Säkerhetsmeddelande till marknaden 2026-01-05, läs mer här.

Tillgänglig läkemedelsinformation i Sverige

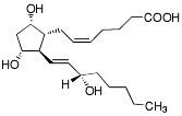
Dinoprost

Det här är en substans. Ett läkemedel innehåller ett eller flera verksamma ämnen, så kallade aktiva substanser. I de allra flesta läkemedel finns också så kallade hjälpämnen.

Kemiskt namn

(Z)-7-[(1R,​2R,​3R,​5S)-3,​5-Dihydroxi-2-[(E)-(3S)-3-hydroxi-1-oktenyl]cyklopentyl]-5-heptensyra

Benäms även som

Dinoprost (engelska)

Bild på kemisk struktur för Dinoprost

ATC-koder kopplade till substansen

Läkemedel kopplade till substansen

Läkemedel som innehåller Dinoprost (0)

    Läkemedel som innehåller Dinoprosttrometamol (1)