Säkerhetsmeddelande till marknaden 2026-01-05, läs mer här.

Tillgänglig läkemedelsinformation i Sverige

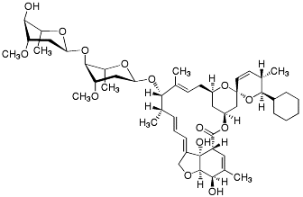
Doramektin

Det här är en substans. Ett läkemedel innehåller ett eller flera verksamma ämnen, så kallade aktiva substanser. I de allra flesta läkemedel finns också så kallade hjälpämnen.

Kemiskt namn

[(2aE,​4E,​8E)-(5'S,​6S,​6'R,​7S,​11R,​13S,​15S,​17aR,​20R,​20aR,​20bS)-6' -Cyklohexyl-5',​6,​6',​7,​10,​11,​14,​15,​17a,​20,​20a,​20b-dodekahydro-20,​20b -dihydroxi-5',​6,​8,​19-tetrametyl-17-oxospiro[11,​15-metano-2H,​13H ,​17H-furo[4,​3,​2-pq][2,​6]benzodioxacyklooktadecin-13,​2'-[2H]pyran]-7-yl]-2,​6-dideoxi-4-O-(2,​6-dideoxi-3-O -metyl-α- L-arabino-hexapyranosyl)¡-3-O-metyl-α-L-arabino-hexopyranosid

Benäms även som

Doramectin (engelska)

Bild på kemisk struktur för Doramektin

ATC-koder kopplade till substansen

Läkemedel kopplade till substansen

Läkemedel som innehåller Doramektin (1)