulizumab eventuellt minska rituximabs förväntade farmakodynamiska effekter.
Plasmautbyte (PE), plasmaferes (PP), infusion av färskfrusen plasma (PI) och intravenöst immunglobulin (IVIg) har visat sig minska ekulizumabnivåerna i serum. En kompletterande dos av ekulizumab krävs i dessa fall. Se avsnitt 4.2 för vägledning vid samtidig behandling med PE, PF, PI eller IVIg.
Samtidig användning av ekulizumab och intravenöst immunglobulin (IVIg) kan minska effekten av ekulizumab. Övervaka patienten noga avseende eventuell minskad effekt av ekulizumab.
Samtidig användning av ekulizumab och neonatala Fc-receptorblockerare (FcRn) kan sänka den systemiska exponeringen och minska effekten av ekulizumab. Övervaka patienten noga avseende eventuell minskad effekt av ekulizumab.
Användning av tillförlitlig preventivmetod för att förhindra graviditet under behandlingen och upp till 5 månader efter avslutad behandling med ekulizumab bör övervägas till fertila kvinnor.
Graviditet
Det finns inga välkontrollerade studier på gravida kvinnor som behandlas med ekulizumab. Data från ett begränsat antal gravida kvinnor som exponerats för ekulizumab (mindre än 300 graviditeter) tyder inte på någon ökad risk för fostermissbildningar eller foster-/neonatal toxicitet. På grund av avsaknaden av välkontrollerade studier kvarstår dock osäkerheter. Därför rekommenderas en individuell riskanalys före och under behandling med ekulizumab till gravida kvinnor. Om sådan behandling anses nödvändig under graviditet rekommenderas noggrann övervakning av moder och foster enligt lokala riktlinjer.
Inga reproduktionsstudier på djur har gjorts med ekulizumab (se avsnitt 5.3).
Det är känt att humana IgG passerar placentabarriären, vilket innebär att ekulizumab potentiellt kan orsaka hämning av terminalt komplement i fostercirkulationen. Därför ska Soliris endast ges till gravida kvinnor om det finns ett klart behov.
Amning
Inga effekter förväntas på ammade nyfödda/spädbarn eftersom begränsade tillgängliga data tyder på att ekulizumab inte utsöndras i bröstmjölk. På grund av begränsningarna i tillgängliga data bör utvecklings- och hälsomässiga fördelar med amning övervägas tillsammans med moderns kliniska behov av ekulizumab och eventuella ogynnsamma effekter på det ammade barnet relaterade till ekulizumab eller till det underliggande tillståndet hos modern.
Fertilitet
Ingen specifik studie på ekulizumab kring fertilitet har utförts.
Soliris har ingen eller försumbar effekt på förmågan att framföra fordon och använda maskiner.
Sammanfattning av säkerhetsprofilen
Stödjande säkerhetsdata erhölls från 33 kliniska studier som inkluderade 1 555 patienter exponerade för ekulizumab i populationer med komplementmedierad sjukdom, inklusive PNH, aHUS, refraktär gMG och NMOSD. Den vanligaste biverkningen var huvudvärk (förekom huvudsakligen under den första behandlingstiden) och den allvarligaste biverkningen var meningokockinfektion.
Tabell över biverkningar
Tabell 1 visar de biverkningar som observerats vid spontanrapportering och vid avslutade kliniska prövningar med ekulizumab, inklusive studier av PNH, aHUS, refraktär gMG och NMOSD. Biverkningar som rapporterades med frekvensen mycket vanliga (≥1/10), vanliga (≥1/100, <1/10), mindre vanliga (≥1/1 000, <1/100), sällsynta (≥1/10 000, <1/1 000) eller ingen känd frekvens (kan inte beräknas från tillgängliga data) är listade efter organsystem och föredragen term. Inom varje frekvensgrupp listas biverkningarna i fallande allvarlighetsgrad.
Tabell 1: Rapporterade biverkningar i kliniska prövningar med ekulizumab, vilka inkluderat patienter med PNH, aHUS, refraktär gMG och NMOSD, samt från erfarenheter efter godkännandet för försäljning
Följande studier är inkluderade: Astma (C07-002), aHUS(C08-002, C08-003, C10-003, C10-004), dermatomyosit (C99-006), refraktär gMG (C08-001, ECU-MG-301, ECU-MG-302, ECU-MG-303), neuromyelitis optica‑spektrumtillstånd (ECU-NMO-301, ECU-NMO-302), IMG (C99-004, E99-004), PNH (C02‑001, C04‑001, C04‑002, C06‑002, C07-001, E02-001, E05-001, E07-001, M07-005, X03-001, X03-001A), psoriasis (C99‑007), RA (C01‑004, C97-001, C99-001, E01-004, E99-001), STEC-HUS (C11-001), SLE (C97-002). MedDRA version 26.1.
*Se avsnittet ”Beskrivning av vissa biverkningar”.
aAbscess inkluderar följande grupper av rekommenderade termer: abscess i extremitet, kolonabscess, njurabscess, subkutan abscess, tandabscess, leverabscess, perirektal abscess, rektal abscess.
bMeningokockinfektion inkluderar följande grupper av rekommenderade termer: meningokockinfektion, meningokocksepsis, meningokockmeningit.
cBiverkningar rapporterade efter godkännandet för försäljning.
dFrekvens kan inte uppskattas från tillgängliga data rapporterade efter godkännandet för försäljning.
Beskrivning av vissa biverkningar
I alla kliniska studier var den allvarligaste biverkningen meningokocksepis, som är en vanlig presentation av meningokockinfektion hos patienter som behandlas med Soliris (se avsnitt 4.4).
Andra fall med Neisseria-arter har rapporterats inklusive sepsis orsakad av Neisseria gonorrhoeae, Neisseria sicca/subflava, ospecificerad Neisseria -spp.
Antikroppar mot Soliris upptäcktes hos 2 % av PNH-patienter med användning av ELISA-analys, hos 3 % av patienterna med aHUS och hos 2 % av patienterna med NMOSD med användning av ECL-överbryggande formatanalys. I placebokontrollerade studier av refraktär gMG observerades inga antikroppar mot läkemedel. Liksom för alla proteiner finns en risk för immunogenicitet.
Fall av hemolys har rapporterats vid missad eller försenad dos av Soliris i kliniska prövningar med PNH-patienter (se även avsnitt 4.4).
Fall av trombotiska mikroangiopati‑komplikationer har rapporterats vid behandling i kliniska prövningar med aHUS-patienter där Solirisdosen hoppats över eller givits för sent (se även avsnitt 4.4).
Pediatrisk population
Hos barn och tonåringar med PNH (i åldern 11 år till yngre än 18 år) som inkluderades i den pediatriska PNH-studien M07-005, verkade säkerhetsprofilen likna den som observerats hos vuxna PNH-patienter. Den vanligaste biverkningen som rapporterades hos pediatriska patienter var huvudvärk.
Hos pediatriska patienter med aHUS (i åldern 2 månader till yngre än 18 år) som inkluderades i aHUS-studier C08-002, C08-003, C09-001r och C10-003, verkade säkerhetsprofilen likna den som observerats hos vuxna med aHUS. Säkerhetsprofilen hos olika pediatriska åldersundergrupper verkade vara lika.
Hos pediatriska patienter med refraktär gMG (i åldern 12 till yngre än 18 år) som ingick i studie ECU‑MG‑303 verkade säkerhetsprofilen likna den som observerats hos vuxna patienter med refraktär gMG.
Äldre patienter
Inga övergripande skillnader i säkerhet rapporterades mellan äldre (> 65 år) och yngre patienter med refraktär gMG (< 65 år) (se avsnitt 5.1).
Patienter med andra sjukdomar
Säkerhetsdata från andra kliniska studier
Stödjande säkerhetsdata erhölls från 12 avslutade kliniska studier som inkluderade 934 patienter som exponerades för ekulizumab i andra sjukdomspopulationer än PNH, aHUS, refraktär gMG eller NMOSD. En ovaccinerad patient med diagnosen idiopatisk membranös glomerulonefropati ingick som drabbades av meningokockmeningit. Biverkningar som rapporterats hos patienter med andra sjukdomar än PNH, aHUS, refraktär gMG eller NMOSD var liknande de som rapporterats hos patienter med PNH, aHUS, refraktär gMG eller NMOSD (se tabell 1 ovan). Inga specifika biverkningar har framkommit i dessa kliniska studier.
Inga fall av överdosering har rapporterats i någon av de kliniska studierna.
Soliris är avsett för vuxna och barn för behandling av:
Paroxysmal nokturn hemoglobinuri (PNH).
Den kliniska nyttan av Soliris har visats hos patienter med hemolys med ett eller flera kliniska symtom som indikerar hög sjukdomsaktivitet, oavsett tidigare transfusioner (se avsnitt 5.1).
Atypiskt hemolytiskt uremiskt syndrom (aHUS) (se avsnitt 5.1).
Refraktär generaliserad myasthenia gravis (gMG) hos patienter i åldern 6 år och äldre som är positiva för antikroppar mot acetylkolinreceptor (AChR) (se avsnitt 5.1).
Soliris är avsett för vuxna för behandling av:
Neuromyelitis optica‑spektrumtillstånd (NMOSD) hos patienter som är positiva för antikroppar mot akvaporin-4 (AQP4) och skovvis form av sjukdomen (se avsnitt 5.1).
Soliris måste administreras av vårdpersonal och under överinseende av en läkare som har erfarenhet av att behandla patienter med hematologiska, njur-, neuromuskulära eller neuro-inflammatoriska sjukdomar.
Infusioner i hemmet kan övervägas för patienter som har tolererat infusionerna på kliniken väl. För att en patient ska kunna få heminfusioner krävs utvärdering och rekommendation av behandlande läkare. Heminfusioner ska utföras av utbildad hälso- och sjukvårdspersonal.
Dosering
Paroxysmal nokturn hemoglobinuri (PNH) hos vuxna
Doseringsregimen för vuxna PNH‑patienter (≥ 18 år) består av en 4 veckor lång initial fas som följs av en underhållsfas.
Initialfas: 600 mg Soliris administreras som en 25-45 minuters (35 minuter ± 10 minuter) intravenös infusion varje vecka under de första 4 veckorna.
Underhållsfas: 900 mg Soliris administreras som en 25-45 minuters (35 minuter ± 10 minuter) intravenös infusion den femte veckan, följt av 900 mg Soliris som 25-45 minuters (35 minuter ± 10 minuter) intravenös infusion var 14:e dag (± 2 dagar) (se avsnitt 5.1).
Atypiskt hemolytiskt uremiskt syndrom (aHUS), refraktär generaliserad myasthenia gravis (gMG) och neuromyelitis optica‑spektrumtillstånd (NMOSD) hos vuxna
Doseringsregimen för vuxna patienter (≥ 18 år) med aHUS, refraktär gMG och NMOSD består av en 4-veckors initial fas följt av en underhållsfas:
Initial fas: 900 mg Soliris administreras som en 25–45 minuters (35 minuter ± 10 minuter) intravenös infusion varje vecka under de första 4 veckorna
Underhållsfas: 1 200 mg Soliris administreras som en 25–45 minuters (35 minuter ± 10 minuter) intravenös infusion den femte veckan, följt av 1 200 mg Soliris som 25–45 minuters (35 minuter ± 10 minuter) intravenös infusion var 14:e dag (± 2 dagar) (se avsnitt 5.1).
Refraktär gMG
Tillgängliga data tyder på att kliniskt svar vanligen uppnås efter 12 veckors behandling med Soliris. Utsättning av behandlingen bör övervägas hos patienter som inte visar några tecken på terapeutisk nytta efter 12 veckor.
Pediatrisk population med PNH, aHUS eller refraktär gMG
Pediatriska patienter med PNH, aHUS eller refraktär gMG med en kroppsvikt ≥ 40 kg behandlas enligt doseringsregimen för vuxna patienter.
Hos pediatriska patienter med PNH, aHUS eller refraktär gMG med en kroppsvikt på under 40 kg, består Soliris‑doseringsregimen av:
Soliris har inte studerats hos patienter med PNH eller refraktär gMG som väger under 40 kg. Doseringen av Soliris som ska användas för pediatriska patienter med PNH eller refraktär gMG som väger under 40 kg är identisk med den viktbaserade dosrekommendation som anges för pediatriska patienter med aHUS. Baserat på tillgängliga farmakokinetiska (PK)/farmakodynamiska (PD) data från patienter med aHUS eller PNH som behandlats med Soliris, förväntas denna kroppsviktbaserade dosregim för pediatriska patienter resultera i en effekt- och säkerhetsprofil som motsvarar den för vuxna. Denna kroppsviktbaserade doseringsregim förväntas också resultera i en effekt- och säkerhetsprofil som liknar den för vuxna hos patienter med refraktär gMG som väger under 40 kg.
Kompletterande dosering av Soliris krävs vid samtidig plasmaferes (PF), plasmautbyte (PE) eller infusion av färskfrusen plasma (PI) enligt beskrivningen nedan:
Förkortningar: PF/PE/PI = plasmaferes/plasmautbyte/plasmainfusion
En kompletterande Soliris-dos krävs vid samtidig behandling med intravenöst immunglobulin (IVIg) enligt beskrivningen nedan (se även avsnitt 4.5):
Förkortning: IVIg = intravenöst immunglobulin
Övervakning av behandling
aHUS-patienter ska följas med avseende på tecken och symtom på trombotisk mikroangiopati (TMA) (se avsnitt 4.4 aHUS laboratorieövervakning).
Behandling med Soliris rekommenderas vara livslång, om inte avbrytande av behandlingen är kliniskt indicerat (se avsnitt 4.4).
Äldre
Soliris kan administreras till patienter som är 65 år och äldre. Inga rön tyder på att några särskilda försiktighetsmått är nödvändiga vid behandling av äldre – även om erfarenheten av Soliris-behandling av denna patientpopulation ännu är begränsad.
Nedsatt njurfunktion
Ingen dosjustering krävs för patienter med nedsatt njurfunktion (se avsnitt 5.1).
Nedsatt leverfunktion
Säkerhet och effekt av Soliris har inte studerats på patienter med nedsatt leverfunktion.
Pediatrisk population
Säkerhet och effekt för Soliris hos barn med refraktär gMG under 6 års ålder har inte fastställts.
Säkerhet och effekt för Soliris hos barn med NMOSD under 18 års ålder har inte fastställts.
Administreringssätt
Administrera inte som en intravenös snabbinjektion eller bolusinjektion. Soliris ska endast administreras via intravenös infusion enligt beskrivningen nedan.
Anvisningar om spädning av läkemedlet före administrering finns i avsnitt 6.6.
Den spädda lösningen av Soliris ska administreras som intravenös infusion under 25‑45 minuter (35 minuter ± 10 minuter) till vuxna och 1-4 timmar till pediatriska patienter under 18 år genom självtryck, med en sprutpump eller med en infusionspump. Den spädda lösningen av Soliris behöver inte skyddas från ljus under administreringen till patienten.
Patienterna bör övervakas under en timme efter infusionen. Om en oönskad händelse inträffar under administreringen av Soliris kan behandlande läkare avgöra om infusionshastigheten ska sänkas eller om infusionen ska stoppas helt. Om infusionshastigheten sänks får den totala infusionstiden inte överstiga två timmar hos vuxna och fyra timmar hos pediatriska patienter under 18 år.
Det finns begränsad säkerhetsdata som stödjer infusioner i hemmet, ytterligare försiktighetsåtgärder i hemmet så som tillgänglig akutbehandling för infusionsreaktioner eller anafylaxi rekommenderas. Infusionsreaktioner beskrivs i produktresuméns avsnitt 4.4 och 4.8.
Överkänslighet mot ekulizumab, mot murina proteiner eller mot något hjälpämne som anges i avsnitt 6.1.
Soliris-behandling får inte påbörjas hos patienter (se avsnitt 4.4):
med pågående Neisseria meningitidis-infektion
som vid tidpunkten i fråga inte är vaccinerade mot Neisseria meningitidis, om de inte får profylaktisk behandling med lämplig antibiotika tills 2 veckor efter vaccinationen.
Spårbarhet
För att underlätta spårbarhet av biologiska läkemedel ska läkemedlets namn och tillverkningssatsnummer dokumenteras.
Soliris förväntas inte påverka den aplastiska komponenten av anemin hos patienter med PNH.
Meningokockinfektion
På grund av Soliris verkningsmekanism ökar patientens mottaglighet för meningokockinfektion (Neisseria meningitidis). Meningokocksjukdom orsakad av vilken serogrupp som helst kan uppstå. För att minska risken för infektion måste alla patienter vaccineras minst 2 veckor innan de får Soliris om inte risken med att fördröja behandlingen med Soliris överväger riskerna av att utveckla en meningokockinfektion. Patienter som påbörjar behandling med Soliris mindre än 2 veckor efter att ha fått tetravalent meningokockvaccin måste behandlas med lämpligt antibiotika-profylax tills 2 veckor efter vaccinationen. Vacciner mot alla tillgängliga serogrupper, inklusive A, C, Y, W 135 och B, rekommenderas för att förhindra de vanligtvis patogena serogrupperna av meningokocker. Patienter måste vaccineras och omvaccineras enligt gällande nationella riktlinjer för vaccinering.
Vaccination kan aktivera komplement ytterligare. Detta kan resultera i att patienter med komplement-medierade sjukdomar, inklusive PNH, aHUS, refraktär gMG och NMOSD, kan uppleva ökade tecken och symtom av sin underliggande sjukdom, såsom hemolys (PNH), TMA (aHUS), MG med exacerbationer (refraktär gMG) eller recidiv (NMOSD). Därför ska patienterna noggrant övervakas för sjukdomssymtom efter rekommenderad vaccination.
Det finns risk för att vaccinering inte räcker för att förhindra meningokockinfektion. Hänsyn bör tas till officiella riktlinjer för korrekt användning av antibakteriella agens. Fall av allvarlig eller livshotande meningokockinfektion har rapporterats hos patienter som behandlats med Soliris. Sepsis är ett vanligt tecken på meningokockinfektioner hos patienter som behandlas med Soliris (se avsnitt 4.8). Alla patienter ska följas med avseende på tidiga tecken på meningokockinfektion, bedömas omedelbart om misstanke föreligger om infektion, och behandlas med lämplig antibiotika vid behov. Patienterna ska informeras om dessa symtom och de åtgärder som ska vidtas för att omedelbart söka vård. Läkaren måste diskutera fördelar och risker med Soliris-behandlingen med patienterna och ge dem en patientguide och ett patientkort. (Se bipacksedeln för en beskrivning.)
Andra systemiska infektioner
På grund av Soliris verkningsmekanism ska Soliris administreras med försiktighet till patienter med aktiva systemiska infektioner. Patienternas infektionskänslighet kan öka, särskilt för Neisseria och kapslade bakterier. Det har inrapporterats allvarliga infektioner orsakade av Neisseria-arter (andra än Neisseria meningitidis), inklusive disseminerade gonokockinfektioner. Patienterna ska få information från bipacksedeln för att öka deras medvetenhet om potentiellt allvarliga infektioner och tecken och symtom på sådana. Läkaren ska ge patienterna råd om förebyggande av gonorré.
Infusionsreaktioner
Soliris kan vid administrering ge upphov till infusionsreaktioner eller immunogenicitet som kan leda till allergisk reaktion eller överkänslighetsreaktion (inklusive anafylaxi). I kliniska studier fick 1 (0,9 %) patient med refraktär gMG en infusionsreaktion som ledde till att Soliris-behandlingen måste avbrytas. Inga pediatriska patienter med PNH, aHUS, refraktär gMG eller NMOSD har drabbats av någon infusionsreaktion som har inneburit att Soliris-behandlingen måste avbrytas. Soliris-administrering ska avbrytas för alla patienter som upplever allvarliga infusionsreaktioner och lämplig medicinsk behandling ska sättas in.
Immunogenicitet
Antikroppssvar har i sällsynta fall påvisats hos Soliris-behandlade patienter i alla kliniska studier. I placebokontrollerade studier av PNH rapporterades lågt antikroppssvar med frekvensen 3,4 %, vilket är ungefär som för placebo (4,8 %).
Hos aHUS-patienter som behandlades med Soliris påvisades antikroppar mot Soliris hos 3/100 (3 %) i den ECL-överbryggande formatanalysen. 1/100 (1 %) aHUS‑patienter hade låga positiva värden för neutraliserande antikroppar.
I en placebokontrollerad studie av refraktär gMG visade inga (0/62) av de Soliris‑behandlade patienterna antikroppssvar mot läkemedel under den aktiva behandlingen på 26 veckor, medan totalt 3/117 (2,6 %) i förlängningsstudien av refraktär gMG var positiva för ADA vid något besök efter baslinjen. Positiva ADA‑resultat verkade vara övergående eftersom inga positiva titrar sågs vid efterföljande besök. Inga kliniska fynd förelåg hos dessa patienter som kunde tyda på en effekt av positiva ADA-titrar.
I en placebokontrollerad studie av NMOSD uppvisade 2/95 (2,1 %) av patienterna som behandlades med Soliris antikroppar mot läkemedlet efter baslinjen. Båda patienterna var negativa för neutraliserande antikroppar. Positiva ADA-prover hade låg titer och var övergående. Ingen korrelation har observerats mellan antikroppsutveckling och klinisk respons eller biverkningar.
Immunisering
Innan Soliris-behandling inleds rekommenderas det att patienter med PNH, aHUS, refraktär gMG eller NMOSD påbörjar immuniseringar enligt gällande immuniseringsriktlinjer. Dessutom måste alla patienter vaccineras mot meningokockinfektioner minst 2 veckor innan de får Soliris om inte risken med att fördröja behandlingen med Soliris överväger riskerna av att utveckla en meningokockinfektion. Patienter som påbörjar behandling med Soliris mindre än 2 veckor efter att ha fått tetravalent meningokockvaccin måste få behandling med lämplig antibiotika profylaktiskt tills 2 veckor efter vaccinationen. Vacciner mot alla tillgängliga serogrupper, inklusive A, C, Y, W 135 och B, rekommenderas för att förhindra de vanligtvis patogena serogrupperna av meningokocker. Patienter måste vaccineras och omvaccineras enligt gällande nationella riktlinjer för vaccinering (se meningokockinfektion).
Patienter yngre än 18 år måste vaccineras mot Haemophilus influenzae och pneumokockinfektioner och strikt följa det nationella vaccinationsprogrammets rekommendationer för varje åldersgrupp.
Vaccination kan aktivera komplement ytterligare och resultera i att patienter med komplement-medierade sjukdomar, inklusive PNH, aHUS, refraktär gMG eller NMOSD, kan uppleva ökade tecken och symtom av sin underliggande sjukdom, såsom hemolys (PNH), TMA (aHUS), MG med exacerbationer (refraktär gMG) eller recidiv (NMOSD). Därför ska patienterna noggrant övervakas för sjukdomssymtom efter rekommenderad vaccination.
Behandling med antikoagulantia
Behandling med Soliris ska inte påverka användning av antikoagulantia.
Behandlingar med immunhämmande och antikolinesterasmedel
Refraktär gMG
När behandlingar med immunhämmande och antikolinesterasmedel minskas eller avbryts ska patienterna övervakas noga för tecken på sjukdomsexacerbation.
Neuromyelitis optica‑spektrumtillstånd
När behandling med immunhämmande medel minskas eller avbryts ska patienterna övervakas noga avseende tecken och symtom på eventuellt recidiv i NMOSD.
PNH laboratorieövervakning
PNH-patienter ska följas med avseende på tecken och symtom på intravaskulär hemolys, inbegripet kontroll av laktatdehydrogenashalter (LDH-halter) i serum. PNH-patienter som får Soliris-behandling ska på motsvarande sätt följas för tecken på intravaskulär hemolys genom mätning av LDH-halterna. De kan behöva dosjustering inom ramen för det rekommenderade 14±2-dagars doseringsschemat under underhållsfasen (upp till var tolfte dag).
aHUS laboratorieövervakning
aHUS-patienter som får Soliris-behandling ska följas med avseende på trombotisk mikroangiopati (TMA) genom att mäta trombocyter, serum LDH och serumkreatinin och kan behöva dosjustering inom ramen för det rekommenderade 14±2-dagars doseringsschemat under underhållsfasen (upp till var tolfte dag).
Behandlingsavbrott för PNH
Ifall PNH-patienter avbryter behandlingen med Soliris ska de följas noga med avseende på tecken och symtom på allvarlig intravaskulär hemolys. Allvarlig hemolys identifieras genom LDH-halter i serum som överstiger halten före behandling, tillsammans med något av följande: en minskning i absoluta tal som överstiger 25 % av PNH-klonens storlek (utan utspädning på grund av transfusion) på en vecka eller mindre; en hemoglobinkoncentration på <5 g/dl eller en minskning på >4 g/dl på en vecka eller mindre; angina; förändringar av patientens mentala status; en ökning av serumkreatinin på 50 %; trombos. Alla patienter som avbryter Soliris-behandling ska följas i minst 8 veckor med avseende på svår hemolys och andra reaktioner.
Om svår hemolys uppträder efter det att en patient har avbrutit behandling med Soliris ska följande förfaranden/behandlingar övervägas: blodtransfusion (koncentrerade röda blodkroppar) eller utbytestransfusion om PNH-blodkropparna utgör >50 % av alla röda blodkroppar enligt flödescytometri; antikoagulationsbehandling; kortikosteroider; återinsättning av Soliris. I kliniska PNH‑studier avbröt 16 patienter behandlingen med Soliris. Ingen allvarlig hemolys observerades.
Behandlingsavbrott för aHUS
Trombotiska mikroangiopati (TMA)-komplikationer har observerats så tidigt som 4 veckor och upp till 127 veckor efter avbrytande av behandlingen med Soliris hos vissa patienter. Behandlingsavbrott ska endast övervägas om det är medicinskt motiverat.
I kliniska aHUS-studier avbröt 61 patienter (21 pediatriska patienter) behandlingen med Soliris med en median uppföljningsperiod på 24 veckor. Femton allvarliga trombotiska mikroangiopati (TMA)-komplikationer observerades hos 12 patienter efter behandlingsavbrott och 2 allvarliga TMA‑komplikationer förekom hos ytterligare 2 patienter som fick en reducerad dosering av Soliris som gick utanför det godkända doseringsintervallet (se avsnitt 4.2). Allvarliga TMA‑komplikationer förekom hos patienter oavsett om de hade en identifierad genetisk mutation, högrisk polymorfism eller auto‑antikroppar. Ytterligare allvarliga medicinska komplikationer förekom hos dessa patienter inklusive allvarlig försämring av njurfunktionen, sjukdomsrelaterad sjukhusvistelse och progression till terminal njursjukdom som kräver dialys. Trots återinsättning av Soliris efter utsättandet uppstod progression till terminal njursjukdom hos en patient.
Om aHUS-patienter avbryter behandlingen med Soliris ska de följas noga för tecken och symtom på allvarliga trombotisk mikroangiopati-komplikationer. Övervakning kan vara otillräckligt för att förutsäga eller förhindra allvarliga trombotiska mikroangiopati‑komplikationer hos patienter med aHUS efter utsättande av Soliris.
Svåra trombotisk mikroangiopati-komplikationer efter utsättande kan identifieras genom (i) två eller upprepade mätningar av något av följande: en minskning i trombocytantal på 25 % eller mer jämfört med antingen baslinjevärdet eller högsta trombocyttalet vid Soliris-behandlingen; en ökning av serumkreatinin med 25 % eller mer jämfört med baslinjevärdet eller lägsta nivå under behandling med Soliris, eller en ökning av serum LDH på 25 % eller mer jämfört med baslinjevärdet eller lägsta nivå under Soliris-behandlingen, eller (ii) något av följande: en förändring i mental status eller kramper, kärlkramp eller dyspné, eller trombos.
Om allvarliga trombotisk mikroangiopati-komplikationer uppstår efter utsättande av Soliris, överväg återinsättande av behandling med Soliris, understödjande behandling med plasmaterapi (PE/PI), eller lämpliga organspecifika stödjande åtgärder, inklusive njurunderstödjande behandling med dialys, andningshjälp med mekanisk ventilation eller antikoagulantia.
Behandlingsavbrott för refraktär gMG
Användning av Soliris i behandlingen av refraktär gMG har endast studerats i den kroniska administreringsmiljön. Patienter som avbryter behandlingen med Soliris ska övervakas noga för tecken och symtom på sjukdomsexacerbation.
Behandlingsavbrott för NMOSD
Användning av Soliris i behandlingen av NMOSD har endast studerats vid långtidsadministrering och effekten av att sätta ut Soliris har inte klarlagts. Patienter som avbryter behandlingen med Soliris ska övervakas noga avseende tecken och symtom på eventuellt recidiv i NMOSD.
Utbildningsmaterial
Alla läkare som avser att förskriva Soliris måste vara insatt i förskrivningsguiden för hälso- och sjukvårdspersonal. Läkaren måste diskutera fördelar och risker med Soliris-behandlingen med patienterna och ge dem en patientguide och ett patientkort.
Patienterna ska informeras att om de får feber, huvudvärk tillsammans med feber och/eller nackstelhet eller ljuskänslighet ska de omedelbart söka vård eftersom dessa tecken kan tyda på meningokockinfektion.
Hjälpämnen med känd effekt
Natrium
När detta läkemedel har spätts med natriumklorid 9 mg/ml (0,9 %) injektionsvätska innehåller det 0,88 g natrium per 240 ml vid den högsta dosen, motsvarande 44,0 % av WHO:s högsta rekommenderat dagligt intag (2 g natrium för vuxna).
När detta läkemedel har spätts med natriumklorid 4,5 mg/ml (0,45 %) injektionsvätska innehåller det 0,67 g natrium per 240 ml vid den högsta dosen, motsvarande 33,5 % av WHO:s högsta rekommenderat dagligt intag (2 g natrium för vuxna).
Polysorbat 80
Detta läkemedel innehåller 6,6 mg polysorbat 80 per flaska (30 ml-flaska) vilket motsvarar 0,66 mg/kg eller mindre vid den maximala dosen för vuxna patienter och pediatriska patienter med en kroppsvikt över 10 kg. Detta motsvarar 1,32 mg/kg eller mindre vid den maximala dosen för pediatriska patienter med en kroppsvikt på 5 till < 10 kg. Polysorbater kan orsaka allergiska reaktioner.
Inga interaktionsstudier har utförts. Beroende på den potentiella hämmande effekten av ekulizumab på rituximabs komplementberoende cytotoxicitet kan ekulizumab eventuellt minska rituximabs förväntade farmakodynamiska effekter.
Plasmautbyte (PE), plasmaferes (PP), infusion av färskfrusen plasma (PI) och intravenöst immunglobulin (IVIg) har visat sig minska ekulizumabnivåerna i serum. En kompletterande dos av ekulizumab krävs i dessa fall. Se avsnitt 4.2 för vägledning vid samtidig behandling med PE, PF, PI eller IVIg.
Samtidig användning av ekulizumab och intravenöst immunglobulin (IVIg) kan minska effekten av ekulizumab. Övervaka patienten noga avseende eventuell minskad effekt av ekulizumab.
Samtidig användning av ekulizumab och neonatala Fc-receptorblockerare (FcRn) kan sänka den systemiska exponeringen och minska effekten av ekulizumab. Övervaka patienten noga avseende eventuell minskad effekt av ekulizumab.
Användning av tillförlitlig preventivmetod för att förhindra graviditet under behandlingen och upp till 5 månader efter avslutad behandling med ekulizumab bör övervägas till fertila kvinnor.
Graviditet
Det finns inga välkontrollerade studier på gravida kvinnor som behandlas med ekulizumab. Data från ett begränsat antal gravida kvinnor som exponerats för ekulizumab (mindre än 300 graviditeter) tyder inte på någon ökad risk för fostermissbildningar eller foster-/neonatal toxicitet. På grund av avsaknaden av välkontrollerade studier kvarstår dock osäkerheter. Därför rekommenderas en individuell riskanalys före och under behandling med ekulizumab till gravida kvinnor. Om sådan behandling anses nödvändig under graviditet rekommenderas noggrann övervakning av moder och foster enligt lokala riktlinjer.
Inga reproduktionsstudier på djur har gjorts med ekulizumab (se avsnitt 5.3).
Det är känt att humana IgG passerar placentabarriären, vilket innebär att ekulizumab potentiellt kan orsaka hämning av terminalt komplement i fostercirkulationen. Därför ska Soliris endast ges till gravida kvinnor om det finns ett klart behov.
Amning
Inga effekter förväntas på ammade nyfödda/spädbarn eftersom begränsade tillgängliga data tyder på att ekulizumab inte utsöndras i bröstmjölk. På grund av begränsningarna i tillgängliga data bör utvecklings- och hälsomässiga fördelar med amning övervägas tillsammans med moderns kliniska behov av ekulizumab och eventuella ogynnsamma effekter på det ammade barnet relaterade till ekulizumab eller till det underliggande tillståndet hos modern.
Fertilitet
Ingen specifik studie på ekulizumab kring fertilitet har utförts.
Soliris har ingen eller försumbar effekt på förmågan att framföra fordon och använda maskiner.
Sammanfattning av säkerhetsprofilen
Stödjande säkerhetsdata erhölls från 33 kliniska studier som inkluderade 1 555 patienter exponerade för ekulizumab i populationer med komplementmedierad sjukdom, inklusive PNH, aHUS, refraktär gMG och NMOSD. Den vanligaste biverkningen var huvudvärk (förekom huvudsakligen under den första behandlingstiden) och den allvarligaste biverkningen var meningokockinfektion.
Tabell över biverkningar
Tabell 1 visar de biverkningar som observerats vid spontanrapportering och vid avslutade kliniska prövningar med ekulizumab, inklusive studier av PNH, aHUS, refraktär gMG och NMOSD. Biverkningar som rapporterades med frekvensen mycket vanliga (≥1/10), vanliga (≥1/100, <1/10), mindre vanliga (≥1/1 000, <1/100), sällsynta (≥1/10 000, <1/1 000) eller ingen känd frekvens (kan inte beräknas från tillgängliga data) är listade efter organsystem och föredragen term. Inom varje frekvensgrupp listas biverkningarna i fallande allvarlighetsgrad.
Tabell 1: Rapporterade biverkningar i kliniska prövningar med ekulizumab, vilka inkluderat patienter med PNH, aHUS, refraktär gMG och NMOSD, samt från erfarenheter efter godkännandet för försäljning
Följande studier är inkluderade: Astma (C07-002), aHUS(C08-002, C08-003, C10-003, C10-004), dermatomyosit (C99-006), refraktär gMG (C08-001, ECU-MG-301, ECU-MG-302, ECU-MG-303), neuromyelitis optica‑spektrumtillstånd (ECU-NMO-301, ECU-NMO-302), IMG (C99-004, E99-004), PNH (C02‑001, C04‑001, C04‑002, C06‑002, C07-001, E02-001, E05-001, E07-001, M07-005, X03-001, X03-001A), psoriasis (C99‑007), RA (C01‑004, C97-001, C99-001, E01-004, E99-001), STEC-HUS (C11-001), SLE (C97-002). MedDRA version 26.1.
*Se avsnittet ”Beskrivning av vissa biverkningar”.
aAbscess inkluderar följande grupper av rekommenderade termer: abscess i extremitet, kolonabscess, njurabscess, subkutan abscess, tandabscess, leverabscess, perirektal abscess, rektal abscess.
bMeningokockinfektion inkluderar följande grupper av rekommenderade termer: meningokockinfektion, meningokocksepsis, meningokockmeningit.
cBiverkningar rapporterade efter godkännandet för försäljning.
dFrekvens kan inte uppskattas från tillgängliga data rapporterade efter godkännandet för försäljning.
Beskrivning av vissa biverkningar
I alla kliniska studier var den allvarligaste biverkningen meningokocksepis, som är en vanlig presentation av meningokockinfektion hos patienter som behandlas med Soliris (se avsnitt 4.4).
Andra fall med Neisseria-arter har rapporterats inklusive sepsis orsakad av Neisseria gonorrhoeae, Neisseria sicca/subflava, ospecificerad Neisseria -spp.
Antikroppar mot Soliris upptäcktes hos 2 % av PNH-patienter med användning av ELISA-analys, hos 3 % av patienterna med aHUS och hos 2 % av patienterna med NMOSD med användning av ECL-överbryggande formatanalys. I placebokontrollerade studier av refraktär gMG observerades inga antikroppar mot läkemedel. Liksom för alla proteiner finns en risk för immunogenicitet.
Fall av hemolys har rapporterats vid missad eller försenad dos av Soliris i kliniska prövningar med PNH-patienter (se även avsnitt 4.4).
Fall av trombotiska mikroangiopati‑komplikationer har rapporterats vid behandling i kliniska prövningar med aHUS-patienter där Solirisdosen hoppats över eller givits för sent (se även avsnitt 4.4).
Pediatrisk population
Hos barn och tonåringar med PNH (i åldern 11 år till yngre än 18 år) som inkluderades i den pediatriska PNH-studien M07-005, verkade säkerhetsprofilen likna den som observerats hos vuxna PNH-patienter. Den vanligaste biverkningen som rapporterades hos pediatriska patienter var huvudvärk.
Hos pediatriska patienter med aHUS (i åldern 2 månader till yngre än 18 år) som inkluderades i aHUS-studier C08-002, C08-003, C09-001r och C10-003, verkade säkerhetsprofilen likna den som observerats hos vuxna med aHUS. Säkerhetsprofilen hos olika pediatriska åldersundergrupper verkade vara lika.
Hos pediatriska patienter med refraktär gMG (i åldern 12 till yngre än 18 år) som ingick i studie ECU‑MG‑303 verkade säkerhetsprofilen likna den som observerats hos vuxna patienter med refraktär gMG.
Äldre patienter
Inga övergripande skillnader i säkerhet rapporterades mellan äldre (> 65 år) och yngre patienter med refraktär gMG (< 65 år) (se avsnitt 5.1).
Patienter med andra sjukdomar
Säkerhetsdata från andra kliniska studier
Stödjande säkerhetsdata erhölls från 12 avslutade kliniska studier som inkluderade 934 patienter som exponerades för ekulizumab i andra sjukdomspopulationer än PNH, aHUS, refraktär gMG eller NMOSD. En ovaccinerad patient med diagnosen idiopatisk membranös glomerulonefropati ingick som drabbades av meningokockmeningit. Biverkningar som rapporterats hos patienter med andra sjukdomar än PNH, aHUS, refraktär gMG eller NMOSD var liknande de som rapporterats hos patienter med PNH, aHUS, refraktär gMG eller NMOSD (se tabell 1 ovan). Inga specifika biverkningar har framkommit i dessa kliniska studier.
Rapportering av misstänkta biverkningar
Inga fall av överdosering har rapporterats i någon av de kliniska studierna.
Hos PNH-patienter blockeras den okontrollerade terminala komplementaktiveringen och därmed den komplement-medierade intravaskulära hemolysen vid behandling med Soliris.
Hos de flesta PNH-patienter är serumkoncentrationer av ekulizumab på omkring 35 mikrogram/ml tillräckligt för en i princip fullständig hämning av terminal komplement-medierad intravaskulär hemolys.
Hos PNH-patienter gav kronisk administrering av Soliris en snabb och ihållande minskning av den komplement-medierade hemolysaktiviteten.
Hos aHUS-patienter blockeras med Solirisbehandling den okontrollerade terminala komplementaktiveringen och därmed komplement-medierad trombotisk mikroangiopati.
Alla patienter som behandlats med Soliris enligt rekommendationerna visade på snabb och varaktig minskning av terminal komplementaktivitet. Hos alla aHUS patienter var serumkoncentration av ekulizumab på cirka 50–100 mikrogram/ml tillräcklig för i princip fullständig hämning av terminal komplement-aktivitet.
Hos aHUS-patienter resulterade kronisk administrering av Soliris i en snabb och varaktig minskning av komplement-medierad trombotisk mikroangiopati.
Hos patienter med refraktär gMG orsakar okontrollerad terminal komplement‑aktivering membranattackkomplex (MAC)-beroende lys och C5a‑beroende inflammation runt den neuromuskulära förbindelsen (NMJ) som leder till rubbning i den neuromuskulära transmissionen. Kronisk administrering av Soliris resulterar i omedelbar, fullständig och ihållande hämning av terminal komplement‑aktivitet (serumkoncentrationer av ekulizumab ≥ 116 mikrogram/ml).
Hos patienter med NMOSD leder okontrollerad terminal komplementaktivering orsakad av antikroppar mot AQP4 bildande av MAC- och C5a-beroende inflammation, vilket leder till nekros av astrocyter och ökad permeabilitet genom blodhjärnbarriären, liksom död bland omgivande oligodendrocyter och neuron. Kronisk administrering av Soliris resulterar i omedelbar, fullständig och ihållande hämning av terminal komplementaktivitet (serumkoncentrationer av ekulizumab ≥ 116 mikrogram/ml).
Klinisk effekt och säkerhet
Paroxysmal nokturn hemoglobinuri
Soliris säkerhet och effekt vid behandling av PNH-patienter med hemolys undersöktes i en 26 veckor lång, randomiserad, placebokontrollerad dubbelblindstudie (C04-001). PNH-patienter behandlades också med Soliris i en 52 veckor lång enarmad studie (C04-002), samt i en långtidsstudie som var en förlängningsstudie (E05-001). Patienterna fick meningokockvaccin innan de fick Soliris. I alla studierna var dosen av ekulizumab 600 mg var 7:e dag ± 2 dagar i 4 veckor, följt av 900 mg 7 ± 2 dagar senare och därefter med 900 mg var 14:e dag ± 2 dagar under hela studiens gång. Soliris administrerades som en intravenös infusion under 25–45 minuter (35 minuter ± 10 minuter). En icke-interventionell observationsregistrering hos patienter med PNH (M07‑001) initierades även för att karakterisera det naturliga förloppet av PNH hos obehandlade patienter och det kliniska utfallet under behandling med Soliris.
I studien C04-001 (TRIUMPH) randomiserades PNH-patienter med minst 4 transfusioner under de föregående 12 månaderna, med minst 10 % PNH‑celler (verifierat med flödescytometri) och med ett trombocytvärde på minst 100 000/mikroliter till antingen Soliris (n = 43) eller placebo (n = 44). Före randomiseringen genomgick alla patienter en initial observationsperiod för att bekräfta behovet av transfusion med röda blodkroppar och för att identifiera den hemoglobinkoncentration (”börvärdet”) som skulle definiera varje patients hemoglobinstabilisering och transfusionsutfall. Hemoglobinbörvärdet var lägre än eller lika med 9 g/dl hos patienter med symtom och mindre än eller lika med 7 g/dl hos patienter utan symtom. Primära effektmått för effekt var hemoglobinstabilisering (patienter som bibehöll en hemoglobinkoncentration över hemoglobinbörvärdet och inte fick några transfusioner av röda blodkroppar under hela 26‑veckorsperioden) och behovet av blodtransfusioner. Trötthet och hälsorelaterad livskvalitet var relevanta sekundära effektmått. Hemolysen övervakades i huvudsak genom mätning av LDH-serumhalter, och andelen PNH-blodkroppar följdes genom flödescytometri. Patienter som fick antikoagulantia och systemiska kortikosteroider vid baslinjen fick fortsätta denna medicinering. Huvudbaslinjeegenskaper balanserades (se tabell 2).
I C04-002-studien utan kontroll (SHEPHERD) fick PNH-patienter med minst en transfusion under de föregående 24 månaderna och minst 30 000 trombocyter/mikroliter Soliris under en 52-veckorsperiod. Samtidig medicinering inbegrep läkemedel mot trombos hos 63 % av patienterna och systemiska kortikosteroider hos 40 % av patienterna. Baslineegenskaperna visas i tabell 2.
Tabell 2: Patientdemografi och patientegenskaper i C04-001 och C04‑002
I TRIUMPH-studien hade patienter som behandlades med Soliris signifikant lägre (p<0,001) hemolys, vilket gav en förbättring av anemin som visade sig som ökad hemoglobinstabilisering och minskat behov av transfusioner med röda blodkroppar jämfört med placebobehandlade patienter (se tabell 3). Dessa effekter observerades hos patienter i var och en av de tre transfusionsstrata för röda blodkroppar som fastställdes före studien (4–14 enheter, 15–25 enheter, >25 enheter). Efter 3 veckors behandling med Soliris rapporterade patienterna minskad trötthet och förbättrad hälsorelaterad livskvalitet. På grund av studiens storlek och varaktighet kunde Soliris effekt på tromboshändelser inte bestämmas. I SHEPHERD-studien fullföljde 96 av 97 rekryterade patienter studien (en patient dog efter en tromboshändelse). En minskning av den intravaskulära hemolysen, mätt som LDH-serumhalter, bibehölls under behandlingsperioden och resulterade i att transfusion kunde undvikas i större utsträckning, samt ett minskat behov av transfusion med röda blodkroppar och minskad trötthet. Se tabell 3.
Tabell 3: Effektutfall i C04-001 och C04-002
Av de 195 patienter som kom från C04-001, C04-002 och andra inledande studier rekryterades Soliris-behandlade PNH-patienter till en långtidsförlängningsstudie (E05-001). Alla patienter bibehöll en minskad intravaskulär hemolys under en sammanlagd exponeringstid för Soliris på från 10 till 54 månader. Färre tromboshändelser inträffade med Soliris-behandling än under samma tidsperiod före behandling. Detta visades dock i kliniska studier utan kontroll.
PNH‑registret (M07‑001) användes för att utvärdera effekten av Soliris hos PNH‑patienter utan tidigare RBC‑transfusion. Dessa patienter hade en hög sjukdomsaktivitet som definierades av ökad hemolys (LDH ≥1,5x ULN) samt förekomst av ett eller flera relaterade kliniska symtom: trötthet, hemoglobinuri, buksmärta, andnöd (dyspné), anemi (hemoglobin <100 g/l), allvarlig vaskulär händelse (inklusive trombos), dysfagi eller erektil dysfunktion.
I PNH-registret sågs patienter som behandlades med Soliris ha en reducerad hemolys samt associerade symtom. Vid 6 månader hade patienter som behandlades med Soliris utan tidigare RBC‑transfusioner signifikant (p<0,001) reducerade LDH‑nivåer (median LDH 305 U/l; tabell 4). Vidare erhöll 74 % av patienterna som inte fått transfusion tidigare och som behandlades med Soliris kliniskt meningsfulla förbättringar av FACIT-Fatiguepoäng (dvs. en ökning med 4 poäng eller mer) och 84 % av EORTC-Fatiguepoäng (dvs. en minskning med 10 poäng eller mer).
Tabell 4: Effektivitetsmått (LDH‑nivå och FACIT‑Fatigue) hos patienter med PNH utan tidigare transfusion i M07‑001
FACIT-Fatigue mäts i skalan 0–52, där högre värden indikerar mindre trötthet.
Atypiskt hemolytiskt uremiskt syndrom
Data från 100 patienter i fyra prospektiva kontrollerade studier, tre hos vuxna och ungdomar (C08-002A/B, C08-003A/B, C10-004), en hos pediatriska patienter och ungdomar (C10-003) och 30 patienter i en retrospektiv studie (C09-001r) användes för att utvärdera effekten av Soliris vid behandling av aHUS.
Studie C08‑002A/B var en prospektiv, kontrollerad, öppen studie som inkluderade patienter i den tidiga fasen av aHUS med tecken på klinisk trombotisk mikroangiopati påvisad med trombocytantal ≤ 150 x 109/l trots plasmaterapi (PT), och LDH och serumkreatinin över övre normalgränsen.Studie C08‑003A/B var en prospektiv, kontrollerad, öppen studie som inkluderade patienter som en längre tid haft aHUS utan synbara tecken på klinisk trombotisk mikroangiopatisk manifestation och behandlas med kronisk plasmaterapi (≥ 1 PT-behandling varannan vecka och inte mer än 3 PT-behandlingar/vecka under minst 8 veckor innan den första dosen). Patienter i båda prospektiva studierna behandlades med Soliris i 26 veckor och de flesta patienterna ingick i en långtids öppen förlängningsstudie. Alla patienterna som inkluderades i båda prospektiva studierna hade en ADAMTS-13 nivå över 5 %.
Patienterna fick antingen vaccinering mot meningokocker före Solirisbehandlingen eller förebyggande behandling med lämplig antibiotika i 2 veckor efter vaccinationen. I samtliga studier var dosen av Soliris till vuxna och ungdomar med aHUS 900 mg var 7 ± 2 dagar i 4 veckor, följt av 1 200 mg 7 ± 2 dagar senare, därefter 1200 mg var 14 ± 2 dagar så länge studien pågick. Soliris administrerades som en intravenös infusion under 35 minuter. Doseringsregimen hos barn och ungdomar som vägde mindre än 40 kg baserades på farmakokinetisk (PK) simulering, som identifierade rekommenderad dos och baserades på kroppsvikt (se avsnitt 4.2).
Primärt effektmått var förändringen av antalet trombocyter från utgångsvärdet i studien C08‑002A/B och frihet från trombotisk mikroangiopatisk (TMA) händelse i studien C08‑003A/B. Ytterligare effektmått var antal TMA- behandlingar, hematologisk normalisering, komplett TMA svar, förändringar i LDH, njurfunktion och livskvalitet. Frihet från TMA-händelser definierades som frånvaro under minst 12 veckor av följande: minskning i trombocyttal på > 25 % från baslinjen, PT och ny dialys. TMA-behandlingar definierades som PT eller ny dialys. Hematologisk normalisering definierades som normalisering av trombocytantalet och LDH-nivåer som kvarstod i ≥2 på varandra följande mätningar i ≥ 4 veckor. Komplett TMA svar definierades som hematologisk normalisering och en ≥ 25 % minskning av serumkreatinin som kvarstod i ≥2 på varandra följande mätningar i ≥4 veckor.
Baslinjevärden visas i tabell 5.
Tabell 5: Demografiska patientdata och egenskaper ifrån C08-002A/B och C08-003A/B
Patienter i aHUS-studien C08-002A/B fick Soliris i minst 26 veckor. Efter att den inledande 26 veckor långa behandlingsperioden avslutats fortsatte de flesta patienterna att få Soliris genom att anmäla sig till en förlängningsstudie. I aHUS‑studien C08-002A/B, var mediantiden för Soliris-behandlingen cirka 100 veckor (intervall: 2 veckor till 145 veckor).
En minskning av terminal komplementaktivitet och en ökning av trombocyterna i förhållande till utgångsläget observerades efter insättande av Solirisbehandlingen. Minskning av terminal komplementaktivitet observerades hos samtliga patienter efter påbörjandet av Solirisbehandlingen. Tabell 6 sammanfattar effektresultaten från aHUS Studien C08-002A/B. Alla effektmåttsvärden förbättrades eller bibehölls under 2 års behandling. Fullständigt TMA-svar bibehölls av alla som svarade. Ytterligare två patienter uppnådde och bibehöll fullständigt TMA-svar på grund av normalisering av LDH (1 patient) och sänkt serumkreatinin (2 patienter), när behandlingen pågått i mer än 26 veckor.
Njurfunktionen, mätt som eGFR, förbättrades och bibehölls under Soliris‑behandling. Fyra av fem patienter som behövde dialys vid inträdet i studien kunde avbryta sin dialys under hela Solirisbehandlingen och en patient utvecklade nytt dialysbehov. Patienterna rapporterade förbättrad hälsorelaterad livskvalitet (QoL).
I aHUS-studien C08-002A/B, sågs liknande effekter med Solirisbehandling som hos patienter med eller utan identifierade mutationer i gener som kodar för komplementreglerande faktorproteiner.
Patienterna i aHUS-studien C08-003A/B fick Soliris i minst 26 veckor. Efter slutförandet av den inledande 26 veckor långa behandlingsperioden fortsatte de flesta patienter att få Soliris genom att anmäla sig till en fortsättningsstudie. I aHUS‑studien C08-003A/B var mediandurationen av Soliris-behandling cirka 114 veckor (intervall: 26 till 129 veckor). Tabell 6 sammanfattar effektresultaten för aHUS studien C08-003A/B.
I aHUS-studien C08-003A/B observerades liknande effekter med Solirisbehandlingen som hos patienter med och utan identifierade mutationer i gener som kodar för komplementreglerande faktorproteiner. Minskning av terminal komplementaktivitet observerades hos samtliga patienter efter påbörjande av Solirisbehandling. Alla effektmåttsvärden förbättrades eller bibehölls under 2 års behandling. Fullständigt TMA-svar bibehölls av alla som svarade. Ytterligare sex patienter uppnådde och bibehöll fullständigt TMA-svar på grund av sänkt serumkreatinin när behandlingen pågått i mer än 26 veckor. Ingen patient behövde ny dialys med Soliris. Njurfunktionen, mätt som median eGFR, ökade under Soliris‑behandlingen.
Tabell 6: Effektresultat från prospektiva aHUS-studier C08-002A/B och C08‑003A/B
1 Vid data cut-off (20 april 2012)
2 Studie C08-002: 3 patienter fick ESA som avbröts efter insättning av ekulizumab
3 Studie C08-003: 8 patienter fick ESA som avbröts hos 3 patienter vid ekulizumabterapi
aHUS-studie C10-004 omfattade 41 patienter som uppvisade tecken på trombotiska mikroangiopati-komplikationer (TMA). För att kvalificeras för rekrytering, skulle patienterna ha ett trombocytantal < lägsta gränsen för normalvärdet (LLN), tecken på hemolys t.ex. förhöjt LDH i serum och serumkreatinin över högsta gränsen för normalvärdet, utan behov av kronisk dialys. Medianpatientens ålder var 35 (intervall: 18 till 80 år). Alla rekryterade patienter i aHUS-studie C10-004 hade en ADAMTS‑13‑nivå över 5 %. Femtioen procent av patienterna hade en identifierad komplementär regulatorfaktormutation eller autoantikroppar. Totalt 35 patienter fick PE/PI före ekulizumab. Tabell 7 sammanfattar huvudsakliga kliniska och sjukdomsrelaterade egenskaper vid baslinjen hos patienter rekryterade till i aHUS C10-004.
Tabell 7: Egenskaper vid baslinjen hos patienter inregistrerade i aHUS-studie C10-004
Patienter i aHUS‑studie C10-004 fick Soliris under minst 26 veckor. Efter att den inledande behandlingsperioden på 26 veckor avslutats, valde de flesta patienterna att fortsätta med kronisk behandling.
Minskning av terminal komplementaktivitet och förhöjda trombocyter i förhållande till baslinjen observerades efter behandlingsstart med Soliris. Soliris minskade tecknen på komplementmedierad TMA-aktivitet, som visas genom en ökning i medelvärdet för trombocytantalet från baseline till 26 veckor. I aHUS C10-004 ökade medelvärdet (±SD) för trombocytantalet från 119 ± 66 x 109/L vid baseline till 200 ± 84 x 109/L på en vecka. Denna effekt bibehölls under 26 veckor (medelvärdet (±SD) för trombocytantalet vid vecka 26: 252 ± 70 x 109/L). Njurfunktion, mätt som eGFR, förbättrades under Soliris-behandling. 20 av de 24 patienterna som fick dialys vid baslinjen kunde avbryta dialysen under behandling med Soliris. Tabell 8 sammanfattar effektresultaten för aHUS-studie C10-004.
Tabell 8: Effektresultat för prospektiva aHUS-studie C10-004
1Till data cut-off (4 september 2012), med en median-varaktighet av Soliris‑behandling på 50 veckor (intervall: 13 veckor till 86 veckor).
Längre tids behandling med Soliris (median 52 veckor med ett intervall från 15 till 126 veckor) associerades med en ökad grad av kliniskt betydelsefulla förbättringar hos vuxna patienter med aHUS. När Soliris behandlingen fortsatte i mer än 26 veckor fick ytterligare tre patienter (63 % av totalt antal patienter) komplett TMA‑respons och ytterligare fyra patienter (98 % av totalt antal patienter) hematologisk normalisering. Vid den senaste utvärderingen fick 25 av 41 patienter (61 %) förbättrat eGFR till ≥ 15 ml/min/1,73 m2 från baslinjen.
Refraktär generaliserad myasthenia gravis
Data från 139 patienter i två prospektiva kontrollerade studier (studierna C08‑001 och ECU-MG-301) och en öppen förlängningsprövning (studie ECU‑MG‑302) användes för att utvärdera effekten för Soliris vid behandling av patienter med refraktär gMG.
Studien ECU-MG (REGAIN) var en dubbelblind, randomiserad, placebokontrollerad multicenterstudie i fas 3 under 26 veckor av Soliris på patienter där tidigare behandlingar misslyckats och patienterna hade kvarstående symtom. Etthundraarton (118) av de 125 (94 %) patienterna fullföljde behandlingsperioden på 26 veckor och 117 (94 %) patienter skrevs därefter in i studie ECU-MG-302, en öppen multicenter‑förlängningsstudie av säkerhet och effekt under lång tid, i vilken alla patienter fick Soliris-behandling.
I studie ECU-MG-301 randomiserades gMG-patienter med ett positivt serologitest för anti-AChR-antikroppar, klinisk klassificering av MGFA (Myasthenia Gravis Foundation of America) i klass II till IV och en totalpoäng för MG-ADL på ≥ 6, antingen till Soliris (n = 62) eller placebo (n = 63). Alla patienter som ingick i prövningen var patienter med refraktär gMG och uppfyllde följande fördefinierade kriterier:
1) Misslyckad behandling under minst ett år med 2 eller fler immunhämmande behandlingar (antingen i kombination eller som monoterapi), dvs. patienter med fortsatt försämring av vardagsaktiviteter trots immunhämmande behandlingar.
ELLER
2) Minst en misslyckad immunhämmande behandling och har behövt kroniskt plasmautbyte eller IVIg för att kontrollera symtomen, dvs. patienter som har behövt regelbundet plasmautbyte eller IVIg för behandling av muskelsvaghet minst var tredje månad under de senaste 12 månaderna.
Patienterna fick meningokockvaccination innan behandling med Soliris sattes in eller fick profylaxbehandling med lämplig antibiotika tills 2 veckor efter vaccinationen. I studierna ECU‑MG‑301 och ECU‑MG‑302 var Solaris-dosen till vuxna patienter med refraktär gMG 900 mg var 7 ± 2 dagar under 4 veckor, följt av 1 200 mg vid vecka 5 ± 2 dagar, därefter 1 200 mg var 14 ± 2 dagar under studietiden. Soliris administrerades som en intravenös transfusion under 35 minuter.
Tabell 9 visar egenskaperna vid baslinjen för patienter med refraktär gMG som ingick i studie ECU‑MG‑301.
Tabell 9: Patientdemografi och egenskaper i studie ECU-MG-301
* Immunhämmande medel inkluderar, men är inte begränsade till, kortikosteroider, azatioprin, mykofenolat, metotrexat, cyklosporin, takrolimus, eller cyklofosfamid.
Det primära effektmåttet för studie ECU‑MG‑301 var förändringen från baslinjen av den totala poängen för MG-skalan för vardagsaktiviteter (MG-ADL – ett patientrapporterat mått som validerades genom totalpoäng för gMG) vid vecka 26. Primäranalysen av MG‑ADL var en Worst-Rank ANCOVA med en medelpoäng på 56,6 poäng för Soliris och 68,3 poäng för placebogruppen baserat på 125 studiepatienter (p = 0,0698).
Det huvudsakliga sekundära effektmåttet var förändring från baslinjen av den totala poängen vid vecka 26 enligt det kvantitativa poängsystemet för MG (QMG – ett läkarrapporterat utfallsmått som validerats i gMG). Den primära analysen av QMG var Worst Rank ANCOVA med en poäng på 54,7 för Soliris och 70,7 för placebo baserat på 125 studiepatienter (p = 0,0129).
Effektmåtten för de förspecificerade upprepade mätanalyserna för de primära och sekundära effektmåtten finns i tabell 10.
Tabell 10: ECU-MG-301 Förändringar i effektmått från baslinjen till vecka 26
SEM = Standardfel för medel-KI = konfidensintervall MGC = Myasthenia Gravis Composite, MG-Qol-15 = Myasthenia Gravis Quality of Life 15
I studie ECU‑MG‑301 definierades ett kliniskt svar i totalpoängen för MG‑ADL som en förbättring med minst 3 poäng. Andelen med kliniskt svar vid vecka 26 utan akuta behandlingar var 59,7 % med Soliris-behandling jämfört med 39,7 % med placebo (p = 0,0229).
I studie ECU-MG-301 definierades ett kliniskt svar i totalpoängen för QMG som minst 5 poängs förbättring. Andelen kliniskt svarande vid vecka 26 utan akut behandling var 45,2 % med Soliris-behandling jämfört med 19 % med placebo (p = 0,0018).
Tabell 11 visar en översikt över de patienter som rapporterat klinisk försämring och patienter som behövde akut behandling under de 26 veckorna.
Tabell 11: Klinisk försämring och akut behandling i ECU-MG-301
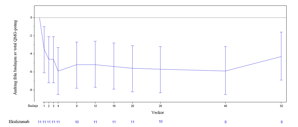
Av de 125 patienter som rekryterades till ECU-MG-301, skrevs 117 patienter därefter in i en långtidsförlängningsstudie (studie ECU-MG-302), i vilken alla fick Soliris. Patienter som tidigare behandlats med Soliris i studie ECU-MG-301 fortsatte att uppvisa kvarstående effekt av Soliris för samtliga värden (MG-ADL, QMG, MGC och MG-QoL15) under ytterligare 130 veckors behandling med ekulizumab i studie ECU‑MG-302. Hos patienterna som fick placebo i studie ECU-MG-301 (placebo/ekulizumab-armen i studie ECU-MG-302) inträffade förbättringen efter insättning av ekulizumab och kvarstod i mer än 130 veckor i studie ECU-MG-302. I figur 1 visas förändringen från baslinjen av MG-ADL (A) och QMG (B) efter 26 veckors behandling i studie ECU-MG-301 och 130 veckors behandling (n=80 patienter) i studie ECU-MG-302.
Figur 1: Medelförändringar från baslinjen av MG-ADL (1A) och QMG (1B) under studierna ECU-MG-301 och ECU-MG-302
I studie ECU‑MG‑302 hade läkarna möjlighet att justera bakgrundsbehandlingar med immunhämmande medel. Under dessa förhållanden minskade 65,0 % av patienterna sin dagliga dos av minst 1 immunhämmande medel och 43,6 % av patienterna slutade med en pågående immunhämmande behandling. Det vanligaste skälet till ändring av den immunhämmande behandlingen var förbättrade MG-symtom.
Tjugotvå (22) (17,6 %) äldre patienter (>65 år) med refraktär gMG behandlades med Soliris i de kliniska prövningarna. Inga väsentliga åldersrelaterade skillnader av säkerhet och effekt observerades.
Neuromyelitis optica spektrumtillstånd
Data från 143 patienter i en kontrollerad studie (studie ECU-NMO-301) och från 119 patienter som fortsatte i en öppen förlängningsprövning (studie ECU-NMO-302) användes för att utvärdera effekten och säkerheten för Soliris vid behandling av patienter med NMOSD.
Studie ECU-NMO-301 var en dubbelblind, randomiserad, placebokontrollerad multicenterstudie av Soliris i fas 3, på patienter med NMOSD.
I studie ECU-NMO-301 randomiserades patienter med NMOSD som hade positivt serologiskt test avseende antikroppar mot AQP4, anamnes på minst två recidiv under de senaste 12 månaderna eller tre recidiv under de senaste 24 månaderna, varav minst ett under de 12 månaderna före screening, samt ≤7 poäng på skalan Expanded Disability Status Scale (EDSS), i förhållandet 2:1 till antingen Soliris (n=96) eller placebo (n=47). Bakgrundsbehandling med immunhämmande medel i stabil dos var tillåten under studien, med undantag av rituximab och mitoxantron.
Patienterna fick antingen meningokockvaccin minst 2 veckor innan behandlingen med Soliris inleddes, eller profylaktisk behandling med lämpliga antibiotika tills det gått 2 veckor efter vaccination. I det kliniska utvecklingsprogrammet för ekulizumab vid NMOSD var Solirisdosen till vuxna patienter med NMOSD 900 mg var 7:e ± 2 dagar i 4 veckor, följt av 1 200 mg vid vecka 5 ± 2 dagar, därefter 1 200 mg var 14:e ± 2 dagar under hela studietiden. Soliris gavs som intravenös infusion under 35 minuter.
Majoriteten (90,9 %) av patienterna var kvinnor. Ungefär hälften var kaukasier (49,0 %). Medianåldern vid den första dosen studieläkemedel var 45 år.
Tabell 12: Sjukdomsanamnes och baslinjeegenskaper för patienterna i studie ECU-NMO-301
Förkortningar: Annualiserade recidivfrekvensen (ARR); EDSS = Expanded Disability Status Scale; Max = maximum; Min = minimum; NMOSD = neuromyelitis optica spektrumtillstånd; SD = standardavvikelse.
Primärt effektmått i studie ECU-NMO-301 var tid till första recidiv under studien, fastställt av en oberoende kommitté som var blindad för behandlingen. En signifikant effekt på tid till första fastställda recidiv under studien observerades för ekulizumab i jämförelse med placebo (relativ riskreduktion 94 %; riskkvot 0,058; p<0,0001) (figur 2). Patienter behandlade med Soliris fick motsvarande förbättring av tid till första fastställda recidiv under studien, med eller utan samtidig IST-behandling.
Figur 2: Överlevnad enligt Kaplan-Meier-estimat för tid till första fastställda recidiv i studie ECU-NMO-301 – hela analysgruppen
Observera: Patienter som inte hade något fastställt recidiv under studien censurerades när studieperioden var slut.
Stratifierade analyser baseras på fyra randomiseringsstrata:
(i) lågt EDSS vid randomisering (<=2,0), (ii) högt EDSS (>=2,5 till <=7) och behandlingsnaiv vid randomisering, (iii) högt EDSS (>=2,5 till <=7) och fortsatt med samma immunhämmare (en eller flera) sedan sista recidivet vid randomisering, (iv) högt EDSS (>=2,5 till <=7) och förändring av (en eller flera) immunhämmare sedan sista recidivet vid randomisering.
1 Baserat på Kaplan-Meier-skattning.
2 Baserat på komplementär log-log-transformation.
3 Baserat på stratifierat log-ranktest.
4 Baserat på stratifierad Cox-modell med proportionell risk.
5 Wald konfidensintervall.
Förkortningar: KI = konfidensintervall; EDSS = Expanded Disability Status Scale
Kvoten för den fastställda annualiserade recidivfrekvensen (ARR) under studien (95 % CI) för ekulizumab jämfört med placebo var 0,045 (0,013; 0,151), vilket motsvarar 95,5 % relativ minskning av fastställd ARR under studien för patienter behandlade med ekulizumab jämfört med placebo (p<0,0001) (tabell 13).
Tabell 13: Fastställd annualiserad recidivfrekvens i studie ECU-NMO-301 – hela analysgruppen
I jämförelse med placebobehandlade patienter hade patienter som behandlades med Soliris minskade annualiserade frekvenser av sjukhusinläggning (0,04 för Soliris och 0,31 för placebo), av intravenös kortikosteroidbehandling för akuta recidiv (0,07 för Soliris och 0,42 för placebo) samt av plasmautbyte (0,02 för Soliris och 0,19 för placebo).
Fördelningen av förändringar från baslinjen till studiens slut för andra sekundära effektmått var till fördel för ekulizumabbehandling jämfört med placebo för samtliga neurologiska funktionsnedsättningar (EDSS-poäng [p=0,0597] och mRS [nominellt p=0,0154]), funktionsnedsättning (HAI [nominellt p=0,0002]) och livskvalitet (EQ‑5D VAS [nominellt p=0,0309] och EQ-5D-index [nominellt p= 0,0077]).
Den slutliga analysen av studie ECU-NMO-302 visar på en signifikant och kliniskt meningsfull minskning av ARR under studien (bedömd av behandlande läkare) för ekulizumabbehandling, baserat på medianförändring (min; max) (−1,825 [−6,38; 1,02], p<0,0001) av historiskt ARR (24 månader före screening i studie ECU‑NMO-301).
I studie ECU‑NMO-302 hade läkarna möjlighet att justera bakgrundsbehandlingar med immunhämmande medel. Under dessa förhållanden var den vanligaste förändringen av den immunhämmande behandlingen en sänkning av dosen, vilket gällde 21,0 % av patienterna. Ytterligare 15,1 % av patienterna slutade med en pågående immunhämmande behandling.
Soliris (ekulizumab) har inte studerats för behandling av akut recidiv hos NMOSD‑patienter.
Pediatrisk population
Paroxysmal nokturn hemoglobinuri
Totalt 7 pediatriska PNH patienter, med en medianvikt på 57,2 kg (i intervallet 48,6 till 69,8 kg), behandlades med Soliris i studien M07-005.
Behandling med ekulizumab enligt föreslagen doseringsregim i pediatrisk population förknippades med en minskning av intravaskulär hemolys, mätt som LDH–halt i serum. Det resulterade också i en markant minskning eller elimination av blodtransfusioner, och en trend mot generell förbättring av allmänna funktioner. Effekten av ekulizumab-behandling hos pediatriska PNH patienter verkar vara överensstämmande med den som observerats i vuxna PNH patienter som deltagit i de pivotala kliniska PNH studierna (C04-001 och C04-002) (tabell 3 och 14).
Tabell 14: Effektresultat från den pediatriska PNH studien M07-005
Atypiskt hemolytiskt uremiskt syndrom
Totalt 15 pediatriska patienter (i åldern 2 månader till 12 år) fick Soliris i aHUS‑studien C09-001r. 47 % av patienterna hade en identifierad komplementreglerande faktormutation eller auto-antikroppar. Mediantiden från aHUS diagnos till första dosen av Soliris var 14 månader (intervall < 1 till 110 månader). Mediantiden från nuvarande trombotisk mikroangiopati-manifestation till första dosen av Soliris var 1 månad (intervall < 1 till 16 månader). Mediantiden för Soliris‑behandling var 16 veckor (variationsvidd 4–70 veckor) för barn < 2 år (n = 5) och 31 veckor (intervall 19 till 63 veckor) för barn 2 till < 12 år (n = 10).
Effektresultat tycktes generellt överensstämma för dessa barn med vad som observerades hos patienter inskrivna i de pivotala aHUS-studierna C08-002 och C08‑003 (tabell 6). Inga pediatriska patienter behövde ny dialys under behandlingen med Soliris.
Tabell 15: Effektresultat hos pediatriska patienter i studie C09-001r
Hos pediatriska patienter med kortvarig pågående svår klinisk trombotisk mikroangiopati (TMA), som bekräftats före ekulizumabbehandlingen, kontrollerades TMA och njurfunktionen förbättrades (tabell 15).
Hos pediatriska patienter som under länge tid haft svår klinisk TMA som bekräftats före ekulizumabbehandlingen kontrollerades TMA. Njurfunktionen hade dock inte förändrats på grund av tidigare förekomst av obotliga njurskador (tabell 16).
Tabell 16: Effektresultat hos pediatriska patienter i studie C09-001r efter duration av aktuell svår klinisk trombotisk mikroangiopati (TMA)
*En patient visade eGFR‑förbättring efter njurtransplantation
Totalt 22 pediatriska patienter och ungdomar (i åldern 5 månader till 17 år) fick Soliris under aHUS-studie C10-003.
I studie C10-003 skulle patienterna som ingick i studien ha ett trombocytantal < lägsta gränsen för normalvärdet (LLN), tecken på hemolys t.ex. förhöjt LDH i serum över högsta gränsen för normalvärdet och serumkreatininnivå ≥ 97 percentil för ålder, utan behov av kronisk dialys. Medianpatientens ålder var 6,5 år (intervall: 5 månader till 17 år). Patienter som var inregistrerade i aHUS C10-003 hade en ADAMTS-13-nivå över 5 %. Femtio procent av patienterna hade en identifierad komplementär regulatorfaktormutation eller autoantikroppar. Totalt 10 patienter fick PE/PI före ekulizumab. Tabell 17 sammanfattar huvudsakliga kliniska och sjukdomsrelaterade egenskaper vid baslinjen hos patienter rekryterade till aHUS C10‑003.
Tabell 17: Egenskaper vid baseline hos pediatriska patienter och ungdomar inregistrerade i aHUS-studie C10-003
Patienter i aHUS C10-003 fick Soliris under minst 26 veckor. Efter att den inledande behandlingsperioden på 26 veckor avslutats valde de flesta patienterna att fortsätta med kronisk behandling. Minskning av terminal komplementaktivitet observerades hos alla patienter efter behandlingsstart med Soliris. Soliris minskade tecknen på komplementmedierad TMA-aktivitet, som visades genom en ökning i medelvärdet för trombocytantalet vid baslinjen till 26 veckor. Medelvärdet (±SD) för trombocytantalet ökade från 88 ± 42 x 109/L vid baslinjen till 281 ± 123 x 109/l på en vecka. Denna effekt bibehölls under 26 veckor (medelvärdet (±SD) för trombocytantalet vid vecka 26: 293 ± 106 x 109/l). Njurfunktionen, mätt som eGFR, förbättrades under Soliris-behandling. Nio av de 11 patienterna som fick dialys vid baslinjen behövde inte längre dialys vid studiedag 15 med ekulizumab‑behandling. Svaren var liknande över alla åldrar från 5 månader till 17 år. Svaren på Soliris i aHUS C10-003 var liknande hos patienter med eller utan identifierade genmutationer som kodar komplementära regulatorfaktorproteiner eller autoantikroppar för faktor H.
Tabell 18 sammanfattar effektresultaten för aHUS C10-003.
Tabell 18: Effektresultat för prospektiva aHUS-studie C10-003
1 Vid data cut-off (12 oktober 2012), med en median-varaktighet av Soliris behandling på 44 veckor (intervall: 1 dos till 88 veckor).
Längre tids behandling med Soliris (median 55 veckor med ett intervall från 1 dag till 107 veckor) associerades med en ökad hastighet av kliniskt betydelsefulla förbättringar hos pediatriska patienter och ungdomar med aHUS. När Soliris‑behandling pågick i mer än 26 veckor fick ytterligare en patient (68 % av totalt antal patienter) komplett TMA-respons och ytterligare två patienter (91 % av totalt antal patienter) hematologisk normalisering. Vid den senaste utvärderingen fick 19 av 22 patienter (86 %) förbättrat eGFR till ≥ 15 ml/min/1,73 m2 från baslinjen. Ingen patient behövde ny dialys med Soliris.
Refraktär generaliserad myasthenia gravis
Totalt 11 patienter med refraktär gMG fick Soliris i studie ECU‑MG‑303. Medianvärdet (intervall) för kroppsvikt hos de behandlade patienterna var 59,7 kg (37,2 till 91,2 kg) vid baslinjen och medianvärdet (intervall) för ålder var 15 år (12 till 17 år) vid screening. Alla patienter som ingick i studien var patienter med refraktär gMG som uppfyllde ett eller flera av följande kriterier:
Misslyckad behandling ≥ 1 år med minst 1 IST, definierat som: (i) kvarstående svaghet med nedsatt förmåga att utföra vardagsaktiviteter, eller (ii) exacerbation av myasthenia gravis och/eller kris under pågående behandling, eller (iii) intolerans mot IST-behandlingar på grund av biverkning eller ett eller flera komorbida tillstånd.
Behövt underhållsbehandling med PE eller IVIg för att kontrollera symtomen (dvs. patienter som behövt regelbunden PE eller IVIg för behandling av muskelsvaghet minst var 3:e månad under de senaste 12 månaderna före screening).
Karakteristika vid baslinjen för pediatriska patienter med refraktär gMG som deltog i studie ECU‑MG‑303 beskrivs i tabell 19.
Tabell 19: Patientdemografi och patientegenskaper i studie ECU-MG-303
aImmunsuppressiva behandlingar omfattade kortikosteroider, azatioprin, cyklofosfamid, ciklosporin, metotrexat, mykofenolatmofetil eller takrolimus. Ingen patient fick ciklosporin, cyklofosfamid eller metotrexat vid baslinjen.
Förkortningar: IVIg = intravenöst immunglobulin; max = maximum; MG = myasthenia gravis; MG‑ADL = Myasthenia Gravis Activities of Daily Living profile; MGFA = Myasthenia Gravis Foundation of America; min = minimum; QMG = Quantitative Myasthenia Gravis score for disease severity; SD = standardavvikelse
Det primära effektmåttet i studie ECU‑MG‑303 var förändringen från baslinjen i totalpoängen för QMG över tid, oavsett akut behandling. Pediatriska patienter som behandlades med Soliris visade en statistiskt signifikant förbättring från baslinjen i totalpoäng för QMG under hela behandlingsperioden för primär utvärdering på 26 veckor. Resultaten för de primära och sekundära effektmåtten i studie ECU‑MG‑303 visas i tabell 20.
Effekten av Soliris-behandling hos pediatriska patienter med refraktär gMG överensstämde med den som observerats hos vuxna patienter med refraktär gMG som ingick i den pivotala studien ECU‑MG‑301 (tabell 10).
Tabell 20: Effektutfall i studie ECU-MG-303
an är antalet patienter vecka 26
Förkortningar: KI = konfidensintervall; LS = minsta kvadrat; MG-ADL = Myasthenia Gravis Activities of Daily Living profile; MGC = Myasthenia Gravis Composite; QMG = Quantitative Myasthenia Gravis score for disease severity; SEM = standardfel för medelvärdet; VAS = visuell analog skala
I studie ECU-MG-303 definierades kliniskt svar i totalpoängen för QMG och MG-ADL som en förbättring med minst 5 poäng respektive 3 poäng från baslinjen. Andelen patienter med kliniskt svar i totalpoängen för QMG och MG-ADL vecka 26 oavsett akut behandling var 70 % respektive 50 %. 10 patienter som fullföljde sitt besök vecka 26 uppnådde förbättrad status för MGFA Post‑Interventional Status (MGFA‑PIS) vecka 26. Sju (70 %) patienter uppnådde minimal manifestation av refraktär gMG vecka 26.
En händelse med klinisk försämring (MG-kris) som krävde akut behandling (PE) observerades hos 1 patient (9,1 %) under behandlingsperioden för primär utvärdering. Den akuta behandlingen administrerades mellan studiebesöken vecka 22 och vecka 24. Som ett resultat av detta och baserat på läkarens beslut bedömdes inte denna patient avseende QMG, MG-ADL eller andra effekter efter vecka 20 och deltog inte i förlängningsperioden. Ytterligare 2 patienter upplevde klinisk försämring (MG-kris) under förlängningsperioden som krävde akut behandling (PE och IVIg för det ena fallet av klinisk försämring och IVIg och 2 tilläggsbehandlingar med ekulizumab för det andra fallet).
Under hela studieperioden för pediatriska patienter med refraktär gMG (studie ECU‑MG-303) minskade 4 av 11 patienter (36,4 %) sin dagliga dos av IST- eller antikolinesterasbehandling till följd av förbättrade MG-symtom. Ytterligare en patient (9,1 %) minskade först och ökade därefter sin dagliga dos under förlängningsperioden till följd av förbättrade respektive försämrade MG‑symtom. En patient startade en ny kortikosteroidbehandling till följd av försämrade MG‑symtom.
Långtidseffekt
Alla patienter som fullföljde den primära behandlingsperioden (N = 10) fortsatte med förlängningsperioden i upp till 208 behandlingsveckor. Endast två patienter fullföljde förlängningsperioden. Åtta deltagare lämnade studien under förlängningsperioden; av dessa övergick fyra deltagare till antingen kommersiellt tillgänglig Soliris eller Ultomiris eller övergick till en annan pågående Ultomiris-studie på barn.
Patienterna bibehöll konsekvent sitt svar under studien, vilket hade liknande omfattning som det svar som rapporterats under den initiala behandlingsperioden.
Figur 3: Ändring från baslinjen av total QMG-poäng (LS-medel och 95 % CI) oavsett akut behandling) under vecka 1 till vecka 52 med användning av en modell med upprepade mätningar
Förkortningar: LS = minsta kvadrat; KI = konfidensintervall.
Observera: Baslinje definieras som det senast tillgängliga bedömningsvärdet före den första infusionen med studieläkemedel.
Observera: Uppskattningar baseras på MMRM som inkluderade besöksförhållanden och baslinjevärde.
Medel är lika med 0. En kovariansstruktur med sammansatt symmetri användes.
Neuromyelitis optica spektrumtillstånd
Europeiska läkemedelsmyndigheten har beviljat undantag från kravet att skicka in studieresultat för Soliris för en eller flera grupper av den pediatriska populationen för behandling av NMOSD (information om pediatrisk användning finns i avsnitt 4.2).
Farmakokinetik och läkemedelsmetabolism
Metabolism
Humana antikroppar genomgår endocytotisk nedbrytning i cellerna i det retikuloendoteliala systemet. Ekulizumab innehåller endast naturligt förekommande aminosyror och har inga kända aktiva metaboliter. Humana antikroppar kataboliseras huvudsakligen av lysosomala enzymer till små peptider och aminosyror.
Eliminering
Inga specifika studier har gjorts för att klarlägga utsöndrings-/elimineringsvägarna för Soliris via lever, njurar, lungor eller mag-tarmsystem. Antikroppar utsöndras inte i normala njurar och kan inte filtreras av njurarna på grund av sin storlek.
Farmakokinetiskt (Farmakokinetiska)/farmakodynamiskt (farmakodynamiska) förhållande(n)
Hos 40 patienter med PNH användes en 1‑kompartmentmodell för att uppskatta de farmakokinetiska parametrarna efter flera doser. Medelvärdet för clearance var 0,31 ± 0,12 ml/timme/kg, medelvärdet för distributionsvolymen var 110,3 ± 17,9 ml/kg och medelvärdet för halveringstiden för eliminering var 11,3 ± 3,4 dagar. Jämviktsläget uppnås efter 4 veckor med doseringsregimen för vuxna med PNH.
Hos PNH-patienter korrelerar farmakodynamisk aktivitet direkt med serumkoncentrationerna av ekulizumab och upprätthållande av tröskelvärden ≥ 35 mikrogram/ml ger i princip fullständig blockering av den hemolytiska aktiviteten hos huvuddelen av PNH-patienterna.
En andra populationsfarmakokinetisk analys med standard 1 kompartment-modell genomfördes med flerdos PK‑data från 37 aHUS-patienter som fick den rekommenderade Solirisbehandlingen från studierna C08-002A/B och C08-003A/B. I den modellen var clearance för Soliris för en standard aHUS-patient som väger 70 kg 0,0139 l/timme och distributionsvolymen var 5,6 l. Eliminationshalveringstiden var 297 timmar (ca 12,4 dagar).
Den andra populationens PK-modell tillämpades på PK-data för flera doser från 22 pediatriska patienter med aHUS som fick den rekommenderade regimen med Soliris i aHUS C10-003. Clearance och volymfördelning av Soliris är viktberoende, vilket ligger till grund för en viktbestämd dosregim hos pediatriska patienter (se avsnitt 4.2). Clearancevärden för Soliris hos pediatriska patienter med aHUS var 10,4, 5,3 och 2,2 ml/h med en kroppsvikt på 70, 30 och 10 kg och de motsvarande värdena för volymfördelning var 5,23, 2,76 och 1,21 l. Den motsvarande halveringstiden för eliminering var nästan oförändrad inom ett intervall på 349 till 378 h (cirka 14,5 till 15,8 dagar).
Clearance och halveringstiden för ekulizumab utvärderades också under plasmautbytesinterventioner. Plasmautbyte resulterade i en ca 50 % nedgång i ekulizumabkoncentrationer efter en 1 timmes intervention och eliminationshalveringstiden av ekulizumab reducerades till 52,4 timmar. Kompletterande dosering rekommenderas när Soliris ges till aHUS-patienter som får plasmainfusion eller utbyte (se avsnitt 4.2).
Alla aHUS-patienter behandlade med Soliris enligt rekommendationerna visade snabb och varaktig minskning av terminal komplement‑aktivitet. Hos aHUS‑patienter korrelerar den farmakodynamiska aktiviteten direkt med ekulizumabs serumkoncentrationer och vidmakthållande av dalvärden på över 50 mikrogram/ml resulterar i princip i fullständig blockering av terminal komplementaktivitet hos alla aHUS-patienter.
PK-parametrarna är enhetliga för PNH-, aHUS-, refraktär gMG- och NMOSD‑populationerna.
Farmakodynamisk aktivitet som uppmätts vid fria C5-koncentrationer på < 0,5 mikrogram/ml korrelerar med väsentligen fullständig blockad av terminal komplementaktivitet hos patienter med PNH, aHUS, refraktär gMG eller NMOSD.
Speciella populationer
Inga dedikerade studier har gjorts för att klarlägga farmakokinetiken för Soliris till speciella patientpopulationer identifierade genom kön, rastillhörighet, ålder (geriatriska patienter) eller förekomst av nedsatt njur- eller leverfunktion. Populationsfarmakokinetiska (PopPK-)analyser av data som samlats in i studier av PNH-, aHUS-, gMG- och NMOSD-patienter visade att kön, rastillhörighet, ålder (geriatriska patienter) eller förekomst av nedsatt njur- eller leverfunktion inte påverkar PK för ekulizumab.
Pediatrisk population
Ekulizumabs farmakokinetik utvärderades i studie M07 005 hos pediatriska PNH patienter (i åldrarna 11 till yngre än 18 år) i studie C08-002, C08-003, C09-001r och C10-003 hos pediatriska patienter med aHUS (i åldern 2 månader till yngre än 18 år) och i studie ECU-MG-303 hos pediatriska patienter med refraktär gMG (i åldern 12 år till yngre än 18 år) visade PopPK-analys att för PNH, aHUS, refraktär gMG och NMOSD var kroppsvikt en signifikant kovariabel som krävde kroppsviktsbaserad dosering för pediatriska patienter.
Ekulizumabs specificitet för C5 i humant serum bedömdes i två in vitro-studier.
Ekulizumabs vävnadskorsreaktivitet bedömdes genom bestämning av bindningen till en panel med 38 humana vävnader. C5-expressionen i den humana vävnadspanel som testades i denna studie överensstämmer med publicerade rapporter om C5‑expression, eftersom C5 har rapporterats i glatt muskulatur, tvärstrimmig muskulatur och proximalt tubulärt njurepitel. Ingen oväntad vävnadskorsreaktivitet observerades.
Inga reproduktionsstudier på djur har utförts med ekulizumab på grund av avsaknad av farmakologisk aktivitet hos icke-humana arter.
I en 26-veckors toxicitetsstudie som genomfördes på mus med en surrogatantikropp riktad mot murint C5 påverkade behandlingen ingen av de toxicitetsparametrar som mättes. Under studien blockerades den hemolytiska aktiviteten effektivt i både hon- och hanmöss.
Inga tydligt behandlingsrelaterade effekter eller biverkningar observerades under reproduktionstoxikologiska studier på möss med en surrogatantikropp för hämning av terminalt komplement, som användes för att bedöma reproduktionssäkerheten för C5-blockad. Dessa studier inkluderade bedömning av fertilitet och tidig embryonal utveckling, utvecklingstoxicitet samt pre- och postnatal utveckling.
När modern exponerades för antikroppen under organogenesen observerades två fall av retinal dysplasi och ett fall av navelbråck hos 230 avkommor födda av mödrar som hade exponerats för den högre antikroppsdosen (ungefär 4 gånger den högsta rekommenderade humana dosen av Soliris, baserat på en jämförelse av kroppsvikt). Exponeringen ökade dock inte missfallsfrekvensen eller neonataldödligheten.
Inga djurstudier har gjorts för att utvärdera ekulizumabs gentoxiska och carcinogena potential.
Farmakoterapeutisk grupp: komplementhämmare, ATC-kod: L04AJ01
Soliris är en rekombinant humaniserad monoklonal IgG2/4k-antikropp som binder till humant C5-komplementprotein och hämmar aktiveringen av terminalt komplement. Soliris-antikroppen innehåller humana konstanta regioner och murina komplementaritetsbestämmande regioner som är ympade på det humana ramverket av variabla regioner från lätta och tunga kedjor. Soliris består av två tunga kedjor med 448 aminosyror och två lätta kedjor med 214 aminosyror och har en molekylvikt på cirka 148 kDa.
Soliris framställs i ett expressionssystem som utgörs av en murin myelomcellinje (NS0-cellinje) och renas genom affinitets- och jonbyteskromatografi. Tillverkningsprocessen för bulkläkemedelssubstansen inbegriper också specifik virusinaktivering och borttagningssteg.
Verkningsmekanism
Ekulizumab, det aktiva innehållsämnet i Soliris, är en hämmare av terminalt komplement som binder specifikt till komplementproteinet C5 med hög affinitet och därigenom blockerar dess klyvning till C5a och C5b, vilket förhindrar att det terminala komplementkomplexet C5b-9 bildas. Ekulizumab bevarar de tidiga komponenter i komplementaktiveringen som är nödvändiga för opsonisering av mikroorganismer och clearance av immunkomplex.
Hos PNH-patienter blockeras den okontrollerade terminala komplementaktiveringen och därmed den komplement-medierade intravaskulära hemolysen vid behandling med Soliris.
Hos de flesta PNH-patienter är serumkoncentrationer av ekulizumab på omkring 35 mikrogram/ml tillräckligt för en i princip fullständig hämning av terminal komplement-medierad intravaskulär hemolys.
Hos PNH-patienter gav kronisk administrering av Soliris en snabb och ihållande minskning av den komplement-medierade hemolysaktiviteten.
Hos aHUS-patienter blockeras med Solirisbehandling den okontrollerade terminala komplementaktiveringen och därmed komplement-medierad trombotisk mikroangiopati.
Alla patienter som behandlats med Soliris enligt rekommendationerna visade på snabb och varaktig minskning av terminal komplementaktivitet. Hos alla aHUS patienter var serumkoncentration av ekulizumab på cirka 50–100 mikrogram/ml tillräcklig för i princip fullständig hämning av terminal komplement-aktivitet.
Hos aHUS-patienter resulterade kronisk administrering av Soliris i en snabb och varaktig minskning av komplement-medierad trombotisk mikroangiopati.
Hos patienter med refraktär gMG orsakar okontrollerad terminal komplement‑aktivering membranattackkomplex (MAC)-beroende lys och C5a‑beroende inflammation runt den neuromuskulära förbindelsen (NMJ) som leder till rubbning i den neuromuskulära transmissionen. Kronisk administrering av Soliris resulterar i omedelbar, fullständig och ihållande hämning av terminal komplement‑aktivitet (serumkoncentrationer av ekulizumab ≥ 116 mikrogram/ml).
Hos patienter med NMOSD leder okontrollerad terminal komplementaktivering orsakad av antikroppar mot AQP4 bildande av MAC- och C5a-beroende inflammation, vilket leder till nekros av astrocyter och ökad permeabilitet genom blodhjärnbarriären, liksom död bland omgivande oligodendrocyter och neuron. Kronisk administrering av Soliris resulterar i omedelbar, fullständig och ihållande hämning av terminal komplementaktivitet (serumkoncentrationer av ekulizumab ≥ 116 mikrogram/ml).
Klinisk effekt och säkerhet
Paroxysmal nokturn hemoglobinuri
Soliris säkerhet och effekt vid behandling av PNH-patienter med hemolys undersöktes i en 26 veckor lång, randomiserad, placebokontrollerad dubbelblindstudie (C04-001). PNH-patienter behandlades också med Soliris i en 52 veckor lång enarmad studie (C04-002), samt i en långtidsstudie som var en förlängningsstudie (E05-001). Patienterna fick meningokockvaccin innan de fick Soliris. I alla studierna var dosen av ekulizumab 600 mg var 7:e dag ± 2 dagar i 4 veckor, följt av 900 mg 7 ± 2 dagar senare och därefter med 900 mg var 14:e dag ± 2 dagar under hela studiens gång. Soliris administrerades som en intravenös infusion under 25–45 minuter (35 minuter ± 10 minuter). En icke-interventionell observationsregistrering hos patienter med PNH (M07‑001) initierades även för att karakterisera det naturliga förloppet av PNH hos obehandlade patienter och det kliniska utfallet under behandling med Soliris.
I studien C04-001 (TRIUMPH) randomiserades PNH-patienter med minst 4 transfusioner under de föregående 12 månaderna, med minst 10 % PNH‑celler (verifierat med flödescytometri) och med ett trombocytvärde på minst 100 000/mikroliter till antingen Soliris (n = 43) eller placebo (n = 44). Före randomiseringen genomgick alla patienter en initial observationsperiod för att bekräfta behovet av transfusion med röda blodkroppar och för att identifiera den hemoglobinkoncentration (”börvärdet”) som skulle definiera varje patients hemoglobinstabilisering och transfusionsutfall. Hemoglobinbörvärdet var lägre än eller lika med 9 g/dl hos patienter med symtom och mindre än eller lika med 7 g/dl hos patienter utan symtom. Primära effektmått för effekt var hemoglobinstabilisering (patienter som bibehöll en hemoglobinkoncentration över hemoglobinbörvärdet och inte fick några transfusioner av röda blodkroppar under hela 26‑veckorsperioden) och behovet av blodtransfusioner. Trötthet och hälsorelaterad livskvalitet var relevanta sekundära effektmått. Hemolysen övervakades i huvudsak genom mätning av LDH-serumhalter, och andelen PNH-blodkroppar följdes genom flödescytometri. Patienter som fick antikoagulantia och systemiska kortikosteroider vid baslinjen fick fortsätta denna medicinering. Huvudbaslinjeegenskaper balanserades (se tabell 2).
I C04-002-studien utan kontroll (SHEPHERD) fick PNH-patienter med minst en transfusion under de föregående 24 månaderna och minst 30 000 trombocyter/mikroliter Soliris under en 52-veckorsperiod. Samtidig medicinering inbegrep läkemedel mot trombos hos 63 % av patienterna och systemiska kortikosteroider hos 40 % av patienterna. Baslineegenskaperna visas i tabell 2.
Tabell 2: Patientdemografi och patientegenskaper i C04-001 och C04‑002
I TRIUMPH-studien hade patienter som behandlades med Soliris signifikant lägre (p<0,001) hemolys, vilket gav en förbättring av anemin som visade sig som ökad hemoglobinstabilisering och minskat behov av transfusioner med röda blodkroppar jämfört med placebobehandlade patienter (se tabell 3). Dessa effekter observerades hos patienter i var och en av de tre transfusionsstrata för röda blodkroppar som fastställdes före studien (4–14 enheter, 15–25 enheter, >25 enheter). Efter 3 veckors behandling med Soliris rapporterade patienterna minskad trötthet och förbättrad hälsorelaterad livskvalitet. På grund av studiens storlek och varaktighet kunde Soliris effekt på tromboshändelser inte bestämmas. I SHEPHERD-studien fullföljde 96 av 97 rekryterade patienter studien (en patient dog efter en tromboshändelse). En minskning av den intravaskulära hemolysen, mätt som LDH-serumhalter, bibehölls under behandlingsperioden och resulterade i att transfusion kunde undvikas i större utsträckning, samt ett minskat behov av transfusion med röda blodkroppar och minskad trötthet. Se tabell 3.
Tabell 3: Effektutfall i C04-001 och C04-002
Av de 195 patienter som kom från C04-001, C04-002 och andra inledande studier rekryterades Soliris-behandlade PNH-patienter till en långtidsförlängningsstudie (E05-001). Alla patienter bibehöll en minskad intravaskulär hemolys under en sammanlagd exponeringstid för Soliris på från 10 till 54 månader. Färre tromboshändelser inträffade med Soliris-behandling än under samma tidsperiod före behandling. Detta visades dock i kliniska studier utan kontroll.
PNH‑registret (M07‑001) användes för att utvärdera effekten av Soliris hos PNH‑patienter utan tidigare RBC‑transfusion. Dessa patienter hade en hög sjukdomsaktivitet som definierades av ökad hemolys (LDH ≥1,5x ULN) samt förekomst av ett eller flera relaterade kliniska symtom: trötthet, hemoglobinuri, buksmärta, andnöd (dyspné), anemi (hemoglobin <100 g/l), allvarlig vaskulär händelse (inklusive trombos), dysfagi eller erektil dysfunktion.
I PNH-registret sågs patienter som behandlades med Soliris ha en reducerad hemolys samt associerade symtom. Vid 6 månader hade patienter som behandlades med Soliris utan tidigare RBC‑transfusioner signifikant (p<0,001) reducerade LDH‑nivåer (median LDH 305 U/l; tabell 4). Vidare erhöll 74 % av patienterna som inte fått transfusion tidigare och som behandlades med Soliris kliniskt meningsfulla förbättringar av FACIT-Fatiguepoäng (dvs. en ökning med 4 poäng eller mer) och 84 % av EORTC-Fatiguepoäng (dvs. en minskning med 10 poäng eller mer).
Tabell 4: Effektivitetsmått (LDH‑nivå och FACIT‑Fatigue) hos patienter med PNH utan tidigare transfusion i M07‑001
FACIT-Fatigue mäts i skalan 0–52, där högre värden indikerar mindre trötthet.
Atypiskt hemolytiskt uremiskt syndrom
Data från 100 patienter i fyra prospektiva kontrollerade studier, tre hos vuxna och ungdomar (C08-002A/B, C08-003A/B, C10-004), en hos pediatriska patienter och ungdomar (C10-003) och 30 patienter i en retrospektiv studie (C09-001r) användes för att utvärdera effekten av Soliris vid behandling av aHUS.
Studie C08‑002A/B var en prospektiv, kontrollerad, öppen studie som inkluderade patienter i den tidiga fasen av aHUS med tecken på klinisk trombotisk mikroangiopati påvisad med trombocytantal ≤ 150 x 109/l trots plasmaterapi (PT), och LDH och serumkreatinin över övre normalgränsen.Studie C08‑003A/B var en prospektiv, kontrollerad, öppen studie som inkluderade patienter som en längre tid haft aHUS utan synbara tecken på klinisk trombotisk mikroangiopatisk manifestation och behandlas med kronisk plasmaterapi (≥ 1 PT-behandling varannan vecka och inte mer än 3 PT-behandlingar/vecka under minst 8 veckor innan den första dosen). Patienter i båda prospektiva studierna behandlades med Soliris i 26 veckor och de flesta patienterna ingick i en långtids öppen förlängningsstudie. Alla patienterna som inkluderades i båda prospektiva studierna hade en ADAMTS-13 nivå över 5 %.
Patienterna fick antingen vaccinering mot meningokocker före Solirisbehandlingen eller förebyggande behandling med lämplig antibiotika i 2 veckor efter vaccinationen. I samtliga studier var dosen av Soliris till vuxna och ungdomar med aHUS 900 mg var 7 ± 2 dagar i 4 veckor, följt av 1 200 mg 7 ± 2 dagar senare, därefter 1200 mg var 14 ± 2 dagar så länge studien pågick. Soliris administrerades som en intravenös infusion under 35 minuter. Doseringsregimen hos barn och ungdomar som vägde mindre än 40 kg baserades på farmakokinetisk (PK) simulering, som identifierade rekommenderad dos och baserades på kroppsvikt (se avsnitt 4.2).
Primärt effektmått var förändringen av antalet trombocyter från utgångsvärdet i studien C08‑002A/B och frihet från trombotisk mikroangiopatisk (TMA) händelse i studien C08‑003A/B. Ytterligare effektmått var antal TMA- behandlingar, hematologisk normalisering, komplett TMA svar, förändringar i LDH, njurfunktion och livskvalitet. Frihet från TMA-händelser definierades som frånvaro under minst 12 veckor av följande: minskning i trombocyttal på > 25 % från baslinjen, PT och ny dialys. TMA-behandlingar definierades som PT eller ny dialys. Hematologisk normalisering definierades som normalisering av trombocytantalet och LDH-nivåer som kvarstod i ≥2 på varandra följande mätningar i ≥ 4 veckor. Komplett TMA svar definierades som hematologisk normalisering och en ≥ 25 % minskning av serumkreatinin som kvarstod i ≥2 på varandra följande mätningar i ≥4 veckor.
Baslinjevärden visas i tabell 5.
Tabell 5: Demografiska patientdata och egenskaper ifrån C08-002A/B och C08-003A/B
Patienter i aHUS-studien C08-002A/B fick Soliris i minst 26 veckor. Efter att den inledande 26 veckor långa behandlingsperioden avslutats fortsatte de flesta patienterna att få Soliris genom att anmäla sig till en förlängningsstudie. I aHUS‑studien C08-002A/B, var mediantiden för Soliris-behandlingen cirka 100 veckor (intervall: 2 veckor till 145 veckor).
En minskning av terminal komplementaktivitet och en ökning av trombocyterna i förhållande till utgångsläget observerades efter insättande av Solirisbehandlingen. Minskning av terminal komplementaktivitet observerades hos samtliga patienter efter påbörjandet av Solirisbehandlingen. Tabell 6 sammanfattar effektresultaten från aHUS Studien C08-002A/B. Alla effektmåttsvärden förbättrades eller bibehölls under 2 års behandling. Fullständigt TMA-svar bibehölls av alla som svarade. Ytterligare två patienter uppnådde och bibehöll fullständigt TMA-svar på grund av normalisering av LDH (1 patient) och sänkt serumkreatinin (2 patienter), när behandlingen pågått i mer än 26 veckor.
Njurfunktionen, mätt som eGFR, förbättrades och bibehölls under Soliris‑behandling. Fyra av fem patienter som behövde dialys vid inträdet i studien kunde avbryta sin dialys under hela Solirisbehandlingen och en patient utvecklade nytt dialysbehov. Patienterna rapporterade förbättrad hälsorelaterad livskvalitet (QoL).
I aHUS-studien C08-002A/B, sågs liknande effekter med Solirisbehandling som hos patienter med eller utan identifierade mutationer i gener som kodar för komplementreglerande faktorproteiner.
Patienterna i aHUS-studien C08-003A/B fick Soliris i minst 26 veckor. Efter slutförandet av den inledande 26 veckor långa behandlingsperioden fortsatte de flesta patienter att få Soliris genom att anmäla sig till en fortsättningsstudie. I aHUS‑studien C08-003A/B var mediandurationen av Soliris-behandling cirka 114 veckor (intervall: 26 till 129 veckor). Tabell 6 sammanfattar effektresultaten för aHUS studien C08-003A/B.
I aHUS-studien C08-003A/B observerades liknande effekter med Solirisbehandlingen som hos patienter med och utan identifierade mutationer i gener som kodar för komplementreglerande faktorproteiner. Minskning av terminal komplementaktivitet observerades hos samtliga patienter efter påbörjande av Solirisbehandling. Alla effektmåttsvärden förbättrades eller bibehölls under 2 års behandling. Fullständigt TMA-svar bibehölls av alla som svarade. Ytterligare sex patienter uppnådde och bibehöll fullständigt TMA-svar på grund av sänkt serumkreatinin när behandlingen pågått i mer än 26 veckor. Ingen patient behövde ny dialys med Soliris. Njurfunktionen, mätt som median eGFR, ökade under Soliris‑behandlingen.
Tabell 6: Effektresultat från prospektiva aHUS-studier C08-002A/B och C08‑003A/B
1 Vid data cut-off (20 april 2012)
2 Studie C08-002: 3 patienter fick ESA som avbröts efter insättning av ekulizumab
3 Studie C08-003: 8 patienter fick ESA som avbröts hos 3 patienter vid ekulizumabterapi
aHUS-studie C10-004 omfattade 41 patienter som uppvisade tecken på trombotiska mikroangiopati-komplikationer (TMA). För att kvalificeras för rekrytering, skulle patienterna ha ett trombocytantal < lägsta gränsen för normalvärdet (LLN), tecken på hemolys t.ex. förhöjt LDH i serum och serumkreatinin över högsta gränsen för normalvärdet, utan behov av kronisk dialys. Medianpatientens ålder var 35 (intervall: 18 till 80 år). Alla rekryterade patienter i aHUS-studie C10-004 hade en ADAMTS‑13‑nivå över 5 %. Femtioen procent av patienterna hade en identifierad komplementär regulatorfaktormutation eller autoantikroppar. Totalt 35 patienter fick PE/PI före ekulizumab. Tabell 7 sammanfattar huvudsakliga kliniska och sjukdomsrelaterade egenskaper vid baslinjen hos patienter rekryterade till i aHUS C10-004.
Tabell 7: Egenskaper vid baslinjen hos patienter inregistrerade i aHUS-studie C10-004
Patienter i aHUS‑studie C10-004 fick Soliris under minst 26 veckor. Efter att den inledande behandlingsperioden på 26 veckor avslutats, valde de flesta patienterna att fortsätta med kronisk behandling.
Minskning av terminal komplementaktivitet och förhöjda trombocyter i förhållande till baslinjen observerades efter behandlingsstart med Soliris. Soliris minskade tecknen på komplementmedierad TMA-aktivitet, som visas genom en ökning i medelvärdet för trombocytantalet från baseline till 26 veckor. I aHUS C10-004 ökade medelvärdet (±SD) för trombocytantalet från 119 ± 66 x 109/L vid baseline till 200 ± 84 x 109/L på en vecka. Denna effekt bibehölls under 26 veckor (medelvärdet (±SD) för trombocytantalet vid vecka 26: 252 ± 70 x 109/L). Njurfunktion, mätt som eGFR, förbättrades under Soliris-behandling. 20 av de 24 patienterna som fick dialys vid baslinjen kunde avbryta dialysen under behandling med Soliris. Tabell 8 sammanfattar effektresultaten för aHUS-studie C10-004.
Tabell 8: Effektresultat för prospektiva aHUS-studie C10-004
1Till data cut-off (4 september 2012), med en median-varaktighet av Soliris‑behandling på 50 veckor (intervall: 13 veckor till 86 veckor).
Längre tids behandling med Soliris (median 52 veckor med ett intervall från 15 till 126 veckor) associerades med en ökad grad av kliniskt betydelsefulla förbättringar hos vuxna patienter med aHUS. När Soliris behandlingen fortsatte i mer än 26 veckor fick ytterligare tre patienter (63 % av totalt antal patienter) komplett TMA‑respons och ytterligare fyra patienter (98 % av totalt antal patienter) hematologisk normalisering. Vid den senaste utvärderingen fick 25 av 41 patienter (61 %) förbättrat eGFR till ≥ 15 ml/min/1,73 m2 från baslinjen.
Refraktär generaliserad myasthenia gravis
Data från 139 patienter i två prospektiva kontrollerade studier (studierna C08‑001 och ECU-MG-301) och en öppen förlängningsprövning (studie ECU‑MG‑302) användes för att utvärdera effekten för Soliris vid behandling av patienter med refraktär gMG.
Studien ECU-MG (REGAIN) var en dubbelblind, randomiserad, placebokontrollerad multicenterstudie i fas 3 under 26 veckor av Soliris på patienter där tidigare behandlingar misslyckats och patienterna hade kvarstående symtom. Etthundraarton (118) av de 125 (94 %) patienterna fullföljde behandlingsperioden på 26 veckor och 117 (94 %) patienter skrevs därefter in i studie ECU-MG-302, en öppen multicenter‑förlängningsstudie av säkerhet och effekt under lång tid, i vilken alla patienter fick Soliris-behandling.
I studie ECU-MG-301 randomiserades gMG-patienter med ett positivt serologitest för anti-AChR-antikroppar, klinisk klassificering av MGFA (Myasthenia Gravis Foundation of America) i klass II till IV och en totalpoäng för MG-ADL på ≥ 6, antingen till Soliris (n = 62) eller placebo (n = 63). Alla patienter som ingick i prövningen var patienter med refraktär gMG och uppfyllde följande fördefinierade kriterier:
1) Misslyckad behandling under minst ett år med 2 eller fler immunhämmande behandlingar (antingen i kombination eller som monoterapi), dvs. patienter med fortsatt försämring av vardagsaktiviteter trots immunhämmande behandlingar.
ELLER
2) Minst en misslyckad immunhämmande behandling och har behövt kroniskt plasmautbyte eller IVIg för att kontrollera symtomen, dvs. patienter som har behövt regelbundet plasmautbyte eller IVIg för behandling av muskelsvaghet minst var tredje månad under de senaste 12 månaderna.
Patienterna fick meningokockvaccination innan behandling med Soliris sattes in eller fick profylaxbehandling med lämplig antibiotika tills 2 veckor efter vaccinationen. I studierna ECU‑MG‑301 och ECU‑MG‑302 var Solaris-dosen till vuxna patienter med refraktär gMG 900 mg var 7 ± 2 dagar under 4 veckor, följt av 1 200 mg vid vecka 5 ± 2 dagar, därefter 1 200 mg var 14 ± 2 dagar under studietiden. Soliris administrerades som en intravenös transfusion under 35 minuter.
Tabell 9 visar egenskaperna vid baslinjen för patienter med refraktär gMG som ingick i studie ECU‑MG‑301.
Tabell 9: Patientdemografi och egenskaper i studie ECU-MG-301
* Immunhämmande medel inkluderar, men är inte begränsade till, kortikosteroider, azatioprin, mykofenolat, metotrexat, cyklosporin, takrolimus, eller cyklofosfamid.
Det primära effektmåttet för studie ECU‑MG‑301 var förändringen från baslinjen av den totala poängen för MG-skalan för vardagsaktiviteter (MG-ADL – ett patientrapporterat mått som validerades genom totalpoäng för gMG) vid vecka 26. Primäranalysen av MG‑ADL var en Worst-Rank ANCOVA med en medelpoäng på 56,6 poäng för Soliris och 68,3 poäng för placebogruppen baserat på 125 studiepatienter (p = 0,0698).
Det huvudsakliga sekundära effektmåttet var förändring från baslinjen av den totala poängen vid vecka 26 enligt det kvantitativa poängsystemet för MG (QMG – ett läkarrapporterat utfallsmått som validerats i gMG). Den primära analysen av QMG var Worst Rank ANCOVA med en poäng på 54,7 för Soliris och 70,7 för placebo baserat på 125 studiepatienter (p = 0,0129).
Effektmåtten för de förspecificerade upprepade mätanalyserna för de primära och sekundära effektmåtten finns i tabell 10.
Tabell 10: ECU-MG-301 Förändringar i effektmått från baslinjen till vecka 26
SEM = Standardfel för medel-KI = konfidensintervall MGC = Myasthenia Gravis Composite, MG-Qol-15 = Myasthenia Gravis Quality of Life 15
I studie ECU‑MG‑301 definierades ett kliniskt svar i totalpoängen för MG‑ADL som en förbättring med minst 3 poäng. Andelen med kliniskt svar vid vecka 26 utan akuta behandlingar var 59,7 % med Soliris-behandling jämfört med 39,7 % med placebo (p = 0,0229).
I studie ECU-MG-301 definierades ett kliniskt svar i totalpoängen för QMG som minst 5 poängs förbättring. Andelen kliniskt svarande vid vecka 26 utan akut behandling var 45,2 % med Soliris-behandling jämfört med 19 % med placebo (p = 0,0018).
Tabell 11 visar en översikt över de patienter som rapporterat klinisk försämring och patienter som behövde akut behandling under de 26 veckorna.
Tabell 11: Klinisk försämring och akut behandling i ECU-MG-301
Av de 125 patienter som rekryterades till ECU-MG-301, skrevs 117 patienter därefter in i en långtidsförlängningsstudie (studie ECU-MG-302), i vilken alla fick Soliris. Patienter som tidigare behandlats med Soliris i studie ECU-MG-301 fortsatte att uppvisa kvarstående effekt av Soliris för samtliga värden (MG-ADL, QMG, MGC och MG-QoL15) under ytterligare 130 veckors behandling med ekulizumab i studie ECU‑MG-302. Hos patienterna som fick placebo i studie ECU-MG-301 (placebo/ekulizumab-armen i studie ECU-MG-302) inträffade förbättringen efter insättning av ekulizumab och kvarstod i mer än 130 veckor i studie ECU-MG-302. I figur 1 visas förändringen från baslinjen av MG-ADL (A) och QMG (B) efter 26 veckors behandling i studie ECU-MG-301 och 130 veckors behandling (n=80 patienter) i studie ECU-MG-302.
Figur 1: Medelförändringar från baslinjen av MG-ADL (1A) och QMG (1B) under studierna ECU-MG-301 och ECU-MG-302
I studie ECU‑MG‑302 hade läkarna möjlighet att justera bakgrundsbehandlingar med immunhämmande medel. Under dessa förhållanden minskade 65,0 % av patienterna sin dagliga dos av minst 1 immunhämmande medel och 43,6 % av patienterna slutade med en pågående immunhämmande behandling. Det vanligaste skälet till ändring av den immunhämmande behandlingen var förbättrade MG-symtom.
Tjugotvå (22) (17,6 %) äldre patienter (>65 år) med refraktär gMG behandlades med Soliris i de kliniska prövningarna. Inga väsentliga åldersrelaterade skillnader av säkerhet och effekt observerades.
Neuromyelitis optica spektrumtillstånd
Data från 143 patienter i en kontrollerad studie (studie ECU-NMO-301) och från 119 patienter som fortsatte i en öppen förlängningsprövning (studie ECU-NMO-302) användes för att utvärdera effekten och säkerheten för Soliris vid behandling av patienter med NMOSD.
Studie ECU-NMO-301 var en dubbelblind, randomiserad, placebokontrollerad multicenterstudie av Soliris i fas 3, på patienter med NMOSD.
I studie ECU-NMO-301 randomiserades patienter med NMOSD som hade positivt serologiskt test avseende antikroppar mot AQP4, anamnes på minst två recidiv under de senaste 12 månaderna eller tre recidiv under de senaste 24 månaderna, varav minst ett under de 12 månaderna före screening, samt ≤7 poäng på skalan Expanded Disability Status Scale (EDSS), i förhållandet 2:1 till antingen Soliris (n=96) eller placebo (n=47). Bakgrundsbehandling med immunhämmande medel i stabil dos var tillåten under studien, med undantag av rituximab och mitoxantron.
Patienterna fick antingen meningokockvaccin minst 2 veckor innan behandlingen med Soliris inleddes, eller profylaktisk behandling med lämpliga antibiotika tills det gått 2 veckor efter vaccination. I det kliniska utvecklingsprogrammet för ekulizumab vid NMOSD var Solirisdosen till vuxna patienter med NMOSD 900 mg var 7:e ± 2 dagar i 4 veckor, följt av 1 200 mg vid vecka 5 ± 2 dagar, därefter 1 200 mg var 14:e ± 2 dagar under hela studietiden. Soliris gavs som intravenös infusion under 35 minuter.
Majoriteten (90,9 %) av patienterna var kvinnor. Ungefär hälften var kaukasier (49,0 %). Medianåldern vid den första dosen studieläkemedel var 45 år.
Tabell 12: Sjukdomsanamnes och baslinjeegenskaper för patienterna i studie ECU-NMO-301
Förkortningar: Annualiserade recidivfrekvensen (ARR); EDSS = Expanded Disability Status Scale; Max = maximum; Min = minimum; NMOSD = neuromyelitis optica spektrumtillstånd; SD = standardavvikelse.
Primärt effektmått i studie ECU-NMO-301 var tid till första recidiv under studien, fastställt av en oberoende kommitté som var blindad för behandlingen. En signifikant effekt på tid till första fastställda recidiv under studien observerades för ekulizumab i jämförelse med placebo (relativ riskreduktion 94 %; riskkvot 0,058; p<0,0001) (figur 2). Patienter behandlade med Soliris fick motsvarande förbättring av tid till första fastställda recidiv under studien, med eller utan samtidig IST-behandling.
Figur 2: Överlevnad enligt Kaplan-Meier-estimat för tid till första fastställda recidiv i studie ECU-NMO-301 – hela analysgruppen
Observera: Patienter som inte hade något fastställt recidiv under studien censurerades när studieperioden var slut.
Stratifierade analyser baseras på fyra randomiseringsstrata:
(i) lågt EDSS vid randomisering (<=2,0), (ii) högt EDSS (>=2,5 till <=7) och behandlingsnaiv vid randomisering, (iii) högt EDSS (>=2,5 till <=7) och fortsatt med samma immunhämmare (en eller flera) sedan sista recidivet vid randomisering, (iv) högt EDSS (>=2,5 till <=7) och förändring av (en eller flera) immunhämmare sedan sista recidivet vid randomisering.
1 Baserat på Kaplan-Meier-skattning.
2 Baserat på komplementär log-log-transformation.
3 Baserat på stratifierat log-ranktest.
4 Baserat på stratifierad Cox-modell med proportionell risk.
5 Wald konfidensintervall.
Förkortningar: KI = konfidensintervall; EDSS = Expanded Disability Status Scale
Kvoten för den fastställda annualiserade recidivfrekvensen (ARR) under studien (95 % CI) för ekulizumab jämfört med placebo var 0,045 (0,013; 0,151), vilket motsvarar 95,5 % relativ minskning av fastställd ARR under studien för patienter behandlade med ekulizumab jämfört med placebo (p<0,0001) (tabell 13).
Tabell 13: Fastställd annualiserad recidivfrekvens i studie ECU-NMO-301 – hela analysgruppen
I jämförelse med placebobehandlade patienter hade patienter som behandlades med Soliris minskade annualiserade frekvenser av sjukhusinläggning (0,04 för Soliris och 0,31 för placebo), av intravenös kortikosteroidbehandling för akuta recidiv (0,07 för Soliris och 0,42 för placebo) samt av plasmautbyte (0,02 för Soliris och 0,19 för placebo).
Fördelningen av förändringar från baslinjen till studiens slut för andra sekundära effektmått var till fördel för ekulizumabbehandling jämfört med placebo för samtliga neurologiska funktionsnedsättningar (EDSS-poäng [p=0,0597] och mRS [nominellt p=0,0154]), funktionsnedsättning (HAI [nominellt p=0,0002]) och livskvalitet (EQ‑5D VAS [nominellt p=0,0309] och EQ-5D-index [nominellt p= 0,0077]).
Den slutliga analysen av studie ECU-NMO-302 visar på en signifikant och kliniskt meningsfull minskning av ARR under studien (bedömd av behandlande läkare) för ekulizumabbehandling, baserat på medianförändring (min; max) (−1,825 [−6,38; 1,02], p<0,0001) av historiskt ARR (24 månader före screening i studie ECU‑NMO-301).
I studie ECU‑NMO-302 hade läkarna möjlighet att justera bakgrundsbehandlingar med immunhämmande medel. Under dessa förhållanden var den vanligaste förändringen av den immunhämmande behandlingen en sänkning av dosen, vilket gällde 21,0 % av patienterna. Ytterligare 15,1 % av patienterna slutade med en pågående immunhämmande behandling.
Soliris (ekulizumab) har inte studerats för behandling av akut recidiv hos NMOSD‑patienter.
Pediatrisk population
Paroxysmal nokturn hemoglobinuri
Totalt 7 pediatriska PNH patienter, med en medianvikt på 57,2 kg (i intervallet 48,6 till 69,8 kg), behandlades med Soliris i studien M07-005.
Behandling med ekulizumab enligt föreslagen doseringsregim i pediatrisk population förknippades med en minskning av intravaskulär hemolys, mätt som LDH–halt i serum. Det resulterade också i en markant minskning eller elimination av blodtransfusioner, och en trend mot generell förbättring av allmänna funktioner. Effekten av ekulizumab-behandling hos pediatriska PNH patienter verkar vara överensstämmande med den som observerats i vuxna PNH patienter som deltagit i de pivotala kliniska PNH studierna (C04-001 och C04-002) (tabell 3 och 14).
Tabell 14: Effektresultat från den pediatriska PNH studien M07-005
Atypiskt hemolytiskt uremiskt syndrom
Totalt 15 pediatriska patienter (i åldern 2 månader till 12 år) fick Soliris i aHUS‑studien C09-001r. 47 % av patienterna hade en identifierad komplementreglerande faktormutation eller auto-antikroppar. Mediantiden från aHUS diagnos till första dosen av Soliris var 14 månader (intervall < 1 till 110 månader). Mediantiden från nuvarande trombotisk mikroangiopati-manifestation till första dosen av Soliris var 1 månad (intervall < 1 till 16 månader). Mediantiden för Soliris‑behandling var 16 veckor (variationsvidd 4–70 veckor) för barn < 2 år (n = 5) och 31 veckor (intervall 19 till 63 veckor) för barn 2 till < 12 år (n = 10).
Effektresultat tycktes generellt överensstämma för dessa barn med vad som observerades hos patienter inskrivna i de pivotala aHUS-studierna C08-002 och C08‑003 (tabell 6). Inga pediatriska patienter behövde ny dialys under behandlingen med Soliris.
Tabell 15: Effektresultat hos pediatriska patienter i studie C09-001r
Hos pediatriska patienter med kortvarig pågående svår klinisk trombotisk mikroangiopati (TMA), som bekräftats före ekulizumabbehandlingen, kontrollerades TMA och njurfunktionen förbättrades (tabell 15).
Hos pediatriska patienter som under länge tid haft svår klinisk TMA som bekräftats före ekulizumabbehandlingen kontrollerades TMA. Njurfunktionen hade dock inte förändrats på grund av tidigare förekomst av obotliga njurskador (tabell 16).
Tabell 16: Effektresultat hos pediatriska patienter i studie C09-001r efter duration av aktuell svår klinisk trombotisk mikroangiopati (TMA)
*En patient visade eGFR‑förbättring efter njurtransplantation
Totalt 22 pediatriska patienter och ungdomar (i åldern 5 månader till 17 år) fick Soliris under aHUS-studie C10-003.
I studie C10-003 skulle patienterna som ingick i studien ha ett trombocytantal < lägsta gränsen för normalvärdet (LLN), tecken på hemolys t.ex. förhöjt LDH i serum över högsta gränsen för normalvärdet och serumkreatininnivå ≥ 97 percentil för ålder, utan behov av kronisk dialys. Medianpatientens ålder var 6,5 år (intervall: 5 månader till 17 år). Patienter som var inregistrerade i aHUS C10-003 hade en ADAMTS-13-nivå över 5 %. Femtio procent av patienterna hade en identifierad komplementär regulatorfaktormutation eller autoantikroppar. Totalt 10 patienter fick PE/PI före ekulizumab. Tabell 17 sammanfattar huvudsakliga kliniska och sjukdomsrelaterade egenskaper vid baslinjen hos patienter rekryterade till aHUS C10‑003.
Tabell 17: Egenskaper vid baseline hos pediatriska patienter och ungdomar inregistrerade i aHUS-studie C10-003
Patienter i aHUS C10-003 fick Soliris under minst 26 veckor. Efter att den inledande behandlingsperioden på 26 veckor avslutats valde de flesta patienterna att fortsätta med kronisk behandling. Minskning av terminal komplementaktivitet observerades hos alla patienter efter behandlingsstart med Soliris. Soliris minskade tecknen på komplementmedierad TMA-aktivitet, som visades genom en ökning i medelvärdet för trombocytantalet vid baslinjen till 26 veckor. Medelvärdet (±SD) för trombocytantalet ökade från 88 ± 42 x 109/L vid baslinjen till 281 ± 123 x 109/l på en vecka. Denna effekt bibehölls under 26 veckor (medelvärdet (±SD) för trombocytantalet vid vecka 26: 293 ± 106 x 109/l). Njurfunktionen, mätt som eGFR, förbättrades under Soliris-behandling. Nio av de 11 patienterna som fick dialys vid baslinjen behövde inte längre dialys vid studiedag 15 med ekulizumab‑behandling. Svaren var liknande över alla åldrar från 5 månader till 17 år. Svaren på Soliris i aHUS C10-003 var liknande hos patienter med eller utan identifierade genmutationer som kodar komplementära regulatorfaktorproteiner eller autoantikroppar för faktor H.
Tabell 18 sammanfattar effektresultaten för aHUS C10-003.
Tabell 18: Effektresultat för prospektiva aHUS-studie C10-003
1 Vid data cut-off (12 oktober 2012), med en median-varaktighet av Soliris behandling på 44 veckor (intervall: 1 dos till 88 veckor).
Längre tids behandling med Soliris (median 55 veckor med ett intervall från 1 dag till 107 veckor) associerades med en ökad hastighet av kliniskt betydelsefulla förbättringar hos pediatriska patienter och ungdomar med aHUS. När Soliris‑behandling pågick i mer än 26 veckor fick ytterligare en patient (68 % av totalt antal patienter) komplett TMA-respons och ytterligare två patienter (91 % av totalt antal patienter) hematologisk normalisering. Vid den senaste utvärderingen fick 19 av 22 patienter (86 %) förbättrat eGFR till ≥ 15 ml/min/1,73 m2 från baslinjen. Ingen patient behövde ny dialys med Soliris.
Refraktär generaliserad myasthenia gravis
Totalt 11 patienter med refraktär gMG fick Soliris i studie ECU‑MG‑303. Medianvärdet (intervall) för kroppsvikt hos de behandlade patienterna var 59,7 kg (37,2 till 91,2 kg) vid baslinjen och medianvärdet (intervall) för ålder var 15 år (12 till 17 år) vid screening. Alla patienter som ingick i studien var patienter med refraktär gMG som uppfyllde ett eller flera av följande kriterier:
Misslyckad behandling ≥ 1 år med minst 1 IST, definierat som: (i) kvarstående svaghet med nedsatt förmåga att utföra vardagsaktiviteter, eller (ii) exacerbation av myasthenia gravis och/eller kris under pågående behandling, eller (iii) intolerans mot IST-behandlingar på grund av biverkning eller ett eller flera komorbida tillstånd.
Behövt underhållsbehandling med PE eller IVIg för att kontrollera symtomen (dvs. patienter som behövt regelbunden PE eller IVIg för behandling av muskelsvaghet minst var 3:e månad under de senaste 12 månaderna före screening).
Karakteristika vid baslinjen för pediatriska patienter med refraktär gMG som deltog i studie ECU‑MG‑303 beskrivs i tabell 19.
Tabell 19: Patientdemografi och patientegenskaper i studie ECU-MG-303
aImmunsuppressiva behandlingar omfattade kortikosteroider, azatioprin, cyklofosfamid, ciklosporin, metotrexat, mykofenolatmofetil eller takrolimus. Ingen patient fick ciklosporin, cyklofosfamid eller metotrexat vid baslinjen.
Förkortningar: IVIg = intravenöst immunglobulin; max = maximum; MG = myasthenia gravis; MG‑ADL = Myasthenia Gravis Activities of Daily Living profile; MGFA = Myasthenia Gravis Foundation of America; min = minimum; QMG = Quantitative Myasthenia Gravis score for disease severity; SD = standardavvikelse
Det primära effektmåttet i studie ECU‑MG‑303 var förändringen från baslinjen i totalpoängen för QMG över tid, oavsett akut behandling. Pediatriska patienter som behandlades med Soliris visade en statistiskt signifikant förbättring från baslinjen i totalpoäng för QMG under hela behandlingsperioden för primär utvärdering på 26 veckor. Resultaten för de primära och sekundära effektmåtten i studie ECU‑MG‑303 visas i tabell 20.
Effekten av Soliris-behandling hos pediatriska patienter med refraktär gMG överensstämde med den som observerats hos vuxna patienter med refraktär gMG som ingick i den pivotala studien ECU‑MG‑301 (tabell 10).
Tabell 20: Effektutfall i studie ECU-MG-303
an är antalet patienter vecka 26
Förkortningar: KI = konfidensintervall; LS = minsta kvadrat; MG-ADL = Myasthenia Gravis Activities of Daily Living profile; MGC = Myasthenia Gravis Composite; QMG = Quantitative Myasthenia Gravis score for disease severity; SEM = standardfel för medelvärdet; VAS = visuell analog skala
I studie ECU-MG-303 definierades kliniskt svar i totalpoängen för QMG och MG-ADL som en förbättring med minst 5 poäng respektive 3 poäng från baslinjen. Andelen patienter med kliniskt svar i totalpoängen för QMG och MG-ADL vecka 26 oavsett akut behandling var 70 % respektive 50 %. 10 patienter som fullföljde sitt besök vecka 26 uppnådde förbättrad status för MGFA Post‑Interventional Status (MGFA‑PIS) vecka 26. Sju (70 %) patienter uppnådde minimal manifestation av refraktär gMG vecka 26.
En händelse med klinisk försämring (MG-kris) som krävde akut behandling (PE) observerades hos 1 patient (9,1 %) under behandlingsperioden för primär utvärdering. Den akuta behandlingen administrerades mellan studiebesöken vecka 22 och vecka 24. Som ett resultat av detta och baserat på läkarens beslut bedömdes inte denna patient avseende QMG, MG-ADL eller andra effekter efter vecka 20 och deltog inte i förlängningsperioden. Ytterligare 2 patienter upplevde klinisk försämring (MG-kris) under förlängningsperioden som krävde akut behandling (PE och IVIg för det ena fallet av klinisk försämring och IVIg och 2 tilläggsbehandlingar med ekulizumab för det andra fallet).
Under hela studieperioden för pediatriska patienter med refraktär gMG (studie ECU‑MG-303) minskade 4 av 11 patienter (36,4 %) sin dagliga dos av IST- eller antikolinesterasbehandling till följd av förbättrade MG-symtom. Ytterligare en patient (9,1 %) minskade först och ökade därefter sin dagliga dos under förlängningsperioden till följd av förbättrade respektive försämrade MG‑symtom. En patient startade en ny kortikosteroidbehandling till följd av försämrade MG‑symtom.
Långtidseffekt
Alla patienter som fullföljde den primära behandlingsperioden (N = 10) fortsatte med förlängningsperioden i upp till 208 behandlingsveckor. Endast två patienter fullföljde förlängningsperioden. Åtta deltagare lämnade studien under förlängningsperioden; av dessa övergick fyra deltagare till antingen kommersiellt tillgänglig Soliris eller Ultomiris eller övergick till en annan pågående Ultomiris-studie på barn.
Patienterna bibehöll konsekvent sitt svar under studien, vilket hade liknande omfattning som det svar som rapporterats under den initiala behandlingsperioden.
Figur 3: Ändring från baslinjen av total QMG-poäng (LS-medel och 95 % CI) oavsett akut behandling) under vecka 1 till vecka 52 med användning av en modell med upprepade mätningar
Förkortningar: LS = minsta kvadrat; KI = konfidensintervall.
Observera: Baslinje definieras som det senast tillgängliga bedömningsvärdet före den första infusionen med studieläkemedel.
Observera: Uppskattningar baseras på MMRM som inkluderade besöksförhållanden och baslinjevärde.
Medel är lika med 0. En kovariansstruktur med sammansatt symmetri användes.
Neuromyelitis optica spektrumtillstånd
Europeiska läkemedelsmyndigheten har beviljat undantag från kravet att skicka in studieresultat för Soliris för en eller flera grupper av den pediatriska populationen för behandling av NMOSD (information om pediatrisk användning finns i avsnitt 4.2).
Farmakokinetik och läkemedelsmetabolism
Metabolism
Humana antikroppar genomgår endocytotisk nedbrytning i cellerna i det retikuloendoteliala systemet. Ekulizumab innehåller endast naturligt förekommande aminosyror och har inga kända aktiva metaboliter. Humana antikroppar kataboliseras huvudsakligen av lysosomala enzymer till små peptider och aminosyror.
Eliminering
Inga specifika studier har gjorts för att klarlägga utsöndrings-/elimineringsvägarna för Soliris via lever, njurar, lungor eller mag-tarmsystem. Antikroppar utsöndras inte i normala njurar och kan inte filtreras av njurarna på grund av sin storlek.
Farmakokinetiskt (Farmakokinetiska)/farmakodynamiskt (farmakodynamiska) förhållande(n)
Hos 40 patienter med PNH användes en 1‑kompartmentmodell för att uppskatta de farmakokinetiska parametrarna efter flera doser. Medelvärdet för clearance var 0,31 ± 0,12 ml/timme/kg, medelvärdet för distributionsvolymen var 110,3 ± 17,9 ml/kg och medelvärdet för halveringstiden för eliminering var 11,3 ± 3,4 dagar. Jämviktsläget uppnås efter 4 veckor med doseringsregimen för vuxna med PNH.
Hos PNH-patienter korrelerar farmakodynamisk aktivitet direkt med serumkoncentrationerna av ekulizumab och upprätthållande av tröskelvärden ≥ 35 mikrogram/ml ger i princip fullständig blockering av den hemolytiska aktiviteten hos huvuddelen av PNH-patienterna.
En andra populationsfarmakokinetisk analys med standard 1 kompartment-modell genomfördes med flerdos PK‑data från 37 aHUS-patienter som fick den rekommenderade Solirisbehandlingen från studierna C08-002A/B och C08-003A/B. I den modellen var clearance för Soliris för en standard aHUS-patient som väger 70 kg 0,0139 l/timme och distributionsvolymen var 5,6 l. Eliminationshalveringstiden var 297 timmar (ca 12,4 dagar).
Den andra populationens PK-modell tillämpades på PK-data för flera doser från 22 pediatriska patienter med aHUS som fick den rekommenderade regimen med Soliris i aHUS C10-003. Clearance och volymfördelning av Soliris är viktberoende, vilket ligger till grund för en viktbestämd dosregim hos pediatriska patienter (se avsnitt 4.2). Clearancevärden för Soliris hos pediatriska patienter med aHUS var 10,4, 5,3 och 2,2 ml/h med en kroppsvikt på 70, 30 och 10 kg och de motsvarande värdena för volymfördelning var 5,23, 2,76 och 1,21 l. Den motsvarande halveringstiden för eliminering var nästan oförändrad inom ett intervall på 349 till 378 h (cirka 14,5 till 15,8 dagar).
Clearance och halveringstiden för ekulizumab utvärderades också under plasmautbytesinterventioner. Plasmautbyte resulterade i en ca 50 % nedgång i ekulizumabkoncentrationer efter en 1 timmes intervention och eliminationshalveringstiden av ekulizumab reducerades till 52,4 timmar. Kompletterande dosering rekommenderas när Soliris ges till aHUS-patienter som får plasmainfusion eller utbyte (se avsnitt 4.2).
Alla aHUS-patienter behandlade med Soliris enligt rekommendationerna visade snabb och varaktig minskning av terminal komplement‑aktivitet. Hos aHUS‑patienter korrelerar den farmakodynamiska aktiviteten direkt med ekulizumabs serumkoncentrationer och vidmakthållande av dalvärden på över 50 mikrogram/ml resulterar i princip i fullständig blockering av terminal komplementaktivitet hos alla aHUS-patienter.
PK-parametrarna är enhetliga för PNH-, aHUS-, refraktär gMG- och NMOSD‑populationerna.
Farmakodynamisk aktivitet som uppmätts vid fria C5-koncentrationer på < 0,5 mikrogram/ml korrelerar med väsentligen fullständig blockad av terminal komplementaktivitet hos patienter med PNH, aHUS, refraktär gMG eller NMOSD.
Speciella populationer
Inga dedikerade studier har gjorts för att klarlägga farmakokinetiken för Soliris till speciella patientpopulationer identifierade genom kön, rastillhörighet, ålder (geriatriska patienter) eller förekomst av nedsatt njur- eller leverfunktion. Populationsfarmakokinetiska (PopPK-)analyser av data som samlats in i studier av PNH-, aHUS-, gMG- och NMOSD-patienter visade att kön, rastillhörighet, ålder (geriatriska patienter) eller förekomst av nedsatt njur- eller leverfunktion inte påverkar PK för ekulizumab.
Pediatrisk population
Ekulizumabs farmakokinetik utvärderades i studie M07 005 hos pediatriska PNH patienter (i åldrarna 11 till yngre än 18 år) i studie C08-002, C08-003, C09-001r och C10-003 hos pediatriska patienter med aHUS (i åldern 2 månader till yngre än 18 år) och i studie ECU-MG-303 hos pediatriska patienter med refraktär gMG (i åldern 12 år till yngre än 18 år) visade PopPK-analys att för PNH, aHUS, refraktär gMG och NMOSD var kroppsvikt en signifikant kovariabel som krävde kroppsviktsbaserad dosering för pediatriska patienter.
Ekulizumabs specificitet för C5 i humant serum bedömdes i två in vitro-studier.
Ekulizumabs vävnadskorsreaktivitet bedömdes genom bestämning av bindningen till en panel med 38 humana vävnader. C5-expressionen i den humana vävnadspanel som testades i denna studie överensstämmer med publicerade rapporter om C5‑expression, eftersom C5 har rapporterats i glatt muskulatur, tvärstrimmig muskulatur och proximalt tubulärt njurepitel. Ingen oväntad vävnadskorsreaktivitet observerades.
Inga reproduktionsstudier på djur har utförts med ekulizumab på grund av avsaknad av farmakologisk aktivitet hos icke-humana arter.
I en 26-veckors toxicitetsstudie som genomfördes på mus med en surrogatantikropp riktad mot murint C5 påverkade behandlingen ingen av de toxicitetsparametrar som mättes. Under studien blockerades den hemolytiska aktiviteten effektivt i både hon- och hanmöss.
Inga tydligt behandlingsrelaterade effekter eller biverkningar observerades under reproduktionstoxikologiska studier på möss med en surrogatantikropp för hämning av terminalt komplement, som användes för att bedöma reproduktionssäkerheten för C5-blockad. Dessa studier inkluderade bedömning av fertilitet och tidig embryonal utveckling, utvecklingstoxicitet samt pre- och postnatal utveckling.
När modern exponerades för antikroppen under organogenesen observerades två fall av retinal dysplasi och ett fall av navelbråck hos 230 avkommor födda av mödrar som hade exponerats för den högre antikroppsdosen (ungefär 4 gånger den högsta rekommenderade humana dosen av Soliris, baserat på en jämförelse av kroppsvikt). Exponeringen ökade dock inte missfallsfrekvensen eller neonataldödligheten.
Inga djurstudier har gjorts för att utvärdera ekulizumabs gentoxiska och carcinogena potential.
Får ej frysas.
Förvaras i originalförpackningen. Ljuskänsligt.
Flaskor med Soliris i originalförpackning kan tas ut ur kylskåpsförvaring vid ett enstaka tillfälle som varar högst 3 dagar. Vid slutet av denna period kan man sätta tillbaka produkten i kylskåpet.
Förvaringsanvisningar för läkemedlet efter spädning finns i avsnitt 6.3.
30 ml koncentrat i injektionsflaska (typ I-glas) med gummipropp (silikonerat butylgummi) och en försegling (aluminium) med snäpplock (polypropylen).
Förpackningsstorleken är en flaska.
Före administrering ska Soliris-lösningen inspekteras visuellt med avseende på partiklar och missfärgning. Läkemedlet får inte användas om det innehåller partiklar eller är missfärgat.
Instruktioner
Rekonstituering och spädning ska göras i enlighet med god klinisk praxis, särskilt med avseende på aseptik.
Dra upp den totala mängden Soliris ur flaskan eller flaskorna med en steril spruta.
Överför den rekommenderade dosen till en infusionspåse.
Späd Soliris till en slutkoncentration på 5 mg/ml genom tillsats till infusionspåsen med användning av natriumklorid 9 mg/ml (0,9 %) injektionsvätska, natriumklorid 4,5 mg/ml (0,45 %) injektionsvätska eller 5 % dextros i vatten som spädningsvätska.
Slutvolymen för en lösning spädd till 5 mg/ml är 60 ml för dosen 300 mg, 120 ml för dosen 600 mg, 180 ml för dosen 900 mg, och 240 ml för dosen 1 200 mg. Lösningen ska vara klar och färglös.
Skaka varsamt infusionspåsen med den spädda lösningen för att säkerställa att produkten och spädningsvätskan blandas ordentligt.
Den spädda lösningen ska stå framme tills den antar rumstemperatur före administrering.
Kasta eventuella rester i flaskan.
Ej använt läkemedel och avfall ska kasseras enligt gällande lokala anvisningar.
Monobasiskt natriumfosfat (E 339)
Dibasiskt natriumfosfat (E 339)
Natriumklorid
Polysorbat 80 (E 433)
Vatten för injektionsvätskor
Detta läkemedel får inte blandas med andra läkemedel förutom de som nämns i avsnitt 6.6.
30 månader.
Efter spädning ska läkemedlet användas omedelbart. Kemisk och fysikalisk stabilitet har dock visats under 24 timmar vid 2 °C–8 ºC.
Förvaras i kylskåp (2 ºC–8 ºC)
Får ej frysas.
Förvaras i originalförpackningen. Ljuskänsligt.
Flaskor med Soliris i originalförpackning kan tas ut ur kylskåpsförvaring vid ett enstaka tillfälle som varar högst 3 dagar. Vid slutet av denna period kan man sätta tillbaka produkten i kylskåpet.
Förvaringsanvisningar för läkemedlet efter spädning finns i avsnitt 6.3.
30 ml koncentrat i injektionsflaska (typ I-glas) med gummipropp (silikonerat butylgummi) och en försegling (aluminium) med snäpplock (polypropylen).
Förpackningsstorleken är en flaska.
Före administrering ska Soliris-lösningen inspekteras visuellt med avseende på partiklar och missfärgning. Läkemedlet får inte användas om det innehåller partiklar eller är missfärgat.
Instruktioner
Rekonstituering och spädning ska göras i enlighet med god klinisk praxis, särskilt med avseende på aseptik.
Dra upp den totala mängden Soliris ur flaskan eller flaskorna med en steril spruta.
Överför den rekommenderade dosen till en infusionspåse.
Späd Soliris till en slutkoncentration på 5 mg/ml genom tillsats till infusionspåsen med användning av natriumklorid 9 mg/ml (0,9 %) injektionsvätska, natriumklorid 4,5 mg/ml (0,45 %) injektionsvätska eller 5 % dextros i vatten som spädningsvätska.
Slutvolymen för en lösning spädd till 5 mg/ml är 60 ml för dosen 300 mg, 120 ml för dosen 600 mg, 180 ml för dosen 900 mg, och 240 ml för dosen 1 200 mg. Lösningen ska vara klar och färglös.
Skaka varsamt infusionspåsen med den spädda lösningen för att säkerställa att produkten och spädningsvätskan blandas ordentligt.
Den spädda lösningen ska stå framme tills den antar rumstemperatur före administrering.
Kasta eventuella rester i flaskan.
Ej använt läkemedel och avfall ska kasseras enligt gällande lokala anvisningar.
Produktresumén är företagets information om läkemedlet riktat till förskrivare och personal inom sjukvård och apotek. Dokumentet är godkända av Läkemedelsverket eller den europeiska läkemedelsmyndigheten EMA i samband med att läkemedlet godkänns för marknadsföring.