Säkerhetsmeddelande till marknaden 2026-01-05, läs mer här.

Tillgänglig läkemedelsinformation i Sverige

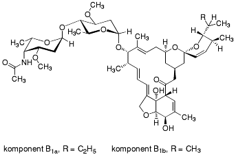
Eprinomektin

Det här är en substans. Ett läkemedel innehåller ett eller flera verksamma ämnen, så kallade aktiva substanser. I de allra flesta läkemedel finns också så kallade hjälpämnen.

Kemiskt namn

(4'-R)-4'-epi-(Acetylamino)-4'-deoxiavermektin B1

Benäms även som

Eprinomectin (engelska)

Bild på kemisk struktur för Eprinomektin

ATC-koder kopplade till substansen

Läkemedel kopplade till substansen

Läkemedel som innehåller Eprinomektin (3)