Kommande förändring:Inom kort kommer du att komma till produktresumén istället för Fass-vyn när du sökt fram ett läkemedel. Läs mer här.

Tillgänglig läkemedelsinformation i Sverige

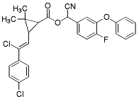
Flumetrin

Det här är en substans. Ett läkemedel innehåller ett eller flera verksamma ämnen, så kallade aktiva substanser. I de allra flesta läkemedel finns också så kallade hjälpämnen.

Kemiskt namn

2,​2-Dimetyl-3-[2-kloro-2-(p-klorofenyl)vinyl]cyklopropankarboxylsyre-α-cyano-m-fenoxi-p-fluorobensylester

Benäms även som

Flumethrin (engelska)

Bild på kemisk struktur för Flumetrin

ATC-koder kopplade till substansen

Läkemedel kopplade till substansen

Läkemedel som innehåller Flumetrin (3)