Tillgänglig läkemedelsinformation i Sverige

Pirlimycin

Det här är en substans. Ett läkemedel innehåller ett eller flera verksamma ämnen, så kallade aktiva substanser. I de allra flesta läkemedel finns också så kallade hjälpämnen.

Kemiskt namn

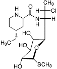
Metyl-(2S-cis)-6,​7,​8-trideoxi-6-[[(4-etyl-2-piperidinyl)karbonyl]amino]-7-kloro-1-tio-L-treo-α-D-galaktooktopyranosid

Benäms även som

Pirlimycin (engelska)

Bild på kemisk struktur för Pirlimycin

ATC-koder kopplade till substansen

Det finns inga ATC-koder kopplade till substansen

Läkemedel kopplade till substansen

Läkemedel som innehåller Pirlimycin (0)

    Läkemedel som innehåller Pirlimycinhydroklorid (1)