Tillgänglig läkemedelsinformation i Sverige

Valnemulin

Det här är en substans. Ett läkemedel innehåller ett eller flera verksamma ämnen, så kallade aktiva substanser. I de allra flesta läkemedel finns också så kallade hjälpämnen.

Kemiskt namn

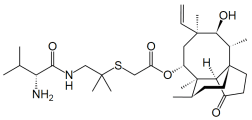
[(2-[(R)-2-Amino-3-metylbutyramido]-1,​1- dimetyletyl]tio)ättiksyra 8-ester med (3aS,​4R,​5S,​6S,​8R,​9R,​9aR,​10R)-oktahydro-5,​8-dihydroxi- 4,​6,​9,​10-tetrametyl-6-vinyl-3a,​9-propano-3aH- cyklopentacyklookten-1(4H)-on

Benäms även som

Valnemulin (engelska)

Bild på kemisk struktur för Valnemulin

ATC-koder kopplade till substansen

Det finns inga ATC-koder kopplade till substansen

Läkemedel kopplade till substansen

Läkemedel som innehåller Valnemulin (0)